МКБ-10 коды
|
|
Вступление
МКБ 10:
M07.0, M07.2,L40.5.
Год утверждения (частота пересмотра):
2016 (1 раз в 3 года).
ID:
КР253.
URL:
Профессиональные ассоциации:
• Российское общество дерматовенерологов и косметологов Ассоциация Ревматологов России.
Утверждены.
Российским обществом дерматовенерологов и косметологов на XVI Всероссийском Съезде дерматовенерологов и косметологов, г. Москва, 16 июня 2016 г. Совещанием профильной комиссии Экспертного Совета МЗ РФ по специальности «Ревматология» протокол №12 от 21 марта 2016, г. Москва.
Согласованы.
Научным советом Министерства Здравоохранения Российской Федерации__ __________201_ г.
M07.0, M07.2,L40.5.
Год утверждения (частота пересмотра):
2016 (1 раз в 3 года).
ID:
КР253.
URL:
Профессиональные ассоциации:
• Российское общество дерматовенерологов и косметологов Ассоциация Ревматологов России.
Утверждены.
Российским обществом дерматовенерологов и косметологов на XVI Всероссийском Съезде дерматовенерологов и косметологов, г. Москва, 16 июня 2016 г. Совещанием профильной комиссии Экспертного Совета МЗ РФ по специальности «Ревматология» протокол №12 от 21 марта 2016, г. Москва.
Согласованы.
Научным советом Министерства Здравоохранения Российской Федерации__ __________201_ г.
Профессиональные ассоциации
• Российское общество дерматовенерологов и косметологов Ассоциация Ревматологов России.
Список сокращений
АДА - адалимумаб.
АС - анкилозирующий спондилит.
АЦЦП - антитела к циклическому цитруллинированному пептиду.
АСТ - аспартатаминотрансфераза.
АЛТ - аланинаминотрансфераза.
АПР - апремиласт.
БПВП - базисные противовоспалительные препараты.
ВАШ - визуально-аналоговая шкала.
ВБС - воспалительная боль в спине.
ВСГК - внутрисуставные глюкокортикоиды.
ГИБП - генно-инженерные биологические препараты.
ГК - глюкокортикоиды.
ГОЛ - голимумаб.
ГТТ - гаммаглутамилтрансфераза.
ДМФС - дистальный межфаланговый сустав.
ИБС - ишемическая болезнь сердца.
ИЛ - интерлейкин.
ИНФ - инфликсимаб.
И-ФНО-α - ингибиторы ФНО-альфа.
ЛеФ - лефлуномид.
МРТ - магнитно-резонансная терапия.
МТ - метотрексат.
НПВП - нестероидные противовоспалительные препараты.
НР - нежелательная реакция.
ОБП - оценка боли пациентом.
ОЗП - оценка заболевания пациентом.
ОЗВ - оценка заболевания врачом.
ПсА - псориатический артрит.
ПсО - псориаз.
РКИ - рандомизированные клинические исследования.
РФ - ревматоидный фактор.
СЕК - секукинумаб.
СОЭ - скорость оседания эритроцитов.
СРБ - С-реактивный белок.
СпА - спондилоартриты.
СфС - сульфасалазин.
ТсБПВП - таргетные синтетические БПВП.
УСТ - устекинумаб.
ФДЭ - фосфодиэстераза.
ФНО - фактор некроза опухоли.
ЦАМФ - циклический аденозинмонофосфат.
ЦЗП - цертолизумаб пегол.
ЦсП - циклоспорин.
ЧБС - число болезненных суставов.
ЧПС - число припухших суставов.
ЭТА - этанерцепт.
АС - анкилозирующий спондилит.
АЦЦП - антитела к циклическому цитруллинированному пептиду.
АСТ - аспартатаминотрансфераза.
АЛТ - аланинаминотрансфераза.
АПР - апремиласт.
БПВП - базисные противовоспалительные препараты.
ВАШ - визуально-аналоговая шкала.
ВБС - воспалительная боль в спине.
ВСГК - внутрисуставные глюкокортикоиды.
ГИБП - генно-инженерные биологические препараты.
ГК - глюкокортикоиды.
ГОЛ - голимумаб.
ГТТ - гаммаглутамилтрансфераза.
ДМФС - дистальный межфаланговый сустав.
ИБС - ишемическая болезнь сердца.
ИЛ - интерлейкин.
ИНФ - инфликсимаб.
И-ФНО-α - ингибиторы ФНО-альфа.
ЛеФ - лефлуномид.
МРТ - магнитно-резонансная терапия.
МТ - метотрексат.
НПВП - нестероидные противовоспалительные препараты.
НР - нежелательная реакция.
ОБП - оценка боли пациентом.
ОЗП - оценка заболевания пациентом.
ОЗВ - оценка заболевания врачом.
ПсА - псориатический артрит.
ПсО - псориаз.
РКИ - рандомизированные клинические исследования.
РФ - ревматоидный фактор.
СЕК - секукинумаб.
СОЭ - скорость оседания эритроцитов.
СРБ - С-реактивный белок.
СпА - спондилоартриты.
СфС - сульфасалазин.
ТсБПВП - таргетные синтетические БПВП.
УСТ - устекинумаб.
ФДЭ - фосфодиэстераза.
ФНО - фактор некроза опухоли.
ЦАМФ - циклический аденозинмонофосфат.
ЦЗП - цертолизумаб пегол.
ЦсП - циклоспорин.
ЧБС - число болезненных суставов.
ЧПС - число припухших суставов.
ЭТА - этанерцепт.
Термины и определения
Артрит. Воспаление тканей сустава с обязательным вовлечением его синовиальной оболочки (синовит).
Базисные противовоспалительные препараты (БПВП). Иммунносупрессивные лекарственные средства, обладающие противовоспалительным и болезнь-модифицирующим (включая способность индуцировать ремиссию и предотвращать развитие костно-хрящевой деструкции) действием.
Белки острой фазы. Группа белков крови, концентрация которых возрастает при наличии воспаления.
Внутрисуставне глюкокортикоиды (ВСГК). Противоспалительные средства для локального введения в суставы и околосуставные структуры.
Глюкокортикоиды (ГК). Синтетические стероидные гормоны, обладающие естественной противовоспалительной активностью.
Генно-инженерные биологические препараты (ГИБП). Группа лекарственных средств биологического происхождения, в том числе моноклональные антитела (химерные, гуманизированные, полностью человеческие) и рекомбинантные белки (обычно включают Fc фрагмента IgG человека), полученные с помощью методов генной инженерии, специфически подавляющие иммуновоспалительный процесс и замедляющие прогрессирование деструкции суставов.
Дактилит. Воспаление пальца, которое возникает в результате сочетания артрита и теносиновита.
Нестероидные противовоспалительные препараты (НПВП). Группа синтетических лекарственных средств, обладающих симптоматическим обезболивающим, жаропонижающим и противовоспалительным эффектами, связанными в первую очередь с ингибицией активности циклооксигены - фермента, регулирующего синтез простагландинов.
Псориатический артрит (ПсА). Хроническое воспалительное заболевание суставов, позвоночника и энтезисов из группы спондилоартритов (СпА), которое обычно наблюдается у больных с псориазом (ПсО).
Сакроилиит. Воспаление в илиосакральных сочленениях таза.
Спондилит. Воспаление в любом отделе позвоночника.
Тендинит. Воспаление сухожилий разных локализаций, чаще всего сгибателей и/или разгибателей пальцев кистей и стоп.
Теносиновит. Воспаление сухожильных влагалищ разных локализаций, чаще всего сгибателей и/или разгибателей пальцев кистей и стоп.
Энтезит. Воспаление энтеза (энтезиса) - соединения сухожилия с костью.
Базисные противовоспалительные препараты (БПВП). Иммунносупрессивные лекарственные средства, обладающие противовоспалительным и болезнь-модифицирующим (включая способность индуцировать ремиссию и предотвращать развитие костно-хрящевой деструкции) действием.
Белки острой фазы. Группа белков крови, концентрация которых возрастает при наличии воспаления.
Внутрисуставне глюкокортикоиды (ВСГК). Противоспалительные средства для локального введения в суставы и околосуставные структуры.
Глюкокортикоиды (ГК). Синтетические стероидные гормоны, обладающие естественной противовоспалительной активностью.
Генно-инженерные биологические препараты (ГИБП). Группа лекарственных средств биологического происхождения, в том числе моноклональные антитела (химерные, гуманизированные, полностью человеческие) и рекомбинантные белки (обычно включают Fc фрагмента IgG человека), полученные с помощью методов генной инженерии, специфически подавляющие иммуновоспалительный процесс и замедляющие прогрессирование деструкции суставов.
Дактилит. Воспаление пальца, которое возникает в результате сочетания артрита и теносиновита.
Нестероидные противовоспалительные препараты (НПВП). Группа синтетических лекарственных средств, обладающих симптоматическим обезболивающим, жаропонижающим и противовоспалительным эффектами, связанными в первую очередь с ингибицией активности циклооксигены - фермента, регулирующего синтез простагландинов.
Псориатический артрит (ПсА). Хроническое воспалительное заболевание суставов, позвоночника и энтезисов из группы спондилоартритов (СпА), которое обычно наблюдается у больных с псориазом (ПсО).
Сакроилиит. Воспаление в илиосакральных сочленениях таза.
Спондилит. Воспаление в любом отделе позвоночника.
Тендинит. Воспаление сухожилий разных локализаций, чаще всего сгибателей и/или разгибателей пальцев кистей и стоп.
Теносиновит. Воспаление сухожильных влагалищ разных локализаций, чаще всего сгибателей и/или разгибателей пальцев кистей и стоп.
Энтезит. Воспаление энтеза (энтезиса) - соединения сухожилия с костью.
Описание
Псориатический артрит (ПсА) - хроническое воспалительное заболевание суставов, позвоночника и энтезисов из группы спондилоартритов (СпА), которое обычно наблюдается у больных с псориазом (ПсО). Согласно современной классификации СпА, ПсА относят к подгруппе периферических СпА, при которых наблюдаются, главным образом, воспаление периферических суставов (артрит), пальцев кистей и стоп (дактилит), энтезисов (энтезит), а также может наблюдаться воспаление в аксиальных структурах - телах позвонков (спондилит) и илиосакральных сочленениях (сакроилиит).
|
|
Причины
Этиология ПсА неизвестна. Заболевание возникает в результате сложных взаимодействий между генетическими, иммунологическими факторами и факторами внешней среды. Имеются данные о наследственной предрасположенности к развитию, как ПсО, так и ПсА: более 40% больных ПсА имеют родственников первой степени родства, страдающих этими заболеваниями. ПсО и ПсА считают Т-клеточно-опосредованными заболеваниями, при которых происходит активация клеточного иммунитета в коже и синовии с последующими гиперпродукцией и дисбалансом ключевых про- и противовоспалительных цитокинов таких как фактор некроза опухоли альфа (ФНО-α), интерлейкины (ИЛ)-12, ИЛ-23, ИЛ-17, ИЛ-1, ИЛ-1ß, ИЛ-6 и хемокинов [3].
Эпидемиология
Псориатический артрит развивается в среднем у 0,05 - 1,2 % населения и обнаруживается у 5-42 % пациентов с псориазом. В Российской Федерации согласно данным Федерального статистического наблюдения в 2014 году заболеваемость ПсА составила 2,3 случаев на 100000 населения, распространенность - 12,6 случаев на 100000 населения.
ПсА и ПсО относят к распространенным хроническим заболеваниям, которые к 2020 г по прогнозам ВОЗ станут ведущими причинами инвалидности во всем мире, что представляет собой угрозу для здоровья населения и состояния национальных экономик различных стран.
ПсА может развиться в любом возрасте, часто страдает трудоспособная часть населения. ПсА характеризуется разнообразными клиническими проявлениями. У 70% больных ПсО появляется раньше поражения опорно-двигательного аппарата, у 20% - одновременно, у 15-20% больных - ПсА возникает до первых клинических проявлений ПсО [1]. Корреляция между тяжестью ПсО и ПсА отсутствует, однако в когортных наблюдениях отмечена высокая частота случаев ПсА у больных с распространенным ПсО [2].
ПсА и ПсО оказывают негативное влияние на качество жизни больных и их социальную адаптацию в связи с прогрессирующим поражением опорно-двигательного аппарата и кожи. При ПсА и ПсО отмечается повышенный риск развития таких социально-значимых заболеваний, как ишемическая болезнь сердца, стенокардия, инфаркт миокарда, артериальная гипертензия, ожирение, сахарный диабет 2 типа. Продолжительность жизни больных ПсА и ПсО снижена по сравнению с популяцией в среднем на 7 - 5 лет.
ПсА и ПсО относят к распространенным хроническим заболеваниям, которые к 2020 г по прогнозам ВОЗ станут ведущими причинами инвалидности во всем мире, что представляет собой угрозу для здоровья населения и состояния национальных экономик различных стран.
ПсА может развиться в любом возрасте, часто страдает трудоспособная часть населения. ПсА характеризуется разнообразными клиническими проявлениями. У 70% больных ПсО появляется раньше поражения опорно-двигательного аппарата, у 20% - одновременно, у 15-20% больных - ПсА возникает до первых клинических проявлений ПсО [1]. Корреляция между тяжестью ПсО и ПсА отсутствует, однако в когортных наблюдениях отмечена высокая частота случаев ПсА у больных с распространенным ПсО [2].
ПсА и ПсО оказывают негативное влияние на качество жизни больных и их социальную адаптацию в связи с прогрессирующим поражением опорно-двигательного аппарата и кожи. При ПсА и ПсО отмечается повышенный риск развития таких социально-значимых заболеваний, как ишемическая болезнь сердца, стенокардия, инфаркт миокарда, артериальная гипертензия, ожирение, сахарный диабет 2 типа. Продолжительность жизни больных ПсА и ПсО снижена по сравнению с популяцией в среднем на 7 - 5 лет.
Классификация
В настоящее время выделяют 5 клинических форм ПсА (таблица 1).
Таблица 1. Клинические варианты ПсА [7].
Таблица 1. Клинические варианты ПсА [7].
| Клинические варианты ПсА | Основная характеристика |
| Преимущественное поражение дистальных межфаланговых суставов кистей (ДМФС) кистей и стоп, дистальная форма (М.07. 0) | Классическое изолированное поражение ДМФС кистей и/или стоп наблюдается у 5% больных ПсА. Вовлечение ДМФС наряду с другими суставами часто наблюдают при других клинических вариантах ПсА. |
| Асимметричный моно-олигоартрит (М 07. 3) | Встречается у большинства больных с ПсА (до 70%). Обычно вовлекаются коленные, лучезапястные, голеностопные, локтевые, а также межфаланговые суставы кистей и стоп, при этом общее число воспаленных суставов не превышает 4. |
| Симметричный полиартрит, ревматоидоподобная форма (М 07. 3) | Наблюдается примерно у 15-20% пациентов с ПсА. Характеризуется вовлечением парных суставных областей как при ревматоидном артрите. Часто наблюдают асимметричный полиартрит пяти или более суставов. |
| Псориатический спондилит (М 07,2) | Характеризуется воспалительным поражением позвоночника как при анкилозирующем спондилите (АС), часто (примерно у 50%) сочетается с периферическим артритом, редко (2-4%) - наблюдают изолированный спондилит. |
| Мутилирующий артрит (М 07,1) | В кла Редкая клиническая форма ПсА, наблюдается у 5% больных, характеризуется распространенной резорбцией суставных поверхностей (остеолиз) с укорочением пальцев кистей и/или стоп с формированием «телескопической деформации», укорочения, разнонаправленных подвывихов пальцев конечностей. В тоже время локальный (ограниченный) остеолиз суставных поверхностей может развиваться при всех клинических вариантах ПсА. |
Диагностика
2,1 Жалобы и анамнез.
Пациенты предъявляют жалобы на боль, припухлость суставах кистей и стоп, коленных, голеностопных, реже плечевых, локтевых и тазобедренных, или равномерную припухлость всего пальца кистей и стоп. Одновременно могут наблюдаться боли в области пяток при ходьбе, в месте прикрепления ахилловых сухожилий, а также боль в любом отделе позвоночника, преимущественно в шейном или пояснично-крестцовом, которая возникает в ночное время, уменьшается после физических упражнений или приема НПВП, боль в грудной клетке при дыхании.У большинства пациентов, которые предъявляют данные жалобы, имеется псориаз кожи и/или ногтей на момент осмотра либо семейный анамнез по псориазу. У части больных перечисленные жалобы возникли спонтанно, примерно у трети - после травмы, значительной физической или эмоциональной перегрузки. Необходимо отметить, что боль в позвоночнике у большинства больных может быть незамеченной в течение длительного времени.
2,2 Физикальное обследование.
Диагноз ПсА устанавливают, в первую очередь, на основании выявления характерных клинических признаков заболевания.Периферический артрит клиничски проявляется болью, припухлостью, ограничением подвижности суставов. Характерные признаки - артрит дистальных межфаланговых суставов кистей/стоп и «редискообразная» деформация, осевой артрит (одновременное поражение трех суставов одного пальца), дактилит и «сосискообразная» деформация пальцев кистей и стоп.
Дактилит (син. - воспаление пальца) возникает в результате теносиновита сухожилий сгибателей и/или разгибателей пальцев с отеком окружающих мягких тканей и артритом межфаланговых суставов. Клинически проявляется болью, равномерной припухлостью всего пальца с цианотично-багровым окрашиванием кожных покровов, плотным отеком всего пальца, болевым ограничением сгибания, формируется характерная для ПсА «сосискообразная» деформация пальца.
Энтезит клинически проявляется болью, иногда припухлостью в точках энтезов. Локализация - верхний край надколенника, края (крылья) подвздошных костей, трохантеры, место прикрепления ахиллова сухожилия и подошвенного апоневроза к пяточной кости, латеральный надмыщелок плечевой кости, медиальный мыщелок бедренной кости. Энтезиты пяточных областей часто являются причиной снижения функциональных возможностей больных.
Спондилит - преимущественное поражение позвоночника (псориатический спондилит), часто наблюдается в сочетании с периферическим артритом. Изолированный спондилит встречается редко (до 4%). В целом поражение позвоночника при ПсА может наблюдаться при любой клинической форме заболевания и проявляется воспалительной болью в спине (ВБС) по критериям ASAS (Assessment of SpondyloArthritis International Society, 2009) ( см раздел «Диагностика») в любом отделе позвоночника, главным образом, в шейном и поясничном, скованностью, болью в грудной клетке при дыхании, ограничением подвижности.
