ICD-10 codes
Introduction
МКБ 10:
I47.2.
Год утверждения (частота пересмотра):
2016 (пересмотр каждые 5 лет).
ID:
КР437.
URL:
Профессиональные ассоциации:
• Ассоциация детских кардиологов России.
• Союз педиатров России.
Утверждены.
Союзом педиатров России Ассоциацией детских кардиологов России .
Согласованы.
Научным советом Министерства Здравоохранения Российской Федерации __ __________201_ г.
I47.2.
Год утверждения (частота пересмотра):
2016 (пересмотр каждые 5 лет).
ID:
КР437.
URL:
Профессиональные ассоциации:
• Ассоциация детских кардиологов России.
• Союз педиатров России.
Утверждены.
Союзом педиатров России Ассоциацией детских кардиологов России .
Согласованы.
Научным советом Министерства Здравоохранения Российской Федерации __ __________201_ г.
Professional associations
• Ассоциация детских кардиологов России.
• Союз педиатров России.
• Союз педиатров России.
List of abbreviations
ВСС - внезапная сердечная смерть.
ВОК - внезапная остановка кровообращения.
ИКД - имплантируемый кардиовертер-дефибриллятор.
КПЖТ - катехоламинергическая полиморфная желудочковая тахикардия.
ЛСЭ - левосторонняя симпатэктомия.
ЭКГ - электрокардиограмма.
ЭхоКГ - эхокардиография.
ВОК - внезапная остановка кровообращения.
ИКД - имплантируемый кардиовертер-дефибриллятор.
КПЖТ - катехоламинергическая полиморфная желудочковая тахикардия.
ЛСЭ - левосторонняя симпатэктомия.
ЭКГ - электрокардиограмма.
ЭхоКГ - эхокардиография.
Terms and definitions
Внезапная остановка кровообращения. Внезапная потеря сознания, сопровождающаяся остановкой дыхания, отсутствием сердечной деятельности и артериального давления.
Внезапная сердечная смерть. Ненасильственная смерть вследствие сердечной патологии, наступившая в течение часа от манифестации острых симптомов, которой предшествует внезапная потеря сознания.
Внезапная сердечная смерть. Ненасильственная смерть вследствие сердечной патологии, наступившая в течение часа от манифестации острых симптомов, которой предшествует внезапная потеря сознания.
Description
Катехоламинергическая полиморфная желудочковая тахикардия. Заболевание из группы сердечных каналопатий, характеризуется злокачественным течением, полиморфной двунаправленной желудочковой тахикардией, провоцированной физической и/или эмоциональной нагрузкой [1, 2].
Reasons
В подавляющем большинстве случаев катехоламинергическая полиморфная желудочковая тахикардия обусловлена мутациями в генах RYR2 и сASQ2 [2, 3, 4]. Ген RYR2 кодирует рианодиновый рецептор мембраны саркоплазматического ретикулума, проводящий ионы кальция из депо в цитоплазму клетки. Мутации в этом гене выявляют у 50-65% больных; тип наследования при поражении этого гена аутосомно-доминантный. Ген сASQ2 кодирует белок кальмодулин, модулирующий функцию рианодинового рецептора. Тип наследования при мутациях в гене сASQ2 аутосомно-рецессивный, обуславливает до 5% случаев синдрома. В единичных семьях были описаны мутации генов KCNJ2, сALM1 и TRDN, которые сопровождаются полиморфной стресс-индуцированной желудочковой тахикардией и высоким риском ВСС (таб. 1).
Таблица 1. Молекулярно-генетические варианты катехоламинергической полиморфной желудочковой тахикардии [5, 6, 7, 8].
При мутациях в гене RYR2 изменяется структура рианодинового рецептора, вследствие чего нарушается его взаимодействие с регуляторным белком FKBP12,6 и снижается способность канала открываться. Под влиянием симпатической стимуляции возникает диссоциация канала и белка, происходит утечка ионов кальция из депо (саркоплазматический ретикулум) в клетку. Перегрузка клетки кальцием способствует активации кальциево-натриевого обмена, усиливается скорость входящего натриевого тока и появляются условия для развития задержанной постдеполяризации (триггерная активность), которая является основным механизмом аритмии при КПЖТ.
Кальсеквестрин относится к большому протеиновому комплексу рианодинового рецептора и является основным резервуаром ионов кальция. Дефект белка усиливает ответную реакцию рианодинового рецептора на внутриклеточный кальций, концентрация которого увеличена при симпатической стимуляции, происходит утечка кальция и условия для задержанной постдеполяризации Отсутствие 50% белка клинически не проявляется, лишь при наличии двух гетерозиготных мутаций, либо мутаций в гомологичных аллелях гена развивается типичная клиническая картина КПЖТ.
Кальмодулин модулирует функцию рианодинового рецепторы, способствует в норме увеличению концентрации кальция в клетке. Мутации в этом гене приводят к усилению функции белка (gain of function), что также способствует перегрузке клеток кальцием.
