МКБ-10 коды
- МКБ-10
- K60.3 Свищ заднего прохода
|
|
Вступление
Кодирование по Международной статистической классификации болезней и проблем, связанных со здоровьем: K60.3.
Год утверждения (частота пересмотра): 2020.
Возрастная категория: Взрослые.
Пересмотр не позднее: 2022.
ID: 191.
Разработчик клинической рекомендации.
• Общероссийская общественная организация Ассоциация колопроктологов России .
Одобрено Научно-практическим Советом Минздрава РФ.
Год утверждения (частота пересмотра): 2020.
Возрастная категория: Взрослые.
Пересмотр не позднее: 2022.
ID: 191.
Разработчик клинической рекомендации.
• Общероссийская общественная организация Ассоциация колопроктологов России .
Одобрено Научно-практическим Советом Минздрава РФ.
|
|
Список сокращений
БК - болезнь Крона.
ДИ - доверительный интервал.
ЗАПК - запирательный аппарат прямой кишки.
МРТ - магнитно-резонансная томография.
КТ - компьютерная томография.
РКИ - рандомизированное контролируемое исследование.
СЗП - свищ заднего прохода.
УДД - уровень достоверности доказательств.
УУР - уровень убедительности рекомендаций.
УЗИ - ультразвуковое исследование.
ДИ - доверительный интервал.
ЗАПК - запирательный аппарат прямой кишки.
МРТ - магнитно-резонансная томография.
КТ - компьютерная томография.
РКИ - рандомизированное контролируемое исследование.
СЗП - свищ заднего прохода.
УДД - уровень достоверности доказательств.
УУР - уровень убедительности рекомендаций.
УЗИ - ультразвуковое исследование.
Термины и определения
Сфинктеросберегающая операция. Операция, при которой не происходит травмы сфинктерного аппарата прямой кишки или воздействие на сфинктерный аппарат является минимальным и не приводит к выраженному клинически значимому нарушению функции держания кишечного содержимого.
Незаживление свищевого хода. Сохранение или повторное появление связи просвета прямой кишки с раной или свищевым ходом после операции по поводу свища (как правило, этот термин используется при сфинктеросберегающем лечении, когда свищевой ход может полностью не иссекаться, а внутреннее свищевое отверстие закрывается одним из пластических методов). Данный термин отличается от понятия «рецидив» тем, что рана или свищевой ход не успевают полностью зажить до момента установления их связи с просветом прямой кишки.
Рецидив свища. Повторное появление свища прямой кишки спустя некоторое время после операции, сопровождавшейся положительным результатом, полным заживлением свищевого хода (при условии, что внутреннее свищевое отверстие локализуется на том же месте, как и до операции).
Незаживление свищевого хода. Сохранение или повторное появление связи просвета прямой кишки с раной или свищевым ходом после операции по поводу свища (как правило, этот термин используется при сфинктеросберегающем лечении, когда свищевой ход может полностью не иссекаться, а внутреннее свищевое отверстие закрывается одним из пластических методов). Данный термин отличается от понятия «рецидив» тем, что рана или свищевой ход не успевают полностью зажить до момента установления их связи с просветом прямой кишки.
Рецидив свища. Повторное появление свища прямой кишки спустя некоторое время после операции, сопровождавшейся положительным результатом, полным заживлением свищевого хода (при условии, что внутреннее свищевое отверстие локализуется на том же месте, как и до операции).
Описание
Свищ заднего прохода. Это патологический ход между анальным каналом и окружающими его тканями и/или органами и/или перианальной кожей.
При этом внутренним отверстием свища является воспаленная анальная крипта, вследствие чего под СЗП без уточнения подразумевают свищи криптогландулярного происхождения. В иных случаях этиологию СЗП дополнительно уточняют (посттравматический свищ, постлучевой ).
Наружное свищевое отверстие наиболее часто располагается на коже перианальной области, промежности, ягодичной области. Значительно реже свищ открывается во влагалище, мочеиспускательный канал и другие органы таза. Также СЗП может быть неполным внутренним, заканчиваться слепо в мягких тканях [1,2].
При этом внутренним отверстием свища является воспаленная анальная крипта, вследствие чего под СЗП без уточнения подразумевают свищи криптогландулярного происхождения. В иных случаях этиологию СЗП дополнительно уточняют (посттравматический свищ, постлучевой ).
Наружное свищевое отверстие наиболее часто располагается на коже перианальной области, промежности, ягодичной области. Значительно реже свищ открывается во влагалище, мочеиспускательный канал и другие органы таза. Также СЗП может быть неполным внутренним, заканчиваться слепо в мягких тканях [1,2].
Причины
Образование СЗП криптогландулярного происхождения связано с особенностями распространения и персистенции гнойно-воспалительного процесса из анальных крипт по ходу анальных желез. Примерно 95% свищей прямой кишки связаны с перенесенным острым парапроктитом. Основное количество анальных желез (около 80%) слепо заканчивается в подслизистом слое, около 20 % проникает в межсфинктерное пространство и крайне редко они проходят сквозь наружный сфинктер [3].
При формировании СЗП в области пораженной анальной крипты образуется внутреннее свищевое отверстие, которое является воротами инфекции, поддерживающими хронический воспалительный процесс. При этом гнойный ход окружается фиброзной тканью снаружи - формируется свищевой ход. По ходу свища в клетчатке при недостаточно хорошем дренировании могут формироваться инфильтраты, затеки и гнойные полости [2].
При формировании СЗП в области пораженной анальной крипты образуется внутреннее свищевое отверстие, которое является воротами инфекции, поддерживающими хронический воспалительный процесс. При этом гнойный ход окружается фиброзной тканью снаружи - формируется свищевой ход. По ходу свища в клетчатке при недостаточно хорошем дренировании могут формироваться инфильтраты, затеки и гнойные полости [2].
Эпидемиология
СЗП формируется в 30-50% случаев в качестве исхода острого парапроктита [4-5].
Заболеваемость СЗП составляет 1,2-2,8 случаев на 10 тыс. населения в год. Наиболее часто заболевание развивается в возрасте от 20 до 50 лет, что обуславливает социальную значимость данного заболевания. Мужчины страдают несколько чаще, чем женщины [6-8].
Класс. Болезни органов пищеварения (XI):
К60,3 Свищ заднего прохода.
Заболеваемость СЗП составляет 1,2-2,8 случаев на 10 тыс. населения в год. Наиболее часто заболевание развивается в возрасте от 20 до 50 лет, что обуславливает социальную значимость данного заболевания. Мужчины страдают несколько чаще, чем женщины [6-8].
1,4 Особенности кодирования заболевания или состояния (группы заболеваний или состояний) по Международной статистической классификации болезни и проблем, связанных со здоровьем.
Коды по МКБ-10.Класс. Болезни органов пищеварения (XI):
К60,3 Свищ заднего прохода.
Классификация
1,5 Классификация заболевания или состояния (группе заболеваний или состояний).
Свищ заднего прохода бывает:• полным (есть внутреннее и наружное свищевое отверстие).
• неполным внутренним (наружного отверстия нет, есть только внутреннее).
По локализации внутреннего отверстия в анальном канале:
• задний (c 4 до 8 часов условного циферблата).
• передний (с 10 до 2 часов условного циферблата).
• боковой (с 8 до 10 часов условного циферблата и с 2 до 4 часов условного циферблата).
В зависимости от расположения свищевого хода по отношению к наружному сфинктеру заднего прохода выделяют:
• интрасфинктерный.
• транссфинктерный.
• экстрасфинктерный.
Экстрасфинктерные свищи делятся на 4 степени сложности:
• первая степень сложности. Внутреннее отверстие узкое, без рубцов вокруг него, нет гнойников и инфильтратов в клетчатке по ходу свища;
• вторая степень сложности. В области внутреннего отверстия имеются рубцы, но нет воспалительных изменений в клетчатке;
• третья степень сложности. Внутреннее отверстие узкое без рубцовых изменений вокруг, но в клетчатке имеется гнойно-воспалительный процесс;
• четвертая степень сложности. Внутреннее отверстие широкое, окружено рубцами, в окружающих свищ тканях имеются воспалительные инфильтраты или гнойные полости.
Клиническая картина
К основным клиническим проявлениям свища заднего прохода относятся:
• наличие внутреннего свищевого отверстия в области анальной крипты;
• наличие наружного свищевого отверстия на коже перианальной области, промежности или ягодичной области;
• серозные, гнойные или сукровичные выделения из наружного свищевого отверстия;
• периодически возникающий болезненный инфильтрат в перианальной области, промежности, чаще всего расположенный в области наружного свищевого отверстия свища;
• дискомфорт, боли в области заднего прохода.
При обострении хронического гнойно-воспалительного процесса в параректальной клетчатке возможно появление общих воспалительных симптомов, таких как повышение температуры тела, лихорадка.
• наличие внутреннего свищевого отверстия в области анальной крипты;
• наличие наружного свищевого отверстия на коже перианальной области, промежности или ягодичной области;
• серозные, гнойные или сукровичные выделения из наружного свищевого отверстия;
• периодически возникающий болезненный инфильтрат в перианальной области, промежности, чаще всего расположенный в области наружного свищевого отверстия свища;
• дискомфорт, боли в области заднего прохода.
При обострении хронического гнойно-воспалительного процесса в параректальной клетчатке возможно появление общих воспалительных симптомов, таких как повышение температуры тела, лихорадка.
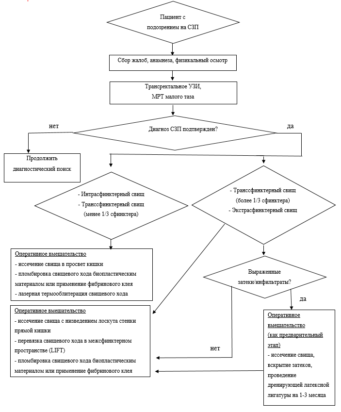
Диагностика
Критерии установления диагноза/состояния. На основании патогномоничных данных:
• клинического обследования;
• инструментального обследования.
Диагностика СЗП подразумевает решение нескольких задач:
• определение этиопатогенеза свища;
• локализация внутреннего и наружного свищевых отверстий;
• топографо-анатомические характеристики свища (направление его хода, расположение хода по отношению к наружному сфинктеру, наличие затеков);
• оценка выраженности и распространённости воспалительного процесса (наличие инфильтратов, гнойных полостей, вовлечение соседних органов);
• оценка функции ЗАПК.
Дифференциальная диагностика проводится с целью исключения воспалительных заболеваний кожи и мягких тканей, которые не имеют связи с анальным каналом и прямой кишкой [9].
Кроме того, дифференциальный диагноз проводится:
• с воспалительными заболеваниями кишечника с перианальными осложнениями (болезнь Крона, язвенный колит);
• со свищами травматического происхождения;
• со специфическими инфекциями (туберкулез, актиномикоз);
• со свищами, дренирующими гнойные полости таза, вызванные другими заболеваниями (осложненные опухоли, перфоративный дивертикулит );
• с хроническим воспалением эпителиального копчикового хода;
• со свищами, дренирующими каудальные тератомы;
• с хроническим остеомиелитом костей таза.
При туберкулезе легких или кишечника нельзя исключать банальные криптогландулярные СЗП. Подозрение на специфический процесс вызывают случаи, когда из свищей обильно выделяется жидкий гной, при гистологическом исследовании обнаруживаются многочисленные сливающиеся гранулемы с казеозным некрозом. Крайне редко, но встречается озлокачествление свища прямой кишки, при этом выделения из него становятся кровянистыми с примесью слизи. Надежным методом диагностики является цитологическое исследование соскоба из свищевого хода, причем соскоб лучше делать из глубокой части хода, а не из области наружного отверстия [10].
Принципы формирования диагноза.
При формулировке диагноза СЗП следует отразить локализацию внутреннего свищевого отверстия (задний, передний, боковой), расположение свищевого хода по отношению к наружному анальному сфинктеру (интрасфинктерный, транссфинктерный, экстрасфинктерный), наличие или отсутствие наружного свищевого отверстия (полный или неполный), а также наличие или отсутствие полостей, затеков по ходу свища и их локализацию. При экстрасфинктерных свищах дополнительно устанавливается степень сложности свища ( см классификацию). Ниже приведены примеры формулировок диагноза:
• «Передний интрасфинктерный свищ заднего прохода».
• «Задний транссфинктерный свищ заднего прохода с ишиоректальным затеком».
• «Боковой неполный внутренний транссфинктерный свищ заднего прохода».
• «Задний экстрасфинктерный свищ заднего прохода 3 степени сложности».
В анамнезе заболевания возможны: однократное или многократное вскрытие острого парапроктита, переохлаждение, наличие травмы перианальной области, наличие болей в области заднего прохода и прямой кишки, самопроизвольное вскрытие гнойника в области заднего прохода, гнойные выделения из заднего прохода.
• осмотр перианальной области;
• пальцевое исследование прямой кишки;
• зондирование свищевого хода;
• проба с красителем.
Уровень убедительности рекомендаций. А (уровень достоверности доказательств - 1).
Комментарий. Осмотр перианальной области направлен на обнаружение наружного свищевого отверстия, выявление признаков воспаления, его выраженности и распространённости. Также производится проверка анального рефлекса.
При пальцевом исследовании следует обратить внимание на внутреннее свищевое отверстие (локализация, ширина и форма, наличие воспаления и рубцов), сопутствующие заболевания анального канала и нижнеампулярного отдела прямой кишки (геморрой, анальная трещина, опухолевый процесс ).
Зондирование свищевого хода проводят с целью оценки топографо-анатомических особенностей свищевого хода по отношению к ЗАПК, стенки прямой кишки, направление хода, наличия полостей, затеков по ходу свища. Зондирование проводят пуговчатым зондом со стороны наружного отверстия при полных свищах и внутреннего отверстия при неполных внутренних свищах. Не следует выполнять насильственное зондирование свищевого хода при наличии препятствий вследствие риска формирования ложного хода.
Пробу с красителем проводят для верификации сообщения наружного свищевого отверстия с просветом анального канала, прокрашивания дополнительных свищевых ходов и полостей. Для выполнения пробы необходимо ввести марлевую салфетку в задний проход (маркер), потом ввести в свищевой ход через наружное отверстие краситель (раствор метиленового синего или йода), затем аккуратно, не прокручивая маркер вокруг оси, извлечь его из заднего прохода. При наличии на маркере отметки соответствующего цвета можно судить о связи между наружным и внутренним свищевым отверстиями. При жалобах пациента на дискомфорт или болевые ощущения, пробу с красителем следует остановить. Проба с красителем имеет большее диагностическое значение во время операции, а не на этапе установки диагноза.
