МКБ-10 коды
- МКБ-10
- S02.6 Перелом нижней челюсти
|
|
Вступление
Кодирование по Международной статистической классификации болезней и проблем, связанных со здоровьем: S02.6.
Год утверждения (частота пересмотра): 2021.
Возрастная категория: Взрослые.
Пересмотр не позднее: 2023.
ID: 653.
Разработчик клинической рекомендации.
• ООО «Общество специалистов в области челюстно-лицевой хирургии».
Одобрено Научно-практическим Советом Минздрава РФ.
Год утверждения (частота пересмотра): 2021.
Возрастная категория: Взрослые.
Пересмотр не позднее: 2023.
ID: 653.
Разработчик клинической рекомендации.
• ООО «Общество специалистов в области челюстно-лицевой хирургии».
Одобрено Научно-практическим Советом Минздрава РФ.
|
|
Список сокращений
АД - артериальное давление.
ВИЧ - вирус иммунодефицита человека.
ВНЧС - височно-нижнечелюстной сустав.
ДИА - диакротический индекс.
ДИК - дикротический индекс.
ЖКТ - желудочно-кишечный тракт.
ЛФК - лечебная физическая культура.
ПАП - периоперационная антибиотикопрофилактика.
РВГ - реовазонейрография.
ЧЛО - челюстно-лицевая область.
ЧМТ - черепно-мозговая травма.
ЭНМГ - электронейромиография.
ЭОД - электроодонтодиагностика.
ЭП УВЧ - электрическое поле ультравысокой частоты.
ВИЧ - вирус иммунодефицита человека.
ВНЧС - височно-нижнечелюстной сустав.
ДИА - диакротический индекс.
ДИК - дикротический индекс.
ЖКТ - желудочно-кишечный тракт.
ЛФК - лечебная физическая культура.
ПАП - периоперационная антибиотикопрофилактика.
РВГ - реовазонейрография.
ЧЛО - челюстно-лицевая область.
ЧМТ - черепно-мозговая травма.
ЭНМГ - электронейромиография.
ЭОД - электроодонтодиагностика.
ЭП УВЧ - электрическое поле ультравысокой частоты.
Термины и определения
Амнезия антероградная. Утрата воспоминаний о текущих событиях, переживаниях, фактах, происходящих на период, следующий за острым этапом болезни, нередко на фоне остающихся с острого этапа нарушений сознания.
Амнезия конградная. Полное или частичное выпадение воспоминаний о событиях острого этапа болезни (периода нарушенного сознания).
Амнезия ретроградная. Выпадение из памяти впечатлений, событий, предшествовавших острому периоду болезни, травме.
Анизокория. Состояние, при котором выявляется разница размеров зрачков, возможна некоторая деформация зрачка.
Внутриротовой (интраоральный) доступ. Вид оперативного доступа, который выполняется путем последовательного рассечения слизистой оболочки полости рта, надкостницы, иногда и более глубоких слоев мягких тканей для визуализации отломков челюсти.
Гигиена полости рта. Комплекс мероприятий, направленный на снижение количества зубных отложений.
Дивергенция глазных яблок. Расхождение зрительных осей правого и левого глаза.
Закрытый перелом нижней челюсти. Вид перелома, при котором не возникает сообщения щели перелома с внешней средой через рану кожи, рану (разрыв) слизистой оболочки полости рта, либо через периодонтальную щель зуба.
Линия перелома. Плоскостное изображение плоскости перелома на рентгенограмме.
Наружный доступ. Вид оперативного доступа, который выполняется путем последовательного рассечения кожи, подкожной жировой клетчатки и более глубоких слоев мягких тканей для визуализации отломков челюсти.
Остеосинтез. Соединение отломков костей.
Остеосинтез внеочаговый. Остеосинтез, при котором фиксирующий элемент расположен вне щели перелома.
Остеосинтез закрытый. Остеосинтез без рассечения мягких тканей в области перелома.
Остеосинтез открытый. Остеосинтез со вскрытием мягких тканей в области перелома.
Остеосинтез очаговый. Остеосинтез, при котором фиксирующий элемент пересекает щель перелома.
Открытый перелом нижней челюсти. Вид перелома, при котором возникает сообщение щели перелома с внешней средой через рану кожи, рану (разрыв) слизистой оболочки полости рта, либо через периодонтальную щель зуба.
Пункция люмбальная. Пункция подпаутинного пространства спинного мозга на уровне II-IV поясничных позвонков с целью получения ликвора.
Репозиция отломков. Процедура, целью которой является сопоставление отломков кости.
Симптом нагрузки положительный. Появление резкой боли в области перелома за счет смещения отломков и раздражения поврежденной надкостницы при надавливании на заведомо неповрежденный участок челюсти.
Амнезия конградная. Полное или частичное выпадение воспоминаний о событиях острого этапа болезни (периода нарушенного сознания).
Амнезия ретроградная. Выпадение из памяти впечатлений, событий, предшествовавших острому периоду болезни, травме.
Анизокория. Состояние, при котором выявляется разница размеров зрачков, возможна некоторая деформация зрачка.
Внутриротовой (интраоральный) доступ. Вид оперативного доступа, который выполняется путем последовательного рассечения слизистой оболочки полости рта, надкостницы, иногда и более глубоких слоев мягких тканей для визуализации отломков челюсти.
Гигиена полости рта. Комплекс мероприятий, направленный на снижение количества зубных отложений.
Дивергенция глазных яблок. Расхождение зрительных осей правого и левого глаза.
Закрытый перелом нижней челюсти. Вид перелома, при котором не возникает сообщения щели перелома с внешней средой через рану кожи, рану (разрыв) слизистой оболочки полости рта, либо через периодонтальную щель зуба.
Линия перелома. Плоскостное изображение плоскости перелома на рентгенограмме.
Наружный доступ. Вид оперативного доступа, который выполняется путем последовательного рассечения кожи, подкожной жировой клетчатки и более глубоких слоев мягких тканей для визуализации отломков челюсти.
Остеосинтез. Соединение отломков костей.
Остеосинтез внеочаговый. Остеосинтез, при котором фиксирующий элемент расположен вне щели перелома.
Остеосинтез закрытый. Остеосинтез без рассечения мягких тканей в области перелома.
Остеосинтез открытый. Остеосинтез со вскрытием мягких тканей в области перелома.
Остеосинтез очаговый. Остеосинтез, при котором фиксирующий элемент пересекает щель перелома.
Открытый перелом нижней челюсти. Вид перелома, при котором возникает сообщение щели перелома с внешней средой через рану кожи, рану (разрыв) слизистой оболочки полости рта, либо через периодонтальную щель зуба.
Пункция люмбальная. Пункция подпаутинного пространства спинного мозга на уровне II-IV поясничных позвонков с целью получения ликвора.
Репозиция отломков. Процедура, целью которой является сопоставление отломков кости.
Симптом нагрузки положительный. Появление резкой боли в области перелома за счет смещения отломков и раздражения поврежденной надкостницы при надавливании на заведомо неповрежденный участок челюсти.
Описание
Переломом называется повреждение нижней челюсти с нарушением ее целостности.
Причины
В мирное время причинами переломов нижней челюсти чаще всего являются удары и ушибы, полученные при падении, сдавлении Сравнительно редко встречаются огнестрельные переломы. В настоящее время возросла частота транспортных и бытовых травм [1, 2, 3].
Перелом нижней челюсти обычно возникает в результате воздействия силы, которая превышает физические возможности костной ткани. Такой перелом называют травматическим [4].
Выделяют четыре механизма перелома нижней челюсти: перегиб, сдвиг, сжатие, отрыв.
Нижняя челюсть имеет форму дуги. В области углов, подбородочного отверстия и клыка, в области основания и шейки мыщелкового отростка, в наиболее тонких или изогнутых местах, челюсть испытывает наибольшее напряжение и ломается вследствие перегиба. Возможны несколько вариантов перелома нижней челюсти вследствие перегиба.
Механизм сдвига реализуется, когда сила приложена к участку кости, не имеющему опоры, и он сдвигается относительно имеющего опору участка кости. Так происходит продольный перелом ветви челюсти, если сила, направленная снизу вверх приложена к основанию нижней челюсти кпереди от ее угла на узком участке (в проекции венечного отростка). Передний отдел ветви смещается вверх по отношению к заднему, имеющему опору в суставной впадине. Механизм сдвига возможен и при переломах тела челюсти. Если сила приложена к основанию челюсти снизу вверх на участке, лишенном зубов, то он может, не имея опоры, сместиться вверх относительно участка с зубами.
Механизм сжатия проявляется, если действующая и противодействующая силы направлены друг к другу. При нанесении удара снизу вверх по основанию тела в области угла на широкой площади, ветвь нижней челюсти подвергается сжатию и ломается в поперечном направлении.
Механизм отрыва проявляется, когда удар направлен сверху вниз на области подбородка при плотно сжатых зубах. Происходит рефлекторное сокращение жевательных мышц и височная мышца, прикрепленная к тонкому венечному отростку, отрывает его от ветви.
Кроме травматического перелома выделяют переломы патологические, возникающие без участия травмирующего фактора в участках с уменьшенной прочностью из-за деструкции кости патологическими процессами (одонтогенная киста, остеобластокластома, хронический остеомиелит с обширной секвестрацией ) [6, 7].
Перелом нижней челюсти обычно возникает в результате воздействия силы, которая превышает физические возможности костной ткани. Такой перелом называют травматическим [4].
Выделяют четыре механизма перелома нижней челюсти: перегиб, сдвиг, сжатие, отрыв.
Нижняя челюсть имеет форму дуги. В области углов, подбородочного отверстия и клыка, в области основания и шейки мыщелкового отростка, в наиболее тонких или изогнутых местах, челюсть испытывает наибольшее напряжение и ломается вследствие перегиба. Возможны несколько вариантов перелома нижней челюсти вследствие перегиба.
Механизм сдвига реализуется, когда сила приложена к участку кости, не имеющему опоры, и он сдвигается относительно имеющего опору участка кости. Так происходит продольный перелом ветви челюсти, если сила, направленная снизу вверх приложена к основанию нижней челюсти кпереди от ее угла на узком участке (в проекции венечного отростка). Передний отдел ветви смещается вверх по отношению к заднему, имеющему опору в суставной впадине. Механизм сдвига возможен и при переломах тела челюсти. Если сила приложена к основанию челюсти снизу вверх на участке, лишенном зубов, то он может, не имея опоры, сместиться вверх относительно участка с зубами.
Механизм сжатия проявляется, если действующая и противодействующая силы направлены друг к другу. При нанесении удара снизу вверх по основанию тела в области угла на широкой площади, ветвь нижней челюсти подвергается сжатию и ломается в поперечном направлении.
Механизм отрыва проявляется, когда удар направлен сверху вниз на области подбородка при плотно сжатых зубах. Происходит рефлекторное сокращение жевательных мышц и височная мышца, прикрепленная к тонкому венечному отростку, отрывает его от ветви.
Кроме травматического перелома выделяют переломы патологические, возникающие без участия травмирующего фактора в участках с уменьшенной прочностью из-за деструкции кости патологическими процессами (одонтогенная киста, остеобластокластома, хронический остеомиелит с обширной секвестрацией ) [6, 7].
Эпидемиология
Переломы нижней челюсти являются наиболее распространенными среди всех переломов костей лицевого скелета [7, 8]. По данным разных авторов [5, 9, 10, 11, 12] удельный вес больных с переломами нижней челюсти составляет от 75% до 95% среди всех пациентов челюстно-лицевого профиля.
По материалам различных авторов, соотношение количества травм лица у мужчин и у женщин характеризуется значительным преобладанием мужского травматизма и составляет 8:1 [13]. Преобладание мужского травматизма над женским, отмечают и другие авторы [14, 15, 16].
По данным большинства авторов, наибольшее количество переломов приходится на возраст от 20 до 30 лет. Так, в литературе встречаются следующие данные: больные в возрасте 20-29 лет составляют 36,6%, в возрасте 30-39 лет - 25,9%. Люди старше 60 лет составляют 2,8% от количества пострадавших, дети в возрасте до 15 лет - 4% [17, 18].
По материалам различных авторов, соотношение количества травм лица у мужчин и у женщин характеризуется значительным преобладанием мужского травматизма и составляет 8:1 [13]. Преобладание мужского травматизма над женским, отмечают и другие авторы [14, 15, 16].
По данным большинства авторов, наибольшее количество переломов приходится на возраст от 20 до 30 лет. Так, в литературе встречаются следующие данные: больные в возрасте 20-29 лет составляют 36,6%, в возрасте 30-39 лет - 25,9%. Люди старше 60 лет составляют 2,8% от количества пострадавших, дети в возрасте до 15 лет - 4% [17, 18].
1,4 Особенности кодирования заболевания или состояния (группы заболеваний или состояний) по Международной статистической классификации болезней и проблем, связанных со здоровьем.
S02,6 - Перелом нижней челюсти.|
|
Классификация
1,5 Классификация заболевания или состояния (группы заболеваний или состояний).
А. По локализации:I. Переломы тела челюсти:
А) с наличием зуба в щели перелома;
Б) при отсутствии зуба в щели перелома.
II. Переломы ветви челюсти:
А) собственно ветви;
Б) венечного отростка;
В) мыщелкового отростка: основания, шейки, головки.
Б. По характеру перелома:
1. Без смещения отломков, со смещением отломков.
2. Линейные, оскольчатые.
Клиническая картина
Пациенты жалуются на боль в участке нижней челюсти, где произошел перелом. Боли усиливаются при движении челюсти, при откусывании и пережевывании пищи, особенно жесткой. Часто отмечается онемение кожи подбородка и нижней губы на стороне поражения, слизистой оболочки полости рта, альвеолярной части нижней челюсти, зубов на участке челюсти, расположенном мезиальнее щели перелома, что связано с травматическим повреждением нижнего альвеолярного нерва.
Мягкие ткани в области повреждения челюсти, как правило, отечны, без напряжения, конфигурация лица нарушена.
При пальпации нижней челюсти определяется патологическая подвижность костных отломков, костная крепитация, положительный симптом «непрямой нагрузки». Признаками смещения отломков являются нарушение смыкания зубных рядов, пальпация костной «ступеньки» по нижнему краю челюсти.
На слизистой альвеолярной части нижней челюсти в области повреждения нередко определяются разрывы, гематомы. Характерным признаком перелома нижней челюсти является расположение гематомы - с вестибулярной и язычной сторон альвеолярной части. Локализация гематомы соответствует месту перелома и совпадает с локализацией гематомы в околочелюстных мягких тканях. Нередко возможна визуализация костных фрагментов в полости рта.
Изменение прикуса зависит от характера смещения отломков, что связано с локализацией перелома. Большой отломок смещается вниз, а малый - кверху. По этой причине зубы малого отломка контактируют с антагонистами, а на большом отломке контакт с антагонистами отсутствует за исключением моляров, что приводит к возникновению открытого прикуса.
При переломах мыщелкового отростка определяется асимметрия амплитуды движений в ВНЧС справа и слева. При открывании рта подбородок смещается в сторону перелома, боковые движения нижней челюсти болезненны, амплитуда снижена.
Мягкие ткани в области повреждения челюсти, как правило, отечны, без напряжения, конфигурация лица нарушена.
При пальпации нижней челюсти определяется патологическая подвижность костных отломков, костная крепитация, положительный симптом «непрямой нагрузки». Признаками смещения отломков являются нарушение смыкания зубных рядов, пальпация костной «ступеньки» по нижнему краю челюсти.
На слизистой альвеолярной части нижней челюсти в области повреждения нередко определяются разрывы, гематомы. Характерным признаком перелома нижней челюсти является расположение гематомы - с вестибулярной и язычной сторон альвеолярной части. Локализация гематомы соответствует месту перелома и совпадает с локализацией гематомы в околочелюстных мягких тканях. Нередко возможна визуализация костных фрагментов в полости рта.
Изменение прикуса зависит от характера смещения отломков, что связано с локализацией перелома. Большой отломок смещается вниз, а малый - кверху. По этой причине зубы малого отломка контактируют с антагонистами, а на большом отломке контакт с антагонистами отсутствует за исключением моляров, что приводит к возникновению открытого прикуса.
При переломах мыщелкового отростка определяется асимметрия амплитуды движений в ВНЧС справа и слева. При открывании рта подбородок смещается в сторону перелома, боковые движения нижней челюсти болезненны, амплитуда снижена.
Диагностика
Критерии установления диагноза:
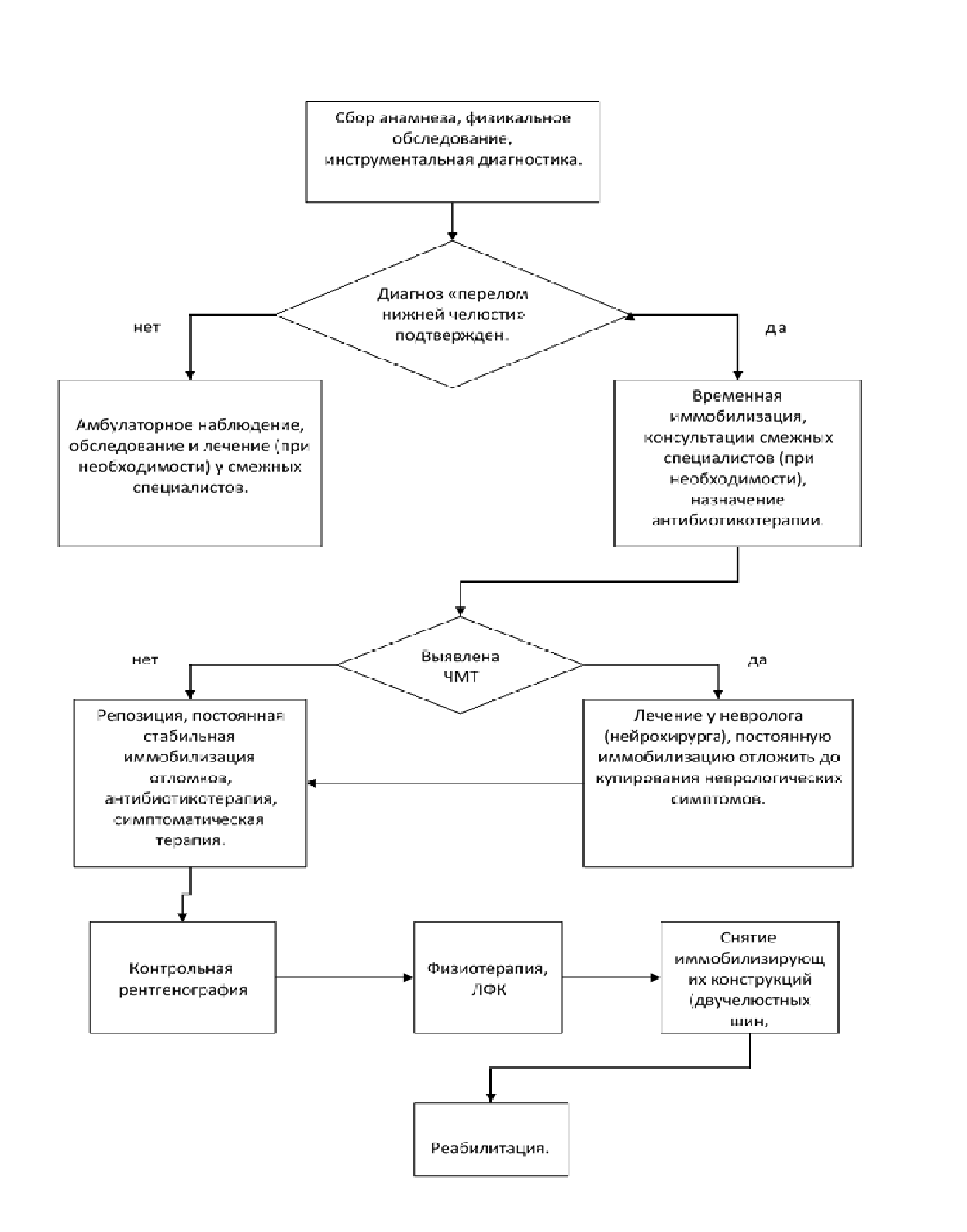
Диагноз перелом нижней челюсти устанавливается на основании жалоб, анамнестических данных, физикального и инструментального обследования.
