МКБ-10 коды
|
|
Вступление
Кодирование по Международной статистической классификации болезней и проблем, связанных со здоровьем: E70.0, E70.1.
Год утверждения (частота пересмотра): 2020.
Возрастная категория: Взрослые , Дети.
Пересмотр не позднее: 2022.
ID: 482.
Разработчик клинической рекомендации.
• Ассоциация медицинских генетиков.
• Союз педиатров России.
• Профессиональная общественная организация (ассоциация) детских врачей «Инициатива специалистов педиатрии и неонатологии в развитии клинических практик».
Одобрено Научно-практическим Советом Минздрава РФ.
Год утверждения (частота пересмотра): 2020.
Возрастная категория: Взрослые , Дети.
Пересмотр не позднее: 2022.
ID: 482.
Разработчик клинической рекомендации.
• Ассоциация медицинских генетиков.
• Союз педиатров России.
• Профессиональная общественная организация (ассоциация) детских врачей «Инициатива специалистов педиатрии и неонатологии в развитии клинических практик».
Одобрено Научно-практическим Советом Минздрава РФ.
|
|
Список сокращений
ГФА ― гиперфенилаланинемия.
ЗВУР― задержка внутриутробного развития.
МГК ― медико-генетическая консультация.
МРТ ― магнитно-резонансная томография.
УЗИ ― ультразвуковое исследование.
ФАГ ― фермент фенилаланингидроксилаза.
ФКУ ― фенилкетонурия.
ФА - фенилаланин.
ЭЭГ ― электроэнцефалография.
AdGTPCH (autosomal dominant guanosine triphosphate cyclohydrolase) ― аутосомно-доминантный дефицит гуанозинтрифосфат-циклогидролазы I.
ArGTPCH (autosomal recessive guanosine triphosphate cyclohydrolase) ― аутосомно-рецессивный дефицит гуанозинтрифосфат-циклогидролазы I.
ВН4 (tetrahydrobiopterin) ― кофактор тетрагидробиоптерин.
DHPR (dihydropteridine reductase) ― фермент дигидроптеридинредуктаза.
GTPСH (guanosine triphosphate cyclohydrolase) ― фермент гуанозинтрифосфатциклогидролаза.
OMIM (online mendelian inheritance of man) ― электронная база данных «Менделевское наследование у человека».
PAH (phenylalanine hydroxylase) ― ген, кодирующий фермент фенилаланингидроксилазу.
PCBD (pterin-4-alpha-carbinolamine dehydratase) ― фермент птерин-4-альфа-карбиноламиндегидратаза.
PTPS (6-pyruvoyl tetrahydropterin synthase) ― фермент 6-пирувоил-тетрагидроптерин синтаза.
SR (sepiapterin reductase) ― фермент сепиаптеринредуктаза.
** ― препарат входит в перечень жизненно необходимых и важнейших лекарственных препаратов (Распоряжение Правительства РФ от 12,10,2019 № 2406-р «Об утверждении перечня жизненно необходимых и важнейших лекарственных препаратов на 2020 год, а также перечней лекарственных препаратов для медицинского применения и минимального ассортимента лекарственных препаратов, необходимых для оказания медицинской помощи».
ЗВУР― задержка внутриутробного развития.
МГК ― медико-генетическая консультация.
МРТ ― магнитно-резонансная томография.
УЗИ ― ультразвуковое исследование.
ФАГ ― фермент фенилаланингидроксилаза.
ФКУ ― фенилкетонурия.
ФА - фенилаланин.
ЭЭГ ― электроэнцефалография.
AdGTPCH (autosomal dominant guanosine triphosphate cyclohydrolase) ― аутосомно-доминантный дефицит гуанозинтрифосфат-циклогидролазы I.
ArGTPCH (autosomal recessive guanosine triphosphate cyclohydrolase) ― аутосомно-рецессивный дефицит гуанозинтрифосфат-циклогидролазы I.
ВН4 (tetrahydrobiopterin) ― кофактор тетрагидробиоптерин.
DHPR (dihydropteridine reductase) ― фермент дигидроптеридинредуктаза.
GTPСH (guanosine triphosphate cyclohydrolase) ― фермент гуанозинтрифосфатциклогидролаза.
OMIM (online mendelian inheritance of man) ― электронная база данных «Менделевское наследование у человека».
PAH (phenylalanine hydroxylase) ― ген, кодирующий фермент фенилаланингидроксилазу.
PCBD (pterin-4-alpha-carbinolamine dehydratase) ― фермент птерин-4-альфа-карбиноламиндегидратаза.
PTPS (6-pyruvoyl tetrahydropterin synthase) ― фермент 6-пирувоил-тетрагидроптерин синтаза.
SR (sepiapterin reductase) ― фермент сепиаптеринредуктаза.
** ― препарат входит в перечень жизненно необходимых и важнейших лекарственных препаратов (Распоряжение Правительства РФ от 12,10,2019 № 2406-р «Об утверждении перечня жизненно необходимых и важнейших лекарственных препаратов на 2020 год, а также перечней лекарственных препаратов для медицинского применения и минимального ассортимента лекарственных препаратов, необходимых для оказания медицинской помощи».
Термины и определения
Гиперфенилаланинемия ― группа аутосомно-рецессивных заболеваний, обусловленных нарушением обмена незаменимой аминокислоты фенилаланина, поступающей в организм человека с белковой пищей.
« Материнская фенилкетонурия» ― эмбриофетопатия, развивающаяся у плода в результате воздействия продуктов аномального метаболизма беременной женщины с фенилкетонурией при отсутствии диетического лечения.
Неонатальный скрининг ― медицинская диагностическая технология сплошного безвыборочного лабораторного обследования всех новорожденных на некоторые заболевания обмена веществ, призванная обеспечить своевременное выявление и начало лечения больных детей с целью предотвращения их инвалидизации.
« Материнская фенилкетонурия» ― эмбриофетопатия, развивающаяся у плода в результате воздействия продуктов аномального метаболизма беременной женщины с фенилкетонурией при отсутствии диетического лечения.
Неонатальный скрининг ― медицинская диагностическая технология сплошного безвыборочного лабораторного обследования всех новорожденных на некоторые заболевания обмена веществ, призванная обеспечить своевременное выявление и начало лечения больных детей с целью предотвращения их инвалидизации.
Описание
Гиперфенилаланинемии - группа аутосомно-рецессивных заболеваний, обусловленных нарушением обмена незаменимой аминокислоты фенилаланина (ФА), поступающей в организм человека с белковой пищей. Гиперфенилаланинемии (ГФА) объединяют несколько генетически гетерогенных форм нарушений обмена ФА, сходных по клиническим признакам: фенилкетонурия и нарушения обмена тетрагидробиоптерина [2, 16].
Фенилкетонурия (ФКУ) - гиперфенилаланинемия (ГФА), обусловленная недостаточностью активности фенилаланингидроксилазы (ФАГ) и приводящая к накоплению в организме ФА и продуктов его метаболизма [16, 17, 33].
Нарушения обмена тетрагидробиоптерина (BH4-дефицитная ГФА) - гетерогенная группа ГФА-состояний, вызванных дефицитом одного из ферментов, участвующих в цепи биохимических превращений тетрагидробиоптерина (BH4) [16,17, 34, 35].
Фенилкетонурия (ФКУ) - гиперфенилаланинемия (ГФА), обусловленная недостаточностью активности фенилаланингидроксилазы (ФАГ) и приводящая к накоплению в организме ФА и продуктов его метаболизма [16, 17, 33].
Нарушения обмена тетрагидробиоптерина (BH4-дефицитная ГФА) - гетерогенная группа ГФА-состояний, вызванных дефицитом одного из ферментов, участвующих в цепи биохимических превращений тетрагидробиоптерина (BH4) [16,17, 34, 35].
Причины
В норме в организме человека основное количество ФА утилизируется путем превращения его в тирозин, который в свою очередь служит субстратом для синтеза биогенных аминов и меланина. Лишь небольшое количество ФА используется для синтеза белка. Превращение L-фенилаланина в L-тирозин осуществляется с помощью фермента ФАГ (1).
1. Реакция (1) - преобразование фенилаланина в тирозин под действием фенилаланингидроксилазы; реакция (2) - тетрагидробиоптерин (в присутствии Fe2+) под действием фермента дигидробиоптеринредуктазы окисляется до образования дигидробиоптерина.
В основе патогенеза ГФА лежит блокирование гидроксилирования ФА и превращения его в тирозин. Прямым следствием этого нарушения являются накопление ФА в организме и снижение образования тирозина. При высоких концентрациях ФА происходит активация альтернативных путей его метаболизма с образованием фенилпирувата, фенилацетата, фениллактата и других производных, оказывающих токсический эффект на различные органы и ткани [16, 17].
В наибольшей степени страдают структуры центральной нервной системы (ЦНС). Повреждение головного мозга связано с эффектами избытка ФА: дисбалансом аминокислот в тканях мозга, обусловленным торможением их всасывания в желудочно-кишечном тракте или нарушением реабсорбции из почечных канальцев в условиях избыточного содержания ФА в жидких средах организма, необходимых для синтеза белка, нарушением образования или стабилизации полирибосом, снижением синтеза миелина, норадреналина и серотонина, играющих исключительно важную роль в созревании и функционировании ЦНС [14, 16, 17].
ФА является конкурентным ингибитором тирозиназы - ключевого фермента синтеза меланина. Блокада этого пути, наряду с уменьшением доступности тирозина, предшественника меланина, приводит к гипопигментации волос и кожи [3].
Активность фермента ФАГ зависит от трех основных кофакторов: ФАГ-стимулирующего белка (ФАГС), тетрагидробиоптерина (ВН4) и молекулярного кислорода. Функция ВН4 заключается в стабилизации четвертичной структуры (фолдинге) ФАГ и других ферментов, участвующих в гидроксилировании тирозина, триптофана, аргинина ( 2).
2. Роль тетрагидробиоптерина в гидроксилировании ароматических аминокислот.
1. Реакция (1) - преобразование фенилаланина в тирозин под действием фенилаланингидроксилазы; реакция (2) - тетрагидробиоптерин (в присутствии Fe2+) под действием фермента дигидробиоптеринредуктазы окисляется до образования дигидробиоптерина.
В основе патогенеза ГФА лежит блокирование гидроксилирования ФА и превращения его в тирозин. Прямым следствием этого нарушения являются накопление ФА в организме и снижение образования тирозина. При высоких концентрациях ФА происходит активация альтернативных путей его метаболизма с образованием фенилпирувата, фенилацетата, фениллактата и других производных, оказывающих токсический эффект на различные органы и ткани [16, 17].
В наибольшей степени страдают структуры центральной нервной системы (ЦНС). Повреждение головного мозга связано с эффектами избытка ФА: дисбалансом аминокислот в тканях мозга, обусловленным торможением их всасывания в желудочно-кишечном тракте или нарушением реабсорбции из почечных канальцев в условиях избыточного содержания ФА в жидких средах организма, необходимых для синтеза белка, нарушением образования или стабилизации полирибосом, снижением синтеза миелина, норадреналина и серотонина, играющих исключительно важную роль в созревании и функционировании ЦНС [14, 16, 17].
ФА является конкурентным ингибитором тирозиназы - ключевого фермента синтеза меланина. Блокада этого пути, наряду с уменьшением доступности тирозина, предшественника меланина, приводит к гипопигментации волос и кожи [3].
Активность фермента ФАГ зависит от трех основных кофакторов: ФАГ-стимулирующего белка (ФАГС), тетрагидробиоптерина (ВН4) и молекулярного кислорода. Функция ВН4 заключается в стабилизации четвертичной структуры (фолдинге) ФАГ и других ферментов, участвующих в гидроксилировании тирозина, триптофана, аргинина ( 2).
2. Роль тетрагидробиоптерина в гидроксилировании ароматических аминокислот.
Эпидемиология
Частота ГФА среди населения планеты значительно варьирует в зависимости от популяции: от 1:4370 в Турции до 1:80500 в Японии. Наибольшая распространенность заболевание отмечена среди европеоидной расы [3-5]. По данным Европейских центров скрининга ГФА, частота заболевания в восточно-европейской популяции выше, чем в популяциях запада и юго-запада Европы. В Ирландии частота ГФА составляет 1:4500 1:7300, в Италии 1:12280, Греции 1:18640 [5]. В Скандинавских популяциях частота ГФА исключительно низка, особенно в Финляндии 1:71000 и Швеции 1:43230 [4, 5].
В России по данным неонатального скрининга частота ГФА составляет 1:7000 и колеблется в различных регионах от 1:4735 в Курской области до 1:18000 в Республике Тыва. В Санкт-Петербурге частота ГФА 1:7600, в Москве 1:5600. ФАГ-дефицитная ГФА выявляется в 97-98% случаев. вH4-дефицитные ГФА составляют 1-3% случаев, выявленных в ходе неонатального скрининга [8].
Е70,1 Другие виды гиперфенилаланинемии.
Комментарии. К классической фенилкетонурии (Е70,0) относятся ГФА, обусловленные патогенными вариантами в гене PAH. К другим видам гиперфенилаланинемии (Е70,1) - вH4-дефицитные ГФА.
В России по данным неонатального скрининга частота ГФА составляет 1:7000 и колеблется в различных регионах от 1:4735 в Курской области до 1:18000 в Республике Тыва. В Санкт-Петербурге частота ГФА 1:7600, в Москве 1:5600. ФАГ-дефицитная ГФА выявляется в 97-98% случаев. вH4-дефицитные ГФА составляют 1-3% случаев, выявленных в ходе неонатального скрининга [8].
1,4 Особенности кодирования заболевания или состояния (группы заболеваний или состояний) по Международной статистической классификации болезней и проблем, связанных со здоровьем.