Необходимо отметить, что точность физикального обследования при СЗП ниже, чем трансректального ультразвукового исследования и МРТ.
Всем пациентам, перенесшим хирургическое лечение по СЗП, при отсутствии полной эпителизации на 45 день после операции, целесообразно провести микробиологическое (культуральное) исследование раневого отделяемого. При отсутствии полной эпителизации до 45 дня после операции раны можно считать длительно незаживающими.
Уровень убедительности рекомендаций. С (уровень достоверности доказательств - 5).
Комментарий. Это обязательное исследование проводится с целью точного определения локализации, оценки ширины и формы внутреннего свищевого отверстия, наличия или отсутствия рубцовых изменений стенок анального канала и прямой кишки, оценки наличия сопутствующих заболеваний анального канала.
• Рекомендуется всем пациентам ректороманоскопия с целью диагностики сопутствующих заболеваний прямой и дистальной трети сигмовидной кишки [2, 13].
Уровень убедительности рекомендаций. С (уровень достоверности доказательств - 5).
• Рекомендуется выполнение колоноскопии для осмотра всех отделов толстой кишки и терминального отдела подвздошной кишки [2, 13].
Уровень убедительности рекомендаций. С (уровень достоверности доказательств - 5).
Комментарий. Исследование проводится в качестве дополнительного метода обследования с целью оценки наличия или отсутствия сопутствующих изменений толстой кишки, воспалительных изменений характерных для болезни Крона и язвенного колита. Колоноскопия показана с целью исключения новообразований толстой кишки всем пациентам старше 45 лет.
• Всем пациентам со свищами заднего прохода р екомендуется магнитно-резонансная томография (МРТ) и/или трансректальное ультразвуковое исследование (УЗИ) прямой кишки и анального канала для оценки расположения свищевого хода по отношению к анальному сфинктеру, уточнения локализации внутреннего свищевого отверстия, диагностике гнойных затеков, выявления дополнительных свищевых ходов. По диагностической ценности оба метода сопоставимы [14-25].
Уровень убедительности рекомендаций. А (уровень достоверности доказательств - 1).
Комментарий. МРТ и трансректальное УЗИ являются методами выбора для топографо-анатомической оценки свищевого хода.
Трансректальное УЗИ достаточно простое в исполнении, не дорогое, короткое по продолжительности, может выполняться врачом-колопроктологом самостоятельно, может быть дополнено контрастированием свищевого хода. Недостатком метода является оператор-зависимость.
МРТ малого таза демонстрирует высокую детализацию, не требует контрастирования, является оператор-независимым исследованием. При этом МРТ - дорогостоящее исследование, требует привлечения рентгенолога и занимает больше времени.
Оба метода обладают сходными чувствительностью и специфичностью при диагностике СЗП.
• При подготовке к хирургическому вмешательству пациентам с изначальными нарушениями функции анального сфинктера, ранее оперированных по поводу свища заднего прохода, у пациентов, которым предстоит операция по поводу транссфинктерного свища, захватывающего более 30% сфинктера, а также при экстрасфинктерных свищах рекомендуется проводить исследование функции ЗАПК для выявления недержания, в том числе субклинической формы [26].
Уровень убедительности рекомендаций. С (уровень достоверности доказательств - 4).
• Фистулография не рекомендуется для обследования пациента, ввиду низкой чувствительности и специфичности [14].
Уровень убедительности рекомендаций. в (уровень достоверности доказательств - 3).
• КТ малого таза не рекомендуется для обследования пациента ввиду низкой чувствительности и специфичности [14].
Уровень убедительности рекомендаций. в (уровень достоверности доказательств - 3).
• Рекомендуется пациентам с СЗП при подозрении на грибковую инфекцию, туберкулез, опухолевый процесс микробиологическое, цитологическое исследование или биопсия стенки свищевого хода или параректального инфильтрата с проведением патологоанатомического исследования биопсийного (операционного) материала с применением иммуногистохимических методов [13].
Уровень убедительности рекомендаций. С (уровень достоверности доказательств - 5).
• клинического обследования;
• инструментального обследования.
Диагностика СЗП подразумевает решение нескольких задач:
• определение этиопатогенеза свища;
• локализация внутреннего и наружного свищевых отверстий;
• топографо-анатомические характеристики свища (направление его хода, расположение хода по отношению к наружному сфинктеру, наличие затеков);
• оценка выраженности и распространённости воспалительного процесса (наличие инфильтратов, гнойных полостей, вовлечение соседних органов);
• оценка функции ЗАПК.
Дифференциальная диагностика проводится с целью исключения воспалительных заболеваний кожи и мягких тканей, которые не имеют связи с анальным каналом и прямой кишкой [9].
Кроме того, дифференциальный диагноз проводится:
• с воспалительными заболеваниями кишечника с перианальными осложнениями (болезнь Крона, язвенный колит);
• со свищами травматического происхождения;
• со специфическими инфекциями (туберкулез, актиномикоз);
• со свищами, дренирующими гнойные полости таза, вызванные другими заболеваниями (осложненные опухоли, перфоративный дивертикулит );
• с хроническим воспалением эпителиального копчикового хода;
• со свищами, дренирующими каудальные тератомы;
• с хроническим остеомиелитом костей таза.
При туберкулезе легких или кишечника нельзя исключать банальные криптогландулярные СЗП. Подозрение на специфический процесс вызывают случаи, когда из свищей обильно выделяется жидкий гной, при гистологическом исследовании обнаруживаются многочисленные сливающиеся гранулемы с казеозным некрозом. Крайне редко, но встречается озлокачествление свища прямой кишки, при этом выделения из него становятся кровянистыми с примесью слизи. Надежным методом диагностики является цитологическое исследование соскоба из свищевого хода, причем соскоб лучше делать из глубокой части хода, а не из области наружного отверстия [10].
Принципы формирования диагноза.
При формулировке диагноза СЗП следует отразить локализацию внутреннего свищевого отверстия (задний, передний, боковой), расположение свищевого хода по отношению к наружному анальному сфинктеру (интрасфинктерный, транссфинктерный, экстрасфинктерный), наличие или отсутствие наружного свищевого отверстия (полный или неполный), а также наличие или отсутствие полостей, затеков по ходу свища и их локализацию. При экстрасфинктерных свищах дополнительно устанавливается степень сложности свища ( см классификацию). Ниже приведены примеры формулировок диагноза:
• «Передний интрасфинктерный свищ заднего прохода».
• «Задний транссфинктерный свищ заднего прохода с ишиоректальным затеком».
• «Боковой неполный внутренний транссфинктерный свищ заднего прохода».
• «Задний экстрасфинктерный свищ заднего прохода 3 степени сложности».
2,1 Жалобы и анамнез.
Характерные жалобы: серозные, гнойные или сукровичные выделения из наружного свищевого отверстия и/или заднего прохода, дискомфорт, боли в области заднего прохода, наличие воспалительного инфильтрата в мягких тканях перианальной области, промежности или ягодичной области.В анамнезе заболевания возможны: однократное или многократное вскрытие острого парапроктита, переохлаждение, наличие травмы перианальной области, наличие болей в области заднего прохода и прямой кишки, самопроизвольное вскрытие гнойника в области заднего прохода, гнойные выделения из заднего прохода.
2,2 Физикальное обследование.
Всем пациентам с подозрением на СЗП настоятельно рекомендовано проводить физикальное обследование с целью подтверждения диагноза [1, 2, 11, 12, 20]:• осмотр перианальной области;
• пальцевое исследование прямой кишки;
• зондирование свищевого хода;
• проба с красителем.
Уровень убедительности рекомендаций. А (уровень достоверности доказательств - 1).
Комментарий. Осмотр перианальной области направлен на обнаружение наружного свищевого отверстия, выявление признаков воспаления, его выраженности и распространённости. Также производится проверка анального рефлекса.
При пальцевом исследовании следует обратить внимание на внутреннее свищевое отверстие (локализация, ширина и форма, наличие воспаления и рубцов), сопутствующие заболевания анального канала и нижнеампулярного отдела прямой кишки (геморрой, анальная трещина, опухолевый процесс ).
Зондирование свищевого хода проводят с целью оценки топографо-анатомических особенностей свищевого хода по отношению к ЗАПК, стенки прямой кишки, направление хода, наличия полостей, затеков по ходу свища. Зондирование проводят пуговчатым зондом со стороны наружного отверстия при полных свищах и внутреннего отверстия при неполных внутренних свищах. Не следует выполнять насильственное зондирование свищевого хода при наличии препятствий вследствие риска формирования ложного хода.
Пробу с красителем проводят для верификации сообщения наружного свищевого отверстия с просветом анального канала, прокрашивания дополнительных свищевых ходов и полостей. Для выполнения пробы необходимо ввести марлевую салфетку в задний проход (маркер), потом ввести в свищевой ход через наружное отверстие краситель (раствор метиленового синего или йода), затем аккуратно, не прокручивая маркер вокруг оси, извлечь его из заднего прохода. При наличии на маркере отметки соответствующего цвета можно судить о связи между наружным и внутренним свищевым отверстиями. При жалобах пациента на дискомфорт или болевые ощущения, пробу с красителем следует остановить. Проба с красителем имеет большее диагностическое значение во время операции, а не на этапе установки диагноза.
Необходимо отметить, что точность физикального обследования при СЗП ниже, чем трансректального ультразвукового исследования и МРТ.
2,3 Лабораторные диагностические обследования.
Специфическая лабораторная диагностика СЗП в настоящее время отсутствует. Лабораторные диагностические исследования следует выполнять пациентам в ходе подготовки и планирования хирургического вмешательства для исключения сопутствующих заболеваний и состояний.Всем пациентам, перенесшим хирургическое лечение по СЗП, при отсутствии полной эпителизации на 45 день после операции, целесообразно провести микробиологическое (культуральное) исследование раневого отделяемого. При отсутствии полной эпителизации до 45 дня после операции раны можно считать длительно незаживающими.
2,4 Инструментальные диагностические исследования.
• Рекомендуется всем пациентам аноскопия для оценки состояния анального канала и дистального отдела прямой кишки для визуализации внутреннего свищевого отверстия [2, 13].Уровень убедительности рекомендаций. С (уровень достоверности доказательств - 5).
Комментарий. Это обязательное исследование проводится с целью точного определения локализации, оценки ширины и формы внутреннего свищевого отверстия, наличия или отсутствия рубцовых изменений стенок анального канала и прямой кишки, оценки наличия сопутствующих заболеваний анального канала.
• Рекомендуется всем пациентам ректороманоскопия с целью диагностики сопутствующих заболеваний прямой и дистальной трети сигмовидной кишки [2, 13].
Уровень убедительности рекомендаций. С (уровень достоверности доказательств - 5).
• Рекомендуется выполнение колоноскопии для осмотра всех отделов толстой кишки и терминального отдела подвздошной кишки [2, 13].
Уровень убедительности рекомендаций. С (уровень достоверности доказательств - 5).
Комментарий. Исследование проводится в качестве дополнительного метода обследования с целью оценки наличия или отсутствия сопутствующих изменений толстой кишки, воспалительных изменений характерных для болезни Крона и язвенного колита. Колоноскопия показана с целью исключения новообразований толстой кишки всем пациентам старше 45 лет.
• Всем пациентам со свищами заднего прохода р екомендуется магнитно-резонансная томография (МРТ) и/или трансректальное ультразвуковое исследование (УЗИ) прямой кишки и анального канала для оценки расположения свищевого хода по отношению к анальному сфинктеру, уточнения локализации внутреннего свищевого отверстия, диагностике гнойных затеков, выявления дополнительных свищевых ходов. По диагностической ценности оба метода сопоставимы [14-25].
Уровень убедительности рекомендаций. А (уровень достоверности доказательств - 1).
Комментарий. МРТ и трансректальное УЗИ являются методами выбора для топографо-анатомической оценки свищевого хода.
Трансректальное УЗИ достаточно простое в исполнении, не дорогое, короткое по продолжительности, может выполняться врачом-колопроктологом самостоятельно, может быть дополнено контрастированием свищевого хода. Недостатком метода является оператор-зависимость.
МРТ малого таза демонстрирует высокую детализацию, не требует контрастирования, является оператор-независимым исследованием. При этом МРТ - дорогостоящее исследование, требует привлечения рентгенолога и занимает больше времени.
Оба метода обладают сходными чувствительностью и специфичностью при диагностике СЗП.
• При подготовке к хирургическому вмешательству пациентам с изначальными нарушениями функции анального сфинктера, ранее оперированных по поводу свища заднего прохода, у пациентов, которым предстоит операция по поводу транссфинктерного свища, захватывающего более 30% сфинктера, а также при экстрасфинктерных свищах рекомендуется проводить исследование функции ЗАПК для выявления недержания, в том числе субклинической формы [26].
Уровень убедительности рекомендаций. С (уровень достоверности доказательств - 4).
• Фистулография не рекомендуется для обследования пациента, ввиду низкой чувствительности и специфичности [14].
Уровень убедительности рекомендаций. в (уровень достоверности доказательств - 3).
• КТ малого таза не рекомендуется для обследования пациента ввиду низкой чувствительности и специфичности [14].
Уровень убедительности рекомендаций. в (уровень достоверности доказательств - 3).
2,5 Иные диагностические исследования.
Дополнительные инструментальные и лабораторные исследования выполняют с целью проведения дифференциальной диагностики.• Рекомендуется пациентам с СЗП при подозрении на грибковую инфекцию, туберкулез, опухолевый процесс микробиологическое, цитологическое исследование или биопсия стенки свищевого хода или параректального инфильтрата с проведением патологоанатомического исследования биопсийного (операционного) материала с применением иммуногистохимических методов [13].
Уровень убедительности рекомендаций. С (уровень достоверности доказательств - 5).
|
|
Лечение
3,1 Общие принципы лечения СЗП.
Основным методом лечения СЗП является хирургический [2].Спонтанное заживление свища наблюдается крайне редко. Консервативные мероприятия как самостоятельный метод лечения СЗП не эффективны и направлены на уменьшение выраженности и распространенности воспалительного процесса.