• Рекомендуется при сборе анамнеза выяснить, когда, где и при каких обстоятельствах получена травма, обстоятельства противоправных действий, у пациентов с переломом нижней челюсти с целью уточнения диагноза [5, 21, 22, 23, 24, 25].
Уровень убедительности рекомендаций С (уровень достоверности доказательств - 5).
• Рекомендуется также уточнять, был ли факт головокружения, тошноты, рвоты, потери сознания, памяти у пациентов с переломом нижней челюсти для своевременной верификации ЧМТ и назначения консультации врача-невролога [5, 24, 25].
Уровень убедительности рекомендаций С (уровень достоверности доказательств - 5).
• Рекомендуется при внешнем осмотре определить нарушение конфигурации лица пациентам с переломом нижней челюсти за счет отека мягких тканей, гематомы, смещения подбородка в сторону от средней линии с целью уточнения диагноза и определения тактики лечения. На коже могут быть ссадины, кровоподтеки, раны [13, 26, 27].
Уровень убедительности рекомендаций с (уровень достоверности доказательств - 5).
• Рекомендуется проведение пальпации в симметричных точках пациентам с переломом нижней челюсти для определения наличия или отсутствия костных выступов, дефектов кости, болезненных участков [5, 25, 27, 28, 29, 30].
Уровень убедительности рекомендаций С (уровень достоверности доказательств - 5).
Комментарии. При перемещении пальцев по заднему краю ветви и основанию тела нижней челюсти можно определить костный выступ, дефект кости, болезненную точку.
Затем проверяют симптом нагрузки. С его помощью выявляют болезненный участок кости, соответствующий месту предполагаемого перелома. Во время обследования врач надавливает на заведомо неповрежденный участок нижней челюсти пострадавшего и в области перелома возникает резкая боль за счет смещения отломков и раздражения надкостницы.
Выявить наличие симптома осевой нагрузки можно разными способами.
· Указательный и большой пальцы правой руки фиксировать на подбородке пациента и проводить давление спереди назад, справа налево и слева направо.
Боль возникает при переломе в области ветви (угол, мыщелковый отросток) и тела нижней челюсти [5, 27, 28].
· Расположить пальцы на наружной поверхности улов нижней челюсти слева и справа и проводить давление по направлению к средней линии.
Боль возникает при переломе в области подбородка и тела нижней челюсти [5, 25, 28].
· Надавить большими пальцами снизу вверх на основание нижней челюсти в области углов с обеих сторон. Боль возникает при переломе в области ветви нижней челюсти [5, 29, 30].
• Рекомендуется при помощи иглы определить снижение или отсутствие чувствительности кожи нижней губы и подбородка на стороне повреждения, пациентам с переломом нижней челюсти с целью выявления признаков травмы или разрыва нижнего альвеолярного нерва [31].
Уровень убедительности рекомендаций В (уровень достоверности доказательств - 3).
• Рекомендуется ввести указательные пальцы в наружный слуховой проход с двух сторон пациентам с переломом нижней челюсти, прижать их к передней стенке слухового прохода и попросить открыть-закрыть рот и сместить челюсть влево-вправо, определяя синхронность и достаточность амплитуды движений отростков для определения перелома в области мыщелкового отростка [5, 29, 32].
Уровень убедительности рекомендаций С (уровень достоверности доказательств - 5).
Комментарии. При переломе мыщелкового отростка амплитуда движений будет меньше, чем на здоровой стороне, может отсутствовать перемещение поврежденной головки [5, 29, 32].
Затем осматривают полость рта. Определяют амплитуду движений нижней челюсти, уменьшение которой может свидетельствовать о переломе. Можно отметить смещение подбородка в сторону перелома при открывании рта. Обращают внимание на прикус, чаще всего нарушенный при переломе. Проводят перкуссию зубов - перкуссия зубов, между которыми проходит щель перелома, может быть болезненной.
При переломе тела челюсти в преддверии полости рта и с язычной стороны альвеолярной части часто определяется гематома, что является диагностическим признаком, при ушибе мягких тканей гематома возникает только с вестибулярной стороны.
Иногда в полости рта можно обнаружить рваную рану слизистой оболочки альвеолярной части, которая распространяется в межзубной промежуток, что указывает на расположение щели перелома.
Достоверным признаком перелома является симптом подвижности отломков.
• Рекомендуется указательные пальцы расположить на зубах предполагаемых отломков, пациентам с переломом нижней челюсти, большими пальцами фиксировать нижнюю челюсть в области ее основания со стороны кожных покровов и проводить движения рук в разных направлениях с целью определения наличия перелома, смещения и подвижности отломков [5, 18, 33].
Уровень убедительности рекомендаций С (уровень достоверности доказательств - 5).
Комментарии. Способ применяется для определения перелома в пределах зубного ряда. Происходит увеличение межзубного промежутка или раны слизистой оболочки альвеолярной части вследствие смещения отломков, изменение высоты расположения рядом стоящих зубов [5, 18, 33].
• Рекомендуется фиксировать меньший отломок в области ветви нижней челюсти, расположив первый палец левой руки со стороны полости рта на ее переднем крае, а остальные пальцы - снаружи на ее заднем крае; пальцами правой руки захватить большой отломок и смещать его в разных направлениях, пациентам с переломом нижней челюсти с целью с целью определения наличия перелома, смещения и подвижности отломков в области угла челюсти [5, 18, 33].
Уровень убедительности доказательств С (уровень достоверности доказательств - 5).
Комментарии. Этот способ используется при локализации щели перелома в области угла нижней челюсти [5, 18, 33].
Уровень убедительности рекомендаций С (уровень достоверности доказательств - 5).
Комментарии. Все переломы нижней челюсти в пределах зубного ряда инфицированы патогенной микрофлорой полости рта, преимущественно стафилококками и стрептококками.
Более современными методами диагностики являются ортопантомография и компьютерная томография лицевого отдела черепа.
• Рекомендуется применять рентгенографию костей лицевого скелета (в прямой и боковой проекциях) пациентам с переломом нижней челюсти с целью диагностики [38, 40, 41].
Уровень убедительности рекомендаций С (уровень достоверности доказательств - 5).
Комментарии. При рентгенографии костей лицевого скелета (в прямой и боковой проекциях) определяется вся нижняя челюсть, на которую наслаивается изображение шейного отдела позвоночника; видны кости свода черепа, пирамиды височных костей, верхняя челюсть, вход в глазницу, стенки полости носа, нижние отделы верхнечелюстных пазух. На рентгенограмме нижней челюсти в косой проекции определяются угол и ветвь нижней челюсти с отростками, нижние моляры. Иногда в вырезку нижней челюсти проецируется скуловая дуга прилежащей стороны [38, 40, 41].
• Рекомендуется выполнить ортопантомограмму пациентам с переломом нижней челюсти для оценки целостности нижней челюсти на всем ее протяжении [38, 40, 41, 42, 43].
Уровень убедительности рекомендаций С (уровень достоверности доказательств - 5).
Комментарии. С помощью этого метода можно довольно точно диагностировать переломы нижней челюсти в области мыщелкового отростка, ветви, тела и подбородка. Особенно ценным является четкое выявление линии перелома в подбородочном отделе, которая плохо выявляется на обычных рентгенограммах [38, 40, 41, 42, 43].
• Рекомендуется использовать компьютерную томографию челюстно-лицевой области на спиральном компьютерном томографе, для планировании лечения пациентов со сложным переломом нижней челюсти [15, 44, 45, 46].
Уровень убедительности рекомендаций С (уровень достоверности доказательств - 5).
Комментарии. Программное обеспечение современных компьютерных томографов позволяет определить, как линейные, так и угловые параметры черепа. Данная методика позволяет получить изображение черепа в масштабе 1:1, что имеет высокую диагностическую ценность [15, 44, 45, 46].
Уровень убедительности рекомендаций С (уровень достоверности доказательств - 5).
Уровень убедительности рекомендаций С (уровень достоверности доказательств - 5).
Комментарии. Для сотрясения головного мозга характерно выключение сознания (от нескольких секунд до 20 минут). Иногда - конградная, ретроградная, антероградная амнезия. Может быть тошнота или однократная рвота. Пациенты отмечают головную боль, головокружение, слабость, шум в ушах, потливость, приливы крови к лицу, нарушения сна. Может быть боль при движении глаз и чтении, дивергенция глазных яблок, вестибулярная гиперестезия. При легкой степени сотрясения головного мозга отмечается сужение зрачков, при тяжелой - расширение. Иногда - анизокория [5, 18]. Для ушиба головного мозга, в зависимости от степени тяжести, характерно выключение сознания (от нескольких минут до часов и недель), головная боль, тошнота, рвота (в том числе многократная), кон-, ретро- и антероградная амнезия, брадикардия или тахикардия, повышение АД, тахипноэ [5, 18, 19, 118].
Диагноз перелом нижней челюсти устанавливается на основании жалоб, анамнестических данных, физикального и инструментального обследования.
2,1 Жалобы и анамнез.
Пациенты предъявляют жалобы на боль в нижней челюсти, усиливающуюся при открывании и закрывании рта, жевании, отек мягких тканей, нарушение функции речи, жевания, неправильное смыкание зубов, онемение кожи в области подбородка и нижней губы, кровотечение изо рта [21, 22, 23]. При наличии сотрясения головного мозга может быть головокружение, головная боль, тошнота, рвота [5, 24, 25].• Рекомендуется при сборе анамнеза выяснить, когда, где и при каких обстоятельствах получена травма, обстоятельства противоправных действий, у пациентов с переломом нижней челюсти с целью уточнения диагноза [5, 21, 22, 23, 24, 25].
Уровень убедительности рекомендаций С (уровень достоверности доказательств - 5).
• Рекомендуется также уточнять, был ли факт головокружения, тошноты, рвоты, потери сознания, памяти у пациентов с переломом нижней челюсти для своевременной верификации ЧМТ и назначения консультации врача-невролога [5, 24, 25].
Уровень убедительности рекомендаций С (уровень достоверности доказательств - 5).
2,2 Физикальное обследование.
По клиническим признакам (сохранение или отсутствие сознания, контактность пациента, характер дыхания, пульса, уровень АД, мышечная защита или боль при пальпации органов брюшной полости) оценивают общее состояние пациента. Необходимо исключить повреждение других анатомических областей [5, 21, 26].• Рекомендуется при внешнем осмотре определить нарушение конфигурации лица пациентам с переломом нижней челюсти за счет отека мягких тканей, гематомы, смещения подбородка в сторону от средней линии с целью уточнения диагноза и определения тактики лечения. На коже могут быть ссадины, кровоподтеки, раны [13, 26, 27].
Уровень убедительности рекомендаций с (уровень достоверности доказательств - 5).
• Рекомендуется проведение пальпации в симметричных точках пациентам с переломом нижней челюсти для определения наличия или отсутствия костных выступов, дефектов кости, болезненных участков [5, 25, 27, 28, 29, 30].
Уровень убедительности рекомендаций С (уровень достоверности доказательств - 5).
Комментарии. При перемещении пальцев по заднему краю ветви и основанию тела нижней челюсти можно определить костный выступ, дефект кости, болезненную точку.
Затем проверяют симптом нагрузки. С его помощью выявляют болезненный участок кости, соответствующий месту предполагаемого перелома. Во время обследования врач надавливает на заведомо неповрежденный участок нижней челюсти пострадавшего и в области перелома возникает резкая боль за счет смещения отломков и раздражения надкостницы.
Выявить наличие симптома осевой нагрузки можно разными способами.
· Указательный и большой пальцы правой руки фиксировать на подбородке пациента и проводить давление спереди назад, справа налево и слева направо.
Боль возникает при переломе в области ветви (угол, мыщелковый отросток) и тела нижней челюсти [5, 27, 28].
· Расположить пальцы на наружной поверхности улов нижней челюсти слева и справа и проводить давление по направлению к средней линии.
Боль возникает при переломе в области подбородка и тела нижней челюсти [5, 25, 28].
· Надавить большими пальцами снизу вверх на основание нижней челюсти в области углов с обеих сторон. Боль возникает при переломе в области ветви нижней челюсти [5, 29, 30].
• Рекомендуется при помощи иглы определить снижение или отсутствие чувствительности кожи нижней губы и подбородка на стороне повреждения, пациентам с переломом нижней челюсти с целью выявления признаков травмы или разрыва нижнего альвеолярного нерва [31].
Уровень убедительности рекомендаций В (уровень достоверности доказательств - 3).
• Рекомендуется ввести указательные пальцы в наружный слуховой проход с двух сторон пациентам с переломом нижней челюсти, прижать их к передней стенке слухового прохода и попросить открыть-закрыть рот и сместить челюсть влево-вправо, определяя синхронность и достаточность амплитуды движений отростков для определения перелома в области мыщелкового отростка [5, 29, 32].
Уровень убедительности рекомендаций С (уровень достоверности доказательств - 5).
Комментарии. При переломе мыщелкового отростка амплитуда движений будет меньше, чем на здоровой стороне, может отсутствовать перемещение поврежденной головки [5, 29, 32].
Затем осматривают полость рта. Определяют амплитуду движений нижней челюсти, уменьшение которой может свидетельствовать о переломе. Можно отметить смещение подбородка в сторону перелома при открывании рта. Обращают внимание на прикус, чаще всего нарушенный при переломе. Проводят перкуссию зубов - перкуссия зубов, между которыми проходит щель перелома, может быть болезненной.
При переломе тела челюсти в преддверии полости рта и с язычной стороны альвеолярной части часто определяется гематома, что является диагностическим признаком, при ушибе мягких тканей гематома возникает только с вестибулярной стороны.
Иногда в полости рта можно обнаружить рваную рану слизистой оболочки альвеолярной части, которая распространяется в межзубной промежуток, что указывает на расположение щели перелома.
Достоверным признаком перелома является симптом подвижности отломков.
• Рекомендуется указательные пальцы расположить на зубах предполагаемых отломков, пациентам с переломом нижней челюсти, большими пальцами фиксировать нижнюю челюсть в области ее основания со стороны кожных покровов и проводить движения рук в разных направлениях с целью определения наличия перелома, смещения и подвижности отломков [5, 18, 33].
Уровень убедительности рекомендаций С (уровень достоверности доказательств - 5).
Комментарии. Способ применяется для определения перелома в пределах зубного ряда. Происходит увеличение межзубного промежутка или раны слизистой оболочки альвеолярной части вследствие смещения отломков, изменение высоты расположения рядом стоящих зубов [5, 18, 33].
• Рекомендуется фиксировать меньший отломок в области ветви нижней челюсти, расположив первый палец левой руки со стороны полости рта на ее переднем крае, а остальные пальцы - снаружи на ее заднем крае; пальцами правой руки захватить большой отломок и смещать его в разных направлениях, пациентам с переломом нижней челюсти с целью с целью определения наличия перелома, смещения и подвижности отломков в области угла челюсти [5, 18, 33].
Уровень убедительности доказательств С (уровень достоверности доказательств - 5).
Комментарии. Этот способ используется при локализации щели перелома в области угла нижней челюсти [5, 18, 33].
2,3 Лабораторные диагностические исследования.
• лабораторные диагностические исследования рекомендовано выполнять всем пациентам с переломами нижней челюсти перед оперативным вмешательством [18].Уровень убедительности рекомендаций С (уровень достоверности доказательств - 5).
Комментарии. Все переломы нижней челюсти в пределах зубного ряда инфицированы патогенной микрофлорой полости рта, преимущественно стафилококками и стрептококками.
2,4 Инструментальные диагностические исследования.
Инструментальные методы исследования применяют для уточнения клинического диагноза, оценки эффективности лечения и реабилитации [35, 36, 37]. Наиболее широко применяемым и одним из самых информативных методов исследования при переломах челюстей является рентгенография. На рентгенограмме определяется линия перелома [19, 20].Более современными методами диагностики являются ортопантомография и компьютерная томография лицевого отдела черепа.
• Рекомендуется применять рентгенографию костей лицевого скелета (в прямой и боковой проекциях) пациентам с переломом нижней челюсти с целью диагностики [38, 40, 41].
Уровень убедительности рекомендаций С (уровень достоверности доказательств - 5).
Комментарии. При рентгенографии костей лицевого скелета (в прямой и боковой проекциях) определяется вся нижняя челюсть, на которую наслаивается изображение шейного отдела позвоночника; видны кости свода черепа, пирамиды височных костей, верхняя челюсть, вход в глазницу, стенки полости носа, нижние отделы верхнечелюстных пазух. На рентгенограмме нижней челюсти в косой проекции определяются угол и ветвь нижней челюсти с отростками, нижние моляры. Иногда в вырезку нижней челюсти проецируется скуловая дуга прилежащей стороны [38, 40, 41].
• Рекомендуется выполнить ортопантомограмму пациентам с переломом нижней челюсти для оценки целостности нижней челюсти на всем ее протяжении [38, 40, 41, 42, 43].
Уровень убедительности рекомендаций С (уровень достоверности доказательств - 5).
