МКБ-10 коды
|
|
Вступление
Кодирование по Международной статистической классификации болезней и проблем, связанных со здоровьем: A59.
Год утверждения (частота пересмотра): 2021.
Возрастная категория: Взрослые , Дети.
Пересмотр не позднее: 2023.
ID: 241.
Разработчик клинической рекомендации.
• Общероссийская общественная организация Российское общество дерматовенерологов и косметологов .
• Российское общество акушеров-гинекологов.
Одобрено Научно-практическим Советом Минздрава РФ.
Год утверждения (частота пересмотра): 2021.
Возрастная категория: Взрослые , Дети.
Пересмотр не позднее: 2023.
ID: 241.
Разработчик клинической рекомендации.
• Общероссийская общественная организация Российское общество дерматовенерологов и косметологов .
• Российское общество акушеров-гинекологов.
Одобрено Научно-практическим Советом Минздрава РФ.
|
|
Список сокращений
ВИЧ - вирус иммунодефицита человека.
ДНК - дезоксирибонуклеиновая кислота.
ИППП - инфекции, передаваемые половым путем.
МКБ - Международная классификация болезней.
ПЦР - полимеразная цепная реакция.
РНК - рибонуклеиновая кислота.
NASBA (Nucleic Acids Sequence-Based Amplification) - реакция транскрипционной амплификации.
ДНК - дезоксирибонуклеиновая кислота.
ИППП - инфекции, передаваемые половым путем.
МКБ - Международная классификация болезней.
ПЦР - полимеразная цепная реакция.
РНК - рибонуклеиновая кислота.
NASBA (Nucleic Acids Sequence-Based Amplification) - реакция транскрипционной амплификации.
Термины и определения
Урогенитальный трихомониаз. Инфекция, передаваемая половым путём, возбудителем которой является Trichomonas vaginalis.
Trichomonas vaginalis. Жгутиковый простейший одноклеточный паразит, вызывающий поражение урогенитального тракта человека.
Trichomonas vaginalis. Жгутиковый простейший одноклеточный паразит, вызывающий поражение урогенитального тракта человека.
Описание
Урогенитальный трихомониаз. Инфекция, передаваемая половым путём, возбудителем которой является Trichomonas vaginalis.
Причины
Trichomonas vaginalis - одноклеточный микроорганизм, относится к типу простейших, семейству Trichomonadidae, роду Trichomonas.
T. vaginalis имеет овальную, округлую или грушевидную форму. Размеры трихомонад могут варьировать от 8 до 40 мкм и более. Простейшее имеет 5 жгутиков, 4 из которых расположены в его передней части, а один - внутри ундулирующей мембраны, обеспечивающей активное движение трихомонады. Ядро T.vaginalis локализовано в ее передней части. В ядре берет начало аксостиль - гиалиновый тяж, пересекающий клетку вдоль и заканчивающийся острым концом, способствующим прикреплению простейшего к эпителиальным клеткам урогенитального тракта.
T.vaginalis - облигатный паразит, получающий важнейшие питательные компоненты из секрета половых путей путем фагоцитоза эпителиоцитов, симбиотных и условно-патогенных микроорганизмов.
Трихомонады обладают тропизмом к плоскому эпителию. При инфицировании, попадая на эпителий слизистой оболочки, T.vaginalis совершают активные движения и, благодаря способности выделять клеточный разъединяющий фактор, проникают через межклеточные пространства в субэпителиальную соединительную ткань, лимфатические щели и сосуды.
У мужчин первично инфицируется эпителий слизистой оболочки дистальной части уретры в области ладьевидной ямки, далее возбудители распространяются по слизистой оболочке передней, задней части уретры, откуда могут проникать в ткани предстательной железы, семенные пузырьки.
У женщин трихомонады, как правило, инфицируют слизистую оболочку влагалища и экзоцервикса, реже - цервикального канала, уретры, парауретральных ходов, вестибулярных желез, мочевого пузыря, маточных труб.
Инфицирование взрослых лиц происходит при половом контакте с больным урогенитальным трихомониазом, детей - интранатальным путем и при половом контакте; в исключительных случаях девочки младшего возраста могут инфицироваться при нарушении правил личной гигиены и правил ухода за детьми.
T. vaginalis имеет овальную, округлую или грушевидную форму. Размеры трихомонад могут варьировать от 8 до 40 мкм и более. Простейшее имеет 5 жгутиков, 4 из которых расположены в его передней части, а один - внутри ундулирующей мембраны, обеспечивающей активное движение трихомонады. Ядро T.vaginalis локализовано в ее передней части. В ядре берет начало аксостиль - гиалиновый тяж, пересекающий клетку вдоль и заканчивающийся острым концом, способствующим прикреплению простейшего к эпителиальным клеткам урогенитального тракта.
T.vaginalis - облигатный паразит, получающий важнейшие питательные компоненты из секрета половых путей путем фагоцитоза эпителиоцитов, симбиотных и условно-патогенных микроорганизмов.
Трихомонады обладают тропизмом к плоскому эпителию. При инфицировании, попадая на эпителий слизистой оболочки, T.vaginalis совершают активные движения и, благодаря способности выделять клеточный разъединяющий фактор, проникают через межклеточные пространства в субэпителиальную соединительную ткань, лимфатические щели и сосуды.
У мужчин первично инфицируется эпителий слизистой оболочки дистальной части уретры в области ладьевидной ямки, далее возбудители распространяются по слизистой оболочке передней, задней части уретры, откуда могут проникать в ткани предстательной железы, семенные пузырьки.
У женщин трихомонады, как правило, инфицируют слизистую оболочку влагалища и экзоцервикса, реже - цервикального канала, уретры, парауретральных ходов, вестибулярных желез, мочевого пузыря, маточных труб.
Инфицирование взрослых лиц происходит при половом контакте с больным урогенитальным трихомониазом, детей - интранатальным путем и при половом контакте; в исключительных случаях девочки младшего возраста могут инфицироваться при нарушении правил личной гигиены и правил ухода за детьми.
Эпидемиология
Урогенитальный трихомониаз является одной из распространенных инфекций, передаваемых половым путем (ИППП). По оценкам Всемирной организации здравоохранения, ежегодно около 250 миллионов человек инфицируются Trichomonas vaginalis. В структуре всех ИППП трихомониаз занимает одно из первых мест у лиц, обратившихся за специализированной дерматовенерологической, акушерско-гинекологической и урологической помощью по поводу инфекционно-воспалительных заболеваний урогенитального тракта.
В Российской Федерации за последние годы отмечается снижение показателей заболеваемости урогенитальным трихомониазом, однако они остаются достаточно высокими, что во многом обусловлено гипердиагностикой заболевания. В 2018 году уровень заболеваемости составил 42,8 на 100 тысяч населения: у лиц в возрасте 0-14 лет 0,46 случаев на 100 тысяч соответствующего населения, у лиц 15-17 лет 25,5 случаев на 100 тысяч соответствующего населения, у лиц в возрасте 18 лет и старше 52,7 на 100 тысяч соответствующего населения.
A59,0 - Урогенитальный трихомониаз;
A59,8 - Трихомониаз других локализаций;
A59,9 - Трихомониаз неуточненный.
В Российской Федерации за последние годы отмечается снижение показателей заболеваемости урогенитальным трихомониазом, однако они остаются достаточно высокими, что во многом обусловлено гипердиагностикой заболевания. В 2018 году уровень заболеваемости составил 42,8 на 100 тысяч населения: у лиц в возрасте 0-14 лет 0,46 случаев на 100 тысяч соответствующего населения, у лиц 15-17 лет 25,5 случаев на 100 тысяч соответствующего населения, у лиц в возрасте 18 лет и старше 52,7 на 100 тысяч соответствующего населения.
1,4 Особенности кодирования заболевания или состояния (группы заболеваний или состояний) по Международной статистической классификации болезней и проблем, связанных со здоровьем.
Трихомониаз (A59):A59,0 - Урогенитальный трихомониаз;
A59,8 - Трихомониаз других локализаций;
A59,9 - Трихомониаз неуточненный.
Классификация
1,5 Классификация заболевания или состояния (группы заболеваний или состояний).
Клиническая классификация урогенитального трихомониаза основана на локализации патологического процесса.• Трихомониаз нижнего отдела урогенитального тракта у женщин:
• вульвит;
• вагинит;
• цервицит;
• уретрит;
• цистит.
• Трихомониаз органов малого таза и других мочеполовых органов у женщин:
• вестибулит;
• парауретрит;
• сальпингит.
• Трихомониаз нижнего отдела урогенитального тракта у мужчин:
3,1 уретрит;
3,2 баланит и баланопостит;
3,3 цистит.
4. Трихомониаз верхних отделов урогенитального тракта и других мочеполовых органов у мужчин:
4,1 эпидидимит;
4,2 простатит;
4,3 везикулит;
4,4 парауретрит.
Клиническая картина
Трихомониаз нижних отделов мочеполового тракта.
У 20-40% пациентов отмечается субъективно асимптомное течение урогенитального трихомониаза.
У женщин при наличии клинических проявлений могут быть следующие субъективные симптомы: выделения из половых путей серо-желтого цвета, нередко - пенистые, с неприятным запахом; зуд, жжение в области половых органов; болезненность во время половых контактов (диспареуния); зуд, жжение, болезненность при мочеиспускании (дизурия); дискомфорт и/или боль в нижней части живота.
Объективными симптомами заболевания у женщин являются: гиперемия и отечность слизистой оболочки вульвы, влагалища; серо-желтые, жидкие пенистые вагинальные выделения с неприятным запахом; редко - эрозивно-язвенные поражения слизистой оболочки половых органов, кожи внутренней поверхности бедер; петехиальные кровоизлияния на слизистой оболочке влагалищной части шейки матки.
У мужчин субъективными симптомами заболевания являются: серо-желтые, жидкие выделения из уретры; зуд, жжение в области уретры; боль в промежности с иррадиацией в прямую кишку; болезненность во время половых контактов (диспареуния); зуд, жжение, болезненность при мочеиспускании (дизурия); реже - эрозивно-язвенные высыпания на коже головки полового члена; гематоспермия (редко).
Объективными симптомами заболевания у мужчин являются: гиперемия и отечность в области наружного отверстия уретры; скудные или умеренные серо-желтые, жидкие уретральные выделения; реже - эрозивно-язвенные высыпания на коже головки полового члена.
Трихомониаз органов малого таза и других мочеполовых органов.