Таблица 1. Молекулярно-генетические варианты катехоламинергической полиморфной желудочковой тахикардии [5, 6, 7, 8].
| Ген | Белок | Вариант | Распространенность | Тип наследования |
| RYR2 | Рианодиновый рецептор | сPVT1 | 50-65% | Аутосомно-доминантный |
| сASQ2 | Кальсеквестрин -2 | сPVT2 | 2-5% | Аутосомно-рецессивный |
| KCNJ2 | Kir2 | сPVT3 | <1% | - |
| сALM1 | кальмодулин | сPVT4 | <1% | Аутосомно-доминантный |
| TRDN | Триадин | сPVT5 | <1% | Аутосомно-рецессивный |
При мутациях в гене RYR2 изменяется структура рианодинового рецептора, вследствие чего нарушается его взаимодействие с регуляторным белком FKBP12,6 и снижается способность канала открываться. Под влиянием симпатической стимуляции возникает диссоциация канала и белка, происходит утечка ионов кальция из депо (саркоплазматический ретикулум) в клетку. Перегрузка клетки кальцием способствует активации кальциево-натриевого обмена, усиливается скорость входящего натриевого тока и появляются условия для развития задержанной постдеполяризации (триггерная активность), которая является основным механизмом аритмии при КПЖТ.
Кальсеквестрин относится к большому протеиновому комплексу рианодинового рецептора и является основным резервуаром ионов кальция. Дефект белка усиливает ответную реакцию рианодинового рецептора на внутриклеточный кальций, концентрация которого увеличена при симпатической стимуляции, происходит утечка кальция и условия для задержанной постдеполяризации Отсутствие 50% белка клинически не проявляется, лишь при наличии двух гетерозиготных мутаций, либо мутаций в гомологичных аллелях гена развивается типичная клиническая картина КПЖТ.
Кальмодулин модулирует функцию рианодинового рецепторы, способствует в норме увеличению концентрации кальция в клетке. Мутации в этом гене приводят к усилению функции белка (gain of function), что также способствует перегрузке клеток кальцием.
Epidemiology
Распространенность больных с КПЖТ составляет предположительно 1:10000, однако истинная представленность синдрома в популяции на сегодняшний день не установлена [2, 9].
Classification
Классификация КПЖТ основывается на анализе молекулярно-генетических в настоящее время включает 5 молекулярно-генетических вариантов (таб. 1).
Diagnostics
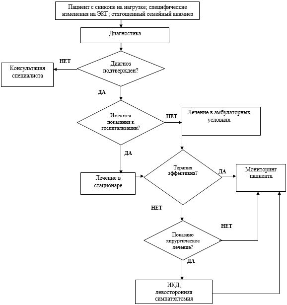
2,1 Жалобы и,.
Дифференциальный диагноз проводят с заболеваниями, характеризующимися приступами потери сознания, провоцированными нагрузкой и на фоне структурно неизмененного сердца, например с синдромом удлиненного интервала QT или идиопатической фибрилляцией желудочков.Treatment
Терапия больных с КПЖТ включает коррекцию образа жизни; медикаментозную и немедикаментозную профилактику ВСС, а также неотложную терапию желудочковой тахикардии типа «пируэт». Занятия профессиональным спортом и интенсивные физические нагрузки противопоказаны всем больным с КПЖТ.
Антиаритмическая терапия назначается пожизненно с коррекцией дозы препарата по весу по мере роста пациента.
(Сила рекомендаций - 1; достоверность доказательств - A ).
Комментарии. Препараты назначается пожизненно, доза определяется с учетом весом больного независимо от возраста (таб. 2). Рекомендованы к применению при КПЖТ неселективные бета-адреноблокаторы надолол и пропранолол, в меньшей степени, селективный бета-блокатор атенолол.
Таблица 2. Лекарственные препараты, используемые в лечении пациентов с синдромом удлиненного интервала QT.
• Рекомендовано назначение блокаторов натриевых каналов или амиодарона для контроля суправентрикулярных тахиаритмий [13].(Сила рекомендаций - 2; достоверность доказательств - А).
Комментарии. Препарат назначается в дополнении к бета-адреноблокатору.
Комментарии. Наиболее эффективным методом профилактики ВСС является имплантация кардиовертера-дефибриллятора, которая в обязательном порядке показана всем больным, перенесшим внезапную остановку кровообращения. Показания к имплантации ИКД приведены в таблице 3. Большое значение имеет правильное программирование ИКД у больных с КПЖТ в связи с выраженной электрической нестабильностью миокарда как предсердий, так и желудочков. Необходимо: включение алгоритмов дискриминации наджелудочковых тахиаритмий (различные у каждого производителя); зона детекции ФЖ 214-230 уд/мин; длительность окна детекции ФЖ + время заряда ИКД (8-10 сек) должно быть не менее 20 сек; отключение антитахикардитической стимуляции (АТР); первый шок с максимальной энергией, после 2 шока последовательное переключение полярности волны дефибрилляции.