Выбор метода хирургического лечения определяется рядом факторов:
- расположением свищевого хода по отношению к наружному сфинктеру;
- выраженностью и распространённостью воспалительного процесса;
- наличием дополнительных свищевых ходов, затеков и полостей;
- выраженностью и распространённостью рубцового процесса, в первую очередь в области внутреннего отверстия свища;
- состоянием ЗАПК и функции держания.
Целью хирургического вмешательства является ликвидация свищевого хода с максимальным сохранением структур ЗАПК и функции держания. Выбор оптимального метода хирургического лечения определяется соотношением оценки риска развития рецидива СЗП и риска развития анальной инконтиненции. Максимально щадящее отношение к структурным элементам ЗАПК во многом определяет функциональный результат лечения.
При решении вопроса о целесообразности применения того или иного метода необходимо провести разъяснения пациенту о преимуществах и недостатках каждого из вариантов вмешательств для выбора наиболее приемлемого в конкретной клинической ситуации.
Противопоказания к хирургическому лечению: тяжелые сопутствующие заболевания в стадии декомпенсации. Если удается добиться улучшения состояния после проведенного лечения, то операция становится возможной.
Сроки выполнения радикальной операции определяются, в основном, клиническим течением болезни. Большинство пациентов оперируют в плановом порядке. При обострении хронического парапроктита с формированием абсцесса, операцию проводят, как и при остром парапроктите в неотложном порядке. Нецелесообразно откладывать радикальное лечение надолго, потому что обострение может повториться, воспалительный процесс с последующим рубцеванием стенки анального канала, сфинктера и параректальной клетчатки может привести к деформации анального канала и промежности, развитию недостаточности анального сфинктера.
3,2 Лечение интрасфинктерных и транссфинктерных свищей, захватывающих менее 30% наружного сфинктера.
Лечение методом рассечения или иссечения свища в просвет кишки.• Рекомендуется пациентам с интрасфинктерными и транссфинктерными свищами, захватывающими дистальную 1/3 наружного сфинктера, хирургическая методика рассечения или иссечения свища в просвет кишки для достижения излечения и улучшения качества жизни пациента [14, 27-31].
Уровень убедительности рекомендаций. А (уровень достоверности доказательств - 2).
Комментарий. Операцию иссечения СЗП в просвет кишки выполняют следующим образом: свищевой ход рассекают или иссекают в просвет кишки на зонде. Рану не ушивают или производят подшивание краев раны ко дну.
При сравнении метода иссечения СЗП в просвет кишки и рассечения свища в просвет кишки, было установлено, что после иссечения свища отмечается более длительное заживление раны, послеоперационные раны имеют большие размеры, выше риск развития недостаточности анального сфинктера. Частота рецидивов заболевания при сравнении двух данных подходов статистически значимо не различается [32, 33].
На сегодняшний день нет однозначного ответа на вопрос, какой объем мышечных структур может быть рассечен при операции по поводу СЗП. Эффективность операции рассечения или иссечения свища в просвет кишки достаточно высока и колеблется от 92 до 97 % [27, 28].
Нарушение функции держания после иссечения свища в просвет кишки составляют 0-45 % [26-41]. Широкий разброс данных связан с различными подходами к оценке нарушений функции ЗАПК и сроками наблюдения за пациентами в послеоперационном периоде. Факторами риска развития анальной инконтиненции после рассечения или иссечения свища в просвет кишки являются: наличие признаков недостаточности анального сфинктера до операции, рецидивный характер свища, женский пол, свищи, захватывающие более 30% наружного сфинктера, а также ранее перенесшие операции по поводу заболеваний заднего прохода, прямой кишки, таза и промежности [27, 29-31].
• Подшивание краев раны ко дну после ликвидации свища может быть рекомендовано для уменьшения риска развития кровотечения в послеоперационном периоде и улучшения процесса заживления раны (средний срок заживления 4 недели) [42, 43].
Уровень убедительности рекомендаций. А (уровень достоверности доказательств - 2).
Лечение методом введения в свищевой ход фибринового клея.
• Пациентам с интрасфинктерными и транссфинктерными свищами, захватывающих дистальную 1/3 наружного сфинктера, при отсутствии затеков и выраженных рубцовых изменений в области внутреннего отверстия, а также высоким риском развития анальной инконтиненции или уже имеющейся анальной инконтиненцией рекомендуется метод введения в свищевой ход фибринового клея [44-53].
Уровень убедительности рекомендаций. А (уровень достоверности доказательств - 2).
Комментарий. Метод осуществляют следующим образом. Под обезболиванием после обработки свищевого хода с целью удаления эпителиальных элементов и некротических тканей (с помощью щеточки, ложки Фолькмана, электрокоагуляции ) в наружное отверстие свища вводят тонкую гибкую трубку до внутреннего свищевого отверстия под контролем пальца. С помощью шприца, производят введение фибринового клея. Не прекращая введения клея, постепенно извлекают трубку из наружного свищевого отверстия, таким образом заполняя весь свищевой ход.
Эффективность описанного метода составляет 40-78% в данной категории пациентов [44-53]. Его эффективность значительно ниже, чем операции иссечения свища в просвет кишки, однако данный метод имеет ряд преимуществ: простая техника вмешательства, его малотравматичный характер, отсутствие повреждающего воздействия на ЗАПК, сроки послеоперационной реабилитации существенно короче. При развитии рецидива свища метод введения в свищевой ход фибринового клея не исключает его повторного применения и не создает неблагоприятных условий для осуществления более эффективных методов.
Лечение свищей с применением биопластического материала (биопластические герметизирующие тампоны, биопластические импланты).
• Рекомендуется пациентам с транссфинктерными свищами, захватывающими дистальную 1/3 наружного сфинктера. Методика с применением рассасывающегося коллагенового материала (биопластические герметизирующие тампоны, биопластические импланты), после удаления с помощью щеточки или ложечки Фолькмана некротических тканей, с целью закрытия внутреннего свищевого отверстия и пломбировки ложа свищевого хода [54-60].
Уровень убедительности рекомендаций. С (уровень достоверности доказательств - 3).
Комментарий. Метод рекомендуется применять пациентам с длиной свищевого хода не менее 3 с отсутствием затеков. В ходе подготовки к осуществлению метода лечения свищей с применением биопластических герметизирующих тампонов желательно дренировать свищевой ход с помощью проведения дренирующего сетона на срок 4-8 недель.
Применяются герметизирующие тампоны из биопластического материала и биопластические коллагеновые импланты (подслизистая основа кишки свиньи, межклеточный матрикс и коллаген из дермы свиньи, биологически-совместимые искусственные материалы - полигликолевая кислота). Биологический или биосовместимый материал, из которого изготовлен имплант служит основой для облитерации свищевого хода [54, 55].
Метод выполняют следующим образом: после обработки свищевого хода с помощью щеточки или ложки Фолькмана с целью максимального удаления некротических тканей и грануляций, в свищевой ход вводится герметизирующий биопластический материал в виде конусовидного тампона, полностью заполняющий свищ. Дистальный конец тампона выводится через наружное свищевое отверстие. Расширенную часть герметизирующего тампона, расположенного в области внутреннего свищевого отверстия, для более надежной фиксации подшивают несколькими швами к краям слизистой оболочки со стороны просвета анального канала и прямой кишки. По литературным данным методика эффективна в 70-100% случаев у пациентов со свищами, захватывающими менее 1/3 наружного сфинктера [54-57].
Метод лечения СЗП с помощью лазерной термооблитерации свищевого хода.
• Рекомендуется пациентам с интрасфинктерными и транссфинктерными СЗП метод лечения с помощью лазерной термооблитерации свищевого хода [61-63].
Уровень убедительности рекомендаций. С (уровень достоверности доказательств - 4).Комментарий. Операцию лазерной термооблитерации выполняют при сформированном свищевом ходе или после установки в свищевой ход на срок 6-8 недель дренирующей латексной лигатуры, что способствует формированию «прямолинейного» свища с фиброзными стенками и значительно уменьшает риск сохранения полостей и затеков по ходу свища.
Метод заключается в лазерной коагуляции стенок свищевого хода диодным лазером (длина волны 1470-1560 Нм), с использованием световода, обеспечивающего радиальное излучение. Операцию проводят под обезболиванием. В наружное отверстие по проводнику вводят световод диодного лазера, который выводят через внутреннее свищевое отверстие. При постепенном извлечении световода со скоростью 1 мм/с производят лазерную коагуляцию стенок свища, что приводит к его облитерации [61-63].
С целью обеспечения адекватного дренирования дистальную часть свищевого хода в области наружного свищевого отверстия иссекают. Внутреннее свищевое отверстие после лазерной обработки свищевого хода ушивают отдельными узловыми швами.
Положительной характеристикой данной операции является отсутствие повреждающего воздействия на ЗАПК, что является профилактикой развития анальной инконтиненции. По данным исследований, оценивающих эффективность данной операции, заживление свища происходит в среднем в 64,5% (40,0-88,2%) случаев при среднем периоде наблюдения за пациентами от 15 до 20 месяцев [61-63].
3,3 Лечение транссфинктерных свищей, захватывающих более 30% сфинктера и экстрасфинктерных свищей.
Иссечение свища с низведением лоскута стенки прямой кишки.• Рекомендуется пациентам с транссфинктерными свищами, захватывающих более 1/3 наружного сфинктера и экстрасфинктерными свищами иссечение свища с низведением лоскута стенки прямой кишки для закрытия внутреннего свищевого отверстия [27, 64-73].
Уровень убедительности рекомендаций. В (уровень достоверности доказательств - 2).
Комментарий. Операцию выполняют под обезболиванием. Иссекают свищевой ход от наружного отверстия до стенки прямой кишки. Следующим этапом, отступя 0,5-1 см дистальнее внутреннего свищевого отверстия, выполняют полулунный разрез стенки анального канала, занимающий около 1/4-1/3 окружности. Острым путем в проксимальном направлении мобилизуют лоскут на протяжении 2-4 см В зависимости от варианта методики лоскут может быть слизисто-подслизистым, слизисто-мышечным или полностенным. Под лоскутом внутреннее свищевое отверстие ушивают 1-2 отдельными швами. Затем лоскут низводят в дистальном направлении и фиксируют его край к подлежащим мышечным структурам стенки анального канала и/или перианальной кожи без натяжения.
Операция низведения лоскута прямой кишки является сфинктеросберегающей, так как не приводит к повреждению наружного сфинктера. Эффективность метода составляет 44-87% [64-70].
Методика не показана при выраженных и протяженных рубцово-воспалительных изменениях в стенке анального канала и нижнеампулярного отдела прямой кишки, препятствующих мобилизации и низведению лоскута [27, 65, 67-70].
Несмотря на тот факт, что данный метод не сопровождается повреждением внутреннего сфинктера, в 7-38% случаев после операции отмечаются явления незначительной или умеренно выраженной анальной инконтиненции, что подтверждается данными аноректальной манометрии в послеоперационном периоде (снижение давления в анальном канале в покое и при волевом сокращении) [67, 71-73]. Это объясняется тем, что в состав низводимого лоскута, как правило, входят элементы сфинктера, а сам лоскут приводит к смещению слизистой оболочки прямой кишки, вызывая мокнутие и выделение слизи.
Для повышения эффективности методики при наличии выраженных затеков, следует проводить данную операцию вторым этапом после установки дренирующей латексной лигатуры на период стихания воспаления.
Метод лечения свищей с помощью перевязки и пересечения свищевого хода в межсфинктерном пространстве ( LIFT).
• Рекомендуется пациентам преимущественно при транссфинктерных и, в меньшей степени, при экстрасфинктерных свищах метод хирургического лечения с помощью перевязки и пересечения свищевого хода в межсфинктерном пространстве для устранения свищевого хода [74-77].
Уровень убедительности рекомендаций. А (уровень достоверности доказательств - 2).
Комментарий. Операцию выполняют при сформированном свищевом ходе или после предварительной установки в свищевой ход на срок 6-8 недель дренирующей латексной лигатуры, что способствует формированию «прямолинейного» свища с фиброзными стенками и значительно уменьшает риск сохранения полостей затеков по ходу свища. Принципиально метод заключается в перевязке и пересечении части свищевого хода, проходящей в межсфинктерном пространстве [74-77]. Свищевой ход иссекают от наружного отверстия до наружного сфинктера или производят расширение наружного свищевого отверстия. Затем в проекции свищевого хода выполняют разрез в межсфинктерной борозде, в межсфинктерном пространстве идентифицируют свищевой ход, мобилизуют его со всех сторон. На границах наружного и внутреннего сфинктера свищевой ход пересекают и перевязывают, а рану в межсфинктерной борозде ушивают.
Операция LIFT имеет множество модификаций, принципиально не меняющих суть метода. Заживление ран происходит при выполнении данного метода быстрее, чем при операции низведения лоскута стенки прямой кишки. Заживление свища происходит в среднем в 70%, при этом явления недержания развиваются достоверно реже, чем при операции низведения лоскута прямой кишки при сопоставимой частоте развития рецидива [74-77].
Иссечение свища с ушиванием сфинктера.
• Пациентам с высокими рецидивными транссфинктерными и экстрасфинктерными свищами при наличии рубцового замещения сфинктера в зоне расположения свища, а также при невозможности эффективного и безопасного выполнения других сфинктеросберегающих операций рекомендуется иссечение свища с ушиванием сфинктера для устранения свищевого хода [78-81].
Уровень убедительности рекомендаций. В (уровень достоверности доказательств - 3).
Комментарий. Данный метод заключается в иссечении свищевого хода с пересечением порции сфинктера, через которую идет свищ и последующим ушиванием концов пересеченной части жома. Эффективность метода составляет в среднем 54-97% и сопоставима с эффективностью других хирургических методов [78-81].
Нарушение функции анального сфинктера после операции наблюдается в 4-32%. Расхождение краев ушитого сфинктера или нагноение раны значительно увеличивает риск развития анальной инконтиненции в особенности у пациентов с экстрасфинктерными свищами [79].
Иссечение свища с проведением лигатуры.
• Пациентам с рецидивными транссфинктерными свищами, захватывающих более 1/3 наружного сфинктера и экстрасфинктерными свищами заднего прохода при наличии рубцового замещения сфинктера в зоне расположения свища, а также при невозможности эффективного и безопасного выполнения других сфинктеросберегающих операций иссечение свища с ушиванием сфинктера для устранения свищевого хода, а также при отказе пациента от повторного выполнения сложных пластических вмешательств рекомендуется иссечение свища с проведением лигатуры для закрытия внутреннего свищевого отверстия [50, 82-91].
Уровень убедительности рекомендаций. В (уровень достоверности доказательств - 2).