Субъективными симптомами у женщин являются:
• при вестибулите: незначительные выделения из половых путей серо-желтого цвета, нередко - пенистые, с неприятным запахом, болезненность и отечность в области вульвы. При формировании абсцесса железы присоединяются симптомы общей интоксикации; боли усиливаются при ходьбе и в покое, принимая пульсирующий характер;
• при сальпингите: боль в области нижней части живота, нередко схваткообразного характера; выделения из половых путей серо-желтого цвета, нередко - пенистые, с неприятным запахом; при хроническом течении заболевания субъективные проявления менее выражены.
Объективными симптомами у женщин являются:
• при вестибулите: незначительные серо-желтые, жидкие выделения из половых путей, гиперемия наружных отверстий протоков вестибулярных желез, болезненность и отечность протоков при пальпации. При формировании абсцесса железы - общая и местная гипертермия, при пальпации железы наблюдаются скудные выделения серо-желтого цвета; определяется четко ограниченная инфильтрация, гиперемия и выраженная болезненность в зоне проекции протока;
• при сальпингите: при остром течении воспалительного процесса - увеличенные, болезненные при пальпации маточные трубы, укорочение сводов влагалища, серо-желтые, жидкие пенистые выделения из цервикального канала; при хроническом течении заболевания - незначительная болезненность, уплотнение маточных труб.
Субъективными симптомами у мужчин являются:
• при эпидидимите: серо-желтые, жидкие выделения из мочеиспускательного канала, дизурия, диспареуния, болезненность в области придатка яичка и паховой области; боль в промежности с иррадиацией в область прямой кишки, в нижней части живота, в области мошонки; боль может распространяться на семенной канатик, паховый канал, область поясницы, крестца;
• при простатите: боль в промежности и в нижней части живота с иррадиацией в область прямой кишки, дизурия;
• при везикулите: боль в области крестца, промежности, заднего прохода, усиливающаяся при мочеиспускании и дефекации, учащенное мочеиспускание, ночные эрекции, возможна гематоспермия.
Объективными симптомами у мужчин являются:
• при эпидидимите: серо-желтые, жидкие выделения из мочеиспускательного канала, при пальпации определяются увеличенные, плотные и болезненные яичко и его придаток, гиперемия и отек мошонки в области поражения;
• при простатите: при пальпации определяется болезненная, уплотненная предстательная железа;
• при везикулите: при пальпации определяется отёчность и болезненность в области семенных пузырьков.
У лиц обоего пола возможно поражение парауретральных желез, при этом субъективными симптомами являются: зуд, жжение, болезненность при мочеиспускании (дизурия); серо-желтые, жидкие выделения из мочеиспускательного канала; болезненность во время половых контактов (диспареуния); болезненность в области наружного отверстия уретры. Объективными симптомами парауретрита являются: серо-желтые, жидкие выделения из мочеиспускательного канала, наличие плотных болезненных образований величиной с просяное зерно в области выводных протоков парауретральных желез.
Субъективные и объективные симптомы урогенитального трихомониаза у детей и подростков аналогичны таковым у взрослых лиц. Особенностью клинического течения заболевания у девочек является более выраженная субъективная и объективная симптоматика.
У 20-40% пациентов отмечается субъективно асимптомное течение урогенитального трихомониаза.
У женщин при наличии клинических проявлений могут быть следующие субъективные симптомы: выделения из половых путей серо-желтого цвета, нередко - пенистые, с неприятным запахом; зуд, жжение в области половых органов; болезненность во время половых контактов (диспареуния); зуд, жжение, болезненность при мочеиспускании (дизурия); дискомфорт и/или боль в нижней части живота.
Объективными симптомами заболевания у женщин являются: гиперемия и отечность слизистой оболочки вульвы, влагалища; серо-желтые, жидкие пенистые вагинальные выделения с неприятным запахом; редко - эрозивно-язвенные поражения слизистой оболочки половых органов, кожи внутренней поверхности бедер; петехиальные кровоизлияния на слизистой оболочке влагалищной части шейки матки.
У мужчин субъективными симптомами заболевания являются: серо-желтые, жидкие выделения из уретры; зуд, жжение в области уретры; боль в промежности с иррадиацией в прямую кишку; болезненность во время половых контактов (диспареуния); зуд, жжение, болезненность при мочеиспускании (дизурия); реже - эрозивно-язвенные высыпания на коже головки полового члена; гематоспермия (редко).
Объективными симптомами заболевания у мужчин являются: гиперемия и отечность в области наружного отверстия уретры; скудные или умеренные серо-желтые, жидкие уретральные выделения; реже - эрозивно-язвенные высыпания на коже головки полового члена.
Трихомониаз органов малого таза и других мочеполовых органов.
Субъективными симптомами у женщин являются:
• при вестибулите: незначительные выделения из половых путей серо-желтого цвета, нередко - пенистые, с неприятным запахом, болезненность и отечность в области вульвы. При формировании абсцесса железы присоединяются симптомы общей интоксикации; боли усиливаются при ходьбе и в покое, принимая пульсирующий характер;
• при сальпингите: боль в области нижней части живота, нередко схваткообразного характера; выделения из половых путей серо-желтого цвета, нередко - пенистые, с неприятным запахом; при хроническом течении заболевания субъективные проявления менее выражены.
Объективными симптомами у женщин являются:
• при вестибулите: незначительные серо-желтые, жидкие выделения из половых путей, гиперемия наружных отверстий протоков вестибулярных желез, болезненность и отечность протоков при пальпации. При формировании абсцесса железы - общая и местная гипертермия, при пальпации железы наблюдаются скудные выделения серо-желтого цвета; определяется четко ограниченная инфильтрация, гиперемия и выраженная болезненность в зоне проекции протока;
• при сальпингите: при остром течении воспалительного процесса - увеличенные, болезненные при пальпации маточные трубы, укорочение сводов влагалища, серо-желтые, жидкие пенистые выделения из цервикального канала; при хроническом течении заболевания - незначительная болезненность, уплотнение маточных труб.
Субъективными симптомами у мужчин являются:
• при эпидидимите: серо-желтые, жидкие выделения из мочеиспускательного канала, дизурия, диспареуния, болезненность в области придатка яичка и паховой области; боль в промежности с иррадиацией в область прямой кишки, в нижней части живота, в области мошонки; боль может распространяться на семенной канатик, паховый канал, область поясницы, крестца;
• при простатите: боль в промежности и в нижней части живота с иррадиацией в область прямой кишки, дизурия;
• при везикулите: боль в области крестца, промежности, заднего прохода, усиливающаяся при мочеиспускании и дефекации, учащенное мочеиспускание, ночные эрекции, возможна гематоспермия.
Объективными симптомами у мужчин являются:
• при эпидидимите: серо-желтые, жидкие выделения из мочеиспускательного канала, при пальпации определяются увеличенные, плотные и болезненные яичко и его придаток, гиперемия и отек мошонки в области поражения;
• при простатите: при пальпации определяется болезненная, уплотненная предстательная железа;
• при везикулите: при пальпации определяется отёчность и болезненность в области семенных пузырьков.
У лиц обоего пола возможно поражение парауретральных желез, при этом субъективными симптомами являются: зуд, жжение, болезненность при мочеиспускании (дизурия); серо-желтые, жидкие выделения из мочеиспускательного канала; болезненность во время половых контактов (диспареуния); болезненность в области наружного отверстия уретры. Объективными симптомами парауретрита являются: серо-желтые, жидкие выделения из мочеиспускательного канала, наличие плотных болезненных образований величиной с просяное зерно в области выводных протоков парауретральных желез.
Субъективные и объективные симптомы урогенитального трихомониаза у детей и подростков аналогичны таковым у взрослых лиц. Особенностью клинического течения заболевания у девочек является более выраженная субъективная и объективная симптоматика.
|
|
Диагностика
Диагноз устанавливается только после лабораторного подтверждения наличия Trichomonas vaginalis в клинических образцах, полученных из урогенитального тракта.
У женщин: осмотр слизистых оболочек влагалища и видимой части шейки матки с помощью зеркала Куско; оценка выделений в заднем и задне-боковых сводах влагалища, выделений из цервикального канала; бимануальное влагалищное исследование.
У мужчин: пальпация органов мошонки, пальцевое ректальное исследование (по показаниям).
Объективные клинические проявления урогенитального трихомониаза, выявляемые при физикальном обследовании, описаны в разделе «Клиническая картина».
• лицам с клиническими и/или лабораторными признаками воспалительного процесса органов урогенитального тракта и репродуктивной системы;
• при предгравидарном обследовании половых партнеров;
• при обследовании женщин во время беременности;
• при предстоящих оперативных (инвазивных) манипуляциях на половых органах и органах малого таза;
• лицам с перинатальными потерями и бесплодием в анамнезе;
• половым партнёрам больных ИППП;
• лицам, перенесшим сексуальное насилие [15, 31, 42, 43].
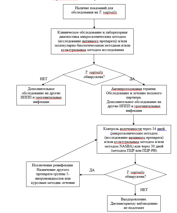
• Рекомендуется подтверждение диагноза урогенитального трихомониаза лицам с выраженной клинической картиной на основании результатов лабораторного исследования нативного препарата микроскопическим методом (фазовоконтрастная или темнопольная микроскопия): микроскопическое исследование отделяемого женских половых органов на трихомонады (Trichomonas vaginalis) и/или микроскопическое исследование отделяемого из уретры на трихомонас вагиналис (Trichomonas vaginalis) [21, 22, 28, 31,44,45].
Уровень убедительности рекомендаций. в (уровень достоверности доказательств - 2).
Комментарии. Необходимым условием микроскопии нативного препарата является проведение исследования немедленно после получения биологического материала. Наиболее высокая чувствительность (до 70%) и специфичность (до 100%) микроскопического исследования нативного препарата установлена при клинически выраженных формах заболевания, в особенности у женщин.
• Рекомендуется лабораторное подтверждение урогенитального трихомониаза пациентам молекулярно-биологическими методами, направленными на обнаружение специфических фрагментов ДНК и/или РНК T.vaginalis, с использованием тест-систем, разрешенных к медицинскому применению в Российской Федерации (ПЦР, NASBA): молекулярно-биологическое исследование отделяемого из уретры на трихомонас вагиналис (Trichomonas vaginalis) и/или молекулярно-биологическое исследование отделяемого слизистых оболочек женских половых органов на трихомонас вагиналис (Trichomonas vaginalis) и/или молекулярно-биологическое исследование мочи на трихомонас вагиналис (Trichomonas vaginalis) [26-31, 33-36, 46,47].
Уровень убедительности рекомендаций. с (уровень достоверности доказательств 2).