• Рекомендовано проведение левосторонней симпатэктомии [9, 14, 15].
Комментарии. Левостороння симпатэктомия рекомендована пациентам, у которых рецидивы желудочковой тахикардии сохраняются, несмотря на прием максимально допустимой дозы бета-блокаторов. Показания к проведению левосторонней симпатэктомии приведены в таблице 3.
Таблица 3.Показания к терапии бета-адреноблокаторами, левосторонней симпатэктомии и имплантации ИКД при катехоламинергической полиморфной желудочковой тахикардии.
Антиаритмическая терапия назначается пожизненно с коррекцией дозы препарата по весу по мере роста пациента.
3,1 Консервативное лечение.
• Рекомендовано назначение бета-адреноблокаторов [3, 9, 12].(Сила рекомендаций - 1; достоверность доказательств - A ).
Комментарии. Препараты назначается пожизненно, доза определяется с учетом весом больного независимо от возраста (таб. 2). Рекомендованы к применению при КПЖТ неселективные бета-адреноблокаторы надолол и пропранолол, в меньшей степени, селективный бета-блокатор атенолол.
Таблица 2. Лекарственные препараты, используемые в лечении пациентов с синдромом удлиненного интервала QT.
| Международное непатентованное название препарата | Код АТХ | Механизм действия | Доза и пути введения препарата |
| Пропранолол ж (propranolol) | с07AA05 | Неселективный бета-блокатор | 1,0-4,0 мг/кг/сут в 3-4 приема |
| Надолол (nadolol) | с07AA12 | Неселективный бета-блокатор | 0,5-1,0 мг/кг/сут в 1-2 приема |
| Атенолол ж (atenolol) | с07AB11 | Селективный бета-блокатор | 0,5-2,0 мг/кг/сут в 2 приема |
| Флекаинид (flecainide) (не зарегистрован в РФ) | с01BC04 | Блокатор натриевых каналов | 3,0-6,0 мг/кг/сут в 2 приема детям старше 12 лет |
| Амиодарон ж | С01ВD01 | Антиаритмический препарат III класса | 5,0-10,0 мг/кг/сут в 2 приема |
| Соталол ж | С07АА07 | Антиаритмический препарат III класса | 1,0-2,0 мг/кг/сут в 2 приема |
• Рекомендовано назначение блокаторов натриевых каналов или амиодарона для контроля суправентрикулярных тахиаритмий [13].(Сила рекомендаций - 2; достоверность доказательств - А).
Комментарии. Препарат назначается в дополнении к бета-адреноблокатору.
3,2 Хирургическое лечение.
• Рекомендована имплантация кардиовертера-дефибриллятора [9].Комментарии. Наиболее эффективным методом профилактики ВСС является имплантация кардиовертера-дефибриллятора, которая в обязательном порядке показана всем больным, перенесшим внезапную остановку кровообращения. Показания к имплантации ИКД приведены в таблице 3. Большое значение имеет правильное программирование ИКД у больных с КПЖТ в связи с выраженной электрической нестабильностью миокарда как предсердий, так и желудочков. Необходимо: включение алгоритмов дискриминации наджелудочковых тахиаритмий (различные у каждого производителя); зона детекции ФЖ 214-230 уд/мин; длительность окна детекции ФЖ + время заряда ИКД (8-10 сек) должно быть не менее 20 сек; отключение антитахикардитической стимуляции (АТР); первый шок с максимальной энергией, после 2 шока последовательное переключение полярности волны дефибрилляции.
• Рекомендовано проведение левосторонней симпатэктомии [9, 14, 15].
Комментарии. Левостороння симпатэктомия рекомендована пациентам, у которых рецидивы желудочковой тахикардии сохраняются, несмотря на прием максимально допустимой дозы бета-блокаторов. Показания к проведению левосторонней симпатэктомии приведены в таблице 3.
Таблица 3.Показания к терапии бета-адреноблокаторами, левосторонней симпатэктомии и имплантации ИКД при катехоламинергической полиморфной желудочковой тахикардии.
| Класс | Клинические показания | Уровень доказательности |
| I | Абсолютные показания Бета-адреноблокаторы показаны: • Всем симптомным пациентам Имплантация кардиовертера-дефибриллятора показана больным с: • внезапной остановкой кровообращения в анамнезе; • рецидивирующие синкопе и/или полиморфная/двунаправленная ЖТ на терапии ББ. Левосторонняя симпатэктомия показана пациентам c : • рецидивирующие синкопе и/или полиморфная/двунаправленная ЖТ на терапии ББ. | с |
| IIa | Относительные показания Бета-адреноблокаторы показаны: • бессимптомным пациентам с подтвержденной КПЖТ • флекаинид в дополнении к ББ у больных с рецидивирующими синкопе и/или полиморфной/двунаправленной ЖТ на терапии ББ | с |
| IIb | Левосторонняя симпатэктомия показана пациентам с: • мотивированными срабатываниями; либо при наличии противопоказаний к терапии ББ. | |
| III | Имплантация кардиовертера-деибриллятора противопоказана: • бессимптомным больным. | с |
Rehabilitation and outpatient treatment
Медицинской и физической реабилитации больных не требуется. Детям с частыми срабатываниям ИКД рекомендована консультация психолога. Показано санаторно-курортное лечение в санаториях кардиологического профиля.