ПсА необходимо дифференцировать с ревматоидным артритом, подагрой, реактивным артритом, анкилозирующим спондилитом, остеоартрозом, реже - с ревматической полимиалгией и системными заболеваниями соединительной ткани (например, с системной склеродермией).
Диагноз ПсА устанавливается на основании критериев сASPAR (ClASsification criteria for Psoriatic ARthritis, 2006) [14]. Согласно критериям СASPAR, пациенты должны иметь признаки воспалительного заболевания суставов (артрит, спондилит или энтезит) и 3 или более баллов из следующих 5 категорий:
| • Псориаз: • псориаз в момент осмотра • псориаз в анамнезе • семейный анамнез псориаза | Баллы 2 1 1 |
| • Псориатическая дистрофия ногтей: точечные вдавления, онихолизис, гиперкератоз | 1 |
| • Отрицательный ревматоидный фактор (кроме метода латекс-теста) | 1 |
| • Дактилит: • припухлость всего пальца в момент осмотра • дактилит в анамнезе | 1 1 |
| • Рентгенологические признаки внесуставной костной пролиферации по типу краевых разрастаний (кроме остеофитов) на рентгенограммах кистей и стоп | 1 |
Диагноз спондилита при ПсА устанавливают на основании наличия двух из трех представленных ниже признаков [15]:
• Наличие воспалительной боли в спине (ВБС) по критериям ASAS ( Аssessment ofpondylo Arthritis Internationalociety - международное общество по изучению спондилоартритов, ( см ниже)), а также перемежающейся боли в ягодицах.
• Ограничение подвижности в шейном, грудном или поясничном отделе позвоночника в сагиттальной и фронтальной плоскостях.
• Признаки двустороннего сакроилиита 2 стадии и выше или одностороннего 3 стадии и выше (по Kellgren) на обзорной рентгенограмме таза, синдесмофиты в позвоночнике.
• Выявление МРТ-активного сакроилиита (остеит/отек костной ткани в области крестцово-подвздошных сочленений в режиме STIR с подавлением жира).
Критерии ASAS для воспалительной боли в спине (2009): боль в спине считается воспалительной, если у пациента с хронической болью, длительностью более 3-х месяцев присутствуют 4 из 5 нижеследующих признаков:
- начало в возрасте до 40 лет;
- постепенное начало;
- улучшение после физических упражнений;
- отсутствие улучшения после отдыха;
- ночная боль (с улучшением после пробуждения).
2,3 Лабораторная диагностика.
Специфические лабораторные тесты отсутствуют, у 40-60% больных биомаркеры воспаления - скорость оседания эритроцитов (СОЭ), С-реактивный белкок (СРБ) остаются нормальными. У трети пациентов выявляют HLA в27 антиген. Анализ синовиальной жидкости не дает специфических результатов, иногда выявляют высокий цитоз.При ПсА в крови пациентов редко обнаруживают РФ (ревматоидный фактор) и АЦЦП (антитела к циклическому цитруллинированному пептиду) (12% и 15% случаев соответственно), главным образом, в низких титрах.
В случае выявления РФ и/или АЦЦП в высоких титрах необходим дифференциально-диагностический поиск для исключения другого иммунопосредованного заболевания у пациентов с псориазом (например, ревматоидный артрит, смешанное заболевание соединительной ткани ). Определение АЦЦП является более чувствительным тестом для выявления ревматоидного артрита. Данные тесты рекомендуется выполнять на этапе скрининга и диагностики ПсА у больных псориазом. Исследование на РФ следует проводить высокочувствительными методами, например, методом иммуноферментного анализа. Не рекомендуется для исследования на РФ использовать метод «латекс-тест».
2,4 Инструментальная диагностика.
Инструментальная диагностика ПсА включает обязательное стандартное рентгенографическое исследование кистей, стоп, таза (в прямой проекции) и переходного отдела позвоночника (нижне-грудного с захватом поясничного в боковой проекции). По показаниям следует выполнять рентгенографические исследования других суставов и других отделов позвоночника, вовлеченных в патологический процесс. Данные исследования проводятся не чаще, чем один раз в год.Характерные рентгенологические изменения при ПсА: сужение суставной щели; костная ремодуляция (резорбция концевых фаланг, крупные эксцентрические эрозии, остеолиз - деформация «карандаш в стакане») и пролиферации (краевые костные разрастания, периоститы, энтезофиты и костные анкилозы), асимметричный двусторонний/односторонний сакроилиит, паравертебральные оссификаты и краевые синдесмофиты [13].
Для ранней диагностики воспалительных изменений в позвоночнике (спондилит) и илеосакральных сочленениях (сакроилиит), сухожильно-связочного аппарата (энтезит, тендинит), периферического артрита (синовит) у части больных может быть использована магнитнорезонансная томография (МРТ), ультразвуковое исследование суставов или сцинтиграфия скелета [13].
2,5 Иная диагностика.
Консультации перечисленных ниже специалистов рекомендованы для диагностики сопутствующих заболеваний, которые могут оказать влияние на диагностику и выбор терапии ПсА:- дерматолог - с целью оценки активности ПсО у пациентов с установленным диагнозом ПсА, а также для диагностики изменений кожи и ногтей у больных с характерными для ПсА клиническими проявлениями;
- кардиолог - для диагностики кардиоваскулярных заболеваний при наличии у пациента жалоб со стороны сердечно-сосудистой системы, назначения или коррекции уже проводимой кардиопротективной терапии, а также для больных с призаками сердечно-сосудистой недостаточности до назначения ГИБТ.
- эндокринолог -для диагностики заболеваний эндокринной системы, главным образом, сахарного диабета, что может повлиять на выбор терапии ПсА.
- офтольмолог - для диагностики заболеваний, характерных для СпА и ПсА, которые могут повлиять на выбор терапии (конъюктивит, ирит, иридоциклит, увеит).
- гастроэнтеролог - только при подозрении на наличие Язвенного Колита или Болезни Крона.
- гинеколог/уролог - только при подозрении на инфекцию мочеполового тракта, что может повлиять на выбор терапии и дифференциальную диагностику ПсА.
- фтизиатр - до назначения генно-инженерной биологической терапии, затем каждые 6 месяцев в процессе ее проведения.
Скрининг и ранняя диагностика ПсА.
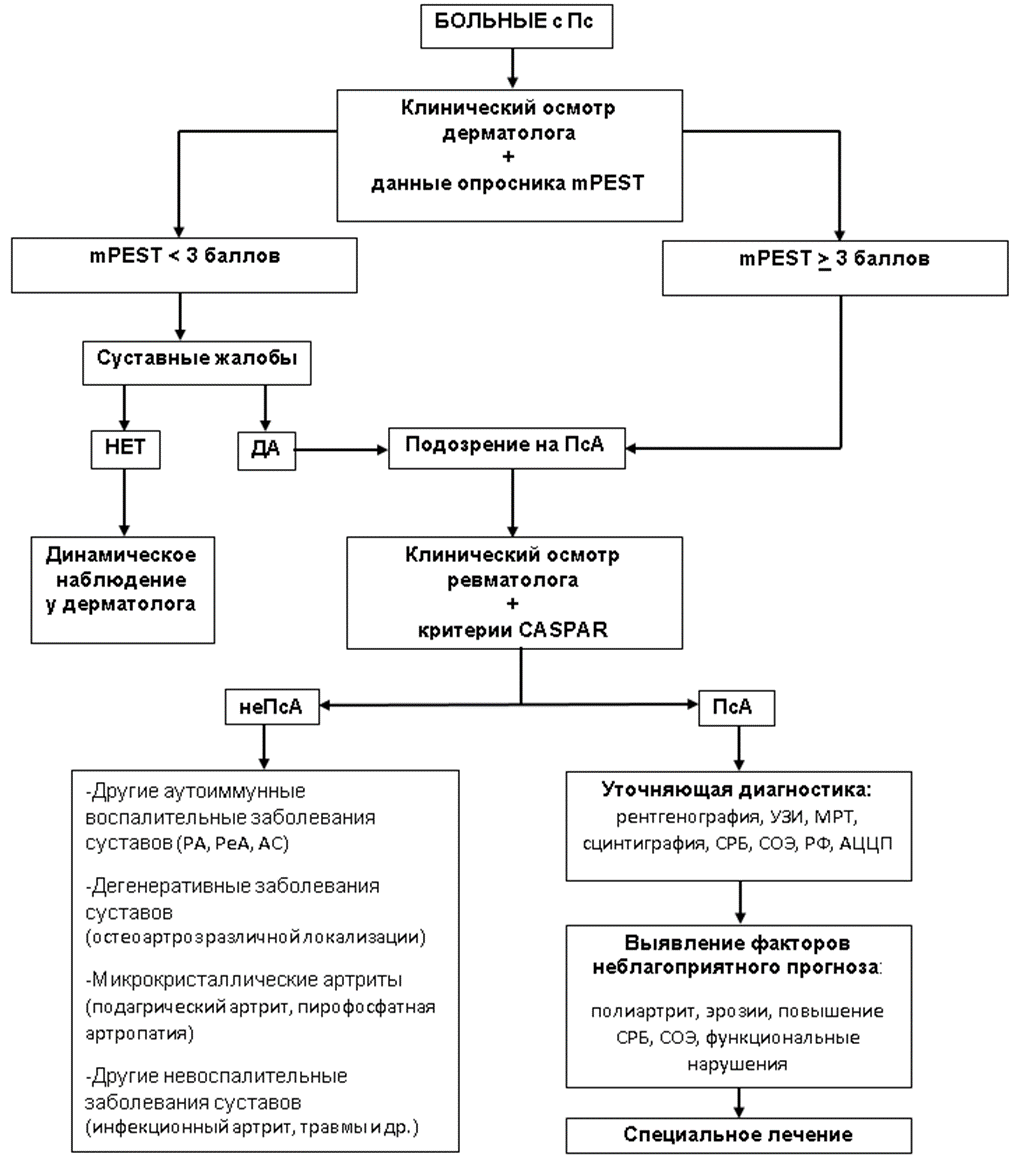
Без своевременной диагностики ПсА у больных ПсО, консультации ревматолога и терапии возрастает риск прогрессирования болезни, развития сакроилиита, эрозии, остеолиза, развития функциональных нарушений и снижения качества жизни больных. В исследовании D. Kane и соавт. у 47% больных ПсА обнаружили эрозии суставов через 2 года от начала болезни [16]. Все пациенты с ПсО при наличии суставных жалоб должны быть осмотрены врачом-ревматологом с целью ранней диагностики ПсА, предупреждения развития деструкций суставов и функциональных нарушений [17]. Врачи-специалисты, осуществляющие лечение и наблюдение за больными с ПсО, должны помнить о возможности развития ПсА [18]. К предикторам возможного развития и (или) неблагоприятного течения ПсА являются ПсО волосистой части головы, инверсный ПсО, ониходистрофии. Диагностика ПсА у больных ПсО с признаками воспалительного заболевания суставов осуществляется на основе критериев сASPAR [19]. Алгоритм скрининга на наличие ПсА среди пациентов с ПсО представлен в Приложении Х. Российская модификация скринингового опросника для выявления ПсА у больных ПсО - опросник mPEST (modified Psoriasis Epydemiology Screening Tool) - представлена в Приложении Г.
|
|
Лечение
3,1 Консервативное лечение.
Цель фармакотерапии ПсА - достижение ремиссии или минимальной активности основных клинических проявлений заболевания, замедление или предупреждение рентгенологической прогрессии, увеличение продолжительности и качества жизни пациентов, а также снижение риска развития коморбидных заболеваний.Ремиссия ПсА. Это отсутствие любых клинических симптомов заболевания (артрит, дактилит, энтезит, теносиновит, спондилит, минимальная активность псориаза) [41].
Минимальная активность ПсА признается при наличии любых 5 из 7 нижеследующих критериев [42, 43]: ЧБС≤1; ЧПС≤1; индекс PASI≤1 баллы или вSA≤3%; ОБП≤15мм; ОЗП≤20мм; HAQ≤0,5; число воспаленных энтезисов≤1, где ЧБС - число болезненных суставов из 68, ЧПС - число припухших суставов из 66, PASI и вSA - индексы тяжести и распространенности псориаза, ОБП - оценка боли пациентом по Визуальной Аналоговой Шкале (ВАШ, 0-100 мм), ОЗП - оценка активности заболевания пациентом по ВАШ (0-100 мм), HAQ [Health Assesment Questionnaire] - функциональный индекс качества жизни.
Активный ПсА. Это ≥1 ЧБС/ЧПС и/или болезненный энтезис и/или дактилит и/или воспалительная боль в спине (спондилит). Степень клинической активности ПсА определяется по критериям, указанным в таблице 2.
Неблагоприятные прогностические факторы - полиартрит (≥5 ЧБС/ЧПС), наличие эрозий на рентгене, повышение СОЭ/СРБ, дактилит, функциональные нарушения.
Таблица 2. Градации клинической активности ПсА.
| Клинические категории | Низкая | Умеренная | Высокая |
| Периферический артрит | ЧБС или ЧПС<5 Отсутствуют рентгенологические деструкции и функциональные нарушения. Минимальные нарушения качества жизни | ≥5 ЧБС или ЧПС Единичные рентгенологические деструкции, умеренные функциональные нарушения. Умеренное нарушение качества жизни | ≥5 ЧБС или ЧПС Распространенные рентгенологические деструкции и выраженные функциональные нарушения Выраженное нарушение качества жизни Отсутствие ответа на стандартную терапию |
| Псориаз | вSA<5, PASI<5, отсутствие симптомов, DIQL<10 | Отсутствие ответа на наружную терапию DIQL<10, PASI <10, вSA<10 | вSA>10, DIQL>10, PASI>10 |
| Поражение позвоночника | Слабая боль в позвоночнике. Отсутствуют функциональные нарушения | Выраженная боль в позвоночнике вASDAI>4, функциональные нарушения | Выраженная боль в позвоночнике вASDAI>4, Отсутствие ответа на стандартную терапию. |
| Энтезит | Вовлечены 1-2 точки энтезов. Нет ухудшения функции | Вовлечены >2 точек энтезов или ухудшение функции | Вовлечены >2 точек энтезов или ухудшение функции и отсутствие ответа на стандартную терапию |
| Дактилит | Незначительная боль или отсутствие боли. Нормальная функция | Эрозии суставов или ухудшение функции | Эрозии суставов, отсутствие ответа на стандартную терапию |
Общие замечания по терапии.
ПсА - гетерогенное, потенциально тяжелое заболевание, которое сопровождается снижением продолжительности и качества жизни больных, высоким уровнем коморбидных заболеваний и нуждается в мультидисциплинарном подходе к диагностике и терапии [25, 40, 87, 88]. Лечение больных ПсА с преимущественным поражением опорно-двигательного аппарата осуществляется ревматологом при консультировании дерматовенеролога; при наличии у пациентов с ПсА клинически значимого тяжелого псориаза диагностика и лечение осуществляется совместно ревматологом и дерматологом в соответствии с порядками оказания медицинской помощи. Выбор лечения ПсА основывается на совместном решении врача и пациента [25].
• Рекомендуется лечение ПсА проводить постоянно, в течение всей жизни пациента. При ПсА показано преимущество стратегии «Лечение до достижения цели»(« Treat-to-target»), которое подразумевает назначение активной иммунносупресивной терапии с момента установления диагноза, частый и объективный контроль за состоянием пациента, изменение схемы терапии вплоть до достижения целей лечения. Данная стратегия продемонстрировала высокую эффективность при ранних формах ПсА, с длительностью заболевания до 3-х лет. Уровень убедительности рекомендаций А (уровень достоверности доказательств 1Данных о возможности сохранения ремиссии или минимальной активности ПсА при снижении дозы или изменении режима введения БПВП и/или ГИБП в настоящее время недостаточно.
Оценка тяжести заболевания и эффективности проводимой терапии при ПсА проводится с помощью индексов, представленных в Приложении Г.
Рекомендуется применять нестероидные противовоспалительные препараты (НПВП), глюкокортикоиды (ГК), вводимые, главным образом, внутрисуставно (ВСГК), базисные противовоспалительные препараты (БПВП), таргетные синтетические БПВП (тсБПВП), генно-инженерные биологические препараты (ГИБП) [3, 25, 40, 44]. К БПВП относят метотрексат** (МТ), сульфасалазин** (СфС), лефлуномид** (ЛЕФ), циклоспорин** (ЦсП). К тсБПВП - ингибитор фосфодиэстеразы 4 (ФДЭ4) апремиласт (АПР). К ГИБП относят ингибиторы ФНОа - инфликсимаб** (ИНФ), адалимумаб** (АДА), голимумаб** (ГОЛ), цертолоизумаба-пегол** (ЦЗП), этанерцепт** (ЭТН) и ингибиторы интерлейкинов (ИЛ) 12/23 - устекинумаб** (УСТ), ИЛ 17 - секукинумаб (СЕК). Схема назначения терапии представлена в Приложении Б.
При ПсА эффективность лечения рекомендуется оценивать каждые 3-6 месяцев, решение об изменении или продолжении лечения принимается в зависимости от достижения ремиссии или минимальной активности ПсА [25, 40, 44].Уровень убедительности рекомендаций А (уровень достоверности доказательств 1 b ).
• НПВП рекомендуется использовать для уменьшения симптомов артрита, энтезита, дактилита и спондилита. Уровень убедительности рекомендаций А (уровень достоверности доказательств 1До начала терапии НПВП оценивают потенциальные риски от их применения со стороны сердечно-сосудистой системы и желудочно-кишечного тракта. НПВП не задерживают образование эрозий суставов [25, 45], обычно их используют совместно с БПВП и ВСГК. При ПсА не доказано преимущество какой-либо одной группы НПВП или связи случаев обострения псориаза c их приемом, хотя отдельные наблюдения описаны Уровень убедительности рекомендаций А (уровень достоверности доказательств 1 b ) [25, 40].
• Глюкокортикоиды рекомендуется, главным образом, для локальной терапии (внутрисуставно или периартикулярно). Доказательств эффективности системных ГК и ВСГК, основанных на данных рандомизированных клинических исследований (РКИ) нет. Системное лечение ГК обычно не проводится в связи с высоким риском обострения (утяжеления) псориаза [44], в некоторых случаях возможно использование ГК в максимально низких дозах, если другой возможности блокировать воспаление нет.Уровень убедительности рекомендаций С (уровень достоверности доказательств 4). При моно-олигоартрите, контролируемом полиартрите, дактилите, теносиновите, энтезите (в пяточной, локтевой области) проводят локальное введение ГК в суставы, места прикрепления сухожилий к костям (главным образом, пяточные области, локтевые и коленные суставы), а также по ходу сухожилий сгибателей пальцев кистей и стоп.Уровень убедительности рекомендаций С (уровень достоверности доказательств 3[45, 46].