Е70,0 Классическая фенилкетонурия.Е70,1 Другие виды гиперфенилаланинемии.
Комментарии. К классической фенилкетонурии (Е70,0) относятся ГФА, обусловленные патогенными вариантами в гене PAH. К другим видам гиперфенилаланинемии (Е70,1) - вH4-дефицитные ГФА.
Классификация
1,5 Классификация заболевания или состояния (группы заболеваний или состояний).
Существует несколько подходов к классификации ГФА. Выделяют ФАГ-зависимую и ФАГ-независимую формы ГФА. В зависимости от тяжести и максимальной концентрации ФА в крови до лечения после установки клинического диагноза или скрининга новорожденного выделяют легкую, умеренную или тяжелую формы ГФА (Приложение Г1).Легкая форма ГФА требует наблюдения и проведения дифференциальной диагностики. Строгого диетического лечения при этой форме ГФА, как правило, не назначают. Пациенты с легкой формой ГФА должны находиться под систематическим наблюдением врача с контролем уровня ФА крови [3, 16, 42].
Умеренная форма ГФА подразумевает сохранение частичной активности фермента ФАГ, требует соблюдения гипофенилаланиновой диеты, а также проведения теста на чувствительность к синтетическому аналогу тетрагидробиоптерина - Сапроптерину** с целью его назначения совместно с гипофенилаланиновой диетой [16, 28].
Тяжелая форма ГФА обусловлена минимальной активностью фермента ФАГ. Она требует соблюдения строгой гипофенилаланиновой диеты, а в некоторых случаях (после определения генотипа) проведения теста на чувствительность к сапроптерину** (код по АТХ A16AX07) с целью выявления потенциальной чувствительности пациента к кофакторной терапии.
На основе данных молекулярно-генетических исследований была создана современная классификация ГФА, которая отражает этиопатогенез заболевания (Приложение А3,2) [6-13].
Фенилкетонурия (гиперфенилаланемия ФАГ-дефицитная) обусловлена дефектом фермента фенилаланингидроксилазы (ФАГ), преобразующего ФА в тирозин при участии кофактора и шаперона вH4. Нарушение работы ФАГ происходит в результате мутаций в гене PAH, располагающемся в регионе 12q22-q24,2. Данная нозология является наиболее распространенной формой и встречается в 98% всех случаев ГФА [6, 7].
В настоящее время известно несколько генетически гетерогенных форм вH4-дефицитных ГФА (устаревшее название «атипичная ФКУ»):
1. вH4-дефицитная ГФА (тип А) обусловлена недостаточностью 6-пирувоилтетрагидроптеринсинтазы (PTPS), участвующей в процессе синтеза тетрагидробиоптерина из дигидронеоптерин трифосфата. Заболевание вызвано мутацией структурного гена PTS цитозольной 6-пирувоилтетрагидроптеринсинтазы, сопровождается ферментативной недостаточностью PTPS в печени и эритроцитах. Ген PTS расположен на длинном плече хромосомы 11, в районе q22,3-23,3 [6, 7, 9, 34, 35].
2. вH4-дефицитная ГФА (тип в) обусловлена недостаточностью гуанозинтри-фосфатциклогидролазы 1 (GTPCH), которая функционирует на начальных этапах синтеза вH4, преобразуя гуанозин 5′-трифосфат в дигидронеоптеринтрифосфат. Фермент контролируется геном GCHI, локализованным на длинном плече хромосомы 14, в регионе 14q22,2 [6, 7, 9, 34, 35].
3. вH4-дефицитная ГФА (тип С) обусловлена дефицитом дигидроптери-динредуктазы (DHPR), которая контролирует восстановление вH4 из дигидробиоптерина, обеспечивая его реактивацию. Заболевание вызвано мутацией гена QDPR, который расположен на коротком плече хромосомы 4, в регионе 4p15,3 [6, 7, 9, 34, 35].
4. вH4-дефицитная ГФА (тип D) обусловлена дефицитом птерин-4-α-карбиноламиндегидратазы (PCD), которая также участвует в восстановлении вH4. Фермент кодируется геном PCBD, локализованном на длинном плече хромосомы 10, в районе 10q22,1 [6, 7, 9, 34, 35].
5. ДОФА-зависимая дистония, обусловлена дефицитом сепиаптеринредуктазы (SPR), условно входит в группу ГФА, так при этом заболевании обычно не наблюдается повышения уровня ФА в крови. Тем не менее, уровень ФА повышается в головном мозге пациента, что обуславливает развитие клинической картины, сходной с другими вH4-дефицитными ГФА. Заболевание связано с недостаточностью фермента SPR, который принимает участие в заключительном этапе синтеза вH4. Активность сепиаптеринредуктазы кодирует ген SPR, расположенный на длинном плече хромосомы 2, в регионе 2q13,2 [6-8].
6. Гиперфенилаланинемия без дефицита тетрагидробиоптерина обусловлена мутациями в гене DNAJC12, кодирующем белок JDP1. Белок JDP1 выполняет функцию схожую с вH4 - является шапероном для ферментов, участвующих в метаболизме нейротрансмиттеров и фолдинге фермента ФАГ. Таким образом, дефект гена DNAJC12 приводит к развитию фенотипа схожего с вH4-дефицитными ГФА [6-8].
|
|
Клиническая картина
Клинические особенности ФАГ-дефицитной ГФА (классической ФКУ).
Клинические проявления заболевания зависят от сроков начала терапии, тяжести мутационного повреждение фермента. Без эффективной терапии у большинства пациентов с тяжелым дефицитом ФАГ, известным как классическая ФКУ, развивается тяжелое поражение нервной системы, при своевременном начале терапии есть возможность избежать выраженных клинических проявлений болезни [21].
Пациенты с тяжелой ГФА (классической ФКУ) без терапии.
В первые недели жизни дети с ГФА выглядят здоровыми. Манифестация болезни происходит в возрасте 2-6 месяцев при отсутствии диетотерапии, отмечается вялость, отсутствие/потеря интереса к окружающему, иногда наоборот, повышенная раздражительность, беспокойство, гипертонус мышц, гиперрефлексия, экзематозная сыпь. Характерен «мышиный запах» пота и мочи, который объясняется выделением фенилацетата, фенилпирувата. Во втором полугодии жизни наблюдается регресс в моторном и психоречевом развитии: дети перестают реагировать на обращенную речь, узнавать мать, не фиксируют взгляд и не реагируют на яркие игрушки, не переворачиваются на живот, не сидят. Физическое развитие нарушено в меньшей степени, однако, выявляется некоторое уменьшение окружности головы или даже микроцефалия, более позднее прорезывание зубов. У большинства нелеченых детей светлые волосы, голубые глаза. Кожа почти полностью лишена меланина и имеет повышенную чувствительность к инсоляции и травмам, поэтому нередко наблюдаются тяжелая экзема, дерматит, фолликулярный кератоз, повышенная склонность к гнойничковым инфекциям.
При отсутствии лечения развивается тяжелая умственная отсталость (IQ<50). Эпилептические приступы по типу «салаамовых» припадков, «кивков», абсансов встречаются у 50% больных, они резистентны к противосудорожной терапии. Эпилептическую активность при проведении электроэнцефалографии регистрируют у 85-90% больных. Возможны и другие неврологические расстройства - атаксия, гиперкинезы, тремор рук, парезы по центральному типу, что связано с нарушением процессов миелинизации нейронов и снижением плотности белого вещества головного мозга. Вследствие хронических метаболических нарушений снижается образование нейротрансмиттеров (дофамина, серотонина, норадреналина).
В настоящее время клинические проявления ГФА практически не встречаются в связи с ранней диагностикой болезни и своевременным началом лечения. Однако в редких случаях пациенты могут быть «пропущены» при проведении массового скрининга или родители могут не соблюдать назначенную диету, поэтому следует исключать ГФА при неясных случаях умственной отсталости у детей.
Пациенты с тяжелой ФАГ-дефицитной ГФА, находящиеся на лечении.
Несмотря на раннее начало лечения и соблюдение диеты, у пациентов могут наблюдаться когнитивные нарушения, характеризующиеся особенностями зрительных и исполнительских функций, снижением скорости обработки информации, низким уровнем концентрации внимания, нарушениями динамичности процесса запоминания, речи. Даже при нормальном уровне интеллектуального развития у 96% детей с ГФА определяются различные изменения в эмоциональной сфере, мешающие их полноценной социальной адаптации: снижение познавательных способностей, высокий уровень тревожности, эмоциональная неустойчивость, гиперактивность, агрессивность [57, 59, 66].
Среди пациентов, получавших гипофенилаланиновую диету с включением несбалансированных продуктов лечебного питания, в 4 раза больше детей с избыточной массой тела и ожирением, а также в 12 раз больше - с недостаточностью питания по сравнению с больными, находившимися на лечении современными специализированными продуктами на основе аминокислот без ФА. При позднем начале диетотерапии помимо сохраняющихся неврологических симптомов отмечают увеличение числа низкорослых детей (в 10 раз), с недостаточностью питания (в 6,5 раза), с ожирением (в 7 раз) по сравнению с группой пациентов, которым лечение было начато своевременно [67].
На фоне элиминационной диетотерапии могут отмечаться дефициты микроэлементов (цинка, селена, железа, меди и магния), карнитина, ω-3 полине- насыщенных жирных кислот, витаминов в6, в12, в9 (фолиевой кислоты) [61-63]. Многими исследованиями доказана высокая частота остеопении у больных ГФА по сравнению с общей популяцией. Однако точно не установлены механизмы уменьшения минеральной плотности костной ткани. Выявлена связь процессов резорбции/формирования костной ткани с приверженностью к диетотерапии и достаточным поступлением микроэлементов с продуктами специального питания [68].
Оценка качества жизни детей с ГФА показала, что все его параметры - физическое, эмоциональное, социальное функционирование, функционирование в школе/ детском саду - ниже по сравнению со здоровыми сверстниками. Максимальные различия установлены у школьников, что, по мнению авторов, связано с увеличением умственной и физической нагрузки, нарастанием напряженности внутренних психоэмоциональных процессов. При этом показано: чем позже начато лечение у больных ГФА, тем ниже показатели социального и ролевого функционирования, а с увеличением возраста обследованных детей ниже показатели их адаптации в коллективе [69].
Корреляция между повышенными уровнями ФА в раннем возрасте и долгосрочным снижением IQ хорошо изучена. Влияние уровня ФА на IQ в течение жизни также было показано в исследованиях на взрослых. Так, у тех, кто снижает свою приверженность диете с ограниченным содержанием ФА в зрелом возрасте, IQ немного снижается, что еще больше подтверждает концепцию «пожизненной» диеты [4, 57].
Тем не менее, даже при строгом соблюдении диеты с низким содержанием ФА у взрослых могут наблюдаться когнитивные нарушения, такие как снижение языковых навыков, памяти, скорости восприятия и обработки информации, способности к обучению и исполнительной функции [58].
Взрослые, которые не соблюдают диету с ограничением ФА и имеют повышенный уровень ФА в крови, обычно плохо концентрируют внимание и демонстрируют замедленные двигательные реакции [29, 58].
Существует также более высокий уровень тревожности, депрессии, фобий и панических атак у лиц, получавших лечение в детстве, но прекративших терапию во втором десятилетии жизни. Эти данные, по-видимому, связаны как с текущими, так и с анамнестическими данными по содержанию ФА в крови [3, 36, 60, 66, 67].
Пациенты с мягким биохимическим и клиническим фенотипом ФАГ-дефицитной ГФА.
Считается, что при ФАГ-дефицитной ГФА, даже если концентрация ФА в плазме постоянно ниже 600 мкмоль/л (10 мг/дл, единицы измерения ФА: 1мг/дц соответствует 1мг%, 60 мкмоль/л) у пациентов без диетотерапии риск развития интеллектуальных, неврологических и нейропсихологических нарушений выше, чем у лиц без дефицита ФАГ. Эксперты рекомендуют ограничение ФА для любого пациента, у которого уровень ФА> 360 мкмоль / л (6 мг/дл) [5,17].
Описаны случаи ФАГ с легким дефицитом ФАГ, у пациентов с нормальным интеллектом, диагноз которым установили во взрослом возрасте при внезапном ухудшения психического состояния [41, 60].
«Материнская фенилкетонурия».
Синдром материнской ФКУ - комплекс симптомов, возникающих у детей женщин, страдающих ГФА и не получавших специализированное лечение (диета ) в прегравидарный период и во время беременности Синдром развивается в результате воздействия на плод повышенного содержания ФА и его метаболитов в крови матери. Выделяют следующие проявления синдрома материнской ФКУ [4]:
-задержка внутриутробного развития (ЗВУР). Частота не отличается от общей популяции, если материнские уровни ФА контролируются в течение первых десяти недель беременности; риск ЗВУР плода увеличивается, если концентрация ФА оптимизируется позднее;
-микроцефалия. Риск составляет 5-18% во время беременности, при которой уровень ФА у матери оптимизируется до беременности и в течение первых десяти недель. Риск увеличивается до 67%, если соответствующие уровни ФА не достигнуты в течение 30 недель беременности;
- врожденный порок сердца и другие пороки развития. Повышенные концентрации ФА в материнской крови (> 600 мкмоль/л) во время ранних сроков беременности приводят приблизительно к 8% -12% риску пороков развития сердца. Фенотипические особенности и другие врожденные дефекты (включая трахеопищеводные свищи ) также были зарегистрированы у детей, рожденных от женщин с ГФА;
-интеллектуальный дефицит (>90%). Критическим значением является концентрация ФА в материнской крови, постоянно превышающая 360 мкмоль/л во время беременности, с обратной зависимостью между когнитивной функцией ребенка и уровнем ФА в материнской крови выше 360 мкмоль/л;
При постоянном лечении и контроле уровня ФА крови риск врожденных пороков развития плода у женщины с ГФА минимален.