Комментарии. Чувствительность молекулярно-биологических методов составляет 88-97%, специфичность - 98-99%. На чувствительность исследования могут влиять различные ингибирующие факторы, вследствие чего предъявляются строгие требования к организации и режиму работы лаборатории для исключения контаминации клинического материала.
• Рекомендуется лабораторное подтверждение урогенитального трихомониаза пациентам с малосимптомными и бессимптомными формами заболевания на основании результатов: микробиологического (культурального) исследования отделяемого из уретры на трихомонас вагиналис (Trichomonas vaginalis) и/или микробиологического (культурального) исследования влагалищного отделяемого на трихомонас вагиналис (Trichomonas vaginalis) и/или микробиологического (культурального) исследование секрета простаты на трихомонас вагиналис (Trichomonas vaginalis) [24, 25, 30, 37, 38].
Уровень убедительности рекомендаций. с (уровень достоверности доказательств 4).
Комментарии. Культуральное исследование показано при мало - и бессимптомных формах заболевания, а также в случаях, когда предполагаемый диагноз не подтверждается при микроскопическом исследовании. Чувствительность культурального исследования достигает 95%, но метод отличается большей трудоемкостью и длительностью выполнения по сравнению с молекулярно-биологическими методами, что ограничивает его применение.
Комментарии. Необходимо для получения достоверных результатов лабораторных исследований соблюдение ряда требований, к которым относятся:
• сроки получения клинического материала с учетом применения антибактериальных лекарственных препаратов: для идентификации T. Vaginalis культуральным методом и методом амплификации РНК (NASBA) - не ранее, чем через 14 дней после окончания приема препаратов, на основании методов амплификации ДНК (ПЦР, ПЦР в режиме реального времени) - не ранее, чем через месяц после окончания приема препаратов;
• получение клинического материала из уретры не ранее, чем через 3 часа после последнего мочеиспускания, при наличии обильных уретральных выделений - через 15-20 минут после мочеиспускания;
• получение клинического материала из цервикального канала и влагалища вне менструации;
• соблюдение условий доставки образцов в лабораторию.
• Не рекомендуется лабораторная диагностика урогенитального трихомониаза пациентам всех возрастных групп и категорий на основании результатов микроскопического исследования окрашенных препаратов ввиду субъективизма оценки результатов исследования [21, 22, 28, 31, 33, 34].
Уровень убедительности рекомендаций. в (уровень достоверности доказательств 2).
• Не рекомендуется использование других методов лабораторных исследований, в том числе, метода прямой иммунофлюоресценции для идентификации T.vaginalis и иммуноферментного анализа для обнаружения антител к T.vaginalis для диагностики урогенитального трихомониаза пациентам всех возрастных групп и категорий [30].
Уровень убедительности рекомендаций. С (уровень достоверности доказательств 5).
Комментарии. Не следует применять биологические, химические и алиментарные провокации с целью повышения эффективности диагностики и лечения урогенитального трихомониаза пациентам всех возрастных групп и категорий [32].
Уровень убедительности рекомендаций. С (уровень достоверности доказательств 4).
Уровень убедительности рекомендаций. С (уровень достоверности доказательств 5).
• Рекомендуется консультация врача-уролога с целью диагностики возможных осложнений со стороны репродуктивной системы, при длительном течении и неэффективности ранее проводимой терапии эпидидимита и простатита [41, 56].
Уровень убедительности рекомендаций. С (уровень достоверности доказательств 5).
2,1 Жалобы и анамнез.
Субъективные клинические проявления урогенитального трихомониаза описаны в разделе «Клиническая картина».2,2 Физикальное обследование.
Проводится осмотр кожных покровов наружных половых органов и аногенитальной области, видимых слизистых оболочек наружных половых органов и уретры, оценивается наличие свободных выделений и их характер, проводится пальпация уретры, а также регионарных лимфатических узлов.У женщин: осмотр слизистых оболочек влагалища и видимой части шейки матки с помощью зеркала Куско; оценка выделений в заднем и задне-боковых сводах влагалища, выделений из цервикального канала; бимануальное влагалищное исследование.
У мужчин: пальпация органов мошонки, пальцевое ректальное исследование (по показаниям).
Объективные клинические проявления урогенитального трихомониаза, выявляемые при физикальном обследовании, описаны в разделе «Клиническая картина».
2,3 Лабораторные диагностические исследования.
Лабораторная диагностика урогенитального трихомониаза показана следующим лицам:• лицам с клиническими и/или лабораторными признаками воспалительного процесса органов урогенитального тракта и репродуктивной системы;
• при предгравидарном обследовании половых партнеров;
• при обследовании женщин во время беременности;
• при предстоящих оперативных (инвазивных) манипуляциях на половых органах и органах малого таза;
• лицам с перинатальными потерями и бесплодием в анамнезе;
• половым партнёрам больных ИППП;
• лицам, перенесшим сексуальное насилие [15, 31, 42, 43].
• Рекомендуется подтверждение диагноза урогенитального трихомониаза лицам с выраженной клинической картиной на основании результатов лабораторного исследования нативного препарата микроскопическим методом (фазовоконтрастная или темнопольная микроскопия): микроскопическое исследование отделяемого женских половых органов на трихомонады (Trichomonas vaginalis) и/или микроскопическое исследование отделяемого из уретры на трихомонас вагиналис (Trichomonas vaginalis) [21, 22, 28, 31,44,45].
Уровень убедительности рекомендаций. в (уровень достоверности доказательств - 2).
Комментарии. Необходимым условием микроскопии нативного препарата является проведение исследования немедленно после получения биологического материала. Наиболее высокая чувствительность (до 70%) и специфичность (до 100%) микроскопического исследования нативного препарата установлена при клинически выраженных формах заболевания, в особенности у женщин.
• Рекомендуется лабораторное подтверждение урогенитального трихомониаза пациентам молекулярно-биологическими методами, направленными на обнаружение специфических фрагментов ДНК и/или РНК T.vaginalis, с использованием тест-систем, разрешенных к медицинскому применению в Российской Федерации (ПЦР, NASBA): молекулярно-биологическое исследование отделяемого из уретры на трихомонас вагиналис (Trichomonas vaginalis) и/или молекулярно-биологическое исследование отделяемого слизистых оболочек женских половых органов на трихомонас вагиналис (Trichomonas vaginalis) и/или молекулярно-биологическое исследование мочи на трихомонас вагиналис (Trichomonas vaginalis) [26-31, 33-36, 46,47].
Уровень убедительности рекомендаций. с (уровень достоверности доказательств 2).
Комментарии. Чувствительность молекулярно-биологических методов составляет 88-97%, специфичность - 98-99%. На чувствительность исследования могут влиять различные ингибирующие факторы, вследствие чего предъявляются строгие требования к организации и режиму работы лаборатории для исключения контаминации клинического материала.
• Рекомендуется лабораторное подтверждение урогенитального трихомониаза пациентам с малосимптомными и бессимптомными формами заболевания на основании результатов: микробиологического (культурального) исследования отделяемого из уретры на трихомонас вагиналис (Trichomonas vaginalis) и/или микробиологического (культурального) исследования влагалищного отделяемого на трихомонас вагиналис (Trichomonas vaginalis) и/или микробиологического (культурального) исследование секрета простаты на трихомонас вагиналис (Trichomonas vaginalis) [24, 25, 30, 37, 38].
Уровень убедительности рекомендаций. с (уровень достоверности доказательств 4).
Комментарии. Культуральное исследование показано при мало - и бессимптомных формах заболевания, а также в случаях, когда предполагаемый диагноз не подтверждается при микроскопическом исследовании. Чувствительность культурального исследования достигает 95%, но метод отличается большей трудоемкостью и длительностью выполнения по сравнению с молекулярно-биологическими методами, что ограничивает его применение.
Комментарии. Необходимо для получения достоверных результатов лабораторных исследований соблюдение ряда требований, к которым относятся:
• сроки получения клинического материала с учетом применения антибактериальных лекарственных препаратов: для идентификации T. Vaginalis культуральным методом и методом амплификации РНК (NASBA) - не ранее, чем через 14 дней после окончания приема препаратов, на основании методов амплификации ДНК (ПЦР, ПЦР в режиме реального времени) - не ранее, чем через месяц после окончания приема препаратов;
• получение клинического материала из уретры не ранее, чем через 3 часа после последнего мочеиспускания, при наличии обильных уретральных выделений - через 15-20 минут после мочеиспускания;
• получение клинического материала из цервикального канала и влагалища вне менструации;
• соблюдение условий доставки образцов в лабораторию.
• Не рекомендуется лабораторная диагностика урогенитального трихомониаза пациентам всех возрастных групп и категорий на основании результатов микроскопического исследования окрашенных препаратов ввиду субъективизма оценки результатов исследования [21, 22, 28, 31, 33, 34].
Уровень убедительности рекомендаций. в (уровень достоверности доказательств 2).
• Не рекомендуется использование других методов лабораторных исследований, в том числе, метода прямой иммунофлюоресценции для идентификации T.vaginalis и иммуноферментного анализа для обнаружения антител к T.vaginalis для диагностики урогенитального трихомониаза пациентам всех возрастных групп и категорий [30].
Уровень убедительности рекомендаций. С (уровень достоверности доказательств 5).
Комментарии. Не следует применять биологические, химические и алиментарные провокации с целью повышения эффективности диагностики и лечения урогенитального трихомониаза пациентам всех возрастных групп и категорий [32].
Уровень убедительности рекомендаций. С (уровень достоверности доказательств 4).
2,4 Инструментальные диагностические исследования.
Не применяются.2,5 Иные диагностические исследования.
• Рекомендуется консультация врача акушера-гинеколога при вовлечении в воспалительный процесс органов малого таза, при ведении беременных, больных урогенитальным трихомониазом, с целью определения тактики ведения [41,56].Уровень убедительности рекомендаций. С (уровень достоверности доказательств 5).
• Рекомендуется консультация врача-уролога с целью диагностики возможных осложнений со стороны репродуктивной системы, при длительном течении и неэффективности ранее проводимой терапии эпидидимита и простатита [41, 56].
Уровень убедительности рекомендаций. С (уровень достоверности доказательств 5).
|
|
Лечение
3,1 Консервативное лечение.
Лечение урогенитального трихомониаза проводится синтетическими антибактериальными средствами (производными имидазола или нитроимидазола).• Рекомендуется для лечения трихомониаза нижнего отдела мочеполовой системы назначать перорально один из следующих препаратов с целью эрадикации T. vaginalis и клинического выздоровления:
Метронидазол**500 мг 2 раза в сутки в течение 7 дней [1, 2, 3-5, 8-12, 14, 19, 31,53,54, 58].