Комментарии. С помощью этого метода можно довольно точно диагностировать переломы нижней челюсти в области мыщелкового отростка, ветви, тела и подбородка. Особенно ценным является четкое выявление линии перелома в подбородочном отделе, которая плохо выявляется на обычных рентгенограммах [38, 40, 41, 42, 43].
• Рекомендуется использовать компьютерную томографию челюстно-лицевой области на спиральном компьютерном томографе, для планировании лечения пациентов со сложным переломом нижней челюсти [15, 44, 45, 46].
Уровень убедительности рекомендаций С (уровень достоверности доказательств - 5).
Комментарии. Программное обеспечение современных компьютерных томографов позволяет определить, как линейные, так и угловые параметры черепа. Данная методика позволяет получить изображение черепа в масштабе 1:1, что имеет высокую диагностическую ценность [15, 44, 45, 46].
2,5 Иные диагностические исследования.
2,5,1 Повреждение внутренних органов.
• Рекомендуется при подозрении на повреждения внутренних органов обеспечить консультацию врача-хирурга пациентам с переломом нижней челюсти для определения тактики лечения и первоочередности лечебных мероприятий [5, 7, 9, 13, 18, 19, 20, 24, 118].Уровень убедительности рекомендаций С (уровень достоверности доказательств - 5).
2,5,2 Черепно-мозговая травма.
• Рекомендуется при выявлении признаков сотрясения головного мозга, ушиба головного мозга в кратчайшие сроки обеспечить консультацию врача-невролога (первичную) пациентам с переломом нижней челюсти для диагностики и (при подтверждении диагноза) лечения [5, 18, 19, 118].Уровень убедительности рекомендаций С (уровень достоверности доказательств - 5).
Комментарии. Для сотрясения головного мозга характерно выключение сознания (от нескольких секунд до 20 минут). Иногда - конградная, ретроградная, антероградная амнезия. Может быть тошнота или однократная рвота. Пациенты отмечают головную боль, головокружение, слабость, шум в ушах, потливость, приливы крови к лицу, нарушения сна. Может быть боль при движении глаз и чтении, дивергенция глазных яблок, вестибулярная гиперестезия. При легкой степени сотрясения головного мозга отмечается сужение зрачков, при тяжелой - расширение. Иногда - анизокория [5, 18]. Для ушиба головного мозга, в зависимости от степени тяжести, характерно выключение сознания (от нескольких минут до часов и недель), головная боль, тошнота, рвота (в том числе многократная), кон-, ретро- и антероградная амнезия, брадикардия или тахикардия, повышение АД, тахипноэ [5, 18, 19, 118].
|
|
Лечение
3,1 Ортопедическое лечение.
Различают временные методы ортопедической иммобилизации и лечебные (постоянные). Лечебные подразделяют на шины внелабораторного изготовления (индивидуальные назубные шины из металла или другого материала, стандартные назубные шины) и шины лабораторного изготовления (зубонадесневая шина Вебера простая или с наклонной плоскостью, шины Ванкевич и Ванкевич-Степанова, различные назубные капповые аппараты, надесневая шина Порта).Самыми распространенными индивидуальными назубными шинами являются проволочные шины с зацепными петлями С.С. Тигерштедта. Предложено несколько конструкций: гладкая шина-скоба, шина с распорочным изгибом, шина с зацепными петлями, шина с наклонной плоскостью [108].
• Рекомендуется использовать ортопедические методы фиксации отломков пациентам с переломом нижней челюсти с целью лечения [7, 18, 108, 109, 110, 111, 112].
Уровень убедительности рекомендаций С (уровень достоверности доказательств - 4).
Комментарии. Гладкую шину-скобу применяют для лечения пациентов с линейными переломами нижней челюсти в пределах зубного ряда без смещения отломков или с легковправимыми отломками и с переломами альвеолярной части нижней челюсти при условии, что на большем отломке находится не менее 4, а на меньшем - не менее 2 устойчивых зубов.
Шину-скобу с распорочным изгибом используют при переломах нижней челюсти без смещения или с легковправимыми отломками, если щель перелома проходит через альвеолярную часть, лишенную зубов; а также для фиксации отломков при переломе в пределах зубного ряда и наличии дефекта костной ткани не более 2-4 см Шина-скоба с распорочным изгибом может быть использована при наличии на меньшем отломке не менее 2, а на большем - 4 устойчивых зубов. Распорочный изгиб предотвращает боковое смещение отломков [7, 18].
При лечении пациентов с переломами нижней челюсти за пределами зубного ряда; с переломами с трудновправимыми, требующими вытяжения отломками; с двусторонними, двойными и множественными переломами нижней челюсти используют двучелюстные проволочные индивидуальные шины с зацепными петлями. Кроме того, шины с зацепными петлями применяют для фиксации отломков при переломах в пределах зубного ряда при наличии на большем отломке не менее 4, а на меньшем - не менее 2 устойчивых зубов [109, 110, 111, 112].
Также для постоянной фиксации используют стандартные шины, которые изготавливаются в заводских условиях и не требуют изгибания зацепных петель, в частности, назубные ленточные шины по предложению Эриха, Васильева [108].
При односторонних переломах иммобилизацию с помощью шин осуществляют в течение 4-5 недель, при двусторонних - до 6 недель [7].
3,2 Хирургическое лечение.
Показания:1. Невозможность репонировать смещенные костные фрагменты ортопедическими методами.
2. Недостаточное количество устойчивых зубов для стабильной фиксации костных отломков ортопедическими методами.
3. Интерпозиция мягких тканей в щели перелома.
4. Перелом вывих мыщелкового отростка [18].
Противопоказания:
1. Тяжелая общесоматическая патология в стадии декомпенсации.
2. Острая черепно-мозговая травма средней и тяжелой степеней [18].
• Рекомендуется широко применять хирургические методы фиксации отломков челюстей пациентам с переломом нижней челюсти, когда ортопедические методы не дают желаемого результата и (или) не могут обеспечить стабильной иммобилизации для восстановления прикуса и анатомического сопоставления отломков [68, 69, 70, 71, 72, 73, 74, 75, 76, 77, 78, 79].
Уровень убедительности рекомендаций С (уровень достоверности доказательств - 4).
Комментарии. Существует ряд условий, при которых хирургическим методам фиксации костных фрагментов нет альтернативы. Такими условиями являются: перелом челюсти за пределами зубного ряда; перелом в пределах зубного ряда при недостаточном количестве устойчивых зубов на отломках; значительное смещение отломков; патологический перелом, возникший в результате воспалительного или неопластического заболевания костной ткани; оскольчатые переломы тела и ветви челюсти; дефекты тела и ветви челюсти; необходимость проведения остеопластики и реконструктивных операций [68, 69, 70, 71, 72, 73, 74, 75, 76, 77, 78, 79].
• Рекомендуется применять остеосинтез с фиксацией костных фрагментов накостными мини-пластинами пациентам с переломом нижней челюсти как наиболее эффективный метод для достижения в любых клинических ситуациях абсолютной стабильности отломков с восстановлением прикуса и анатомическим сопоставлением отломков [70, 89, 90, 91, 92, 93, 94, 95, 96, 97].
Уровень убедительности рекомендаций А (уровень достоверности доказательств - 2).
Комментарии. Теоретические расчеты с использованием математического моделирования [70, 89, 90] показали, что в наибольшей степени принципам абсолютной стабильности соответствует лечение при переломах нижней челюсти с использованием внутренней фиксации посредством накостных пластин [70, 89, 90, 91, 92, 93, 94, 95, 96, 97].
• Рекомендуется при использовании мини-пластин для остеосинтеза, предпочитать интраоральный доступ к нижней челюсти пациентам с ее переломом с целью снижения травматизации хирургического вмешательства, сокращения времени операции и реабилитации, а также упрощения последующего удаления мини-пластин [98, 99, 100, 102, 103].
Уровень убедительности рекомендаций С (уровень достоверности доказательств - 4).
Комментарии. Использование интраорального доступа делает хирургическое вмешательство менее травматичным. Массив травмируемых тканей сводится к минимуму. Резко снижается риск кровотечения, травмирования лицевого нерва, сокращается время операции и, следовательно, время наркоза. Сокращаются сроки реабилитации пациента. При необходимости удалить пластину в позднем послеоперационном периоде сделать это значительно проще при интраоральном доступе. Наиболее часто внутриротовой доступ используют для фиксации отломков в области тела челюсти. Недостатком методики можно считать повышающийся риск инфицирования щели перелома в послеоперационном периоде при недостаточной гигиене полости рта [98, 99, 100, 102, 103].
3,3 Профилактика инфекций области хирургического вмешательства.
• Рекомендуется проводить профилактику инфекционных осложнений в области хирургического вмешательства (ИОХВ) всем пациентам с переломом нижней челюсти которым планируется хирургическое лечение с целью предупреждения их возникновения. [5, 7, 12, 13, 17, 18, 22, 25, 30, 33, 35, 58, 60, 63, 64, 65, 66, 68].Уровень убедительности рекомендаций А (уровень достоверности доказательств - 2).
Комментарии. Выбор режима и схемы ПАП основан на национальных и международных рекомендациях по профилактике ИОХВ [63,64,65,122,123,124,125].
• Рекомендуется применение дозы антибиотика используемая при проведении ПАП пациентам с переломом нижней челюсти соответствующая разовой терапевтической дозе данного препарата для предупреждения возникновения инфекционных осложнений [63,64,65,122,123,124,125].
Уровень убедительности рекомендаций А (уровень достоверности доказательств - 2).
• Рекомендуется проводить дополнительное интраоперационное введение разовой дозы антибиотика при продолжительности операции, превышающей 2 периода полувыведения препарата, используемого для ПАП [63,64,65,122,123,124,125].
Уровень убедительности рекомендаций С (уровень достоверности доказательств - 5).
• Рекомендуется, в большинстве случаев, однократное введение антибиотика; при необходимости продления профилактики препарат отменяют не позднее, чем через 24 часа после операции пациентам с переломом нижней челюсти, даже при наличии дренажа в целях ПАП [63,64,65,122,123,124,125].
• Уровень убедительности рекомендаций С (уровень достоверности доказательств - 5).
• Комментарии. При высоком риске осложнений допускается продление антибиотикопрофилактики на 24-48 часа в послеоперационном периоде [63,122, 127,128]. Продление антибиотикопрофилактики после окончания операции не увеличивает ее эффективность, но повышает риск селекции антибиотикорезистентных штаммов и осложнений, в частности, антибиотикоассоциированной диареи, вызванной с.difficile.
При IV типе ран «инфицированная рана» при старой травме, предшествующей инфекции, наличии гнойного отделяемого, нежизнеспособных тканей, рекомендована антибиотикотерапия.[63,122, 125,126,127,128].
Уровень убедительности рекомендаций А (уровень достоверности доказательств - 3).
Комментарии. К IV типу ран относят старые травматические раны с нежизнеспособными тканями, а также послеоперационные раны, в области которых уже имелась инфекция. Подразумевается, что микроорганизмы, способные вызвать ИОХВ, присутствовали в области оперативного вмешательства до операции.
Таблица 1. Антибактериальные препараты для ПАП у пациентов с переломами нижней челюсти.
| Тип оперативного вмешательства при переломах нижней челюсти | Препараты выбора | Альтернативные препараты¹ | Время введения | Способ введения | Примечания | Категория рекомендаций |
| Выполнение операций с I типом ран «чистая рана», когда развитие послеоперационных осложнений сопровождается высоким риском нанесения ущерба здоровья и жизни пациента [63, 65, 66,122,123,124,125,] | ||||||
| • Хирургическое лечение пациентов с закрытым переломом нижней челюсти наружным доступом без риска сообщения операционной раны с полостью рта | Цефазолин²** 1,0-2,0-3,0 г или Цефуроксим** 1,5 г | Ванкомицин ³**15 мг/кг Или Клиндамицин** 0,6-0,9 г [63,65,66,122,123,124,125] | За 30-60 мин. до разреза | Внутривенно капельно | ПАП проводится однократно | А |
| Выполнение операций с I I типом ран «условно чистая рана», имеющая сообщение с верхними дыхательными путями и III типом ран «контаминированная рана», имеющая сообщение с пищеварительным трактом [63, 65, 66,122,123,124,125,] | ||||||
| • Хирургическое лечение внутриротовым доступом • Планируется (есть риск) сообщения операционной раны с полостью рта • Оперативное лечение пациентов с открытым переломом нижней челюсти | Цефазолин²** 1,0-2,0-3,0 г + Метронидазол** 0,5-1,0 г; либо Цефуроксим** 1,5 г + Метронидазол** 0,5-1,0 г; либо Амоксициллин+ [Клавулановая кислота]** 1,2 г | Ванкомицин ³**15 мг/кг Клиндамицин** 0,6-0,9 г [63,65,66,122,123,124,125] ± Гентамицин**4 1,5 мг/кг (не более 120 мг) [63,65,66,122,123,124,125] | За 30-60 мин. до разреза | Внутривенно капельно | ПАП проводится однократно, за исключением контаминированных операций при которых антибиотики ПАП вводятся не более 24 часов после операции | В |
¹ аллергия на антибиотики-пенициллины, высокий риск MRSA.
² при массе тела пациента менее 80 кг - доза Цефазолина** 1 г, при массе от 80 кг до 130 кг - 2 г, при массе тела более 130 кг - 3 г.
³ - за 120 минут до разреза.
4- расчет дозы гентамицина проводят на идеальную массу тела.
3,4 Обезболивание.
Операции репозиции и остеосинтеза нижней челюсти обычно выполняются под общим комбинированным эндотрахеальным наркозом с интубацией трахеи через нос или сочетанной анестезией.• Рекомендуется проводить ортопедическое лечения под премедикацией и местной анестезией пациентам с переломом нижней челюсти с целью обезболивания [104, 105, 106, 107].
Уровень убедительности рекомендаций с (уровень достоверности доказательств -4).
Комментарии: При тяжелой сопутствующей патологии, повышающей операционно-анестезиологический риск, операции могут выполняться под местным обезболиванием с премедикацией.
3,5 Иное лечение.
3,5,1 Диетотерапия.
Пациент с переломом челюсти не может принимать пищу обычной консистенции и пережевывать ее. Это затрудняет нормальное протекание репаративных процессов костной ткани в связи недостаточностью поступления в организм белков, жиров, углеводов, микроэлементов, витаминов, а также нарушает деятельность ЖКТ. Таким образом, организация полноценного питания больных с переломами нижней челюсти является одной из главных задач, от правильного решения которой зависит исход лечения.• Рекомендуется назначать диетическое питание при заболеваниях полости рта и зубов и в послеоперационном периоде пациентам с переломом нижней челюсти при бимаксиллярном скреплении отломков и осуществлять кормление тяжелобольного пациента через рот и/или назогастральный зонд с целью послеоперационной реабилитации [108].
Уровень убедительности рекомендаций с (уровень достоверности доказательств - 5).
Комментарии: Первый челюстной стол имеет консистенцию сливок. Суточная энергетическая ценность первого челюстного стола составляет 3000-4000 калорий. Резиновая трубка поильника может быть введена через дефект зубной дуги на месте отсутствующего зуба. При наличии всех зубов трубку вводят в ретромолярную щель за зубом мудрости. Пищу из поильника, подогретую до 45-500 С, вводят многократно мелкими порциями до чувства насыщения пациента. Если при этом расходуется не весь объем пищи, то ее надо скормит пациенту после небольшого перерыва.
Питание через желудочный зонд осуществляют врачи или средний медперсонал. Зонд вводят в желудок через нижний носовой ход. Оставшаяся наружная часть должна быть достаточной длины для фиксации к голове пациента. Пищу небольшими порциями вводят через зонд с помощью шприца или воронки не реже 4 раз в сутки: в 9-13-14-18 часов и за 1 час до сна. При этом ее количество распределяется следующим образом: на завтрак прием 30% суточного объема пищи, на обед - 40%, на ужин - 20-25%, на второй ужин - 5-8%. Кормление с помощью желудочного зонда проводят обычно в течение 10-14 суток, редко - 3-4 недель. Это зависит от состояния пациента и тяжести повреждений. После извлечения зонда переходят на кормление из поильника [10, 32].
• Рекомендуется применять парентеральное питание пациентам с переломом нижней челюсти при бессознательном состоянии, затруднении глотания, с целью послеоперационной реабилитации [18].
Уровень убедительности рекомендаций С (уровень достоверности доказательств - 5).
Комментарии. В случае необходимости парентерального питания пострадавшего для внутривенного введения используют смеси аминокислот для парентерального питания [7, 12, 13, 18, 35, 61, 62, 70, 112]. Суточный объем питательных смесей составляет в среднем 1,0-1,5 литра. Их вводят 2-3 раза в сутки капельно, очень медленно (20-25 капель в минуту). Быстрое введение (30-50 капель в минуту) часто приводит к сильному ознобу, тошноте и рвоте [18].
• Рекомендуется назначать второй челюстной стол и применять физиологическое пероральное питание при использовании в лечении методов иммобилизации, позволяющих открывать рот пациентам с переломом нижней челюсти в целях послеоперационной реабилитации [10, 18, 108, 113].
Уровень убедительности рекомендаций С (уровень достоверности доказательств - 5).
Комментарии. Второй челюстной стол имеет консистенцию густой сметаны. Эта диета является как бы переходной к общему столу. Прием пищи осуществляется пациентом самостоятельно с помощью обычных столовых приборов [10, 18, 108, 113].
3,5,2 Физиотерапия.
• Рекомендуется активно применять физиотерапевтические методы пациентам с переломом нижней челюсти в целях комплексного лечения [18, 113, 114].Уровень убедительности рекомендаций С (уровень достоверности доказательств - 5).
Комментарии. На третьи сутки назначают воздействие электрическим полем ультравысокой частоты (ЭП УВЧ) на послеоперационную область. Терапия ЭП УВЧ улучшает кровообращение послеоперационной зоны, увеличивает отток лимфы, способствует быстрому рассасыванию гематомы, уменьшению отека, снижению интенсивности послеоперационных болей. Назначают воздействие ЭП УВЧ мощностью 20-30 Вт по 10 минут 5-7 процедур. Для уменьшения боли и воздействия на травмированный нижний альвеолярный нерв используют электрофорез импульсными токами, сочетанное воздействие импульсных токов и фонофорез лекарственных веществ с применением анестетиков, дарсонвализацию. При инфицированных открытых переломах используют воздействие переменным магнитным полем (ПеМП) с частотой 50 Гц в сочетании с антибиотиками. Под влиянием обладающего противовоспалительным действием магнитного поля уменьшается посттравматический отек, восстанавливается трофика тканей, повышается бактерицидный эффект антибиотиков. Курс лечения - 10 процедур по 20 минут [18, 113, 114].