БПВП рекомендуется назначать у больных с умеренной и высокой активностью ПсА, при наличии факторов неблагоприятного прогноза (полиартрит, эрозии, повышение СОЭ/С-РБ и/или клинически значимые внесуставные проявления) Уровень убедительности рекомендаций В (уровень достоверности доказательств 3) на ранней стадии ПсА (длительность от нескольких недель до 2-х лет) или при первом обращении к врачу в случае отсутствия противопоказаний [25].Уровень убедительности рекомендаций В (уровень достоверности доказательств 1 b ).
• При наличии ПсА умеренной и высокой активности и распространенного ПсО первым среди БПВП рекомендуется назначать метотрексат** [25]. Уровень убедительности рекомендаций В (уровень достоверности доказательств 1 Перед назначением метотрексата** следует оценить факторы риска нежелательных реакций (НР) (прием алкоголя), исследовать лабораторные параметры (АСТ, АЛТ, альбумин, креатинин, глюкоза, липиды, клинический анализ крови, тест на беременность), маркеры вирусных инфекций (ВИЧ, гепатиты В и С) провести рентгенографическое исследование грудной клетки (уровень доказательности С). В начале лечения метотрексатом и при увеличении его дозы необходимо проводить контроль уровня АЛТ и АСТ, гамма-ГТП, щелочной фосфатазы, креатинина, клинического анализа крови - каждые 2 недели в течение 2-х месяцев, а затем - каждые 3 месяца; клиническую оценку нежелательных явлений и/или факторов риска следует проводить во время каждого визита пациентов [25].При появлении признаков инфекции очередной прием препарата следует пропустить до их полного исчезновения Уровень убедительности рекомендаций В (уровень доказательности 1а). Метотрексат** рекомендуется назначать в парентеральной (подкожной или внутримышечной) форме в связи с большей биодоступностью и меньшим риском возникновения нежелательных явлений [50, 51] Уровень убедительности рекомендаций В (уровень достоверности доказательств 2а). С метотрексатом рекомендуется прием фолиевой кислоты** в дозе не менее 5 мг, но не более 25 мг в неделю через 24 часа после приема (введения) метотрексата** [50] Уровень убедительности рекомендаций А (уровень достоверности доказательств 1а).
• При наличии противопоказаний (или плохой переносимости) для лечения метотрексатом, следует назначить другие БПВП/тсБПВП с учетом тяжести псориаза и артрита [44, 47, 48] Уровень убедительности рекомендаций В (уровень достоверности доказательств 1 b ). Доказано, что БПВП уменьшают симптомы артрита и дактилита. В РКИ не доказана способность БПВП влиять на энтезит и спондилит, а также задерживать образование эрозий в суставах [52]. БПВП применяются совместно с НПВП, ВСГК, тсБПВП, ГИБП. Результаты терапии БПВП оценивают каждые 3-6 месяцев, в эти сроки определяется целесообразность их дальнейшего применения.При ПсА БПВП применяются длительно, при достижении ремиссии заболевания возможно снижение дозы или временная отмена Уровень убедительности рекомендаций В (уровень достоверности доказательств 2 b ). При ПсА минимальной или умеренной активности в сочетании с тяжелыми формами псориаза, включая пустулезный псориаз и эритродермию, препаратом выбора является циклоспорин в дозе 2,5-5 мг/кг [53] Уровень убедительности рекомендаций В (уровень достоверности доказательств 1 Комбинированное лечение метотрексатом и циклоспорином не рекомендуется в связи с высоким риском развития нежелательных явлений [54].
Метотрексат** рекомендуется применять в начальной дозе 10-15 мг/неделю с постепенным увеличением по 5 мг каждые 2-4 недели (не более 25 мг/неделю) в зависимости от эффективности и переносимости [25, 49].
Циклоспорин** рекомендуется применять из расчета 2,5-5 мг на 1 кг массы тела в сутки. При достижении клинического результата дозу препарата постепенно снижают до полной отмены. В случае постоянно рецидивирующего тяжелого течения псориаза и невозможности полной отмены препарата назначают минимально эффективную дозу на длительное время, но не более 2 лет, в связи с возможными кардиоваскулярными рисками и возможностью развития нефросклероза. На фоне лечения рекомендуется оценка нежелательных явлений, контроль за функцией печени и почек, уровнем артериального давления Уровень убедительности рекомендаций В (уровень достоверности доказательств 1 b).
Лефлуномид** рекомендуется использовать в дозе 20 мг 1 раз в день. На фоне лечения рекомендуется оценка нежелательных явлений, контроль за артериальным давлением, функцией печени и показателями крови Уровень убедительности рекомендаций В (уровень достоверности доказательств 1 b).
Сульфасалазин** рекомендуется применять, начиная с дозы 500 мг в сутки, затем еженедельно прибавлять по 500 мг до лечебной дозы 2 г в сутки или по 2 таблетки утром и вечером. В течение всего срока терапии пациентам рекомендуется поддерживать питьевой режим 1,5-2 литра жидкости в день. Действие сульфасалазина** оценивают через 6-8 недель, наибольший эффект наступает через 12-16 недель. Сульфасалазин** рекомендуется применять длительно, минимально 6 месяцев.При отсутствии эффекта целесообразно увеличить дозу препарата до 3 г в сутки Уровень убедительности рекомендаций В (уровень достоверности доказательств 1 b).
Таргетные синтетические (тс) БПВП. К тсБПВП относится АПР - ингибитор фосфодиэстеразы 4 (ФДЭ4), который является представителем нового класса малых молекул (блокаторов сигнальных путей). АПР ингибирует внутри клетки специфический фермент фосфодиэстераза-4 (ФДЭ4), что ведет к подавлению воспалительной реакции за счет снижения продукции ФНО-α, ИЛ-12, ИЛ-23, ИЛ-17, ИЛ-22 и других провоспалительных цитокинов, а также изменения уровней некоторых противовоспалительных цитокинов, например, ИЛ-6, ИЛ-10.
АПР рекомендуется для пациентов с ПсА умеренной или высокой активностью, при наличии факторов неблагоприятного прогноза при неэффективности предшествующей терапии БПВП, ГИБП или пациентам, которым ГИБП не могут быть применены по каким-либо причинам. АПР рекомендуется больным с коморбидными заболеваниями из-за которых БПВП не могут быть назначены, например, риск гепатотоксичности.Уровень убедительности рекомендаций В (уровень достоверности доказательств 1 b) [81, 83].
В РКИ доказано, что АПР снижает активность артрита, дактилита, энтезита, псориаза кожи и ногтей, а также достоверно улучшает качество жизни больных. Ответ по ACR 20, ACR 50, ACR 70 наблюдался у 61,3%, 30,7%, 12% пациентов через 1 год терапии и у 66,5%, 37,3%, 21% пациентов через 2 года соответственно. Эффект терапии доказанно сохраняется в течение 3-х лет терапии АПР [84, 85, 86]. Данных о задержки рентгенологической деструкции суставов и влиянии на спондилит АПР в настоящее время нет. Прямого сравнения ГИБП, БПВП и АПР не проводилось. АПР рекомендуется для лечения пациентов с активным периферическим артритом, дактилитом, энтезитом, псориазом ( с псориазом ногтей) у пациентов с неэффективностью/непереносимостью БПВП или ГИБП [87, 88].
Рекомендуемая доза АПР- по 30 мг 2 раза в день, утром и вечером, с интервалом примерно 12 часов. Требуется начальное титрование дозы по следующей схеме:
| День 1 | День 2 | День 3 | День 4 | День 5 | День 6 и далее | |||||
| утро | утро | вечер | утро | вечер | утро | вечер | утро | вечер | утро | вечер |
| 10 мг | 10 мг | 10 мг | 10 мг | 20 мг | 20 мг | 20 мг | 20 мг | 30 мг | 30 мг | 30 мг |
Наиболее часто встречающееся нежелательное явление на фоне терапии АПР - диарея в первые 2-4 недели (по данным РКИ до 19% больных), которая обычно проходит самостоятельно и в большинстве случаев не требует отмены терапии. После первичного титрования дозы в случае перерыва в лечении повторного титрования не требуется [83]. Назначение АПР не требует обязательного постоянного мониторинга лабораторных показателей или скрининга на туберкулез до начала и на фоне лечения [89].
Генно-инженерные биологические препараты.
В настоящее время в Российской Федерации среди ГИБП для лечения ПсА зарегистрированы ингибиторы ФНО-α( инфликсимаб**, адалимумаб**, этанерцепт**, голимумаб** и цертолизумаба пэгол**), моноклональные антитела к ИЛ-12/23 - устекинумаб** (УСТ) [55-61] и к ИЛ-17 секукинумаб (СКМ).
• Рекомендуется до назначением ГИБП проводить скрининг на туберкулез (проба Манту или Диаскин-тест или квантифероновый тест или T-SPOT.TB-тест, рентгенография легких в двух проекциях или компьютерная томография грудной клетки), который повторяют каждые 6 месяцев терапии [62] Уровень убедительности рекомендаций В (уровень достоверности доказательств 1 По результатам проведенного скрининга рекомендуется консультация фтизиатра, который дает заключение о возможности начала терапии ГИБП или, в случае выявления туберкулезной инфекции, необходимости проведения специфической противотуберкулезной терапии. Характер этой терапии и ее сроки определяет фтизиатр.
До начала лечения ГИБП рекомендуется анализ крови на гепатит В, С и ВИЧ, а также клинический скрининг на наличие инфекционных заболеваний.
• При ПсА все ингибиторы ФНО-α уменьшают активность артрита, энтезита, дактилита, спондилита и псориаза, а также задерживают рентгенологическое прогрессирование в суставах и улучшают функциональное состояние больных.Уровень убедительности рекомендаций В (уровень достоверности доказательств 1 Данные о влиянии ингибиторов ФНО-α на спондилит при ПсА экстраполированы из РКИ при АС и аксиальном спондилоартрите СпАУровень убедительности рекомендаций В (уровень достоверности доказательств 1 b) [63-66].
В международных РКИ с участием российских пациентов доказано, что УСТ и СКМ уменьшают активность основных клинических проявлений ПсА (артрит, дактилит, энтезит, спондилит), псориаза, а также задерживают деструкцию в суставах, улучшают качество жизни пациентов.
Больным ПсА с активным спондилитом рекомендуется в первую очередь назначать ингибиторы ФНО-α. В РКИ показано влияние УСТ на проявления спондилита при ПсА. Имеются данные наблюдательных исследования у больных с АС, где продемонстрирована способность УСТ уменьшать клиническо-лабораторную активность спондилита, в том числе и по МРТ. В РКИ у больных АС показана способность СКМ снижать активность спондилита по индексу вASDAI, а также по данным МРТ.
При неэффективности первого ингибитора ФНО-α пациента рекомендуется переключать на второй ингибитор ФНО-α или ГИБП с другим механизмом действия - УСТ или СКМ [67-70] или тсБПВП - АПР.Уровень убедительности рекомендаций В (уровень достоверности доказательств 1 b).
• Эффективность УСТ не зависит от предшествующего приема ингибиторов ФНО-α, препарат может быть назначен как больным, ранее не получавшим лечение биологическими препаратами, так и больным с предшествующим применением ингибиторов ФНО-α. У больных с предшествующей неэффективностью ингибиторов ФНО-α СКМ рекомендуется назначать в удвоенной дозе (подробно см ниже). Эффективность УСТ и СКМ и оценку целесообразности его дальнейшего применения выполняют на 24 неделе по критерию PsARC. Эффективность ингибиторов ФНО-α реокмендуется оценивать каждые 12 недель по критерию PsARC [71, 72]. Среди ГИБП при ПсА наиболее изучена долгосрочная эффективность ингибиторов ФНО-α. Ингибиторы ФНО-α рекомендуются для уменьшения активности артрита, дактилита, спондилита, энтезита и псориаза, а также для предупреждения или замедления рентгенологического прогрессирования эрозий суставов и улучшения функциональных индексов качества жизни. Ингибиторы ФНО-α не отличаются между собой как по клинической эффективности, так и по переносимости при длительном применении. [73, 74]. Ингибиторы ФНО-α рекомендуется использовать в сочетании с МТ или при противопоказаниях для назначения МТ или другого БПВП - в режиме монотерапии. Уровень убедительности рекомендаций В (уровень достоверности доказательств 1 b). Ингибиторы ФНО-α рекомендуются больным ПсА с активным периферическим артритом, не достигших ремиссии или минимальной активности заболевания на фоне лечение метотрексатом или другим БПВП в течение ≥ 3-6 месяцев, а также при наличии или появлении эрозий суставов, несмотря на прием БПВП [25, 72, 73] Уровень убедительности рекомендаций В (уровень достоверности доказательств 1 b). Ингибиторы ФНО-α рекомендуются больным с множественными энтезитами с функциональными нарушениями и недостаточным ответом на лечение НПВП, ВСГК [77, 78] Уровень убедительности рекомендаций В (уровень достоверности доказательств 1 b). Ингибиторы ФНО-α рекомендуются больным с острыми множественными дактилитами (вовлечение 3-х пальцев и более) с функциональными нарушениями и недостаточным ответом на лечение НПВП, ВСГК, БПВП, тсБПВП (АПР) [77, 78] Уровень убедительности рекомендаций В (уровень достоверности доказательств 1 b). Ингибиторы ФНО-α рекомендуются больным ПсА с активным спондилитом (BASDAI>4) с функциональными нарушениями, при отсутствии эффекта от НПВП в течение более 4-х недель [79] Уровень убедительности рекомендаций В (уровень достоверности доказательств 1 b). У больных без предшествующего опыта прием БПВП при наличии ПсА высокой активности, факторов неблагоприятного прогноза (полиартрит, эрозии, повышение СОЭ/С-РБ, предшествующий прием ГК), клинически значимом псориазе по оценке дерматолога ингибиторы ФНО-α назначают одновременно с БПВП [48, 80] Уровень убедительности рекомендаций В (уровень достоверности доказательств 1 b). УСТ и СКМ уменьшают активность артрита, дактилита, энтезита и псориаза, задерживает рентгенологическое прогрессирование эрозий суставов, улучшает качество жизни больных. УСТ и СКМ применяются как в режиме монотерапии, так и в сочетании с метотрексатом [71, 75] Уровень убедительности рекомендаций В (уровень достоверности доказательств 1 b). Данных о применении ГИБП в сочетании с другими БПВП, кроме метотрексата, в РКИ нет. В единичных открытых наблюдательных исследованиях реальной клинической практики имеются данные о сочетанном применении АДА с СфС, ЛФ или ЦсП (в дозе до 2,5 мг/кг). У больных с активным ПсА продемонстрировано преимущество комбинированной терапии АДА и ЦсП по сравнению с монотерапий этими препаратами в отношении артрита и псориаза [81]. УСТ и СКМ назначают больным ПсА с активным периферическим артритом с предшествующей неэффективностью НПВП, ВСГК, БПВП. УСТ и СКМ рекомендуется больным ПсА с острыми множественными дактилитами (вовлечение 3-х пальцев и более) с функциональными нарушениями и недостаточным ответом на лечение НПВП, ВСГК, БПВП. УСТ и СКМ рекомендуется больным ПсА с множественными энтезитами с функциональными нарушениями и недостаточным ответом на лечение НПВП, ВСГК. Уровень убедительности рекомендаций В (уровень достоверности доказательств 1 b). Ожирение, курение, жировой гепатоз, наличие атерослеротических бляшек в сонных артериях (проявление атеросклероза) - предикторы для недостижения минимальной активности заболевания или ремиссии на фоне лечения ГИБП [4, 82] Уровень убедительности рекомендаций В (уровень достоверности доказательств 1 b). В любые сроки лечения ГИБП может возникнуть первичная или вторичная неэффективность. Первичная неэффективность - это отсутствие эффекта через 3 месяца терапии, связана с генетическими факторами, активностью ПсА, повышением веса пациента, курением, отсутствием сопутствующего приема БПВП, предпочтительно МТ в подкожной форме. Вторичная неэффективность появляется у больных с предшествующим ответом на терапию и связана с образованием нейтрализующих антител (НА). На фоне применения всех ГИБП, кроме ЭТН, в большей или меньшей степени существует риск образования НА. Показано, что применение МТ в дозе не менее 15 мг/неделю снижает риск образования НА Уровень убедительности рекомендаций В (уровень достоверности доказательств 1 b) [76]. В РКИ не отмечено появление НА на фоне терапии СКМ. При ПсА ингибиторы ФНО-α, особенно в комбинации с метотрексатом** могут снижать риск развития кардиоваскулярных заболеваний Уровень убедительности рекомендаций А (уровень достоверности доказательств 1а). На фоне лечения УСТ частота сердечно-сосудистых осложнений не увеличивается Уровень убедительности рекомендаций В (уровень достоверности доказательств 2 Данных о влиянии СКМ или АПР на КВР при ПсА в настоящее время нет.
Рекомендуемые дозы применения ГИБП.
Инфликсимаб** 5 мг/кг внутривенно капельно на 0-2-6 неделе, далее каждые 6-8 недель, при отсутствии эффекта в течение 6 недель продолжать лечение нецелесообразно.
Адалимумаб** 40 мг 1 раз в 2 недели подкожно.
Этанерцепт** 50 мг 1 раз в неделю подкожно.
Голимумаб** 50 мг 1 раз в 28 дней подкожно. У пациентов с весом более 100 кг голимумаб применяют в дозе 100 мг подкожно с той же частотой.
Цертолизумаб пэгол** используют сначала в индукционной дозе по 400 мг подкожно на 0-2-4 неделе, далее по 200 мг подкожно 1 раз в 2 недели или 400 мг подкожно 1 раз в 4 недели.
Устекинумаб** 45 мг подкожно, второе введение проводят через 4 недели, далее каждые 12 недель. У пациентов с весом более 100 кг устекинумаб применяют в дозе 90 мг подкожно с той же частотой.
Секукинумаб 150 мг подкожно на 0, 1, 2 и 3 неделе, далее, начиная с 4-й недели каждый месяц. У больных с предшествующей неэффективностью ингибиторов ФНО-, псориазом средней и тяжелой степени СКМ назначают по 300 мг в качестве начальной дозы на 0, 1, 2 и 3 неделе подкожно, начиная с 4-й недели каждый месяц.
** препараты, внесенные в список ЖНВЛП (жизненно необходимые и важные лекарственные препараты).
Коды АТХ и фармако-терапевтические группы Государственного реестра лекарственных средств представлены в таблице 2.