Prevention
5,1 Профилактика.
Для профилактики рецидива желудочковой тахикардии и ВСС необходим динамический контроль факторов риска. Для своевременной диагностики заболевания необходимо обследовать пациентов из группы риска - членов семьи I и II степени родства больного КПЖТ, а также умерших внезапно лиц молодого возраста.5,2 Ведение пациентов.
Больные с генетически детерменированными нарушениями ритма сердца нуждаются в постоянном наблюдении в специализированном аритмологическом центре, цель которого динамичный контроль факторов риска ВС и при необходимости коррекция антиаритмической терапии. Частота посещений зависит от возраста больного и тяжести заболевания. При синкопальной форме КПЖТ контроль эффективности терапии и мониторинг факторов риска ВС проводится 1 раза в 1-6 месяцев. В отсутствие синкопе мониторинг факторов риска проводится не реже 1 раз в год; в пубертатном периоде 1 раз в 6 месяцев.Первичная госпитализация в специализированное кардиологическое отделение связана с диагностикой синдром и стратификацией индивидуального риска ВС. Продолжительность госпитализации определяется основным заболеванием.
Больным с имплантированным кардиовертером-дефибриллятором контроль системы ИКД проводится не реже 1 раза в 6 месяцев; а также каждый раз при срабатывании устройства или рецидиве синкопе. При плановом контроле системы ИКД предварительно проводятся ЭКГ, ХМ, ЭхоКГ, рентгенография органов грудной клетки в прямой и левой боковой проекциях.
Вакцинация.
Решение вопроса о вакцинации решается в индивидуальном порядке в зависимости от клинического состояния пациента, эффективности медикаментозного контроля аритмии, а также с учетом ранее выявленных провоцирующих факторов (связь манифестации аритмии с вакцинацией, инфекционным заболеванием ).
Детям с синкопальной формой КПЖТ вакцинация по индивидуальному графику. В отсутствие синкопе вакцинация проводится в декретированные сроки.
Additional information
Исходы и прогноз.
Прогноз заболевания основывается на стратификации риска ВС и зависит от молекулярно-генетического варианта синдрома, возраста манифестации синкопальных состояний, эффективности антиаритмической терапии бета-блокаторами. При условии регулярного мониторинга факторов риска ВС и своевременной коррекции модифицируемых факторов риска прогноз для жизни благоприятный.
Прогноз заболевания основывается на стратификации риска ВС и зависит от молекулярно-генетического варианта синдрома, возраста манифестации синкопальных состояний, эффективности антиаритмической терапии бета-блокаторами. При условии регулярного мониторинга факторов риска ВС и своевременной коррекции модифицируемых факторов риска прогноз для жизни благоприятный.
Criteria for assessing the quality of medical care
Таблица 4.
Организационно-технические условия оказания медицинской помощи.
Таблица 5.
Критерии качества оказания медицинской помощи.
Организационно-технические условия оказания медицинской помощи.
| Вид медицинской помощи | Специализированная медицинская помощь |
| Условия оказания медицинской помощи | Стационарно / в дневном стационаре/амбулаторно |
| Форма оказания медицинской помощи | Плановая/неотложная |
Таблица 5.
Критерии качества оказания медицинской помощи.
| № | Критерий | Уровень достоверности доказательств | Уровень убедительности рекомендаций |
| Рекомендуется проведение ЭКГ | А | 1 | |
| Рекомендуется проведение суточного мониторирования ЭКГ | в | 1 | |
| Рекомендуется проведение эхокардиографии | в | 1 | |
| Рекомендуется проведение теста с физической нагрузкой | в | 1 | |
| Рекомендуется проведение биохимического анализа крови с оценкой электролитного состава, оценка активности кардиоспецифических ферментов и маркеров воспаления, включая исследование титра антител к структурам сердца | А | 2 | |
| Рекомендуется определение гормонального профиля щитовидной железы | А | 2 | |
| Рекомендуется молекулярно-генетическое исследование | А | 1 | |
| Рекомендовано назначение бета-адреноблокаторов при наличии показаний | А | 1 | |
| Рекомендуется назначение блокатора натриевых каналов и левосторонняя симпатэктомия при наличии показаний | А | 2 | |
| Рекомендуется имплантация ИКД при наличии показаний | А | 1 |
References
• сoumel P., Fidelle J., Lucet V., et al. сatecholamine-induced severe ventricular arrhythmias with Adams-Stokes syndrome in children: report of four cases. // вr Heart J. 1978; 40 (suppl): P. 28-37.