• Рекомендуется через 2-3 дня после фиксации отломков назначать комплекс упражнений (лечебной физкультуры) пациентам с переломом нижней челюсти, при удовлетворительном общем состоянии, в целях комплексной реабилитации [70, 112, 115].
Уровень убедительности рекомендаций С (уровень достоверности доказательств - 5).
|
|
Реабилитация и амбулаторное лечение
• Рекомендуется проведение реабилитационных мероприятий всем пациентам с переломами нижней челюсти после осуществления лечебной иммобилизации костных фрагментов целью которых является полное физическое и социальное восстановление [18].
Уровень убедительности рекомендаций. С (уровень достоверности доказательств - 5).
Уровень убедительности рекомендаций. С (уровень достоверности доказательств - 5).
Профилактика
• Рекомендуется удалять из щели перелома зубы с обнаженным корнем пациентам с переломом нижней челюсти с целью предотвращения замедления процесса консолидации костных фрагментов [67, 115, 116].
Уровень убедительности рекомендаций С (уровень достоверности доказательств - 4).
Комментарии. Зубы с обнаженным корнем, замедляют процесс консолидации фрагментов кости, так как костные балочки растут только из одного отломка в другой и с корнем зуба не срастаются [67, 115, 116].
• Рекомендуется удалять из щели перелома зубы с различными патологическими изменениями и состояниями пациентам с переломом нижней челюсти для предотвращения развития воспалительных осложнений [67, 115, 117].
Уровень убедительности рекомендаций С (уровень достоверности доказательств - 4).
Комментарии. Зубы с периапикальными хроническими очагами всегда потенциально опасны в плане развития воспалительных осложнений. К этой же категории относятся зубы в случае перелома корня, подвижности, широкого обнажения цемента корня, вывихивания зуба из лунки [67, 115, 117].
• Рекомендуется удалять из щели перелома зубы, мешающие сопоставлению отломков пациентам с переломом нижней челюсти в целях беспрепятственного сопоставления и фиксации последних [67, 115, 116, 117].
Уровень убедительности рекомендаций С (уровень достоверности доказательств - 4).
Уровень убедительности рекомендаций С (уровень достоверности доказательств - 4).
Комментарии. Зубы с обнаженным корнем, замедляют процесс консолидации фрагментов кости, так как костные балочки растут только из одного отломка в другой и с корнем зуба не срастаются [67, 115, 116].
• Рекомендуется удалять из щели перелома зубы с различными патологическими изменениями и состояниями пациентам с переломом нижней челюсти для предотвращения развития воспалительных осложнений [67, 115, 117].
Уровень убедительности рекомендаций С (уровень достоверности доказательств - 4).
Комментарии. Зубы с периапикальными хроническими очагами всегда потенциально опасны в плане развития воспалительных осложнений. К этой же категории относятся зубы в случае перелома корня, подвижности, широкого обнажения цемента корня, вывихивания зуба из лунки [67, 115, 117].
• Рекомендуется удалять из щели перелома зубы, мешающие сопоставлению отломков пациентам с переломом нижней челюсти в целях беспрепятственного сопоставления и фиксации последних [67, 115, 116, 117].
Уровень убедительности рекомендаций С (уровень достоверности доказательств - 4).
Организация оказания медицинской помощи
Показания для экстренной госпитализации в отделение челюстно-лицевой хирургии:
1) наличие перелома нижней челюсти со смещения отломков.
2) наличие перелома нижней челюсти без смещения отломков сроком до 2 недель.
3) наличие перелома нижней челюсти без смещения отломков сроком более 2 недель с осложнениями в области ЛОР-органов и/или органа зрения, центральной или периферической нервной системы.
Показания для плановой госпитализации в отделение челюстно-лицевой хирургии:
Показания отсутствуют.
Комментарий. Поскольку перелом нижней челюсти является неотложным состоянием, всем пациентам с данным заболеванием рекомендуется госпитализироваться по неотложным показаниям.
Если с момента получения травмы прошло более 28 суток, то такое состояние не относится к данной группе заболеваний и кодируется по МКБ-10 Т90,2 - Последствия перелома черепа и костей лица.
1) наличие перелома нижней челюсти со смещения отломков.
2) наличие перелома нижней челюсти без смещения отломков сроком до 2 недель.
3) наличие перелома нижней челюсти без смещения отломков сроком более 2 недель с осложнениями в области ЛОР-органов и/или органа зрения, центральной или периферической нервной системы.
Показания для плановой госпитализации в отделение челюстно-лицевой хирургии:
Показания отсутствуют.
Комментарий. Поскольку перелом нижней челюсти является неотложным состоянием, всем пациентам с данным заболеванием рекомендуется госпитализироваться по неотложным показаниям.
Если с момента получения травмы прошло более 28 суток, то такое состояние не относится к данной группе заболеваний и кодируется по МКБ-10 Т90,2 - Последствия перелома черепа и костей лица.
Дополнительно
Отрицательно влияют на исход лечения:
• Присоединение инфекционных осложнений.
• Несоблюдение режима местной контактной гипотермии.
• Несоблюдение гигиены полости рта.
• Несоблюдение пациентом диеты и ограничений жевательной активности.
• Несоблюдение рекомендаций по лечебной физкультуре в послеоперационном периоде.
• Участие в контактных видах спорта в течение 3 месяцев.
• Отсутствие на контрольных осмотрах.
• Несоблюдение иных рекомендаций лечащего врача.
Уровень убедительности рекомендаций С (уровень достоверности доказательств - 5).
• Рекомендуется при выявлении признаков повреждения головного мозга и необходимости временной иммобилизации использовать межчелюстное лигатурное скрепление по методу Оливера-Айви, либо способы, не связанные с межчелюстной фиксацией отломков пациентам с переломом нижней челюсти с целью предупреждения риска аспирационной асфиксии рвотными массами [12].
Уровень убедительности рекомендаций С (уровень достоверности доказательств - 5).
Комментарии. Противопоказания к межчелюстной фиксации отломков при явлениях повреждения головного мозга связаны с риском аспирационной асфиксии в случае возникновения у пострадавшего рвоты. При использовании метода Оливера-Айви для того, чтобы в случае экстренной необходимости открыть рот больному и предотвратить аспирацию рвотных масс, достаточно перерезать 2 вертикальные проволочные лигатуры, проведенные через петли. Для восстановления межчелюстного скрепления достаточно вновь ввести в петли проволочные лигатуры и скрутить их концы [108, 119, 120].
• Рекомендуется разделять пациентов с переломом нижней челюсти, при наличии сочетанной черепно-мозговой травмы, на группы в зависимости от сочетания тяжести перелома костей лица и ЧМТ, в целях определения тактики лечения для определении сроков наложения временной иммобилизации и выполнения иммобилизации [18, 121, 122].
Уровень убедительности рекомендаций с (уровень достоверности доказательств - 5).
Комментарии. С практической точки зрения ЧМТ, сочетающуюся с переломами костей лица, разделяют на четыре группы (Гельман Ю.Е., 1977).
1)1 группа - тяжелая ЧМТ (ушиб головного мозга тяжелой и средней степени, внутричерепные гематомы) и тяжелые переломы костей лица (перелом верхней челюсти по Ле Фор I и II, одновременный перелом верхней и нижней челюсти). У половины таких больных развивается травматический шок. Временная иммобилизация у больных 1 группы возможна сразу после выведения их из шока. Лечебная иммобилизация с помощью ортопедических методов разрешена на 2-5 сутки с момента травмы и выведения из шокового состояния; остеосинтез проводится не ранее седьмых суток. 2) 2 группа - тяжелая ЧМТ и нетяжелая травма костей лица (перелом верхней челюсти по Ле Фор III, односторонние переломы верхней и нижней челюстей, скуловых костей ). Лечебная иммобилизация у больных 2 группы может быть осуществлена через 1-3 суток. 3) 3 группа - нетяжелая ЧМТ (сотрясение, ушиб головного мозга легкой степени) и тяжелые повреждения костей лица. Тяжесть состояния больных обусловлена, в основном, травмой лицевого скелета. Лечебная иммобилизация, в том числе остеосинтез, возможна уже в первые сутки после травмы. 4) 4 группа - нетяжелая ЧМТ и нетяжелые повреждения костей лицевого скелета. Иммобилизация отломков может быть проведена уже в первые часы после травмы. Раннее специализированное лечение не только не отягощает состояние больного, но и снижает опасность развития внутричерепных воспалительных явлений [18, 121, 122].
Уровень убедительности рекомендаций с (уровень достоверности доказательств -5).
Комментарии. Врачебная обработка полости рта состоит в тщательной очистке шин и зубов от остатков пищи при помощи орошения и промывания преддверия рта растворами антисептика. Промывание проводят путем орошения струей антисептика из шприца. После промывания проводят очистку шин от остатков пищи, застрявшей между шиной, зубами, десной, лигатурами и резиновыми кольцами. Во время перевязок необходимо контролировать положение шины, зацепных петель, состояние проволочных лигатур. Если имеются пролежни от петель на слизистой оболочке губ, десен или щек, их необходимо отогнуть в соответствующее положение. Ослабленные лигатуры подкручивают и подгибают к зубам.
• Рекомендуется. Обучать индивидуальной гигиене полости рта и зубов с подбором средств и предметов гигиены пациентов с переломом нижней челюсти в целях очистки полости рта, зубов и шин от остатков пищи [18, 58, 108].
Уровень убедительности рекомендаций в (уровень достоверности доказательств - 3).
Комментарии. Пациент должен ополаскивать рот антисептиками не только после каждого приема пищи, но и в промежутках между едой и перед сном. Пациент должен чистить зубы щеткой и зубной пастой, с помощью зубочистки извлекать оставшиеся после чистки остатки пищи [18, 58, 108].
• Присоединение инфекционных осложнений.
• Несоблюдение режима местной контактной гипотермии.
• Несоблюдение гигиены полости рта.
• Несоблюдение пациентом диеты и ограничений жевательной активности.
• Несоблюдение рекомендаций по лечебной физкультуре в послеоперационном периоде.
• Участие в контактных видах спорта в течение 3 месяцев.
• Отсутствие на контрольных осмотрах.
• Несоблюдение иных рекомендаций лечащего врача.
7,1 Временная иммобилизация.
• Рекомендуется осуществлять временную (транспортную) иммобилизацию пациентам с переломом нижней челюсти при отсутствии условий для осуществления лечебной иммобилизации (и/или специализированных кадров) и необходимости транспортировки в специализированной медицинское учреждение; при недостатке времени (в чрезвычайных ситуациях); тяжелом общесоматическом состоянии пострадавшего, являющегося временным относительным противопоказанием к лечебной иммобилизации в целях предотвращения смещения костных фрагментов, кровотечения, уменьшения боли [5, 7, 9, 13, 18, 19, 20, 24, 30, 35, 52].Уровень убедительности рекомендаций С (уровень достоверности доказательств - 5).
• Рекомендуется при выявлении признаков повреждения головного мозга и необходимости временной иммобилизации использовать межчелюстное лигатурное скрепление по методу Оливера-Айви, либо способы, не связанные с межчелюстной фиксацией отломков пациентам с переломом нижней челюсти с целью предупреждения риска аспирационной асфиксии рвотными массами [12].
Уровень убедительности рекомендаций С (уровень достоверности доказательств - 5).
Комментарии. Противопоказания к межчелюстной фиксации отломков при явлениях повреждения головного мозга связаны с риском аспирационной асфиксии в случае возникновения у пострадавшего рвоты. При использовании метода Оливера-Айви для того, чтобы в случае экстренной необходимости открыть рот больному и предотвратить аспирацию рвотных масс, достаточно перерезать 2 вертикальные проволочные лигатуры, проведенные через петли. Для восстановления межчелюстного скрепления достаточно вновь ввести в петли проволочные лигатуры и скрутить их концы [108, 119, 120].
• Рекомендуется разделять пациентов с переломом нижней челюсти, при наличии сочетанной черепно-мозговой травмы, на группы в зависимости от сочетания тяжести перелома костей лица и ЧМТ, в целях определения тактики лечения для определении сроков наложения временной иммобилизации и выполнения иммобилизации [18, 121, 122].
Уровень убедительности рекомендаций с (уровень достоверности доказательств - 5).
Комментарии. С практической точки зрения ЧМТ, сочетающуюся с переломами костей лица, разделяют на четыре группы (Гельман Ю.Е., 1977).
1)1 группа - тяжелая ЧМТ (ушиб головного мозга тяжелой и средней степени, внутричерепные гематомы) и тяжелые переломы костей лица (перелом верхней челюсти по Ле Фор I и II, одновременный перелом верхней и нижней челюсти). У половины таких больных развивается травматический шок. Временная иммобилизация у больных 1 группы возможна сразу после выведения их из шока. Лечебная иммобилизация с помощью ортопедических методов разрешена на 2-5 сутки с момента травмы и выведения из шокового состояния; остеосинтез проводится не ранее седьмых суток. 2) 2 группа - тяжелая ЧМТ и нетяжелая травма костей лица (перелом верхней челюсти по Ле Фор III, односторонние переломы верхней и нижней челюстей, скуловых костей ). Лечебная иммобилизация у больных 2 группы может быть осуществлена через 1-3 суток. 3) 3 группа - нетяжелая ЧМТ (сотрясение, ушиб головного мозга легкой степени) и тяжелые повреждения костей лица. Тяжесть состояния больных обусловлена, в основном, травмой лицевого скелета. Лечебная иммобилизация, в том числе остеосинтез, возможна уже в первые сутки после травмы. 4) 4 группа - нетяжелая ЧМТ и нетяжелые повреждения костей лицевого скелета. Иммобилизация отломков может быть проведена уже в первые часы после травмы. Раннее специализированное лечение не только не отягощает состояние больного, но и снижает опасность развития внутричерепных воспалительных явлений [18, 121, 122].
7,2 Уход за полостью рта.
• Рекомендуется сопровождать ежедневные перевязки гигиеническими мероприятиями пациентам с переломом нижней челюсти в целях очистки полости рта, зубов и шин от остатков пищи [18, 108].Уровень убедительности рекомендаций с (уровень достоверности доказательств -5).
Комментарии. Врачебная обработка полости рта состоит в тщательной очистке шин и зубов от остатков пищи при помощи орошения и промывания преддверия рта растворами антисептика. Промывание проводят путем орошения струей антисептика из шприца. После промывания проводят очистку шин от остатков пищи, застрявшей между шиной, зубами, десной, лигатурами и резиновыми кольцами. Во время перевязок необходимо контролировать положение шины, зацепных петель, состояние проволочных лигатур. Если имеются пролежни от петель на слизистой оболочке губ, десен или щек, их необходимо отогнуть в соответствующее положение. Ослабленные лигатуры подкручивают и подгибают к зубам.
• Рекомендуется. Обучать индивидуальной гигиене полости рта и зубов с подбором средств и предметов гигиены пациентов с переломом нижней челюсти в целях очистки полости рта, зубов и шин от остатков пищи [18, 58, 108].
Уровень убедительности рекомендаций в (уровень достоверности доказательств - 3).
Комментарии. Пациент должен ополаскивать рот антисептиками не только после каждого приема пищи, но и в промежутках между едой и перед сном. Пациент должен чистить зубы щеткой и зубной пастой, с помощью зубочистки извлекать оставшиеся после чистки остатки пищи [18, 58, 108].
|
|
Критерии оценки качества медицинской помощи
| № | Критерии качества | Оценка выполнения |
| 1. | Рентгенография костей лицевого скелета (в прямой и боковой проекциях) | Да/нет |
| 2. | Консультация врача-невролога при выявлении клинических признаков ЧМТ | Да/нет |
| 3. | Применение временной иммобилизации при транспортировке в специализированное медицинское учреждение | Да/нет |
| 4. | Удаление очагов хронической одонтогенной инфекции из щели перелома | Да/нет |
| 5. | Обезболивание | Да/нет |
| 6. | Стабильная фиксация отломков | Да/нет |
| 7. | Восстановление прикуса | Да/нет |
| 8. | Анатомическое сопоставление отломков | Да/нет |
| 9. | Применение физиотерапевтических методов | Да/нет |
| 10. | Применение ЛФК | Да/нет |
Список литературы
• Поленичкин, А.В. Сравнительная оценка и обоснование хирургических методов лечения больных с переломами костей лица: автореф. дис. … канд. мед. наук. Красноярск, 2008. 80 с.
• Feller K.U., Richter G., Schneider M., Eckelt U. // сombination of microplate and mini plate for osteosynthesis of mandibular fractures: an experimental study // J. Oral. Maxillofac. Surg., 2002. Vol. 31. 1. P. 78-83.
• Чжан Ш., Петрук П.С., Медведев Ю.А. Переломы нижней челюсти в области тела и угла: структура, эпидемиология, принципы диагностики. Часть I // Российский стоматологический журнал. 2017. Т. 21. 2. С. 100-103.
• Лепилин А.В., Бахтеева Г.Р., Ноздрачев В.Г. Клинико-статистический анализ травматических повреждений челюстно-лицевой области и их осложнений по материалам работы отделения челюстно-лицевой хирургии за 2008-2012 годы // Саратовский научно-медицинский журнал. 2013. Т. 9. 3. С. 425-428. Текст: электронный. URL: https://www.elibrary.ru/download/elibrary_21156629_87520577.pdf (дата обращения 19,02,2020).
• Афанасьев В.В., Останин А.А. Военная стоматология и челюстно-лицевая хирургия. М. ГЭОТАР-Медиа, 2008. 240 с.
• Haug R.H., Street с.C., Goltz M. Does plate adaptation affect stability. A biomechanical comparison locking and nonlocking plates // J. Oral. Maxillofac. Surg., 2002. Vol. 60. 11. P. 1319-1326.
• Афанасьев, В.В. Травматология челюстно-лицевой области: Руководство для врачей / В. В. Афанасьев. М. ГЭОТАР-Медиа, 2010. 255 с.
• Травматология челюстно-лицевой области; под ред. В.О. Кенбаева. Шымкент: Медицина, 2006. 118 с.
• Байриков И.М., Савельев А.Л., Сафаров С.А. Анализ уровня социализации больных с переломами нижней челюсти // Актуальные вопросы стоматологии: сборник научных трудов, посвященный 45-летию стоматологического образования в СамГМУ. Самара: ООО «Офорт»; ГБОУ ВПО СамГМУ Минздравсоцразвития России, 2011. С. 78-79.
• Савельев А.Л. Клинико-функциональное обоснование лечения больных переломами нижней челюсти с использованием индивидуальных накостных пластин: дис. … канд. мед. наук. Самара; СамГМУ, 2012. 182 с.