Клинические особенности вH4-дефицитных ГФА.
Клинически ГФА-BH4 характеризуются гиперфенилаланинемией, дефицитом нейротрансмиттеров дофамина и серотонина, прогрессирующими интеллектуальными и моторными нарушениями [4, 6]. Для этих нозологических форм характерно отсутствие положительной клинической динамики на ограничение поступления ФА с пищей и на фоне адекватного снижения уровня ФА крови. Без лечения вH4-дефицитные ГФА типы А, В, С имеют сходные клинические симптомы и характеризуются ранней манифестацией в первые 3 месяца жизни, а в половине случаев - в неонатальном периоде. Степень тяжести клинических проявлений у детей и взрослых варьирует. При тяжелом течении в клинической картине преобладает быстро прогрессирующая задержка психомоторного развития, тонико-клонические судорожные приступы, повышенная возбудимость, гиперрефлексия, мышечная дистония (гипотония мышц туловища, гипертонус мышц конечностей), спастический тетрапарез, а также экстрапирамидные симптомы (хореиформные гиперкинезы), нарушение походки, тремор, атаксия, расстройства глотания, гиперсаливация, нарушения терморегуляции, псевобульбарные расстройства, окулогирные кризы (эпизодическое содружественное отклонение глаз, обычно направленное вверх и латерально). В некоторых случаях наблюдаются изменения выраженности неврологических симптомов в течение суток: ухудшение во второй половине дня, а утром, после сна - улучшение состояния При А и С типе вH4-дефицитных ГФА часто встречается микроцефалия. Легкие формы вH4-дефицитных ГФА могут протекать с минимальными клиническими признаками.
Повышение концентрации ФА в плазме крови пациентов с вH4-дефицитными ГФА может сильно варьировать от небольшой (не более 360-600 мкмоль/л ) до очень высокой (2500 мкмоль/л), сходной с таковой при классической ФКУ.
У части пациентов с дефектами гена GCH1 при рождении содержание ФА в крови может быть нормальным (такие случаи не будут выявлены при неонатальном скрининге), но позднее концентрация ФА периодически может повышаться. В тканях и биологических жидкостях пациентов больного определяется резкое снижение содержания конечных метаболитов биогенных аминов - гомованилиновой и 5-гидроксииндолуксусной кислот.
Недостаточность 6-пирувоилтетрагидроптеринсинтетазы (BH4-дефицитная ГФА тип А).
Этот вариант является наиболее распространенным, он обуславливает около 60% всех случаев ГФА с дефицитом вH4. Проявляется в тяжелой (центральная) и умеренной (периферическая) формах. Первая, наиболее часто встречающаяся (80%) тяжелая форма сопровождается выраженным снижением содержания биогенных аминов серотонина и катехоламинов в цереброспинальной жидкости (ликворе).
При тяжелой форме неспецифические симптомы могут проявляться с первых недель жизни ребенка: мышечная гипотония, вялое сосание, снижение двигательной активности. Некоторые дети рождаются с признаками задержки внутриутробного развития. Нарушения со стороны центральной нервной системы обычно становятся заметными в возрасте около 4 месяцев. Без применения патогенетической терапии у пациентов отмечаются сонливость, раздражительность, мышечная дистония, гиперкинезы, гипертермия, гиперсаливация и трудности с глотанием, далее к указанным симптомам присоединяются судороги (тонико-клонические, миоклонические), развивается умственная отсталость. При этой форме часто наблюдается микроцефалия [70]. Периферическая форма характеризуется незначительным снижением уровня нейромедиаторов, невысокой ГФА, более благоприятным клиническим течением с поздней манифестацией и умеренным поражением ЦНС. Ухудшение состояния больного обычно происходит в подростковом возрасте и проявляется нейровегетативными и болевыми приступами.
Недостаточность гуанозинтрифосфатциклогидролазы 1 (BH4-дефицитная ГФА тип в ), приводящая к клинике ГФА-BH4В [6], также вызывают ДОФА-зависимую дистонию, которая может наследоваться по аутосомно-доминантному типу. Пациенты имеют прогрессирующую неврологическую симптоматику, обычно проявляющуюся мягче, чем при классической ФКУ в отсутствии лечения.
Недостаточность дигидроптеридинредуктазы (BH4-дефицитная ГФА тип С). Клинические проявления этой формы схожи с клиникой при других формах ГФА-BH4.
Недостаточность птерин-4-α-карбиноламиндегидратазы (BH4-дефицитная ГФА тип D) характеризуется доброкачественным, малосимптомным течением заболевания. [6].
Недостаточность сепиаптеринредуктазы (ДОФА-зависимая дистония). Описанные случаи дефектов гена SPR не сопровождаются гиперфенилаланинемией. Клинические проявления сходны с ГФА-BH4 [64].
В младенчестве могут отмечаться неспецифические симптомы: задержка моторного развития и низкий мышечный тонус. Заболевание обычно развивается на первом году жизни, проявляясь дистонией, задержкой формирования двигательных и речевых навыков, мышечной слабостью, центральной гипотонией, а также окулогирными кризами; выраженность симптомов колеблется в течение суток (ночью наблюдается ухудшение, утром, после сна - улучшение состояния). Позднее часто развиваются нарушения сна и психологические расстройства (тревожность, раздражительность). Часто возникают интеллектуальные нарушения, но у многих больных наблюдаются только легкие или умеренные трудности при обучении. Реже развиваются такие симптомы, как паркинсонизм (тремор, брадикинезия, мышечная ригидность, застывшее лицо), дизартрия, гиперрефлексия, повышенный тонус мышц конечностей, вегетативные нарушения. Во многих случаях дистония и выраженные колебания симптоматики в течение суток проявляются лишь на более поздней стадии заболевания.
Поскольку при этой форме болезни не наблюдается повышение ФА в крови, а подходы к терапии принципиально отличаются от всех других форм нарушений обмена ФА, более детальное описание недостаточности сепиаптеринредуктазы не приведено в данных клинических рекомендациях.
ГФА без дефицита тетрагидробиоптерина, обусловленная мутациями в гене DNAJC12. Данная форма обычно выявляется при скрининге новорожденных. Клинические симптомы сходны с другими ГФА-BH4 формами: задержка психомоторного развития, повышенная возбудимость, гиперрефлексия, мышечная дистония, в более старшем возрасте- различная степень нарушения интеллекта. У некоторых пациентов в детстве развивается ДОФА-зависимый паркинсоноподобный синдром. При лабораторном исследовании выявляют дефицит допамина, серотонина в спинномозговой жидкости, и нормальный метаболизм тетрагидробиоптерина [65].
Таким образом, можно выделить 6 форм ГФА, различающихся по подходам к диагностике, лечению и наблюдению: ФАГ--дефицитная ГФА, легкая форма (не требующая терапии до года), ФАГ-дефицитная ГФА умеренная форма, требующая терапии; ФАГ-дефицитная ГФА, тяжелая форма, требующая терапии; ФАГ-дефицитная ГФА, чувствительная к терапии сапроптерином**; вH4-дефицитные ГФА; материнская ФКУ (классическая фенилкетонурия, беременность).
Клинические проявления заболевания зависят от сроков начала терапии, тяжести мутационного повреждение фермента. Без эффективной терапии у большинства пациентов с тяжелым дефицитом ФАГ, известным как классическая ФКУ, развивается тяжелое поражение нервной системы, при своевременном начале терапии есть возможность избежать выраженных клинических проявлений болезни [21].
Пациенты с тяжелой ГФА (классической ФКУ) без терапии.
В первые недели жизни дети с ГФА выглядят здоровыми. Манифестация болезни происходит в возрасте 2-6 месяцев при отсутствии диетотерапии, отмечается вялость, отсутствие/потеря интереса к окружающему, иногда наоборот, повышенная раздражительность, беспокойство, гипертонус мышц, гиперрефлексия, экзематозная сыпь. Характерен «мышиный запах» пота и мочи, который объясняется выделением фенилацетата, фенилпирувата. Во втором полугодии жизни наблюдается регресс в моторном и психоречевом развитии: дети перестают реагировать на обращенную речь, узнавать мать, не фиксируют взгляд и не реагируют на яркие игрушки, не переворачиваются на живот, не сидят. Физическое развитие нарушено в меньшей степени, однако, выявляется некоторое уменьшение окружности головы или даже микроцефалия, более позднее прорезывание зубов. У большинства нелеченых детей светлые волосы, голубые глаза. Кожа почти полностью лишена меланина и имеет повышенную чувствительность к инсоляции и травмам, поэтому нередко наблюдаются тяжелая экзема, дерматит, фолликулярный кератоз, повышенная склонность к гнойничковым инфекциям.
При отсутствии лечения развивается тяжелая умственная отсталость (IQ<50). Эпилептические приступы по типу «салаамовых» припадков, «кивков», абсансов встречаются у 50% больных, они резистентны к противосудорожной терапии. Эпилептическую активность при проведении электроэнцефалографии регистрируют у 85-90% больных. Возможны и другие неврологические расстройства - атаксия, гиперкинезы, тремор рук, парезы по центральному типу, что связано с нарушением процессов миелинизации нейронов и снижением плотности белого вещества головного мозга. Вследствие хронических метаболических нарушений снижается образование нейротрансмиттеров (дофамина, серотонина, норадреналина).
В настоящее время клинические проявления ГФА практически не встречаются в связи с ранней диагностикой болезни и своевременным началом лечения. Однако в редких случаях пациенты могут быть «пропущены» при проведении массового скрининга или родители могут не соблюдать назначенную диету, поэтому следует исключать ГФА при неясных случаях умственной отсталости у детей.
Пациенты с тяжелой ФАГ-дефицитной ГФА, находящиеся на лечении.
Несмотря на раннее начало лечения и соблюдение диеты, у пациентов могут наблюдаться когнитивные нарушения, характеризующиеся особенностями зрительных и исполнительских функций, снижением скорости обработки информации, низким уровнем концентрации внимания, нарушениями динамичности процесса запоминания, речи. Даже при нормальном уровне интеллектуального развития у 96% детей с ГФА определяются различные изменения в эмоциональной сфере, мешающие их полноценной социальной адаптации: снижение познавательных способностей, высокий уровень тревожности, эмоциональная неустойчивость, гиперактивность, агрессивность [57, 59, 66].
Среди пациентов, получавших гипофенилаланиновую диету с включением несбалансированных продуктов лечебного питания, в 4 раза больше детей с избыточной массой тела и ожирением, а также в 12 раз больше - с недостаточностью питания по сравнению с больными, находившимися на лечении современными специализированными продуктами на основе аминокислот без ФА. При позднем начале диетотерапии помимо сохраняющихся неврологических симптомов отмечают увеличение числа низкорослых детей (в 10 раз), с недостаточностью питания (в 6,5 раза), с ожирением (в 7 раз) по сравнению с группой пациентов, которым лечение было начато своевременно [67].
На фоне элиминационной диетотерапии могут отмечаться дефициты микроэлементов (цинка, селена, железа, меди и магния), карнитина, ω-3 полине- насыщенных жирных кислот, витаминов в6, в12, в9 (фолиевой кислоты) [61-63]. Многими исследованиями доказана высокая частота остеопении у больных ГФА по сравнению с общей популяцией. Однако точно не установлены механизмы уменьшения минеральной плотности костной ткани. Выявлена связь процессов резорбции/формирования костной ткани с приверженностью к диетотерапии и достаточным поступлением микроэлементов с продуктами специального питания [68].
Оценка качества жизни детей с ГФА показала, что все его параметры - физическое, эмоциональное, социальное функционирование, функционирование в школе/ детском саду - ниже по сравнению со здоровыми сверстниками. Максимальные различия установлены у школьников, что, по мнению авторов, связано с увеличением умственной и физической нагрузки, нарастанием напряженности внутренних психоэмоциональных процессов. При этом показано: чем позже начато лечение у больных ГФА, тем ниже показатели социального и ролевого функционирования, а с увеличением возраста обследованных детей ниже показатели их адаптации в коллективе [69].
Корреляция между повышенными уровнями ФА в раннем возрасте и долгосрочным снижением IQ хорошо изучена. Влияние уровня ФА на IQ в течение жизни также было показано в исследованиях на взрослых. Так, у тех, кто снижает свою приверженность диете с ограниченным содержанием ФА в зрелом возрасте, IQ немного снижается, что еще больше подтверждает концепцию «пожизненной» диеты [4, 57].
Тем не менее, даже при строгом соблюдении диеты с низким содержанием ФА у взрослых могут наблюдаться когнитивные нарушения, такие как снижение языковых навыков, памяти, скорости восприятия и обработки информации, способности к обучению и исполнительной функции [58].
Взрослые, которые не соблюдают диету с ограничением ФА и имеют повышенный уровень ФА в крови, обычно плохо концентрируют внимание и демонстрируют замедленные двигательные реакции [29, 58].
Существует также более высокий уровень тревожности, депрессии, фобий и панических атак у лиц, получавших лечение в детстве, но прекративших терапию во втором десятилетии жизни. Эти данные, по-видимому, связаны как с текущими, так и с анамнестическими данными по содержанию ФА в крови [3, 36, 60, 66, 67].
Пациенты с мягким биохимическим и клиническим фенотипом ФАГ-дефицитной ГФА.