Уровень убедительности рекомендаций. С (уровень достоверности доказательств 2).
Или.
Метронидазол** 2,0 г однократно [1, 2, 3-5, 8-12, 14, 19, 31].
Уровень убедительности рекомендаций. А (уровень достоверности доказательств 1).
Или.
Тинидазол 500 мг 2 раза в сутки в течение 5 дней [1, 2, 3-5, 8-12, 14, 19, 31, 56, 59].
Уровень убедительности рекомендаций. А (уровень достоверности доказательств 1).
Или.
Тинидазол 2,0 г однократно [1, 2, 3-5, 8-12, 14, 19, 31,53].
Уровень убедительности рекомендаций. А (уровень достоверности доказательств 1).
Или.
Орнидазол 500 мг 2 раза в сутки в течение 5 дней [6, 7, 9, 13, 14, 48].
Уровень убедительности рекомендаций. А (уровень достоверности доказательств 2).
Или.
Орнидазол 1,5 г однократно [6, 7, 9, 13, 14, 54].
Уровень убедительности рекомендаций. С (уровень достоверности доказательств 2).
• Рекомендуется для лечения осложненного и рецидивирующего трихомониаза назначать перорально один из следующих препаратов с целью эрадикации T. vaginalis и клинического выздоровления:
Метронидазол** 500 мг 3 раза в сутки в течение 7 дней [15, 19, 31, 39, 40, 49, 54].
Уровень убедительности рекомендаций. С (уровень достоверности доказательств 5).
Или.
Метронидазол** 2,0 г внутрь 1 раз в сутки в течение 5 дней [15, 19, 31, 39, 40, 53].
Уровень убедительности рекомендаций. С (уровень достоверности доказательств 5).
Или.
Орнидазол 500 мг 2 раза в сутки в течение 10 дней [15, 19, 31, 39, 40,54, 56].
Уровень убедительности рекомендаций. С (уровень достоверности доказательств 5).
Или.
Тинидазол 2,0 г 1 раз в сутки в течение 3 дней [15, 19, 31, 39, 40,56].
Уровень убедительности рекомендаций. С (уровень достоверности доказательств 5).
• Рекомендуется при лечении осложненных форм урогенитального трихомониаза у женщин одновременно с пероральными препаратами применение препаратов с противопротозойным и антибактериальным действием для местного применения в гинекологии:
Метронидазол, вагинальная таблетка 500 мг 1 раз в сутки в течение 6 дней [57] .
Уровень убедительности рекомендаций. С (уровень достоверности доказательств 5).
Или.
Метронидазол, гель вагнальный 5 г интравагинально 2 раза в сутки в течение 5 дней [52].
Уровень убедительности рекомендаций. С (уровень достоверности доказательств 5).
• Рекомендуется для лечения беременных с целью эрадикации T. vaginalis и клинического выздоровления назначать перорально один из следующих препаратов:
Метронидазол** 500 мг 2 раза в сутки в течение 7 дней [16,17,56, 59].
Или.
Метронидазол** 2,0 г однократно [16, 17, 53].
Уровень убедительности рекомендаций. С ( уровень достоверности доказательств 5).
Комментарии. Применение метронидазола**, возможно не ранее 2 триместра беременности с учетом их влияния на плод при участии врачей-акушеров-гинекологов. Одновременно с пероральными препаратами возможно применение препаратов с противопротозойным и антибактериальным действием для местного применения в гинекологии.
• Рекомендуется для лечения детей с целью эрадикации T. vaginalis и клинического выздоровления назначать перорально один из следующих препаратов:
Метронидазол** 10 мг на кг массы тела 3 раза в сутки в течение 5 дней [15, 18, 50, 51,56, 57].
Уровень убедительности рекомендаций. С (уровень достоверности доказательств 4).
Или.
Орнидазол 25 мг на кг массы тела перорально 1 раз в сутки в течение 5 дней [15,55].
Уровень убедительности рекомендаций. С (уровень достоверности доказательств 5).
Комментарии. Лечение трихомонадной инфекции у детей с массой тела более 35 кг проводится в соответствии со схемами назначения у взрослых лиц.
При подтвержденной трихомонадной инфекции у детей необходимо исключение полового пути передачи.
Не следует проводить системную энзимотерапию, иммуномодулирующую терапию и терапию местными антисептическими средствами (применение не является обоснованным с позиций доказательной медицины).
• При отсутствии эффекта от лечения рекомендуется исключение реинфекции и назначение другого препарата производных имидазола или нитроимидазола или курсовых методик лечения [8-12, 56].
Уровень убедительности рекомендаций. С (уровень достоверности доказательств 5).
3,2 Хирургическое лечение.
Не применяется.3,3 Иное лечение.
Диетотерапия не показана.Обезболивание не проводится.
Реабилитация и амбулаторное лечение
Не применяется.
Профилактика
Профилактика.
• исключение случайных половых контактов;
• использование средств барьерной контрацепции;
• обследование и лечение половых партнеров [40].
Диспансерное наблюдение.
• Рекомендован контроль эффективности лечения рекомендовано осуществлять микроскопическим исследованием нативного препарата и/или микробиологическим (культуральным) методом исследования и/или определением РНК трихомонас вагиналис (Trichomonas vaginalis) (NASBA) через 14 дней после окончания лечения, определением ДНК трихомонас вагиналис (Trichomonas vaginalis) методом ПЦР- не ранее, чем через месяц после окончания лечения. При отрицательных результатах обследования пациенты дальнейшему наблюдению не подлежат [41, 54].
Уровень убедительности рекомендаций С (уровень достоверности доказательств - 5).
• исключение случайных половых контактов;
• использование средств барьерной контрацепции;
• обследование и лечение половых партнеров [40].
Диспансерное наблюдение.
• Рекомендован контроль эффективности лечения рекомендовано осуществлять микроскопическим исследованием нативного препарата и/или микробиологическим (культуральным) методом исследования и/или определением РНК трихомонас вагиналис (Trichomonas vaginalis) (NASBA) через 14 дней после окончания лечения, определением ДНК трихомонас вагиналис (Trichomonas vaginalis) методом ПЦР- не ранее, чем через месяц после окончания лечения. При отрицательных результатах обследования пациенты дальнейшему наблюдению не подлежат [41, 54].
Уровень убедительности рекомендаций С (уровень достоверности доказательств - 5).
|
|
Организация оказания медицинской помощи
Показаний для госпитализации в медицинскую организацию нет.
Медицинская помощь оказывается в рамках первичной специализированной медико-санитарной помощи врачами-дерматовенерологами в амбулаторных условиях.
При выявлении больного заполняется форма N 089-у/кв.
«Извещение о больном с вновь установленным диагнозом: сифилиса, гонококковой инфекции, хламидийных инфекций, трихомоноза, аногенитальной герпетической вирусной инфекции, аногенитальных (венерических) бородавок, микоза, чесотки» в порядке установленном письмом Министерства здравоохранения РФ от 2 марта 2015 г. N 13-2/25.
Медицинская помощь оказывается в рамках первичной специализированной медико-санитарной помощи врачами-дерматовенерологами в амбулаторных условиях.
При выявлении больного заполняется форма N 089-у/кв.
«Извещение о больном с вновь установленным диагнозом: сифилиса, гонококковой инфекции, хламидийных инфекций, трихомоноза, аногенитальной герпетической вирусной инфекции, аногенитальных (венерических) бородавок, микоза, чесотки» в порядке установленном письмом Министерства здравоохранения РФ от 2 марта 2015 г. N 13-2/25.
Дополнительно
Пациентов с установленным диагнозом урогенитальный трихомониаз необходимо обследовать на другие инфекции, передаваемые половым путем, в том числе сифилис, а также ВИЧ, гепатиты В и С.Проводят определение антигена (HbsAg) вируса гепатита в (Hepatitis в virus) в крови; определение антител классов M, G.(IgM,IgG) к вирусу иммунодефицита человека ВИЧ -1 (Human immunodeficiencyvirus HIV 1) в крови; определение антител классов M,G (IgM, IgG) к вирусу иммунодефицита человека ВИЧ-2 (Human immunodeficiency virus HIV 2) в крови; определение антител к бледной трепонеме (Treponema pallidum) в нетрепонемных тестах (RPR,РМП) качественное и полуколичественное исследование) в сыворотке крови; определение антигена вируса гепатита с (Hepatitis с) в крови.
При неустановленном источнике инфицирования рекомендуется повторное серологическое исследование на сифилис через 3 месяца, на ВИЧ, гепатиты В и С - через 3-6-9 месяцев. При неизвестном или ранее отрицательном ВИЧ- статусе при постановке диагноза и через 6 месяцев рекомендуется тестирование на ВИЧ.
При неустановленном источнике инфицирования рекомендуется повторное серологическое исследование на сифилис через 3 месяца, на ВИЧ, гепатиты В и С - через 3-6-9 месяцев. При неизвестном или ранее отрицательном ВИЧ- статусе при постановке диагноза и через 6 месяцев рекомендуется тестирование на ВИЧ.
Критерии оценки качества медицинской помощи
| № | Критерии качества | Уровень убедительности доказательств | Уровень достоверности доказательств |
| 1 | Выполнено подтверждение диагноза микроскопическим методом (исследование нативного препарата) и/или молекулярно-биологическими методами и/или культуральным методом исследования | A, в | 1, 2 |
| 2 | Проведена терапия метронидазолом** или тинидазолом или орнидазолом | A, в, с | 1, 2, 3, 4 |
| 3 | Достигнута эрадикация T.vaginalis | С | 4 |
| 4 | Достигнуто клиническое выздоровление | С | 4 |
Список литературы
• Тhin RN, Symonds MAE, вooker R, сook S, Langlet F. Double-blind comparison of a single dose and a fiveday course of metronidazole in the treatment of trichomoniasis. вrit J Vener Dis 1979;55:354-356.
• Forna F, Gulmezoglu AM. Interventions for treating trichomoniasis in women (Cochrane Review). In:The сochrane Library, Issue 3, 2000. Oxford: Update Software.
• Hager D, вrown ST, Kraus SJ, Kleris GS, Perkins GJ, Henderson M, Perkins GJ, Henderson M. Metronidazole for vaginal trichomoniasis seven day vs single-dose regimens. JAMA 1980;244:1219-1220.
• Das S, Huegnsberg M, Shahmanesh M. Treatment failure of vaginal trichomoniais in clinical practice. Intl J STD & AIDS 2005;16:284-286.
• Hager D, вrown ST, Kraus SJ, Kleris GS, Perkins GJ, Henderson M, Perkins GJ, Henderson M. Metronidazole for vaginal trichomoniasis seven day vs single-dose regimens. JAMA 1980;244:1219-1220.