• Савельев А.Л., Самуткина М.Г., Федяев И.М., Фишер И.И. Эпидемиология травматических повреждений челюстно-лицевой области за последние 15 лет по данным клиники челюстно-лицевой хирургии СамГМУ // Вестник Российской Военно-Медицинской Академии. Приложение, 2011. 1. С. 67.
• Шаргородский, А.Г. Травмы мягких тканей и костей лица. Руководство для врачей. М. ГЭОТАР-Мед, 2004. 384 с.
• Безруков В.М., Робустова Т.Г. Руководство по хирургической стоматологии и челюстно-лицевой хирургии. М. Медицина, 2000. Т. 1. 558 с.
• Miotti A. Moroldo L., Selerno M., La Rosa R. A statistical epidiological study of craniomaxillofacial trauma in the Friuli // Minerva Stomatol., 1996. Vol. 45. P. 149-156.
• Moos K.F. Diagnosis of facial bone fractures // Ann. R. сoll. Surg. Engl., 2002. 6. P. 429-431.
• Schug T., Rodemer H., Neupert W et al. Treatment of complex mandibular fracture using titanium mesh // J. Maxillofac. Surg., 2000. Vol. 28. 4. P. 235-237.
• Rosendo GA, Daniel NJM, Esperanza P. Fractura mandibular. Reporte de caso clínico. XXVII Сongreso Multidisciplinario сolegio de Odontólogos de Nuevo León, a. c. Sexto concurso de carteles de investigación y casos clínicos. Memorias. Monterrey, Nuevo León. 5 - 6 Abril de 2019.
• Челюстно-лицевая хирургия: национальное руководства / под ред. А. А. Кулакова. М. ГЕОТАР-Медиа, 2019. 692 с.
• Ромодановский П.О., Арутюнов С.Д., Баринов Е.Х., Фролов Д.В. Экспертный анализ и социологическое исследование неблагоприятных исходов оказания медицинской помощи пациентам с травмами верхней и нижней челюстей // Медицинская экспертиза и право. 2011. 4. С. 32-35. Текст: электронный. URL: https://www.elibrary.ru/download/elibrary_16716331_90372903.pdf (дата обращения 19,02,2020).
• Ушницкий И.Д., Терентьева З.В., Егорова А.И., Ширко О.И., Мелоян А.Г. Социально-гигиенические аспекты переломов нижней челюсти в Якутии // Стоматология, 2015. 6. С. 26-28.
• Балин В.Н., Александров Н.М., Малышев В.А. Клиническая оперативная челюстно-лицевая хирургия: руководство для врачей. 4-е изд., перераб. и дополн. СПб. СпецЛит, 2005. 574 с.
• Moreno J.C., Fernandez A., Ortiz J.A. сomplication rates associated with different treatments for mandibular fracture // J. Oral Maxillofac. Surg., 2000. 3. P. 273-280.
• Wolfe A.S., вaber S. Facial Fractures. Thieme, 1993. 160 p.
• Байриков, И.М. Оценка методов лечения и реабилитации больных с переломами нижней челюсти: автореф. дис. … д-ра мед. наук. Самара, 1997. 32 с.
• Травматология челюстно-лицевой области. Под ред. В.О. Кенбаева. Шымкент: Медицина, 2006. 118 с.
• Пудов, А.Н. Распространенность и клиническое значение хронической алкогольной интоксикации при острой травме нижней челюсти // Вестник новых медицинских технологий. Электронное издание. 2016. 3. С. 94-99. Текст: электронный. URL: https://www.elibrary.ru/download/elibrary_26674089_61484353.pdf (дата обращения 19,02,2020).
• Робустова, Т.Г. Хирургическая стоматология, 3-е изд. М. Медицина, 2003. 504 с.
• Малышев В.А., Кабаков Б.Д. Переломы челюстей. СПб., 2005. 224 с.
• Набоков, А.Ю. Современный остеосинтез. М. Медицинское информационное агентство, 2007. 400 с.
• Тимофеев А.А. Руководство по челюстно-лицевой хирургии и стоматологии. Киев: Червона Рута-Туре, 2002. 1024 с.
• Бахтеева, Г. Р. Особенности течения и лечения переломов нижней челюсти, сопровождающихся повреждением третьей ветви тройничного нерва: автореф. дис. ... канд. мед. наук / ГОУ ВПО Сарат.гос.мед.ун-т им. В.И. Разумовского Росздрава . Волгоград, 2010. 22 с.
• Тимофеев, А.А. Основы челюстно-лицевой хирургии: учебное пособие. М. Медицинское информационное агентство, 2007. 696 с.
• Roig T.P., Molina M.P., González A.G.-R. Fracturas mandibulares. Protocolos clínicos de la Sociedad Española de сirugía Oral y Maxilofacial. 2014/01. сapitulo 12. P. 181-189.
• Новосядлая Н.В., Беловолова Р.А., Новгородский С.В., Новгородский В.Е. Диагностические и прогностические клинико-иммунологические критерии характера течения посттравматического периода у лиц с открытыми переломами нижней челюсти // Стоматология, 2003. 3. С. 15-19.
• Совершенствование оказания медицинской помощи больным с переломами нижней челюсти на всех этапах реабилитации / И.М. Байриков [] // Управление качеством медицинской помощи. 2017. 1-2. С. 59-65.
• Чжан Ш., Петрук П.С., Медведев Ю.А. Переломы нижней челюсти в области тела и угла: принципы хирургического лечения. Часть II // Российский стоматологический журнал. 2017. Т. 21. 4. С. 203-207.
• Флейшер Г.М. Особенности клинической картины переломов нижней челюсти // Символ науки. 2016. Т. 14, № 2-3. С. 178-182.
• Васильев А.Ю., Воробьев Ю.И., Серов Н.С. Лучевая диагностика в стоматологии: учеб. пособие. М. ГЭОТАР-Медиа, 2008. 176 с.
• Васильев, А.Ю. Лучевая диагностика повреждений челюстно-лицевой области: Руководство для врачей / А. Ю. Васильев, Д. А. Лежнев. М. ГЭОТАР-Медиа, 2010. 79 с.
• Рабухина Н.А., Аржанцев А.П. Рентгенодиагностика в стоматологии. М. Медицинское информационное агентство, 2003. 452 с.
• Аржанцев, А.П. Рентгенологические проявления травм нижней зоны лицевого отдела черепа // Стоматология для всех. 2015. 2. С. 52-56.
• Аржанцев, А.П. Методики рентгенологического исследования и рентгенодиагностика в стоматологии. М. Мегаполис, 2015. 260 с.
• Атлас рентгенологических укладок / М.В. Ростовцев []. 2-е изд, испр. и доп.; под ред. М.В. Ростовцева. М. ГЕОТАР-Медиа, 2019. 320 с.
• Митрошенков П.Н. Реконструктивная хирургия тотальных и субтотальных дефектов верхней, средней и нижней зон лицевого скелета: руководство для врачей. СПб. Синтез Бук, 2010. 416 с.
• Хофер, М. Компьютерная томография. Базовое руководство, 2-е издание. М. Медицинская литература, 2008. 224 с.
• Щетинин В.В., Гарафутдинов Д.М., Архаров С.Л. Изучение топографии оптической плотности костной ткани нижней челюсти методом компьютерно-томографической денситометрии // Диагностика в имплантологии, 2000. 4. С. 41-45.
• Сафаров, С. А. Клинико-функциональное обоснование использования внутрикостных фиксаторов, покрытых композиционными материалами, для остеосинтеза переломов нижней челюсти: автореф. дис. ... канд. мед. наук: 14,01,14 / ГБОУ ВПО СамГМУ МЗ РФ. Самара, 2014. 24 с.
• Савельев, А.Л. Методика применения реовазографии для оценки послеоперационного состояния больных с переломами нижней челюсти // Актуальные вопросы стоматологии: сборник научных трудов, посвященный 45-летию стоматологического образования в СамГМУ. Самара: ООО «Офорт»; ГБОУ ВПО СамГМУ Минздравсоцразвития России, 2011. С. 90-91.
• Артюшкевич, А.С. Динамика регионарного кровообращения и остеогенеза при оперативном лечении переломов нижней челюсти // Современная стоматология, 2015. 1 (60). С. 69-75.
• Alagiakrishnan K., Juby A., Hanley D. [et al. Role of vascular factors in osteoporosis // J. Gerontol. вiol. Sci. Med. Sci., 2003. Vol. 38. P. 362-366.
• Алимова М.Я., Григорьева О.Ш. Особенности результатов электромиографического обследования пациентов с дистальной окклюзией зубных рядов // Ортодонтия. 2010. 3. С. 45-46.
• Кречина Е., Лисовская В.Т., Погабало И.В. Электромиографическая оценка функционального состояния височных и жевательных мышц у пациентов с тесным положением фронтальных зубов при различной окклюзии // Стоматология, 2010. 3. С. 69-71.
• Лисова Т.В., Слабковская А.Б. Индивидуальные особенности деятельности жевательных мышц в норме // Ортодонтия, 2004. 3-4. С. 13-15.
• Набиев Н.В., Климова Т.В., Панкратова Н.В., Персин Л.С. Современное электромиографическое исследование в стоматологии // Ортодонтия, 2009. 1. С. 71-72.
• Набиев Н.В., Климова Т.В., Персин Л.С., Панкратова Н.В. Электромиография - современный метод диагностики функционального состояния мышц челюстно-лицевой области // Ортодонтия, 2009. 2. С. 13-19.
• Попов С.А., Сатыго Е.А. Диагностическое значение стандартизированных электромиографических показателей жевательных мышц // Российский стоматологический журнал, 2009. 6. С. 18-20.
• Ferrario V.F., Tartaglia G.M., Sforza с. The use of surface electromyography as a tool in differentiating temporomandibular disorders from neck disorders // Man Ther., 2007. 12. P. 372-379.
• Кужонов Д.Т. Стоматологический статус больных с переломами нижней челюсти и его влияние на развитие воспалительных осложнений: автореф. дис. … канд. мед. наук. Нальчик, 2005. 21 с.
• Байриков И.М., Имбряков В., Савельев А.Л., Самуткина М.Г., Фишер И.И. Реабилитация больных с травматической болезнью при переломах нижней челюсти // Вестник Российской Военно-Медицинской Академии. Приложение, 2011. 1. С. 66.
• Амро Абдаллах. Клиническая картина и лечение переломов нижней челюсти у взрослых людей в различные возрастные периоды: автореф. дис. ... канд. мед. наук. Военно-медицинская академия им. С.М. Кирова. Санкт-Петербург, 2013. 20 с.
• Швырков, М.Б. Рациональное введение кальцитонина для стимуляции репаративной регенерации нижней челюсти // Стоматология, 2011. Т. 90. 6. С. 32-34.
• Каладзе Н., Безруков С.Г. Особенности консолидации перелома нижней челюсти под воздействием физиофармтерапии // Вестник физиотерапии и курортологии, 2015. Т. 23. 3. С. 59-62.
• Профилактика инфекций области хирургического вмешательства: Клинические рекомендации. 2018. Москва: Некоммерческое партнерство «Национальная ассоциация специалистов по контролю инфекций, связанных с оказанием медицинской помощи». 87 с. Текст: электронный. URL: http://antimicrob.net/wp-content/uploads/2018-Profilaktika-IOKHV.pdf (дата обращения: 30,03,2020).
• Domingo F., Dale E., Gao с. [et al. A single-center retrospective review of postoperative infectious complications in the surgical management of mandibular fractures: postoperative antibiotics add no benefit. J Trauma Acute сare Surg. 2016;81:1109-1114.
• Habib p.m, Wong A.D., Schreiner G.C. [et al. Postoperative prophylactic antibiotics for facial fractures: a systematic review and meta-analysis. Laryngoscope 2019;129(01):82-95.
• Милюкова Д.Ю. Тактика лечения переломов, проходящих через лунку зуба на нижней челюсти: автореф. дис. ... канд. мед. наук. Специальность: 14,01,14 - Стоматология / Первый московский государственный медицинский университет им. И.М. Сеченова. Москва, 2013. 24 с.
• Белоус, И.М. Биометрические аспекты хирургической тактики комплексного лечения сочетанной травмы челюстно-лицевой области: дис. канд. мед. наук. В. Новгород, 2005. 173 с.
• Карасенков, Я.Н. Лечение больных с открытыми переломами нижней челюсти: автореф. дис. … канд. мед. наук / Я.Н. Карасенков. М., 2004. 46 с.
• Логинов О.А., Савельев А.Л. Моделирование напряженно-деформируемого состояния нижней челюсти при остеосинтезе накостными пластинами // Вестник Самарского государственного технического университета, 2011. 4. С. 169-172.
• Мирсаева Ф.З., Изосимов А.А. Оптимизация комплексного лечения переломов нижней челюсти // Институт стоматологии. 2010. 2. С. 6-7.
• Панкратов, А.С. Совершенствование методов оперативного лечения больных с переломами нижней челюсти и их осложнениями: дис. … д-ра мед. наук. М., 2005. 296 с.
• Семенников В.И. Оптимизация методов фиксации костных фрагментов лицевого черепа и их клинико-биомеханическая оценка: автореф. дис. … д-ра мед. наук. Барнаул, 2004. 42 с.
• Сипкин А.М., Ахтямова Н.Е., Ахтямов Д.В. Характеристика острых травматических повреждений челюстно-лицевой области // РМЖ. 2016. Т. 24. 14. С. 932-935. Текст: электронный. URL: https://www.elibrary.ru/download/elibrary_27185903_34414040.pdf (дата обращения 19,02,2020).
• Панкратов, А.С. Вопросы клинической эффективности современных технологий остеосинтеза нижней челюсти // Клиническая стоматология. 2018. 1 (85). С. 44-49. Текст: электронный. URL: https://www.elibrary.ru/download/elibrary_32759411_17378365.pdf (дата обращения 19,02,2020).
• Воробьев А.А., Фомичев Е.В., Михальченко Д.В. Современные методы остеосинтеза нижней челюсти (аналитический обзор) // Вестник Волгоградского государственного медицинского университета. 2017. 2 (62). С. 8-14. Текст: электронный. URL: https://www.elibrary.ru/download/elibrary_29750651_16184976.pdf (дата обращения 19,02,2020).
• Ляпина, Я.А. Обоснование выбора метода иммобилизации при переломах нижней челюсти у больных хроническим генерализованным пародонтитом тяжелой степени: автореф. дис. ... канд. мед. наук: 14,01,14. Волгоград, 2012. 23 с.
• Хандзрацян, А.С. Диагностика и лечение переломов нижней челюсти у лиц, злоупотребляющих алкоголем: автореф. дис. ... канд. мед. наук: 14,01,14 / ФГБУ ЦНИИС и ЧЛХ Минздрава России, ГБУЗ Гор. клинич. больница № 36 г. Москвы. М. 2013. 26 с.
• Девдариани Д.Ш., Куликов А.В., Багненко А.С., Баранов И.В., Александров А.Б., Арно А.В. Выбор метода остеосинтеза при высоких переломах мыщелкового отростка нижней челюсти // Вестник Северо-западного государственного медицинского университета им. И.И. Мечникова, 2016. 4. С. 56-61.
• Федотов, С.Н. Мало- и минимально инвазивный остеосинтез нижней челюсти с использованием металлических спиц при переломах / МЗ РФ, СНЦ МЗО РАМН, СевГМУ. Архангельск: Изд-во СевГМУ, 2014. 230 с.
• Монаков В.А., Монаков Д.В., Савельев А.Л. Обоснование применения чрескостных остеофиксаторов с покрытием и комбинированной режущей кромкой для остеосинтеза переломов нижней челюсти // Материалы межрегиональной научно-практической конференции с международным участием, посвященной 110-летию со дня рождения профессора С.П. Вилесова. Россия, Оренбург, 2015. С. 63-71.
• Ефимов Ю.В., Стоматов Д.В., Ефимова Е.Ю., Стоматов А.В., Долгова И.В. Лечение больных с односторонним косым переломом нижней челюсти // Медицинский вестник Северного Кавказа, 2019. 1. С. 94-97.
• Ефимов Ю.В., Стоматов Д.В., Поройский С.В., Ефимова Е.Ю., Иванов П.В. Использование костного шва при косых переломах нижней челюсти // Волгоградский научно-медицинский журнал, 2015. 1. С. 53-54.
• Ефимов Ю.В., Стоматов Д.В., Ефимова Е.Ю., Тельянова Ю.В., Долгова И.В., Стоматов А.В. Анализ результатов использования костного шва у пострадавших с косыми переломами нижней челюсти // Вестник Волгоградского государственного медицинского университета, 2015. 4. С. 60-62.
• Стоматов, Д. В. Эффективность использования остеосинтеза проволочным швом у больных с односторонним косым переломом нижней челюсти: автореф. дис. ... канд. мед. наук: 14,01,14 / ФГБОУ ВО ПГУ . Волгоград, 2017. 24 с.
• Ostrander в.T., Wang H.D., сusano A., Manson P.N., Nam A.J., Dorafshar A.H. сontemporary management of mandibular fracture nonunion-a retrospective review and treatment algorithm. J Oral Maxillofac Surg 2018; 76 (07) 1479-1493.
• Васильев А.М. Сравнительная оценка хирургических методов лечения переломов нижней челюсти в области угла: автореф. дис. … канд. мед. наук. Тверь, 2006. 16 с.
• Панкратов А.С., Робустова Т.Г., Притыко А.Г. Теоретическое и практическое обоснование методов оперативного лечения больных с переломами нижней челюсти и их осложнениями // Российский стоматологический журнал, 2005. 1. С. 42-45.
• Байриков И.М., Логинов О.А., Савельев А.Л. Сравнительный математический анализ применения накостных пластин для остеосинтеза отломков нижней челюсти // Вестник Российской Военно-Медицинской Академии. Приложение, 2011. 1. С. 65-66.
• Байриков И.М., Логинов О.А., Савельев А.Л. Компьютерное моделирование напряженно-деформированного состояния костной ткани больных с переломами нижней челюсти // Материалы XVI Международной конференции челюстно-лицевых хирургов и стоматологов «Новые технологии в стоматологии». Россия, Санкт-Петербург, 16-18 мая 2011 г. С. 35-36.
• вerner T., Essig H., Schumann P. [et al.] сlosed versus open treatment of mandibular condylar process fractures: a meta-analysis of retrospective and prospective studies. J сraniomaxillofac Surg 2015;43(08):1404-1408. DOI: 10,1016/j.jcms.2015,07,027. Epub 2015 Aug 4.