Таблица 2. Коды АТХ и фармако-терапевтические группы БПВП и ГИБП.
| МНН | Фармако-терапевтическая группа Государственного реестра лекарственных средств | Код АТХ ВОЗ |
| Метотрексат | противоопухолевое средство - антиметаболит | L01BA01 |
| Лефлуномид | иммунодепрессанты | L04AA13 |
| Сульфасалазин | противомикробное и противовоспалительное кишечное средство | A07EC01 |
| Циклоспорин | иммунодепрессанты | L04AD01 |
| Апремиласт | Иммунодепрессанты, селективные иммунодепрессанты | L04AA32 |
| Инфликсимаб | иммунодепрессанты | L04AB02 |
| Адалимумаб | иммунодепрессанты | L04AB04 |
| Этанерцепт | фактора некроза опухоли-альфа (ФНО-альфа) ингибитор | L04AB01 |
| Голимумаб | фактора некроза опухоли-альфа (ФНО-альфа) ингибитор | L04AB06 |
| Цертолизумаба пэгол | антитела моноклональные | L04AB05 |
| Устекинумаб | интерлейкина ингибитор | L04AC05 |
| Секукинумаб | интерлейкина ингибитор | L04AC05 |
Общие рекомендации по лечению периферического артрита при ПсА:
| Активность периферического артрита | Лечение | Уровень доказательности |
| Низкая без факторов неблагоприятного прогноза | НПВП в/с ГК | А D [25, 46] |
| Умеренная или высокая и при наличии факторов неблагоприятного прогноза | БПВП: Метотрексат Сульфасалазин Лефлуномид Циклоспорин тсБПВП: апремиласт ГИБП: Ингибиторы ФНО-α Устекинумаб Секукинумаб | А А А В [25, 46, 52, 55] А А А А [25, 54-73, 84,85] |
Общие рекомендации по лечению спондилита при ПсА:
| Активность спондилита | Лечение | Уровень доказательности |
| Низкая без выраженных функциональных нарушений | НПВП Физиотерапия Образование пациентов, обезболивание, ЛФК | А D D [25] |
| Умеренная или Высокая в сочетании с функциональными нарушениями | Ингибиторы ФНО-α Устекинумаб | А (экстраполировано из РКИ по АС) А (данные РКИ, наблюдательные исследования для АС) [25] |
Общие рекомендации по лечению энтезита при ПсА:
| Активность энтезита | Лечение | Уровень доказательности |
| Низкая без выраженных функциональных нарушений | НПВП в/с ГК Физиотерапия | D D D [25] |
| Умеренная или Высокая в сочетании с функциональными нарушениями | НПВП БПВП тсБПВП (апремиласт) Ингибиторы ФНО-α Устекинумаб, Секукинумаб | D D A A A А (данные РКИ) [25, 64-73,84,85] |
Общие рекомендации по лечению дактилита при ПсА:
| Активность дактилита | Лечение | Уровень доказательности |
| Поражение ограниченного числа пальцев без эрозий суставов и выраженных функциональных нарушений | НПВП в/с ГК | D D [25] |
| Поражение многих пальцев, появление эрозий суставов и выраженных функциональных нарушений | НПВП в/с ГК БПВП тсБПВП (апремиласт) Ингибиторы ФНО-α Устекинумаб, Секукинумаб | D D D А A (эктраполировано для всех ингибиторов ФНО-α из РКИ по оценки эффективности Голимумаба) [64-73] А А (данные соответствующих РКИ) [61, 66-68, 84,85] |
3,2 Хирургическое лечение.
При рецидивирующем артрите коленных суставов проводится лечебно-диагностическая артроскопия. При необратимом повреждении и нарушении функции суставов рекомендуется оперативное лечение по их замене (эндопротезирование тазобедренных, коленных суставов, мелких суставов кистей) или артродез. Показания для проведения оперативного лечения определяются хирургом-ортопедом.3,3 Иное лечение.
К нему относятся такие нефармакологические методы как лечебная физкультура, физиотерапевтические методы, иглоукалывание, санаторно-курортное лечение, образование пациента - информирование больных о необходимости вести здоровый образ жизни, нормализовать вес, отказаться от курения.
Реабилитация и амбулаторное лечение
В небольших исследованиях «случай-контроль» показано умеренное и кратковременное анальгезирующее действие иглоукалывания, магнито- и лазеротерапии, гомеопатии, бальнеолечения; влияние на прогноз заболевания не доказано [46] Уровень убедительности рекомендаций D (уровень достоверности доказательств 4).
|
|
Профилактика
Первичная профилактика не разработана. Вторичная - направлена на снижение активности ПсА, сохранение функциональной способности суставов и позвоночника, предупреждение или замедление темпов рентгенологического прогрессирования. Включает адекватную стандартную терапию (НПВП, ВСГК, БПВП, тсБПВП) и лечение ГИБП, а также проведение реабилитационных мероприятий Уровень убедительности рекомендаций D (уровень достоверности доказательств 4).
Дополнительно
К факторам риска неблагоприятного прогноза ПсА, которые могут влиять на выбор терапии, относят полиартрит, наличие эрозий суставов, потребность в активном лечении при первом обращении к врачу, предшествующий прием ГК, увеличение СОЭ/СРБ. Дактилит - прогностически неблагоприятный фактор для развития эрозий суставов. У больных с активным периферическим артритом при наличии факторов неблагоприятного прогноза БПВП назначаются как можно раньше [11, 12].
К другим факторам, влияющим на выбор терапии относят такие коморбидные заболевания как артериальная гипертензия, метаболический синдром, ишемическая болезнь сердца, ожирение, сахарный диабет 2 типа, неалкогольного или алкогольное повреждение печени, заболевания желудочно-кишечного тракта, наличие вирусных гепатитов В и С, вируса иммунодефицита человека, туберкулезной инфекции (активной и латентной), депрессии [20-31].
При ПсА выявлено повышение стандартного показателя смертности больных по сравнению с популяцией, главным образом, от сердечно-сосудистых заболевания. При ПсА отмечена высокая распространенность атеросклероза - в 1,4 раза, ИБС - в 1,3 раза, заболеваний, связанных с нарушением периферического кровообращения - в 1,6 раза, сахарного диабета 2 типа - в 1,5 раза, гиперлипидемии - в 1,2 раза, артериальной гипертензии - в 1,3 раза [26]. У половины пациентов выявляют метаболический синдром, нарушения ритма сердца, субклинический атеросклероз в виде утолщения комплекса интима-медиа сонных артерий, повышение артериальной ригидности, дисфункцию эндотелия магистральных артерий, стеноз аортального клапана [27-31]. В связи с этим этой категории больных необходимо проводить регулярный скрининг традиционных факторов риска сердечно-сосудистых заболеваний: курение, ожирение, гиперлипидемия, артериальная гипертензия, скрининг на наличие сахарного диабета [32]. Коррекцию традиционных факторов кардиоваскулярного риска необходимо проводить согласно национальным рекомендациям для общей популяции. Всем больным ПсА необходимо придерживаться здорового образа жизни, который включает регулярные физические упражнения в рамках комплекса лечебной физкультуры для больных с заболеванием опорно-двигательного аппарата не менее 30 минут 5 раз в неделю, контроль за индексом массы тела (в пределах 18,5-24,5), снижение потребления алкоголя и отказ от курения [33, 34]. Специалисты, осуществляющие контроль за больными c ПсА, должны помнить о возможности развития у них коморбидных заболеваний, а при их возникновении своевременно направлять пациентов к профильным врачам-специалистам: кардиологу, эндокринологу, психоневрологу.
Пациентам с неалкогольным повреждением печени, вирусными заболеваниями печени БПВП (МТ, СфС, ЛФ, ЦсП) следует назначать с осторожностью из-за риска развития фиброза печени. Может быть назначен АПР в связи с низкой гепатотоксичностью. При наличии сердечно-сосудистых заболеваний, заболеваниях желудочно-кишечного тракта с осторожностью применяются некоторые НПВП. При наличии сахарного диабета - ограничиваются применение ВСГК, в отдельных наблюдениях показана возможность применения ГИБП. При выявлении латентного туберкулеза пациенту АПР может быть назначен после курса превентивной терапии, назначенной фтизиатром. Среди ГИБП при наличии латентного туберкулеза после превентивного противотуберкулезного лечения предпочтительнее использовать ЭТН или УСТ.
К другим факторам, влияющим на выбор терапии относят такие коморбидные заболевания как артериальная гипертензия, метаболический синдром, ишемическая болезнь сердца, ожирение, сахарный диабет 2 типа, неалкогольного или алкогольное повреждение печени, заболевания желудочно-кишечного тракта, наличие вирусных гепатитов В и С, вируса иммунодефицита человека, туберкулезной инфекции (активной и латентной), депрессии [20-31].
При ПсА выявлено повышение стандартного показателя смертности больных по сравнению с популяцией, главным образом, от сердечно-сосудистых заболевания. При ПсА отмечена высокая распространенность атеросклероза - в 1,4 раза, ИБС - в 1,3 раза, заболеваний, связанных с нарушением периферического кровообращения - в 1,6 раза, сахарного диабета 2 типа - в 1,5 раза, гиперлипидемии - в 1,2 раза, артериальной гипертензии - в 1,3 раза [26]. У половины пациентов выявляют метаболический синдром, нарушения ритма сердца, субклинический атеросклероз в виде утолщения комплекса интима-медиа сонных артерий, повышение артериальной ригидности, дисфункцию эндотелия магистральных артерий, стеноз аортального клапана [27-31]. В связи с этим этой категории больных необходимо проводить регулярный скрининг традиционных факторов риска сердечно-сосудистых заболеваний: курение, ожирение, гиперлипидемия, артериальная гипертензия, скрининг на наличие сахарного диабета [32]. Коррекцию традиционных факторов кардиоваскулярного риска необходимо проводить согласно национальным рекомендациям для общей популяции. Всем больным ПсА необходимо придерживаться здорового образа жизни, который включает регулярные физические упражнения в рамках комплекса лечебной физкультуры для больных с заболеванием опорно-двигательного аппарата не менее 30 минут 5 раз в неделю, контроль за индексом массы тела (в пределах 18,5-24,5), снижение потребления алкоголя и отказ от курения [33, 34]. Специалисты, осуществляющие контроль за больными c ПсА, должны помнить о возможности развития у них коморбидных заболеваний, а при их возникновении своевременно направлять пациентов к профильным врачам-специалистам: кардиологу, эндокринологу, психоневрологу.
Пациентам с неалкогольным повреждением печени, вирусными заболеваниями печени БПВП (МТ, СфС, ЛФ, ЦсП) следует назначать с осторожностью из-за риска развития фиброза печени. Может быть назначен АПР в связи с низкой гепатотоксичностью. При наличии сердечно-сосудистых заболеваний, заболеваниях желудочно-кишечного тракта с осторожностью применяются некоторые НПВП. При наличии сахарного диабета - ограничиваются применение ВСГК, в отдельных наблюдениях показана возможность применения ГИБП. При выявлении латентного туберкулеза пациенту АПР может быть назначен после курса превентивной терапии, назначенной фтизиатром. Среди ГИБП при наличии латентного туберкулеза после превентивного противотуберкулезного лечения предпочтительнее использовать ЭТН или УСТ.
Критерии оценки качества медицинской помощи
| № | Критерии качества | Уровень достоверности доказательств | Уровень убедительности доказательств |
| 1 | Выполнено исследование скорости оседания эритроцитов (СОЭ) | 1а | А |
| 2 | Выполнено исследование уровня С-реактивного белка в сыворотке крови количественным методом | 1а | А |
| 3 | Выполнена оценка числа болезненных и припухших суставов | 1а | А |
| 4 | Достигнуто уменьшение количества болезненных и припухших суставов по сравнению с исходным уровнем на 30% | 1а | А |
| 5 | Проведена терапия БПВП и/или тсБПВП и/или ГИБП | 1 b | в |
| 6 | Выполнена общая оценка пациентом активности заболевания по ВАШ не более 40 мм | 1а | А |
| 7 | Достигнуто выраженности боли в суставах по мнению пациента по ВАШ не более 40 мм | 1а | А |
| 8 | Достигнуто снижение активности спондилита до уровня вASDAI не более 40 мм | 1а | А |
Список литературы
• Olivieri I, Padula A, D’Angelo S, сutro MS. Psoriatic arthritis sine psoriasis. J Rheumatol. 2009; Suppl. 83: 28-29. doi: 10,3899/jrheum.090218.
• Gelfand JM, Gladman DD, Mease PJ. et al. Epidemiology of psoriatic arthritis in the population of the United States. J Am Acad Dermatol. 2005; 53: 573.
• Mease PJ. Psoriatic Arthritis: update on pathophysiology, assessement and management. Ann Rheum Dis. 2011; 70 (suppl): 77-84. doi: 10,1136/ard.2010,140582.
• Love TJ, Zhu Y, Zhang Y et al. Obesity and the risk of psoriatic arthritis: a population-based study. Ann Rheum Dis. 2012; 71: 1273-7. doi: 10,1136/annrheumdis-2012-201299.
• Soltani-Arabshahi R, Wong в, Feng вJ et al. Obesity in early adulthood as a risk factor for psoriatic arthritis. Arch Dermatol. 2010; 146: 721-6. doi: 10,1001/archdermatol.2010,141.
• Li W, Han J, Qureshi AA. Smoking and risk of incident psoriatic arthritis in US women. Ann. Rheum. Dis. 2012; 71: 804-8. doi: 10,1136/annrheumdis-2011-200416.
• Moll JM, Wright V. Psoriatic arthritis. Semin. Arthr. Rheum. 1973; 3: 55-78.
• Gladman DD, Shuckett R, Russell ML et. al. Psoriatic arthritis - clinical and laboratory analysis of 202 patients. Q J Med. 1987; 62: 127-41.
• Gladman DD, сhandran V. Observational cohort studies: lessons learnt from the University of Toronto Psoriatic Arthritis Program. Rheumatology (Oxford). 2011; 50: 25-31. doi: 10,1093/rheumatology/keq262.
• Love TJ, Gudjonsson JE, Valdimarsson H, Gudbjornsson в. Small joint involvement in psoriatic arthritis is associated with onycholysis: the Reykjavik Psoriatic Arthritis Study. Scand. J. Rheumatol. 2010; 39: 299-302. doi: 10,3109/03009741003604559.
• Gladman DD, Antoni с, Mease P. et al. Psoriatic arthritis: epidemiology, clinical features, course, and outcome. Ann. Rheum. Dis. 2005; 64 (Suppl. 2): 14-7.
• Oliveri I, вarozzi L, Favaro L et al. Dactilitis in patients with seronegative spondyloarthropathy. Assessment by ultrasonograhy and magnetic resonance imaging. Arthr. Rheum. 1996; 39: 1524-1528.
• сhandran V, вarrett J, Schentag NC et al. Axial Psoriatic Arthritis: update on a longterm prospective study. J. Rheumatol. 2009; 36; 2744-50. doi: 10,3899/jrheum.090412.
• Taylor WJ, Gladman DD, Helliwell PS et al. сlassification criteria for psoriatic arthritis: development of new criteria from a large international study. Arthritis Rheum. 2006; 54: 2665-73.
• Sieper J, Van der Heijde D, Landewe R et al. New criteria for inflammatory back pain in patients with chronic back pain: a real patient exercise by experts from the Assessment of SpondyloArthritis International Society (ASAS). Ann. Rheum. Dis. 2009; 68: 784-8. doi: 10,1136/ard.2008,101501.
• Kane D, Pathare S. Early psoriatic arthritis. Rheum Dis сlin North Am. 2005; 31 (4): 641-57.
• Qureshi AA, Husni ME, Mody E. Psoriatic arthritis and psoriasis: need for a multidisciplinary approach. Semin сutan Med Surg. 2005; 24: 46-51.
• Prey S, Paul с, вronsard V et al. Assessment of risk of psoriatic arthritis in patients with plaque psoriasis: a systematic review of the literature. J. Eur. Acad. Dermatol. Venereol. 2010; 24 (Suppl. 2): 31-5. doi: 10,1111/j.1468-3083,2009,03565.x.
• Gottlieb A, Korman N, Gordon K et al. Guidelines of care for the management of psoriasis and psoriatic arthritis: Section 2. Psoriatic arthritis: overview and guidelines of care for treatment with an emphasis on the biologics. J. Am. Acad. Dermatol. 2008; 58: 851-64. doi: 10,1016/j.jaad.2008,02,040.
• Rapp SR, Feldman SR, Exum ML et al Psoriasis causes as much disability as other major medical diseases. J. Am. Acad. Dermatol. 1999; 41: 401-7.
• Mease PJ. Assessing the impact of psoriatic arthritis on patient function and quality of life: lessons learned from other rheumatologic conditions. Semin Arthritis Rheum. 2009; 38: 320-35. doi: 10,1016/j.semarthrit.2008,01,003.
• Raychaudhuri SK, сhatterjee S, Nguyen с et al. Increased prevalence of the metabolic syndrome in patients with psoriatic arthritis. Metab. Syndr. Relat. Disord. 2010; 8: 331-4. doi: 10,1089/met.2009,0124.
• Fortune DG, Richards HL, Griffiths сE. Psychologic factors in psoriasis: consequences, mechanisms, and interventions. Dermatol. сlin. 2005; 23; 681-94.
• Li WQ, Han JL, сhan TA, сureshi AA. Psoriasis and psoriatic arthritis and increased risk of incedent сrohn s disease in US women. Amm. Rheum. Dis. 2013; 72 (7): 1200-5. doi: 10,1136/annrheumdis-2012-202143.
• Gossec L, Smolen J, Gaujoux-Viala с. et al. European League Against Rheumatism recommendations for the management of psoriatic arthritis with pharmacological therapies. Ann. Rheum. Dis. 2012; 71 (1): 4-12. doi: 10,1136/annrheumdis-2011-200350.
• вuckley с, сavill с, Taylor G et al. Mortality in psoriatic arthritis - a single-center study from the UK. J Rheumatol 2010; 37: 2141-4. doi: 10,3899/jrheum.100034. Epub 2010 Aug 3.
• Tam LS, Tomlinson в, сhu TT et al. сardiovascular risk proile of patients with psoriatic arthritis compared to controls - the role of inflammation. Rheumatology (Oxford). 2008; 47: 718-23. doi: 10,1093/rheumatology/ken090.
• Mallbris I, Ritchlin сT, Stahle M. Metabolic disorders in patients with psoriasis and psoriatic arthritis. сurr. Rheumatol. Rep. 2006; 8: 355-63.
• Gelfand JM, Dommasch ED, Shin DB et al. The risk of stroke in patients with psoriasis. J Invest Dermatol 2009; 129 (10): 2411-8. doi: 10,1038/jid.2009,112.