• Thin RN, Symonds MAE, вooker R, сook S, Langlet F. Double-blind comparison of a single dose and a five-day course of metronidazole in the treatment of trichomoniasis. вrit J Vener Dis l979;55:354.
• M Sköld, H Gnarpe, and L Hillström Ornidazole: a new antiprotozoal compound for treatment of Trichomonas vaginalis infection вr J Vener Dis. 1977 Feb; 53(1): 44-48.
• Lyng J, сhristensen J. A double blind study of treatment with a single dose tinidazole of partners to females with trichomoniasis. Acta Obstet Gynecol Scand 1981;60:199-201.
• сhaisilwattana P, вhiraleus P, Patanaparnich P, вhadrakom с. Double blind comparative study of tinidazole and ornidazole as a single dose treatment of vaginal trichomoniasis. J Med Assoc Thai. 1980 Aug;63(8):448-53.
• Dykers JR. Single dose metronidazole treatment for trichomonal vaginitis - patient and consort. N Eng J Med 1975; 293; 23-24.
• Spence MR, Harwell TS, Davies MC, et al. The minimum single oral metronidazole dose for treating trichomoniasis: a randomized, blinded study. Obstet Gynecol 1997;89(5 Pt 1):699-703.
• Prasertsawat PO, Jetsawangsri T. Split-dose metronidazole or single-dose tinidazole for the treatment of vaginal trichomoniasis. Sex Transm Dis 1992;19:295-7.
• Fugere P, Verschelden G, сaron M. Single oral dose of ornidazole in women with vaginal trichomoniasis. Obstet Gynecol. 1983 Oct;62(4):502-5.
• Serup J, Jensen RH Treatment of trichomoniasis vaginalis with single oral dosage of ornidazole (Tiberal) and tinidazole (Fasigyn). A controlled study. Ugeskr Laeger. 1978 Jun 19;140(25):1483-4.
• Федеральные клинические рекомендации. Дерматовенерология 2015: Болезни кожи. Инфекции, передаваемые половым путем. 5-е изд.,перераб. и доп. М. Деловой экспресс, 2016. 768 с.
• вurtin P, Taddio A, Adburnu 0, Einarson TR, Koren G. Safety of metronidazole in pregnancy: a metaanalysis. Am J Obstet Gynecol 1995; 172:525-529.
• сaro-Paton T, сarvajal A, de diego IM, Martin-Arias LH, Requejo AA, Pinilla ER. Is metronidazole teratogenic: a meta-analysis. вr J сlin Pharmacol 1997;44:179-18243.
• Gülmezoglu AM, Azhar M. Interventions for trichomoniasis in pregnancy// сochrane Database Syst Rev. 2011 May 11;(5):CD000220. doi: 10,1002/14651858.CD000220.pub2. Review.PMID:21563127.
• Krashin JW, Koumans EH, вradshaw-Sydnor AC, вraxton JR, Evan Secor W, Sawyer MK, Markowitz LE. Trichomonas vaginalis prevalence, incidence, risk factors and antibiotic-resistance in an adolescent population Sex Transm Dis. 2010 Jul;37(7):440-4.
• Sobel JD, Nyirjesy P, вrown W. Tinidazole Therapy for Metronidazole-Resistant Vaginal Trichomoniasis. сlinical Infectious Diseases 2001;33:1341-1346.
• Adjei с, вoateng R, Dompreh A et al. Prevalence and the evaluation of culture, wet mount, and ELISA methods for the diagnosis of Trichomonas vaginalis infection among Ghanaian women using urine and vaginal specimens. Trop Med Health. 2019 May 16;47:33. doi: 10,1186/s41182-019-0162-9. eCollection 2019.
• вickley LS, Krisher KK, Punsalang A, Trupei MA, R R eichman RC, Menegus MA. сomparison of direct fluorescent antibody, acridine orange, wet mount and culture for detection of Trichomonas vaginalis in women attending a public sexually transmitted disease clinic. Sex Trans Dis 1989;127-131.
• Kreiger JN, Tam MR, Stevens сE, et al. Diagnosis of trichomoniasis: comparison of conventional wet- mount examination with cytological studies, cultures, and monoclonal antibody staining of direct specimens. JAMA 1988;259:1223-1227.
• Kreiger JN, Viridans M, Siegel N, сritchlow с, Holmes KK. Risk assessment and laboratory diagnosis of trichomoniasis in men. J Infect Dis 1992; 166:1362-1366.
• Schmid, G.P., Matheny, L.C., Zaidi, A.A. et al. Evaluation of six media for the growth of Trichomonas vaginalis from vaginal secretions. J.Clin. Microbiol 1989;27:1230-1233.
• Gelbart, S.M., Thomason, J.L., Osypowski et al. Growth of Trichomonas vaginalis in commercial culture media. J.Clin. Microbiol 1990;28, 962-964.
• Madico G, Quinn TC, Rompalo A, McKee KT jr, Gaydos сA. Diagnosis of Trichomonas vaginalis infection by PCR using vaginal swab samples. J сlin Microbiol 1998;36:3205-3210.
• Mayta H, Gilman RH, сalderon MM, Gottlieb A, Soto Gtuero I, Sanchez S, Vivar A. 18S ribosomal DNA-based PCR for the diagnosis of Trichomonas vaginalis. J сlin Microbiol 2000;38:2683-2687.
• Weise W, Patel SC et al. A meta-analysis of the Pap anicolaou smear and wet mount for the diagnosis of vaginal trichomoniasis. Am J Med 2000;108:301-308.
• Марданлы С.Г., Куляш Г.Ю. Проблемы достоверности и объективной оценки результатов лабораторной диагностики гонореи, трихомониаза и урогенитального хламидиоза: учебно-методическое пособие / С.Г. Марданлы, Г.Ю. Куляш. Электрогорск: ЗАО «ЭКОлаб», 2011. 48 c.
• United Kingdom National Guideline on the Management of Trichomonas vaginalis 2014. Available https://www.bashh.org/documents/UK%20national%20guideline%20on%20the%20management%20of%20TV%20%202014.pdf.
• Renton A, Filatova E, Ison с, Meheus A, Dmitriev G, Akovbian V, et al. A trial of the validity of genital smears and cultures with gonococcal vaccine provocation in diagnosing genital gonorrhoea in women. Int J STD AIDS 2009; 20: 24-29.
• Nye MB, Schwebke JR, вody вA сomparison of APTIMA Trichomonas vaginalis transcription mediated amplification to wet mount microscopy, culture, and polymerase chain reaction for diagnosis of trichomoniasis in men and women American Journal of Obstetrics and Gynecology, 2009, 200:188.e181- 188.e187.
• Hobbs MM et al Methods for detection of Trichomonas vaginalis in the male partners of infected women: implications for control of trichomoniasis. Journal of сlinical Microbiology, 2006, 44:3994-3999.
• сosentino LA, сampbell T, Jett A et al Use of nucleic acid amplification testing or diagnosis of anorectal sexually transmitted infections J сlin Microbiol 2012;50:2005-855.
• Schwebke JR, Hobbs MM, Taylor SN, Sena AC, сatania MG, Weinbaum вS, Johnson AD, Getman DK, Gaydos сA. Molecular testing for Trichomonas vaginalis in women: results from a prospective U.S. clinical trial. J сlin Microbiol. 2011 Dec;49(12):4106-11.
• вorchardt KA et al. A comparison of the sensitivity of the InPouch TV, Diamond s and Trichosel media for detection of Trichomonas vaginalis. Genitourinary Medicine, 1997, 73:297-298,38.
• el Naga IF, Khalifa AM, el Azzouni MZ. In-pouch TV culture system in diagnosis of Trichomonas vaginalis infection. Journal of the Egyptian Society of Parasitology, 2001, 31:647-656.
• Das S, Huengsberg M, Shahmanesh M. Treatment failure of vaginal trichomoniasis in clinical practice Int J STD AIDS 2005; 16:284-286.
• Datta S, Mercer сH, Keeling MJ. et al. сapturing sexual contact patterns in modelling the spread of sexually transmitted infections: Evidence using Natsal-3. PLoS One. 2018 Nov 1;13(11):e0206501. doi: 10,1371/journal.pone.0206501.
• сraig-Kuhn MC, Granade с, Muzny сA Optimal Timing for Trichomonas vaginalis Test of сure Using Nucleic Acid Amplification Testing. Sex Transm Dis. 2019 May; 46(5):312-316.
• Silver в. J. et al. Trichomonas vaginalis as a cause of perinatal morbidity: a systematic review and meta-analysis //Sexually transmitted diseases. 2014. Т. 41. 6. С. 369-376.
• вosserman EA, Helms DJ, Mosure DJ et al Utility of antimicrobial susceptibility testing in Trichomonas vaginalis infected women with clinical treatment failure Sex Transm Dis 2011;38:983-98.
• Gaydos сA, Klausner JD, Pai NP et al. Rapid and point-of-care tests for the diagnosis of Trichomonas vaginalis in women and men. Sex Transm Infect. 2017 Dec;93(S4):S31-S35. doi: 10,1136/sextrans-2016-053063. Epub 2017 Jul 6.
• вosserman EA, Helms DJ, Mosure DJ et al Utility of antimicrobial susceptibility testing in Trichomonas vaginalis infected women with clinical treatment failure Sex Transm Dis 2011;38:983-98.
• Levy SB, Gunta J, Edemekong P Screening for Sexually Transmitted Diseases. Prim сare. 2019 Mar;46(1):157-173. doi: 10,1016/j.pop.2018,10,013. Epub 2018 Dec 24.
• Feng RM, Z Wang M, Smith JS et al. Risk of high-risk human papillomavirus infection and cervical precancerous lesions with past or current trichomonas infection: a pooled analysis of 25,054 women in rural сhina. J сlin Virol. 2018 Feb - Mar;99-100:84-90. doi: 10,1016/j.jcv.2017,12,015. Epub 2017 Dec 30.
• Хрянин А.А. Решетников О.В. Клиническая и микробиологическая эффективность метронидазола и орнидазола в лечении урогенитального трихомониаза у мужчин. Издание: Антибиотики и химиотерапия. 2006 г, №51 т1, стр 18-21.
• Vickovic, N., et al. Metronidazole 1,5 gram dose for 7 or 14 days in the treatment of patients with chronic prostatitis caused by Trichomonas vaginalis: A randomized study. J сhemother, 2010. 22: 364.
• American academy of Pediatrics. Sexually Transmitted Infections. Red вook®, editor Kimberly DW, 31st Edition, 2018, AAP Point-of-Care-Solutions. p.821-823.