Считается, что при ФАГ-дефицитной ГФА, даже если концентрация ФА в плазме постоянно ниже 600 мкмоль/л (10 мг/дл, единицы измерения ФА: 1мг/дц соответствует 1мг%, 60 мкмоль/л) у пациентов без диетотерапии риск развития интеллектуальных, неврологических и нейропсихологических нарушений выше, чем у лиц без дефицита ФАГ. Эксперты рекомендуют ограничение ФА для любого пациента, у которого уровень ФА> 360 мкмоль / л (6 мг/дл) [5,17].
Описаны случаи ФАГ с легким дефицитом ФАГ, у пациентов с нормальным интеллектом, диагноз которым установили во взрослом возрасте при внезапном ухудшения психического состояния [41, 60].
«Материнская фенилкетонурия».
Синдром материнской ФКУ - комплекс симптомов, возникающих у детей женщин, страдающих ГФА и не получавших специализированное лечение (диета ) в прегравидарный период и во время беременности Синдром развивается в результате воздействия на плод повышенного содержания ФА и его метаболитов в крови матери. Выделяют следующие проявления синдрома материнской ФКУ [4]:
-задержка внутриутробного развития (ЗВУР). Частота не отличается от общей популяции, если материнские уровни ФА контролируются в течение первых десяти недель беременности; риск ЗВУР плода увеличивается, если концентрация ФА оптимизируется позднее;
-микроцефалия. Риск составляет 5-18% во время беременности, при которой уровень ФА у матери оптимизируется до беременности и в течение первых десяти недель. Риск увеличивается до 67%, если соответствующие уровни ФА не достигнуты в течение 30 недель беременности;
- врожденный порок сердца и другие пороки развития. Повышенные концентрации ФА в материнской крови (> 600 мкмоль/л) во время ранних сроков беременности приводят приблизительно к 8% -12% риску пороков развития сердца. Фенотипические особенности и другие врожденные дефекты (включая трахеопищеводные свищи ) также были зарегистрированы у детей, рожденных от женщин с ГФА;
-интеллектуальный дефицит (>90%). Критическим значением является концентрация ФА в материнской крови, постоянно превышающая 360 мкмоль/л во время беременности, с обратной зависимостью между когнитивной функцией ребенка и уровнем ФА в материнской крови выше 360 мкмоль/л;
При постоянном лечении и контроле уровня ФА крови риск врожденных пороков развития плода у женщины с ГФА минимален.
Клинические особенности вH4-дефицитных ГФА.
Клинически ГФА-BH4 характеризуются гиперфенилаланинемией, дефицитом нейротрансмиттеров дофамина и серотонина, прогрессирующими интеллектуальными и моторными нарушениями [4, 6]. Для этих нозологических форм характерно отсутствие положительной клинической динамики на ограничение поступления ФА с пищей и на фоне адекватного снижения уровня ФА крови. Без лечения вH4-дефицитные ГФА типы А, В, С имеют сходные клинические симптомы и характеризуются ранней манифестацией в первые 3 месяца жизни, а в половине случаев - в неонатальном периоде. Степень тяжести клинических проявлений у детей и взрослых варьирует. При тяжелом течении в клинической картине преобладает быстро прогрессирующая задержка психомоторного развития, тонико-клонические судорожные приступы, повышенная возбудимость, гиперрефлексия, мышечная дистония (гипотония мышц туловища, гипертонус мышц конечностей), спастический тетрапарез, а также экстрапирамидные симптомы (хореиформные гиперкинезы), нарушение походки, тремор, атаксия, расстройства глотания, гиперсаливация, нарушения терморегуляции, псевобульбарные расстройства, окулогирные кризы (эпизодическое содружественное отклонение глаз, обычно направленное вверх и латерально). В некоторых случаях наблюдаются изменения выраженности неврологических симптомов в течение суток: ухудшение во второй половине дня, а утром, после сна - улучшение состояния При А и С типе вH4-дефицитных ГФА часто встречается микроцефалия. Легкие формы вH4-дефицитных ГФА могут протекать с минимальными клиническими признаками.
Повышение концентрации ФА в плазме крови пациентов с вH4-дефицитными ГФА может сильно варьировать от небольшой (не более 360-600 мкмоль/л ) до очень высокой (2500 мкмоль/л), сходной с таковой при классической ФКУ.
У части пациентов с дефектами гена GCH1 при рождении содержание ФА в крови может быть нормальным (такие случаи не будут выявлены при неонатальном скрининге), но позднее концентрация ФА периодически может повышаться. В тканях и биологических жидкостях пациентов больного определяется резкое снижение содержания конечных метаболитов биогенных аминов - гомованилиновой и 5-гидроксииндолуксусной кислот.
Недостаточность 6-пирувоилтетрагидроптеринсинтетазы (BH4-дефицитная ГФА тип А).
Этот вариант является наиболее распространенным, он обуславливает около 60% всех случаев ГФА с дефицитом вH4. Проявляется в тяжелой (центральная) и умеренной (периферическая) формах. Первая, наиболее часто встречающаяся (80%) тяжелая форма сопровождается выраженным снижением содержания биогенных аминов серотонина и катехоламинов в цереброспинальной жидкости (ликворе).
При тяжелой форме неспецифические симптомы могут проявляться с первых недель жизни ребенка: мышечная гипотония, вялое сосание, снижение двигательной активности. Некоторые дети рождаются с признаками задержки внутриутробного развития. Нарушения со стороны центральной нервной системы обычно становятся заметными в возрасте около 4 месяцев. Без применения патогенетической терапии у пациентов отмечаются сонливость, раздражительность, мышечная дистония, гиперкинезы, гипертермия, гиперсаливация и трудности с глотанием, далее к указанным симптомам присоединяются судороги (тонико-клонические, миоклонические), развивается умственная отсталость. При этой форме часто наблюдается микроцефалия [70]. Периферическая форма характеризуется незначительным снижением уровня нейромедиаторов, невысокой ГФА, более благоприятным клиническим течением с поздней манифестацией и умеренным поражением ЦНС. Ухудшение состояния больного обычно происходит в подростковом возрасте и проявляется нейровегетативными и болевыми приступами.
Недостаточность гуанозинтрифосфатциклогидролазы 1 (BH4-дефицитная ГФА тип в ), приводящая к клинике ГФА-BH4В [6], также вызывают ДОФА-зависимую дистонию, которая может наследоваться по аутосомно-доминантному типу. Пациенты имеют прогрессирующую неврологическую симптоматику, обычно проявляющуюся мягче, чем при классической ФКУ в отсутствии лечения.
Недостаточность дигидроптеридинредуктазы (BH4-дефицитная ГФА тип С). Клинические проявления этой формы схожи с клиникой при других формах ГФА-BH4.
Недостаточность птерин-4-α-карбиноламиндегидратазы (BH4-дефицитная ГФА тип D) характеризуется доброкачественным, малосимптомным течением заболевания. [6].
Недостаточность сепиаптеринредуктазы (ДОФА-зависимая дистония). Описанные случаи дефектов гена SPR не сопровождаются гиперфенилаланинемией. Клинические проявления сходны с ГФА-BH4 [64].
В младенчестве могут отмечаться неспецифические симптомы: задержка моторного развития и низкий мышечный тонус. Заболевание обычно развивается на первом году жизни, проявляясь дистонией, задержкой формирования двигательных и речевых навыков, мышечной слабостью, центральной гипотонией, а также окулогирными кризами; выраженность симптомов колеблется в течение суток (ночью наблюдается ухудшение, утром, после сна - улучшение состояния). Позднее часто развиваются нарушения сна и психологические расстройства (тревожность, раздражительность). Часто возникают интеллектуальные нарушения, но у многих больных наблюдаются только легкие или умеренные трудности при обучении. Реже развиваются такие симптомы, как паркинсонизм (тремор, брадикинезия, мышечная ригидность, застывшее лицо), дизартрия, гиперрефлексия, повышенный тонус мышц конечностей, вегетативные нарушения. Во многих случаях дистония и выраженные колебания симптоматики в течение суток проявляются лишь на более поздней стадии заболевания.
Поскольку при этой форме болезни не наблюдается повышение ФА в крови, а подходы к терапии принципиально отличаются от всех других форм нарушений обмена ФА, более детальное описание недостаточности сепиаптеринредуктазы не приведено в данных клинических рекомендациях.
ГФА без дефицита тетрагидробиоптерина, обусловленная мутациями в гене DNAJC12. Данная форма обычно выявляется при скрининге новорожденных. Клинические симптомы сходны с другими ГФА-BH4 формами: задержка психомоторного развития, повышенная возбудимость, гиперрефлексия, мышечная дистония, в более старшем возрасте- различная степень нарушения интеллекта. У некоторых пациентов в детстве развивается ДОФА-зависимый паркинсоноподобный синдром. При лабораторном исследовании выявляют дефицит допамина, серотонина в спинномозговой жидкости, и нормальный метаболизм тетрагидробиоптерина [65].
Таким образом, можно выделить 6 форм ГФА, различающихся по подходам к диагностике, лечению и наблюдению: ФАГ--дефицитная ГФА, легкая форма (не требующая терапии до года), ФАГ-дефицитная ГФА умеренная форма, требующая терапии; ФАГ-дефицитная ГФА, тяжелая форма, требующая терапии; ФАГ-дефицитная ГФА, чувствительная к терапии сапроптерином**; вH4-дефицитные ГФА; материнская ФКУ (классическая фенилкетонурия, беременность).
|
|
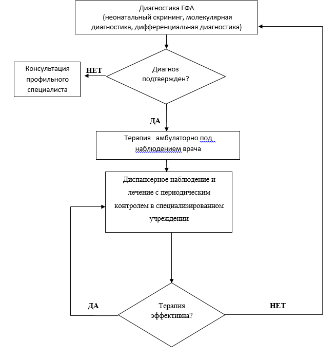
Диагностика
Критерии установления диагноза:
Главным критерием диагностики ГФА является повышенное содержание фенилаланина в крови выше 2,0 мг% (120 мкмоль/л), который определяется в первую очередь при неонатальном скрининге.
Диагноз ГФА подтверждается при наличии или отсутствии характерных клинических проявлений заболевания в сочетании с повышенным содержанием фенилаланина в крови. Для верификации диагноза необходимо дополнительное проведение молекулярно-генетического тестирования и определение соотношения фенилаланина/тирозина.
Спектр возможных жалоб у пациентов с ГФА, которым диагноз установлен поздно или при отсутствии лечения, может быть весьма широким и зависит от формы заболевания (классической или неклассической), и индивидуальных особенностей течения болезни [6].
Жалобы при ФАГ-дефицитной ГФА (классической ФКУ). Общая задержка развития, задержка роста, задержка речевого развития, задержка социального развития, интеллектуальная недостаточность, аномалии поведения, дефицит внимания и гиперактивность, аутоагрессия, депрессивность, аутизм, нарушение памяти, судорожные приступы, мышечная гипотония, гипертонус мышц конечностей, тремор, потеря двигательных навыков, тошнота, рвота, аномальный запах мочи, потеря эластичности кожи, гипопигментация кожи и волос, экзема, катаракта микроцефалия, гиперфенилаланинемия и снижение активности ФАГ по данным лабораторных исследований, кальцинаты головного мозга, поражение белого вещества головного мозга по результатам МРТ исследования.
Жалобы при вH4-дефицитных ГФА (могут сохраняться на фоне соблюдения диеты с ограничением ФА) : затруднения грудного вскармливания, задержка моторного развития, микроцефалия, повышенное слюноотделение, нарушения глотания, сонливость, птоз, лихорадочные эпизоды, экстрапирамидные нарушения (паркинсонизм, хореоатетоз, хорея), эпизоды кратковременного быстрого сокращение мышц.
• Рекомендуется исключить ГФА всем пациентам любого возраста без установленного ранее диагноза ГФА при наличии следующих клинических проявлений с целью уточнения диагноза:
• отягощенный семейный анамнез.
• эпилепсия.
• различная степень умственной отсталости.
• проблемы с поведением, включая расстройства аутистического спектра.
• экстрапирамидные нарушения (в том числе паркинсоноподобные нарушения у взрослых).
• затхлый («мышиный», «волчий») запах тела.
• экзема, снижение пигментации кожи и волос [2].
Уровень убедительности рекомендаций с (урове нь достоверности доказательств 5).
• Рекомендуется исключить ГФА у женщин репродуктивного возраста, имеющих в анамнезе невынашивание беременности или рождение потомства с пороками развития, включая любую комбинацию задержки развития плода, микроцефалию / пороки развития головного мозга, врожденный порок сердца, пороки развития конечностей, трахеопищеводный свищ с целью профилактики рождения больного ребенка в семье [2].
Уровень убедительности рекомендаций С (урове нь достоверности доказательств 5).
• Рекомендуется сбор подробного генеалогического анамнеза у пациентов с выше описанными жалобами для выявления случаев внутриутробной гибели плода от неустановленных причин, случаев ранней детской смертности, а также инвалидов детства в семье с целью уточнения диагноза [2].
Уровень убедительности рекомендаций с (уровень достоверности доказательств - 5).
Жалобы и анамнез также описаны в разделе «клиническая картина».
• антропометрических показателей (возможно пониженное питание, отставание в росте, микроцефалия).
• соматического статуса.
• неврологического статуса.
• психомоторного и речевого развития с целью выявления задержки психо-речевого развития, отставания в моторном развитии, когнитивных или психических нарушений [3].
Уровень убедительности рекомендаций С (уровень достоверности доказательств - 5).
Комментарий. Клинически видимые отклонения, обусловленные наследственными метаболическими нарушениями, у новорожденных с фенилкетонурией, как правило, отсутствуют.
Уровень убедительности рекомендации В (уровень достоверности доказательств - 3).
Комментарии. Скрининговое обследование на ГФА отвечает всем принятым критериям проведения массового скрининга, включая соотношение затрат и выгоды.