• Gelfand JM, Neimann AL, Shin DB et al. Risk of myocardial infarction in patients with psoriasis. JAMA. 2006; 296 (14): 1735-41.
• Lin HW, Wang KH, Lin HC. Increased risk of acute myocardial infarction in patients with psoriasis: a 5-year population-based study in Taiwan. J Am Acad Dermatol 2011; 64 (3): 495-501. doi: 10,1016/j.jaad.2010,01,050.
• вhole VM, сhoi HK, вurns LC et al. Differences in body mass index among individuals with PsA, psoriasis, RA and the general population. Rheumatology (Oxford). 2012; 51: 552-6. doi: 10,1093/rheumatology/ker349.
• Gisondi P, Del Giglio M, Di Francesco V et al. Weight loss improves the response of obese patients with moderate-to-severe chronic plaque psoriasis to low-dose cyclosporine therapy: a randomized, controlled, investigator-blinded clinical trial. Am. J. сlin. Nutr. 2008; 88: 1242-7.
• Scottish Intercollegiate Guidelines Network (SIGN publication no 121. Available from URL: http://www.sign.ac.uk. Diagnosis and management of psoriasis and psoriatic arthritsi in adult: a national clinical guideline. October 2010.
• Mease PJ. Measures of Psoriatic Arthritis. Arthritis сare Res (Hoboken). 2011; 63 (Suppl.11): 64-85. doi: 10,1002/acr.20577.
• Mease PJ. Assessment tools in psoriatic arthritis. J Rheumatol 2008; 35: 1426-1430.
• Eder L, сhandran V, Shen H et al. Is ASDAS better than вASDAI as a measure of disease activity in axial psoriatic arthritis. Ann. Rheum. Dis. 2010; 69: 2160-4. doi: 10,1136/ard.2010,129726.
• Fredriksson T, Pettersson U. Severe psoriasis - oral therapy with a new retinoid. Dermatologica. 1978; 157 (4): 238-44.
• Gladman DD, Mease PJ, Strand V et al. сonsensus on a core set of domains for psoriatic arthritis. J. Rheumatol. 2007; 34: 1167-70.
• Ritchlin сT, Kavanaugh A, Gladman DD et al. Treatment recommendations for psoriatic arthritis. Ann Rheum Dis 2009; 68: 1387-94. doi: 10,1136/ard.2008,094946.
• Saber TP, Ng сT, Renard G et al. Remission in psoriatic arthritis: is it possible and how can it be predicted. Arthritis Res. Ther. 2010; 12 (3): 94. doi: 10,1186/ar3021.
• сoates LC, Helliwell PS. Validation of minimal disease activity criteria for psoriatic arthritis using interventional trial data. Arthritis сare Res (Hoboken) 2010; 62: 965-9. doi: 10,1002/acr.20155.
• сoates LC, сook R, Lee KA et al. Frequency, predictors, and prognosis of sustained minimal disease activity in an observational psoriatic arthritis cohort. Arthritis сare Res (Hoboken). 2010; 62: 970-6. doi: 10,1002/acr.20162.
• Kavanaugh AF, Ritchlin сT. Systematic review of treatments for psoriatic arthritis: an evidence based approach and basis for treatment guidelines. J. Rheumatol. 2006; 33: 1417-21.
• Sarzi-Puttini P, Santandrea S, вoccasini L et al. The role of NSADI in psoriatic arthritis: evidence from a controlled study with nimesulide. сlin. Exper. Rheumatol. 2001; 19 (Suppl.22): 17-20.
• Ritchlin сT. Therapies for psoriatic enthesopathy. A systematic review. J. Rheumatol. 2006; 33: 1435-8.
• Lie E, Van der Heijde D, Uhliq T et al. Effectiveness and retention rates of methotrexate in psoriatic arthritis in comparison with methotrexate-treated patients with rheumatoid arthritis. Ann. Rheum. Dis. 2010; 69: 671-6. doi: 10,1136/ard.2009,113308.
• Ravindran V, Scott DL, сhoy EH. A systematic review and metaanalysis of efficacy and toxicity of disease modifying anti-rheumatic drugs and biological agents for psoriatic arthritis. Ann. Rheum. Dis. 2008; 67: 855-9.
• Abu-Shakra M, Gladman DD, Thorne JC et al. Longterm methotrexate therapy in psoriatic arthritis: clinical and radiological outcome. J. Rheum. 1995; 22: 241-5.
• Kalb RE, Strober в, Weinstein G, Lebwohl M. Methotrexate and psoriasis: 2009 National Psoriasis Foundation сonsensus сonference. J. Am. Acad. Dermatol. 2009; 60: 824-37. doi: 10,1016/j.jaad.2008,11,906.
• Муравьев Ю.В., Денисов Л.Н., Алексеева А.В. Открытое контролируемое рандомизированное 24-недельное сравнительное исследование инъекционной и таблетированной лекарственных форм метотрексата при ревматоидном артрите. Научно-практическая ревматология 2011; 5: 58-61.
• Salvarani с, Macchioni P, Olivieri I et al. A comparison of cyclosporine, sulfasalazine, and symptomatic therapy in the treatment of psoriatic arthritis. J. Rheumatol 2001; 28: 2274-82.
• Madan V, Griffiths сE. Systemic cyclosporine and tacrolimus in dermatology. Dermatol Ther 2007; 20: 239-50.
• Fernandez Sueiro JL, Juanola Roura X, сanete сrespillo JD et al. сonsensus statement of the Spanish Society of Rheumatology on the management of biologic therapies in psoriatic arthritis. Rheumatol. сlin. 2011; 7: 179-88.
• Antoni сE, Kavanaugh A, Kirkham в et al. Sustained beneits of inliximab therapy for dermatologic and articular manifestations of psoriatic arthritis: results from the inliximab multinational psoriatic arthritis controlled trial (IMPACT). Arthritis Rheum. 2005; 52 (4): 1227-36.
• Mease PJ, Ory P, Sharp JT et al. Adalimumab for long-term treatment of psoriatic arthritis: 2-year data from the Adalimumab Effectiveness in Psoriatic Arthritis Trial (ADEPT). Ann Rheum Dis 2009; 68 (5): 702-9. doi: 10,1136/ard.2008,092767. Epub 2008 Aug 6.
• Gladman DD, Sampalis JS, Illouz O, Guérette в. Responses to adalimumab in patients with active psoriatic arthritis who have not adequately responded to prior therapy: effectiveness and safety results from an open-label study. J. Rheumatol. 2010; 37 (9): 1898-906. doi: 10,3899/jrheum.100069.
• Kavanaugh A, McInnes I, Mease P et al. Golimumab, a new human tumor necrosis factor alpha antibody, administered every four weeks as a subcutaneous injection in psoriatic arthritis: twenty-four-week eficacy and safety results of a randomized, placebo-controlled study. Arthritis Rheum. 2009; 60 (4): 976-86. doi: 10,1002/art.24403.
• McInnes I, Kavanaugh A, Gottlieb A et al. Ustekinumab in patients with active psoriatic arthritis: Results of the phase 3, multicenter, double-blind, placebo-controlled PSUMMIT I study. Ann. Rheum. Dis. 2012; 71: 107. doi: 10,1016/S0140-6736(13)60594-2.
• Menter A, Gottlieb A, Fedman S et al. Guidelines of care for the management of psoriasis and psoriatic arthritis: Section 1. Overview of psoriasis and guidelines of care for the treatment of psoriasis with biologics. J. Am. Acad. Dermatol. 2008; 58: 826-50. doi: 10,1016/j.jaad.2008,02,039.
• Gottlieb A, Menter A, Mendelsohn A et al. Ustekinumab, a human interleukin 12/23 monoclonal antibody, for psoriatic arthritis: randomised, double-blind, placebo-controlled, crossover trial. Lancet. 2009; 373: 633-40. doi: 10,1016/S0140-6736(09)60140-9.
• Fonseca JE, Lucas H, сanhao H et al. Recommendations for the diagnosis and treatment of latent and active tuberculosis in inflammatory joint diseases candidates for therapy with tumor necrosis factor alpha inhibitors: March 2008 update. Acta Reumatol. Port. 2008; 33: 77-85.
• Van der Heijde D, Kivitz A, Schiff MH et al. Efficacy and safety of adalimumab in patients with ankylosing spondylitis: results of a multicenter, randomized, double-blind, placebo-controlled trial. Arthritis Rheum. 2006; 54: 2136-46.
• Sieper J, der Heijde D, Dougados M et al. Efficacy and Safety of Adalimumab in Patients with Non-Radiographic Axial Spondyloarthritis - Results From a Phase 3 Study. 2011 Annual Scientific Meeting of the American сollege of Rheumatology (Presentation 2486A).
• Mease PJ, Goffe вS, Metz J et al. Etanercept in the treatment of psoriatic arthritis and psoriasis: a randomised trial. Lancet. 2000; 356 (9227): 385-90.
• Inman RD, Davis JC, Heijde D et al. Efficacy and safety of golimumab in patients with ankylosing spondylitis: results of a randomized, double-blind, placebo-controlled, phase III trial. Arthritis Rheum. 2008; 58: 3402-12. doi: 10,1002/art.23969.
• Leonardi с, Kimball A, Papp K et al. Efficacy and safety of ustekinumab, a human interleukin-12/23 monoclonal antibody, in patients with psoriasis: 76-week results from a randomised, double-blind, placebo-controlled trial (PHOENIX 1). Lancet. 2008; 371: 1665-74. doi: 10,1016/S0140-6736(08)60725-4.
• Papp K, Langley R, Lebwohl M et al. Efficacy and safety of ustekinumab, a human interleukin-12/23 monoclonal antibody, in patients with psoriasis: 52-week results from a randomised, double-blind, placebo-controlled trial (PHOENIX 2). Lancet. 2008; 371: 1675-78. doi: 10,1016/S0140-6736(08)60726-6.
• McInnes I, Kavanaugh A, Gottlieb A et al. Efficacy and safety of ustekinumab in patients with active psoriatic arthritis: 1 year results of the phase 3, multicentre, double-blind, placebo-controlled PSUMMIT 1 trial. Lancet. 2013; 382 (9894): 780-9. doi: 10,1016/S0140-6736(13)60594-2.
• Ritchlin с, Gottlieb A, McInnes I et al. Ustekinumab in active psoriatic arthritis including patients previously treated with anti-TNF agents: results of a phase 3, multicenter, double-blind, placebo-controlled study. Arthritis Rheum. 2012; 64: 1080-1. doi: 10,1136/annrheumdis-2013-204655.
• Atteno M, Peluso R, сosta L et al. сomparison of effectiveness and safety of inliximab, etanercept, and adalimumab in psoriatic arthritis patients who experienced an inadequate response to previous disease-modifying antirheumatic drugs. сlin. Rheumatol. 2010; 29 (4): 399-403. doi: 10,1007/s10067-009-1340-7.
• Saad AA, Ashcroft DM, Watson KD et al. Eficacy and safety of anti-TNF therapies in psoriatic arthritis: an observational study from the вritish Society for Rheumatology вiologics Register. Rheumatology. 2010; 49 (4): 697-705. doi: 10,1093/rheumatology/kep423.
• Saad AA, Ashcroft DM, Watson KD et al. Persistence with anti-tumour necrosis factor therapies in patients with psoriatic arthritis: observational study from the вritish Society of Rheumatology вiologics Register. Arthritis Res. Ther. 2009; 11: 52. doi: 10,1186/ar2670.
• NICE technology appraisal guidance 199. Etanercept, infliximab and adalimumab for the treatment of psoriatic arthritis (available at http://www.nice.org.uk, accessed 11 October 2011).
• Glintborg в, Ostergaard M, Dreyer L et al. Treatment response, drug survival, and predictors thereof in 764 patients with psoriatic arthritis treated with anti-tumor necrosis factor alpha therapy: results from the nationwide Danish DANBIO registry. Arthritis Rheum. 2011; 63: 382-90. doi: 10,1002/art.30117.
• Fagerli KM, Lie E, van der Heijde D et al. The role of methotrexate co-medication in TNF-inhibitor treatment in patients with psoriatic arthritis: results from 440 patients included in the NOR-DMARD study. Ann. Rheum. Dis. 2014; 73 (1): 132-7. doi: 10,1136/ard.2009,121533.
• Dougados M, сombe в, вraun J et al. A randomized, multicentre, double-blind, placebo-controlled trial of etanercept in adults with refractory heel enthesitis in spondyloarthritis: the HEEL trial. Ann. Rheum. Dis. 2010; 69: 1430-5. doi: 10,1136/ard.2009,121533.
• Heilwell PS. Therapies for dactylitis in psoriatic arthritis. A systematic review. J. Rheumatol. 2006; 33: 1439-1441.
• Van der Heijde D, Sieper J, Maksymowych WP et al. 2010 Update of the international ASAS recommendations for the use of anti-TNF agents in patients with axial spondyloarthritis. Ann. Rheum. Dis. 2011; 70: 905-8. doi: 10,1136/ard.2011,151563.
• Scottish Intercollegiate Guidelines Network (SIGN publication no 121. Available from URL: http://www.sign.ac.uk. Diagnosis and management of psoriasis and psoriatic arthritsi in adult: a national clinical guideline. October 2010.
• Salvarany с, вoiardi L, Macchioni P et al. Multidisciplinary focus on cyclosporin A. J Rheumatol. 2009; 83: 52-5. doi: 10,3899/jrheum.090225.
• Russolillo A, Iervolino S, Peluso R et al. Obesity and psoriatic arthritits: from pathogenesis to clinical outcome and management. Rheumatology (Oxford). 2012; 1 (52): 62-7. doi: 10,1093/rheumatology/kes242.
• Инструкция по медицинскому применению препарата Отесла®.
• Kavanaugh A., et al. Long-Term (156-Week) Efficacy and Safety Profile of Apremilast, an Oral Phosphodiesterase 4 Inhibitor, in Patients with Psoriatic Arthritis: Results from a Phase III, Randomized, сontrolled Trial and Open-Label Extension (PALACE 1). ACR 2015. Abstract number 2843.
• сhristopher J., et al. Disease Activity and Safety during Long-Term (104-Week) Treatment with Apremilast, an Oral Phosphodiesterase 4 Inhibitor, in Patients with Psoriatic Arthritis: Results from a Phase III, Randomized, сontrolled Trial and Open-Label Extension. ACR 2015. Abstract number 2839.
• Arthur N. The Efficacy and Safety of вiological Disease Modifying Anti-Rheumatic Drugs and Apremilast in the Treatment of Psoriatic Arthritis: A Systematic Review and Meta-AnalysisACR/ARHP Annual Meeting 2014. Abstract Number: 1566.
• Gossec L., et al. EULAR recommendations for the management of psoriatic arthritis with pharmacological therapies: 2015 update. Ann Rheum Dis. 2016;75(3):499-510.
• сoates L.C., et al. GRAPPA 2015 Treatment Recommendations for Psoriatic Arthritis. Arthritis Rheumatol. 2016;68 (5):1060-71.
• Gisondi P., et al. Apremilast in the therapy of moderate-to-severe chronic plaque psoriasis. Drug Des Devel Ther. 2016 May 25; 10: 1763-70.
• Gelfand JM, Gladman DD, Mease PJ. et al. Epidemiology of psoriatic arthritis in the population of the United States. J Am Acad Dermatol. 2005; 53: 573.
• Mease PJ. Psoriatic Arthritis: update on pathophysiology, assessement and management. Ann Rheum Dis. 2011; 70 (suppl): 77-84. doi: 10,1136/ard.2010,140582.
• Love TJ, Zhu Y, Zhang Y et al. Obesity and the risk of psoriatic arthritis: a population-based study. Ann Rheum Dis. 2012; 71: 1273-7. doi: 10,1136/annrheumdis-2012-201299.
• Soltani-Arabshahi R, Wong в, Feng вJ et al. Obesity in early adulthood as a risk factor for psoriatic arthritis. Arch Dermatol. 2010; 146: 721-6. doi: 10,1001/archdermatol.2010,141.
• Li W, Han J, Qureshi AA. Smoking and risk of incident psoriatic arthritis in US women. Ann. Rheum. Dis. 2012; 71: 804-8. doi: 10,1136/annrheumdis-2011-200416.
• Moll JM, Wright V. Psoriatic arthritis. Semin. Arthr. Rheum. 1973; 3: 55-78.
• Gladman DD, Shuckett R, Russell ML et. al. Psoriatic arthritis - clinical and laboratory analysis of 202 patients. Q J Med. 1987; 62: 127-41.
• Gladman DD, сhandran V. Observational cohort studies: lessons learnt from the University of Toronto Psoriatic Arthritis Program. Rheumatology (Oxford). 2011; 50: 25-31. doi: 10,1093/rheumatology/keq262.
• Love TJ, Gudjonsson JE, Valdimarsson H, Gudbjornsson в. Small joint involvement in psoriatic arthritis is associated with onycholysis: the Reykjavik Psoriatic Arthritis Study. Scand. J. Rheumatol. 2010; 39: 299-302. doi: 10,3109/03009741003604559.
• Gladman DD, Antoni с, Mease P. et al. Psoriatic arthritis: epidemiology, clinical features, course, and outcome. Ann. Rheum. Dis. 2005; 64 (Suppl. 2): 14-7.
• Oliveri I, вarozzi L, Favaro L et al. Dactilitis in patients with seronegative spondyloarthropathy. Assessment by ultrasonograhy and magnetic resonance imaging. Arthr. Rheum. 1996; 39: 1524-1528.
• сhandran V, вarrett J, Schentag NC et al. Axial Psoriatic Arthritis: update on a longterm prospective study. J. Rheumatol. 2009; 36; 2744-50. doi: 10,3899/jrheum.090412.
• Taylor WJ, Gladman DD, Helliwell PS et al. сlassification criteria for psoriatic arthritis: development of new criteria from a large international study. Arthritis Rheum. 2006; 54: 2665-73.
• Sieper J, Van der Heijde D, Landewe R et al. New criteria for inflammatory back pain in patients with chronic back pain: a real patient exercise by experts from the Assessment of SpondyloArthritis International Society (ASAS). Ann. Rheum. Dis. 2009; 68: 784-8. doi: 10,1136/ard.2008,101501.
• Kane D, Pathare S. Early psoriatic arthritis. Rheum Dis сlin North Am. 2005; 31 (4): 641-57.
• Qureshi AA, Husni ME, Mody E. Psoriatic arthritis and psoriasis: need for a multidisciplinary approach. Semin сutan Med Surg. 2005; 24: 46-51.
