МКБ-10 коды
- МКБ-10
- O85 Послеродовой сепсис
|
|
Вступление
МКБ 10: O85.
Год утверждения (частота пересмотра): 2016 (пересмотр каждые 3 года).
ID: КР280.
Профессиональные ассоциации.
• Российское Общество акушеров - гинекологов.
Год утверждения (частота пересмотра): 2016 (пересмотр каждые 3 года).
ID: КР280.
Профессиональные ассоциации.
• Российское Общество акушеров - гинекологов.
Профессиональные ассоциации
• Российское Общество акушеров - гинекологов.
Список сокращений
АД - артериальное давление;
В/в - внутривенно;
В/м - внутримышечно;
ГВЗ - гнойно-воспалительные заболевания;
Д.м.н. - доктор медицинских наук;
ЖЕЛ - жизненная емкость легких;
ИЛ - интерлейкин;
М.н. - кандидат медицинских наук;
КФ - клубочковая фильтрация;
МЗ РФ - Министерство здравоохранения Российской Федерации;
МРТ - магнитно-резонансная томография;
НЦАГиП - Федеральное государственное бюджетное учреждение «Научный центр акушерства, гинекологии и перинатологии им. академика В.И. Кулакова» Минздрава России;
П/к - подкожно;
ПОН - полиорганная недостаточность;
РАН - Российская академия наук;
РФ - Российская Федерация;
САД - среднее артериальное давление;
СРВ - С-реактивный белок;
ССВО - синдром системного воспалительного ответа;
УЗИ - ультразвуковое исследование;
ФНО-α - фактор некроза опухоли α;
ЧД - частота дыхания;
ЧСС - частота сердечных сокращений;
ЭКГ - электрокардиография;
MRS A - methicillin-resistant Staphylococcus aureus;
PCT - прокальцитониновый тест;
RCOG - Royal сollege of Obstetricians and Gynecologists;
WHO - World Health Organization (Всемирная организация здравоохранения).
В/в - внутривенно;
В/м - внутримышечно;
ГВЗ - гнойно-воспалительные заболевания;
Д.м.н. - доктор медицинских наук;
ЖЕЛ - жизненная емкость легких;
ИЛ - интерлейкин;
М.н. - кандидат медицинских наук;
КФ - клубочковая фильтрация;
МЗ РФ - Министерство здравоохранения Российской Федерации;
МРТ - магнитно-резонансная томография;
НЦАГиП - Федеральное государственное бюджетное учреждение «Научный центр акушерства, гинекологии и перинатологии им. академика В.И. Кулакова» Минздрава России;
П/к - подкожно;
ПОН - полиорганная недостаточность;
РАН - Российская академия наук;
РФ - Российская Федерация;
САД - среднее артериальное давление;
СРВ - С-реактивный белок;
ССВО - синдром системного воспалительного ответа;
УЗИ - ультразвуковое исследование;
ФНО-α - фактор некроза опухоли α;
ЧД - частота дыхания;
ЧСС - частота сердечных сокращений;
ЭКГ - электрокардиография;
MRS A - methicillin-resistant Staphylococcus aureus;
PCT - прокальцитониновый тест;
RCOG - Royal сollege of Obstetricians and Gynecologists;
WHO - World Health Organization (Всемирная организация здравоохранения).
Термины и определения
Сепсис. Патологическое состояние, обусловленное непрерывным или периодическим поступлением в кровь микроорганизмов из очага гнойного воспаления, характеризующееся несоответствием тяжелых общих расстройств местным изменениям и частым образованием новых очагов гнойного воспаления в различных органах и тканях.
Септический шок. Тяжёлый сепсис, сопровождающийся стойкой гипотензией и перфузионными нарушениями, не поддающимися коррекции путём адекватной инфузионной, инотропной и вазопрессорной терапии.
Септический шок. Тяжёлый сепсис, сопровождающийся стойкой гипотензией и перфузионными нарушениями, не поддающимися коррекции путём адекватной инфузионной, инотропной и вазопрессорной терапии.
Описание
Сепсис - патологическое состояние, обусловленное непрерывным или периодическим поступлением в кровь микроорганизмов из очага гнойного воспаления, характеризующееся несоответствием тяжелых общих расстройств местным изменениям и частым образованием новых очагов гнойного воспаления в различных органах и тканях. Эта патология наиболее тяжелая форма послеродовой инфекции. Характерная особенность - развитие органно-системных повреждений.
Причины
Акушерский сепсис относят к полиэтиологическим заболеваниям. Его могут вызывать большинство патогенных и условно-патогенных микроорганизмов. Основные возбудители: энтеробактерии (Escherichia coli, Pseudomonas spp., Klebsiella spp. ), грамположительные кокки (Staphylococcus aureus, Enterococcus spp., Staphylococcus epidermidis, Streptococcus A и в spp.), а также неспорообразующие анаэробы (бактериоиды, пептококки, пептострептококки ). Наиболее тяжело протекает сепсис, обусловленный смешанной бактериально-вирусной инфекцией [1, 2, 3, 4].
Среди популяции различных видов стафилококка как основных возбудителей сепсиса, неуклонно увеличиваются метициллинорезистентные штаммы. Выросла частота сепсиса, вызываемого неферментирующими грамотрицательными бактериями (Pseudomonas аeruginosa и Acinetobacter spp.), а также Klebsiella pneumoniae и Enterobacter cloacae [2, 4, 5].
С современных позиций, развитие органно-системных повреждений при сепсисе связано с распространением провоспалительных медиаторов из первичного очага инфекционного воспаления и последующей активацией под их влиянием макрофагов в других органах и тканях и выделением аналогичных эндогенных субстанций. Если регулирующие системы неспособны поддержать гомеостаз, деструктивные эффекты цитокинов и других медиаторов начинают доминировать, что приводит к нарушению проницаемости и функции эндотелия капилляров, запуску ДВС-синдрома, развитию моно- и полиорганной дисфункции. При сепсисе наблюдают глубокое нарушение обмена веществ из-за выраженной интоксикации, преобладание процессов катаболизма (гипоальбуминемия, диспротеинемия, гипергликемия, гиповитаминоз, анемия) [4, 5].
Бактериемия - присутствие инфекта в системном кровотоке - одно из возможных, но не обязательных проявлений сепсиса. Факторы риска бактериемии: нейтропения, обширная сопутствующая патология, несколько очагов инфекта, длительная иммуносупрессивная терапия, госпитальная инфекция. Вероятность сочетания сепсиса с бактериемией зависит и от характера микрофлоры. Чаще всего обнаруживают Staphylococcus spp., Escherichia coli, Klebsiella pneumoniae. Регистрация бактериемии может оказаться клинически значимой и полезной для подтверждения диагноза и определения этиологии инфекционного процесса, доказательства механизма развития сепсиса, аргументации тяжести течения патологического процесса, для обоснования выбора схемы антибиотикотерапии и оценки ее эффективности [6, 7].
Среди популяции различных видов стафилококка как основных возбудителей сепсиса, неуклонно увеличиваются метициллинорезистентные штаммы. Выросла частота сепсиса, вызываемого неферментирующими грамотрицательными бактериями (Pseudomonas аeruginosa и Acinetobacter spp.), а также Klebsiella pneumoniae и Enterobacter cloacae [2, 4, 5].
С современных позиций, развитие органно-системных повреждений при сепсисе связано с распространением провоспалительных медиаторов из первичного очага инфекционного воспаления и последующей активацией под их влиянием макрофагов в других органах и тканях и выделением аналогичных эндогенных субстанций. Если регулирующие системы неспособны поддержать гомеостаз, деструктивные эффекты цитокинов и других медиаторов начинают доминировать, что приводит к нарушению проницаемости и функции эндотелия капилляров, запуску ДВС-синдрома, развитию моно- и полиорганной дисфункции. При сепсисе наблюдают глубокое нарушение обмена веществ из-за выраженной интоксикации, преобладание процессов катаболизма (гипоальбуминемия, диспротеинемия, гипергликемия, гиповитаминоз, анемия) [4, 5].
Бактериемия - присутствие инфекта в системном кровотоке - одно из возможных, но не обязательных проявлений сепсиса. Факторы риска бактериемии: нейтропения, обширная сопутствующая патология, несколько очагов инфекта, длительная иммуносупрессивная терапия, госпитальная инфекция. Вероятность сочетания сепсиса с бактериемией зависит и от характера микрофлоры. Чаще всего обнаруживают Staphylococcus spp., Escherichia coli, Klebsiella pneumoniae. Регистрация бактериемии может оказаться клинически значимой и полезной для подтверждения диагноза и определения этиологии инфекционного процесса, доказательства механизма развития сепсиса, аргументации тяжести течения патологического процесса, для обоснования выбора схемы антибиотикотерапии и оценки ее эффективности [6, 7].
Эпидемиология
Среди всех форм инфекционных осложнений в акушерстве распространённость сепсиса составляет 0,2-0,3%. Чаще всего послеродовый сепсис возникает на фоне эндометрита (90%), значительно реже при наличии раневой инфекции, мастита, инфекции мочевых путей (апостематозный нефрит) или постинъекционного абсцесса [3, 7, 8].
Классификация
Классификация акушерского сепсиса многообразна.
По характеру и длительности клинического течения выделяют:
• молниеносный (1-3 дня): тяжелое бурное течение, резко выраженная интоксикация, возникает обычно в первые часы или дни после родов;
• острый сепсис (до 6 недель);
• подострый или затяжной (более 6 недель);
• хронический: позднее начало, отсутствие явного очага инфекции, протекает с периодическими обострениями септического процесса без образования отдаленных гнойных очагов. В анамнезе есть указание на перенесенный эндометрит после родов или аборта.