Для скринингового исследования направляется сухие пятна крови в установленные сроки в специализированную лабораторию неонатального скрининга конкретного региона. Общепринятые референсные значения ФА крови 0-120 мкмоль/л (0-2 мг%).
• Рекомендуется определение содержания ФА в крови пациентам с подозрением на ГФА для исключения/установления ГФА [2].
Уровень убедительности рекомендации С (уровень достоверности доказательств - 5).
• Рекомендуется повторное определение (ретест) содержания ФА в периферической крови новорожденным детям с повышенным уровнем ФА по результатам первичного теста для подтверждения ГФА [3 125].
Уровень убедительности рекомендации с (уровень достоверности доказательств - 3).
• Рекомендуется определение концентрации ФА и тирозина в плазме крови (тандемная масс-спектрометрия) всем пациентам при подозрении на ГФА в любых возрастных группах с целью выявления повышенной концентрации ФА и нарушения соотношения фенилаланин/ тирозин [4, 5].
Уровень убедительности рекомендации С (уровень достоверности доказательств - 5).
Комментарий. При ГФА концентрация ФА превышает 120 мкммоль/л (2 мг/дл). В норме соотношение фенилаланин/тирозин менее 1, соотношение более 3 указывает на высокую вероятность недостаточности ФАГ [4]. Более тяжелые формы недостаточности ФАГ с полной потерей активности фермента (нередко называемые «классической ФКУ») сопровождаются повышением концентрации ФА более 1200 мкмоль/л (20 мг/дл) [5].
• Рекомендуется молекулярно-генетическое исследование генов PAH, PTS, QDPR, GCH1, PCBD, SPR, DNAJC12 всем пациентам с клиническим диагнозом ФКУ или ГФА для подтверждения клинического диагноза, дифференциальной диагностики и определения рисков наследственной патологии в семье [8-13].
Уровень убедительности рекомендации С (уровень достоверности доказательств - 4).
Комментарий:
Молекулярно-генетическое исследование мутаций в гене РАН (фенилкетонурия), комплекс исследований для диагностики фенилкетонурии включены в номенклатуру медицинских услуг.
Алгоритм ДНК-диагностики ГФА представлен в приложении А3,4.
Молекулярно-генетическая диагностика (ДНК-диагностика) может быть проведена следующими методами:
• Поиск частых мутаций гена PAH [8].
• Секвенирование по Сенгеру генов PAH, PTS, QDPR, GCH1, PCBD, SPR, DNAJC12.
• Панельное, полноэкзомное или полногеномное массовое параллельное секвенирование с последующим подтверждением результатов методом секвенирования по Сенгеру [9, 10].
Результаты генотипирования трактуются врачом-генетиком и используются для:
• Семейного консультирования, определения рисков наследственной патологии для родственников пробанда, планирования беременности.
• Дифференциальной диагностики ФКУ, вH4-дефицитной ГФА типов A, в, с, D, ДОФА-зависимой дистонии, не-BH4-дефицитной ГФА [8, 9,10].
• Определения потенциальной чувствительности или потенциальной нечувствительности пациентов с ФКУ к терапии фармакологическими аналогами тетрагидробиоптерина [11, 12, 13].
Исходя из данных генотипа можно судить о потенциальном ответе пациента на терапию фармакологическими аналогами тетрагидробиоптерина (сапроптерин**, вH4). При условии, что патогенный вариант хотя бы одного из аллелей приводит к формированию белка-фермента, обладающего остаточной активностью, пациенту может быть рекомендовано проведение нагрузочного теста с вH4 (сапроптерином**).
• Рекомендуется исследование содержания птеринов в моче пациентам с неоднозначными результатами молекулярно-генетической диагностики и/или несоответствие тяжести клинической картины уровню ФА крови с целью диагностики вH4 - дефицитной ГФА [6,7].
Уровень убедительности рекомендации С (уровень достоверности доказательств - 5).
Комментарий. Диагностические значения фенилананина и птеринов в крови, моче и спинномозговой жидкости представлены в приложении А3,3 [6, 7]. Поскольку дефицит вH4 объединяет группу заболеваний, которые могут выявляться с помощью неонатального скрининга на ГФА, но не могут быть идентифицированы рутинными скрининговыми методами, селективный скрининг на дефицит вH 4 необходим каждому новорожденному с уровнем фенилаланина в плазме выше 120 мкМ/л, а также детям старшего возраста с ГФА и неврологическими симптомами.
• Рекомендуется проведение нагрузочного теста с сапроптерином** (в течение не менее 48-часов) пациентам старше года с мутациями в гене PAH, которые ассоциированы с чувствительностью к вH4 для определения ответа на кофакторную терапию [3, 11, 12, 13, 15].
Уровень убедительности рекомендации С (уровень достоверности доказательств - 5).
• Рекомендуется использовать максимальную дозировку сапроптерина** (20 мг/кг) для проведения нагрузочного теста у всех пациентов с целью более объективной оценки ответа [3, 5-7].
Уровень убедительности рекомендации С (уровень достоверности доказательств - 4).
• Не рекомендуется определение активности фермента ФАГ в печени пациентам с ГФА для скрининга или других диагностических тестов [4].
Уровень убедительности рекомендации С (уровень достоверности доказательств - 5 ).
Комментарии. Активность фермента ФАГ может быть определена только в тканях печени и почек, полученных в результате биопсии. Ввиду инвазивности и высоких рисков осложнений метод не используется для скрининга или других диагностических тестов [4].
• Рекомендуется контроль общего (клинического) анализа крови развернутого (гемоглобин, количество эритроцитов, цветовой показатель, количество лейкоцитов, тромбоцитов, лейкоцитарная формула и скорость оседания эритроцитов), общего (клинического) анализа мочи, биохимического анализа крови (глюкоза, общий белок, белковые фракции (исследование уровня альбумина в крови, определение альбумин/глобулинового соотношения в крови), общий билирубин, холестерин, триглицериды, липопротеиды низкой и высокой плотности (исследование уровня липопротеинов в крови), щелочная фосфатаза, креатинин, мочевина, аланинаминотрансфераза (АЛТ), аспартатаминотрансфераза (АСТ), кальций общий и ионизированный, натрий, калий, неорганический фосфор, железо и ферритин) пациентам при проведении нагрузочного теста с сапроптерином** для оценки функционального состояния внутренних органов и нутритивного статуса пациента [15,16, 87].
Уровень убедительности рекомендации С (уровень достоверности доказательств -5).
• Р екомендуется исследование общего (клинического) анализа крови всем пациентам с ГФА для оценки основных параметров кроветворения и наличия воспалительных процессов [16, 44, 119-121].
Уровень убедительности рекомендаций А (уровень достоверности доказательств - 2).
• Рекомендуется исследование общего (клинического) анализа мочи всем пациентам с ГФА с целью выявления кристаллурии [90, 93].
Уровень убедительности рекомендаций С (уровень достоверности доказательств - 5).
• Рекомендовано пациентам с ГФА проведение биохимического анализа крови (содержание глюкозы, общего белка, белковых фракций, общего билирубина, холестерина, триглицеридов, липопротеидов низкой и высокой плотности (исследование уровня липопротеинов в крови), щелочной фосфатазы, креатинина, мочевины, аланинаминотрансферазы (АЛТ), аспартатаминотрансферазы (АСТ), кальция общего и ионизированного, натрия, калия, неорганического фосфора, железа, ферритина), уровня основного метаболита витамина D в крови (исследование уровня 25-ОН витамина Д в крови) и витамина В12 (цианокобаламин), фолиевой кислоты с целью оценки состояния печени, почек, баланса важнейших нутриентов при диетотерапии, кальциево-фосфорного обмена и выявления отклонений важных биохимических показателей для дальнейшей коррекции [16, 44-49, 83, 90, 94, 95, 121].
Уровень убедительности рекомендаций С (уровень достоверности доказательств - 4 ).
• Рекомендуется исследование уровня гомоцистеина в крови пациентам с ГФА по показаниям с целью оценки риска развития сердечно-сосудистых заболеваний [16, 111,112].
Уровень убедительности рекомендаций С (уровень достоверности доказательств - 4).
• Рекомендуется определение соотношения фенилаланина/тирозина женщинам с ГФА при наступлении беременности с целью своевременной диагностики/предупреждения явлений, вызванных дефицитом тирозина/избытком фенилаланина [16,72-74, 101-103, 113].
Уровень убедительности рекомендаций С (уровень достоверности доказательств - 4).
Комментарии. При применении ограничительной диеты возможно развитие дефицита незаменимых аминокислот, в частности - тирозина. Исследование проводится методом тандемной масс-спектрометрии.
• Рекомендуется исследование уровня глюкозы в крови женщинам с ГФА при наступлении беременности с целью коррекции терапии [72].
Уровень убедительности рекомендаций с (уровень достоверности доказательств -4).
Уровень убедительности рекомендации В (уровень достоверности доказательств - 3).
Комментарий. У 90% пациентов с ГФА наблюдается прогрессирующее поражение белого вещества мозга даже при отсутствии неврологических нарушений. С возрастом у нелеченых или ушедших с диеты пациентов изменения на МРТ более выражены. Считается, что высокий уровень ФА у нелеченых пациентов препятствует миелинизации нейронов мозга, в то время как в случае раннего лечения формирование миелина не нарушается. Повреждение миелиновой оболочки может происходить под влиянием повышения ФА на фоне расширения или отказа от диеты, а также в результате низкой комплаентности пациента [14].
• Рекомендуется КТ головного мозга детям с вH4-дефицитной ГФА (наркоз. По показаниям) при наличии неврологической симптоматики для выявления кальцификатов [108].
Уровень убедительности доказательств с (уровень достоверности рекомендации - 4).
Комментарий. При отсутствии лечения в базальных ганглиях головного мозга формируются кальцификаты, которые могут быть обнаружены при компьютерной томографии. Исследование обычно проводится детям старше 3 лет. У пациентов с открытым родничком с ГФА возможно проведение нейросонографии для выявления патологии головного мозга.
• Рекомендуется проведение электроэнцефалографии (ЭЭГ) и ЭЭГ-мониторинга пациентам со всеми формами ГФА при наличии неврологической симптоматики для выявления эпилептической активности [16, 91].
Уровень убедительности рекомендации С (уровень достоверности доказательств -4).
• Рекомендуется проведение инструментальных обследований почек, печени, поджелудочной железы согласно рекомендациям по дисметаболическим нефропатиям, мочекаменной болезни, метаболическому синдрому в связи с высокой вероятностью развития у пациентов с ГФА поражения почек, метаболического синдрома с целью своевременной диагностики и терапии данных состояний .[99, 109].
Уровень убедительности рекомендаций С (уровень достоверности доказательств - 4).
Комментарии. Обычно в качестве скрининг-диагностики и динамического контроля проводится ультразвуковое исследование (УЗИ) органов брюшной полости (комплексное) и почек пациентам с ГФА для выявления дисметаболических нефропатий, нефрокальциноза, изменений со стороны печени и поджелудочной железы.
• Рекомендуется исследование минеральной плотности костной ткани. Рентгеноденситометрия) у пациентов старше 5 лет для диагностики остеопороза, выявления группы риска по остеопорозу и принятия профилактических мер [48, 50].
Уровень убедительности рекомендаций С (уровень достоверности доказательств - 2).
• Рекомендуется проведение инструментальных обследований в соответствии с рекомендациями по атеросклерозу и ишемической болезни сердца в связи с более частым выявлением данной патологии у пациентов с ГФА для своевременной диагностики и старта/коррекции терапии [83, 99].
Уровень убедительности доказательств С (уровень достоверности рекомендации - 4).
Комментарий. Проводится электрокардиография пациентам со всеми формами ГФА, при необходимости, по показаниям, эхокардиография.
• Рекомендуется проведение электрокардиографии и/или эхокардиографии пациентам с нарушением обмена тетрагидробиоптерина, получающим допаминергические препараты с целью контроля побочных эффектов лечения [87].
Уровень убедительности доказательств С (уровень достоверности рекомендации -5).
• Рекомендуется проведение экспертного ультразвукового исследования плода женщинам с ГФА при беременности с целью исключения врожденных аномалий развития плода [29, 72-74, 110, 114].
Уровень убедительности доказательств С (уровень достоверности рекомендации -4).
Комментарии. При материнской ФКУ проводится скрининговое ультразвуковое исследование при сроках беременности 11-14 недель, 18-21 неделю и 30-34 недели, а также дополнительно в срок 15-16 недель и 25-26 недель беременности (согласно Приказу Министерства здравоохранения РФ от 1 ноября 2012 г. 572н Об утверждении Порядка оказания медицинской помощи по профилю «акушерство и гинекология» и мнению экспертов).
• Рекомендовано прием врача. Генетика пациентам с установленным диагнозом ГФА с частотой, соответствующей возрасту пациента для консультирования (сбор анамнеза и жалоб; составление родословной; визуальное исследование с проведением антропометрии - измерение роста, веса, окружности головы), назначения и коррекции диетотерапии, осуществления контроля за адекватностью ее выполнения [16].
Уровень убедительности рекомендации С (уровень достоверности доказательств - 5).
Комментарии. Первичное обследование пациента должно быть проведено не позднее 3 недель жизни ребенка. Оптимальная частота наблюдения, согласно европейским рекомендациям:
- в возрасте до 1 года - не реже 1 раза в 2 месяца.
- с 1 года до 12 лет - не реже 1 раз в 6 месяцев.
- с 12 до 18 лет - не реже 1 раза в 6 месяцев.
- старше 18 лет - не реже 1 раз в год.
- при беременности -не реже 1 раз в триместр [16].
Согласно мнению рабочей группы российских экспертов, целесообразно проводить более частое наблюдение пациентов в возрасте до 1 года - не реже 1 раза в месяц, с 1 года - не реже 1 раза в 3 месяца, у беременных - в зависимости от срока гестации, не реже 1раз в 2 недели.