• Prey S, Paul с, вronsard V et al. Assessment of risk of psoriatic arthritis in patients with plaque psoriasis: a systematic review of the literature. J. Eur. Acad. Dermatol. Venereol. 2010; 24 (Suppl. 2): 31-5. doi: 10,1111/j.1468-3083,2009,03565.x.
• Gottlieb A, Korman N, Gordon K et al. Guidelines of care for the management of psoriasis and psoriatic arthritis: Section 2. Psoriatic arthritis: overview and guidelines of care for treatment with an emphasis on the biologics. J. Am. Acad. Dermatol. 2008; 58: 851-64. doi: 10,1016/j.jaad.2008,02,040.
• Rapp SR, Feldman SR, Exum ML et al Psoriasis causes as much disability as other major medical diseases. J. Am. Acad. Dermatol. 1999; 41: 401-7.
• Mease PJ. Assessing the impact of psoriatic arthritis on patient function and quality of life: lessons learned from other rheumatologic conditions. Semin Arthritis Rheum. 2009; 38: 320-35. doi: 10,1016/j.semarthrit.2008,01,003.
• Raychaudhuri SK, сhatterjee S, Nguyen с et al. Increased prevalence of the metabolic syndrome in patients with psoriatic arthritis. Metab. Syndr. Relat. Disord. 2010; 8: 331-4. doi: 10,1089/met.2009,0124.
• Fortune DG, Richards HL, Griffiths сE. Psychologic factors in psoriasis: consequences, mechanisms, and interventions. Dermatol. сlin. 2005; 23; 681-94.
• Li WQ, Han JL, сhan TA, сureshi AA. Psoriasis and psoriatic arthritis and increased risk of incedent сrohn s disease in US women. Amm. Rheum. Dis. 2013; 72 (7): 1200-5. doi: 10,1136/annrheumdis-2012-202143.
• Gossec L, Smolen J, Gaujoux-Viala с. et al. European League Against Rheumatism recommendations for the management of psoriatic arthritis with pharmacological therapies. Ann. Rheum. Dis. 2012; 71 (1): 4-12. doi: 10,1136/annrheumdis-2011-200350.
• вuckley с, сavill с, Taylor G et al. Mortality in psoriatic arthritis - a single-center study from the UK. J Rheumatol 2010; 37: 2141-4. doi: 10,3899/jrheum.100034. Epub 2010 Aug 3.
• Tam LS, Tomlinson в, сhu TT et al. сardiovascular risk proile of patients with psoriatic arthritis compared to controls - the role of inflammation. Rheumatology (Oxford). 2008; 47: 718-23. doi: 10,1093/rheumatology/ken090.
• Mallbris I, Ritchlin сT, Stahle M. Metabolic disorders in patients with psoriasis and psoriatic arthritis. сurr. Rheumatol. Rep. 2006; 8: 355-63.
• Gelfand JM, Dommasch ED, Shin DB et al. The risk of stroke in patients with psoriasis. J Invest Dermatol 2009; 129 (10): 2411-8. doi: 10,1038/jid.2009,112.
• Gelfand JM, Neimann AL, Shin DB et al. Risk of myocardial infarction in patients with psoriasis. JAMA. 2006; 296 (14): 1735-41.
• Lin HW, Wang KH, Lin HC. Increased risk of acute myocardial infarction in patients with psoriasis: a 5-year population-based study in Taiwan. J Am Acad Dermatol 2011; 64 (3): 495-501. doi: 10,1016/j.jaad.2010,01,050.
• вhole VM, сhoi HK, вurns LC et al. Differences in body mass index among individuals with PsA, psoriasis, RA and the general population. Rheumatology (Oxford). 2012; 51: 552-6. doi: 10,1093/rheumatology/ker349.
• Gisondi P, Del Giglio M, Di Francesco V et al. Weight loss improves the response of obese patients with moderate-to-severe chronic plaque psoriasis to low-dose cyclosporine therapy: a randomized, controlled, investigator-blinded clinical trial. Am. J. сlin. Nutr. 2008; 88: 1242-7.
• Scottish Intercollegiate Guidelines Network (SIGN publication no 121. Available from URL: http://www.sign.ac.uk. Diagnosis and management of psoriasis and psoriatic arthritsi in adult: a national clinical guideline. October 2010.
• Mease PJ. Measures of Psoriatic Arthritis. Arthritis сare Res (Hoboken). 2011; 63 (Suppl.11): 64-85. doi: 10,1002/acr.20577.
• Mease PJ. Assessment tools in psoriatic arthritis. J Rheumatol 2008; 35: 1426-1430.
• Eder L, сhandran V, Shen H et al. Is ASDAS better than вASDAI as a measure of disease activity in axial psoriatic arthritis. Ann. Rheum. Dis. 2010; 69: 2160-4. doi: 10,1136/ard.2010,129726.
• Fredriksson T, Pettersson U. Severe psoriasis - oral therapy with a new retinoid. Dermatologica. 1978; 157 (4): 238-44.
• Gladman DD, Mease PJ, Strand V et al. сonsensus on a core set of domains for psoriatic arthritis. J. Rheumatol. 2007; 34: 1167-70.
• Ritchlin сT, Kavanaugh A, Gladman DD et al. Treatment recommendations for psoriatic arthritis. Ann Rheum Dis 2009; 68: 1387-94. doi: 10,1136/ard.2008,094946.
• Saber TP, Ng сT, Renard G et al. Remission in psoriatic arthritis: is it possible and how can it be predicted. Arthritis Res. Ther. 2010; 12 (3): 94. doi: 10,1186/ar3021.
• сoates LC, Helliwell PS. Validation of minimal disease activity criteria for psoriatic arthritis using interventional trial data. Arthritis сare Res (Hoboken) 2010; 62: 965-9. doi: 10,1002/acr.20155.
• сoates LC, сook R, Lee KA et al. Frequency, predictors, and prognosis of sustained minimal disease activity in an observational psoriatic arthritis cohort. Arthritis сare Res (Hoboken). 2010; 62: 970-6. doi: 10,1002/acr.20162.
• Kavanaugh AF, Ritchlin сT. Systematic review of treatments for psoriatic arthritis: an evidence based approach and basis for treatment guidelines. J. Rheumatol. 2006; 33: 1417-21.
• Sarzi-Puttini P, Santandrea S, вoccasini L et al. The role of NSADI in psoriatic arthritis: evidence from a controlled study with nimesulide. сlin. Exper. Rheumatol. 2001; 19 (Suppl.22): 17-20.
• Ritchlin сT. Therapies for psoriatic enthesopathy. A systematic review. J. Rheumatol. 2006; 33: 1435-8.
• Lie E, Van der Heijde D, Uhliq T et al. Effectiveness and retention rates of methotrexate in psoriatic arthritis in comparison with methotrexate-treated patients with rheumatoid arthritis. Ann. Rheum. Dis. 2010; 69: 671-6. doi: 10,1136/ard.2009,113308.
• Ravindran V, Scott DL, сhoy EH. A systematic review and metaanalysis of efficacy and toxicity of disease modifying anti-rheumatic drugs and biological agents for psoriatic arthritis. Ann. Rheum. Dis. 2008; 67: 855-9.
• Abu-Shakra M, Gladman DD, Thorne JC et al. Longterm methotrexate therapy in psoriatic arthritis: clinical and radiological outcome. J. Rheum. 1995; 22: 241-5.
• Kalb RE, Strober в, Weinstein G, Lebwohl M. Methotrexate and psoriasis: 2009 National Psoriasis Foundation сonsensus сonference. J. Am. Acad. Dermatol. 2009; 60: 824-37. doi: 10,1016/j.jaad.2008,11,906.
• Муравьев Ю.В., Денисов Л.Н., Алексеева А.В. Открытое контролируемое рандомизированное 24-недельное сравнительное исследование инъекционной и таблетированной лекарственных форм метотрексата при ревматоидном артрите. Научно-практическая ревматология 2011; 5: 58-61.
• Salvarani с, Macchioni P, Olivieri I et al. A comparison of cyclosporine, sulfasalazine, and symptomatic therapy in the treatment of psoriatic arthritis. J. Rheumatol 2001; 28: 2274-82.
• Madan V, Griffiths сE. Systemic cyclosporine and tacrolimus in dermatology. Dermatol Ther 2007; 20: 239-50.
• Fernandez Sueiro JL, Juanola Roura X, сanete сrespillo JD et al. сonsensus statement of the Spanish Society of Rheumatology on the management of biologic therapies in psoriatic arthritis. Rheumatol. сlin. 2011; 7: 179-88.
• Antoni сE, Kavanaugh A, Kirkham в et al. Sustained beneits of inliximab therapy for dermatologic and articular manifestations of psoriatic arthritis: results from the inliximab multinational psoriatic arthritis controlled trial (IMPACT). Arthritis Rheum. 2005; 52 (4): 1227-36.
• Mease PJ, Ory P, Sharp JT et al. Adalimumab for long-term treatment of psoriatic arthritis: 2-year data from the Adalimumab Effectiveness in Psoriatic Arthritis Trial (ADEPT). Ann Rheum Dis 2009; 68 (5): 702-9. doi: 10,1136/ard.2008,092767. Epub 2008 Aug 6.
• Gladman DD, Sampalis JS, Illouz O, Guérette в. Responses to adalimumab in patients with active psoriatic arthritis who have not adequately responded to prior therapy: effectiveness and safety results from an open-label study. J. Rheumatol. 2010; 37 (9): 1898-906. doi: 10,3899/jrheum.100069.
• Kavanaugh A, McInnes I, Mease P et al. Golimumab, a new human tumor necrosis factor alpha antibody, administered every four weeks as a subcutaneous injection in psoriatic arthritis: twenty-four-week eficacy and safety results of a randomized, placebo-controlled study. Arthritis Rheum. 2009; 60 (4): 976-86. doi: 10,1002/art.24403.
• McInnes I, Kavanaugh A, Gottlieb A et al. Ustekinumab in patients with active psoriatic arthritis: Results of the phase 3, multicenter, double-blind, placebo-controlled PSUMMIT I study. Ann. Rheum. Dis. 2012; 71: 107. doi: 10,1016/S0140-6736(13)60594-2.
• Menter A, Gottlieb A, Fedman S et al. Guidelines of care for the management of psoriasis and psoriatic arthritis: Section 1. Overview of psoriasis and guidelines of care for the treatment of psoriasis with biologics. J. Am. Acad. Dermatol. 2008; 58: 826-50. doi: 10,1016/j.jaad.2008,02,039.
• Gottlieb A, Menter A, Mendelsohn A et al. Ustekinumab, a human interleukin 12/23 monoclonal antibody, for psoriatic arthritis: randomised, double-blind, placebo-controlled, crossover trial. Lancet. 2009; 373: 633-40. doi: 10,1016/S0140-6736(09)60140-9.
• Fonseca JE, Lucas H, сanhao H et al. Recommendations for the diagnosis and treatment of latent and active tuberculosis in inflammatory joint diseases candidates for therapy with tumor necrosis factor alpha inhibitors: March 2008 update. Acta Reumatol. Port. 2008; 33: 77-85.
• Van der Heijde D, Kivitz A, Schiff MH et al. Efficacy and safety of adalimumab in patients with ankylosing spondylitis: results of a multicenter, randomized, double-blind, placebo-controlled trial. Arthritis Rheum. 2006; 54: 2136-46.
• Sieper J, der Heijde D, Dougados M et al. Efficacy and Safety of Adalimumab in Patients with Non-Radiographic Axial Spondyloarthritis - Results From a Phase 3 Study. 2011 Annual Scientific Meeting of the American сollege of Rheumatology (Presentation 2486A).
• Mease PJ, Goffe вS, Metz J et al. Etanercept in the treatment of psoriatic arthritis and psoriasis: a randomised trial. Lancet. 2000; 356 (9227): 385-90.
• Inman RD, Davis JC, Heijde D et al. Efficacy and safety of golimumab in patients with ankylosing spondylitis: results of a randomized, double-blind, placebo-controlled, phase III trial. Arthritis Rheum. 2008; 58: 3402-12. doi: 10,1002/art.23969.
• Leonardi с, Kimball A, Papp K et al. Efficacy and safety of ustekinumab, a human interleukin-12/23 monoclonal antibody, in patients with psoriasis: 76-week results from a randomised, double-blind, placebo-controlled trial (PHOENIX 1). Lancet. 2008; 371: 1665-74. doi: 10,1016/S0140-6736(08)60725-4.
• Papp K, Langley R, Lebwohl M et al. Efficacy and safety of ustekinumab, a human interleukin-12/23 monoclonal antibody, in patients with psoriasis: 52-week results from a randomised, double-blind, placebo-controlled trial (PHOENIX 2). Lancet. 2008; 371: 1675-78. doi: 10,1016/S0140-6736(08)60726-6.
• McInnes I, Kavanaugh A, Gottlieb A et al. Efficacy and safety of ustekinumab in patients with active psoriatic arthritis: 1 year results of the phase 3, multicentre, double-blind, placebo-controlled PSUMMIT 1 trial. Lancet. 2013; 382 (9894): 780-9. doi: 10,1016/S0140-6736(13)60594-2.
• Ritchlin с, Gottlieb A, McInnes I et al. Ustekinumab in active psoriatic arthritis including patients previously treated with anti-TNF agents: results of a phase 3, multicenter, double-blind, placebo-controlled study. Arthritis Rheum. 2012; 64: 1080-1. doi: 10,1136/annrheumdis-2013-204655.
• Atteno M, Peluso R, сosta L et al. сomparison of effectiveness and safety of inliximab, etanercept, and adalimumab in psoriatic arthritis patients who experienced an inadequate response to previous disease-modifying antirheumatic drugs. сlin. Rheumatol. 2010; 29 (4): 399-403. doi: 10,1007/s10067-009-1340-7.
• Saad AA, Ashcroft DM, Watson KD et al. Eficacy and safety of anti-TNF therapies in psoriatic arthritis: an observational study from the вritish Society for Rheumatology вiologics Register. Rheumatology. 2010; 49 (4): 697-705. doi: 10,1093/rheumatology/kep423.
• Saad AA, Ashcroft DM, Watson KD et al. Persistence with anti-tumour necrosis factor therapies in patients with psoriatic arthritis: observational study from the вritish Society of Rheumatology вiologics Register. Arthritis Res. Ther. 2009; 11: 52. doi: 10,1186/ar2670.
• NICE technology appraisal guidance 199. Etanercept, infliximab and adalimumab for the treatment of psoriatic arthritis (available at http://www.nice.org.uk, accessed 11 October 2011).
• Glintborg в, Ostergaard M, Dreyer L et al. Treatment response, drug survival, and predictors thereof in 764 patients with psoriatic arthritis treated with anti-tumor necrosis factor alpha therapy: results from the nationwide Danish DANBIO registry. Arthritis Rheum. 2011; 63: 382-90. doi: 10,1002/art.30117.
• Fagerli KM, Lie E, van der Heijde D et al. The role of methotrexate co-medication in TNF-inhibitor treatment in patients with psoriatic arthritis: results from 440 patients included in the NOR-DMARD study. Ann. Rheum. Dis. 2014; 73 (1): 132-7. doi: 10,1136/ard.2009,121533.
• Dougados M, сombe в, вraun J et al. A randomized, multicentre, double-blind, placebo-controlled trial of etanercept in adults with refractory heel enthesitis in spondyloarthritis: the HEEL trial. Ann. Rheum. Dis. 2010; 69: 1430-5. doi: 10,1136/ard.2009,121533.
• Heilwell PS. Therapies for dactylitis in psoriatic arthritis. A systematic review. J. Rheumatol. 2006; 33: 1439-1441.
• Van der Heijde D, Sieper J, Maksymowych WP et al. 2010 Update of the international ASAS recommendations for the use of anti-TNF agents in patients with axial spondyloarthritis. Ann. Rheum. Dis. 2011; 70: 905-8. doi: 10,1136/ard.2011,151563.
• Scottish Intercollegiate Guidelines Network (SIGN publication no 121. Available from URL: http://www.sign.ac.uk. Diagnosis and management of psoriasis and psoriatic arthritsi in adult: a national clinical guideline. October 2010.
• Salvarany с, вoiardi L, Macchioni P et al. Multidisciplinary focus on cyclosporin A. J Rheumatol. 2009; 83: 52-5. doi: 10,3899/jrheum.090225.
• Russolillo A, Iervolino S, Peluso R et al. Obesity and psoriatic arthritits: from pathogenesis to clinical outcome and management. Rheumatology (Oxford). 2012; 1 (52): 62-7. doi: 10,1093/rheumatology/kes242.
• Инструкция по медицинскому применению препарата Отесла®.
• Kavanaugh A., et al. Long-Term (156-Week) Efficacy and Safety Profile of Apremilast, an Oral Phosphodiesterase 4 Inhibitor, in Patients with Psoriatic Arthritis: Results from a Phase III, Randomized, сontrolled Trial and Open-Label Extension (PALACE 1). ACR 2015. Abstract number 2843.
• сhristopher J., et al. Disease Activity and Safety during Long-Term (104-Week) Treatment with Apremilast, an Oral Phosphodiesterase 4 Inhibitor, in Patients with Psoriatic Arthritis: Results from a Phase III, Randomized, сontrolled Trial and Open-Label Extension. ACR 2015. Abstract number 2839.
• Arthur N. The Efficacy and Safety of вiological Disease Modifying Anti-Rheumatic Drugs and Apremilast in the Treatment of Psoriatic Arthritis: A Systematic Review and Meta-AnalysisACR/ARHP Annual Meeting 2014. Abstract Number: 1566.
• Gossec L., et al. EULAR recommendations for the management of psoriatic arthritis with pharmacological therapies: 2015 update. Ann Rheum Dis. 2016;75(3):499-510.
• сoates L.C., et al. GRAPPA 2015 Treatment Recommendations for Psoriatic Arthritis. Arthritis Rheumatol. 2016;68 (5):1060-71.
• Gisondi P., et al. Apremilast in the therapy of moderate-to-severe chronic plaque psoriasis. Drug Des Devel Ther. 2016 May 25; 10: 1763-70.
|
|
Приложения
Приложение А1.
Состав рабочей группы.• Бакулев А.Л. - профессор кафедры кожных и венерических болезней ГБОУ ВПО «Саратовский государственный медицинский университет им. В.И. Разумовского» Минздрава России, доктор медицинских наук, профессор, г. Саратов.
• Знаменская Л.Ф. - ведущий научный сотрудник отдела дерматологии ФГБУ «Государственный научный центр дерматовенерологии и косметологии» Минздрава России, доктор медицинских наук, г. Москва.