Комментарии. Метод использования рассекающей лигатуры при лечении СЗП не относится к сфинктеросберегающим и часто выполняется при неэффективности других методов.
Лигатуру (шелковую или латексную) проводят через свищевой ход с целью постепенного рассечения свищевого хода и волокон сфинктера путем периодического затягивания лигатуры. Медленное рассечение мышечных волокон сфинктера лигатурой препятствует их расхождению. Ухудшение функции держания при использовании лигатурного метода достигает 54% [82-87]. Литературные данные при этом существенно различаются [50, 88-91].
Лечение свищей путем введения в свищевой ход фибринового клея и других биопластических материалов.
Пациентам с транссфинктерными свищами, захватывающих более 1/3 наружного сфинктера и экстрасфинктерными свищами возможно применение данного метода по причине безопасности и низкой частоте осложнений, однако эффективность его не превышает 50%, а данные специальной литературы основаны на применении метода в гетерогенных малочисленных группах [92].
Уровень убедительности рекомендаций. С (уровень достоверности доказательств - 4).
3,4 Лечение свищей заднего прохода, связанных с болезнью Крона (БК).
• Рекомендуется начинать лечение свищей заднего прохода на фоне БК с консервативных мероприятий на фоне терапии основного заболевания у пациентов. С целью улучшения состояния свищевого хода используются иммунодепрессанты [93-96].Уровень убедительности рекомендаций. В (уровень достоверности доказательств - 3).
Комментарий. Перианальные поражения при БК встречаются в 40-80% случаев. Выбор метода лечения свища заднего прохода при болезни Крона является сложной задачей и требует индивидуального подхода. Как правило, лечение свищей на фоне БК начинается с консервативных мероприятий на фоне терапии основного заболевания. В 90% случаев применение антибактериальных препаратов, метронидазола** способствует уменьшению выраженности перианальных поражений [97, 98]. Применение инфликсимаба** и других препаратов моноклональных антител к фактору некроза опухоли, способствует заживлению свищей заднего прохода, в среднем, в 46% случаев [95]. Несмотря на хорошие результаты консервативной терапии БК с перианальными поражениями, выбор метода лечения у каждого пациента является индивидуальным, зависит от тяжести основного заболевания, выраженности симптоматики. Методом выбора лечения у пациентов с выраженной активностью воспалительного процесса в перианальной области с формированием свищей на фоне обострения БК, является формирование постоянной стомы или операция, сопровождающаяся удалением пораженной прямой кишки [96-100].
• Не рекомендуется хирургическая коррекция свища заднего прохода без каких-либо клинических проявлений у пациентов с БК [100, 101].
Уровень убедительности рекомендаций. С (уровень достоверности доказательств - 5).
Комментарий. Свищи заднего прохода на фоне БК могут быть «вторичными», связанными с основным заболеванием. Язвенные дефекты с подрытыми краями, локализующиеся в анальном канале и прямой кишке, часто имитируют свищи и могут определяться в виде свищевых ходов, затеков при инструментальных методах обследования. Также свищи могут быть связаны и с воспалительным процессом в криптогландулярной зоне. Независимо от этиологии развития свища, при отсутствии каких-либо его проявлений, бессимптомном течении, отсутствии воспалительного процесса, хирургическое лечение не требуется [100,101].
В таких случаях свищ на протяжении длительного срока может не давать каких-либо симптомов, однако пациенты должны быть предупреждены о возможности выполнения операции по поводу свища в дальнейшем.
Учитывая хроническое течение заболевания и высокую вероятность рецидива, во время операции требуется максимальное сохранение мышечных структур запирательного аппарата прямой кишки. В связи с этим, перед выполнением операции должны быть учтены ряд факторов: активность воспалительного процесса в прямой кишке, функциональное состояние ЗАПК, наличие ранее перенесенных операций на прямой кишке и промежности, частота и консистенция стула.
При тщательном отборе пациентов хорошие результаты при данной операции отмечаются в 56-100% случаев. Частота развития умеренно выраженного нарушения функции держания кишечного содержимого составляет 6-12% [63, 72, 102, 103].
• В случае лечения свища заднего прохода у пациентов с транссфинктерными свищами, захватывающими более 1/3 наружного сфинктера и экстрасфинктерными свищами заднего прохода на фоне БК, первым этапом рекомендуется установка дренирующей лигатуры на срок 6 и более недель с целью адекватного дренирования гнойной полости и предотвращения закрытия наружного свищевого отверстия [97-99].
Уровень убедительности рекомендаций. С (уровень достоверности доказательств -4).
Комментарий. Использование дренирующей лигатуры на протяжении длительного срока может значительно улучшить результаты хирургической коррекции высоких транссфинктерных и экстрасфинктерных свищей. Однако, несмотря на проведение данного вмешательства, в среднем у 20-40% пациентов периодически происходит обострение воспалительного процесса в параректальной клетчатке [82, 104, 105].
• Вторым этапом таким пациентам рекомендуется операция ликвидации свища, причём в каждом конкретном случае этот вопрос решается индивидуально. Допустимо применение любого из вышеописанных методов [44, 68, 106].
Уровень убедительности рекомендаций. С (уровень достоверности доказательств - 4).
Комментарий. Анализ непосредственных результатов показал эффективность данной операции у 64-75% пациентов [44, 68, 106]. Частота рецидивов свища несколько возрастает при увеличении периода наблюдения за оперированным пациентами [99, 107].
3,5 Профилактика инфекционных раневых осложнений после выполнения пластических вмешательств (иссечение свища с ушиванием сфинктера, низведением лоскута стенки прямой кишки) и при наличии выраженного воспалительного процесса в параректальных тканях и стенке прямой кишки,.
• Рекомендуется профилактика инфекционных раневых осложнений после выполнения пластических вмешательств (иссечение свища с ушиванием сфинктера, низведением лоскута стенки прямой кишки) и при наличии выраженного воспалительного процесса в параректальных тканях и стенке прямой кишки Также применяются антибактериальные и противомикробные препараты, действующих на флору кишечника и в мягких тканях (бета-лактамные антибиотики - пенициллины, цефалоспорины, фторхинолоны, антипротозойные препараты [108].Уровень убедительности рекомендаций. с (уровень достоверности доказательств - 4).
Комментарий. Препараты можно вводить парентерально или перорально. Определенных данных о необходимости применения антибактериальных препаратов в послеоперационном периоде до настоящего времени нет.
3,6 Обезболивание.
При возникновении острого или хронического болевого синдрома пациенту проводят обезболивание согласно существующим протоколам обезболивания ( см соответствующие клинические рекомендации по хронической боли, клинические рекомендации по анестезиологии), в том числе, по показаниям с применением наркотических и психотропных лекарственных препаратов.|
|
Реабилитация и амбулаторное лечение
• Рекомендуется в послеоперационном периоде всем пациентам, перенесшим операцию по поводу свища заднего прохода, регулярное выполнение перевязок, заключающихся в очищении ран растворами антисептиков и нанесении на раневую поверхность мазевых основ на водорастворимой основе (Диоксометилтетрагидропиримидин + Хлорамфеникол) для уменьшения рисков воспалительных осложнений [2].
Уровень убедительности рекомендаций. С (уровень достоверности доказательств - 5).
• В послеоперационном периоде рекомендуется не рутинное назначение антибактериальной терапии [108].
Уровень убедительности рекомендаций. В (уровень достоверности доказательств - 3).
Комментарии. Проведение антибактериальной терапии целесообразно после пластических операций по поводу свища заднего прохода (низведение лоскута стенки прямой кишки, иссечение свища с ушиванием сфинктера), а также при наличии выраженного воспалительного процесса в параректальных тканях и стенке прямой кишки с целью ускорения его купирования.
• Рекомендуется после выписки из стационара, на период заживления раны, всем пациентам находиться под наблюдением врача-колопроктолога или врача-хирурга по месту жительства для профилактики рецидивов и осложнений [2].
Уровень убедительности рекомендаций. С (уровень достоверности доказательств - 5).
• Рекомендуется пациентам после пластических операций по поводу свища заднего прохода для профилактики рецидивов регуляция стула диетой и слабительными средствами [2].
Уровень убедительности рекомендаций -С (уровень достоверности доказательств - 5).
Уровень убедительности рекомендаций. С (уровень достоверности доказательств - 5).
• В послеоперационном периоде рекомендуется не рутинное назначение антибактериальной терапии [108].
Уровень убедительности рекомендаций. В (уровень достоверности доказательств - 3).
Комментарии. Проведение антибактериальной терапии целесообразно после пластических операций по поводу свища заднего прохода (низведение лоскута стенки прямой кишки, иссечение свища с ушиванием сфинктера), а также при наличии выраженного воспалительного процесса в параректальных тканях и стенке прямой кишки с целью ускорения его купирования.
• Рекомендуется после выписки из стационара, на период заживления раны, всем пациентам находиться под наблюдением врача-колопроктолога или врача-хирурга по месту жительства для профилактики рецидивов и осложнений [2].
Уровень убедительности рекомендаций. С (уровень достоверности доказательств - 5).
• Рекомендуется пациентам после пластических операций по поводу свища заднего прохода для профилактики рецидивов регуляция стула диетой и слабительными средствами [2].
Уровень убедительности рекомендаций -С (уровень достоверности доказательств - 5).
Профилактика
• Всем пациентам рекомендуется своевременное хирургическое лечение острого парапроктита с адекватным дренированием гнойной полости и последующим контролем заживления раны для предотвращения образования свищей [8, 13].
• Уровень убедительности рекомендаций. С (уровень достоверности доказательств - 5).
Комментарий. Пациенты после вскрытия острого парапроктита должны иметь ясное представление о возможности неполного заживления раны с последующим формированием свища или возможности рецидивирования гнойно-воспалительного процесса в параректальных тканях и представлять всю важность своевременного извещения врача о появлении любых клинических проявлений [8]. Возможной мерой профилактики развития заболевания является своевременное лечение сопутствующих заболеваний аноректальной зоны (геморрой, анальная трещина, криптит).
• Для профилактики развития свищей заднего прохода после вскрытия и дренирования острого парапроктита рекомендованы 7-10 дневные курсы антибиотикотерапии препаратами ципрофлоксацина и метронидазола [109].
Уровень убедительности рекомендаций. В (уровень достоверности доказательств - 2).
Комментарий. Профилактика острого парапроктита также заключатся в общеукрепляющих организм мероприятиях, направленных на устранение этиологических факторов возникновения заболевания. Всем пациентам рекомендованы:
• поддержка и укрепление местного и гуморального иммунитета;
• лечение и санация очагов острой и хронической инфекции;
• коррекция хронических заболеваний - сахарного диабета, атеросклероза;
• коррекция функциональных нарушений кишечника;
• своевременное лечение сопутствующих проктологических заболеваний.
• Рекомендуется после окончания лечения и заживления ран динамическое наблюдение пациента врачом-колопроктологом в течение первого года не реже 1 раза в 6 месяцев для своевременного выявления рецидива [2].
Уровень убедительности рекомендаций. С (уровень достоверности доказательств - 5).
• оказание помощи пациентам осуществляется врачами-колопроктологами;
• перед направлением пациента на плановую госпитализацию должно быть проведено обследование в полном объеме для исключения факторов риска и сопутствующих заболеваний;
• госпитализация пациентов осуществляется в плановом порядке.
Показания для плановой госпитализации:
• в случае необходимости коррекции лечения или невозможности проведения лечебных мероприятий в амбулаторно-поликлинических условиях;
• невозможность проведения диагностических или лечебных манипуляций в амбулаторно-поликлинических условиях;
• неэффективность амбулаторного лечения у часто и длительно болеющих пациентов;
• необходимость проведения хирургического лечения.
Показания к выписке пациента:
• неосложненное течение раннего послеоперационного периода;
• отсутствие гнойно-септических осложнений течения раневого процесса;
• контролируемый болевой синдром с возможностью его купирования пероральными препаратами в амбулаторных условиях;
• возможность самостоятельной полноценной дефекации;
• возможность пациента (для пациентов с ограниченными возможностями) самостоятельно продолжить курс консервативной терапии в амбулаторных условиях под наблюдением регионарного врача-колопроктолога.
• Уровень убедительности рекомендаций. С (уровень достоверности доказательств - 5).
Комментарий. Пациенты после вскрытия острого парапроктита должны иметь ясное представление о возможности неполного заживления раны с последующим формированием свища или возможности рецидивирования гнойно-воспалительного процесса в параректальных тканях и представлять всю важность своевременного извещения врача о появлении любых клинических проявлений [8]. Возможной мерой профилактики развития заболевания является своевременное лечение сопутствующих заболеваний аноректальной зоны (геморрой, анальная трещина, криптит).
• Для профилактики развития свищей заднего прохода после вскрытия и дренирования острого парапроктита рекомендованы 7-10 дневные курсы антибиотикотерапии препаратами ципрофлоксацина и метронидазола [109].
Уровень убедительности рекомендаций. В (уровень достоверности доказательств - 2).
Комментарий. Профилактика острого парапроктита также заключатся в общеукрепляющих организм мероприятиях, направленных на устранение этиологических факторов возникновения заболевания. Всем пациентам рекомендованы:
• поддержка и укрепление местного и гуморального иммунитета;
• лечение и санация очагов острой и хронической инфекции;
• коррекция хронических заболеваний - сахарного диабета, атеросклероза;
• коррекция функциональных нарушений кишечника;
• своевременное лечение сопутствующих проктологических заболеваний.
• Рекомендуется после окончания лечения и заживления ран динамическое наблюдение пациента врачом-колопроктологом в течение первого года не реже 1 раза в 6 месяцев для своевременного выявления рецидива [2].
Уровень убедительности рекомендаций. С (уровень достоверности доказательств - 5).
Организация оказания медицинской помощи.
• лечение пациентов со свищами заднего прохода может проводиться как амбулаторно, так и в условиях стационара колопроктологического профиля;• оказание помощи пациентам осуществляется врачами-колопроктологами;
• перед направлением пациента на плановую госпитализацию должно быть проведено обследование в полном объеме для исключения факторов риска и сопутствующих заболеваний;
• госпитализация пациентов осуществляется в плановом порядке.
Показания для плановой госпитализации:
• в случае необходимости коррекции лечения или невозможности проведения лечебных мероприятий в амбулаторно-поликлинических условиях;
• невозможность проведения диагностических или лечебных манипуляций в амбулаторно-поликлинических условиях;
• неэффективность амбулаторного лечения у часто и длительно болеющих пациентов;
• необходимость проведения хирургического лечения.