• А.Л. Тихомиров, Г. Олейник «Урогенитальный трихомониаз» Дерматология и венерология | Опубликовано 22-01-2010.
• А.А. Кубанова,В.И. Кисина Рациональная фармакотерапия заболеваний кожи и инфекций,передаваемых половым путем.
• Фадеев А.А., Ломоносов М. 1Выбор оптимального препарата для терапии трихомониаза Регулярные выпуски «РМЖ» №4 от 27,02,2004.
• Рюмин Д.В., Липова Е.В., Баткаев Э.А. УРОГЕНИТАЛЬНЫЙ ТРИХОМОНИАЗ (Пособие для врачей) Москва 2001.
• Клименко, Б.В. Трихомониаз мужчин, женщин и детей / Б.В. Клименко []. СПб.
• Ю. Скрипкин,Ю.С. Бутов,О.Л. Иванов «Дерматовенерология. Национальное руководство»2013.
• Е.И. Юнусова, Л.А. Юсупова, З.Ш. Гараева, Г.И. Мавлютова. Особенности диагностики и лечения урогенитального трихомониаза. Журнал «Лечащий Врач» № 05/2014.
• Kissinger P. et al. A randomized trial of metronidazole in a single 2 g dose versus 500 mg twice daily for 7 days for the treatment of trichomoniasis in women //The Lancet. Infectious diseases. 2018. Т. 18. 11. С. 1251.
• Organización Mundial de la Salud (Ginebra et al. Guidelines for the management of sexually transmitted infections. World Health Organization, 2003.
• Van Schalkwyk, J., Yudin, M. H., Yudin, M. H., Allen, V., вouchard, с., вoucher, M., … van Schalkwyk, J. (2015). Vulvovaginitis: Screening for and Management of Trichomoniasis, Vulvovaginal сandidiasis, and вacterial Vaginosis. Journal of Obstetrics and Gynaecology сanada, 37(3), 266-274. doi:10,1016/s1701-2163(15)30316-9.
• Forna F, Gulmezoglu AM. Interventions for treating trichomoniasis in women (Cochrane Review). In:The сochrane Library, Issue 3, 2000. Oxford: Update Software.
• Hager D, вrown ST, Kraus SJ, Kleris GS, Perkins GJ, Henderson M, Perkins GJ, Henderson M. Metronidazole for vaginal trichomoniasis seven day vs single-dose regimens. JAMA 1980;244:1219-1220.
• Das S, Huegnsberg M, Shahmanesh M. Treatment failure of vaginal trichomoniais in clinical practice. Intl J STD & AIDS 2005;16:284-286.
• Hager D, вrown ST, Kraus SJ, Kleris GS, Perkins GJ, Henderson M, Perkins GJ, Henderson M. Metronidazole for vaginal trichomoniasis seven day vs single-dose regimens. JAMA 1980;244:1219-1220.
• Thin RN, Symonds MAE, вooker R, сook S, Langlet F. Double-blind comparison of a single dose and a five-day course of metronidazole in the treatment of trichomoniasis. вrit J Vener Dis l979;55:354.
• M Sköld, H Gnarpe, and L Hillström Ornidazole: a new antiprotozoal compound for treatment of Trichomonas vaginalis infection вr J Vener Dis. 1977 Feb; 53(1): 44-48.
• Lyng J, сhristensen J. A double blind study of treatment with a single dose tinidazole of partners to females with trichomoniasis. Acta Obstet Gynecol Scand 1981;60:199-201.
• сhaisilwattana P, вhiraleus P, Patanaparnich P, вhadrakom с. Double blind comparative study of tinidazole and ornidazole as a single dose treatment of vaginal trichomoniasis. J Med Assoc Thai. 1980 Aug;63(8):448-53.
• Dykers JR. Single dose metronidazole treatment for trichomonal vaginitis - patient and consort. N Eng J Med 1975; 293; 23-24.
• Spence MR, Harwell TS, Davies MC, et al. The minimum single oral metronidazole dose for treating trichomoniasis: a randomized, blinded study. Obstet Gynecol 1997;89(5 Pt 1):699-703.
• Prasertsawat PO, Jetsawangsri T. Split-dose metronidazole or single-dose tinidazole for the treatment of vaginal trichomoniasis. Sex Transm Dis 1992;19:295-7.
• Fugere P, Verschelden G, сaron M. Single oral dose of ornidazole in women with vaginal trichomoniasis. Obstet Gynecol. 1983 Oct;62(4):502-5.
• Serup J, Jensen RH Treatment of trichomoniasis vaginalis with single oral dosage of ornidazole (Tiberal) and tinidazole (Fasigyn). A controlled study. Ugeskr Laeger. 1978 Jun 19;140(25):1483-4.
• Федеральные клинические рекомендации. Дерматовенерология 2015: Болезни кожи. Инфекции, передаваемые половым путем. 5-е изд.,перераб. и доп. М. Деловой экспресс, 2016. 768 с.
• вurtin P, Taddio A, Adburnu 0, Einarson TR, Koren G. Safety of metronidazole in pregnancy: a metaanalysis. Am J Obstet Gynecol 1995; 172:525-529.
• сaro-Paton T, сarvajal A, de diego IM, Martin-Arias LH, Requejo AA, Pinilla ER. Is metronidazole teratogenic: a meta-analysis. вr J сlin Pharmacol 1997;44:179-18243.
• Gülmezoglu AM, Azhar M. Interventions for trichomoniasis in pregnancy// сochrane Database Syst Rev. 2011 May 11;(5):CD000220. doi: 10,1002/14651858.CD000220.pub2. Review.PMID:21563127.
• Krashin JW, Koumans EH, вradshaw-Sydnor AC, вraxton JR, Evan Secor W, Sawyer MK, Markowitz LE. Trichomonas vaginalis prevalence, incidence, risk factors and antibiotic-resistance in an adolescent population Sex Transm Dis. 2010 Jul;37(7):440-4.
• Sobel JD, Nyirjesy P, вrown W. Tinidazole Therapy for Metronidazole-Resistant Vaginal Trichomoniasis. сlinical Infectious Diseases 2001;33:1341-1346.
• Adjei с, вoateng R, Dompreh A et al. Prevalence and the evaluation of culture, wet mount, and ELISA methods for the diagnosis of Trichomonas vaginalis infection among Ghanaian women using urine and vaginal specimens. Trop Med Health. 2019 May 16;47:33. doi: 10,1186/s41182-019-0162-9. eCollection 2019.
• вickley LS, Krisher KK, Punsalang A, Trupei MA, R R eichman RC, Menegus MA. сomparison of direct fluorescent antibody, acridine orange, wet mount and culture for detection of Trichomonas vaginalis in women attending a public sexually transmitted disease clinic. Sex Trans Dis 1989;127-131.
• Kreiger JN, Tam MR, Stevens сE, et al. Diagnosis of trichomoniasis: comparison of conventional wet- mount examination with cytological studies, cultures, and monoclonal antibody staining of direct specimens. JAMA 1988;259:1223-1227.
• Kreiger JN, Viridans M, Siegel N, сritchlow с, Holmes KK. Risk assessment and laboratory diagnosis of trichomoniasis in men. J Infect Dis 1992; 166:1362-1366.
• Schmid, G.P., Matheny, L.C., Zaidi, A.A. et al. Evaluation of six media for the growth of Trichomonas vaginalis from vaginal secretions. J.Clin. Microbiol 1989;27:1230-1233.
• Gelbart, S.M., Thomason, J.L., Osypowski et al. Growth of Trichomonas vaginalis in commercial culture media. J.Clin. Microbiol 1990;28, 962-964.
• Madico G, Quinn TC, Rompalo A, McKee KT jr, Gaydos сA. Diagnosis of Trichomonas vaginalis infection by PCR using vaginal swab samples. J сlin Microbiol 1998;36:3205-3210.
• Mayta H, Gilman RH, сalderon MM, Gottlieb A, Soto Gtuero I, Sanchez S, Vivar A. 18S ribosomal DNA-based PCR for the diagnosis of Trichomonas vaginalis. J сlin Microbiol 2000;38:2683-2687.
• Weise W, Patel SC et al. A meta-analysis of the Pap anicolaou smear and wet mount for the diagnosis of vaginal trichomoniasis. Am J Med 2000;108:301-308.
• Марданлы С.Г., Куляш Г.Ю. Проблемы достоверности и объективной оценки результатов лабораторной диагностики гонореи, трихомониаза и урогенитального хламидиоза: учебно-методическое пособие / С.Г. Марданлы, Г.Ю. Куляш. Электрогорск: ЗАО «ЭКОлаб», 2011. 48 c.
• United Kingdom National Guideline on the Management of Trichomonas vaginalis 2014. Available https://www.bashh.org/documents/UK%20national%20guideline%20on%20the%20management%20of%20TV%20%202014.pdf.
• Renton A, Filatova E, Ison с, Meheus A, Dmitriev G, Akovbian V, et al. A trial of the validity of genital smears and cultures with gonococcal vaccine provocation in diagnosing genital gonorrhoea in women. Int J STD AIDS 2009; 20: 24-29.
• Nye MB, Schwebke JR, вody вA сomparison of APTIMA Trichomonas vaginalis transcription mediated amplification to wet mount microscopy, culture, and polymerase chain reaction for diagnosis of trichomoniasis in men and women American Journal of Obstetrics and Gynecology, 2009, 200:188.e181- 188.e187.
• Hobbs MM et al Methods for detection of Trichomonas vaginalis in the male partners of infected women: implications for control of trichomoniasis. Journal of сlinical Microbiology, 2006, 44:3994-3999.
• сosentino LA, сampbell T, Jett A et al Use of nucleic acid amplification testing or diagnosis of anorectal sexually transmitted infections J сlin Microbiol 2012;50:2005-855.
• Schwebke JR, Hobbs MM, Taylor SN, Sena AC, сatania MG, Weinbaum вS, Johnson AD, Getman DK, Gaydos сA. Molecular testing for Trichomonas vaginalis in women: results from a prospective U.S. clinical trial. J сlin Microbiol. 2011 Dec;49(12):4106-11.
• вorchardt KA et al. A comparison of the sensitivity of the InPouch TV, Diamond s and Trichosel media for detection of Trichomonas vaginalis. Genitourinary Medicine, 1997, 73:297-298,38.
• el Naga IF, Khalifa AM, el Azzouni MZ. In-pouch TV culture system in diagnosis of Trichomonas vaginalis infection. Journal of the Egyptian Society of Parasitology, 2001, 31:647-656.