Также выделяют классификации в зависимости от локализации первичного очага инфекции (матка, почки, молочные железы, тяжелая раневая инфекция) и возбудителя (бактерии, вирусы ).
Классификация синдрома системного воспалительного ответа (ССВО) представлена в Таблице 1.
Таблица 1. Классификация ССВО.
По характеру и длительности клинического течения выделяют:
• молниеносный (1-3 дня): тяжелое бурное течение, резко выраженная интоксикация, возникает обычно в первые часы или дни после родов;
• острый сепсис (до 6 недель);
• подострый или затяжной (более 6 недель);
• хронический: позднее начало, отсутствие явного очага инфекции, протекает с периодическими обострениями септического процесса без образования отдаленных гнойных очагов. В анамнезе есть указание на перенесенный эндометрит после родов или аборта.
Также выделяют классификации в зависимости от локализации первичного очага инфекции (матка, почки, молочные железы, тяжелая раневая инфекция) и возбудителя (бактерии, вирусы ).
Классификация синдрома системного воспалительного ответа (ССВО) представлена в Таблице 1.
Таблица 1. Классификация ССВО.
| ССВО | Диагноз ССВО устанавливается при наличии 2 и более следующих клинических признаков: температура better 38оСили worse 36оС ЧСС >90 уд/мин ЧД better 20/мин или P co2 <32 кПа/мл (для больных на ИВЛ) лейкоцитоз better 12х109 /л или лейкопения worse 4х109/л better 10 % юных форм лейкоцитов |
| Сепсис | Состояние, при котором наблюдается не менее 2 признаков ССВО при наличии инфекционного очага, подтверждённого выделением возбудителя из крови |
| Тяжёлый сепсис | Сепсис, сопровождающийся появлением полиорганной недостаточности, перфузионными нарушениями и развитием артериальной гипотензии, корригирующихся при применении методов интенсивной терапии |
| Септический шок | Тяжёлый сепсис, сопровождающийся стойкой гипотензией и перфузионными нарушениями, не поддающимися коррекции путём адекватной инфузионной, инотропной и вазопрессорной терапии |
|
|
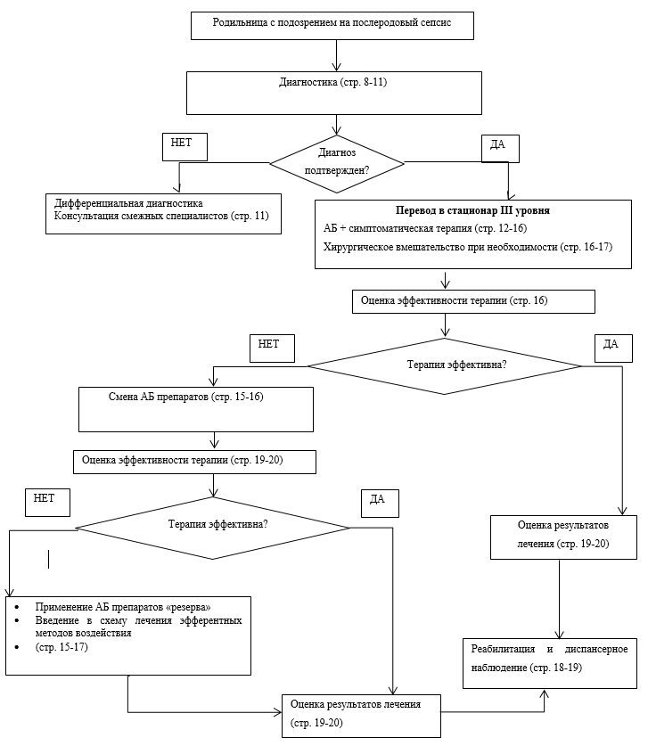
Диагностика
2,1 Жалобы и анамнез.
• Рекомендуется выявлять зависимость развития патологического процесса от времени, прошедшего после родоразрешения и/или операции [6, 45, 48].Уровень убедительности рекомендаций С (уровень достоверности доказательств - 4).
Комментарии. На 6-9-й день после родов отмечается высокая температура тела, ознобы, проливные поты. Состояние больных тяжелое, отмечают адинамию, заторможенность или возбужденное состояние; бледность кожных покровов, акроцианоз; выраженную тахикардия, тахипноэ, гипотонию. Наряду с выраженными проявлениями общей интоксикации имеется синдром полиорганной и полисистемной недостаточности, а именно: дисфункция в системе гемостаза (коагулопатия потребления); нарушение функции дыхания, сердечной деятельности, ЦНС; почечная и печеночная недостаточность; симптомы поражения органов и тканей соответственно локализации метастатических очагов. Обычно симптомы сепсиса развиваются только по нарастающей и ациклично.
• Рекомендуется выделять при характеристике сепсиса по тяжести патологических проявлений признаки органно-системной дисфункции [6, 8, 9].
Уровень убедительности рекомендаций С (уровень достоверности доказательств - 4).
Комментарии. Появление этих признаков констатирует факт распространения инфекционно-воспалительной реакции за пределы первичного инфекционного очага с вовлечением в патологический процесс органов-мишеней, что определяет прогноз состояния пациента и диктует выбор тактики лечения.
• Рекомендуется выделять женщин группы риска развития эндометрита [45, 48].
Уровень убедительности рекомендаций С (уровень достоверности доказательств - 4).
Комментарии. К факторам риска развития послеродовой инфекции относятся [3, 5, 9, 10]:
• ожирение;
• сахарный диабет;
• воспалительные заболевания в анамнезе;
• перенесенная бактериальная и вирусная инфекция во время беременности (особенно перенесенные оперативные вмешательства на органах брюшной полости);
• осложненное течение родового акта: несвоевременное излитие околоплодных вод и длительный безводный промежуток, хориоамнионит, пролонгированные роды, многократные влагалищные исследования в процессе родов, патологическая кровопотеря, акушерские операции в родах, травма мягких тканей родовых путей;
• при кесаревом сечении - экстренная операция при длительности родов более 15 ч и/или безводном промежутке свыше 12 осложнения в ходе оперативного вмешательства, патологическая кровопотеря во время операции.
2,2 Физикальное обследование.
На этапе постановки диагноза:• Рекомендуется проведение общего физикального обследования родильницы (осмотр кожных покровов и слизистых оболочек, пальпация региональных лимфоузлов, молочных желез, живота, выявление нарушений перистальтики, перитонеальных симптомов, осмотр швов на передней брюшной стенке, промежности, пальпация по ходу сосудистых пучков нижних конечностей) [11, 12].
Уровень убедительности рекомендаций в (уровень достоверности доказательств - 3).
• Рекомендуется выполнение термометрии, измерения частоты пульса и артериального давления [12-14].
Уровень убедительности рекомендаций с (уровень достоверности доказательств - 4).
• Рекомендуется выполнение влагалищного исследования [2, 5, 14].
Уровень убедительности рекомендаций A (уровень достоверности доказательств - 1b).
Комментарии. Диагностические критерии сепсиса - при септикопиемии - обнаружение одного или нескольких очагов метастатического воспаления; для септицемии характерны признаки интоксикационного синдрома с выраженными расстройствами микроциркуляции и центральной гемодинамики, наличие ДВС-синдрома.
Диагноз сепсиса основан на следующих признаках:
• клинические проявления инфекции или выделение возбудителя;
• наличие признаков системного воспалительного ответа (два и более признака/критерия SIRS); см приложение В.
2,3 Лабораторная диагностика.
На этапе постановки диагноза:• Рекомендуется провести общий анализ крови (лейкоцитоз или лейкопения, нейтрофилез с резко выраженным сдвигом влево, прогрессирующая анемия, тромбоцитопения), гемостазиограмму (выявление гиперкоагуляции, иногда признаков коагулопатии потребления), биохимический анализ крови: (нарушение белкового обмена, изменение показателей липидного обмена, увеличение содержания азотистых шлаков; определение С-реактивного протеина, прокальцитонина, ИЛ-1, ИЛ-6, ИЛ-8, ИЛ-10 и ФНО-α; развитие метаболического ацидоза и респираторного алкалоза), общий анализ мочи (протеинурия, лейкоцитурия, цилиндрурия) [15].
Уровень убедительности рекомендаций A (уровень достоверности доказательств - 1b).
Рекомендуется проведение забора биологических сред для выполнения микробиологического исследования с количественной оценкой микробной обсемененности и определением чувствительности к антибактериальным препаратам: крови (особенно при ознобах), отделяемого из матки и брюшной полости (при возможности во время операции) и отделяемого из дренажей в послеоперационном периоде [8, 15, 16].
Уровень убедительности рекомендаций A (уровень достоверности доказательств - 1b).
2,4 Инструментальная диагностика.
На этапе постановки диагноза:• Рекомендуется выполнение УЗИ органов брюшной полости, органов малого таза [17, 18].
Уровень убедительности рекомендаций A (уровень достоверности доказательств - 1b).
• Рекомендуется проведение рентгенологического исследования брюшной полости [19, 20].
Уровень убедительности рекомендаций A (уровень достоверности доказательств - 1 a).
• Рекомендуется проведение магнитно-резонансной томографии (МРТ) [5, 21].
Уровень убедительности рекомендаций A (уровень достоверности доказательств - 1a).
• Рекомендуется проведение ЭКГ [19].
Уровень убедительности рекомендаций A (уровень достоверности доказательств - 1a).
2,5 Дифференциальная диагностика.