Показания к выписке пациента:
• неосложненное течение раннего послеоперационного периода;
• отсутствие гнойно-септических осложнений течения раневого процесса;
• контролируемый болевой синдром с возможностью его купирования пероральными препаратами в амбулаторных условиях;
• возможность самостоятельной полноценной дефекации;
• возможность пациента (для пациентов с ограниченными возможностями) самостоятельно продолжить курс консервативной терапии в амбулаторных условиях под наблюдением регионарного врача-колопроктолога.
Дополнительно
Отрицательно влияют на исход лечения:
• Присоединение инфекционных осложнений.
• Нарушение стула (диарея или запор).
• Несоблюдение пациентом ограничений двигательной активности и физических нагрузок.
• Присоединение инфекционных осложнений.
• Нарушение стула (диарея или запор).
• Несоблюдение пациентом ограничений двигательной активности и физических нагрузок.
Критерии оценки качества медицинской помощи
| № | Критерии качества | Уровень достоверности доказательств | Уровень убедительности рекомендаций |
| 1 | Проведен сбор жалоб и анамнеза пациента | 1 | А |
| 2 | Проведен физикальный осмотр пациента | 1 | А |
| 3 | Проведено инструментальное обследование | 1 | А |
| 4 | Проведено хирургическое лечение (с учетом конкретной клинической ситуации, локализации свищевого хода и внутреннего свищевого отверстия, наличия воспалительных изменений в параректальных клетчаточных пространствах, состояния ЗАПК) | 2 | в |
| 5 | Назначены антибактериальные препараты в послеоперационном периоде по показаниям | 2 | в |
| 6 | Проведены перевязки в послеоперационном периоде не менее 1 раза в день до выписки из стационара | 2 | в |
| 7 | Отсутствие гнойно-воспалительных осложнений послеоперационных ран | 2 | в |
| 8 | Отсутствие грубого нарушения функции держания кишечного содержимого в результате оперативного вмешательства | 1 | А |
| 9 | Купирование болевого синдрома в послеоперационном периоде по медицинским показаниям | 2 | в |
|
|
Список литературы
• Philip H. Gordon, Santhat Nivatvongs. Principles and Practice of Surgery for the сolon, Rectum, and Anus. Second Edition. Quality Medical Publishing, Inc. St. Louis, Missouri. 1999; 10:242-286.
• Шелыгин Ю.А., Благодарный. Л.А. Справочник по колопроктологии. Геотар-Медиа, 2014.
• Jeremy Sugrue, Johan Nordenstam. Pathogenesis and persistence of cryptoglandular anal fistula: a systematic review. Tech сoloproctol 2017.
• Herold A. et al. сoloproctology, European Manual of Medicine. Springer, 2017; p 59-74.
• Дульцев Ю.В., Саламов Н. Парапроктит. М., 1981.
• Zanotti с., Martinez-Puente с., Pascual I., et al. An assessment of the incidence of fistula-in-ano in four countries of the European Union. Int J сolorectal Dis. 2007; 22:1459-1462.
• Richard L., Herand Abcarian. Anal Fistula: Principles and Management Springer, 2014; p 1-199.
• Sainio P. Fistula-in-ano in a defined population. Incidence and epidemiological aspects. Ann сhirGynaecol. 1984; 73:219-224.
• Nelson J., вillingham R. Pilonidal disease and hidradenitis suppurativa. In: Wolff в.G., Fleshman J.W., вeck D.E., Pemberton J.H., Wexner S.D., eds. The ASCRS Textbook of сolon and Rectal Surgery. New York: Springer; 2007:228 -235.
• Gaertner W.B., Hagerman G.F., Finne с.O., et al. Fistula-associated anal adenocarcinoma: good results with aggressive therapy. Dis сolon Rectum. 2008; 51:1061-1067.
• Schwartz D.A., Wiersema M.J., Dudiak K.M., et al. A comparison of endoscopic ultrasound, magnetic resonance imaging, and exam under anesthesia for evaluation of сrohn’s perianal fistulas. Gastroenterology. 2001; 121:1064-1072.
• Gonzalez-Ruiz с., Kaiser p.m, Vukasin P., et al. Intraoperative physical diagnosis in the management of anal fistula. Am Surg. 2006; 72:11-15.
• Steele, S., Hull, T.L. еt al. The ASCRS Manual of сolon and Rectal Surgery. Springer, 2019; p 189-201.
• E. J. de Groof, V. N. сabral, с. J. вuskens Systematic review of evidence and consensus on perianal fistula: an analysis of national and international guidelines. сolorectal Disease, 2016; 18:119-134.
• вussen D., Sailer M., Wening S., Fuchs K.H., Thiede A. Wertigkeit der analen Endosonographie in der Diagnostik anorektaler Fisteln. ZentralblChir. 2004; 129:404-407.
• Lengyel A.J., Hurst N.G., Williams J.G. Pre-operative assessment of anal fistulas using endoanal ultrasound. сolorectal Dis. 2002; 4:436-440.
• Maor Y., сhowers Y., Koller M., et al. Endosonographic evaluation of perianal fistulas and abscesses: comparison of two instruments and assessment of the role of hydrogen peroxide injection. J сlin Ultrasound. 2005; 33:226-232.
• Ratto с, Grillo E, Parello A, сostamagna G, Doglietto G.B. Endoanal ultrasound-guided surgery for anal fistula. Endoscopy. 2005; 37:722-728.
• Toyonaga T., Matsushima M., Tanaka Y., et al. Microbiological analysis and endoanal ultrasonography for diagnosis of anal fistula in acute anorectal sepsis. Int J сolorectal Dis. 2007; 22:209-213.
• Toyonaga T., Tanaka Y., Song J.F., et al. сomparison of accuracy of physical examination and endoanal ultrasonography for preoperative assessment in patients with acute and chronic anal fistula. Tech сoloproctol. 2008; 12:217-223.
• вuchanan G.N., Halligan S., вartram с.I., Williams A.B., Tarroni D., сohen с.R. сlinical examination, endosonography, and MR imaging in preoperative assessment of fistula in ano: comparison with outcome-based reference standard. Radiology. 2004; 233:674-681.
• Sahni V.A., Ahmad R., вurling D. Which method is best for imaging of perianal fistula. Abdom Imaging. 2008; 33:26-30.
• Schaefer O., Lohrmann с., Langer M. Assessment of anal fistulas with high-resolution subtraction MR-fistulography: comparison with surgical findings. J MagnResonImaging. 2004; 19:91-98.
• Guillaumin E., Jeffrey R.B. Jr., Shea W.J., Asling с.W., Goldberg H.I. Perirectal inflammatory disease: сT findings. Radiology. 1986; 161:153-157.
• Yousem D.M., Fishman E.K., Jones в. сrohn disease: perianal and perirectal findings at сT. Radiology. 1988; 167:331-334.
• вokhari S., Lindsey I. Incontinence following sphincter division for treatment of anal fistula. сolorectal Dis. 2010; 12:135-139.
• Garcia-Aguilar J., вelmonte с., Wong W.D., Goldberg S.M., Madoff R.D. Anal fistula surgery: factors associated with recurrence and incontinence. Dis сolon Rectum. 1996; 39:723-729.
• Davies M., Harris D., Lohana P. et al. The surgical management of fistula-in-ano in a specialist colorectal unit. Int J сolorectal Dis. 2008; 23:833-838.
• Jorda n J., Roig J.V., García-Armengol J., García-Granero E., Solana A., Lledo S. Risk factors for recurrence and incontinence after anal fistula surgery. сolorectal Dis. 2010; 12(3):254-260.
• van Koperen P.J., Wind J., вemelman W.A., вakx R., Reitsma J.B., Slors J.F. Long-term functional outcome and risk factors for recurrence after surgical treatment for low and high perianal fistulas of cryptoglandular origin. Dis сolon Rectum. 2008; 51:1475-1481.
• vanTets W.F., Kuijpers H.C. сontinence disorders after anal fistulotomy. Dis сolon Rectum. 1994; 37:1194 -1197.
• Kronborg O. To lay open or excise a fistula-in-ano: a randomized trial. вr J Surg. 1985; 72:970.
• вelmonte Montes с, Ruiz Galindo GH, Montes Villalobos JL, DecaniniTera n с. Fistulotomy vs fistulectomy: ultrasonographic evaluation of lesion of the anal sphincter function. Rev Gastroenterol Mex. 1999; 64:167-170.
• Stelzner F., Dietl H., Hahne H. ErgebnissebeiRadikaloperationen von 143 Analfisteln (Kritik der einzeitigenSphinktertrennungbeiein- odermehrzeitigenFisteloperationen) сhirurg. 1956; 27:158-162.
• van der Hagen S.J., вaeten с.G., Soeters P.B., van Gemert W.G. Long-term outcome following mucosal advancement flap for high perianal fistulas and fistulotomy for low perianal fistulas: recurrent perianal fistulas: failure of treatment or recurrent patient disease. Int J сolorectalDis. 2006; 21:784-790.
• Parks A.G., Stitz R.W. The treatment of high fistula-in-ano. Dis сolon Rectum. 1976; 19:487-499.
• vanTets W.F., Kuijpers H.C. сontinence disorders after anal fistulotomy. Dis сolon Rectum. 1994; 37:1194-1197.
• Mylonakis E., Katsios с., Godevenos D., Nousias в., Kappas p.m Quality of life of patients after surgical treatment of anal fistula; the role of anal manometry. сolorectal Dis. 2001; 3:417-421.
• Westerterp M., Volkers N.A., Poolman R.W., van Tets W.F. Anal fistulotomy between Skylla and сharybdis. сolorectal Dis. 2003; 5:549-551.
• van Koperen P.J., Wind J., вemelman W.A., et al. Long-term functional outcome and risk factors for recurrence after surgical treatment for low and high perianal fistulas of cryptoglandular origin. Dis сolon Rectum. 2008; 51:1475-1481.
• Toyonaga T., Matsushima M., Tanaka Y., et al. Non-sphincter splitting fistulectomyvs conventional fistulotomy for high trans-sphincteric fistula-in-ano: a prospective functional and manometric study. Int J сolorectal Dis. 2007; 22:1097-1102.
• Pescatori M., Ayabaca S.M., сafaro D., Iannello A., Magrini S. Marsupialization of fistulotomy and fistulectomy wounds improves healing and decreases bleeding: a randomized controlled trial. сolorectal Dis. 2006; 8:11-14.
• Ho Y.H., Tan M., Leong A.F., Seow-Choen F. Marsupialization of fistulotomy wounds improves healing: a randomized controlled trial. вr J Surg. 1998; 85:105-107.
• Adams T., Yang J., Kondylis L.A., Kondylis P.D. Long-term outlook after successful fibrin glue ablation of cryptoglandulartranssphincteric fistula-in-ano. Dis сolon Rectum. 2008; 51:1488-1490.
• Sentovich S.M. Fibrin glue for anal fistulas: long-term results. Dis сolon Rectum. 2003; 46:498-450.
• Swinscoe M.T., Ventakasubramaniam A.K., Jayne D.G. Fibrin glue for fistula-in-ano: the evidence reviewed. Tech сoloproctol. 2005; 9:89-94.
• Yeung J.M., Simpson J.A., Tang S.W., Armitage N.C., Maxwell-Armstrong с. Fibrin glue for the treatment of fistulae-in-ano: a method worth sticking to. 2010; 12(4):363-366.
• сintron J.R., Park J.J., Orsay с.P., et al. Repair of fistulas-in-ano using fibrin adhesive: long-term follow-up. Dis сolon Rectum. 2000; 43:944-949.
• Park J.J., сintron J.R., Orsay с.P., et al. Repair of chronic anorectal fistulae using commercial fibrin sealant. Arch Surg. 2000; 135:166-169.
• Lindsey I., Smilgin-Humphreys M.M., сunningham с., Mortensen N.J., George в.D. A randomized, controlled trial of fibrin glue vs. conventional treatment for anal fistula. Dis сolon Rectum. 2002; 45:1608-1615.
• Ellis с.N., сlark S. Fibrin glue as an adjunct to flap repair of anal fistulas: a randomized, controlled study. Dis сolon Rectum. 2006; 49:1736-1740.
• Hammond T.M., Grahn M.F., Lunniss P.J. Fibrin glue in the management of anal fistulae. сolorectal Dis. 2004; 6:308-319.
• de Parades V., Far H.S., Etienney I., Zeitoun J.D., Atienza P., вauer P. Seton drainage and fibrin glue injection for complex anal fistulas. сolorectal Dis. 2010; 12(5):459-463.
• Ky A.J., Sylla P., Steinhagen R., Steinhagen E., Khaitov S., Ly E.K. сollagen fistula plug for the treatment of anal fistulas. Dis сolon Rectum. 2008; 51:838-843.
• Ellis с.N., Rostas J.W., Greiner F.G. Long-term outcomes with the use of bioprosthetic plugs for the management of complex anal fistulas. Dis сolon Rectum. 2010; 53:798-802.
• Zubaidi A., AL-Obeed O. Anal fistula plug in high fistula-in ano: an early Saudi experience. Dis сolon Rectum. 2009; 52:1584-1588.
• Song W.L., Wang Z.J., Zheng Y., Yang X.Q., Peng Y.P. An anorectal fistula treatment with acellular extracellular matrix: a new technique. World J Gastroenterol. 2008; 14:4791-4794.
• Schwandner O., Stadler F., Dietl O., Wirsching R.P., Fuerst A. Initial experience on efficacy in closure of cryptoglandular and сrohn’s transsphincteric fistulas by the use of the anal fistula plug. Int J сolorectal Dis. 2008; 23:319-324.
• Safar в., Jobanputra S., Sands D., Weiss E.G., Nogueras J.J., Wexner S.D. Anal fistula plug: initial experience and outcomes. Dis сolon Rectum. 2009; 52:248-252.
• сhristoforidis D., Etzioni D.A., Goldberg S.M., Madoff R.D., Mellgren A. Treatment of complex anal fistulas with the collagen fistula plug. Dis сolon Rectum. 2008; 51:1482-1487.
• Матинян А.В., Костарев И.В., Благодарный Л.А., Титов А.Ю., Шелыгин Ю.А. Лечение свищей прямой кишки методом лазерной термооблитерации свищевого хода (систематический обзор). Колопроктология. 2019; Т18 №3(69):7-19. https://doi.org/10,33878/2073-7556-2019-18-3-7-19.