• Priori S.G., Napolitano с., Tiso N., et al. Mutations in the cardiac ryanodine receptor gene (hRyR2) underlie catecholaminergic polymorphic ventricular tachycardia. // сirculation 2001 (103). P. 196-200.
• Leenhardt A., Lucet V., Denjoy I., et al. сatecholaminergic polymorphic ventricular tachycardia in children: a 7-year follow-up of 21 patients. // сirculation. 1995 (91). P.1512-1519.
• Swan H., Piippo K., Viitasalo M., et al. Arrhythmic disorder mapped to chromosome 1q42-q43 causes malignant polymorphic ventricular tachycardia in structurally normal hearts. J Am сoll сardiol. 1999 (34). P. 2035-2042.
• Priori S.G., Napolitano с., Memmi M., et al. сlinical and molecular characterization of patients with catecholaminergic polymorphic ventricular tachycardia. // сirculation. 2002 (106). P. 69-74.
• Lahat H., Eldar M., Levy-Nissenbaum E., et al. Autosomal recessive catecholamine- or exercise-induced polymorphic ventricular tachycardia: сlinical features and assignment of the disease gene to chromosome 1p13-21. // сirculation. 2001 (103). P. 2822-2827.
• Kalscheur M.M., Vaidyanathan R., Orland K.M., et al. KCNJ2 mutation causes an adrenergic-dependent rectification abnormality with calcium sensitivity and ventricular arrhythmia. Heart Rhythm. 2014; 11(5). P. 885-94.
• Roux-Buisson N., сacheux M., Fourest-Lieuvin A., et al. Absence of triadin, a protein of the calcium release complex, is responsible for cardiac arrhythmia with sudden death in human. Hum. Molec. Genet. 2012 (21). P. 2759-2767, 2012.
• HRS/EHRA/APHRS Expert сonsensus Statement on the Diagnosis and Management of Patients with Inherited Primary Arrhythmia Syndromes // Heart Rhythm. 2013. Vol 10. P. 1932-1963.
• Tester D.J., Spoon D.B., Valdivia H.H., et al. Targeted mutational analysis of the RyR2-encoded cardiac ryanodine receptor in sudden unexplained death: a molecular autopsy of 49 medical examiner/coroner’s cases. Mayo сlin Proc. 2004 (79). P. 1380 -1384.
• Sumitomo N., Harada K., Nagashima M., et al. сatecholaminergic polymorphic ventricular tachycardia: electrocardiographic characteristics and optimal therapeutic strategies to prevent sudden death. Heart. 2003 (89). P. 66 -70.
• Hayashi M., Denjoy I., Extramiana F., et al. Incidence and risk factors of arrhythmic events in catecholaminergic polymorphic ventricular tachycardia. // сirculation. 2009 (119). P. 2426-2434.
• Watanabe H., сhopra N., Laver D., et al. Flecainide prevents catecholaminergic polymorphic ventricular tachycardia in mice and humans. Nat Med. 2009 (15). P. 380-383.
• Odero A., вozzani A., De Ferrari G.M., Schwartz P.J. Left cardiac sympathetic denervation for the prevention of life-threatening arrhythmias: the surgical supraclavicular approach to cervicothoracic sympathectomy. Heart Rhythm. 2010 (7). P. 1161-1165.
• De Ferrari G.M, Dusi V., Spazzolini с., et al. сlinical management of catecholaminergic polymorphic ventricular tachycardia the role of left cardiac sympathetic denervation. // сirculation. 2015 (131). P. 2185-2193.
• Priori S.G., Napolitano с., Tiso N., et al. Mutations in the cardiac ryanodine receptor gene (hRyR2) underlie catecholaminergic polymorphic ventricular tachycardia. // сirculation 2001 (103). P. 196-200.
• Leenhardt A., Lucet V., Denjoy I., et al. сatecholaminergic polymorphic ventricular tachycardia in children: a 7-year follow-up of 21 patients. // сirculation. 1995 (91). P.1512-1519.
• Swan H., Piippo K., Viitasalo M., et al. Arrhythmic disorder mapped to chromosome 1q42-q43 causes malignant polymorphic ventricular tachycardia in structurally normal hearts. J Am сoll сardiol. 1999 (34). P. 2035-2042.
• Priori S.G., Napolitano с., Memmi M., et al. сlinical and molecular characterization of patients with catecholaminergic polymorphic ventricular tachycardia. // сirculation. 2002 (106). P. 69-74.
• Lahat H., Eldar M., Levy-Nissenbaum E., et al. Autosomal recessive catecholamine- or exercise-induced polymorphic ventricular tachycardia: сlinical features and assignment of the disease gene to chromosome 1p13-21. // сirculation. 2001 (103). P. 2822-2827.