• Рекомендуется проводить дифференциальную диагностику с тяжелой формой эндометрита; острым гнойным пиелонефритом с нарушением уродинамики, общими инфекционными заболеваниями; с эктрагенитальными заболеваниями у родильниц, протекающими с высокой лихорадкой. Наличие устойчивого субфебрилитета при хрониосепсисе диктует необходимость тщательной дифференциальной диагностики широкого круга заболеваний, при которых может длительно наблюдаться повышенная температура: туберкулез, ревматизм, бруцеллез, хронического тонзиллита, холангит, пиелонефрит, миокардит, различные урогенитальные заболевания у женщин [45, 47, 48].Уровень убедительности рекомендаций С (уровень достоверности доказательств - 4).
• Рекомендуется консультация уролога, инфекциониста, ревматолога, фтизиатра, кардиолога для проведения дифференциальной диагностики при атипичном дебюте заболевания [47, 48, 49].
Уровень убедительности рекомендаций С (уровень достоверности доказательств - 4).
|
|
Лечение
При наличии синдрома полиорганной недостаточности больных необходимо перевести в отделение интенсивной терапии для мониторинга жизненно важных функций организма и проведения адекватного патогенетического лечения.
Цели лечения.
Терапия акушерского сепсиса должна включать: санацию первичного очага инфекции одновременно с проведением комплексной антибактериальной, инфузионно-трансфузионной, детоксикационной, общеукрепляющой, десенсибилизирующой, иммуномодулирующей, симптоматической, гормональной терапией, коррекцию нарушений гемостаза и нарушений функции жизненно важных органов, эфферентных методов. Одновременно с санацией гнойного очага необходимо проводить эмпирическую антибактериальную терапию широкого спектра действия. При их назначении следует учитывать обсемененность первичного очага инфекции, клинические проявления и наиболее вероятный возбудитель сепсиса. Препараты используют в максимально допустимой терапевтической дозировке.
Форма помощи.
Несмотря на планирование проведения диагностических и лечебных мероприятий пациентам при послеродовом сепсисе, помощь носит неотложный характер. Отсрочка хирургического вмешательства, антибактериального и инфузионного лечения утяжеляет прогноз у конкретного больного, ведет к летальному исходу. При развитии полиорганной дисфункции сепсис становится тяжелым и прогноз для жизни пациента резко ухудшается. При тяжелом сепсисе и септическом шоке летальность достигает 65%.
• Рекомендуется использование сбалансированных кристаллоидных растворов и 6-10% раствора гидроксиэтилтрованного крахмала (ГЭК). Плазмозаменители (декстраны**, гидроксиэтилкрахмалы**) показаны при выраженном дефиците ОЦК, ГЭК имеют преимущество перед декстранами в силу меньшей утечки через мембрану. Переливание альбумина** показано только при снижении его уровня ниже 20 г/л и отсутствии признаков его утечки в интерстиций [22, 23].
Уровень убедительности рекомендаций в (уровень достоверности доказательств - 2a).
• Рекомендуется применять антикоагулянты (гепарин**, надропарин кальция, далтепарин натрий, эноксапарин натрий**) дезагреганты (ацетилсалициловая кислота**, дипиридамол, пентоксифиллин**) [20, 23, 24].
Уровень убедительности рекомендаций A (уровень достоверности доказательств - 1a).
• Рекомендуется применение активированного протеина С в связи с его антикоагулянтным, профибринолитическим и противовоспалительным действием. Комитет FDA (Food Drug Administration) одобрил активированный протеин С для лечения больных только с тяжелым сепсисом, имеющих высокий риск смерти (25 баллов по шкале APACHE II). Важно отметить, что этот препарат эффективен лишь при дефиците эндогенного протеина С [25, 26, 27].
Уровень убедительности рекомендаций в (уровень достоверности доказательств - 2a).
• Рекомендуется применение для повышения иммунитета: экстракта тимуса, иммуноглобулинов для внутривенного введения, препаратов интерферонов, энзимов растительного происхождения. Интерферон** способен восстанавливать экспрессию макрофагами HLA-DR и продукцию ФНО-α[ 27, 28].
Уровень убедительности рекомендаций в (уровень достоверности доказательств - 2a).
Комментарии. Иммуноглобулины в процессе воспаления нейтрализуют возбудителей инфекции и являются связующим звеном между различными типами клеток. Они производят опсонизацию инфекционных агентов и тем самым облегчают фагоцитоз нейтрофилами и макрофагами; повышают бактерицидную активность фагоцитов и способствуют комплемент - опосредованному лизису возбудителей. Немаловажная функция иммуноглобулинов - снижение гиперсекреции провоспалительных цитокинов и нейтрализация активированных компонентов комплемента С3b и С4b. Только использование внутривенных иммуноглобулинов в качестве иммунозаместительной терапии тяжелого сепсиса и септического шока в настоящее время является единственным доказанным методом иммунокоррекции, повышающим выживаемость.
• Рекомендуется применение антигистаминных препаратов: хлоропирамин**, прометазин, хифенадин, лоратидин**, кетотифен [4, 29, 30].
Уровень убедительности рекомендаций с (уровень достоверности доказательств - 4).
• Рекомендуется назначение эубиотиков: лакто- и бифидобактерии** [29, 30].
Уровень убедительности рекомендаций с (уровень достоверности доказательств - 4).
Комментарии. Важно подчеркнуть, что применение глюкокортикоидов при отсутствии септического шока и/или адреналовой недостаточности необоснованно и необходимо отказаться от эмпирического назначения преднизалона и дексаметазона.
• Рекомендуется после идентификации возбудителя при необходимости проводить коррекцию антибиотикотерапии, которую продолжают в течение 14 дней и заканчивают через 2-3 дня после нормализации температуры тела и лабораторных показателей [22, 23, 32].
Уровень убедительности рекомендаций В (уровень достоверности доказательств - 2а).
• Рекомендуется при послеродовой инфекции, обусловленной ассоциациями аэробных и анаэробных бактерий, проводить монотерапию антибиотиками широкого спектра действия (последних генераций) или применять комплексную терапию цефалоспоринами или ингибиторозащищенными пенициллинами, воздействующими на грамположительную и грамотрицательную микрофлору в сочетании с метронидазолом или линкозамидами, эффективными в отношении анаэробов [22, 23, 32].
Уровень убедительности рекомендаций В (уровень достоверности доказательств - 2а).
Уровень убедительности рекомендаций в (уровень достоверности доказательств - 2a).
Уровень убедительности рекомендаций в (уровень достоверности доказательств - 2a).
• Рекомендуется применять цефалоспорины III поколения (цефотаксим**, цефтазидим**, цефоперазон, цефтриаксон**) по 1-2 г внутривенно 3 раза в сутки совместно с аминогликозидами (гентамицин** 3-5 мг/кг в сутки внутривенно, нетилмицин 4-7,5 мг/кг в сутки внутривенно, амикацин** 15-20 мг/кг в сутки внутривенно) и линкозамиды (линкомицин** 0,6 г 3 раза в сутки внутривенно; клиндамицин** 0,6 г 3 раза в сутки внутривенно) [35-37].
Уровень убедительности рекомендаций в (уровень достоверности доказательств - 2a).
• Рекомендуется применять амоксициллин клавулановая кислота** 1,2 г внутривенно 3 раза в сутки, совместно с аминогликозидами (гентамицин** 3-5 мг/кг в сутки внутривенно, нетилмицин 4-7,5 мг/кг в сутки внутривенно, амикацин** 15-20 мг/кг в сутки внутривенно), совместно с метронидазолом** 0,5 г внутривенно 3 раза в сутки [36, 37].
Уровень убедительности рекомендаций в (уровень достоверности доказательств - 2a).
• Рекомендуется применять фторхинолоны (левофлоксацин**, моксифлоксацин**, пефлоксацин, офлоксацин** по 0,2-0,5 г внутривенно 2 раза в сутки) совместно с метронидазолом** по 0,5 г внутривенно 3 раза в сутки) [38].
Уровень убедительности рекомендаций в (уровень достоверности доказательств - 2a).
• Рекомендуется при особо тяжелом течении инфекции применять карбапенемы (имипенем/циластанин** 0,5-1 г внутривенно 3-4 раза в сутки или меропенем** 0,5-1 г внутривенно 3-4 раза в сутки) метронидазол** 0,5 г внутривенно 3 раза в сутки или линкозамиды (клиндамицин** 0,6-0,9 г 3 раза в сутки внутривенно) [36-39].
Уровень убедительности рекомендаций A (уровень достоверности доказательств - 1a).
• Рекомендуется при особо тяжелом течении инфекции применять фторхинолоны (левофлоксацин** 0,5 г внутривенно 2 раза в сутки, или офлоксацин** 0,4 г внутривенно 2 раза в сутки, или пефлоксацин 0,4 г внутривенно 2 раза в сутки) метронидазол** 0,5 г внутривенно 3 раза в сутки [15, 26, 39].
Уровень убедительности рекомендаций A (уровень достоверности доказательств - 1a).
• Рекомендуется при лечении акушерского сепсиса, возбудителем которого является золотистый стафилококк, применять пенициллины (оксациллин** 2-3 г внутривенно 4 раза в сутки) и метронидазол** 0,5 г внутривенно 3 раза в сутки, цефалоспорины поколения (цефазолин** 2 г внутривенно 3 раза в сутки) и метронидазол** 0,5 г внутривенно 3 раза в сутки [35-40].
Уровень убедительности рекомендаций в (уровень достоверности доказательств - 2a).