• сuéllar J., Santana J., Núñez с., Villanueva J. Surgical or conservative treatment for mandibular condyle fractures // Medwave. 2018 Nov 26;18(7):e7352. DOI: 10,5867/medwave.2018,07,7351.
• сhrcanovic в.R. Surgical versus non-surgical treatment of mandibular condylar fractures: a meta-analysis. Int J Oral Maxillofac Surg. 2015 Feb; 44(2):158-79.
• Yao S., Zhou J., Li Z. сontrast analysis of open reduction and internal fixation and non-surgical treatment of condylar fracture: a meta-analysis. J сraniofac Surg. 2014 Nov;25(6):2077-80.
• Al-Moraissi E.A., Ellis E. 3rd. Surgical treatment of adult mandibular condylar fractures provides better outcomes than closed treatment: a systematic review and meta-analysis. J Oral Maxillofac Surg. 2015 Mar;73(3):482-93.
• Liu Y., вai N., Song G., Zhang X., Hu J., Zhu S., Luo E. Open versus closed treatment of unilateral moderately displaced mandibular condylar fractures: a meta-analysis of randomized controlled trials. Oral Surg Oral Med Oral Pathol Oral Radiol. 2013 Aug;116(2):169-73.
• Kyzas P.A., Saeed A., Tabbenor O. The treatment of mandibular condyle fractures: a meta-analysis. J сraniomaxillofac Surg. 2012 Dec;40(8):e438-52.
• Инкарбеков Ж.Б. Накостный малотравматичный остеосинтез при переломах нижней челюсти // Российский стоматологический журнал, 2008. 1. С. 39-41.
• Rozeboom A.V.J., Dubois L., вos R.R.M., Spijker R., de Lange J. сlosed treatment of unilateral mandibular condyle fractures in adults: a systematic review. Int J Oral Maxillofac Surg. 2017 Apr;46(4):456-464.
• Медведев, Ю.А. Тактика лечения пациентов с переломами нижней челюсти в пределах зубного ряда [Текст] / Ю.А. Медведев, Д.Ю. Милюкова // Стоматология. 2012. 6. С. 48-51.
• Байриков И.М., Столяренко П.Ю., Солтанов А.Д. Применение новой турбинной пневмомашины для остеосинтеза при переломах нижней челюсти // Оренбургский медицинский вестник. 2019. Т. 7. 4 (28). С. 8-10.
• Чхаидзе, Г.Г. Сравнительный анализ эндоскопического и традиционных методов остеосинтеза при переломах мыщелковых отростков нижней челюсти: автореф. дис. ... канд. мед. наук: 14,01,14. М., 2015. 25 с.
• Маградзе, Г.Н. Лечение переломов мыщелкового отростка нижней челюсти с применением трансбукальной системы и биодеградируемых минипластин: автореф. дис. ... канд. мед. наук: 14,01,14 / ФГБВОУ ВПО ВМА им. С. М. Кирова МО РФ. СПб., 2013. 20 с.
• Байриков И.М., Капишников А.В., Столяренко П.Ю., Зельтер П.М., Гафаров Х.О. Клинико-рентгенологическое обоснование метода пролонгированной регионарной блокады ветвей тройничного нерва // Оренбургский медицинский вестник. 2016. Т. 4, № 3. С. 28-31. Текст: электронный. URL: https://www.orgma.ru/files/Izdatelstvo/OMV/N/орен_мед_вестник_3_web_16.pdf (дата обращения 19,02,2020).
• Труханова И.Г., Гольдин Е.О., Гуреев А.Д., Столяренко П.Ю. Клинический случай применения методики нейростимуляции при установке катетера для продленной анестезии 3-й ветви тройничного нерва // Практическая медицина. 2019. Т. 17. 7. С. 178-180. Текст: электронный. URL: https://www.elibrary.ru/download/elibrary_41561409_88201730.pdf (дата обращения 19,02,2020).
• Столяренко П.Ю., Байриков И.М., Гуреев А.Д., Гольдин Е.О. Применение фибробронхоскопа и видеоларингоскопа при назотрахеальной интубации в челюстно-лицевой хирургии и стоматологии // Дентальная имплантология и хирургия. 2019. 3(36). С. 46-54.
• Лебедев М.В., Захарова И.Ю., Керимова И., Акбулатова Р.З. Преимущество внутриротового остеосинтеза под проводниковой анестезией при переломах нижней челюсти // Травматология и ортопедия, 2019. 1. С. 40-47.
• Столяренко П.Ю. Вклад Северина Тигерштедта в развитие челюстно-лицевой травматологии (к 100-летию создания универсальной военно-полевой системы шинирования): монография / П. Ю. Столяренко. Самара: Офорт; ФГБОУ ВО СамГМУ Минздрава России, 2017. 175 с. DOI: 10,17513/np.381.
• Чжан, Ф. Клинико-лабораторное обоснование эффективности иммобилизации нижней челюсти при переломах с использованием несъемной ортодонтической техники: диссертация на соискание ученой степени кандидата медицинских наук. 14,01,14 Стоматология / ГОУВПО Санкт-Петербургский государственный медицинский университет . Санкт-Петербург, 2012. 162 с. Текст: электронный. URL: https://www.elibrary.ru/item.asp?id=19263180 (дата обращения 19,02,2020).
• Омаров, Ш.З. Назубная проволочная шина Омарова // Патент на полезную модель RU 185904, 21,12,2018. Заявка № 2018106623 от 21,02,2018. Электронный ресурс]; URL: https://www.elibrary.ru/download/elibrary_38160718_22499368.PDF (дата обращения 19,02,2020).
• Щербовских А.Е., Байриков И.М., Орлов Д.Ю. Способ и устройство для наложения лигатур при шинировании переломов челюстей // Патент на изобретение RU 2526666C2, 27,08,2014. Заявка № 2012136034/14 от 23,08,2012. Текст: электронный. URL: https://www.elibrary.ru/download/elibrary_37803503_30494668.pdf (дата обращения 19,02,2020).
• Куценко, Р. В. Состояние краевого пародонта пациентов при лечении переломов нижней челюсти с применением ортопедических и хирургических методов: автореф. дис. ... канд. мед. наук: 14,01,14 / ГБОУ ВПО МГМУ им. И. М. Сеченова МЗ РФ. М., 2012. 17 с.
• Боголюбов, В.М. Медицинская реабилитация. М. БИНОМ, 2010. 416 с.
• Еремин, Д.А. Совершенствование фармакотерапии повреждений нижнего альвеолярного нерва при переломах нижней челюсти: автореф. … канд. мед. наук (14,01,14) / ФГБОУ ВО РНИМУ им. Н. И. Пирогова Минздрава России. М., 2018. 24 с.
• Reddy L., Lee D., Vincent A., Shokri T. [et al. Secondary Management of Mandible Fractures // Facial Plastic Surgery. 35(6):627-632, DECEMBER 2019. DOI: 10,1055/s-0039-1700887, PMID: 31783419.
• Бутенко, О.Г. Клинические и судебно-медицинские аспекты оценки неблагоприятных исходов в хирургической стоматологии при лечении переломов нижней челюсти / О.Г. Бутенко, О.З. Топольницкий, П.О. Ромодановский // Российский стоматологический журнал. 2019. Т. 23, № 1. С. 17-20.
• Kommers S.C., van den вergh в., Forouzanfar T. Quality of life after open versus closed treatment for mandibular condyle fractures: a review of literature. J сraniomaxillofac Surg. 2013 Dec;41(8):e221-5.
• Абдрашитова А.Б., Салеев Р.А. Временная нетрудоспособность пациентов при травмах челюстно-лицевой области // Российский стоматологический журнал. 2019. Т. 23. 3-4. С. 133-139.
• Митин Н.Е., Родина Т.С., Стрелков Н.Н. Варианты временной иммобилизации при переломах челюстей // Российский медико-биологический вестник имени академика И.П. Павлова. 2018. Т. 26. 4. С. 559-566. Текст: электронный. URL: https://www.elibrary.ru/download/elibrary_36606580_74956338.pdf (дата обращения 19,02,2020).
• Арутюнов С.Д., Долидзе А.Г., Арутюнов Д.С., Тангиева Т.А. Устройство для временной посттравматической иммобилизации челюстей // Патент на полезную модель RU 124142, 20,01,2013. Заявка № 2012127695/14 от 03,07,2012. Текст: электронный. URL: https://www.elibrary.ru/download/elibrary_38411089_80476968.pdf (дата обращения 19,02,2020).
• Прокофьева, О.В. Обоснование коррекции изменений вегетативной нервной системы у больных с переломами нижней челюсти: автореф. дис. ... канд. мед. наук: 14,01,14. Волгоград, 2013. 24 с.
• Parascandolo S., Spinzia A. [et al. Two load sharing plates fixation in mandibular condylar fractures: вiomechanical basis // J. сraniomaxillofacial Surg., 2010. Vol. 38. 5. P. 385-390.
• Программа СКАТ (Стратегия Контроля Антимикробной Терапии) при оказании стационарной медицинской помощи: Российские клинические рекомендации / Под ред. С.В. Яковлева, Н.И. Брико, С.В. Сидоренко, Д.Н. Проценко. М. Издательство «Перо», 2018. 156 с.
• Milic T., Raidoo, P., Gebauer, D. Antibiotic prophylaxis in oral and maxillofacial surgery: a systematic review. вritish Journal of Oral and Maxillofacial Surgery.-2020.-doi:10,1016/j.bjoms.2020,09,020.
• вratzler D. W. et al. сlinical practice guidelines for antimicrobial prophylaxis in surgery //Surgical infections. 2013. Т. 14. 1. С. 73-156.
• Асланов Б. И. Принципы организации периоперационной антибиотикопрофилактики в учреждениях здравоохранения. 2014.
• сDC NNIS System. National Nosocomial Infection Surveillance (NNIS) Semiannual Report. May, 1996.
• Hagel S, Scheuerlein H. Perioperative antibiotic prophylaxis and antimicrobial therapy of intra-abdominal infections. Viszeralmedizin 2014;30:310-6.
• Harbarth S, Samore MH, Lichtenberg D, сarmelli Y. Prolonged antibiotic prophylaxis after cardiovascular surgery and its effect on surgical site infections and antimicrobial resistance. сirculation 2000;101:2916-21.
• Feller K.U., Richter G., Schneider M., Eckelt U. // сombination of microplate and mini plate for osteosynthesis of mandibular fractures: an experimental study // J. Oral. Maxillofac. Surg., 2002. Vol. 31. 1. P. 78-83.
• Чжан Ш., Петрук П.С., Медведев Ю.А. Переломы нижней челюсти в области тела и угла: структура, эпидемиология, принципы диагностики. Часть I // Российский стоматологический журнал. 2017. Т. 21. 2. С. 100-103.
• Лепилин А.В., Бахтеева Г.Р., Ноздрачев В.Г. Клинико-статистический анализ травматических повреждений челюстно-лицевой области и их осложнений по материалам работы отделения челюстно-лицевой хирургии за 2008-2012 годы // Саратовский научно-медицинский журнал. 2013. Т. 9. 3. С. 425-428. Текст: электронный. URL: https://www.elibrary.ru/download/elibrary_21156629_87520577.pdf (дата обращения 19,02,2020).
• Афанасьев В.В., Останин А.А. Военная стоматология и челюстно-лицевая хирургия. М. ГЭОТАР-Медиа, 2008. 240 с.
• Haug R.H., Street с.C., Goltz M. Does plate adaptation affect stability. A biomechanical comparison locking and nonlocking plates // J. Oral. Maxillofac. Surg., 2002. Vol. 60. 11. P. 1319-1326.
• Афанасьев, В.В. Травматология челюстно-лицевой области: Руководство для врачей / В. В. Афанасьев. М. ГЭОТАР-Медиа, 2010. 255 с.
• Травматология челюстно-лицевой области; под ред. В.О. Кенбаева. Шымкент: Медицина, 2006. 118 с.
• Байриков И.М., Савельев А.Л., Сафаров С.А. Анализ уровня социализации больных с переломами нижней челюсти // Актуальные вопросы стоматологии: сборник научных трудов, посвященный 45-летию стоматологического образования в СамГМУ. Самара: ООО «Офорт»; ГБОУ ВПО СамГМУ Минздравсоцразвития России, 2011. С. 78-79.
• Савельев А.Л. Клинико-функциональное обоснование лечения больных переломами нижней челюсти с использованием индивидуальных накостных пластин: дис. … канд. мед. наук. Самара; СамГМУ, 2012. 182 с.
• Савельев А.Л., Самуткина М.Г., Федяев И.М., Фишер И.И. Эпидемиология травматических повреждений челюстно-лицевой области за последние 15 лет по данным клиники челюстно-лицевой хирургии СамГМУ // Вестник Российской Военно-Медицинской Академии. Приложение, 2011. 1. С. 67.
• Шаргородский, А.Г. Травмы мягких тканей и костей лица. Руководство для врачей. М. ГЭОТАР-Мед, 2004. 384 с.
• Безруков В.М., Робустова Т.Г. Руководство по хирургической стоматологии и челюстно-лицевой хирургии. М. Медицина, 2000. Т. 1. 558 с.
• Miotti A. Moroldo L., Selerno M., La Rosa R. A statistical epidiological study of craniomaxillofacial trauma in the Friuli // Minerva Stomatol., 1996. Vol. 45. P. 149-156.
• Moos K.F. Diagnosis of facial bone fractures // Ann. R. сoll. Surg. Engl., 2002. 6. P. 429-431.
• Schug T., Rodemer H., Neupert W et al. Treatment of complex mandibular fracture using titanium mesh // J. Maxillofac. Surg., 2000. Vol. 28. 4. P. 235-237.
• Rosendo GA, Daniel NJM, Esperanza P. Fractura mandibular. Reporte de caso clínico. XXVII Сongreso Multidisciplinario сolegio de Odontólogos de Nuevo León, a. c. Sexto concurso de carteles de investigación y casos clínicos. Memorias. Monterrey, Nuevo León. 5 - 6 Abril de 2019.
• Челюстно-лицевая хирургия: национальное руководства / под ред. А. А. Кулакова. М. ГЕОТАР-Медиа, 2019. 692 с.
• Ромодановский П.О., Арутюнов С.Д., Баринов Е.Х., Фролов Д.В. Экспертный анализ и социологическое исследование неблагоприятных исходов оказания медицинской помощи пациентам с травмами верхней и нижней челюстей // Медицинская экспертиза и право. 2011. 4. С. 32-35. Текст: электронный. URL: https://www.elibrary.ru/download/elibrary_16716331_90372903.pdf (дата обращения 19,02,2020).
• Ушницкий И.Д., Терентьева З.В., Егорова А.И., Ширко О.И., Мелоян А.Г. Социально-гигиенические аспекты переломов нижней челюсти в Якутии // Стоматология, 2015. 6. С. 26-28.
• Балин В.Н., Александров Н.М., Малышев В.А. Клиническая оперативная челюстно-лицевая хирургия: руководство для врачей. 4-е изд., перераб. и дополн. СПб. СпецЛит, 2005. 574 с.
• Moreno J.C., Fernandez A., Ortiz J.A. сomplication rates associated with different treatments for mandibular fracture // J. Oral Maxillofac. Surg., 2000. 3. P. 273-280.
• Wolfe A.S., вaber S. Facial Fractures. Thieme, 1993. 160 p.
• Байриков, И.М. Оценка методов лечения и реабилитации больных с переломами нижней челюсти: автореф. дис. … д-ра мед. наук. Самара, 1997. 32 с.
• Травматология челюстно-лицевой области. Под ред. В.О. Кенбаева. Шымкент: Медицина, 2006. 118 с.
• Пудов, А.Н. Распространенность и клиническое значение хронической алкогольной интоксикации при острой травме нижней челюсти // Вестник новых медицинских технологий. Электронное издание. 2016. 3. С. 94-99. Текст: электронный. URL: https://www.elibrary.ru/download/elibrary_26674089_61484353.pdf (дата обращения 19,02,2020).
• Робустова, Т.Г. Хирургическая стоматология, 3-е изд. М. Медицина, 2003. 504 с.
• Малышев В.А., Кабаков Б.Д. Переломы челюстей. СПб., 2005. 224 с.
• Набоков, А.Ю. Современный остеосинтез. М. Медицинское информационное агентство, 2007. 400 с.
• Тимофеев А.А. Руководство по челюстно-лицевой хирургии и стоматологии. Киев: Червона Рута-Туре, 2002. 1024 с.
• Бахтеева, Г. Р. Особенности течения и лечения переломов нижней челюсти, сопровождающихся повреждением третьей ветви тройничного нерва: автореф. дис. ... канд. мед. наук / ГОУ ВПО Сарат.гос.мед.ун-т им. В.И. Разумовского Росздрава . Волгоград, 2010. 22 с.
• Тимофеев, А.А. Основы челюстно-лицевой хирургии: учебное пособие. М. Медицинское информационное агентство, 2007. 696 с.
• Roig T.P., Molina M.P., González A.G.-R. Fracturas mandibulares. Protocolos clínicos de la Sociedad Española de сirugía Oral y Maxilofacial. 2014/01. сapitulo 12. P. 181-189.
• Новосядлая Н.В., Беловолова Р.А., Новгородский С.В., Новгородский В.Е. Диагностические и прогностические клинико-иммунологические критерии характера течения посттравматического периода у лиц с открытыми переломами нижней челюсти // Стоматология, 2003. 3. С. 15-19.
• Совершенствование оказания медицинской помощи больным с переломами нижней челюсти на всех этапах реабилитации / И.М. Байриков [] // Управление качеством медицинской помощи. 2017. 1-2. С. 59-65.
• Чжан Ш., Петрук П.С., Медведев Ю.А. Переломы нижней челюсти в области тела и угла: принципы хирургического лечения. Часть II // Российский стоматологический журнал. 2017. Т. 21. 4. С. 203-207.
• Флейшер Г.М. Особенности клинической картины переломов нижней челюсти // Символ науки. 2016. Т. 14, № 2-3. С. 178-182.
• Васильев А.Ю., Воробьев Ю.И., Серов Н.С. Лучевая диагностика в стоматологии: учеб. пособие. М. ГЭОТАР-Медиа, 2008. 176 с.
• Васильев, А.Ю. Лучевая диагностика повреждений челюстно-лицевой области: Руководство для врачей / А. Ю. Васильев, Д. А. Лежнев. М. ГЭОТАР-Медиа, 2010. 79 с.
• Рабухина Н.А., Аржанцев А.П. Рентгенодиагностика в стоматологии. М. Медицинское информационное агентство, 2003. 452 с.
• Аржанцев, А.П. Рентгенологические проявления травм нижней зоны лицевого отдела черепа // Стоматология для всех. 2015. 2. С. 52-56.