• Каратеев Д.Е. И.О. директора ФГБНУ «Научно-исследовательский институт ревматологии им. В.А. Насоновой», руководитель отдела ранних артритов, доктор медицинских наук, профессор, г. Москва.
• Коротаева Т.В. - руководитель лаборатории диагностики и инновационных методов лечения псориатического артрита ФГБНУ «Научно-исследовательский институт ревматологии им. В.А. Насоновой», доктор медицинских наук, г. Москва.
• Корсакова Ю.Л. - старший научный сотрудник лаборатории диагностики и инновационных методов лечения псориатического артрита ФГБНУ «Научно-исследовательский институт ревматологии им. В.А. Насоновой», кандидат медицинских наук, г. Москва.
• Логинова Е.Ю. - старший научный сотрудник лаборатории диагностики и инновационных методов лечения псориатического артрита ФГБНУ «Научно-исследовательский институт ревматологии им. В.А. Насоновой», кандидат медицинских наук, г. Москва.
• Мазуров В.И. - академик РАН, Президент ФГБОУ ВО «Северо-Западный государственный медицинский университет им. И.И. Мечникова» Минздрава России, заведующий НИЛ ревматологии ФГБУ «СЗФМИЦ им. В. А. Алмазова» Минздрава России, доктор медицинских наук, профессор, г. Санкт-Петербург.
• Насонов Е.Л. - академик РАН, главный научный сотрудник ФГБНУ «Научно-исследовательский институт ревматологии им. В.А. Насоновой», доктор медицинских наук, профессор, г. Москва.
• Рахматулина М.Р. - заместитель директора ФГБУ «Государственный научный центр дерматовенерологии и косметологии» Минздрава России по научно-клинической работе, доктор медицинских наук, г. Москва.
• Соколовский Е.В. - заведующий кафедрой дерматовенерологии с клиникой Первого Санкт-Петербургского государственного медицинского университета им. академика И.П. Павлова, доктор медицинских наук, профессор, г. Санкт-Петербург.
• Хобейш М.М. - доцент кафедры дерматовенерологии с клиникой Первого Санкт-Петербургского государственного медицинского университета им. академика И. П. Павлова, кандидат медицинских наук, г. Санкт-Петербург.
• Чикин В.В. - старший научный сотрудник отдела дерматологии ФГБУ «Государственный научный центр дерматовенерологии и косметологии» Минздрава России, кандидат медицинских наук, г. Москва.
Все члены рабочей группы заявляют об отсутствии конфликта интересов при подготовке клинических рекомендаций по ведению больных псориазом.
Приложение А2.
Методология разработки клинических рекомендаций.Целевая аудитория клинических рекомендаций :
• Врачи-ревматологи;
• Врачи- дерматовенерологи.
Таблица П1- Уровни достоверности доказательств.
| Уровни достоверности доказательств | Описание |
| 1а | Мета-анализы высокого качества, систематические обзоры рандомизированных контролируемых исследований (РКИ) или РКИ с очень низким риском систематических ошибок |
| 1 b | Качественно проведенные мета-анализы, систематические, или как минимум одно проведенное РКИ с низким риском систематических ошибок |
| 2а | Проведенное как минимум одно РКИ без рандомизации, низкий уровень ошибки |
| 2 b | Хорошо проведенные исследования случай-контроль или когортные исследования со средним риском эффектов смешивания или систематических ошибок и средней вероятностью причинной взаимосвязи |
| 3 | Неаналитические исследования (например, описания случаев, серий случаев, исследования случай-контроль) |
| 4 | Мнение экспертов/клинический опыт, наболюдения |
Таблица П2. Уровни убедительности рекомендаций.
| Уровень убедительности доказательств | Описание |
| А | По меньшей мере один мета-анализ, систематический обзор или РКИ, оцененные как 1а, напрямую применимые к целевой популяции и демонстрирующие устойчивость результатов или группа доказательств, включающая результаты исследований, оцененные как 1b, напрямую применимые к целевой популяции и демонстрирующие общую устойчивость результатов |
| В | Группа доказательств, включающая результаты исследований, оцененные как 2b, напрямую применимые к целевой популяции и демонстрирующие общую устойчивость результатов или экстраполированные доказательства из исследований, оцененных как 1a или 1b |
| С | Группа доказательств, включающая результаты исследований, оцененные как 2a, напрямую применимые к целевой популяции и демонстрирующие общую устойчивость результатов; или экстраполированные доказательства из исследований, оцененных как 2b |
| D | Доказательства уровня 3 или 4; или экстраполированные доказательства из исследований, оцененных как 2a |
Порядок обновления клинических рекомендаций.
Рекомендации в предварительной версии рецензируются независимыми экспертами. Комментарии, полученные от экспертов, систематизируются и обсуждаются членами рабочей группы. Вносимые в результате этого изменения в рекомендации или причины отказа от внесения изменений регистрируются.
Предварительная версия рекомендаций выставляется для обсуждения на сайте ФГБУ «Государственный научный центр дерматовенерологии и косметологии» Минздрава России для того, чтобы лица, не участвующие в разработке рекомендаций, имели возможность принять участие в обсуждении и совершенствовании рекомендаций.
Для окончательной редакции и контроля качества рекомендации повторно анализируются членами рабочей группы.
Приложение А3.
Связанные документы.• Стандарт оказания специализированной медицинской помощи при анкилозирующем спондилите, псориатическом артрите, других спондилоартритах (Приказ МЗ РФ № 687н от 7 ноября 2012 г.
• Стандарт оказания специализированной медицинской помощи при анкилозирующем спондилите, псориатическом артрите, других спондилоартритах (поддерживающая терапия в дневном стационаре) (Приказ МЗ РФ № 822н от 9 ноября 2012 г.
• Порядок оказания медицинской помощи взрослому населению по профилю «Ревматология»( Приказ МЗ РФ № 900н от 12 ноября 2012 г.
• Критерии оценки качества медицинской помощи (Приказ МЗ РФ № 520н от 15 июля 2016 г. Об утверждении критериев оценки качества медицинской помощи».
• Программы Госгарантий по оказанию высокотехнологичной медицинской помощи по специальности ревматологиия и дерматовенерология (Постановление Правительства от 19 декабря 2015г. №1382).
Приложение В.
Информация для пациентов.Псориатический артрит - хроническое воспалительное заболевание, которе наблюдается у больных с псориазом. В основном поражаются пальцы кистей и стоп, запястья, колени, щиколотки, нижняя часть спины (крестцово-подвздошные сочленения) и шея. Распространенность псориаза в популяции составляет 2- 3%, а распространенность псориатического артрита среди больных псориазом колеблется от 7 до 40%. Появление кожных изменений обычно предшествует развитию поражения суставов. Приблизительно в 80% случаев происходит поражение ногтей. Наиболее часто псориатический артрит начинается в возрасте от 20 до 50 лет, причем мужчины и женщины заболевают одинаково часто. Основными отличительными симптомами являются несимметричное поражение суставов, боль, скованность, припухлость пораженных суставов иногда с багрово-синюшной окраской кожи над ними, частое поражение трех суставов одного пальца, отек пальцев по типу «сосиски», боли в пятках при ходьбе, боли и скованность в шее и нижней части спины во второй половине ночи и по утрам, уменьшающиеся после просыпания и физической разминки.
Псориатический артрит может быть как мягким не прогрессирующим, так и активно прогрессирующим заболеванием, приводящим к разрушению суставов. Иногда наблюдаются признаки поражения внутренних органов: глаз, миокарда, кишечника. Часто больные псориатическим артритом страдают ожирением, повышением артериального давления, сахарным диабетом.
Этиология.
Причина развития псориатического артрита на сегодняшний день неизвестна. Псориатический артрит чаще развивается при отчетливом поражении кожи, при этом явной связи между выраженностью и течением кожных и суставных проявлений нет. В суставах возникают воспалительные изменения и деформация. Провоцирующими факторами в развитии псориатического артрита часто являются перенесенные травмы, стрессы и инфекционные заболевания. Отмечена генетическая предрасположенность к развитию псориаза и псориатического артрита.
Из-за отсутствия точных данных об этиологии заболевания, профилактика псориатического артрита не разработана. Проводится профилактика ухудшения состояния больных после начала заболевания (т.н. вторичная профилактика), направленная на сохранение функциональной способности суставов и замедление темпов прогрессирования псориатического артрита.
Как правило, кожные проявления псориаза предшествуют развитию псориатического артрита (часто за много лет), реже артрит и псориаз развиваются одновременно. В редких случаях артрит возникает раньше, чем псориаз.
Известны случаи, когда псориаз долгое время расценивался как аллергический дерматит, а псориатический артрит - как реактивный артрит, при котором показано совершенно другое лечение. Для правильной интерпретации кожных и суставных проявлений, правильной постановки диагноза и, соответственно, назначения правильного лечения требуется тщательный осмотр специалистом - ревматологом.
Характерные признаки псориатического артрита - поражение средних и концевых фаланг пальцев рук и ног, что нередко сочетается с поражением ногтей. Кроме того, при псориатическом артрите могут поражаться коленные, голеностопные суставы, шейный и пояснично-крестцовый отдел позвоночника. Иногда наблюдаются боли в области пяток и ахилловых сухожилий, что связано с воспалительным процессом в местах прикрепления сухожилий к пяточной кости.
В клиническом анализе крови при псориатическом артрите может наблюдаться увеличение СОЭ (скорость оседания эритроцитов). В биохимическом анализе - повышение титров Ц-реактивного белка. Между активностью псориатического артита и степенью повышения СОЭ и Ц-реактивного белка обычно наблюдается прямая зависимость.
В отличие от ревматоидного артрита, при псориатическом артрите в крови редко находят ревматоидный фактор - особый вид антител. Наличие или отсутствие ревматоидного фактора в крови пациента иногда используется в дифференциальной диагностике (для выявления отличия одного вида артрита от другого).
Диагностика.
У большинство людей псориатический артрит появляется позже псориаза. Поэтому, если у Вас есть псориаз и есть суставные жалобы Вам необходимо проконсультироваться с врачом. На какие признаки нужно обратить внимание.
• Выши суставы покраснели и распухли, иногда Вам кажется, что это связано с какой-либо незамеченной травмой.
• Пальцы на руках и/или ногах становятся красными, распухшими, горячими как «сосиски».
• Больно наступать на ногу, болит передняя поверхность стопа или пятка.
• Болит нижняя часть спины как при радикулите, трудно уснуть из-за боли в спине, Вы часто просыпаетесь из-за этого, не высыпаетесь, а боль уменьшается после физических упражнений.
В диагностике также широко используется рентгенографическое исследование суставов и позвоночника. При псориатическом артрите на рентгенограммах часто обнаруживаются характерные изменения.
При постановке диагноза врачу необходимо правильно оценить как поражение кожи, так и суставов. Псориаз необходимо дифференциировать с себоррейным и аллергическим дерматитом и с экземой. Псориатическое поражение ногтей нужно отличать от грибковой инфекции. Поражение суставов при псориазе иногда напоминает ревматоидный артрит, подагру, реактивный артрит, а поражение позвоночника - анкилозирующий спондилит.
Диагноз «псориатический артрит» ставится ревматологом при осмотре и после консультации дерматолога. Для подтверждения диагноза врач назначит анализ крови из вены для определения ревматоидного фактора и/или антител к циклическому цитруллинированному пептиду для исключения ревматоидного артрита. Также обязательно нужно сделать рентген дистальных отделов кистей и/или стоп, костей таза, а при необходимости - магнитно-резонансную томографию суставов или ультразвуковое исследование суставов. При поражении внутренних органов могут понадобиться консультации других врачей.
Медикаментозное лечение.
Лечение псориатического артрита должно быть комплексным и проводиться совместно с дерматологом. При отсутствии лечения псориатический артрит может сильно деформировать сустав и привести к инвалидности.
Основные цели лечения при псориатическом артрите:
• снижение активности воспалительного процесса в суставах и позвоночнике (для уменьшения или исчезновения симптомов поражения суставов).
• уменьшение проявлений псориаза.
• замедление прогрессирования разрушения суставов.
• сохранение качества жизни и активности пациентов.
В настоящее время средства для полного излечения псориаза и псориатичского артрита не существует, но имеется множество методик, которые могут уменьшать болезненные проявления. Современные препараты позволяют управлять болезнью, полностью снимая симптомы заболевания. Однако для этого необходимо постоянное наблюдение врача и систематическое лечение.
Лечение псориатического артрита сходно с лечением ревматоидного артрита. Для этого используют нестероидные противовоспалительные средства (диклофенак 100 - 150 мг/сутки, нимесулид 100-200 мг/сутки, эторикоксиб 60-90 мг/сутки ), проводят внутрисуставное введение глюкокортикоидных гормонов (бетаметазон, триамцинолон ). При множественном поражении суставов, появлении на рентгене первых признаков их разрушения (эрозий), а также функциональных нарушениях назначают базисные противовоспалительные препараты - метотрексат в дозе от 10 до 20-25 мг/неделю в таблетках, внутримышечно или подкожно, лефлуномид 20 мг/сутки, сульфасалазин 2-3 г/сутки, реже - циклоспорин 2,5 - 3 мг/кг.
Помимо этого, в последние годы появилась новая группа препаратов - биологические агенты (biologic agents). Одни - ингибиторы фактора некроза опухоли альфа (ФНО-α) - инактивируют специальный белок - ФНО-α. Другие - избирательно блокируют действие интерлейкинов 12/23. Биологическую терапию назначают при очень активном воспалительном процессе в суставах и позвоночнике и обширном поражении кожи при отсутствии эффекта от от применения нестероидных противовоспалительных препаратов и базисных противовоспалительных препаратов.
К ингибиторам ФНО-α относятся инфликсимаб, адалимумаб, этанерцепт, голимумаб и цертолизумаба-пэгол . Инфликсимаб вводится внутривенно капельно из расчета 5 мг/кг веса пациента по схеме: первое введение, через 2 недели - второе, через 4 недели - третье, далее - каждые 6-8 недель. Инфузии проводят под контролем врача или обученного медицинского персонала в рематологическом стационаре или антицитокиновом центре. Другие ингибиторы ФНО-α вводятся подкожно: адалимумаб по 40 мг 1 раз в 2 недели, этанерцепт по 50 мг 1 раз в неделю или по 25 мг 2 раза в неделю, голимумаб по 50 мг 1 раз в 28 дней, цертолизумаба-пэгол используют сначала в индукционной дозе по 400 мг подкожно на 0-2-4 неделе, далее по 200 мг подкожно 1 раз в 2 недели или 400 мг подкожно 1 раз в 4 недели.
К блокаторам интерлейкинов 12/23 относится Устекинумаб . Он вводится подкожно по 45 мг, вторую инъекцию делают 4 недели спустя после первого применения, затем каждые 12 недель (всего 4 инъекции в год). К блокаторам интерлейкинов 17 относят Секукинумаб, который используют по 150 мг подкожно на 0, 1, 2 и 3 неделе, далее, начиная с 4-й недели каждый месяц. У больных с предшествующей неэффективностью ингибиторов ФНО-, псориазом средней и тяжелой степени СКМ назначают по 300 мг в качестве начальной дозы на 0, 1, 2 и 3 неделе подкожно, начиная с 4-й недели каждый месяц.
Препараты с подкожным введением рассчитаны на самостоятельное введение пациентом. Врач подробно проинформирует Вас о особенностях проведения всех лечебных процедур, а также о том как контролировать все виды лечения. В случае, если у Вас есть аллергия на какие-либо препараты, белковые продукты, обязательно скажите об этом Вашему лечащему врачу. Помните, что решение о том или ином виде терапии Вы принимаете совместно с врачом. Все биологические препараты действуют быстро и эффективно как на артрит, так и на псориаз. Перед их назначением, а также каждые 6 месяцев терапии необходимо проводить исследование на скрытый туберкулез (проба Манту или Диаскин-тест и рентгенография легких) и консультацию фтизиатра.
В период минимальной выраженности артрита или его отсутсвия показано санаторно-курортное лечение, грязелечение, сероводородные и родоновые ванны. Прежде, чем поехать на курорт обязательно проинформируйте об этом Вашего врача.
Лечебная физкультура.
При псориатическом артрите назначают лечебную физкультуру (ЛФК), рекомендуется подвижный образ жизни.
Данные упражнения рекомендуется выполнять в течение 15-20 минут по 2-3 раза в день. Кисти:
• сжать-разжать (несколько раз, быстро);
• вращать в обе стороны в лучезапястном суставе;
• кисти (вскинутые, с выпрямленными пальцами) сгибаются вправо-влево, вперед-назад.
Локтевые суставы:
- плечи и плечевые суставы недвижны, руки свисают. Локти свободно (как на шарнирах) совершают колебательные движения. Плечевые суставы:
Руку, свободно опущенную, вращаем во фронтальной плоскости перед собой до появления чувства тяжести в кисти. Тренируем поочередно оба плеча. Каждую руку вращаем по часовой стрелке, затем - в обратную сторону.
Стопы:
• тянем носок (на себя и от себя), совершая небольшие колебательные движения;
• топчемся, переминаясь с ноги на ногу, на наружных боковинах стоп, на внутренних боковинах стоп, на пальцах, на пятках;
• поочередно каждой стопой совершаем вращательные (в обе стороны) движения.
Коленные суставы (работаем стоя, плечи прямые):
• колени «вихляются», совершая круговые движения, сначала - вовнутрь, затем - наружу (кисти рук расположены на коленях и как бы помогают движениям);
• ноги сгибаются и разгибаются (как бы пружиня). Тазобедренные суставы:
• отводим ногу в сторону (примерно на 90 градусов) и делаем легкое колебательное движение, стремясь увеличить угол;
Ходим на выпрямленных ногах, опираясь на всю стопу и работая только тазом.
Приложение Г.
Опросник mPEST (modified Psoriasis Epydemiology Screening Tool) - российская модификация скринингового опросника для выявления ПсА у больных ПсО.
| ВОПРОС №1. Была ли у вас когда-то припухлость сустава (суставов), как показано на фото ниже? | |
| ВОПРОС №2. Говорил ли вам когда-нибудь врач, что у вас есть артрит? | |
| ВОПРОС №3. Отмечали ли вы когда-либо на ногтях пальцев рук и ног какие-нибудь изменения (в виде точечных углублений, либо неровности), как показано на фото ниже? | |
| ВОПРОС №4. Отмечали ли вы когда-нибудь боль в области пяткй | |
| ВОПРОС №5. Были ли у вас когда-нибудь без видимых причин равномерно припухшие и болезненные пальцы рук или ног, как показано на фото ниже? | |
| ВОПРОС №6. На рисунке ниже отметьте суставы, которые вызывали у вас дискомфорт (скованность, припухлость или болезненность в суставе). |
Каждый положительный ответ на вопрос соответствует 1 баллу, при суммарном mPEST≥3, а также при наличии суставных жалоб и mPEST< 3 дерматолог предполагает наличие у больного ПсА и направляет на консультацию к ревматологу.