• Рекомендуется при обнаружении метициллинорезистентного золотистого стафилококка применять гликопептиды (ванкомицин** по 1 г внутривенно 2 раза в сутки), оксазолидиноны (линезолидом** 1,2 г/сутки 10мг/кг в сутки в 2 введения внутривенно) и метронидазолом** 0,5 г внутривенно 2-3 раза в сутки [23, 29, 40, 41].
Уровень убедительности рекомендаций A (уровень достоверности доказательств - 1a).
Уровень убедительности рекомендаций В (уровень достоверности доказательств - 2а).
Уровень убедительности рекомендаций A (уровень достоверности доказательств - 1a).
Комментарии. Необходимо помнить, что утяжеление симптоматики на фоне интенсивной антибиотикотерапии, чаще всего, свидетельствует не о неэффективности антибиотиков, а о неадекватном хирургическом пособии или развитии недиагностированного осложнения. В таких случаях необходимо рассматривать вопрос о выполнении программированной санационной релапаротомии. Релапаротомия включает экстирпацию матки с трубами, удаление яичников при гнойном поражении, ревизию и санацию брюшной полости, поддиафрагмального пространства, боковых каналов, удаление гнойного экссудата, декомпрессию кишечника с помощью длинных тонкокишечных зондов типа Эбботта-Миллера, адекватное дренирование брюшной полости через переднюю брюшную стенку. Дренажи сохраняют до восстановления перистальтики кишечника и прекращения оттока отделяемого из брюшной полости.
• Рекомендуется для профилактики кандидоза и дисбактериоза применять флуконазол** 150 мг внутривенно однократно каждые 7 дней продолжающегося лечения АБ препаратами [47, 49].
Уровень убедительности рекомендаций в (уровень достоверности доказательств - 2a).
• Рекомендуется включение в комплекс лечебных мероприятий эфферентных методов терапии [46, 50].
Уровень убедительности рекомендаций с (уровень достоверности доказательств - 4).
Комментарии. Плазмообмен (плазмаферез, плазмофильтрация) - эффективный метод коррекции генерализованного воспаления у больных с сепсисом и септическим шоком. Наиболее оптимальным считают применение плазмообмена в постоянном режиме с титрованным удалением в среднем 3-5 объемов плазмы с одновременным замещением ее свежезамороженной плазмой, альбумином, коллоидными и кристаллоидными растворами. Использование этих методов оправдано при развитии полиорганной недостаточности с доминированием почечной.
• Рекомендуется включение энтерального питания в комплекс интенсивной терапии для предупреждения транслокации микрофлоры из кишечника, повышения защитных свойства слизистой оболочки, снижения степени эндотоксикоза и риска возникновения вторичных инфекционных осложнений [46, 50].
Уровень убедительности рекомендаций с (уровень достоверности доказательств - 4).
Комментарии. Раннее начало нутритивой поддержки в сроки 24-48 ч более эффективно, чем с 3-4 суток интенсивной терапии. Доля энтерального питания в суточном рационе составляет от 25 до 75%. При этом возможно применение энтеральных смесей.
Цели лечения.
Терапия акушерского сепсиса должна включать: санацию первичного очага инфекции одновременно с проведением комплексной антибактериальной, инфузионно-трансфузионной, детоксикационной, общеукрепляющой, десенсибилизирующой, иммуномодулирующей, симптоматической, гормональной терапией, коррекцию нарушений гемостаза и нарушений функции жизненно важных органов, эфферентных методов. Одновременно с санацией гнойного очага необходимо проводить эмпирическую антибактериальную терапию широкого спектра действия. При их назначении следует учитывать обсемененность первичного очага инфекции, клинические проявления и наиболее вероятный возбудитель сепсиса. Препараты используют в максимально допустимой терапевтической дозировке.
Форма помощи.
Несмотря на планирование проведения диагностических и лечебных мероприятий пациентам при послеродовом сепсисе, помощь носит неотложный характер. Отсрочка хирургического вмешательства, антибактериального и инфузионного лечения утяжеляет прогноз у конкретного больного, ведет к летальному исходу. При развитии полиорганной дисфункции сепсис становится тяжелым и прогноз для жизни пациента резко ухудшается. При тяжелом сепсисе и септическом шоке летальность достигает 65%.
3,1 Консервативное лечение.
Проводимая при сепсисе, многокомпонентная инфузионно-трансфузионная терапия направлена на устранение гиповолемии, расстройств сердечной деятельности, нарушений периферической гемодинамики и транскапиллярного обмена; коррекцию нарушений водно-электролитного, кислотно-основного равновесия и гемостаза, устранение анемии, гипопротеинемии, а также восстановление адекватной тканевой перфузии и снижению концентрации медиаторов септического каскада и токсических метаболитов.• Рекомендуется использование сбалансированных кристаллоидных растворов и 6-10% раствора гидроксиэтилтрованного крахмала (ГЭК). Плазмозаменители (декстраны**, гидроксиэтилкрахмалы**) показаны при выраженном дефиците ОЦК, ГЭК имеют преимущество перед декстранами в силу меньшей утечки через мембрану. Переливание альбумина** показано только при снижении его уровня ниже 20 г/л и отсутствии признаков его утечки в интерстиций [22, 23].
Уровень убедительности рекомендаций в (уровень достоверности доказательств - 2a).
• Рекомендуется применять антикоагулянты (гепарин**, надропарин кальция, далтепарин натрий, эноксапарин натрий**) дезагреганты (ацетилсалициловая кислота**, дипиридамол, пентоксифиллин**) [20, 23, 24].
Уровень убедительности рекомендаций A (уровень достоверности доказательств - 1a).
• Рекомендуется применение активированного протеина С в связи с его антикоагулянтным, профибринолитическим и противовоспалительным действием. Комитет FDA (Food Drug Administration) одобрил активированный протеин С для лечения больных только с тяжелым сепсисом, имеющих высокий риск смерти (25 баллов по шкале APACHE II). Важно отметить, что этот препарат эффективен лишь при дефиците эндогенного протеина С [25, 26, 27].
Уровень убедительности рекомендаций в (уровень достоверности доказательств - 2a).
• Рекомендуется применение для повышения иммунитета: экстракта тимуса, иммуноглобулинов для внутривенного введения, препаратов интерферонов, энзимов растительного происхождения. Интерферон** способен восстанавливать экспрессию макрофагами HLA-DR и продукцию ФНО-α[ 27, 28].
Уровень убедительности рекомендаций в (уровень достоверности доказательств - 2a).
Комментарии. Иммуноглобулины в процессе воспаления нейтрализуют возбудителей инфекции и являются связующим звеном между различными типами клеток. Они производят опсонизацию инфекционных агентов и тем самым облегчают фагоцитоз нейтрофилами и макрофагами; повышают бактерицидную активность фагоцитов и способствуют комплемент - опосредованному лизису возбудителей. Немаловажная функция иммуноглобулинов - снижение гиперсекреции провоспалительных цитокинов и нейтрализация активированных компонентов комплемента С3b и С4b. Только использование внутривенных иммуноглобулинов в качестве иммунозаместительной терапии тяжелого сепсиса и септического шока в настоящее время является единственным доказанным методом иммунокоррекции, повышающим выживаемость.
• Рекомендуется применение антигистаминных препаратов: хлоропирамин**, прометазин, хифенадин, лоратидин**, кетотифен [4, 29, 30].
Уровень убедительности рекомендаций с (уровень достоверности доказательств - 4).
• Рекомендуется назначение эубиотиков: лакто- и бифидобактерии** [29, 30].
Уровень убедительности рекомендаций с (уровень достоверности доказательств - 4).
Комментарии. Важно подчеркнуть, что применение глюкокортикоидов при отсутствии септического шока и/или адреналовой недостаточности необоснованно и необходимо отказаться от эмпирического назначения преднизалона и дексаметазона.
• Рекомендуется после идентификации возбудителя при необходимости проводить коррекцию антибиотикотерапии, которую продолжают в течение 14 дней и заканчивают через 2-3 дня после нормализации температуры тела и лабораторных показателей [22, 23, 32].
Уровень убедительности рекомендаций В (уровень достоверности доказательств - 2а).
• Рекомендуется при послеродовой инфекции, обусловленной ассоциациями аэробных и анаэробных бактерий, проводить монотерапию антибиотиками широкого спектра действия (последних генераций) или применять комплексную терапию цефалоспоринами или ингибиторозащищенными пенициллинами, воздействующими на грамположительную и грамотрицательную микрофлору в сочетании с метронидазолом или линкозамидами, эффективными в отношении анаэробов [22, 23, 32].
Уровень убедительности рекомендаций В (уровень достоверности доказательств - 2а).
3,1,1 Монотерапия:
• Рекомендуется применять цефалоспорины III поколения (цефоперазон сульбактам** 2 г внутривенно 2 раза в сутки; цефепим** 1-2 г внутривенно 2 раза в сутки); карбапенемы (имипенем циластатин** 0,5-1 г внутривенно 3-4 раза в сутки; меропенем** 0,5-1 г внутривенно 3 раза в сутки) [29-31].Уровень убедительности рекомендаций в (уровень достоверности доказательств - 2a).
3,1,2 Комбинированная терапия:
• Рекомендуется применять цефалоспорины III поколения (цефотаксим**, цефтазидим**, цефоперазон, цефтриаксон**) по 1-2 г внутривенно 3 раза в сутки совместно с аминогликозидами (гентамицин** 3-5 мг/кг в сутки внутривенно, нетилмицин 4-7,5 мг/кг в сутки внутривенно, амикацин** 15-20 мг/кг в сутки внутривенно) и метронидазолом** 0,5 г внутривенно 3 раза в сутки [24, 31-34].Уровень убедительности рекомендаций в (уровень достоверности доказательств - 2a).