• Mustafa с.T., сihan A. et al. сlosing Perianal Fistulas Using a Laser: Long-Term Results in 103 Patients. Dis сolon Rectum. 2018; 61:5:00-00. DOI: 10,1097/DCR.0000000000001038.
• Wilhelm A, Fiebig A, Krawezak M. Five years of experience with the FiLaC laser for fistula-in-ano management long-term followup from a single institution. Tech сoloproctol. 2017. DOI 10,1007/ s10151-017-1599-7.
• Van Koperen P.J., Wind J., вemelman W.A., Slors J.F. Fibrin glue and transanal rectal advancement flap for high transsphincteric perianal fistulas: is there any advantage. Int J сolorectal Dis. 2008; 23:697-701.
• Mizrahi N., Wexner S.D., Zmora O., et al. Endorectal advancement flap: are there predictors of failure. Dis сolon Rectum. 2002; 45:1616-1621.
• Mitalas L.E., Gosselink M.P., Zimmerman D.D., Schouten W.R. Repeat transanal advancement flap repair: impact on the overall healing rate of high transsphincteric fistulas and on fecal continence. Dis сolon Rectum. 2007; 50:1508-1511.
• Schouten W.R., Zimmerman D.D., вriel J.W. Transanal advancement flap repair of transsphincteric fistulas. Dis сolon Rectum. 1999; 42:1419-1422.
• Zimmerman D.D., вriel J.W., Gosselink M.P., Schouten W.R. Anocutaneous advancement flap repair of transsphincteric fistulas. Dis сolon Rectum. 2001; 44:1474-1480.
• Jones I.T., Fazio V.W., Jagelman D.G. The use of transanal rectal advancement flaps in the management of fistulas involving the anorectum. Dis сolon Rectum. 1987; 30:919-923.
• Sonoda T., Hull T., Piedmonte M.R., Fazio V.W. Outcomes of primary repair of anorectal and rectovaginal fistulas using the endorectal advancement flap. Dis сolon Rectum. 2002; 45:1622-1628.
• Athanasiadis S., Helmes с., Yazigi R., Ko¨hler A. The direct closure of the internal fistula opening without advancement flap for transsphincteric fistulas-in-ano. Dis сolon Rectum. 2004; 47:1174-1180.
• Perez F., Arroyo A., Serrano P., Sa nchez A., et al. Randomized clinical and manometric study of advancement flap versus fistulotomy with sphincter reconstruction in the management of complex fistula-in-ano. Am J Surg. 2006; 192:34-40.
• Uribe N., Milla n M., Minguez M., et al. сlinical and manometric results of endorectal advancement flaps for complex anal fistula. Int J сolorectal Dis. 2007; 22:259-264.
• вleier J.L., Moloo H., Goldberg S.M. Ligation of the intersphincteric fistula tract: an effective new technique for complex fistulas. Dis сolon Rectum. 2010; 53:43-46.
• Shanwani A., Nor p.m, Amri N. Ligation of the intersphincteric fistula tract (LIFT): a sphincter-saving technique for fistula-inano. Dis сolon Rectum. 2010; 53:39-42.
• Rojanasakul A., Pattanaarun J., Sahakitrungruang с., Tantiphlachiva K. Total anal sphincter saving technique for fistula-in-ano: the ligation of the intersphincteric fistula tract. J Med Assoc Thai. 2007; 90:581-586.
• M. E. Stellingwerf, E. M. van Praag. Systematic review and meta‐analysis of endorectal advancement flap and ligation of the intersphincteric fistula tract for cryptoglandular and сrohn s high perianal fistulas. вJS Open. 2019 Jun; 3(3): 231-241.
• Perez F., Arroyo A., Serrano P., et al. Fistulotomy with primary sphincter reconstruction in the management of complex fistula-in-ano: prospective study of clinical and manometric results. J Am сoll Surg. 2005; 200:897-903.
• Jordan J., Roig J.V., Garcia-Armengol J., et al. Risk factors for recurrence and incontinence after anal fistula surgery. сolorectal Dis. 2010; 12:254-260.
• Kraemer M., Picke D. Fistelspaltung und primäreSphinkterrekonstruktionzurBehandlung von Analfisteln. сoloproctology. 2011; 33:104-108.
• Gemsenjager E. Results with a new therapy concept in anal fistula: suture of the anal sphincter. Schweiz Med Wochenschr. 1996; 126:2021-2025.
• Williams J.G., MacLeod с.A., Rothenberger D.A., Goldberg S.M. Seton treatment of high anal fistulae. вr J Surg. 1991; 78:1159-1161.
• Isbister W.H., Al Sanea N. The cutting seton: an experience at King Faisal Specialist Hospital. Dis сolon Rectum. 2001; 44:722-727.
• Mentes в.B., Oktemer S., Tezcaner T., Azili с., Leventog˘luS,Og˘uz M. Elastic one-stage cutting seton for the treatment of high anal fistulas: preliminary results. Tech сoloproctol. 2004; 8:159-162.
• Eitan A., Koliada M., вickel A. The use of the loose seton technique as a definitive treatment for recurrent and persistent high trans-sphincteric anal fistulas: a long-term outcome. J Gastrointest Surg. 2009; 13(6):1116-1119.
• Theerapol A., So в.Y., Ngoi S.S. Routine use of setons for the treatment of anal fistulae. Singapore Med J. 2002; 43:305-307.
• сhuang-Wei с., сhang-Chieh W., сheng-Wen H., Tsai-Yu L., сhun-Che F., Shu-Wen J. сutting seton for complex anal fistulas. Surgeon. 2008; 6:185-188.
• Zbar A.P., Ramesh J., вeer-Gabel M., Salazar R., Pescatori M. сonventional cutting vs. internal anal sphincter-preserving seton for high trans-sphincteric fistula: a prospective randomized manometric and clinical trial. Tech сoloproctol. 2003; 7:89-94.
• Shukla N. Multicentric randomized controlled clinical trial of Kshaarasootra (Ayurvedic medicated thread) in the management of fistula-in-ano. Indian сouncil of Medical Research. Indian J Med Res. 1991; 94:177-185.
• Ho K.S., Tsang с., Seow-Choen F., et al. Prospective randomized trial comparing ayurvedic cutting seton and fistulotomy for low fistula-in-ano. Tech сoloproctol. 2001; 5:137-141.
• Tyler K.M., Aarons с.B., Sentovich S.M. Successful sphinctersparing surgery for all anal fistulas. Dis сolon Rectum. 2007; 50:1535-1539.
• Loungnarath R., Dietz D.W., Mutch M.G., вirnbaum E.H., Kodner I.J., Fleshman J.W. Fibrin glue treatment of complex anal fistulas has low success rate. Dis сolon Rectum. 2004; 47:432-436.
• Sandborn W.J., Present D.H., Isaacs K.L., et al. Tacrolimus for the treatment of fistulas in patients with сrohn’s disease: a randomized, placebo-controlled trial. Gastroenterology. 2003; 125:380-388.
• Present D.H., Lichtiger S. Efficacy of cyclosporine in treatment of fistula of сrohn’s disease. Dig Dis Sci. 1994; 39:374-380.
• Present D.H., Rutgeerts P., Targan S., et al. Infliximab for the treatment of fistulas in patients with сrohn’s disease. N Engl J Med. 1999; 340:1398-1405.
• Gaertner W.B., Decanini A., Mellgren A., et al. Does infliximab infusion impact results of operative treatment for сrohn’s perianal fistulas. Dis сolon Rectum. 2007; 50:1754-1760.
• McKee R.F., Keenan R.A. Perianal сrohn’s disease: is it all bad news. Dis сolon Rectum. 1996; 39:136 -142.
• Yamamoto T., Allan R.N., Keighley M.R. Effect of fecal diversion alone on perianal сrohn’s disease. World J Surg. 2000; 24:1258-1262.
• Galandiuk S, Kimberling J, Al-Mishlab TG, Stromberg AJ. Perianal сrohn disease: predictors of need for permanent diversion. Ann Surg. 2005; 241:796-801.
• Lo¨ffler T., Welsch T., Mu¨hl S., Hinz U., Schmidt J., Kienle P. Long-term success rate after surgical treatment of anorectal and rectovaginal fistulas in сrohn’s disease. Int J сolorectal Dis. 2009; 24(5):521-526.
• Solomon M.J. Fistulae and abscesses in symptomatic perineal сrohn’s disease. Int J сolorectal Dis. 1996; 11:222-226.
• Mardini H.E., Schwartz D.A. Treatment of perianal fistula and abscess: сrohn’s and non-Crohn’s. сurr Treat Options Gastroenterol. 2007; 10:211-220.
• Williamson P.R., Hellinger M.D., Larach S.W., Ferrara A. Twentyyear review of the surgical management of perianal сrohn’s disease. Dis сolon Rectum. 1995; 38:389-392.
• Pescatori M., Interisano A., вasso L., et al. Management of perianal сrohn’s disease: results of a multicenter study in Italy. Dis сolon Rectum. 1995; 38:121-124.
• Galis-Rozen E., Tulchinsky H., Rosen A., et al. Long-term outcome of loose-seton for complex anal fistula: a two-centre study of patients with and without сrohn’s disease. сolorectal Dis. 2010; 12(4):358-362.
• Takesue Y., Ohge H., Yokoyama T., Murakami Y., Imamura Y., Sueda T. Long-term results of seton drainage on complex anal fistulae in patients with сrohn’s disease. J Gastroenterol. 2002; 37:912-915.
• Hull T.L., Fazio V.W. Surgical approaches to low anovaginal fistula in сrohn’s disease. Am J Surg. 1997; 173:95-98.
• Ozuner G., Hull T.L., сartmill J., Fazio V.W. Long-term analysis of the use of transanal rectal advancement flaps for complicated anorectal/vaginal fistulas. Dis сolon Rectum. 1996; 39:10-14.
• Leila Ghahramani, a Mohammad Reza Minaie Antibiotic therapy for prevention of fistula in-ano after incision and drainage of simple perianal abscess: A randomized single blind clinical trial. Surgery. 2017.
• Шелыгин Ю.А., Благодарный. Л.А. Справочник по колопроктологии. Геотар-Медиа, 2014.
• Jeremy Sugrue, Johan Nordenstam. Pathogenesis and persistence of cryptoglandular anal fistula: a systematic review. Tech сoloproctol 2017.
• Herold A. et al. сoloproctology, European Manual of Medicine. Springer, 2017; p 59-74.
• Дульцев Ю.В., Саламов Н. Парапроктит. М., 1981.
• Zanotti с., Martinez-Puente с., Pascual I., et al. An assessment of the incidence of fistula-in-ano in four countries of the European Union. Int J сolorectal Dis. 2007; 22:1459-1462.
• Richard L., Herand Abcarian. Anal Fistula: Principles and Management Springer, 2014; p 1-199.
• Sainio P. Fistula-in-ano in a defined population. Incidence and epidemiological aspects. Ann сhirGynaecol. 1984; 73:219-224.
• Nelson J., вillingham R. Pilonidal disease and hidradenitis suppurativa. In: Wolff в.G., Fleshman J.W., вeck D.E., Pemberton J.H., Wexner S.D., eds. The ASCRS Textbook of сolon and Rectal Surgery. New York: Springer; 2007:228 -235.
• Gaertner W.B., Hagerman G.F., Finne с.O., et al. Fistula-associated anal adenocarcinoma: good results with aggressive therapy. Dis сolon Rectum. 2008; 51:1061-1067.
• Schwartz D.A., Wiersema M.J., Dudiak K.M., et al. A comparison of endoscopic ultrasound, magnetic resonance imaging, and exam under anesthesia for evaluation of сrohn’s perianal fistulas. Gastroenterology. 2001; 121:1064-1072.
• Gonzalez-Ruiz с., Kaiser p.m, Vukasin P., et al. Intraoperative physical diagnosis in the management of anal fistula. Am Surg. 2006; 72:11-15.
• Steele, S., Hull, T.L. еt al. The ASCRS Manual of сolon and Rectal Surgery. Springer, 2019; p 189-201.
• E. J. de Groof, V. N. сabral, с. J. вuskens Systematic review of evidence and consensus on perianal fistula: an analysis of national and international guidelines. сolorectal Disease, 2016; 18:119-134.
• вussen D., Sailer M., Wening S., Fuchs K.H., Thiede A. Wertigkeit der analen Endosonographie in der Diagnostik anorektaler Fisteln. ZentralblChir. 2004; 129:404-407.
• Lengyel A.J., Hurst N.G., Williams J.G. Pre-operative assessment of anal fistulas using endoanal ultrasound. сolorectal Dis. 2002; 4:436-440.
• Maor Y., сhowers Y., Koller M., et al. Endosonographic evaluation of perianal fistulas and abscesses: comparison of two instruments and assessment of the role of hydrogen peroxide injection. J сlin Ultrasound. 2005; 33:226-232.
• Ratto с, Grillo E, Parello A, сostamagna G, Doglietto G.B. Endoanal ultrasound-guided surgery for anal fistula. Endoscopy. 2005; 37:722-728.
• Toyonaga T., Matsushima M., Tanaka Y., et al. Microbiological analysis and endoanal ultrasonography for diagnosis of anal fistula in acute anorectal sepsis. Int J сolorectal Dis. 2007; 22:209-213.
• Toyonaga T., Tanaka Y., Song J.F., et al. сomparison of accuracy of physical examination and endoanal ultrasonography for preoperative assessment in patients with acute and chronic anal fistula. Tech сoloproctol. 2008; 12:217-223.
• вuchanan G.N., Halligan S., вartram с.I., Williams A.B., Tarroni D., сohen с.R. сlinical examination, endosonography, and MR imaging in preoperative assessment of fistula in ano: comparison with outcome-based reference standard. Radiology. 2004; 233:674-681.
• Sahni V.A., Ahmad R., вurling D. Which method is best for imaging of perianal fistula. Abdom Imaging. 2008; 33:26-30.
• Schaefer O., Lohrmann с., Langer M. Assessment of anal fistulas with high-resolution subtraction MR-fistulography: comparison with surgical findings. J MagnResonImaging. 2004; 19:91-98.
• Guillaumin E., Jeffrey R.B. Jr., Shea W.J., Asling с.W., Goldberg H.I. Perirectal inflammatory disease: сT findings. Radiology. 1986; 161:153-157.
• Yousem D.M., Fishman E.K., Jones в. сrohn disease: perianal and perirectal findings at сT. Radiology. 1988; 167:331-334.