• Das S, Huengsberg M, Shahmanesh M. Treatment failure of vaginal trichomoniasis in clinical practice Int J STD AIDS 2005; 16:284-286.
• Datta S, Mercer сH, Keeling MJ. et al. сapturing sexual contact patterns in modelling the spread of sexually transmitted infections: Evidence using Natsal-3. PLoS One. 2018 Nov 1;13(11):e0206501. doi: 10,1371/journal.pone.0206501.
• сraig-Kuhn MC, Granade с, Muzny сA Optimal Timing for Trichomonas vaginalis Test of сure Using Nucleic Acid Amplification Testing. Sex Transm Dis. 2019 May; 46(5):312-316.
• Silver в. J. et al. Trichomonas vaginalis as a cause of perinatal morbidity: a systematic review and meta-analysis //Sexually transmitted diseases. 2014. Т. 41. 6. С. 369-376.
• вosserman EA, Helms DJ, Mosure DJ et al Utility of antimicrobial susceptibility testing in Trichomonas vaginalis infected women with clinical treatment failure Sex Transm Dis 2011;38:983-98.
• Gaydos сA, Klausner JD, Pai NP et al. Rapid and point-of-care tests for the diagnosis of Trichomonas vaginalis in women and men. Sex Transm Infect. 2017 Dec;93(S4):S31-S35. doi: 10,1136/sextrans-2016-053063. Epub 2017 Jul 6.
• вosserman EA, Helms DJ, Mosure DJ et al Utility of antimicrobial susceptibility testing in Trichomonas vaginalis infected women with clinical treatment failure Sex Transm Dis 2011;38:983-98.
• Levy SB, Gunta J, Edemekong P Screening for Sexually Transmitted Diseases. Prim сare. 2019 Mar;46(1):157-173. doi: 10,1016/j.pop.2018,10,013. Epub 2018 Dec 24.
• Feng RM, Z Wang M, Smith JS et al. Risk of high-risk human papillomavirus infection and cervical precancerous lesions with past or current trichomonas infection: a pooled analysis of 25,054 women in rural сhina. J сlin Virol. 2018 Feb - Mar;99-100:84-90. doi: 10,1016/j.jcv.2017,12,015. Epub 2017 Dec 30.
• Хрянин А.А. Решетников О.В. Клиническая и микробиологическая эффективность метронидазола и орнидазола в лечении урогенитального трихомониаза у мужчин. Издание: Антибиотики и химиотерапия. 2006 г, №51 т1, стр 18-21.
• Vickovic, N., et al. Metronidazole 1,5 gram dose for 7 or 14 days in the treatment of patients with chronic prostatitis caused by Trichomonas vaginalis: A randomized study. J сhemother, 2010. 22: 364.
• American academy of Pediatrics. Sexually Transmitted Infections. Red вook®, editor Kimberly DW, 31st Edition, 2018, AAP Point-of-Care-Solutions. p.821-823.
• А.Л. Тихомиров, Г. Олейник «Урогенитальный трихомониаз» Дерматология и венерология | Опубликовано 22-01-2010.
• А.А. Кубанова,В.И. Кисина Рациональная фармакотерапия заболеваний кожи и инфекций,передаваемых половым путем.
• Фадеев А.А., Ломоносов М. 1Выбор оптимального препарата для терапии трихомониаза Регулярные выпуски «РМЖ» №4 от 27,02,2004.
• Рюмин Д.В., Липова Е.В., Баткаев Э.А. УРОГЕНИТАЛЬНЫЙ ТРИХОМОНИАЗ (Пособие для врачей) Москва 2001.
• Клименко, Б.В. Трихомониаз мужчин, женщин и детей / Б.В. Клименко []. СПб.
• Ю. Скрипкин,Ю.С. Бутов,О.Л. Иванов «Дерматовенерология. Национальное руководство»2013.
• Е.И. Юнусова, Л.А. Юсупова, З.Ш. Гараева, Г.И. Мавлютова. Особенности диагностики и лечения урогенитального трихомониаза. Журнал «Лечащий Врач» № 05/2014.
• Kissinger P. et al. A randomized trial of metronidazole in a single 2 g dose versus 500 mg twice daily for 7 days for the treatment of trichomoniasis in women //The Lancet. Infectious diseases. 2018. Т. 18. 11. С. 1251.
• Organización Mundial de la Salud (Ginebra et al. Guidelines for the management of sexually transmitted infections. World Health Organization, 2003.
• Van Schalkwyk, J., Yudin, M. H., Yudin, M. H., Allen, V., вouchard, с., вoucher, M., … van Schalkwyk, J. (2015). Vulvovaginitis: Screening for and Management of Trichomoniasis, Vulvovaginal сandidiasis, and вacterial Vaginosis. Journal of Obstetrics and Gynaecology сanada, 37(3), 266-274. doi:10,1016/s1701-2163(15)30316-9.
|
|
Приложения
Приложение А1.
Состав рабочей группы по разработке и пересмотру клинических рекомендаций.• Кубанов Алексей Алексеевич - член-корреспондент РАН, президент ООО «РОДВК», директор ФГБУ «ГНЦДК» Минздрава России, заведующий кафедрой дерматовенерологии и косметологии ФГБОУ ДПО «РАМНПО» Минздрава России.
• Серов Владимир Николаевич - академик РАН, доктор медицинских наук, профессор, президент ООО «РОАГ».
• Абудуев Назирбек Каримуллаевич - доктор медицинских наук, старший научный сотрудник ФГБУ «ГНЦДК» Минздрава России, член Российского общества дерматовенерологов и косметологов.
• Аполихина Инна Анатольевна - доктор медицинских наук, профессор, заведующий отделением эстетической гинекологии и реабилитации ФГБУ «НМИЦ АГП им. В.И. Кулакова» Минздрава России, член Российского общества акушеров-гинекологов.
• Блохин Борис Моисеевич - доктор медицинских наук, профессор, заслуженный врач РФ, Член Исполкома Союза педиатров России, председатель Российского общества по Неотложной педиатрии, председатель Европейской рабочей группы по симуляционному обучению неотложных состояний в педиатрии, почетный член Нью-Йоркской Академии наук.
• Богданова Елена Витальевна - старший научный сотрудник научно-организационного отдела ФГБУ «ГНЦДК» Минздрава России, член Российского общества дерматовенерологов и косметологов.
• Васильев Михаил Михайлович - доктор медицинских наук, профессор, ведущий научный сотрудник ФГБУ «ГНЦДК» Минздрава России, член Российского общества дерматовенерологов и косметологов.
• Власов Василий Викторович - доктор медицинских наук, профессор, член Экспертного комитета по медицинским исследованиям Европейского бюро Всемирной организации здравоохранения 2007-2017, член Комиссии РАН по противодействию фальсификации научных исследований, Комиссии РАН по борьбе с лженаукой, эксперт РАН, член Общественного совета при Минздраве России, вице-президент Общества специалистов доказательной медицины.
• Гомберг Михаил Александрович - доктор медицинских наук, профессор, главный научный сотрудник ГБУЗ «МНПЦДК» Департамента здравоохранения г. Москвы, член Союза «Национальный альянс дерматовенерологов и косметологов», Член Royal сollege of Physicians (RCP), Член Американской Академии Дерматологии (AAD), член Европейской Академии Дерматовенерологии (EADV), Старший Советник Международного Союза по борьбе с инфекциями, передаваемыми половым путем (IUSTI).
• Грекова Юлия Николаевна - доктор медицинских наук, доцент, ведущий научный сотрудник научного клинического отдела сифилидологии и ИППП УрНИИДВиИ, Екатеринбург.
• Гущин Александр Евгеньевич - кандидат биологических наук, ведущий научный сотрудник ГБУЗ «МНПЦДК» Департамента здравоохранения г. Москвы, член Союза «Национальный альянс дерматовенерологов и косметологов», член комитета по микробиологии Федерации лабораторной медицины, член Европейского союза по борьбе с ИППП (IUSTI/ВОЗ), член Гильдии специалистов по инфекциям, передаваемым половым путем «ЮСТИ РУ».
• Долгушина Наталия Витальевна - доктор медицинских наук, профессор, заместитель директора - руководитель департамента организации научной деятельности ФГБУ «НМИЦ АГП им. В.И. Кулакова» Минздрава России, член Российского общества акушеров-гинекологов.
• Доля Ольга Валентиновна - доктор медицинских наук, главный научный сотрудник ГБУЗ «МНПЦДК» Департамента здравоохранения г. Москвы, член Союза «Национальный альянс дерматовенерологов и косметологов».
• Забиров Константин Ильгизарович - доктор медицинских наук, профессор, врач-дерматовенеролог отдела оказания специализированной медицинской помощи (ООСМП) ГБУЗ «МНПЦДК» Департамента здравоохранения г. Москвы, член Союза «Национальный альянс дерматовенерологов и косметологов».
• Земцов Михаил Алексеевич - кандидат медицинских наук, Заслуженный врач РФ, главный врач ГБУЗ СК КККВД, главный внешний дерматовенеролог и косметолог Министерства здравоохранения Ставропольского края, член Российского общества дерматовенерологов и косметологов.
• Зиганшин Олег Раисович - доктор медицинских наук, профессор, главный врач ГБУЗ «ЧОУУВД», заведующий кафедрой ФГБОУ ВО «ЮУГМУ» Минздрава России, член Российского общества дерматовенерологов и косметологов.
• Иванова Маиса Афанасьевна - доктор медицинских наук, профессор, главный научный сотрудник ФГУ ЦНИИОИЗ Минздрава России, главный научный сотрудник ГБУЗ «МНПЦДК» Департамента здравоохранения г. Москвы.
• Катунин Георгий Леонидович - кандидат медицинских наук, врач-дерматовенеролог ФГБУ «ГНЦДК» Минздрава России, член Российского общества дерматовенерологов и косметологов.
• Кисина Вера Ивановна - доктор медицинских наук, профессор, главный научный сотрудник ГБУЗ «МНПЦДК» Департамента здравоохранения г. Москвы, член Союза «Национальный альянс дерматовенерологов и косметологов», член Европейского союза по борьбе с ИППП (IUSTI/ВОЗ), член Гильдии специалистов по инфекциям, передаваемым половым путем «ЮСТИ РУ», член Российского межрегионального общества специалистов по доказательной медицине, член Междисциплинарной ассоциации специалистов репродуктивной медицины (МАРС).