• Рекомендуется применять цефалоспорины III поколения (цефотаксим**, цефтазидим**, цефоперазон, цефтриаксон**) по 1-2 г внутривенно 3 раза в сутки совместно с аминогликозидами (гентамицин** 3-5 мг/кг в сутки внутривенно, нетилмицин 4-7,5 мг/кг в сутки внутривенно, амикацин** 15-20 мг/кг в сутки внутривенно) и линкозамиды (линкомицин** 0,6 г 3 раза в сутки внутривенно; клиндамицин** 0,6 г 3 раза в сутки внутривенно) [35-37].
Уровень убедительности рекомендаций в (уровень достоверности доказательств - 2a).
• Рекомендуется применять амоксициллин клавулановая кислота** 1,2 г внутривенно 3 раза в сутки, совместно с аминогликозидами (гентамицин** 3-5 мг/кг в сутки внутривенно, нетилмицин 4-7,5 мг/кг в сутки внутривенно, амикацин** 15-20 мг/кг в сутки внутривенно), совместно с метронидазолом** 0,5 г внутривенно 3 раза в сутки [36, 37].
Уровень убедительности рекомендаций в (уровень достоверности доказательств - 2a).
• Рекомендуется применять фторхинолоны (левофлоксацин**, моксифлоксацин**, пефлоксацин, офлоксацин** по 0,2-0,5 г внутривенно 2 раза в сутки) совместно с метронидазолом** по 0,5 г внутривенно 3 раза в сутки) [38].
Уровень убедительности рекомендаций в (уровень достоверности доказательств - 2a).
• Рекомендуется при особо тяжелом течении инфекции применять карбапенемы (имипенем/циластанин** 0,5-1 г внутривенно 3-4 раза в сутки или меропенем** 0,5-1 г внутривенно 3-4 раза в сутки) метронидазол** 0,5 г внутривенно 3 раза в сутки или линкозамиды (клиндамицин** 0,6-0,9 г 3 раза в сутки внутривенно) [36-39].
Уровень убедительности рекомендаций A (уровень достоверности доказательств - 1a).
• Рекомендуется при особо тяжелом течении инфекции применять фторхинолоны (левофлоксацин** 0,5 г внутривенно 2 раза в сутки, или офлоксацин** 0,4 г внутривенно 2 раза в сутки, или пефлоксацин 0,4 г внутривенно 2 раза в сутки) метронидазол** 0,5 г внутривенно 3 раза в сутки [15, 26, 39].
Уровень убедительности рекомендаций A (уровень достоверности доказательств - 1a).
• Рекомендуется при лечении акушерского сепсиса, возбудителем которого является золотистый стафилококк, применять пенициллины (оксациллин** 2-3 г внутривенно 4 раза в сутки) и метронидазол** 0,5 г внутривенно 3 раза в сутки, цефалоспорины поколения (цефазолин** 2 г внутривенно 3 раза в сутки) и метронидазол** 0,5 г внутривенно 3 раза в сутки [35-40].
Уровень убедительности рекомендаций в (уровень достоверности доказательств - 2a).
• Рекомендуется при обнаружении метициллинорезистентного золотистого стафилококка применять гликопептиды (ванкомицин** по 1 г внутривенно 2 раза в сутки), оксазолидиноны (линезолидом** 1,2 г/сутки 10мг/кг в сутки в 2 введения внутривенно) и метронидазолом** 0,5 г внутривенно 2-3 раза в сутки [23, 29, 40, 41].
Уровень убедительности рекомендаций A (уровень достоверности доказательств - 1a).
3,1,3 Оценка эффективности лечения:
• Рекомендуется при отсутствии клинического эффекта от медикаментозной терапии в течение 48-72 ч изменить антибиотикотерапию с учетом результатов микробиологического исследования или (если результатов еще нет) возможной резистентности возбудителей и своевременно решить вопрос о выполнении программированной санационной релапаротомии [39, 41, 45].Уровень убедительности рекомендаций В (уровень достоверности доказательств - 2а).
3,2 Хирургическое лечение.
• Рекомендуется при неэффективности антибиотикотерапии рассматривать вопрос о выполнении программированной санационной релапаротомии [41-48].Уровень убедительности рекомендаций A (уровень достоверности доказательств - 1a).
Комментарии. Необходимо помнить, что утяжеление симптоматики на фоне интенсивной антибиотикотерапии, чаще всего, свидетельствует не о неэффективности антибиотиков, а о неадекватном хирургическом пособии или развитии недиагностированного осложнения. В таких случаях необходимо рассматривать вопрос о выполнении программированной санационной релапаротомии. Релапаротомия включает экстирпацию матки с трубами, удаление яичников при гнойном поражении, ревизию и санацию брюшной полости, поддиафрагмального пространства, боковых каналов, удаление гнойного экссудата, декомпрессию кишечника с помощью длинных тонкокишечных зондов типа Эбботта-Миллера, адекватное дренирование брюшной полости через переднюю брюшную стенку. Дренажи сохраняют до восстановления перистальтики кишечника и прекращения оттока отделяемого из брюшной полости.
3,3 Иное лечение.
Симптоматическая терапия.• Рекомендуется для профилактики кандидоза и дисбактериоза применять флуконазол** 150 мг внутривенно однократно каждые 7 дней продолжающегося лечения АБ препаратами [47, 49].
Уровень убедительности рекомендаций в (уровень достоверности доказательств - 2a).
• Рекомендуется включение в комплекс лечебных мероприятий эфферентных методов терапии [46, 50].
Уровень убедительности рекомендаций с (уровень достоверности доказательств - 4).
Комментарии. Плазмообмен (плазмаферез, плазмофильтрация) - эффективный метод коррекции генерализованного воспаления у больных с сепсисом и септическим шоком. Наиболее оптимальным считают применение плазмообмена в постоянном режиме с титрованным удалением в среднем 3-5 объемов плазмы с одновременным замещением ее свежезамороженной плазмой, альбумином, коллоидными и кристаллоидными растворами. Использование этих методов оправдано при развитии полиорганной недостаточности с доминированием почечной.
• Рекомендуется включение энтерального питания в комплекс интенсивной терапии для предупреждения транслокации микрофлоры из кишечника, повышения защитных свойства слизистой оболочки, снижения степени эндотоксикоза и риска возникновения вторичных инфекционных осложнений [46, 50].
Уровень убедительности рекомендаций с (уровень достоверности доказательств - 4).
Комментарии. Раннее начало нутритивой поддержки в сроки 24-48 ч более эффективно, чем с 3-4 суток интенсивной терапии. Доля энтерального питания в суточном рационе составляет от 25 до 75%. При этом возможно применение энтеральных смесей.
|
|
Реабилитация и амбулаторное лечение
• Рекомендуется включить в план реабилитационных мероприятий физиотерапевтические методы воздействия, санаторно-курортное лечение [50, 51].
Уровень убедительности рекомендаций с (уровень достоверности доказательств - 4).
Уровень убедительности рекомендаций с (уровень достоверности доказательств - 4).
Профилактика
5,1 Диспансерное ведение.
• Рекомендуется после окончания лечения в течение первого года проводить динамическое наблюдение акушера-гинеколога и хирурга [29, 50, 51].Уровень убедительности рекомендаций с (уровень достоверности доказательств - 4).
• Рекомендуется в рамках неспецифической профилактики проводить [3, 11, 31, 50, 51]:
• нормализацию гомеостаза и обмена веществ;
• ликвидацию сопутствующих очагов инфекции;
• обеспечение сокращения периода пребывания больного в стационаре;
• своевременную диагностику и лечение послеродовых инфекционно-воспалительных заболеваний.
Уровень убедительности рекомендаций С (уровень достоверности доказательств - 4).
Дополнительно
Для лечения сепсиса в последние годы привлекает внимание экстракорпоральная фармакотерапия. Этот метод может быть основан на регионарном введении препаратов, на использовании различных носителей или векторов, обладающих тропностью к определенным органам или их клеткам. В качестве «контейнеров» для доставки лекарственных средств используются эритроциты, лейкоциты, тромбоциты. В роли объекта для направленного транспорта могут быть антибактериальные, химиотерапевтические и другие средства.
С помощью методов экстракорпорального воздействия достигается детоксикация, реологическая коррекция и иммунокоррекция. Вследствие сочетанного действия всех этих механизмов производится экстракорпоральная элиминация токсических субстанций, антигенов; происходит снижение вязкости крови, улучшение микроциркуляции, нормализация измененного тканевого метаболизма. Дополнительные эффекты обусловлены искусственной управляемой гемодилюцией путем введения инфузионных медикаментозных средств направленного действия.
С помощью методов экстракорпорального воздействия достигается детоксикация, реологическая коррекция и иммунокоррекция. Вследствие сочетанного действия всех этих механизмов производится экстракорпоральная элиминация токсических субстанций, антигенов; происходит снижение вязкости крови, улучшение микроциркуляции, нормализация измененного тканевого метаболизма. Дополнительные эффекты обусловлены искусственной управляемой гемодилюцией путем введения инфузионных медикаментозных средств направленного действия.
Критерии оценки качества медицинской помощи
В данном разделе размещены рекомендуемые Рабочей группой критерии оценки качества медицинской помощи с указанием уровня достоверности доказательств и уровня убедительности рекомендаций (Таблица 2).
Таблица 2. Критерии оценки качества медицинской помощи при послеродовом сепсисе.