Если это не может быть выполнено ввиду удаленности места жительства ребенка, с пациентом должна быть налажена телекоммуникационная связь [16].
Для повышения комплаентности с законными представителями ребенка с ГФА возможно заполнение информированного согласия о необходимости соблюдения требований врача и лечения (Приложение А3,5).
• Рекомендован а консультация врача. Генетика повторная пациентам с установленным диагнозом ГФА с частотой, соответствующей возрасту пациента для консультирования (сбор анамнеза и жалоб; визуальное исследование с проведением антропометрии - измерение роста, веса, окружности головы), назначения и коррекции диетотерапии, осуществления контроля за адекватностью ее выполнения, разъяснения результатов лабораторного тестирования [16].
Уровень убедительности рекомендации С (уровень достоверности доказательств - 5).
• Рекомендована консультация врача-диетолога (при первичном обследовании и далее не реже 1 раза в год) пациентам с установленным диагнозом ГФА для дополнительной коррекции диетотерапии [16].
Уровень убедительности рекомендации С (уровень достоверности доказательств - 5).
Комментарии: консультация врача-диетолога показана пациентам с целью оказания специализированной медицинской помощи. Если в штатном расписании отсутствует врач-диетолог, консультирование по диетотерапии проводит врач-генетик.
• Рекомендована консультация врача-диетолога повторная пациентам с установленным диагнозом ГФА для оценки эффективности диеты [16].
Уровень убедительности рекомендации С (уровень достоверности доказательств - 5).
• Рекомендована консультация врача-педиатра детям с установленным диагнозом ГФА каждые 6 месяцев для оценки общего состояния здоровья и определения тактики дальнейшей терапии [16].
Уровень убедительности рекомендации С (уровень достоверности доказательств - 5).
• Рекомендована консультация врача-терапевта для пациента старше 18 лет с установленным диагнозом ГФА каждые 6 месяцев для оценки общего состояния здоровья и определения тактики дальнейшей терапии [16].
Уровень убедительности рекомендации С (уровень достоверности доказательств - 5).
• Рекомендована консультация врача-генетика взрослым пациентам с установленным диагнозом ГФА с целью обсуждения вопроса о необходимости проведения ДНК-тестирования партнеру, даны рекомендации по предгравидарной подготовке перед планированием беременности [72-74, 110, 126].
Уровень убедительности рекомендации А (уровень достоверности доказательств 3).
• Рекомендовано пациентам с ГФА консультация врача-кардиолога/кардиолога детского и кардиологическое обследование, включающее эхокардиографию (при первичном обследовании и далее по показаниям при изменениях на ЭКГ), для своевременного выявления и/или мониторинга кардиологических изменений [4,5,16,45, 83].
Уровень убедительности рекомендации С (уровень достоверности доказательств - 5).
• Рекомендовано пациентам с ГФА по показаниям консультация врача-кардиолога/кардиолога детского повторная для оценки выявленных кардиологических изменений и решения вопроса о терапии [4,5,16,45, 83].
Уровень убедительности рекомендации С (уровень достоверности доказательств - 5).
• Рекомендовано пациентам с ГФА по показаниям консультация врача-невролога для своевременного выявления и/или мониторинга неврологических изменений [16].
Уровень убедительности рекомендации С (уровень достоверности доказательств - 5).
• Рекомендовано пациентам с ГФА по показаниям консультация врача-невролога повторная с целью коррекции выявленных неврологических изменений и определения дальнейшей тактики лечения [16].
Уровень убедительности рекомендации С (уровень достоверности доказательств - 5).
• Рекомендовано всем пациентам с ГФА осмотр врачом-офтальмологом (при первичном обследовании и далее не реже 1 раза в 3 года), включающий обследование глазного дна (офтальмоскопии) с целью выявления глазной патологии [16].
Уровень убедительности рекомендации С (уровень достоверности доказательств - 5).
• Рекомендована консультация врача-гастроэнтеролога пациентам с установленным диагнозом ГФА при наличии показаний с целью выявления гастроэнтерологических нарушений и определения дальнейшей тактики лечения [16].
Уровень убедительности рекомендации С (уровень достоверности доказательств - 5).
• Рекомендована консультация врача-психиатра пациентам с установленным диагнозом ГФА для оценки психиатрического статуса при наличии показаний [16].
Уровень убедительности рекомендации С (уровень достоверности доказательств - 5).
• Рекомендована консультация врача-психиатра повторная пациентам с установленным диагнозом ГФА по показаниям для коррекции выявленных психиатрических нарушений и определения дальнейшей тактики лечения [16].
Уровень убедительности рекомендации С (уровень достоверности доказательств - 5).
Рекомендована консультация медицинского психолога пациентам с установленным диагнозом ГФА для оценки и коррекции психологического состояния и психолого-педагогического сопровождения семьи [30, 51, 52, 77].
Уровень убедительности рекомендации С (уровень достоверности доказательств - 3).
Комментарии: пациентам необходимо тестирование по утвержденным методикам для определения интеллектуального развития.
• Рекомендована консультация медицинского психолога повторная пациентам с установленным диагнозом ГФА при наличии показаний для психолого-педагогического сопровождения семьи [30, 51, 52, 77].
Уровень убедительности рекомендации С (уровень достоверности доказательств - 5).
Комментарии: психологическая помощь пациентам может потребовать курс занятий- в зависимости от индивидуальных особенностей пациента и семьи.
• Рекомендовано пациентам с ГФА консультация врача-сурдолога по показаниям с целью исключения нарушения слуха у ребенка с задержкой темпов психоречевого развития [88].
Уровень убедительности рекомендации В (уровень достоверности доказательств - 3).
• Рекомендовано пациентам с ГФА консультация врача-дерматолога с целью диагностики патологии кожных покровов и подбора рационального лечения при наличии показаний [78].
Уровень убедительности рекомендации С (уровень достоверности доказательств - 5).
• Рекомендовано пациентам с ГФА консультация врача-эндокринолога с целью уточнения нарушения функции эндокринной системы при наличии показаний [3, 84, 85].
Уровень убедительности рекомендации с (уровень достоверности доказательств - 5).
• Рекомендовано пациентам с ГФА консультация врача-физиотерапевта с целью составления плана физиотерапевтических процедур при наличии показаний [86].
Уровень убедительности рекомендации С (уровень достоверности доказательств - 5).
• Рекомендовано женщинам с ГФА во время беременности наблюдение у акушера-гинеколога и врача-генетика с целью коррекции терапии и контроля ФА крови [29,72-74].
Уровень убедительности рекомендации С (уровень достоверности доказательств - 5).
Главным критерием диагностики ГФА является повышенное содержание фенилаланина в крови выше 2,0 мг% (120 мкмоль/л), который определяется в первую очередь при неонатальном скрининге.
Диагноз ГФА подтверждается при наличии или отсутствии характерных клинических проявлений заболевания в сочетании с повышенным содержанием фенилаланина в крови. Для верификации диагноза необходимо дополнительное проведение молекулярно-генетического тестирования и определение соотношения фенилаланина/тирозина.
2,1 Жалобы и анамнез.
Большинство пациентов с ГФА диагностируются при проведении массового скрининга новорожденных и при своевременном назначении специализированной диетотерапии заболевание протекает бессимптомно.Спектр возможных жалоб у пациентов с ГФА, которым диагноз установлен поздно или при отсутствии лечения, может быть весьма широким и зависит от формы заболевания (классической или неклассической), и индивидуальных особенностей течения болезни [6].
Жалобы при ФАГ-дефицитной ГФА (классической ФКУ). Общая задержка развития, задержка роста, задержка речевого развития, задержка социального развития, интеллектуальная недостаточность, аномалии поведения, дефицит внимания и гиперактивность, аутоагрессия, депрессивность, аутизм, нарушение памяти, судорожные приступы, мышечная гипотония, гипертонус мышц конечностей, тремор, потеря двигательных навыков, тошнота, рвота, аномальный запах мочи, потеря эластичности кожи, гипопигментация кожи и волос, экзема, катаракта микроцефалия, гиперфенилаланинемия и снижение активности ФАГ по данным лабораторных исследований, кальцинаты головного мозга, поражение белого вещества головного мозга по результатам МРТ исследования.
Жалобы при вH4-дефицитных ГФА (могут сохраняться на фоне соблюдения диеты с ограничением ФА) : затруднения грудного вскармливания, задержка моторного развития, микроцефалия, повышенное слюноотделение, нарушения глотания, сонливость, птоз, лихорадочные эпизоды, экстрапирамидные нарушения (паркинсонизм, хореоатетоз, хорея), эпизоды кратковременного быстрого сокращение мышц.
• Рекомендуется исключить ГФА всем пациентам любого возраста без установленного ранее диагноза ГФА при наличии следующих клинических проявлений с целью уточнения диагноза:
• отягощенный семейный анамнез.
• эпилепсия.
• различная степень умственной отсталости.
• проблемы с поведением, включая расстройства аутистического спектра.
• экстрапирамидные нарушения (в том числе паркинсоноподобные нарушения у взрослых).
• затхлый («мышиный», «волчий») запах тела.
• экзема, снижение пигментации кожи и волос [2].
Уровень убедительности рекомендаций с (урове нь достоверности доказательств 5).
• Рекомендуется исключить ГФА у женщин репродуктивного возраста, имеющих в анамнезе невынашивание беременности или рождение потомства с пороками развития, включая любую комбинацию задержки развития плода, микроцефалию / пороки развития головного мозга, врожденный порок сердца, пороки развития конечностей, трахеопищеводный свищ с целью профилактики рождения больного ребенка в семье [2].
Уровень убедительности рекомендаций С (урове нь достоверности доказательств 5).
• Рекомендуется сбор подробного генеалогического анамнеза у пациентов с выше описанными жалобами для выявления случаев внутриутробной гибели плода от неустановленных причин, случаев ранней детской смертности, а также инвалидов детства в семье с целью уточнения диагноза [2].
Уровень убедительности рекомендаций с (уровень достоверности доказательств - 5).
Жалобы и анамнез также описаны в разделе «клиническая картина».
2,2 Физикальное обследование.
• Рекомендуется всем пациентам с подозрением на ГФА для определения клинической картины проведение полного комплексного обследования, включающего в себя оценку:• антропометрических показателей (возможно пониженное питание, отставание в росте, микроцефалия).
• соматического статуса.
• неврологического статуса.
• психомоторного и речевого развития с целью выявления задержки психо-речевого развития, отставания в моторном развитии, когнитивных или психических нарушений [3].
Уровень убедительности рекомендаций С (уровень достоверности доказательств - 5).
Комментарий. Клинически видимые отклонения, обусловленные наследственными метаболическими нарушениями, у новорожденных с фенилкетонурией, как правило, отсутствуют.
2,3 Лабораторные диагностические исследования.
• Рекомендуется проведение неонатального скрининга всем новорожденным (определение содержания ФА в крови для формирования групп риска по ГФА) [1]. Схема неонатального скрининга приведена в приложении Б.Уровень убедительности рекомендации В (уровень достоверности доказательств - 3).
Комментарии. Скрининговое обследование на ГФА отвечает всем принятым критериям проведения массового скрининга, включая соотношение затрат и выгоды.
Для скринингового исследования направляется сухие пятна крови в установленные сроки в специализированную лабораторию неонатального скрининга конкретного региона. Общепринятые референсные значения ФА крови 0-120 мкмоль/л (0-2 мг%).
• Рекомендуется определение содержания ФА в крови пациентам с подозрением на ГФА для исключения/установления ГФА [2].
Уровень убедительности рекомендации С (уровень достоверности доказательств - 5).
• Рекомендуется повторное определение (ретест) содержания ФА в периферической крови новорожденным детям с повышенным уровнем ФА по результатам первичного теста для подтверждения ГФА [3 125].
Уровень убедительности рекомендации с (уровень достоверности доказательств - 3).
• Рекомендуется определение концентрации ФА и тирозина в плазме крови (тандемная масс-спектрометрия) всем пациентам при подозрении на ГФА в любых возрастных группах с целью выявления повышенной концентрации ФА и нарушения соотношения фенилаланин/ тирозин [4, 5].
Уровень убедительности рекомендации С (уровень достоверности доказательств - 5).
Комментарий. При ГФА концентрация ФА превышает 120 мкммоль/л (2 мг/дл). В норме соотношение фенилаланин/тирозин менее 1, соотношение более 3 указывает на высокую вероятность недостаточности ФАГ [4]. Более тяжелые формы недостаточности ФАГ с полной потерей активности фермента (нередко называемые «классической ФКУ») сопровождаются повышением концентрации ФА более 1200 мкмоль/л (20 мг/дл) [5].
• Рекомендуется молекулярно-генетическое исследование генов PAH, PTS, QDPR, GCH1, PCBD, SPR, DNAJC12 всем пациентам с клиническим диагнозом ФКУ или ГФА для подтверждения клинического диагноза, дифференциальной диагностики и определения рисков наследственной патологии в семье [8-13].
Уровень убедительности рекомендации С (уровень достоверности доказательств - 4).
Комментарий:
Молекулярно-генетическое исследование мутаций в гене РАН (фенилкетонурия), комплекс исследований для диагностики фенилкетонурии включены в номенклатуру медицинских услуг.
Алгоритм ДНК-диагностики ГФА представлен в приложении А3,4.
Молекулярно-генетическая диагностика (ДНК-диагностика) может быть проведена следующими методами:
• Поиск частых мутаций гена PAH [8].
• Секвенирование по Сенгеру генов PAH, PTS, QDPR, GCH1, PCBD, SPR, DNAJC12.