• Kalscheur M.M., Vaidyanathan R., Orland K.M., et al. KCNJ2 mutation causes an adrenergic-dependent rectification abnormality with calcium sensitivity and ventricular arrhythmia. Heart Rhythm. 2014; 11(5). P. 885-94.
• Roux-Buisson N., сacheux M., Fourest-Lieuvin A., et al. Absence of triadin, a protein of the calcium release complex, is responsible for cardiac arrhythmia with sudden death in human. Hum. Molec. Genet. 2012 (21). P. 2759-2767, 2012.
• HRS/EHRA/APHRS Expert сonsensus Statement on the Diagnosis and Management of Patients with Inherited Primary Arrhythmia Syndromes // Heart Rhythm. 2013. Vol 10. P. 1932-1963.
• Tester D.J., Spoon D.B., Valdivia H.H., et al. Targeted mutational analysis of the RyR2-encoded cardiac ryanodine receptor in sudden unexplained death: a molecular autopsy of 49 medical examiner/coroner’s cases. Mayo сlin Proc. 2004 (79). P. 1380 -1384.
• Sumitomo N., Harada K., Nagashima M., et al. сatecholaminergic polymorphic ventricular tachycardia: electrocardiographic characteristics and optimal therapeutic strategies to prevent sudden death. Heart. 2003 (89). P. 66 -70.
• Hayashi M., Denjoy I., Extramiana F., et al. Incidence and risk factors of arrhythmic events in catecholaminergic polymorphic ventricular tachycardia. // сirculation. 2009 (119). P. 2426-2434.
• Watanabe H., сhopra N., Laver D., et al. Flecainide prevents catecholaminergic polymorphic ventricular tachycardia in mice and humans. Nat Med. 2009 (15). P. 380-383.
• Odero A., вozzani A., De Ferrari G.M., Schwartz P.J. Left cardiac sympathetic denervation for the prevention of life-threatening arrhythmias: the surgical supraclavicular approach to cervicothoracic sympathectomy. Heart Rhythm. 2010 (7). P. 1161-1165.
• De Ferrari G.M, Dusi V., Spazzolini с., et al. сlinical management of catecholaminergic polymorphic ventricular tachycardia the role of left cardiac sympathetic denervation. // сirculation. 2015 (131). P. 2185-2193.
Appendices
Приложение А1.
Состав рабочей группы.Баранов А.А., акад. РАН, профессор, д.м.н., вице-председатель Исполкома Союза педиатров России;
Школьникова М.А, д.м.н., профессор, президент Ассоциации детских кардиологов России Ильдарова Р.А., канд. мед. наук, член Ассоциации детских кардиологов России.
Намазова-Баранова Л.С., акад. РАН, профессор, д.м.н., председатель Исполкома Союза педиатров России.
Авторы подтверждают отсутствие финансовой поддержки/конфликта интересов, который необходимо обнародовать.
Приложение А2.
Методология разработки клинических рекомендаций.Целевая аудитория данных клинических рекомендаций:
• Врачи-педиатры,.
• Врачи - детские кардиологи,.
• Врачи - сердечно-сосудистые хирурги;
• Врачи общей практики (семейные врачи);
• Студенты медицинских ВУЗов;
• Обучающиеся в ординатуре и интернатуре.
Методы, используемые для сбора/селекции доказательств. Поиск в электронных базах данных.
Описание методов, использованных для оценки качества и силы доказательств. Доказательной базой для рекомендаций являются публикации, вошедшие в Кохрейновскую библиотеку, базы данных EMBASE, MEDLINE и PubMed. Глубина поиска - 5 лет.
Методы, использованные для оценки качества и силы доказательств:
• консенсус экспертов;
• оценка значимости в соответствии с рейтинговой схемой.
Методы, использованные для анализа доказательств:
• обзоры опубликованных мета-анализов;
• систематические обзоры с таблицами доказательств.
Описание методов, использованных для анализа доказательств.
При отборе публикаций, как потенциальных источников доказательств, использованная в каждом исследовании методология изучается для того, чтобы убедиться в ее валидности. Результат изучения влияет на уровень доказательств, присваиваемый публикации, что в свою очередь, влияет на силу рекомендаций.
Для минимизации потенциальных ошибок каждое исследование оценивалось независимо. Любые различия в оценках обсуждались всей группой авторов в полном составе. При невозможности достижения консенсуса привлекался независимый эксперт.
Таблицы доказательств. Заполнялись авторами клинических рекомендаций.
Методы, использованные для формулирования рекомендаций. Консенсус экспертов.
Индикаторы доброкачественной практики ( Good Practice Points. GPPs ).
Рекомендуемая доброкачественная практика базируется на клиническом опыте авторов разработанных рекомендаций.
Экономический анализ.
Анализ стоимости не проводился и публикации по фармакоэкономике не анализировались.
Метод валидации рекомендаций.
• Внешняя экспертная оценка.
• Внутренняя экспертная оценка.
Описание метода валидации рекомендаций.