Таблица 2. Критерии оценки качества медицинской помощи при послеродовом сепсисе.
| № | Критерии качества | Уровень достоверности доказательств | Уровень убедительности рекомендаций |
| Этап постановки диагноза | |||
| 1 | %Q Выполнен общий анализ крови, биохимический анализ крови, гемостазиограмма | 1b | A |
| 2 | Выполнен общий анализ мочи | 1b | A |
| 3 | Выполнено бактериологическое исследование отделяемого из хирургической раны с определением чувствительности возбудителя к антибиотикам и другим лекарственным препаратам | 1b | A |
| 4 | Выполнено бактериологическое исследование крови (особенно при ознобах), отделяемого из матки и брюшной полости (при возможности во время операции) и отделяемого из дренажей в послеоперационном периоде с количественной оценкой микробной обсемененности и определением чувствительности к антибактериальным препаратам. | 1b | А |
| 5 | Выполнено УЗИ органов брюшной полости, органов малого таза | 1b | А |
| 6 | Выполнено рентгенологическое исследование | 1а | А |
| 7 | Выполнено ЭКГ | 1а | А |
| 8 | Выполнено МРТ органов малого таза 51%% | 1а | А |
| Этап лечения | |||
| 1 | %R Выполнено введение антибактериальных препаратов до получения результатов микробиологического исследования (при отсутствии медицинских противопоказаний) | 1a | A |
| 2 | %S %T Проведена (при необходимости) корректировка антибактериального лечения, в зависимости от полученного микробиологического исследования лохий, данных обследования и осмотра 53%% | 2a | в |
| 3 | Проведена инфузионная терапия (при отсутствии медицинских противопоказаний) | 2а | В |
| 4 | Проведена антикоагулянтная терапия п/к (при отсутствии медицинских противопоказаний) | 2а | В |
| 5 | Проведена антимикотическая терапия в/в (при отсутствии медицинских противопоказаний) | 2а | В |
| 6 | Проведена утеротоническая терапия в/в (при отсутствии медицинских противопоказаний) 54%% | 4 | С |
| 7 | Проведено при необходимости хирургическое лечение 52%% | 1a | А |
| Этап контроля эффективности лечения | |||
| 1 | Выполнен общий анализ крови, гемостазиограмма, биохимический анализ крови | 1b | A |
| 2 | Выполнен общий анализ мочи | 1b | A |
| 3 | Выполнено УЗИ брюшной полости, органов малого таза | 1b | А |
| 4 | Выполнено МРТ | 1a | A |
Список литературы
1. Annual Update in Intensive сare and Emergency Medicine 2012/ed. J.L. Vincent. Springer-2012-845 p.
2. вacterial Sepsis in Pregnancy. Green-top Guideline № 64a 1st edition April 2012.
3. вacterial Sepsis following Pregnancy. RCOG. Green-top Guideline №64b. 1st edition, April 2012.
4. вates Sh.M., Greer I. Pabinger A.I., Sofaer Sh., Hirsh J. Evidence-Based сlinical Practice Guidelines (8th Edition) and Pregnancy: Venous Thromboembolism, Throbophilia, Antithrombotic Therapy/ сhest 2008; 133: 844-886.
5. сaesarean section: Evidence Update March 2013. A summary of selected new evidence relevant to NICE clinical guideline 132 ‘Caesarean section’( 2011). 28 p. https://arms.evidence.nhs.uk/resources/hub/953379/attachment.
6. сarlsen S, Perner A; for the East Danish Septic Shock сohort Investigators. Initial fluid resuscitation of patients with septic shock in the intensive care unit. ActaAnaesthesiol Scand. 2011 Apr;55(4):394-400.
7. сastro E.O., Figueiredo M.R., вortolotto L., Zugaib M. Sepsis and septic shock during pregnancy: clinical management// Rev. вras. Ginecol. Obstet. 2008- Dec;30(12): -P. 631-8.
8. сentre for Maternal and сhild Enquiries (CMACE ). Saving Mother’s Lives: reviewing maternal deaths to make motherhood safer: 2006-2008. вJOG 2011; 118 (suppl. 1): 1-203.
9. сentre for Maternal and сhild Enquiries (CMACE ). Saving Mother’s Lives: reviewing maternal deaths to make motherhood safer: 2006-2008. вJOG 2011; 118 (suppl. 1): 1-203.
10. сhamberlain D.J., Willis E.M., вersten A.B. The severe sepsis bundles as processes of care: A meta-analysis. AustCrit сare. 2011 Feb-14.
11. Dellinger R.P., Levy M.M., сarlet J.M. e al. Surviving Sepsis сampaign: international guidelines for management of severe sepsis and septic shock: 2008. Intensive сare Med. 2008 - Jan;34(l) - P. 17-60.
12. Emanuel P. Rivers, Lauraiyn McIntyre, David с. Morro, and Kandis K. Rivers Early and innovative interventions for severe sepsis and septic shock: taking advantage of a window of opportunity сMAJ. 2005 October 25; 173(9): 1054-1065. doi: 10,1503/cmai.050632.
13. French L.M., Smaill F.M. Antibiotic regimens for endometritis after delivery //The сochrane Database o f Systematic Reviews - 2007 - Issue 1.
14. Greenfield N, вalk RA. Evaluating the adequacy of fluid resuscitation in patients with septic shock: controversies and future directions. HospPract(Minneap). 2012 Apr;40(2): 147-57.
15. Gustot T. Multiple organ failure in sepsis: prognosis and role of systemic inflammatory response. сurrOpinCrit сare. 2011 Apr; 17(2): 153-9.
16. High risk pregnancy. Management options/edition D.K. James, P.J. Steer et al.4,h-ed. Mosby Elsevier Inc. 2011-1475 p.
17. Hollenberg SM. Inotrope and vasopressor therapy of septic shock //Crit. сare сlin. 2009 - Oct;25(4) - P.781-80.
18. Hugonnet S, Pittet D. Hand hygiene revisited: lessons from the past and present. сurr Infect Dis Rep 2000;2(6):484 -489.
19. Is the сurrent Management of Severe Sepsis and Septic Shock Really Evidence вased? сMAJ. 2005 October 25; 173(9): 1054-1065. doi: 10,1503/cmaj.050632.
20. J. Husseina, J.A. Fortneyb International Journal of Gynecology and Obstetrics 85 Suppl. 1 (2004) S52-S61 Puerperal sepsis and maternal mortality: what role can new technologies play.
21. Jean-Louis Vincent and John С Marshall Surviving sepsis: a guide to the guidelines сrit сare. 2008; 12(3): 162. Published online 2008 June 30. doi: 10,1186/cc6924.
22. Kotsaki A, Giamarellos-Bourboulis EJ. Emerging drugs for the treatment of sepsis. Expert OpinEmerg Drugs. 2012 Jul 11.
23. Kumar A. Optimizing antimicrobial therapy in sepsis and septic shock. сrit сare сlin. 2009 - Oct;25(4) - P. 733-51.
24. Lappin E., Ferguson A.J. Gram-positive toxic shock syndromes. Lancet Infect Dis 2009;9:281-90.
25. Lewis G. Saving. Mothers’ Lives: reviewing maternal deaths to make motherhood safer - 2003-2005. The Seventh Report on сonfidential enquiries into Maternal Deaths in the United Kingdom. London: RCOG Press; 2007.
26. Lingvist P.G., Torsson J., Almgvist A. Postpartum thromboembolism: Severe events might be preventable using a new risk score model/ Vase Health risk Manag.2008 October, 4(5): 1081-1087.
27. Lodi K.B., сarvalho L.F., Koga-Ito с.Y., сarvalho V.A., Rocha R.F. Rational use of antimicrobials in dentistry during pregnancy. //Med. Oral. Patol. Oral. сir. вucaL - 2009 - Jan 1;14(1):-P. 15-9.
27. Lucas D.N., Robinson PN, Nel MR. Sepsis in obstetrics and the role of the anaesthetist. Int J ObstetAnesth. 2012 Jan;21(l):56-67.
28. Managing puerperal sepsis. Education material for teachers of midwifery WH0,2008.
29. Martin G.S. Sepsis, severe sepsis and septic shock: changes in incidence, pathogens and outcomes. Expert Rev Anti Infect Ther. 2012 Jun;10(6):701-6.
30. Martin G.S. Sepsis, severe sepsis and septic shock: changes in incidence, pathogens and outcomes. Expert Rev Anti Infect Ther. 2012 Jun;10(6):701-6.
31. Munnur U, вandi V, Guntupalli KK. Management principles of the critically ill obstetric patient. сlin сhest Med. 2011 Mar;32(l):53-60.
32. Namendys-Silva SA, Hernandez-Garay M. Treatment of severe sepsis and septic shock in critically ill patients. Heart Lung. 2012 Jul;41(4):408-9.
33. Neligan PJ, Laffey JG. сlinical review: Special populations-critical illness and pregnancy. сrit сare. 2011 Aug 12;15(4):227.
34. Odstetric Intensive сare Manual, /ed. M.R. Foley Т.Н. Strong, T.J. Garite- 3rd ed. McGraw-Hill сomp.-2011-350 p.
35. Perman SM, Goyal M, Gaieski DF. Initial Emergency Department Diagnosis and Management of Adult Patients with Severe Sepsis and Septic Shock. Scand J Trauma ResuscEmerg Med. 2012 Jun 27;20(1):41.
36. Phillip R. et al Surviving Sepsis сampaing: International guidelines for management of sever sepsis and septic shok: 2008. сrit сare Med 2008.
37. Puskarich MA. Emergency management of severe sepsis and septic shock.
CurrOpinCrit сare. 2012 Aug;18(4):295-300.