• Панельное, полноэкзомное или полногеномное массовое параллельное секвенирование с последующим подтверждением результатов методом секвенирования по Сенгеру [9, 10].
Результаты генотипирования трактуются врачом-генетиком и используются для:
• Семейного консультирования, определения рисков наследственной патологии для родственников пробанда, планирования беременности.
• Дифференциальной диагностики ФКУ, вH4-дефицитной ГФА типов A, в, с, D, ДОФА-зависимой дистонии, не-BH4-дефицитной ГФА [8, 9,10].
• Определения потенциальной чувствительности или потенциальной нечувствительности пациентов с ФКУ к терапии фармакологическими аналогами тетрагидробиоптерина [11, 12, 13].
Исходя из данных генотипа можно судить о потенциальном ответе пациента на терапию фармакологическими аналогами тетрагидробиоптерина (сапроптерин**, вH4). При условии, что патогенный вариант хотя бы одного из аллелей приводит к формированию белка-фермента, обладающего остаточной активностью, пациенту может быть рекомендовано проведение нагрузочного теста с вH4 (сапроптерином**).
• Рекомендуется исследование содержания птеринов в моче пациентам с неоднозначными результатами молекулярно-генетической диагностики и/или несоответствие тяжести клинической картины уровню ФА крови с целью диагностики вH4 - дефицитной ГФА [6,7].
Уровень убедительности рекомендации С (уровень достоверности доказательств - 5).
Комментарий. Диагностические значения фенилананина и птеринов в крови, моче и спинномозговой жидкости представлены в приложении А3,3 [6, 7]. Поскольку дефицит вH4 объединяет группу заболеваний, которые могут выявляться с помощью неонатального скрининга на ГФА, но не могут быть идентифицированы рутинными скрининговыми методами, селективный скрининг на дефицит вH 4 необходим каждому новорожденному с уровнем фенилаланина в плазме выше 120 мкМ/л, а также детям старшего возраста с ГФА и неврологическими симптомами.
• Рекомендуется проведение нагрузочного теста с сапроптерином** (в течение не менее 48-часов) пациентам старше года с мутациями в гене PAH, которые ассоциированы с чувствительностью к вH4 для определения ответа на кофакторную терапию [3, 11, 12, 13, 15].
Уровень убедительности рекомендации С (уровень достоверности доказательств - 5).
• Рекомендуется использовать максимальную дозировку сапроптерина** (20 мг/кг) для проведения нагрузочного теста у всех пациентов с целью более объективной оценки ответа [3, 5-7].
Уровень убедительности рекомендации С (уровень достоверности доказательств - 4).
• Не рекомендуется определение активности фермента ФАГ в печени пациентам с ГФА для скрининга или других диагностических тестов [4].
Уровень убедительности рекомендации С (уровень достоверности доказательств - 5 ).
Комментарии. Активность фермента ФАГ может быть определена только в тканях печени и почек, полученных в результате биопсии. Ввиду инвазивности и высоких рисков осложнений метод не используется для скрининга или других диагностических тестов [4].
• Рекомендуется контроль общего (клинического) анализа крови развернутого (гемоглобин, количество эритроцитов, цветовой показатель, количество лейкоцитов, тромбоцитов, лейкоцитарная формула и скорость оседания эритроцитов), общего (клинического) анализа мочи, биохимического анализа крови (глюкоза, общий белок, белковые фракции (исследование уровня альбумина в крови, определение альбумин/глобулинового соотношения в крови), общий билирубин, холестерин, триглицериды, липопротеиды низкой и высокой плотности (исследование уровня липопротеинов в крови), щелочная фосфатаза, креатинин, мочевина, аланинаминотрансфераза (АЛТ), аспартатаминотрансфераза (АСТ), кальций общий и ионизированный, натрий, калий, неорганический фосфор, железо и ферритин) пациентам при проведении нагрузочного теста с сапроптерином** для оценки функционального состояния внутренних органов и нутритивного статуса пациента [15,16, 87].
Уровень убедительности рекомендации С (уровень достоверности доказательств -5).
• Р екомендуется исследование общего (клинического) анализа крови всем пациентам с ГФА для оценки основных параметров кроветворения и наличия воспалительных процессов [16, 44, 119-121].
Уровень убедительности рекомендаций А (уровень достоверности доказательств - 2).
• Рекомендуется исследование общего (клинического) анализа мочи всем пациентам с ГФА с целью выявления кристаллурии [90, 93].
Уровень убедительности рекомендаций С (уровень достоверности доказательств - 5).
• Рекомендовано пациентам с ГФА проведение биохимического анализа крови (содержание глюкозы, общего белка, белковых фракций, общего билирубина, холестерина, триглицеридов, липопротеидов низкой и высокой плотности (исследование уровня липопротеинов в крови), щелочной фосфатазы, креатинина, мочевины, аланинаминотрансферазы (АЛТ), аспартатаминотрансферазы (АСТ), кальция общего и ионизированного, натрия, калия, неорганического фосфора, железа, ферритина), уровня основного метаболита витамина D в крови (исследование уровня 25-ОН витамина Д в крови) и витамина В12 (цианокобаламин), фолиевой кислоты с целью оценки состояния печени, почек, баланса важнейших нутриентов при диетотерапии, кальциево-фосфорного обмена и выявления отклонений важных биохимических показателей для дальнейшей коррекции [16, 44-49, 83, 90, 94, 95, 121].
Уровень убедительности рекомендаций С (уровень достоверности доказательств - 4 ).
• Рекомендуется исследование уровня гомоцистеина в крови пациентам с ГФА по показаниям с целью оценки риска развития сердечно-сосудистых заболеваний [16, 111,112].
Уровень убедительности рекомендаций С (уровень достоверности доказательств - 4).
• Рекомендуется определение соотношения фенилаланина/тирозина женщинам с ГФА при наступлении беременности с целью своевременной диагностики/предупреждения явлений, вызванных дефицитом тирозина/избытком фенилаланина [16,72-74, 101-103, 113].
Уровень убедительности рекомендаций С (уровень достоверности доказательств - 4).
Комментарии. При применении ограничительной диеты возможно развитие дефицита незаменимых аминокислот, в частности - тирозина. Исследование проводится методом тандемной масс-спектрометрии.
• Рекомендуется исследование уровня глюкозы в крови женщинам с ГФА при наступлении беременности с целью коррекции терапии [72].
Уровень убедительности рекомендаций с (уровень достоверности доказательств -4).
2,4 Инструментальные диагностические исследования.
• Рекомендуется проведение МРТ головного мозга (наркоз. По показаниям) пациентам со всеми формами ГФА при наличии у них неврологической симптоматики для выявления прогрессирующих изменений белого вещества мозга [14, 45].Уровень убедительности рекомендации В (уровень достоверности доказательств - 3).
Комментарий. У 90% пациентов с ГФА наблюдается прогрессирующее поражение белого вещества мозга даже при отсутствии неврологических нарушений. С возрастом у нелеченых или ушедших с диеты пациентов изменения на МРТ более выражены. Считается, что высокий уровень ФА у нелеченых пациентов препятствует миелинизации нейронов мозга, в то время как в случае раннего лечения формирование миелина не нарушается. Повреждение миелиновой оболочки может происходить под влиянием повышения ФА на фоне расширения или отказа от диеты, а также в результате низкой комплаентности пациента [14].
• Рекомендуется КТ головного мозга детям с вH4-дефицитной ГФА (наркоз. По показаниям) при наличии неврологической симптоматики для выявления кальцификатов [108].
Уровень убедительности доказательств с (уровень достоверности рекомендации - 4).
Комментарий. При отсутствии лечения в базальных ганглиях головного мозга формируются кальцификаты, которые могут быть обнаружены при компьютерной томографии. Исследование обычно проводится детям старше 3 лет. У пациентов с открытым родничком с ГФА возможно проведение нейросонографии для выявления патологии головного мозга.
• Рекомендуется проведение электроэнцефалографии (ЭЭГ) и ЭЭГ-мониторинга пациентам со всеми формами ГФА при наличии неврологической симптоматики для выявления эпилептической активности [16, 91].
Уровень убедительности рекомендации С (уровень достоверности доказательств -4).
• Рекомендуется проведение инструментальных обследований почек, печени, поджелудочной железы согласно рекомендациям по дисметаболическим нефропатиям, мочекаменной болезни, метаболическому синдрому в связи с высокой вероятностью развития у пациентов с ГФА поражения почек, метаболического синдрома с целью своевременной диагностики и терапии данных состояний .[99, 109].
Уровень убедительности рекомендаций С (уровень достоверности доказательств - 4).
Комментарии. Обычно в качестве скрининг-диагностики и динамического контроля проводится ультразвуковое исследование (УЗИ) органов брюшной полости (комплексное) и почек пациентам с ГФА для выявления дисметаболических нефропатий, нефрокальциноза, изменений со стороны печени и поджелудочной железы.
• Рекомендуется исследование минеральной плотности костной ткани. Рентгеноденситометрия) у пациентов старше 5 лет для диагностики остеопороза, выявления группы риска по остеопорозу и принятия профилактических мер [48, 50].
Уровень убедительности рекомендаций С (уровень достоверности доказательств - 2).
• Рекомендуется проведение инструментальных обследований в соответствии с рекомендациями по атеросклерозу и ишемической болезни сердца в связи с более частым выявлением данной патологии у пациентов с ГФА для своевременной диагностики и старта/коррекции терапии [83, 99].
Уровень убедительности доказательств С (уровень достоверности рекомендации - 4).
Комментарий. Проводится электрокардиография пациентам со всеми формами ГФА, при необходимости, по показаниям, эхокардиография.
• Рекомендуется проведение электрокардиографии и/или эхокардиографии пациентам с нарушением обмена тетрагидробиоптерина, получающим допаминергические препараты с целью контроля побочных эффектов лечения [87].
Уровень убедительности доказательств С (уровень достоверности рекомендации -5).
• Рекомендуется проведение экспертного ультразвукового исследования плода женщинам с ГФА при беременности с целью исключения врожденных аномалий развития плода [29, 72-74, 110, 114].
Уровень убедительности доказательств С (уровень достоверности рекомендации -4).
Комментарии. При материнской ФКУ проводится скрининговое ультразвуковое исследование при сроках беременности 11-14 недель, 18-21 неделю и 30-34 недели, а также дополнительно в срок 15-16 недель и 25-26 недель беременности (согласно Приказу Министерства здравоохранения РФ от 1 ноября 2012 г. 572н Об утверждении Порядка оказания медицинской помощи по профилю «акушерство и гинекология» и мнению экспертов).
2,5 Иные диагностические исследования.
Консультации специалистов могут оказываться пациентам на разных этапах оказания медицинской помощи, в том числе в период диагностики заболевания.• Рекомендовано прием врача. Генетика пациентам с установленным диагнозом ГФА с частотой, соответствующей возрасту пациента для консультирования (сбор анамнеза и жалоб; составление родословной; визуальное исследование с проведением антропометрии - измерение роста, веса, окружности головы), назначения и коррекции диетотерапии, осуществления контроля за адекватностью ее выполнения [16].
Уровень убедительности рекомендации С (уровень достоверности доказательств - 5).
Комментарии. Первичное обследование пациента должно быть проведено не позднее 3 недель жизни ребенка. Оптимальная частота наблюдения, согласно европейским рекомендациям:
- в возрасте до 1 года - не реже 1 раза в 2 месяца.
- с 1 года до 12 лет - не реже 1 раз в 6 месяцев.
- с 12 до 18 лет - не реже 1 раза в 6 месяцев.
- старше 18 лет - не реже 1 раз в год.
- при беременности -не реже 1 раз в триместр [16].
Согласно мнению рабочей группы российских экспертов, целесообразно проводить более частое наблюдение пациентов в возрасте до 1 года - не реже 1 раза в месяц, с 1 года - не реже 1 раза в 3 месяца, у беременных - в зависимости от срока гестации, не реже 1раз в 2 недели.
Если это не может быть выполнено ввиду удаленности места жительства ребенка, с пациентом должна быть налажена телекоммуникационная связь [16].
Для повышения комплаентности с законными представителями ребенка с ГФА возможно заполнение информированного согласия о необходимости соблюдения требований врача и лечения (Приложение А3,5).
• Рекомендован а консультация врача. Генетика повторная пациентам с установленным диагнозом ГФА с частотой, соответствующей возрасту пациента для консультирования (сбор анамнеза и жалоб; визуальное исследование с проведением антропометрии - измерение роста, веса, окружности головы), назначения и коррекции диетотерапии, осуществления контроля за адекватностью ее выполнения, разъяснения результатов лабораторного тестирования [16].
Уровень убедительности рекомендации С (уровень достоверности доказательств - 5).
• Рекомендована консультация врача-диетолога (при первичном обследовании и далее не реже 1 раза в год) пациентам с установленным диагнозом ГФА для дополнительной коррекции диетотерапии [16].
Уровень убедительности рекомендации С (уровень достоверности доказательств - 5).
Комментарии: консультация врача-диетолога показана пациентам с целью оказания специализированной медицинской помощи. Если в штатном расписании отсутствует врач-диетолог, консультирование по диетотерапии проводит врач-генетик.
• Рекомендована консультация врача-диетолога повторная пациентам с установленным диагнозом ГФА для оценки эффективности диеты [16].
Уровень убедительности рекомендации С (уровень достоверности доказательств - 5).
• Рекомендована консультация врача-педиатра детям с установленным диагнозом ГФА каждые 6 месяцев для оценки общего состояния здоровья и определения тактики дальнейшей терапии [16].
Уровень убедительности рекомендации С (уровень достоверности доказательств - 5).