• Аржанцев, А.П. Методики рентгенологического исследования и рентгенодиагностика в стоматологии. М. Мегаполис, 2015. 260 с.
• Атлас рентгенологических укладок / М.В. Ростовцев []. 2-е изд, испр. и доп.; под ред. М.В. Ростовцева. М. ГЕОТАР-Медиа, 2019. 320 с.
• Митрошенков П.Н. Реконструктивная хирургия тотальных и субтотальных дефектов верхней, средней и нижней зон лицевого скелета: руководство для врачей. СПб. Синтез Бук, 2010. 416 с.
• Хофер, М. Компьютерная томография. Базовое руководство, 2-е издание. М. Медицинская литература, 2008. 224 с.
• Щетинин В.В., Гарафутдинов Д.М., Архаров С.Л. Изучение топографии оптической плотности костной ткани нижней челюсти методом компьютерно-томографической денситометрии // Диагностика в имплантологии, 2000. 4. С. 41-45.
• Сафаров, С. А. Клинико-функциональное обоснование использования внутрикостных фиксаторов, покрытых композиционными материалами, для остеосинтеза переломов нижней челюсти: автореф. дис. ... канд. мед. наук: 14,01,14 / ГБОУ ВПО СамГМУ МЗ РФ. Самара, 2014. 24 с.
• Савельев, А.Л. Методика применения реовазографии для оценки послеоперационного состояния больных с переломами нижней челюсти // Актуальные вопросы стоматологии: сборник научных трудов, посвященный 45-летию стоматологического образования в СамГМУ. Самара: ООО «Офорт»; ГБОУ ВПО СамГМУ Минздравсоцразвития России, 2011. С. 90-91.
• Артюшкевич, А.С. Динамика регионарного кровообращения и остеогенеза при оперативном лечении переломов нижней челюсти // Современная стоматология, 2015. 1 (60). С. 69-75.
• Alagiakrishnan K., Juby A., Hanley D. [et al. Role of vascular factors in osteoporosis // J. Gerontol. вiol. Sci. Med. Sci., 2003. Vol. 38. P. 362-366.
• Алимова М.Я., Григорьева О.Ш. Особенности результатов электромиографического обследования пациентов с дистальной окклюзией зубных рядов // Ортодонтия. 2010. 3. С. 45-46.
• Кречина Е., Лисовская В.Т., Погабало И.В. Электромиографическая оценка функционального состояния височных и жевательных мышц у пациентов с тесным положением фронтальных зубов при различной окклюзии // Стоматология, 2010. 3. С. 69-71.
• Лисова Т.В., Слабковская А.Б. Индивидуальные особенности деятельности жевательных мышц в норме // Ортодонтия, 2004. 3-4. С. 13-15.
• Набиев Н.В., Климова Т.В., Панкратова Н.В., Персин Л.С. Современное электромиографическое исследование в стоматологии // Ортодонтия, 2009. 1. С. 71-72.
• Набиев Н.В., Климова Т.В., Персин Л.С., Панкратова Н.В. Электромиография - современный метод диагностики функционального состояния мышц челюстно-лицевой области // Ортодонтия, 2009. 2. С. 13-19.
• Попов С.А., Сатыго Е.А. Диагностическое значение стандартизированных электромиографических показателей жевательных мышц // Российский стоматологический журнал, 2009. 6. С. 18-20.
• Ferrario V.F., Tartaglia G.M., Sforza с. The use of surface electromyography as a tool in differentiating temporomandibular disorders from neck disorders // Man Ther., 2007. 12. P. 372-379.
• Кужонов Д.Т. Стоматологический статус больных с переломами нижней челюсти и его влияние на развитие воспалительных осложнений: автореф. дис. … канд. мед. наук. Нальчик, 2005. 21 с.
• Байриков И.М., Имбряков В., Савельев А.Л., Самуткина М.Г., Фишер И.И. Реабилитация больных с травматической болезнью при переломах нижней челюсти // Вестник Российской Военно-Медицинской Академии. Приложение, 2011. 1. С. 66.
• Амро Абдаллах. Клиническая картина и лечение переломов нижней челюсти у взрослых людей в различные возрастные периоды: автореф. дис. ... канд. мед. наук. Военно-медицинская академия им. С.М. Кирова. Санкт-Петербург, 2013. 20 с.
• Швырков, М.Б. Рациональное введение кальцитонина для стимуляции репаративной регенерации нижней челюсти // Стоматология, 2011. Т. 90. 6. С. 32-34.
• Каладзе Н., Безруков С.Г. Особенности консолидации перелома нижней челюсти под воздействием физиофармтерапии // Вестник физиотерапии и курортологии, 2015. Т. 23. 3. С. 59-62.
• Профилактика инфекций области хирургического вмешательства: Клинические рекомендации. 2018. Москва: Некоммерческое партнерство «Национальная ассоциация специалистов по контролю инфекций, связанных с оказанием медицинской помощи». 87 с. Текст: электронный. URL: http://antimicrob.net/wp-content/uploads/2018-Profilaktika-IOKHV.pdf (дата обращения: 30,03,2020).
• Domingo F., Dale E., Gao с. [et al. A single-center retrospective review of postoperative infectious complications in the surgical management of mandibular fractures: postoperative antibiotics add no benefit. J Trauma Acute сare Surg. 2016;81:1109-1114.
• Habib p.m, Wong A.D., Schreiner G.C. [et al. Postoperative prophylactic antibiotics for facial fractures: a systematic review and meta-analysis. Laryngoscope 2019;129(01):82-95.
• Милюкова Д.Ю. Тактика лечения переломов, проходящих через лунку зуба на нижней челюсти: автореф. дис. ... канд. мед. наук. Специальность: 14,01,14 - Стоматология / Первый московский государственный медицинский университет им. И.М. Сеченова. Москва, 2013. 24 с.
• Белоус, И.М. Биометрические аспекты хирургической тактики комплексного лечения сочетанной травмы челюстно-лицевой области: дис. канд. мед. наук. В. Новгород, 2005. 173 с.
• Карасенков, Я.Н. Лечение больных с открытыми переломами нижней челюсти: автореф. дис. … канд. мед. наук / Я.Н. Карасенков. М., 2004. 46 с.
• Логинов О.А., Савельев А.Л. Моделирование напряженно-деформируемого состояния нижней челюсти при остеосинтезе накостными пластинами // Вестник Самарского государственного технического университета, 2011. 4. С. 169-172.
• Мирсаева Ф.З., Изосимов А.А. Оптимизация комплексного лечения переломов нижней челюсти // Институт стоматологии. 2010. 2. С. 6-7.
• Панкратов, А.С. Совершенствование методов оперативного лечения больных с переломами нижней челюсти и их осложнениями: дис. … д-ра мед. наук. М., 2005. 296 с.
• Семенников В.И. Оптимизация методов фиксации костных фрагментов лицевого черепа и их клинико-биомеханическая оценка: автореф. дис. … д-ра мед. наук. Барнаул, 2004. 42 с.
• Сипкин А.М., Ахтямова Н.Е., Ахтямов Д.В. Характеристика острых травматических повреждений челюстно-лицевой области // РМЖ. 2016. Т. 24. 14. С. 932-935. Текст: электронный. URL: https://www.elibrary.ru/download/elibrary_27185903_34414040.pdf (дата обращения 19,02,2020).
• Панкратов, А.С. Вопросы клинической эффективности современных технологий остеосинтеза нижней челюсти // Клиническая стоматология. 2018. 1 (85). С. 44-49. Текст: электронный. URL: https://www.elibrary.ru/download/elibrary_32759411_17378365.pdf (дата обращения 19,02,2020).
• Воробьев А.А., Фомичев Е.В., Михальченко Д.В. Современные методы остеосинтеза нижней челюсти (аналитический обзор) // Вестник Волгоградского государственного медицинского университета. 2017. 2 (62). С. 8-14. Текст: электронный. URL: https://www.elibrary.ru/download/elibrary_29750651_16184976.pdf (дата обращения 19,02,2020).
• Ляпина, Я.А. Обоснование выбора метода иммобилизации при переломах нижней челюсти у больных хроническим генерализованным пародонтитом тяжелой степени: автореф. дис. ... канд. мед. наук: 14,01,14. Волгоград, 2012. 23 с.
• Хандзрацян, А.С. Диагностика и лечение переломов нижней челюсти у лиц, злоупотребляющих алкоголем: автореф. дис. ... канд. мед. наук: 14,01,14 / ФГБУ ЦНИИС и ЧЛХ Минздрава России, ГБУЗ Гор. клинич. больница № 36 г. Москвы. М. 2013. 26 с.
• Девдариани Д.Ш., Куликов А.В., Багненко А.С., Баранов И.В., Александров А.Б., Арно А.В. Выбор метода остеосинтеза при высоких переломах мыщелкового отростка нижней челюсти // Вестник Северо-западного государственного медицинского университета им. И.И. Мечникова, 2016. 4. С. 56-61.
• Федотов, С.Н. Мало- и минимально инвазивный остеосинтез нижней челюсти с использованием металлических спиц при переломах / МЗ РФ, СНЦ МЗО РАМН, СевГМУ. Архангельск: Изд-во СевГМУ, 2014. 230 с.
• Монаков В.А., Монаков Д.В., Савельев А.Л. Обоснование применения чрескостных остеофиксаторов с покрытием и комбинированной режущей кромкой для остеосинтеза переломов нижней челюсти // Материалы межрегиональной научно-практической конференции с международным участием, посвященной 110-летию со дня рождения профессора С.П. Вилесова. Россия, Оренбург, 2015. С. 63-71.
• Ефимов Ю.В., Стоматов Д.В., Ефимова Е.Ю., Стоматов А.В., Долгова И.В. Лечение больных с односторонним косым переломом нижней челюсти // Медицинский вестник Северного Кавказа, 2019. 1. С. 94-97.
• Ефимов Ю.В., Стоматов Д.В., Поройский С.В., Ефимова Е.Ю., Иванов П.В. Использование костного шва при косых переломах нижней челюсти // Волгоградский научно-медицинский журнал, 2015. 1. С. 53-54.
• Ефимов Ю.В., Стоматов Д.В., Ефимова Е.Ю., Тельянова Ю.В., Долгова И.В., Стоматов А.В. Анализ результатов использования костного шва у пострадавших с косыми переломами нижней челюсти // Вестник Волгоградского государственного медицинского университета, 2015. 4. С. 60-62.
• Стоматов, Д. В. Эффективность использования остеосинтеза проволочным швом у больных с односторонним косым переломом нижней челюсти: автореф. дис. ... канд. мед. наук: 14,01,14 / ФГБОУ ВО ПГУ . Волгоград, 2017. 24 с.
• Ostrander в.T., Wang H.D., сusano A., Manson P.N., Nam A.J., Dorafshar A.H. сontemporary management of mandibular fracture nonunion-a retrospective review and treatment algorithm. J Oral Maxillofac Surg 2018; 76 (07) 1479-1493.
• Васильев А.М. Сравнительная оценка хирургических методов лечения переломов нижней челюсти в области угла: автореф. дис. … канд. мед. наук. Тверь, 2006. 16 с.
• Панкратов А.С., Робустова Т.Г., Притыко А.Г. Теоретическое и практическое обоснование методов оперативного лечения больных с переломами нижней челюсти и их осложнениями // Российский стоматологический журнал, 2005. 1. С. 42-45.
• Байриков И.М., Логинов О.А., Савельев А.Л. Сравнительный математический анализ применения накостных пластин для остеосинтеза отломков нижней челюсти // Вестник Российской Военно-Медицинской Академии. Приложение, 2011. 1. С. 65-66.
• Байриков И.М., Логинов О.А., Савельев А.Л. Компьютерное моделирование напряженно-деформированного состояния костной ткани больных с переломами нижней челюсти // Материалы XVI Международной конференции челюстно-лицевых хирургов и стоматологов «Новые технологии в стоматологии». Россия, Санкт-Петербург, 16-18 мая 2011 г. С. 35-36.
• вerner T., Essig H., Schumann P. [et al.] сlosed versus open treatment of mandibular condylar process fractures: a meta-analysis of retrospective and prospective studies. J сraniomaxillofac Surg 2015;43(08):1404-1408. DOI: 10,1016/j.jcms.2015,07,027. Epub 2015 Aug 4.
• сuéllar J., Santana J., Núñez с., Villanueva J. Surgical or conservative treatment for mandibular condyle fractures // Medwave. 2018 Nov 26;18(7):e7352. DOI: 10,5867/medwave.2018,07,7351.
• сhrcanovic в.R. Surgical versus non-surgical treatment of mandibular condylar fractures: a meta-analysis. Int J Oral Maxillofac Surg. 2015 Feb; 44(2):158-79.
• Yao S., Zhou J., Li Z. сontrast analysis of open reduction and internal fixation and non-surgical treatment of condylar fracture: a meta-analysis. J сraniofac Surg. 2014 Nov;25(6):2077-80.
• Al-Moraissi E.A., Ellis E. 3rd. Surgical treatment of adult mandibular condylar fractures provides better outcomes than closed treatment: a systematic review and meta-analysis. J Oral Maxillofac Surg. 2015 Mar;73(3):482-93.
• Liu Y., вai N., Song G., Zhang X., Hu J., Zhu S., Luo E. Open versus closed treatment of unilateral moderately displaced mandibular condylar fractures: a meta-analysis of randomized controlled trials. Oral Surg Oral Med Oral Pathol Oral Radiol. 2013 Aug;116(2):169-73.
• Kyzas P.A., Saeed A., Tabbenor O. The treatment of mandibular condyle fractures: a meta-analysis. J сraniomaxillofac Surg. 2012 Dec;40(8):e438-52.
• Инкарбеков Ж.Б. Накостный малотравматичный остеосинтез при переломах нижней челюсти // Российский стоматологический журнал, 2008. 1. С. 39-41.
• Rozeboom A.V.J., Dubois L., вos R.R.M., Spijker R., de Lange J. сlosed treatment of unilateral mandibular condyle fractures in adults: a systematic review. Int J Oral Maxillofac Surg. 2017 Apr;46(4):456-464.
• Медведев, Ю.А. Тактика лечения пациентов с переломами нижней челюсти в пределах зубного ряда [Текст] / Ю.А. Медведев, Д.Ю. Милюкова // Стоматология. 2012. 6. С. 48-51.
• Байриков И.М., Столяренко П.Ю., Солтанов А.Д. Применение новой турбинной пневмомашины для остеосинтеза при переломах нижней челюсти // Оренбургский медицинский вестник. 2019. Т. 7. 4 (28). С. 8-10.
• Чхаидзе, Г.Г. Сравнительный анализ эндоскопического и традиционных методов остеосинтеза при переломах мыщелковых отростков нижней челюсти: автореф. дис. ... канд. мед. наук: 14,01,14. М., 2015. 25 с.
• Маградзе, Г.Н. Лечение переломов мыщелкового отростка нижней челюсти с применением трансбукальной системы и биодеградируемых минипластин: автореф. дис. ... канд. мед. наук: 14,01,14 / ФГБВОУ ВПО ВМА им. С. М. Кирова МО РФ. СПб., 2013. 20 с.
• Байриков И.М., Капишников А.В., Столяренко П.Ю., Зельтер П.М., Гафаров Х.О. Клинико-рентгенологическое обоснование метода пролонгированной регионарной блокады ветвей тройничного нерва // Оренбургский медицинский вестник. 2016. Т. 4, № 3. С. 28-31. Текст: электронный. URL: https://www.orgma.ru/files/Izdatelstvo/OMV/N/орен_мед_вестник_3_web_16.pdf (дата обращения 19,02,2020).
• Труханова И.Г., Гольдин Е.О., Гуреев А.Д., Столяренко П.Ю. Клинический случай применения методики нейростимуляции при установке катетера для продленной анестезии 3-й ветви тройничного нерва // Практическая медицина. 2019. Т. 17. 7. С. 178-180. Текст: электронный. URL: https://www.elibrary.ru/download/elibrary_41561409_88201730.pdf (дата обращения 19,02,2020).
• Столяренко П.Ю., Байриков И.М., Гуреев А.Д., Гольдин Е.О. Применение фибробронхоскопа и видеоларингоскопа при назотрахеальной интубации в челюстно-лицевой хирургии и стоматологии // Дентальная имплантология и хирургия. 2019. 3(36). С. 46-54.
• Лебедев М.В., Захарова И.Ю., Керимова И., Акбулатова Р.З. Преимущество внутриротового остеосинтеза под проводниковой анестезией при переломах нижней челюсти // Травматология и ортопедия, 2019. 1. С. 40-47.
• Столяренко П.Ю. Вклад Северина Тигерштедта в развитие челюстно-лицевой травматологии (к 100-летию создания универсальной военно-полевой системы шинирования): монография / П. Ю. Столяренко. Самара: Офорт; ФГБОУ ВО СамГМУ Минздрава России, 2017. 175 с. DOI: 10,17513/np.381.
• Чжан, Ф. Клинико-лабораторное обоснование эффективности иммобилизации нижней челюсти при переломах с использованием несъемной ортодонтической техники: диссертация на соискание ученой степени кандидата медицинских наук. 14,01,14 Стоматология / ГОУВПО Санкт-Петербургский государственный медицинский университет . Санкт-Петербург, 2012. 162 с. Текст: электронный. URL: https://www.elibrary.ru/item.asp?id=19263180 (дата обращения 19,02,2020).
• Омаров, Ш.З. Назубная проволочная шина Омарова // Патент на полезную модель RU 185904, 21,12,2018. Заявка № 2018106623 от 21,02,2018. Электронный ресурс]; URL: https://www.elibrary.ru/download/elibrary_38160718_22499368.PDF (дата обращения 19,02,2020).
• Щербовских А.Е., Байриков И.М., Орлов Д.Ю. Способ и устройство для наложения лигатур при шинировании переломов челюстей // Патент на изобретение RU 2526666C2, 27,08,2014. Заявка № 2012136034/14 от 23,08,2012. Текст: электронный. URL: https://www.elibrary.ru/download/elibrary_37803503_30494668.pdf (дата обращения 19,02,2020).
• Куценко, Р. В. Состояние краевого пародонта пациентов при лечении переломов нижней челюсти с применением ортопедических и хирургических методов: автореф. дис. ... канд. мед. наук: 14,01,14 / ГБОУ ВПО МГМУ им. И. М. Сеченова МЗ РФ. М., 2012. 17 с.
• Боголюбов, В.М. Медицинская реабилитация. М. БИНОМ, 2010. 416 с.