Настоящие рекомендации в предварительной версии были рецензированы независимыми экспертами, которых, прежде всего, попросили прокомментировать, насколько доступна для понимания интерпретация доказательств, лежащая в основе рекомендаций.
От врачей первичного звена получены комментарии в отношении доходчивости изложения данных рекомендаций, а также их оценка важности предлагаемых рекомендаций, как инструмента повседневной практики.
Все комментарии, полученные от экспертов, тщательно систематизировались и обсуждались членами рабочей группы (авторами рекомендаций). Каждый пункт обсуждался в отдельности.
Консультация и экспертная оценка.
Проект рекомендаций был рецензирован независимыми экспертами, которых, прежде всего, попросили прокомментировать доходчивость и точность интерпретации доказательной базы, лежащей в основе рекомендаций.
Рабочая группа.
Для окончательной редакции и контроля качества рекомендации были повторно проанализированы членами рабочей группы, которые пришли к заключению, что все замечания и комментарии экспертов приняты во внимание, риск систематических ошибок при разработке рекомендаций сведен к минимуму.
Основные рекомендации.
Сила рекомендаций (1-2) на основании соответствующих уровней доказательств (А-С) и индикаторы доброкачественной практики (табл. 6) - good practice points (GPPs) приводятся при изложении текста рекомендаций.
Таблица 6.
Схема для оценки уровня рекомендаций.
| Степень достоверности рекомендаций | Соотношение риска и преимуществ | Методологическое качество имеющихся доказательств | Пояснения по применению рекомендаций |
| 1А Сильная рекомендация, основанная на доказательствах высокого качества | Польза отчетливо превалирует над рисками и затратами, либо наоборот | Надежные непротиворечивые доказательства, основанные на хорошо выполненных РКИ или неопровержимые доказательства, представленные в какой-либо другой форме. Дальнейшие исследования вряд ли изменят нашу уверенность в оценке соотношения пользы и риска. | Сильная рекомендация, которая может использоваться в большинстве случаев у преимущественного количества пациентов без каких-либо изменений и исключений |
| 1В Сильная рекомендация, основанная на доказательствах умеренного качества | Польза отчетливо превалирует над рисками и затратами, либо наоборот | Доказательства, основанные на результатах РКИ, выполненных с некоторыми ограничениями (противоречивые результаты, методологические ошибки, косвенные или случайные ), либо других веских основаниях. Дальнейшие исследования (если они проводятся), вероятно, окажут влияние на нашу уверенность в оценке соотношения пользы и риска и могут изменить ее. | Сильная рекомендация, применение которой возможно в большинстве случаев |
| 1С Сильная рекомендация, основанная на доказательствах низкого качества | Польза, вероятно, будет превалировать над возможными рисками и затратами, либо наоборот | Доказательства, основанные на обсервационных исследованиях, бессистемном клиническом опыте, результатах РКИ, выполненных с существенными недостатками. Любая оценка эффекта расценивается как неопределенная. | Относительно сильная рекомендация, которая может быть изменена при получении доказательств более высокого качества |
| 2А Слабая рекомендация, основанная на доказательствах высокого качества | Польза сопоставима с возможными рисками и затратами | Надежные доказательства, основанные на хорошо выполненных РКИ или подтвержденные другими неопровержимыми данными. Дальнейшие исследования вряд ли изменят нашу уверенность в оценке соотношения пользы и риска. | Слабая рекомендация. Выбор наилучшей тактики будет зависеть от клинической ситуации (обстоятельств), пациента или социальных предпочтений. |
| 2В Слабая рекомендация, основанная на доказательствах умеренного качества | Польза сопоставима с рисками и осложнениями, однако в этой оценке есть неопределенность. | Доказательства, основанные на результатах РКИ, выполненных с существенными ограничениями (противоречивые результаты, методологические дефекты, косвенные или случайные), или сильные доказательства, представленные в какой-либо другой форме. Дальнейшие исследования (если они проводятся), скорее всего, окажут влияние на нашу уверенность в оценке соотношения пользы и риска и могут изменить ее. | Слабая рекомендация. Альтернативная тактика в определенных ситуациях может явиться для некоторых пациентов лучшим выбором. |
| 2С Слабая рекомендация, основанная на доказательствах низкого качества | Неоднозначность в оценке соотношения пользы, рисков и осложнений; польза может быть сопоставима с возможными рисками и осложнениями. | Доказательства, основанные на обсервационных исследованиях, бессистемного клинического опыта или РКИ с существенными недостатками. Любая оценка эффекта расценивается как неопределенная. | Очень слабая рекомендация; альтернативные подходы могут быть использованы в равной степени. |
*В таблице цифровое значение соответствует силе рекомендаций, буквенное - соответствует уровню доказательности.
Актуализация данных клинических рекомендаций будет проводиться не реже, чем один раз в пять лет. Принятие решения об обновлении будет принято на основании предложений, представленных медицинскими профессиональными некоммерческими организациями с учётом результатов комплексной оценки лекарственных препаратов, медицинских изделий, а также результатов клинической апробации.