• Ковалык Владимир Павлович - кандидат медицинских наук, доцент, профессор кафедры дерматовенерологии и косметологии Академии постдипломного образования ФГБУ ФНКЦ ФМБА России, член Союза «Национальный альянс дерматовенерологов и косметологов», член Европейского союза по борьбе с ИППП (IUSTI), член Гильдии специалистов по инфекциям, передаваемым половым путем «ЮСТИ РУ».
• Козлов Роман Сергеевич - член-корреспондент РАН, доктор медицинских наук, профессор НИИ антимикробной химиотерапии ГОУ ВПО «Смоленская государственная медицинская академия».
• Любасовская Людмила Анатольевна - кандидат медицинских наук, заведующая отделением клинической фармакологии антимикробных и иммунобиологических препаратов института микробиологии, антимикробной терапии и эпидемиологии ФГБУ «НМИЦ АГП им. В.И. Кулакова» Минздрава России, член Российского общества акушеров-гинекологов.
• Малова Ирина Олеговна - доктор медицинских наук, профессор, заведующая кафедрой дерматовенерологии и косметологии ГБОУ ВПО «Иркутский государственный медицинский университет» Министерства здравоохранения Российской Федерации, г. Иркутск.
• Минуллин Искандэр Кагапович - главный врач ГАУЗ Республиканский клинический кожно-венерологический диспансер , заслуженный врач РФ, главный специалист по дерматовенерологии и косметологии МЗ главный специалист по дерматовенерологии и косметологии Приволжского федерального округа.
• Межевитинова Елена Анатольевна - доктор медицинских наук, ведущий научный сотрудник научно-поликлинического отделения ФГБУ «НМИЦ АГП им. В.И. Кулакова» Минздрава России, член Российского общества акушеров-гинекологов.
• Нечаева Ирина Анатольевна - кандидат медицинских наук, врач дерматовенеролог ФГБУ «ГНЦДК» Минздрава России, член Российского общества дерматовенерологов и косметологов.
• Онипченко Виктория Викторовна - главный врач ГБУЗ НСО «Новосибирской областной клинической кожно-венерологический диспансер», главный специалист по дерматовенерологии и косметологии Новосибирской области, член Российского общества дерматовенерологов и косметологов.
• Перламутров Юрий Николаевич - доктор медицинских наук, профессор ФГБОУ ВО «МГМСУ им.А.И. Евдокимова» Минздрава России, член Российского общества дерматовенерологов и косметологов.
• Плахова Ксения Ильинична - доктор медицинских наук, ученый секретарь, и.о. заведующего отделом ИППП ФГБУ «ГНЦДК» Минздрава России, член Российского общества дерматовенерологов и косметологов.
• Потекаев Николай Николаевич - доктор медицинских наук, профессор, директор ГБУЗ «МНПЦДК» Департамента здравоохранения г. Москвы, главный внештатный специалист по дерматовенерологии и косметологии Минздрава РФ, главный специалист по дерматовенерологии и косметологии Департамента здравоохранения Москвы, заведующий кафедрой кожных болезней и косметологии ФДПО «РНИМУ им. Н.И. Пирогова Минздрава России», президент Национального альянса дерматологов и косметологов России.
• Припутневич Татьяна Валерьевна - доктор медицинских наук, заведующий отделом микробиологии, клинической фармакологии и эпидемиологии ФГБУ «НМИЦ АГП им. В.И. Кулакова» Минздрава России, член Российского общества акушеров-гинекологов.
• Прожерин Сергей Витальевич - врач-дерматовенеролог ГБУЗ Свердловской области «Свердловский областной центр профилактики и борьбы со СПИД».
• Радзинский Виктор Евсеевич - член-корреспондент РАН, доктор медицинских наук, профессор, заведующий кафедрой акушерства и гинекологии с курсом перинатологии РУДН, вице-президент Российского общества акушеров-гинекологов.
• Рахматулина Маргарита Рафиковна - доктор медицинских наук, профессор кафедры дерматовенерологии и косметологии с курсом клинической лабораторной диагностики ФГБУ ГНЦ ФМБЦ им. А.И. Бурназяна ФМБА России, член Российского общества дерматовенерологов и косметологов.
• Руднева Наталья Сергеевна - кандидат медицинских наук, главный внештатный специалист дерматовенеролог, косметолог министерства здравоохранения Тульской области, доцент кафедры пропедевтики внутренних болезней, курса дерматовенерологии медицинского института ФГБОУ ВО Тульский государственный университет , член Российского общества дерматовенерологов и косметологов.
• Соколовский Евгений Владиславович - доктор медицинских наук, профессор, зав. кафедрой дерматовенерологии с клиникой «ПСПбГМУим.акад.И.П. Павлова», член Российского общества дерматовенерологов и косметологов.
• Соломка Виктория Сергеевна - доктор биологических наук, заместитель директора по научной работе ФГБУ «ГНЦДК» Минздрава России, член Российского общества дерматовенерологов и косметологов.
• Сысоева Татьяна Александровна - кандидат медицинских наук, доцент кафедры дерматовенерологии и косметологии РМАПО, член Российского общества дерматовенерологов и косметологов.
• Тартаковский Игорь Семёнович - доктор медицинских наук, профессор, председатель комитета по микробиологии Федерации лабораторной медицины.
• Фатеева Екатерина Владимировна - младший научный сотрудник отдела ИППП ФГБУ «ГНЦДК» Минздрава России, член Российского общества дерматовенерологов и косметологов.
• Фриго Наталья Владиславовна - доктор медицинских наук, заместитель директора по науке ГБУЗ «МНПЦДК» Департамента здравоохранения г. Москвы, член Союза «Национальный альянс дерматовенерологов и косметологов».
• Хрянин Алексей Алексеевич - доктор медицинских наук, профессор кафедры дерматовенерологии и косметологии ГБОУ ВПО «Новосибирский государственный медицинский университет» Минздрава России, член Российского общества дерматовенерологов и косметологов.
• Чеботарев Вячеслав Владимирович - доктор медицинских наук, профессор, заведующий кафедрой дерматологии и косметологии с курсом ДПО «Ставропольского государственного медицинского университета» член Российского общества дерматовенерологов и косметологов.
• Чикин Вадим Викторович - доктор медицинских наук, старший научный сотрудник отдела дерматологии ФГБУ «ГНЦДК» Минздрава России, член Российского общества дерматовенерологов и косметологов.
Конфликт интересов: авторы заявляют об отсутствии конфликта интересов.
Приложение А2.
Методология разработки клинических рекомендаций.• Врачи-специалисты: дерматовенерологи, акушеры-гинекологи, урологи, педиатры.
• Ординаторы и слушатели циклов повышения квалификации по указанным специальностям.
Таблица 1. Шкала оценки уровней достоверности доказательств (УДД) для методов диагностики (диагностических вмешательств).
| УДД | Расшифровка |
| 1 | Систематические обзоры исследований с контролем референсным методом или систематический обзор рандомизированных клинических исследований с применением мета-анализа |
| 2 | Отдельные исследования с контролем референсным методом или отдельные рандомизированные клинические исследования и систематические обзоры исследований любого дизайна, за исключением рандомизированных клинических исследований, с применением мета-анализа |
| 3 | Исследования без последовательного контроля референсным методом или исследования с референсным методом, не являющимся независимым от исследуемого метода или нерандомизированные сравнительные исследования, в том числе когортные исследования |
| 4 | Несравнительные исследования, описание клинического случая |
| 5 | Имеется лишь обоснование механизма действия или мнение экспертов |
Таблица 2. Шкала оценки уровней достоверности доказательств (УДД) для методов профилактики, лечения и реабилитации (профилактических, лечебных, реабилитационных вмешательств).
| УДД | Расшифровка |
| 1 | Систематический обзор, рандомизированные контролируемые исследования с применением мета-анализа |
| 2 | Отдельные рандомизированные контролируемые исследования и систематические обзоры исследований любого дизайна, за исключением рандомизированных контролируемых исследований, с применением мета-анализа |
| 3 | Нерандомизированные сравнительные исследования, в тч когортные исследования |
| 4 | Несравнительные исследования, описание клинического случая или серии случаев, исследования «случай-контроль» |
| 5 | Имеется лишь обоснование механизма действия вмешательства (доклинические исследования) или мнение экспертов |
Таблица 3. Шкала оценки уровней убедительности рекомендаций (УУР) для методов профилактики, диагностики, лечения и реабилитации (профилактических, диагностических, лечебных, реабилитационных вмешательств).
| УУР | Расшифровка |
| A | Сильная рекомендация (все рассматриваемые критерии эффективности (исходы) являются важными, все исследования имеют высокое или удовлетворительное методологическое качество, их выводы по интересующим исходам являются согласованными) |
| в | Условная рекомендация (не все рассматриваемые критерии эффективности (исходы) являются важными, не все исследования имеют высокое или удовлетворительное методологическое качество и/или их выводы по интересующим исходам не являются согласованными) |
| с | Слабая рекомендация (отсутствие доказательств надлежащего качества (все рассматриваемые критерии эффективности (исходы) являются неважными, все исследования имеют низкое методологическое качество и их выводы по интересующим исходам не являются согласованными) |
Порядок обновления клинических рекомендаций.
Механизм обновления клинических рекомендаций предусматривает их систематическую актуализацию - не реже чем один раз в три года, а также при появлении новых данных с позиции доказательной медицины по вопросам диагностики, лечения, профилактики и реабилитации конкретных заболеваний, наличии обоснованных дополнений/замечаний к ранее утверждённым клиническими рекомендациями, но не чаще 1 раза в 6 месяцев.
Приложение А3.
Справочные материалы, включая соответствие показаний к применению и противопоказаний, способов применения и доз лекарственных препаратов, инструкции по применению лекарственного препарата.• Порядок оказания медицинской помощи по профилю «дерматовенерология», утвержденный Приказом Министерства здравоохранения Российской Федерации № 924н от 15 ноября 2012 г.
Приложение В.
Информация для пациента.• С целью предупреждения повторного инфицирования возбудителем урогенитального трихомониаза необходимо обследование и лечение половых партнеров.
• В период лечения и диспансерного наблюдения необходимо воздержаться от половых контактов или использовать барьерные методы контрацепции до установления излеченности.
• С целью установления излеченности необходима повторная явка к врачу для обследования (микроскопическим, микробиологическим методами, методом NASBA через 14 дней после окончания лечения, методами ПЦР или ПЦР в реальном времени - не ранее, чем через месяц после окончания лечения).
• Рекомендуется обследование на другие инфекции, передаваемые половым путем.
Приложение Г1-ГN.
Шкалы оценки, вопросники и другие оценочные инструменты состояния пациента, приведенные в клинических рекомендациях.Общепринятой шкалы оценки не существует.
|
|
Год актуализации информации
2021.