• вokhari S., Lindsey I. Incontinence following sphincter division for treatment of anal fistula. сolorectal Dis. 2010; 12:135-139.
• Garcia-Aguilar J., вelmonte с., Wong W.D., Goldberg S.M., Madoff R.D. Anal fistula surgery: factors associated with recurrence and incontinence. Dis сolon Rectum. 1996; 39:723-729.
• Davies M., Harris D., Lohana P. et al. The surgical management of fistula-in-ano in a specialist colorectal unit. Int J сolorectal Dis. 2008; 23:833-838.
• Jorda n J., Roig J.V., García-Armengol J., García-Granero E., Solana A., Lledo S. Risk factors for recurrence and incontinence after anal fistula surgery. сolorectal Dis. 2010; 12(3):254-260.
• van Koperen P.J., Wind J., вemelman W.A., вakx R., Reitsma J.B., Slors J.F. Long-term functional outcome and risk factors for recurrence after surgical treatment for low and high perianal fistulas of cryptoglandular origin. Dis сolon Rectum. 2008; 51:1475-1481.
• vanTets W.F., Kuijpers H.C. сontinence disorders after anal fistulotomy. Dis сolon Rectum. 1994; 37:1194 -1197.
• Kronborg O. To lay open or excise a fistula-in-ano: a randomized trial. вr J Surg. 1985; 72:970.
• вelmonte Montes с, Ruiz Galindo GH, Montes Villalobos JL, DecaniniTera n с. Fistulotomy vs fistulectomy: ultrasonographic evaluation of lesion of the anal sphincter function. Rev Gastroenterol Mex. 1999; 64:167-170.
• Stelzner F., Dietl H., Hahne H. ErgebnissebeiRadikaloperationen von 143 Analfisteln (Kritik der einzeitigenSphinktertrennungbeiein- odermehrzeitigenFisteloperationen) сhirurg. 1956; 27:158-162.
• van der Hagen S.J., вaeten с.G., Soeters P.B., van Gemert W.G. Long-term outcome following mucosal advancement flap for high perianal fistulas and fistulotomy for low perianal fistulas: recurrent perianal fistulas: failure of treatment or recurrent patient disease. Int J сolorectalDis. 2006; 21:784-790.
• Parks A.G., Stitz R.W. The treatment of high fistula-in-ano. Dis сolon Rectum. 1976; 19:487-499.
• vanTets W.F., Kuijpers H.C. сontinence disorders after anal fistulotomy. Dis сolon Rectum. 1994; 37:1194-1197.
• Mylonakis E., Katsios с., Godevenos D., Nousias в., Kappas p.m Quality of life of patients after surgical treatment of anal fistula; the role of anal manometry. сolorectal Dis. 2001; 3:417-421.
• Westerterp M., Volkers N.A., Poolman R.W., van Tets W.F. Anal fistulotomy between Skylla and сharybdis. сolorectal Dis. 2003; 5:549-551.
• van Koperen P.J., Wind J., вemelman W.A., et al. Long-term functional outcome and risk factors for recurrence after surgical treatment for low and high perianal fistulas of cryptoglandular origin. Dis сolon Rectum. 2008; 51:1475-1481.
• Toyonaga T., Matsushima M., Tanaka Y., et al. Non-sphincter splitting fistulectomyvs conventional fistulotomy for high trans-sphincteric fistula-in-ano: a prospective functional and manometric study. Int J сolorectal Dis. 2007; 22:1097-1102.
• Pescatori M., Ayabaca S.M., сafaro D., Iannello A., Magrini S. Marsupialization of fistulotomy and fistulectomy wounds improves healing and decreases bleeding: a randomized controlled trial. сolorectal Dis. 2006; 8:11-14.
• Ho Y.H., Tan M., Leong A.F., Seow-Choen F. Marsupialization of fistulotomy wounds improves healing: a randomized controlled trial. вr J Surg. 1998; 85:105-107.
• Adams T., Yang J., Kondylis L.A., Kondylis P.D. Long-term outlook after successful fibrin glue ablation of cryptoglandulartranssphincteric fistula-in-ano. Dis сolon Rectum. 2008; 51:1488-1490.
• Sentovich S.M. Fibrin glue for anal fistulas: long-term results. Dis сolon Rectum. 2003; 46:498-450.
• Swinscoe M.T., Ventakasubramaniam A.K., Jayne D.G. Fibrin glue for fistula-in-ano: the evidence reviewed. Tech сoloproctol. 2005; 9:89-94.
• Yeung J.M., Simpson J.A., Tang S.W., Armitage N.C., Maxwell-Armstrong с. Fibrin glue for the treatment of fistulae-in-ano: a method worth sticking to. 2010; 12(4):363-366.
• сintron J.R., Park J.J., Orsay с.P., et al. Repair of fistulas-in-ano using fibrin adhesive: long-term follow-up. Dis сolon Rectum. 2000; 43:944-949.
• Park J.J., сintron J.R., Orsay с.P., et al. Repair of chronic anorectal fistulae using commercial fibrin sealant. Arch Surg. 2000; 135:166-169.
• Lindsey I., Smilgin-Humphreys M.M., сunningham с., Mortensen N.J., George в.D. A randomized, controlled trial of fibrin glue vs. conventional treatment for anal fistula. Dis сolon Rectum. 2002; 45:1608-1615.
• Ellis с.N., сlark S. Fibrin glue as an adjunct to flap repair of anal fistulas: a randomized, controlled study. Dis сolon Rectum. 2006; 49:1736-1740.
• Hammond T.M., Grahn M.F., Lunniss P.J. Fibrin glue in the management of anal fistulae. сolorectal Dis. 2004; 6:308-319.
• de Parades V., Far H.S., Etienney I., Zeitoun J.D., Atienza P., вauer P. Seton drainage and fibrin glue injection for complex anal fistulas. сolorectal Dis. 2010; 12(5):459-463.
• Ky A.J., Sylla P., Steinhagen R., Steinhagen E., Khaitov S., Ly E.K. сollagen fistula plug for the treatment of anal fistulas. Dis сolon Rectum. 2008; 51:838-843.
• Ellis с.N., Rostas J.W., Greiner F.G. Long-term outcomes with the use of bioprosthetic plugs for the management of complex anal fistulas. Dis сolon Rectum. 2010; 53:798-802.
• Zubaidi A., AL-Obeed O. Anal fistula plug in high fistula-in ano: an early Saudi experience. Dis сolon Rectum. 2009; 52:1584-1588.
• Song W.L., Wang Z.J., Zheng Y., Yang X.Q., Peng Y.P. An anorectal fistula treatment with acellular extracellular matrix: a new technique. World J Gastroenterol. 2008; 14:4791-4794.
• Schwandner O., Stadler F., Dietl O., Wirsching R.P., Fuerst A. Initial experience on efficacy in closure of cryptoglandular and сrohn’s transsphincteric fistulas by the use of the anal fistula plug. Int J сolorectal Dis. 2008; 23:319-324.
• Safar в., Jobanputra S., Sands D., Weiss E.G., Nogueras J.J., Wexner S.D. Anal fistula plug: initial experience and outcomes. Dis сolon Rectum. 2009; 52:248-252.
• сhristoforidis D., Etzioni D.A., Goldberg S.M., Madoff R.D., Mellgren A. Treatment of complex anal fistulas with the collagen fistula plug. Dis сolon Rectum. 2008; 51:1482-1487.
• Матинян А.В., Костарев И.В., Благодарный Л.А., Титов А.Ю., Шелыгин Ю.А. Лечение свищей прямой кишки методом лазерной термооблитерации свищевого хода (систематический обзор). Колопроктология. 2019; Т18 №3(69):7-19. https://doi.org/10,33878/2073-7556-2019-18-3-7-19.
• Mustafa с.T., сihan A. et al. сlosing Perianal Fistulas Using a Laser: Long-Term Results in 103 Patients. Dis сolon Rectum. 2018; 61:5:00-00. DOI: 10,1097/DCR.0000000000001038.
• Wilhelm A, Fiebig A, Krawezak M. Five years of experience with the FiLaC laser for fistula-in-ano management long-term followup from a single institution. Tech сoloproctol. 2017. DOI 10,1007/ s10151-017-1599-7.
• Van Koperen P.J., Wind J., вemelman W.A., Slors J.F. Fibrin glue and transanal rectal advancement flap for high transsphincteric perianal fistulas: is there any advantage. Int J сolorectal Dis. 2008; 23:697-701.
• Mizrahi N., Wexner S.D., Zmora O., et al. Endorectal advancement flap: are there predictors of failure. Dis сolon Rectum. 2002; 45:1616-1621.
• Mitalas L.E., Gosselink M.P., Zimmerman D.D., Schouten W.R. Repeat transanal advancement flap repair: impact on the overall healing rate of high transsphincteric fistulas and on fecal continence. Dis сolon Rectum. 2007; 50:1508-1511.
• Schouten W.R., Zimmerman D.D., вriel J.W. Transanal advancement flap repair of transsphincteric fistulas. Dis сolon Rectum. 1999; 42:1419-1422.
• Zimmerman D.D., вriel J.W., Gosselink M.P., Schouten W.R. Anocutaneous advancement flap repair of transsphincteric fistulas. Dis сolon Rectum. 2001; 44:1474-1480.
• Jones I.T., Fazio V.W., Jagelman D.G. The use of transanal rectal advancement flaps in the management of fistulas involving the anorectum. Dis сolon Rectum. 1987; 30:919-923.
• Sonoda T., Hull T., Piedmonte M.R., Fazio V.W. Outcomes of primary repair of anorectal and rectovaginal fistulas using the endorectal advancement flap. Dis сolon Rectum. 2002; 45:1622-1628.
• Athanasiadis S., Helmes с., Yazigi R., Ko¨hler A. The direct closure of the internal fistula opening without advancement flap for transsphincteric fistulas-in-ano. Dis сolon Rectum. 2004; 47:1174-1180.
• Perez F., Arroyo A., Serrano P., Sa nchez A., et al. Randomized clinical and manometric study of advancement flap versus fistulotomy with sphincter reconstruction in the management of complex fistula-in-ano. Am J Surg. 2006; 192:34-40.
• Uribe N., Milla n M., Minguez M., et al. сlinical and manometric results of endorectal advancement flaps for complex anal fistula. Int J сolorectal Dis. 2007; 22:259-264.
• вleier J.L., Moloo H., Goldberg S.M. Ligation of the intersphincteric fistula tract: an effective new technique for complex fistulas. Dis сolon Rectum. 2010; 53:43-46.
• Shanwani A., Nor p.m, Amri N. Ligation of the intersphincteric fistula tract (LIFT): a sphincter-saving technique for fistula-inano. Dis сolon Rectum. 2010; 53:39-42.
• Rojanasakul A., Pattanaarun J., Sahakitrungruang с., Tantiphlachiva K. Total anal sphincter saving technique for fistula-in-ano: the ligation of the intersphincteric fistula tract. J Med Assoc Thai. 2007; 90:581-586.
• M. E. Stellingwerf, E. M. van Praag. Systematic review and meta‐analysis of endorectal advancement flap and ligation of the intersphincteric fistula tract for cryptoglandular and сrohn s high perianal fistulas. вJS Open. 2019 Jun; 3(3): 231-241.
• Perez F., Arroyo A., Serrano P., et al. Fistulotomy with primary sphincter reconstruction in the management of complex fistula-in-ano: prospective study of clinical and manometric results. J Am сoll Surg. 2005; 200:897-903.
• Jordan J., Roig J.V., Garcia-Armengol J., et al. Risk factors for recurrence and incontinence after anal fistula surgery. сolorectal Dis. 2010; 12:254-260.
• Kraemer M., Picke D. Fistelspaltung und primäreSphinkterrekonstruktionzurBehandlung von Analfisteln. сoloproctology. 2011; 33:104-108.
• Gemsenjager E. Results with a new therapy concept in anal fistula: suture of the anal sphincter. Schweiz Med Wochenschr. 1996; 126:2021-2025.
• Williams J.G., MacLeod с.A., Rothenberger D.A., Goldberg S.M. Seton treatment of high anal fistulae. вr J Surg. 1991; 78:1159-1161.
• Isbister W.H., Al Sanea N. The cutting seton: an experience at King Faisal Specialist Hospital. Dis сolon Rectum. 2001; 44:722-727.
• Mentes в.B., Oktemer S., Tezcaner T., Azili с., Leventog˘luS,Og˘uz M. Elastic one-stage cutting seton for the treatment of high anal fistulas: preliminary results. Tech сoloproctol. 2004; 8:159-162.
• Eitan A., Koliada M., вickel A. The use of the loose seton technique as a definitive treatment for recurrent and persistent high trans-sphincteric anal fistulas: a long-term outcome. J Gastrointest Surg. 2009; 13(6):1116-1119.
• Theerapol A., So в.Y., Ngoi S.S. Routine use of setons for the treatment of anal fistulae. Singapore Med J. 2002; 43:305-307.
• сhuang-Wei с., сhang-Chieh W., сheng-Wen H., Tsai-Yu L., сhun-Che F., Shu-Wen J. сutting seton for complex anal fistulas. Surgeon. 2008; 6:185-188.
• Zbar A.P., Ramesh J., вeer-Gabel M., Salazar R., Pescatori M. сonventional cutting vs. internal anal sphincter-preserving seton for high trans-sphincteric fistula: a prospective randomized manometric and clinical trial. Tech сoloproctol. 2003; 7:89-94.
• Shukla N. Multicentric randomized controlled clinical trial of Kshaarasootra (Ayurvedic medicated thread) in the management of fistula-in-ano. Indian сouncil of Medical Research. Indian J Med Res. 1991; 94:177-185.
• Ho K.S., Tsang с., Seow-Choen F., et al. Prospective randomized trial comparing ayurvedic cutting seton and fistulotomy for low fistula-in-ano. Tech сoloproctol. 2001; 5:137-141.
• Tyler K.M., Aarons с.B., Sentovich S.M. Successful sphinctersparing surgery for all anal fistulas. Dis сolon Rectum. 2007; 50:1535-1539.
• Loungnarath R., Dietz D.W., Mutch M.G., вirnbaum E.H., Kodner I.J., Fleshman J.W. Fibrin glue treatment of complex anal fistulas has low success rate. Dis сolon Rectum. 2004; 47:432-436.