Приложение А3.
Связанные документы.Порядки оказания медицинской помощи:
Приказ Министерства здравоохранения Российской Федерации от 25 октября 2012 г. No 440н Об утверждении Порядка оказания медицинской помощи по профилю детская кардиология (Зарегистрировано в Минюсте РФ 4 декабря 2012 г. Регистрационный No 26000.
Приказ Министерства здравоохранения Российской Федерации от 15 ноября 2012 г. No 918н Об утверждении Порядка оказания медицинской помощи больным сердечно-сосудистыми заболеваниями (Зарегистрировано в Минюсте РФ 29 декабря 2012 г. Регистрационный No 26483).
Приложение В.
Информация для пациентов.Катехоламинергическая полиморфная желудочковая тахикардия (КПЖТ) это врожденное заболевание, которое проявляется приступами желудочковой тахикардии, провоцированными физической и/или эмоциональной нагрузкой. Причиной КПЖТ всегда является мутация в гене. Всего в настоящее время известно 5 генов, мутации в которых приводят к развитию этого заболевания. Генетическая мутация может быть как унаследована от одного или обоих родителей, так и появиться впервые у пациента.
Основным проявлением катехоламинергической полиморфной желудочковой тахикардии являются синкопальные состояния (обмороки), которые возникают во время выполнения физической нагрузки разной степени тяжести, либо на фоне сильного стресса/волнения. Иногда перед обмороком может быть ощущение сердцебиения, но чаще всего обморок развивается внезапно. Во время обморока АД и пульс могут не определяются, отмечается бледность кожных покровов. При длительности обморока минуту и более возможно развитие судорог, непроизвольного мочеиспускания и/или дефекации, что зачастую приводит к ошибочному диагнозу эпилепсии. В случае возникновения обморока у пациента с КПЖТ необходимо провести мероприятия сердечно-легочной реанимации.
При этом заболевании имеет место высокий риск внезапной сердечной смерти, которая в некоторых случаях является первым симптомом заболевания. Первые проявления заболевания в виде обмороков возникают в возрасте старше 5 лет. Диагностируется заболевание чаще всего при обследовании по поводу впервые возникшего синкопального состояния. Обследование включает в себя кроме стандартной ЭКГ суточное мониторирование ЭКГ, эхокардиографию, пробу с нагрузкой (тредмил-тест или велоэргометрию), определение уровня электролитов крови. В случае установления диагноза КПЖТ необходимо дополнительно обследовать членов семьи. Пациент с КПЖТ нуждается в постоянном наблюдении кардиологом и регулярном мониторировании факторов риска возникновения синкопальных состояний, даже в отсутствие клинических проявлений заболевания.
Основной целью лечения КПЖТ является профилактика развития желудочковой тахикардии и следовательно синкопальных состояний. Лечение включает в себя медикаментозную терапию, оперативные методы (имплантация кардиовертера-дефибрилятора, удаление левого звездчатого ганглия), изменения образа жизни.
К медикаментозной терапии относятся бета-адреноблокаторы (ББ) - антиаритмические препараты. Назначается он при наличии у пациента синкопальных состояний, либо высокого риска их развития. ББ назначаются постоянно по жизненным показаниям, строго регулярно.Отменять его самостоятельно нельзя. Даже при необходимости проведения дополнительных обследований натощак (например, гастроскопия или биохимический анализ крови), прием ББ не пропускается.
Если сохраняются обмороки на фоне антиаритмической терапии проводится оперативное лечение - имплантация кардиовертера-дефибриллятора. При этом, антиаритмическая терапия не прекращается. Кардиовертер-дефибриллятор необходим для того, чтобы предотвратить фатальные осложнения в случае развития желудочковой тахикардии. Левый звездчатый ганглий является частью симпатической нервной системы, участвует в регуляции ритма сердца. Удаление производится хирургическим путем. Процедура помогает существенно снизить частоту синкопальных состояний.
При наличии КПЖТ, даже при легком течении заболевания, противопоказан профессиональный спорт. Уровень допустимой физической нагрузки определяется кардиологом. При возникновении состояний, сопровождающихся электролитными нарушениями (таких как, диарея, многократная рвота), необходимо сразу проводить коррекцию уровня электролитов во избежание развития желудочковой тахикардии. При наличии синкопальных состояний рекомендовано по возможности избегать ситуаций, провоцирующих обморок: физических нагрузок, стрессовых ситуаций.
При появлении нового члена семьи (рождение ребенка), необходимо его обследовать для выявления у него проявлений КПЖТ.
Приложение Г.
…ж - лекарственный препарат, входящий в Перечень жизненно необходимых и важнейших лекарственных препаратов для медицинского применения на 2017 год (Распоряжение Правительства РФ от 28 декабря 2016 года N 2885-р).Минздрав России 2016.