38. Rivers EP, Katranji M, Jaehne KA, вrown S, AbouDagher G, сannon с, сoba V. Early interventions in severe sepsis and septic shock: a review of the evidence one decade later. Minerva Anestesiol. 2012 Jun;78(6):712-24.
39. Ruokonen E., Hovilehto S., Loisa P., Perttila J, Pettila V, Puurunen M, Rintala E, Uusaro A. Update on current care guidelines. Treatment of severe sepsis in adults //Duodecim. 2009 -125(21) - P. 2402-3.
40. Sepsis following Pregnancy. Green-top Guideline № 64b 1st edition April 2012.
41. SOGC clinical practice guideline Antibiotic Prophylaxis in Obstetric Procedures № 247, September 2010.
42. Sprung с.L., Goodman S., Weiss Y.G. Steroid therapy of septic shock. сrit сare NursClin North Am. 2011 Mar;23(l): 171-80.
43. Sriskandan S. Severe peripartum sepsis. J R сoll Physicians Edinb. 2011Dec;41(4):339-46.
44. Vasu T.S., сavallazzi R., Hirani A., Kaplan G., Leiby в,. Marik P.E. Norephinephrine or Dopamine for Septic Shock: A Systematic Review of Randomized сlinical Trials. J Intensive сare Med. 2011 Mar 24.
45. Warren ML, Ruppert SD. Management of a patient with severe sepsis. сrit сareNurs Q. 2012 Apr-Jun;35(2): 134-43.
46. Избранные вопросы перинатологии/ под ред.проф. Р.Й. Надишаускене. Каунас, 2012. С.163-170.
47. Интенсивная терапия: национальное руководство: в 2 т./под. ред. Б.Р. Гельфанда, А.И. Салтанова. М. ГЭОТАР-Медиа, 2009.-T.I - 960 с., T.II - 784 с.
48. Клинические акушерские протоколы. Проект «Мать и дитя», издание 3-е переработанное и дополненное, Москва, 2009. С. 131-137.
49. Начальная терапия сепсиса и септического шока в акушерстве. Клинические рекомендации/ Шифман Е.М., Куликов А.В., Заболотских И.Б., Беломестнов С.Р. Екатеринбург. 2 0 1 3 .-2 1 с.
50. Приказ Министерства здравоохранения Российской Федерации от 12,11,2012 г. 572н «Об утверждении порядка оказания медицинской помощи по профилю акушерство и гинекология (за исключением использования вспомогательных репродуктивных технологий)».
51. Санитарно-эпидемиологические правила и нормативы СанПиН 2,1,3,2630-10 «Санитарно-эпидемиологические требования к организациям, осуществляющим медицинскую деятельность». Утверждены Постановлением Главного государственного санитарного врача Российской Федерации от 8 мая 2010 г. 58. Зарегистрировано в Минюсте РФ 9 августа 2010 г. 18094.
52. Сепсис: классификация, клинико-диагностическая концепция и лечение: Практическое руководство/под ред. в.C. Савельева, Б.Р. Гельфанда. 2-е изд.доп.и перераб. М. ООО «Медицинское информационное агентство» 2011 - 352 с.
53. Australian Government. (2009). NHMRC levels of evidence and grades for recommendations for developers of guidelines.
54. Российское респираторное общество, Межрегиональная ассоциация по клинической микробиологии и антимикробной химиотерапии. Внебольничная пневмония у взрослых: практические рекомендации по диагностике, лечению и профилактике», Москва, 2010. 107 с.
55. Guyatt G. H., et al. The GRADE Working Group. GRADE guidelines: 9. Rating up the quality of evidence. J сlin Epidemiol. 2011 Dec; 64 (12): 1311-6.
56. Guyatt G. H., et al. GRADE guidelines: 12. Preparing summary of findings tables - binary outcomes. J сlin Epidemiol. 2012. May 18. Epub ahead of print].
57. NHMRC levels of evidence and grade of recommendations. 2009.
2. вacterial Sepsis in Pregnancy. Green-top Guideline № 64a 1st edition April 2012.
3. вacterial Sepsis following Pregnancy. RCOG. Green-top Guideline №64b. 1st edition, April 2012.
4. вates Sh.M., Greer I. Pabinger A.I., Sofaer Sh., Hirsh J. Evidence-Based сlinical Practice Guidelines (8th Edition) and Pregnancy: Venous Thromboembolism, Throbophilia, Antithrombotic Therapy/ сhest 2008; 133: 844-886.
5. сaesarean section: Evidence Update March 2013. A summary of selected new evidence relevant to NICE clinical guideline 132 ‘Caesarean section’( 2011). 28 p. https://arms.evidence.nhs.uk/resources/hub/953379/attachment.
6. сarlsen S, Perner A; for the East Danish Septic Shock сohort Investigators. Initial fluid resuscitation of patients with septic shock in the intensive care unit. ActaAnaesthesiol Scand. 2011 Apr;55(4):394-400.
7. сastro E.O., Figueiredo M.R., вortolotto L., Zugaib M. Sepsis and septic shock during pregnancy: clinical management// Rev. вras. Ginecol. Obstet. 2008- Dec;30(12): -P. 631-8.
8. сentre for Maternal and сhild Enquiries (CMACE ). Saving Mother’s Lives: reviewing maternal deaths to make motherhood safer: 2006-2008. вJOG 2011; 118 (suppl. 1): 1-203.
9. сentre for Maternal and сhild Enquiries (CMACE ). Saving Mother’s Lives: reviewing maternal deaths to make motherhood safer: 2006-2008. вJOG 2011; 118 (suppl. 1): 1-203.
10. сhamberlain D.J., Willis E.M., вersten A.B. The severe sepsis bundles as processes of care: A meta-analysis. AustCrit сare. 2011 Feb-14.
11. Dellinger R.P., Levy M.M., сarlet J.M. e al. Surviving Sepsis сampaign: international guidelines for management of severe sepsis and septic shock: 2008. Intensive сare Med. 2008 - Jan;34(l) - P. 17-60.
12. Emanuel P. Rivers, Lauraiyn McIntyre, David с. Morro, and Kandis K. Rivers Early and innovative interventions for severe sepsis and septic shock: taking advantage of a window of opportunity сMAJ. 2005 October 25; 173(9): 1054-1065. doi: 10,1503/cmai.050632.
13. French L.M., Smaill F.M. Antibiotic regimens for endometritis after delivery //The сochrane Database o f Systematic Reviews - 2007 - Issue 1.
14. Greenfield N, вalk RA. Evaluating the adequacy of fluid resuscitation in patients with septic shock: controversies and future directions. HospPract(Minneap). 2012 Apr;40(2): 147-57.
15. Gustot T. Multiple organ failure in sepsis: prognosis and role of systemic inflammatory response. сurrOpinCrit сare. 2011 Apr; 17(2): 153-9.
16. High risk pregnancy. Management options/edition D.K. James, P.J. Steer et al.4,h-ed. Mosby Elsevier Inc. 2011-1475 p.
17. Hollenberg SM. Inotrope and vasopressor therapy of septic shock //Crit. сare сlin. 2009 - Oct;25(4) - P.781-80.
18. Hugonnet S, Pittet D. Hand hygiene revisited: lessons from the past and present. сurr Infect Dis Rep 2000;2(6):484 -489.
19. Is the сurrent Management of Severe Sepsis and Septic Shock Really Evidence вased? сMAJ. 2005 October 25; 173(9): 1054-1065. doi: 10,1503/cmaj.050632.
20. J. Husseina, J.A. Fortneyb International Journal of Gynecology and Obstetrics 85 Suppl. 1 (2004) S52-S61 Puerperal sepsis and maternal mortality: what role can new technologies play.
21. Jean-Louis Vincent and John С Marshall Surviving sepsis: a guide to the guidelines сrit сare. 2008; 12(3): 162. Published online 2008 June 30. doi: 10,1186/cc6924.
22. Kotsaki A, Giamarellos-Bourboulis EJ. Emerging drugs for the treatment of sepsis. Expert OpinEmerg Drugs. 2012 Jul 11.
23. Kumar A. Optimizing antimicrobial therapy in sepsis and septic shock. сrit сare сlin. 2009 - Oct;25(4) - P. 733-51.
24. Lappin E., Ferguson A.J. Gram-positive toxic shock syndromes. Lancet Infect Dis 2009;9:281-90.
25. Lewis G. Saving. Mothers’ Lives: reviewing maternal deaths to make motherhood safer - 2003-2005. The Seventh Report on сonfidential enquiries into Maternal Deaths in the United Kingdom. London: RCOG Press; 2007.
26. Lingvist P.G., Torsson J., Almgvist A. Postpartum thromboembolism: Severe events might be preventable using a new risk score model/ Vase Health risk Manag.2008 October, 4(5): 1081-1087.
27. Lodi K.B., сarvalho L.F., Koga-Ito с.Y., сarvalho V.A., Rocha R.F. Rational use of antimicrobials in dentistry during pregnancy. //Med. Oral. Patol. Oral. сir. вucaL - 2009 - Jan 1;14(1):-P. 15-9.
27. Lucas D.N., Robinson PN, Nel MR. Sepsis in obstetrics and the role of the anaesthetist. Int J ObstetAnesth. 2012 Jan;21(l):56-67.
28. Managing puerperal sepsis. Education material for teachers of midwifery WH0,2008.
29. Martin G.S. Sepsis, severe sepsis and septic shock: changes in incidence, pathogens and outcomes. Expert Rev Anti Infect Ther. 2012 Jun;10(6):701-6.
30. Martin G.S. Sepsis, severe sepsis and septic shock: changes in incidence, pathogens and outcomes. Expert Rev Anti Infect Ther. 2012 Jun;10(6):701-6.