• Еремин, Д.А. Совершенствование фармакотерапии повреждений нижнего альвеолярного нерва при переломах нижней челюсти: автореф. … канд. мед. наук (14,01,14) / ФГБОУ ВО РНИМУ им. Н. И. Пирогова Минздрава России. М., 2018. 24 с.
• Reddy L., Lee D., Vincent A., Shokri T. [et al. Secondary Management of Mandible Fractures // Facial Plastic Surgery. 35(6):627-632, DECEMBER 2019. DOI: 10,1055/s-0039-1700887, PMID: 31783419.
• Бутенко, О.Г. Клинические и судебно-медицинские аспекты оценки неблагоприятных исходов в хирургической стоматологии при лечении переломов нижней челюсти / О.Г. Бутенко, О.З. Топольницкий, П.О. Ромодановский // Российский стоматологический журнал. 2019. Т. 23, № 1. С. 17-20.
• Kommers S.C., van den вergh в., Forouzanfar T. Quality of life after open versus closed treatment for mandibular condyle fractures: a review of literature. J сraniomaxillofac Surg. 2013 Dec;41(8):e221-5.
• Абдрашитова А.Б., Салеев Р.А. Временная нетрудоспособность пациентов при травмах челюстно-лицевой области // Российский стоматологический журнал. 2019. Т. 23. 3-4. С. 133-139.
• Митин Н.Е., Родина Т.С., Стрелков Н.Н. Варианты временной иммобилизации при переломах челюстей // Российский медико-биологический вестник имени академика И.П. Павлова. 2018. Т. 26. 4. С. 559-566. Текст: электронный. URL: https://www.elibrary.ru/download/elibrary_36606580_74956338.pdf (дата обращения 19,02,2020).
• Арутюнов С.Д., Долидзе А.Г., Арутюнов Д.С., Тангиева Т.А. Устройство для временной посттравматической иммобилизации челюстей // Патент на полезную модель RU 124142, 20,01,2013. Заявка № 2012127695/14 от 03,07,2012. Текст: электронный. URL: https://www.elibrary.ru/download/elibrary_38411089_80476968.pdf (дата обращения 19,02,2020).
• Прокофьева, О.В. Обоснование коррекции изменений вегетативной нервной системы у больных с переломами нижней челюсти: автореф. дис. ... канд. мед. наук: 14,01,14. Волгоград, 2013. 24 с.
• Parascandolo S., Spinzia A. [et al. Two load sharing plates fixation in mandibular condylar fractures: вiomechanical basis // J. сraniomaxillofacial Surg., 2010. Vol. 38. 5. P. 385-390.
• Программа СКАТ (Стратегия Контроля Антимикробной Терапии) при оказании стационарной медицинской помощи: Российские клинические рекомендации / Под ред. С.В. Яковлева, Н.И. Брико, С.В. Сидоренко, Д.Н. Проценко. М. Издательство «Перо», 2018. 156 с.
• Milic T., Raidoo, P., Gebauer, D. Antibiotic prophylaxis in oral and maxillofacial surgery: a systematic review. вritish Journal of Oral and Maxillofacial Surgery.-2020.-doi:10,1016/j.bjoms.2020,09,020.
• вratzler D. W. et al. сlinical practice guidelines for antimicrobial prophylaxis in surgery //Surgical infections. 2013. Т. 14. 1. С. 73-156.
• Асланов Б. И. Принципы организации периоперационной антибиотикопрофилактики в учреждениях здравоохранения. 2014.
• сDC NNIS System. National Nosocomial Infection Surveillance (NNIS) Semiannual Report. May, 1996.
• Hagel S, Scheuerlein H. Perioperative antibiotic prophylaxis and antimicrobial therapy of intra-abdominal infections. Viszeralmedizin 2014;30:310-6.
• Harbarth S, Samore MH, Lichtenberg D, сarmelli Y. Prolonged antibiotic prophylaxis after cardiovascular surgery and its effect on surgical site infections and antimicrobial resistance. сirculation 2000;101:2916-21.
|
|
Приложения
Приложение А1.
Состав рабочей группы по разработке и пересмотру клинических рекомендаций.• Кулаков А.А. - академик РАН, д.м.н., профессор, президент ООО «Общество специалистов в области челюстно-лицевой хирургии».
• Дробышев А.Ю. - д.м.н., профессор вице - президент ООО «Общество специалистов в области челюстно-лицевой хирургии».
• Яременко А.И. - д.м.н., профессор вице - президент ООО «Общество специалистов в области челюстно-лицевой хирургии».
• Багненко А.С. - м.н., доцент, член ООО «Общество специалистов в области челюстно-лицевой хирургии».
• Байриков И.М. - чл. -корр. РАН, д.м.н., профессор, член ООО «Общество специалистов в области челюстно-лицевой хирургии».
• Бельченко В.А. - д.м.н., профессор, член правления ООО «Общество специалистов в области челюстно-лицевой хирургии».
• Брайловская Т.В. - д.м.н., доцент, ответственный секретарь ООО «Общество специалистов в области челюстно-лицевой хирургии».
• Дурново Е.А. - д.м.н., профессор, член правления ООО «Общество специалистов в области челюстно-лицевой хирургии».
• Иванов С.Ю. - член-корреспондент РАН, д.м.н., профессор, член правления ООО «Общество специалистов в области челюстно-лицевой хирургии».
• Епифанов С.А. - д.м.н., доцент, член ООО «Общество специалистов в области челюстно-лицевой хирургии».
• Лепилин А.В. - д.м.н., профессор, член правления ООО «Общество специалистов в области челюстно-лицевой хирургии».
• Неробеев А.И. - д.м.н., профессор, почетный президент ООО «Общество специалистов в области челюстно-лицевой хирургии».
• Рогинский В.В. - д.м.н., профессор, член ООО «Общество специалистов в области челюстно-лицевой хирургии».
• Савельев А.Л. - м.н., ассистент кафедры челюстно-лицевой хирургии и стоматологии ФГБОУ ВО «Самарский государственный медицинский университет».
• Столяренко П.Ю. - м.н., доцент, член ООО «Общество специалистов в области челюстно-лицевой хирургии».
• Сысолятин П.Г. - д.м.н., профессор, член правления ООО «Общество специалистов в области челюстно-лицевой хирургии».
• Тарасенко С.В. - д.м.н., профессор, член ООО «Общество специалистов в области челюстно-лицевой хирургии».
• Топольницкий О.З. - д.м.н., профессор, член правления ООО «Общество специалистов в области челюстно-лицевой хирургии».
Все члены рабочей группы являются членами Общероссийской Общественной Организации «Ассоциация специалистов в области челюстно-лицевой хирургии». Конфликт интересов отсутствует.
Приложение А2.
Методология разработки клинических рекомендаций.Целевая аудитория данных клинических рекомендаций:
• Врачи-стоматологи.
• Врачи-челюстно-лицевые хирурги.
• Врачи-травматологи-ортопеды.
• Врачи-нейрохирурги.
• Медицинские работники со средним медицинским образованием.
• Организаторы здравоохранения.
• Врачи-эксперты медицинских страховых организаций (в том числе при проведении медико-экономической экспертизы).
• Студенты медицинских ВУЗов, ординаторы, аспиранты.
Таблица 1. Шкала оценки уровней достоверности доказательств (УДД) для методов диагностики (диагностических вмешательств).
| УДД | Расшифровка |
| 1 | Систематические обзоры исследований с контролем референсным методом или систематический обзор рандомизированных клинических исследований с применением мета-анализа |
| 2 | Отдельные исследования с контролем референсным методом или отдельные рандомизированные клинические исследования и систематические обзоры исследований любого дизайна, за исключением рандомизированных клинических исследований, с применением мета-анализа |
| 3 | Исследования без последовательного контроля референсным методом или исследования с референсным методом, не являющимся независимым от исследуемого метода или нерандомизированные сравнительные исследования, в том числе когортные исследования |
| 4 | Несравнительные исследования, описание клинического случая |
| 5 | Имеется лишь обоснование механизма действия или мнение экспертов |
Таблица 2. Шкала оценки уровней достоверности доказательств (УДД)для методов профилактики, лечения и реабилитации (профилактических, лечебных, реабилитационных вмешательств).
| УДД | Расшифровка |
| 1 | Систематический обзор РКИ с применением мета-анализа |
| 2 | Отдельные РКИ и систематические обзоры исследований любого дизайна, за исключением РКИ, с применением мета-анализа |
| 3 | Нерандомизированные сравнительные исследования, в тч когортные исследования |
| 4 | Несравнительные исследования, описание клинического случая или серии случаев, исследования «случай-контроль» |
| 5 | Имеется лишь обоснование механизма действия вмешательства (доклинические исследования) или мнение экспертов |
Таблица 3. Шкала оценки уровней убедительности рекомендаций (УУР) для методов профилактики, диагностики, лечения и реабилитации (профилактических, диагностических, лечебных, реабилитационных вмешательств).
| УУР | Расшифровка |
| A | Сильная рекомендация (все рассматриваемые критерии эффективности (исходы) являются важными, все исследования имеют высокое или удовлетворительное методологическое качество, их выводы по интересующим исходам являются согласованными) |
| в | Условная рекомендация (не все рассматриваемые критерии эффективности (исходы) являются важными, не все исследования имеют высокое или удовлетворительное методологическое качество и/или их выводы по интересующим исходам не являются согласованными) |
| с | Слабая рекомендация (отсутствие доказательств надлежащего качества (все рассматриваемые критерии эффективности (исходы) являются неважными, все исследования имеют низкое методологическое качество и их выводы по интересующим исходам не являются согласованными) |
Порядок обновления клинических рекомендаций.
Механизм обновления клинических рекомендаций предусматривает их систематическую актуализацию - не реже чем один раз в три года, а также при появлении новых данных с позиции доказательной медицины по вопросам диагностики, лечения, профилактики и реабилитации конкретных заболеваний, наличии обоснованных дополнений/замечаний к ранее утверждённым КР, но не чаще 1 раза в 6 месяцев.
Приложение А3.
Справочные материалы, включая соответствие показаний к применению и противопоказаний, способов применения и доз лекарственных препаратов, инструкции по применению лекарственного препарата.Данные клинические рекомендации разработаны с учётом следующих нормативно-правовых документов:
• Приказ Минздрава России от 10,05,2017 №203н «Об утверждении критериев оценки качества медицинской помощи».
• Статья 37 Федерального закона от 21 ноября 2011 г. №323-ФЗ «Об основах охраны здоровья граждан в Российской Федерации».
Приложение В.
Информация для пациента.Переломом называется повреждение нижней челюсти с нарушением ее целостности. В мирное время причинами переломов нижней челюсти чаще всего являются удары и ушибы, полученные при падении, сдавлении, в драке Переломы нижней челюсти являются наиболее распространенными среди всех переломов костей лица.
Существует ряд признаков, позволяющих заподозрить перелом нижней челюсти. Это отек мягких околочелюстных тканей, боль в нижней челюсти, усиливающаяся при открывании и закрывании рта, неправильное смыкание зубов. Откусывание и пережевывание пищи резко болезненно или невозможно. Нередко появляется ощущение онемения кожи в области подбородка и нижней губы, кровотечение изо рта. Также довольно часто перелом нижней челюсти сопровождается сотрясением головного мозга. При этом может быть головокружение, головная боль, тошнота, рвота, пострадавший может частично или полностью не помнить обстоятельства получения травмы.
При появлении одного или нескольких из перечисленных признаков необходимо немедленно обратиться за медицинской помощью, вызвать бригаду «скорой помощи». Чем раньше при переломе нижней челюсти будет оказана специализированная медицинская помощь, тем меньше вероятность возникновения осложнений, в том числе весьма грозных. К числу таких осложнений относятся: остеомиелит, флегмоны, невриты, невралгия, неправильное сращение отломков, возникновение ложного сустава Зачастую возникшие осложнения вызывают тяжелые последствия для здоровья и требуют длительного лечения с неоднократными хирургическими вмешательствами.
Лечение пострадавших с переломами нижней челюсти осуществляется в специализированном лечебном учреждении в условиях стационара. Суть лечения заключается в сопоставлении отломков и стабильной фиксации их в правильном положении на срок, необходимый для формирования костной мозоли (около четырех недель). Правильность сопоставления отломков контролируется при помощи контрольной рентгенографии. Существуют хирургические и ортопедические (консервативные) методы лечения, каждый из которых имеет определенные преимущества и недостатки. Большинство ортопедических методик сводится к наложению на верхний и нижний зубные ряды шинирующих конструкций, которые скрепляются между собой, обеспечивая фиксацию отломков нижней челюсти к неподвижной верхней челюсти. Преимуществом ортопедических (консервативных) методов является малая травматичность, отсутствие угрозы хирургических осложнений (повреждение в ходе операции крупных сосудов, нервных стволов). Существенными недостатками являются вынужденная неподвижность нижней челюсти в течение всего периода фиксации, неудовлетворительная гигиена полости рта (следствием чего может быть развитие воспалительных осложнений), травмирование связочного аппарата зубов. Кроме того, далеко не во всех клинических ситуациях возможна стабильная фиксация отломков при помощи шинирования. В настоящее время, как правило, ортопедические методы лечения применяются при переломах нижней челюсти в пределах зубного ряда без существенного смещения отломков.
«Золотым стандартом» хирургических методов лечения в настоящее время считается скрепление отломков при помощи накостных титановых мини-пластин. Эта методика позволяет добиться наиболее точного сопоставления и стабильной фиксации костных фрагментов. В послеоперационном периоде, как правило, пациент сразу имеет возможность открывать рот, упрощается уход за полостью рта, имеется возможность раннего применения лечебной физкультуры, что предотвращает развитие рубцовых изменений в жевательных мышцах; сокращается период реабилитации.
Кроме фиксации отломков и назначения лекарственных препаратов, необходимым является применение различных методик физиотерапевтического лечения и лечебной физкультуры. Своевременное применение этих методов помогает оптимизировать процесс костеобразования и предотвратить развитие таких осложнений, как мышечная контрактура, ложный сустав, замедленное сращение отломков, остеомиелитический процесс.
Лечение в условиях стационара осуществляется в течение 1-2 недель, после чего пациент выписывается на амбулаторное наблюдение у врача-хирурга-стоматолога по месту жительства. При использовании ортопедических методов лечения врачом амбулатории осуществляется по необходимости коррекция шин, фиксирующих лигатур, эластической тяги. На 7-10 сутки удаляют швы. Через 4 недели от начала лечения в условиях амбулатории удаляют наружные фиксирующие конструкции, после чего, при отсутствии осложнений, пациент имеет возможность приступить в полном объеме к своим рабочим обязанностям, если они не связаны с тяжелым физическим трудом. От тяжелых физических нагрузок следует воздержаться еще в течение 2-3 недель.
Важно помнить, что успех проводимого лечения не в последнюю очередь зависит от самого пациента, от того, насколько добросовестно он следует рекомендациям врача. Так, важным условием успешности лечения является тщательное соблюдение гигиены полости рта, особенно при выборе ортопедических методов лечения. Назубные шины, проволочные фиксирующие лигатуры, отсутствие движений нижней челюсти являются причиной ухудшения самоочищения полости рта и зубов с помощью слюны и твердой пищи. На шинах и лигатурах задерживаются пищевые остатки, которые являются благодатной основой для размножения агрессивных микроорганизмов, вызывающих разнообразные осложнения от поражения пародонта опорных зубов до развития флегмон и остеомиелита.
Необходимо ополаскивать полость рта растворами антисептиков не только после каждого приема пищи, но и в промежутках между едой и перед сном. Орошение полости рта можно производить, например, с помощью резиновой груши. Кроме того, обязательно чистить зубы пастой и зубной щеткой, с помощью зубочистки извлекать остатки пищи, несколько раз в сутки массировать десны указательным пальцем.
Важным компонентом лечения является полноценное питание. При этом прием твердой пищи пациентами с переломами нижней челюсти невозможен. Для таких пациентов разработана специальная диета - челюстной стол, различающийся по консистенции и входящим в него компонентам в зависимости от тяжести общего состояния пострадавшего и способа фиксации отломков. Первый челюстной стол имеет консистенцию сливок. Его назначают при ортопедической фиксации отломков на весь срок лечения. Второй челюстной стол (консистенции густой сметаны) назначают чаще пациентам после хирургического лечения, а также после снятия эластической тяги и в первые двое суток после снятия шин. Эта диета является переходной к общему столу. В условиях стационара назначение диеты осуществляется врачом, в столовой стационара имеется специальное меню и суточная раскладка.
В условиях амбулаторного наблюдения, после выписки из стационара, пациент должен сам позаботиться о приготовлении соответствующей пищи. При этом нужно учитывать, что пища должна быть жидкой и высококалорийной, включать белки, жиры, углеводы и витамины. Можно рекомендовать три жидкости, которыми разбавляют (разводят) любую пищу. Это молоко, овощной или мясной бульоны. Ими разводят вареные протертые овощи (картофель, морковь, обязательно свеклу, зелень, помидоры, сладкий перец ), протертые макаронные изделия и хорошо разваренные крупы (особенно полезны гречка и овсяные хлопья), творог и другие продукты. Для получения достаточного количества белков в мясном бульоне разводят дважды пропущенное через мясорубку, а иногда еще и протертое через сито вареное мясо.
Кроме этого можно использовать уже готовые к употреблению продукты: сметану, сливки, молоко, кефир, соки, фруктовое и овощное пюре (лучше из свежих фруктов и овощей).
Обязательно употребление растительного масла во всех блюдах, так как оно содержит много ненасыщенных жирных кислот, которые оказывают благотворное влияние на регенерацию костной ткани.
Пищу принимают теплой 5-6 раз в сутки. При плотном контакте зубных рядов (двучелюстные шины) пищу вводят поильником с резиновой трубкой в щель за последним зубом. При наличии дефекта зубного ряда (отсутствует зуб или несколько) его используют для введения пищи через трубку поильника или с помощью ложки. При хирургических методах лечения, когда нижняя челюсть не фиксирована к верхней, есть возможность приема пищи при помощи обычной ложки.
Медикаменты в виде таблеток или драже растирают до порошкообразного состояния и растворяют в столовой ложке теплой воды, после чего вводят с помощью поильника или ложки.
Категорически запрещается в период лечения прием алкоголя, который при таком скудном питании быстро всасывается, вызывает сильное опьянение вплоть до отравления. Алкоголь может спровоцировать рвоту, что при двучелюстной фиксации отломков опасно для жизни, поскольку пациент, будучи не в состоянии самостоятельно открыть рот, может захлебнуться своими рвотными массами.
Приложение Г1-ГN.
Шкалы оценки, вопросники и другие оценочные инструменты состояния пациента, приведенные в клинических рекомендациях.|
|
Год актуализации информации
2021.