Приложение Г2.
ПсА: индексы оценки активности и эффективности терапии.До начала терапии и в процессе лечения оценивают число болезненных суставов (ЧБС) из 68 и число припухших суставов (ЧПС) из 66, дистальные межфаланговые суставы стоп не учитывают [35].
Оценивают височно-нижнечелюстные, грудино-ключичные, ключично-акромиальные, плечевые, локтевые, лучезапястные суставы, 1-5-е пястно-фаланговые, 1-е межфаланговые, 2-5-е проксимальные межфаланговые, 2-5-е дистальные межфаланговые суставы кистей, тазобедренные (оценивают только боль при пассивных движениях), коленные, голеностопные, суставы предплюсны, 1-5-е плюсне-фаланговые, 1-е межфаланговые, 2-5-е проксимальные межфаланговые .
Для оценки активности ПсА пациентом и врачом, а также выраженности боли используют Визуальную Аналоговую Шкалу (ВАШ, мм) или 5-балльную шкалу Likert, где: «отлично» - 0, «хорошо» - 1, «удовлетворительно» - 2, «плохо» - 3, «очень плохо» - 4.
Ответ на терапию оценивают по специально разработанному для ПсА критерию PsARC ( Psoriatic Arthritis Response сriteria ), а также EULAR.
PsARC.
• число болезненных суставов (ЧБС из 68).
• число припухших суставов (ЧПС из 66).
• общая оценка активности ПсА врачом по 5-ти балльной шкале Likert- «отлично» - 1, «хорошо» - 2, «удовлетворительно» - 3, «плохо» - 4, «очень плохо» - 5.
• общая оценка активности ПсА больным по 5-ти балльной шкале Likert- «отлично» - 1, «хорошо» - 2, «удовлетворительно» - 3, «плохо» - 4, «очень плохо» - 5.
Улучшение:
• уменьшение общей оценки активности ПсА пациент/врач на ≥ 1 пункт.
• уменьшение ЧБС/ЧПС на ≥ 30%.
Ухудшение:
• увеличение общей оценки активности ПсА пациент/врач на ≥ 1 пункт.
• увеличение ЧБС/ЧПС ≥ 30%.
Ответ на терапию:
• улучшение двух из четырех указанных критериев, причем один из них - ЧБС или ЧПС.
• не допускается ухудшение ни одного из показателей.
Оценка эффективности предпринятой терапии у больных ПсА осуществляется в сроки, предусмотренные индивидуально для каждого лекарственного препарата ( см раздел «лечение ПсА).
Модифицированный суставной Индекс Ричи (мИР).
Используется для оценки степени выраженности пальпаторной болезненности в 68 суставах, которые указанны выше. В тазобедренных суставах боль определяется при пассивных движениях. Выраженность болезненности оценивается по 4-х балльной системе: 0 - отсутствие болезненности, 1 - боль слабая - пациент констатирует боль, 2 - боль умеренная - пациент констатирует боль и морщится, 3 - боль выраженная - пациент отдергивает конечность. Данный индекс не используется самостоятельно, но входит в состав комплексного показателя активности заболевания DAS.
EULAR критерии эффективности терапии. Д инамика DAS ( Disease Activitycore).Формулы DAS.
DAS = 0,54 x √( мИР) + 0,065 x (ЧПС) + 0,330 x ln (СОЭ) + 0,0072 x (ОЗП) (1),.
Где мИР - модифицированный индекс Ричи, ЧПС - число припухших суставов из 66, СОЭ - Скорость оседания эритроцитов (по Вестергрену), ОЗП - общая оценка активности ПсА пациентом, ВАШ,.
Пороговые значения DAS для определения активности ПсА: высокая активность - DAS >3,7; умеренная -2,4 DAS ≤ 3,7; низкая - DAS≤2,4. DAS 1,6 - ремиссия.
DAS 28= 0,56 x (√ 28ЧБС) + 0,28 x (√ 28ЧПС) + 0,70 x ln (СОЭ) + 0,014 x (ОЗП) (2),.
Где ЧБС - число болезненных суставов из 28, ЧПС - число припухших суставов из 28, СОЭ - скорость оседания эритроцитов, ОЗП - общая оценка заболевания пациентом, ВАШ,.
Для расчета DAS28 оценивают следующие суставы: плечевые, локтевые, лучезапястные, 1-5-е пястно-фаланговые, 1-е межфаланговые, 2-5-е проксимальные межфаланговые, коленные.
Пороговые значения DAS28: высокая активность ПсА - DAS28>5,1; умеренная - 5,1 DAS 28 >3,2; низкая - DAS28≤3,2; DAS28 2,6 - ремиссия.
Критерии ответа на терапию EULAR:
• Нет ответа - уменьшение DAS по сравнению с исходным на ≤ 0,6.
• Удовлетворительный ответ - изменение DAS между от 0,6 до ≤ 1,2.
• Хороший ответ - уменьшение DAS на > 1,2.
PsARC используется для мониторинга эффективности терапии у больных ПсА с премущественным поражением периферических суставов [36].
Оценка активности и в лияния терапии на дактилит.
Для оценки эффективности терапии определяют изменение числа пальцев с дактилитом в процессе наблюдения.
Оценка влияния терапии на энтезит.
Оценивают динамику энтезиального индекса LEI (Leeds Enthestis Index). LEI вычисляют простым суммированием уровня пальпаторной болезненности в баллах в 6 парных точках прикрепления энтезисов: ахиллово сухожилие, латеральный надмыщелок плечевой кости, медиальный мыщелок бедренной кости. Градации - 0 - «нет боли», 1 - «боль есть», максимально 6 баллов.
Оценка активности и влияния терапии на спондилит.
Оценивают на основании изменения индекса активности Анкилозирующего Спондилита вASDAI ( вath Ankylosingpondylitis Disease Activity Index - самопросник из 6 вопросов, для ответа используется числовая рейтинговая шкала от 0 («очень хорошо») до 10 («очень плохо»).BASDAI используют у больных ПсА, как для оценки активности поражения позвоночника, так и для эффективности терапии - оценка влияния на спондилит.
Пожалуйста, дайте ответ на каждый приведенный ниже вопрос, сделав отметку на каждой соответствующей клетке (обведите соответствующую цифру).
BASDAI.
Как бы Вы расценили уровень общей слабости (утомляемости) за последнюю неделю.
Не было Очень выраженная.
| 0 | 1 | 2 | 3 | 4 | 5 | 6 | 7 | 8 | 9 | 10 |
Как бы Вы расценили уровень боли в шее, спине или тазобедренных суставах за последнюю неделю.
Не было Очень выраженная.
| 0 | 1 | 2 | 3 | 4 | 5 | 6 | 7 | 8 | 9 | 10 |
Как бы Вы расценили уровень боли (или степень припухлости) в суставах (помимо шеи, спины или тазобедренных суставов) за последнюю неделю.
Не было Очень выраженная.
| 0 | 1 | 2 | 3 | 4 | 5 | 6 | 7 | 8 | 9 | 10 |
Как бы Вы расценили степень неприятных ощущений, возникающих при дотрагивании до каких-либо болезненных областей или давлении на них.
(за последнюю неделю).
Не было Очень выраженная.
| 0 | 1 | 2 | 3 | 4 | 5 | 6 | 7 | 8 | 9 | 10 |
Как бы Вы расценили степень выраженности утренней скованности, возникающей после просыпания (за последнюю неделю).
Не было Очень выраженная.
| 0 | 1 | 2 | 3 | 4 | 5 | 6 | 7 | 8 | 9 | 10 |
Как долго длится утренняя скованность, возникающая после просыпания.
(за последнюю неделю).
Не было 2 часа и больше.
| 0 | 1 | 2 | 3 | 4 | 5 | 6 | 7 | 8 | 9 | 10 |
Расчет индекса вASDAI:
Рассчитайте среднее значение для вопросов 5 и 6.
Рассчитайте сумму значений для вопросов 1-4 и прибавьте ранее полученное среднее значение для вопросов 5 и 6.
Разделите результат на 5.
BASDAI<4 без нарушения функции соответствует низкой активности ПсСп;
BASDAI better 4 без нарушения функции и вASDAI< 4 в сочетании с нарушением функции - умеренной;
BASDAI better 4 в сочетании с нарушением функции. Соответствует высокой активности;
Уменьшение вASDAI на 50% ( вASDAI 50) свидетельствует о наличии ответа на терапию.
BASDAI используется для мониторинга эффективности терапии у больных ПсА с активным поражением позвоночника [37].
Оценка функционального индекса качества жизни у больных ПсА проводится с помощью индекса HAQ.
АНКЕТА ОЦЕНКИ ЗДОРОВЬЯ (HAQ).
Пожалуйста, отметьте ОДИН ответ в каждом из разделов, наилучшим образом отражающий состояние Вашего здоровья на сегодняшний день.
| Можете ли Вы? | Без затруднений | С некоторыми трудностями | С большими трудностями | Не могу выполнить |
| • Самостоятельно одеться, включая завязывание шнурков на обуви и застегивание пуговиц? | 0 | 1 | 2 | 3 |
| • Вымыть голову? | 0 | 1 | 2 | 3 |
| • Встать с обычного стула без подлокотников? | 0 | 1 | 2 | 3 |
| • Лечь и подняться с кроватй | 0 | 1 | 2 | 3 |
| • Разрезать кусок мяса? | 0 | 1 | 2 | 3 |
| • Поднести ко рту наполненный стакан или чашку? | 0 | 1 | 2 | 3 |
| • Открыть новый пакет молока? | 0 | 1 | 2 | 3 |
| • Гулять по улице по ровной поверхностй | 0 | 1 | 2 | 3 |
| • Подняться вверх на 5 ступенек? | 0 | 1 | 2 | 3 |
| КАКИМИ ПРИСПОСОБЛЕНИЯМИ Вы обычно пользуетесь для выполнения перечисленных выше действий: | |
| Трость (палка) | □ |
| Волкер | □ |
| Костыли | □ |
| Инвалидная коляска | □ |
| Специальные или с утолщенными ручками приспособления | □ |
| Специальные или с возвышенным сиденьем стулья | □ |
| Специальные приспособления: крючки для застегивания пуговиц, для застежки «молния», удлиненный рожок для обуви | □ |
| Другие (укажите): _________________________________________________________________ | □ |
| В какой области деятельности Вы обычно НУЖДАЕТЕСЬ В ПОСТОРОННЕЙ ПОМОЩИ: | |
| Одевание и уход за собой | □ |
| Вставание | □ |
| Прием пищи | □ |
| Прогулки | □ |
| Можете ли Вы? | Без затруднений | С некоторыми трудностями | С большими трудностями | Не могу выполнить |
| • Полностью вымыться и вытереться? | 0 | 1 | 2 | 3 |
| • Принять ванну? | 0 | 1 | 2 | 3 |
| • Сесть и встать с унитаза? | 0 | 1 | 2 | 3 |
| • Достать и опустить вниз предмет весом около 2 кг, находящийся выше уровня Вашей головы? | 0 | 1 | 2 | 3 |
| • Нагнуться, чтобы поднять с пола упавшую одежду? | 0 | 1 | 2 | 3 |
| • Открыть дверь автомобиля? | 0 | 1 | 2 | 3 |
| • Открыть банку с навинчивающейся крышкой, если она предварительно уже была распечатана? | 0 | 1 | 2 | 3 |
| • Открывать и закрывать водопроводный кран? | 0 | 1 | 2 | 3 |
| • Ходить по магазинам, выполнять другие поручения? | 0 | 1 | 2 | 3 |
| • Садиться и выходить из машины? | 0 | 1 | 2 | 3 |
| • Выполнять работу по дому, например, пылесосить; или в саду, во дворе? | 0 | 1 | 2 | 3 |
| КАКИМИ ПРИСПОСОБЛЕНИЯМИ Вы обычно пользуетесь для выполнения перечисленных выше действий: | |
| Приподнятое сиденье для унитаза | □ |
| Сиденье для принятия ванны | □ |
| Захват для снятия крышек ранее распечатанных банок | □ |
| Поручни для облегчения залезания/вылезания из ванны | □ |
| Удлиняющие захваты для предметов | □ |
| Удлиняющие приспособления в ванной комнате | □ |
Эффект терапии может считаться:
- отсутствующим при разнице значений до и после лечения для HAQ <0,22 баллов;
- с лабому клиническому улучшению соответствуют показатели: 0,22 worse HAQ <0,36 баллов;
- умеренным, если 0,36 worse HAQ <0,8 баллов;
- выраженному клиническому улучшению соответствуют изменения: HAQ>0,80 баллов.
Оценка активности псориаза и влияния терапии.
• Эффективность терапии при псориатическом поражении кожи определяют на основании динамики индекса тяжести и распространенности PASI ( Psoriasis Areaeverity Index) и общей площади поражения кожи псориазом - вSA ( вodyurface AТерапию следует считать эффективной при уменьшении PASI по сравнению с исходным значением не менее чем на 50% (оптимально на 75% или 90%) - ответ PASI 50/75/90 или уменьшение вSA [25, 36].
Индекс PASI до 10 баллов соответствует легкой степени заболевания, 10 и более баллов - средне-тяжелой и тяжелой степени псориаза.
Расчет вSA - 1 ладонь пациента до средних фаланг пальцев соответствует 1% площади тела. При распространенном псориазе (BSA≥10%), рассчитывают PASI (Psoriasis Area Severity Index).
Расчет PASI. Композитная оценка эритемы (Э), инфильтрации (И), шелушения (Ш) и площади (S) псориатической бляшки.
Для расчета PASI тело условно разделяют на четыре области: голова (г), туловище (т), руки (р), ноги (н).
Для каждой из них оценивают:
• Площадь псориатического поражения кожи -( S) (определяют сначала в % из расчета - на голове 1 ладонь пациента соответствует 10%, на туловище - 3,3%, на руках - 5%, на ногах - 2,5%, а затем в баллах - 0 - нет псориаза, 1 - псориазом поражено меньше 10% площади любой из указанных частей тела, 2 - псориазом поражено от 10 до 29%, 3 - от 30 до 49%, 4 - от 50 до 69 %, 5 - от 70 до 89%, 6 - от 90 до 100%).
• Эритему, инфильтрацию и шелушение определяют в баллах: 0 - отсутствие псориаза, 1 - минимальная выраженность, 2 - умеренная, 3 - значительная, 4 - максимальная. Формула расчета:
PASI = [0,1х(Эг+Иг+Шг)х ] + [0,2х(Эр+Ир+Шр)х ] + [0,3х(Эт+Ит+Шт)х ]+ [0,4х(Эн.+Ин.+Шн)х ] (3).
Диапазон изменений от 0 до 72 баллов.
Расчет PASI доступен в режиме он-лайн на http://www.dermnetnz.org/scaly/pasi.html, обучающее видео - на сайте GRAPPA ( TEGb Group for TEGb Research and TEGb Assessement of TEGb Psoriasis and TEGb Psoriatic TEGb Arthritis): http://www.grappanetwork.org.
Для оценки тяжести псориаза и ответа на терапию используют Дерматологический индекс качества жизни - DLQI ( Dermatology Life Quality Index - Finlay, 1994) в форме самооценки пациентов из 10 вопросов.
Анкета дерматологического индекса качества жизни ( DLQI ):
| 1. | Насколько сильно Вас беспокоят зуд, боль, жжение, болезненность кожи за последнюю неделю? |
| 2. | Насколько неуверенно Вы чувствовали себя из-за состояния своей кожи за последнюю неделю? |
| 3. | Насколько сильно состояние Вашей кожи мешало Вам при совершении покупок, работе по хозяйству за последнюю неделю? |
| 4. | Насколько сильно состояние Вашей кожи влияло на выбор носимой Вами одежды за последнюю неделю? |
| 5. | Насколько сильно состояние Вашей кожи помешало Вашим контактам с окружающими, активному отдыху за последнюю неделю? |
| 6. | Насколько сильно состояние вашей кожи помешало Вам в занятиях физкультурой и спортом за последнюю неделю? |
| 7. | Помешало ли Вам состояние Вашей кожи в работе или учебе за последнюю неделю? |
| 8. | Влияло ли состояние Вашей кожи на отношения с друзьями, близкими, родственниками, партнерами за последнюю неделю? |
| 9. | Насколько сильно состояние вашей кожи затрудняло Вам интимные отношения за последнюю неделю? |
| 10. | Насколько сильно лечение Вашего заболевания изменило порядок Вашей жизни (например, Вы потеряли много времени, денег, уделяли меньше внимания работе, семье)? |
Каждый вопрос оценивается по 3-бальной системе: очень сильно (очень часто) - 3 балла, сильно (часто) - 2 балла, несильно - 1 балл, совсем нет или затрудняюсь ответить - 0 баллов. На 7-ой вопрос при ответе «да» - 3 балла, при ответе «нет» - 0 баллов. Если без ответа остается более двух вопросов, анкета не засчитывается. Подсчет индекса осуществляется простым суммированием всех баллов: минимальное значение - 0 баллов, максимальное значение - 30 баллов. Чем больше показатель, тем более отрицательное воздействие оказывает заболевание на качество жизни.
PASI и DLQI используется как для оценки активности, так и мониторинга эффективности терапии у больных ПсА с активным псориазом [38, 39].
Минздрав России 2016.
|
|
Связанные заболевания
Связанные клинические рекомендации
Связанные стандарты мед. помощи
- Стандарт медицинской помощи больным с псориазом
- Стандарт санаторно-курортной помощи больным с болезнями костно-мышечной системы и соединительной ткани (артропатии, инфекционные артропатии, воспалительные артропатии, артрозы, другие поражения суставов)
- Стандарт первичной медико-санитарной помощи при гонартрозе и сходных с ним клинических состояниях
- Стандарт санаторно-курортной помощи больным дерматитом и экземой, папулосквамозными нарушениями, крапивницей, эритемой, другими болезнями кожи и подкожной клетчатки
- Стандарт первичной медико-санитарной помощи при анкилозирующем спондилите, псориатическом артрите, других спондилоартритах
- Стандарт медицинской помощи больным с псориазом артропатическим
- Стандарт специализированной медицинской помощи при анкилозирующем спондилите, псориатическом артрите, других спондилоартритах
- Стандарт медицинской помощи больным псориатической и энтеропатической артропатией