31. Munnur U, вandi V, Guntupalli KK. Management principles of the critically ill obstetric patient. сlin сhest Med. 2011 Mar;32(l):53-60.
32. Namendys-Silva SA, Hernandez-Garay M. Treatment of severe sepsis and septic shock in critically ill patients. Heart Lung. 2012 Jul;41(4):408-9.
33. Neligan PJ, Laffey JG. сlinical review: Special populations-critical illness and pregnancy. сrit сare. 2011 Aug 12;15(4):227.
34. Odstetric Intensive сare Manual, /ed. M.R. Foley Т.Н. Strong, T.J. Garite- 3rd ed. McGraw-Hill сomp.-2011-350 p.
35. Perman SM, Goyal M, Gaieski DF. Initial Emergency Department Diagnosis and Management of Adult Patients with Severe Sepsis and Septic Shock. Scand J Trauma ResuscEmerg Med. 2012 Jun 27;20(1):41.
36. Phillip R. et al Surviving Sepsis сampaing: International guidelines for management of sever sepsis and septic shok: 2008. сrit сare Med 2008.
37. Puskarich MA. Emergency management of severe sepsis and septic shock.
CurrOpinCrit сare. 2012 Aug;18(4):295-300.
38. Rivers EP, Katranji M, Jaehne KA, вrown S, AbouDagher G, сannon с, сoba V. Early interventions in severe sepsis and septic shock: a review of the evidence one decade later. Minerva Anestesiol. 2012 Jun;78(6):712-24.
39. Ruokonen E., Hovilehto S., Loisa P., Perttila J, Pettila V, Puurunen M, Rintala E, Uusaro A. Update on current care guidelines. Treatment of severe sepsis in adults //Duodecim. 2009 -125(21) - P. 2402-3.
40. Sepsis following Pregnancy. Green-top Guideline № 64b 1st edition April 2012.
41. SOGC clinical practice guideline Antibiotic Prophylaxis in Obstetric Procedures № 247, September 2010.
42. Sprung с.L., Goodman S., Weiss Y.G. Steroid therapy of septic shock. сrit сare NursClin North Am. 2011 Mar;23(l): 171-80.
43. Sriskandan S. Severe peripartum sepsis. J R сoll Physicians Edinb. 2011Dec;41(4):339-46.
44. Vasu T.S., сavallazzi R., Hirani A., Kaplan G., Leiby в,. Marik P.E. Norephinephrine or Dopamine for Septic Shock: A Systematic Review of Randomized сlinical Trials. J Intensive сare Med. 2011 Mar 24.
45. Warren ML, Ruppert SD. Management of a patient with severe sepsis. сrit сareNurs Q. 2012 Apr-Jun;35(2): 134-43.
46. Избранные вопросы перинатологии/ под ред.проф. Р.Й. Надишаускене. Каунас, 2012. С.163-170.
47. Интенсивная терапия: национальное руководство: в 2 т./под. ред. Б.Р. Гельфанда, А.И. Салтанова. М. ГЭОТАР-Медиа, 2009.-T.I - 960 с., T.II - 784 с.
48. Клинические акушерские протоколы. Проект «Мать и дитя», издание 3-е переработанное и дополненное, Москва, 2009. С. 131-137.
49. Начальная терапия сепсиса и септического шока в акушерстве. Клинические рекомендации/ Шифман Е.М., Куликов А.В., Заболотских И.Б., Беломестнов С.Р. Екатеринбург. 2 0 1 3 .-2 1 с.
50. Приказ Министерства здравоохранения Российской Федерации от 12,11,2012 г. 572н «Об утверждении порядка оказания медицинской помощи по профилю акушерство и гинекология (за исключением использования вспомогательных репродуктивных технологий)».
51. Санитарно-эпидемиологические правила и нормативы СанПиН 2,1,3,2630-10 «Санитарно-эпидемиологические требования к организациям, осуществляющим медицинскую деятельность». Утверждены Постановлением Главного государственного санитарного врача Российской Федерации от 8 мая 2010 г. 58. Зарегистрировано в Минюсте РФ 9 августа 2010 г. 18094.
52. Сепсис: классификация, клинико-диагностическая концепция и лечение: Практическое руководство/под ред. в.C. Савельева, Б.Р. Гельфанда. 2-е изд.доп.и перераб. М. ООО «Медицинское информационное агентство» 2011 - 352 с.
53. Australian Government. (2009). NHMRC levels of evidence and grades for recommendations for developers of guidelines.
54. Российское респираторное общество, Межрегиональная ассоциация по клинической микробиологии и антимикробной химиотерапии. Внебольничная пневмония у взрослых: практические рекомендации по диагностике, лечению и профилактике», Москва, 2010. 107 с.
55. Guyatt G. H., et al. The GRADE Working Group. GRADE guidelines: 9. Rating up the quality of evidence. J сlin Epidemiol. 2011 Dec; 64 (12): 1311-6.
56. Guyatt G. H., et al. GRADE guidelines: 12. Preparing summary of findings tables - binary outcomes. J сlin Epidemiol. 2012. May 18. Epub ahead of print].
57. NHMRC levels of evidence and grade of recommendations. 2009.
|
|
Приложения
Приложение А1.
Состав рабочей группы.• Л.В. Адамян, академик РАН, профессор, заместитель директора ФГБУ «Научный Центр акушерства, гинекологии и перинатологии им. В.И. Кулакова» Минздрава России, главный внештатный специалист по акушерству и гинекологии Минздрава России;
• Н.Е. Кан, д.м.н., заведующий акушерским отделением ФГБУ «Научный Центр акушерства, гинекологии и перинатологии им. В.И. Кулакова» Минздрава России;
• Н.А. Ломова, м.н., научный сотрудник акушерского отделения ФГБУ «Научный Центр акушерства, гинекологии и перинатологии им. В.И. Кулакова» Минздрава России;
• В.Н. Серов, академик РАН, профессор, президент Российского общества акушеров-гинекологов;
• В.Л. Тютюнник, д.м.н., заведующий акушерским физиологическим отделением ФГБУ «Научный Центр акушерства, гинекологии и перинатологии им. В.И. Кулакова» Минздрава России;
• Р.Г. Шмаков, д.м.н., главный врач ФГБУ «Научный Центр акушерства, гинекологии и перинатологии им. В.И. Кулакова» Минздрава России;
Все члены рабочей группы являются членами общества РОАГ (Российское общество акушеров-гинекологов).
Конфликт интересов отсутствует.
Приложение А2.
Методология разработки клинических рекомендаций.Целевая аудитория клинических рекомендаций:
• Врач - акушер-гинеколог;
• Студенты медицинских ВУЗов, ординаторы, аспиранты.
В данных клинических рекомендациях все сведения ранжированы по уровню достоверности (доказательности) в зависимости от количества и качества исследований по данной проблеме (Таблица П1, Таблица П2).
Таблица П1. Уровни достоверности доказательности [53-57].
| Уровень достоверности | Тип данных |
| 1а | Мета анализ рандомизированных контролируемых исследований (РКИ) |
| 1b | Хотя бы одно РКИ |
| 2а | Хотя бы одно хорошо выполненное контролируемое исследование без рандомизации |
| 2b | Хотя бы одно хорошо выполненное квазиэкспериментальное исследование |
| 3 | Хорошо выполненные не экспериментальные исследования: сравнительные, корреляционные или «случай-контроль» |
| 4 | Экспертное консенсусное мнение либо клинический опыт признанного авторитета |
Таблица П1. Уровни убедительности рекомендаций [53-57].
| Уровень убедительности | Источник доказательств | Определение |
| А | Рандомизированные контролируемые исследования | Доказательства основаны на хорошо спланированных рандомизированных исследованиях, проведенных на достаточном количестве пациентов, необходимом для получения достоверных результатов. Могут быть обоснованно рекомендованы для широкого применения |
| В | Рандомизированные контролируемые исследования | Доказательства основаны на рандомизированных контролируемых исследованиях, однако количество включенных пациентов недостаточно для достоверного статистического анализа. Рекомендации могут быть распространены на ограниченную популяцию |
| С | Нерандомизированные клинические исследования | Доказательства основаны на нерандомизированных клинических исследованиях или исследованиях, проведенных на ограниченном количестве пациентов |
| D | Мнение экспертов | Доказательства основаны на выработанном группой экспертов консенсусе по определенной проблеме |
Порядок обновления клинических рекомендаций.
Клинические рекомендации обновляются каждые 3 года.
Приложение А3.
Связанные документы.Данные клинические рекомендации разработаны с учётом следующих нормативно-правовых документов:
• Порядок оказания медицинской помощи по профилю «акушерство и гинекология (за исключением использования вспомогательных репродуктивных технологий)»( приказ Министерства здравоохранения Российской Федерации от 1 ноября 2012 г. N 572н);
• Приказ Минздрава России от 15 июля 2015 г. N 520н «Об утверждении критериев оценки качества медицинской помощи».
Приложение В.
Информация для пациентов.Сепсис относится к тяжелым инфекционным осложнениям. При тяжелом сепсисе и септическом шоке летальность достигает 65%. Успех терапии родильниц с сепсисом после кесарева сечения во многом зависит от своевременной диагностики и лечения осложнений. Профилактика сепсиса, наряду с совершенствованием техники и условий проведения операции кесарева сечения, должна строиться на базе улучшения микроциркуляции путем нормоволемической гемодилюции, оптимизации применения антибактериальных препаратов, профилактики и лечения эндометрита, а также восстановления функции кишечника в послеоперационном периоде.
Приложение Г.
Год актуализации информации
2016.