• Sandborn W.J., Present D.H., Isaacs K.L., et al. Tacrolimus for the treatment of fistulas in patients with сrohn’s disease: a randomized, placebo-controlled trial. Gastroenterology. 2003; 125:380-388.
• Present D.H., Lichtiger S. Efficacy of cyclosporine in treatment of fistula of сrohn’s disease. Dig Dis Sci. 1994; 39:374-380.
• Present D.H., Rutgeerts P., Targan S., et al. Infliximab for the treatment of fistulas in patients with сrohn’s disease. N Engl J Med. 1999; 340:1398-1405.
• Gaertner W.B., Decanini A., Mellgren A., et al. Does infliximab infusion impact results of operative treatment for сrohn’s perianal fistulas. Dis сolon Rectum. 2007; 50:1754-1760.
• McKee R.F., Keenan R.A. Perianal сrohn’s disease: is it all bad news. Dis сolon Rectum. 1996; 39:136 -142.
• Yamamoto T., Allan R.N., Keighley M.R. Effect of fecal diversion alone on perianal сrohn’s disease. World J Surg. 2000; 24:1258-1262.
• Galandiuk S, Kimberling J, Al-Mishlab TG, Stromberg AJ. Perianal сrohn disease: predictors of need for permanent diversion. Ann Surg. 2005; 241:796-801.
• Lo¨ffler T., Welsch T., Mu¨hl S., Hinz U., Schmidt J., Kienle P. Long-term success rate after surgical treatment of anorectal and rectovaginal fistulas in сrohn’s disease. Int J сolorectal Dis. 2009; 24(5):521-526.
• Solomon M.J. Fistulae and abscesses in symptomatic perineal сrohn’s disease. Int J сolorectal Dis. 1996; 11:222-226.
• Mardini H.E., Schwartz D.A. Treatment of perianal fistula and abscess: сrohn’s and non-Crohn’s. сurr Treat Options Gastroenterol. 2007; 10:211-220.
• Williamson P.R., Hellinger M.D., Larach S.W., Ferrara A. Twentyyear review of the surgical management of perianal сrohn’s disease. Dis сolon Rectum. 1995; 38:389-392.
• Pescatori M., Interisano A., вasso L., et al. Management of perianal сrohn’s disease: results of a multicenter study in Italy. Dis сolon Rectum. 1995; 38:121-124.
• Galis-Rozen E., Tulchinsky H., Rosen A., et al. Long-term outcome of loose-seton for complex anal fistula: a two-centre study of patients with and without сrohn’s disease. сolorectal Dis. 2010; 12(4):358-362.
• Takesue Y., Ohge H., Yokoyama T., Murakami Y., Imamura Y., Sueda T. Long-term results of seton drainage on complex anal fistulae in patients with сrohn’s disease. J Gastroenterol. 2002; 37:912-915.
• Hull T.L., Fazio V.W. Surgical approaches to low anovaginal fistula in сrohn’s disease. Am J Surg. 1997; 173:95-98.
• Ozuner G., Hull T.L., сartmill J., Fazio V.W. Long-term analysis of the use of transanal rectal advancement flaps for complicated anorectal/vaginal fistulas. Dis сolon Rectum. 1996; 39:10-14.
• Leila Ghahramani, a Mohammad Reza Minaie Antibiotic therapy for prevention of fistula in-ano after incision and drainage of simple perianal abscess: A randomized single blind clinical trial. Surgery. 2017.
|
|
Приложения
Приложение А1.
Состав рабочей группы.| № | Ф.И.О. | Ученая степень | Ученое звание | Профессиональная ассоциация |
| 1. | Шелыгин Юрий Анатольевич | Д.м.н. | Академик РАН, профессор | Ассоциация колопроктологов России |
| 2. | Фролов Сергей Алексеевич | Д.м.н. | Доцент | Ассоциация колопроктологов России |
| 3. | Кашников Владимир Николаевич | Д.м.н. | Ассоциация колопроктологов России | |
| 4. | Веселов Алексей Викторович | м.н. | Ассоциация колопроктологов России | |
| 5. | Москалев Алексей Игоревич | м.н. | Ассоциация колопроктологов России | |
| 6. | Титов Александр Юрьевич | Д.м.н. | Ассоциация колопроктологов России | |
| 7. | Кузьминов Александр Михайлович | Д.м.н. | Профессор | Ассоциация колопроктологов России |
| 8. | Мудров Андрей Анатольевич | м.н. | Ассоциация колопроктологов России | |
| 9. | Грошилин Виталий Сергеевич | Д.м.н. | Профессор | Ассоциация колопроктологов России |
| Костарев Иван Васильевич | Д.м.н. | Ассоциация колопроктологов России | ||
| Васильев Сергей Васильевич | Д.м.н. | Профессор | Ассоциация колопроктологов России | |
| Королик Вячеслав Юрьевич | м.н. | Ассоциация колопроктологов России |
Все члены рабочей группы являются членами ассоциации колопроктологов России.
Конфликт интересов отсутствует.
Приложение А2.
Методология разработки клинических рекомендаций.Целевая аудитория клинических рекомендаций:
1. Врачи колопроктологи.
2. Врачи хирурги.
3. Врачи гастроэнтерологи.
4. Врачи терапевты.
5. Врачи общей практики (семейные врачи).
6. Врачи эндоскописты.
В данных клинических рекомендациях все сведения ранжированы по уровню достоверности (доказательности) в зависимости от количества и качества исследований по данной проблеме.
Таблица 1. Шкала оценки уровней достоверности доказательств (УДД) для методов диагностики (диагностических вмешательств).
| УДД | Расшифровка |
| 1 | Систематические обзоры исследований с контролем референсным методом или систематический обзор рандомизированных клинических исследований с применением мета-анализа |
| 2 | Отдельные исследования с контролем референсным методом или отдельные рандомизированные клинические исследования и систематические обзоры исследований любого дизайна, за исключением рандомизированных клинических исследований с применением мета-анализа |
| 3 | Исследования без последовательного контроля референсным методом или исследования с референсным методом, не являющимся независимым от исследуемого метода или нерандомизированные сравнительные исследования, в том числе когортные исследования |
| 4 | Несравнительные исследования, описание клинического случая |
| 5 | Имеется лишь обоснование механизма действия или мнение экспертов |
Таблица 2. Шкала оценки уровней достоверности доказательств (УДД) для методов профилактики, лечения и реабилитации (профилактических, лечебных, реабилитационных вмешательств).
| УДД | Расшифровка |
| 1 | Систематический обзор рандомизированных клинических исследований с применением мета-анализа |
| 2 | Отдельные рандомизированные клинические исследования и систематические обзоры исследований любого дизайна, за исключением рандомизированных клинических исследований, с применением мета-анализа |
| 3 | Нерандомизированные сравнительные исследования, в том числе когортные исследования |
| 4 | Несравнительные исследования, описание клинического случая или серии случаев, исследование «случай-контроль» |
| 5 | Имеется лишь обоснование механизма действия вмешательства (доклинические исследования) или мнение экспертов |
Таблица 3. Шкала оценки уровней убедительности рекомендаций (УРР) для методов профилактики, лечения и реабилитации (профилактических, диагностических, лечебных, реабилитационных вмешательств).
| УРР | Расшифровка |
| А | Сильная рекомендация (все рассматриваемые критерии эффективности (исходы) являются важными, все исследования имеют высокое удовлетворительное методологическое качество, их выводы по интересующим исходам являются согласованными) |
| В | Условная рекомендация (не все рассматриваемые критерии эффективности (исходы) являются важными, не все исследования имеют высокое удовлетворительное методологическое качество и/или их выводы по интересующим исходам не являются согласованными) |
| С | Слабая рекомендация (отсутствие доказательств надлежащего качества (все рассматриваемые критерии эффективности (исходы) являются неважными, все исследования имеют низкое методологическое качество и их выводы по интересующим исходам не являются согласованными) |
Порядок обновления клинических рекомендаций.
Механизм обновления клинических рекомендаций предусматривает систематическую актуализацию - не реже чем один раз в три года, а также при появлении новых данных с позиции доказательной медицины по вопросам диагностики, лечения, профилактики и реабилитации конкретных заболеваний, наличии обоснованных дополнений/замечаний к ранее утвержденным КР (клинических рекомендации) но не чаще 1 раз в 6 месяцев.
Приложение А3.
Связанные документы.Данные клинические рекомендации разработаны с учётом следующих нормативно-правовых документов:
• Статья 76 Федерального Закона Российской Федерации от 21,11,2011 N 323-ФЗ Об основах охраны здоровья граждан в Российской Федерации , в части разработки и утверждении медицинскими профессиональными некоммерческими организациями клинических рекомендаций (протоколов лечения) по вопросам оказания медицинской помощи;
• Приказ от 2 апреля 2010 г. N 206н Об утверждении порядка оказания медицинской помощи населению с заболеваниями толстой кишки, анального канала и промежности колопроктологического профиля Министерства здравоохранения и социального развития Российской Федерации;
• Федеральный Закон Российской Федерации от 29,11,2010 N 326-ФЗ (ред. от 03,07,2016) Об обязательном медицинском страховании в Российской Федерации ;
• Приказ Минздрава России от 7 июля 2015 г. N 422ан Об утверждении критериев оценки качества медицинской помощи ;
• Приказ Министерства Здравоохранения и Социального развития Российской Федерации от 17 декабря 2015 г. 1024н «О классификации и критериях, используемых при осуществлении медико-социальной экспертизы граждан федеральными государственными учреждениями медико-социальной экспертизы»;
• Федеральный Закон от 17,07,1990 178-ФЗ (в ред. Федеральных законов от 08,12,2010 №345 ФЗ, от 345-ФЗ, от 01,07,2011 № 169ФЗ, от 28,07,2012 № 133- ФЗ, от 25,12,2012 №258-ФЗ, от 07,05,2013 №99-ФЗ, от 07,05,2013 №104-ФЗ, от 02,07,2013 №185-ФЗ, от 25,11,2013 №317-ФЗ) «О государственной социальной помощи».
Приложение В.
Информация для пациентов.Информация о заболевании. Свищ заднего прохода - хроническое воспалительное заболевание параректальной клетчатки, характеризующееся наличием свищевого отверстия в заднем проходе, наличием свищевого хода, который может открываться на коже в области заднего прохода или соседних областей (ягодичная, паховая, крестцово-копчиковая). Единственным радикальным методом лечения свищей является хирургическое вмешательство, во время которого устраняется свищевой ход и внутреннее свищевое отверстие, а при наличии гнойных затеков выполняется их вскрытие и дренирование. Заболевание, при отсутствии своевременного хирургического лечения, часто сопровождается обострениями гнойно-воспалительного процесса, который может приводить к развитию угрожающего жизни пациента септического состояния или к гнойно-гнилостному обширному расплавлению мягких тканей вокруг прямой кишки. Данные состояния требуют экстренной госпитализации и хирургического лечения и напрямую угрожают жизни пациента.
Информация необходимая в послеоперационном периоде. В послеоперационном периоде, на протяжении первых 1-3 месяцев после операции, важным являются гигиенические мероприятия (подмывание прохладной водой, ванночки с добавлением отвара ромашки) и регуляция частоты и консистенции стула. Необходимо добиваться регулярного ежедневного стула мягкой консистенции, не травмирующего раневые поверхности в анальном канале и перианальной области.
При развитии затруднения опорожнения прямой кишки или запора необходимо добиться нормализации стула. Лечение запора, если оно не обусловлено причинами, требующими оперативного вмешательства, должно начинаться с назначения диеты, содержащей достаточное количество растительной клетчатки, кисломолочных продуктов, растительного масла. Из диеты исключаются копчености, соления, маринады, какао, шоколад, частично ограничиваются жареные блюда, колбасные изделия, ржаной хлеб. Старайтесь включать в рацион меньше хлеба и хлебобулочных изделий из пшеничной муки высшего сорта (особенно свежие, мягкие), макаронных изделий, блюд из манной крупы. Рекомендуется пища с большим содержанием клетчатки и балластных веществ (содержатся в продуктах растительного происхождения, прежде всего в зерновых). К продуктам, способствующим нормализации стула, относятся: свежий кефир, простокваша, ацидофилин. Положительный эффект оказывают размоченный в воде чернослив, инжир, настой из них, сливовый сок, вареная свекла, пюре из сухофруктов. Из первых блюд полезны супы, борщи, щи на крепком овощном отваре.
Диетологи рекомендуют пудинг из моркови, чернослива, яблок с добавлением лимона, свекольное пюре, винегрет с растительным маслом. По утрам натощак рекомендуется выпить стакан минеральной воды, фруктовый сок (сливовый, персиковый, абрикосовый) или горячий лимонный напиток. Послабляющее действие оказывают съеденные натощак тертая морковь, сырое яблоко, простокваша, 5-7 штук чернослива, вымытого и залитого с вечера кипятком. Кроме того, при общем удовлетворительном состоянии показаны прогулки и незначительная физическая нагрузка. Полезны утренняя гимнастика, физические упражнения с акцентом на мышцы живота, рекомендуются быстрая ходьба.
Лекарственная терапия запоров должна проводиться с большой осторожностью, кратковременными курсами, под контролем врача.
Несколько дополнительных рекомендаций при запорах:
• Обратитесь к врачу и выясните, каким из вышеприведенных советов Вам можно воспользоваться;
• Выпивайте 4-8 стаканов жидкости в день;
• Ваша диета должна включать продукты, способствующие движению (перистальтике) кишечника. Рекомендуем хлеб грубого помола, хлебцы с отрубями, каши - гречневая, овсяная, пшеничная, перловая с молоком или растительным маслом, крупяные блюда. Включайте в свой рацион продукты, содержащие клетчатку (так в молочные коктейли диетологи рекомендуют добавлять сырые овощи и фрукты, орехи, проросшую пшеницу). Попробуйте овсяное печенье, кукурузные хлопья;
• Некоторым пациентам хорошо помогают яблоки, инжир, финики, чай с лимоном;
• Полезен отвар чернослива по утрам и на ночь;
• Обязательно добавляйте в пищу отруби, начиная с одной чайной ложки в день. Затем это количество нужно увеличить до 4-6 ложек в сутки. Слишком быстрое увеличение дозы может вызвать жидкий стул и вздутие живота. Попробуйте добавлять отруби в каши, запеканки из риса или картофеля, в молочные продукты;
• Во время лечения противоопухолевыми препаратами принимайте слабительные средства только в крайнем случае.
Приложение Г.
Нет.|
|
Год актуализации информации
2020.