• Рекомендована консультация врача-терапевта для пациента старше 18 лет с установленным диагнозом ГФА каждые 6 месяцев для оценки общего состояния здоровья и определения тактики дальнейшей терапии [16].
Уровень убедительности рекомендации С (уровень достоверности доказательств - 5).
• Рекомендована консультация врача-генетика взрослым пациентам с установленным диагнозом ГФА с целью обсуждения вопроса о необходимости проведения ДНК-тестирования партнеру, даны рекомендации по предгравидарной подготовке перед планированием беременности [72-74, 110, 126].
Уровень убедительности рекомендации А (уровень достоверности доказательств 3).
• Рекомендовано пациентам с ГФА консультация врача-кардиолога/кардиолога детского и кардиологическое обследование, включающее эхокардиографию (при первичном обследовании и далее по показаниям при изменениях на ЭКГ), для своевременного выявления и/или мониторинга кардиологических изменений [4,5,16,45, 83].
Уровень убедительности рекомендации С (уровень достоверности доказательств - 5).
• Рекомендовано пациентам с ГФА по показаниям консультация врача-кардиолога/кардиолога детского повторная для оценки выявленных кардиологических изменений и решения вопроса о терапии [4,5,16,45, 83].
Уровень убедительности рекомендации С (уровень достоверности доказательств - 5).
• Рекомендовано пациентам с ГФА по показаниям консультация врача-невролога для своевременного выявления и/или мониторинга неврологических изменений [16].
Уровень убедительности рекомендации С (уровень достоверности доказательств - 5).
• Рекомендовано пациентам с ГФА по показаниям консультация врача-невролога повторная с целью коррекции выявленных неврологических изменений и определения дальнейшей тактики лечения [16].
Уровень убедительности рекомендации С (уровень достоверности доказательств - 5).
• Рекомендовано всем пациентам с ГФА осмотр врачом-офтальмологом (при первичном обследовании и далее не реже 1 раза в 3 года), включающий обследование глазного дна (офтальмоскопии) с целью выявления глазной патологии [16].
Уровень убедительности рекомендации С (уровень достоверности доказательств - 5).
• Рекомендована консультация врача-гастроэнтеролога пациентам с установленным диагнозом ГФА при наличии показаний с целью выявления гастроэнтерологических нарушений и определения дальнейшей тактики лечения [16].
Уровень убедительности рекомендации С (уровень достоверности доказательств - 5).
• Рекомендована консультация врача-психиатра пациентам с установленным диагнозом ГФА для оценки психиатрического статуса при наличии показаний [16].
Уровень убедительности рекомендации С (уровень достоверности доказательств - 5).
• Рекомендована консультация врача-психиатра повторная пациентам с установленным диагнозом ГФА по показаниям для коррекции выявленных психиатрических нарушений и определения дальнейшей тактики лечения [16].
Уровень убедительности рекомендации С (уровень достоверности доказательств - 5).
Рекомендована консультация медицинского психолога пациентам с установленным диагнозом ГФА для оценки и коррекции психологического состояния и психолого-педагогического сопровождения семьи [30, 51, 52, 77].
Уровень убедительности рекомендации С (уровень достоверности доказательств - 3).
Комментарии: пациентам необходимо тестирование по утвержденным методикам для определения интеллектуального развития.
• Рекомендована консультация медицинского психолога повторная пациентам с установленным диагнозом ГФА при наличии показаний для психолого-педагогического сопровождения семьи [30, 51, 52, 77].
Уровень убедительности рекомендации С (уровень достоверности доказательств - 5).
Комментарии: психологическая помощь пациентам может потребовать курс занятий- в зависимости от индивидуальных особенностей пациента и семьи.
• Рекомендовано пациентам с ГФА консультация врача-сурдолога по показаниям с целью исключения нарушения слуха у ребенка с задержкой темпов психоречевого развития [88].
Уровень убедительности рекомендации В (уровень достоверности доказательств - 3).
• Рекомендовано пациентам с ГФА консультация врача-дерматолога с целью диагностики патологии кожных покровов и подбора рационального лечения при наличии показаний [78].
Уровень убедительности рекомендации С (уровень достоверности доказательств - 5).
• Рекомендовано пациентам с ГФА консультация врача-эндокринолога с целью уточнения нарушения функции эндокринной системы при наличии показаний [3, 84, 85].
Уровень убедительности рекомендации с (уровень достоверности доказательств - 5).
• Рекомендовано пациентам с ГФА консультация врача-физиотерапевта с целью составления плана физиотерапевтических процедур при наличии показаний [86].
Уровень убедительности рекомендации С (уровень достоверности доказательств - 5).
• Рекомендовано женщинам с ГФА во время беременности наблюдение у акушера-гинеколога и врача-генетика с целью коррекции терапии и контроля ФА крови [29,72-74].
Уровень убедительности рекомендации С (уровень достоверности доказательств - 5).
|
|
Лечение
Основная цель лечения - нормальное нейрокогнитивное и физическое развитие, а также психосоциальная адаптация пациента. Лучшим способом достижения этой цели является снижение и регулярный контроль содержания ФА в крови пациента ГФА и стремление сохранять этот показатель в целевом терапевтическом диапазоне. Ведение пациентов с ГФА предполагает мультидисциплинарный подход с обязательным участием генетиков, диетологов, терапевтов, педиатров, неврологов, кардиологов, гастроэнтерологов, медицинских психологов, психиатров, физиотерапевтов, эндокринологов и врачей других специальностей, имеющих опыт в лечении этого редкого заболевания [16].
• Рекомендуется всем пациентам начинать диетотерапию с ограничением пищевого ФА как можно раньше (до 3-х недель жизни) после установления диагноза, чтобы предотвратить повреждение центральной нервной системы [16, 17, 18, 96].
Уровень убедительности рекомендации С (уровень достоверности доказательств - 4).
Комментарии. Большинство специалистов считает, что лечение новорожденных следует начинать до достижения возраста 10 дней [16]. Учитывая, что задержка начала лечения на каждые 4 недели приводила к снижению показателя IQ примерно на 4 балла [18], целесообразно начинать лечение не позднее 3-х недель жизни.
• Рекомендуется всем пациентам начинать лечение, когда концентрация ФА в крови ≥360мкмоль/л чтобы избежать отрицательного воздействия повышенного содержания ФА и его метаболитов на нервную систему [4, 16].
Уровень убедительности рекомендации С (уровень достоверности доказательств - 5).
Комментарии. Не следует назначать лечение ранее нелеченым пациентам, имеющим концентрацию ФА крови <360мкмоль/л. Необходимо осуществлять регулярный контроль ФА крови у этих пациентов для того, чтобы при повышении уровня ФА вовремя назначить лечение [16].
• Рекомендуется пожизненное проведение диетотерапии всем пациентам с ГФА с целью профилактики повреждений центральной нервной системы и улучшения социальной адаптации [17].
Уровень убедительности рекомендации С (уровень достоверности доказательств - 5).
Комментарии. Исследования показали, что поддержание концентрации ФА крови ниже 360 мкмоль/л у пациентов с рождения до 12 лет и 400-600 мкмоль/л у пациентов старше 12 лет и взрослых позволяет сохранить удовлетворительное нейрокогнитивное развитие, адекватную скорость восприятия информации и сохранение психосоциальных функций. В связи с этим рекомендуется пожизненное проведение лечения, в том числе пожизненное следование диетическим ограничениям с использованием специализированных заменителей белка, источников витаминов и минералов [19].
Уровень убедительности рекомендации с (уровень достоверности доказательств - 5).
Комментарии. Диетотерапия основана на резком ограничении ФА в рационе пациентов за счет исключения высокобелковых продуктов и их замещении специализированными лечебными продуктами, частично или полностью лишенными ФА. Из рациона питания больного ГФА исключают натуральные продукты питания с высоким содержанием белка (соответственно, и ФА) ― мясо, мясопродукты, рыбу, рыбопродукты, творог, яйцо, бобовые, орехи, шоколад Допустимые в диете натуральные продукты вводят в рацион в соответствии с подсчетом содержащегося в них ФА.
Для детей грудного возраста (с рождения до 12 месяцев) к допустимым продуктам относятся женское молоко, детские молочные смеси, овощи, фрукты и некоторые продукты прикорма с низким содержанием белка. Прикорм вводится в те же сроки, что и здоровым детям (с 4 до 6 месяцев), но при этом используются продукты только с низким содержанием белка с учетом толерантности пациента к натуральному белку/фенилаланину [21]. Для компенсации белкового компонента пищи используют специализированные аминокислотные смеси без ФА, сбалансированные по составу наподобие адаптированных детских молочных смесей. Приложение А3,6).
В диете пациентов старше 1 года, как правило, используются специализированные аминокислотные смеси без ФА с большим количеством белка, обогащенные витаминно-минеральными комплексами. В смесях, предназначенных для детей в возрасте от 1 до 8 лет, могут присутствовать в достаточном количестве углеводы и жиры. Это дает возможность индивидуального подбора лечебного продукта в зависимости от нутритивного статуса пациентов, функционального состояния желудочно-кишечного тракта и пищевых предпочтений. Кроме того, указанные смеси аминокислот, в том числе и смеси для детей первого года жизни, как более сбалансированные по составу, могут применяться также у пациентов более старшего возраста и беременных женщин с ГФА при состояниях, обусловленных заболеваниями желудочно-кишечного тракта и непереносимостью некоторых пищевых продуктов.
• Рекомендуется назначение специализированных продуктов лечебного питания (аминокислотные смеси без ФА) пациентам всех возрастных групп с ГФА, требующим диетотерапию, с целью коррекции уровня ФА и улучшения качества жизни [20-23, 89].
Уровень убедительности рекомендации с (уровень достоверности доказательств - 5).
• Рекомендуется назначение низкобелковых продуктов питания пациентам старше 1 года с ГФА с целью коррекции энергетической ценности лечебного рациона [20-23, 89].
Уровень убедительности рекомендации С (уровень достоверности доказательств - 5).
Комментарии. Назначение низкобелковых продуктов показано детям после 1 года и далее-всем пациентам с ГФА. Список низкобелковых и безбелковых специализированных продуктов, зарегистрированных на территории Российской Федерации - приложении А3,7. Данными продуктами питания (никзобелковые и безбелковые) пациенты обеспечиваются согласно Постановлению Правительства РФ от 30 июля 1994 г. N 890 О государственной поддержке развития медицинской промышленности и улучшении обеспечения населения и учреждений здравоохранения лекарственными средствами и изделиями медицинского назначения (с изменениями и дополнениями).
• Рекомендуется при инициации диетотерапии титровать количество ФА пищи (натурального белка) всем пациентам под контролем ФА крови до получения целевых терапевтических значений [22].
Уровень убедительности рекомендации с (уровень достоверности доказательств - 5).
• Рекомендуется при расчетах питания всем пациентам ориентироваться на нормы физиологической потребности в основных нутриентах с целью обеспечения адекватного физического развития и снижения рисков нутритивной недостаточности [20, 23] (Приложение А3,8).
Уровень убедительности рекомендации с (уровень достоверности доказательств - 5).
Комментарии. Допускается уменьшение количества суточного белка (но не более 10%) в основном за счет белка аминокислотной смеси в зависимости от толерантности к пище и к фенилаланину, а также от физической активности пациента и состояния его нутритивного статуса [19, 24].
Белок за счет естественных продуктов в диете рассчитывается исходя из допустимых суточных количеств ФА с учетом, что 1 г белка содержит ~50 мг ФА. В зависимости от переносимости пищевого ФА допустимое и безопасное его количество в сутки составляет от 90 до 35 мг/кг массы тела для детей первого года жизни. В питании детей старше 1 года, а также подростков и взрослых допустимое количество ФА постепенно снижается с 35 до 10 мг/кг массы тела ребенка (Приложение А3,9, приложение А3,10). Также в процессе лечения определяется суточная толерантность к пищевому фенилаланину, которая зависит от степени поражения фермента фенилаланингидроксилазы и возраста пациента.
• Рекомендуется всем пациентам при организации диетотерапии с целью ее оптимизации учитывать клиническую форму заболевания, уровень ФА в крови, возраст, пол; нутритивный статус (физическое развитие), толерантность к пищевому фенилаланину, количество ФА и натурального белка, получаемого с пищей, количество основных пищевых веществ и энергии в лечебном рационе [16, 20, 23].
Уровень убедительности рекомендации С (уровень достоверности доказательств - 5).
Комментарии. При назначении диеты важен индивидуальный и дифференцированный подход к использованию специализированных и натуральных продуктов соответственно возрасту пациента.
Для пациентов ГФА независимо от их возраста сохраняется запрет на продукты, наиболее богатые фенилаланином, такие как мясо, рыба и изделия из них. Творог, твердые сыры, бобовые, куриные яйца, орехи могут в ограниченном количестве входить в рацион пациентов старшего возраста с учетом толерантности к фенилаланину. Не рекомендуется употребление пациентами с ГФА продуктов фастфуд, газированных напитков с подсластителями (аспартам или пищевая добавка Е951), содержащих фенилаланин.
Тактика диетотерапии при сопутствующих заболеваниях (выраженная гипертермия, интоксикация, различные диспепсические явления), а также при отказе от приема аминокислотной смеси заключается в кратковременном (на 2−3 дня) прекращении диетотерапии с заменых лечебных продуктов на натуральные с невысоким содержанием белка. После стихания острого периода болезни в рацион вновь вводится специализированный продукт, но за более короткий период, чем в начале лечения. Если пациент с ГФА не отказывается от пищи во время болезни, то лечение сопутствующих соматических заболеваний проводится по общепринятой схеме и не требует прекращения диетотерапии.
• Не рекомендуется пациентам с ГФА употребление медикаментозных препаратов, биологически активных добавок, содержащих ФА или его производные, подсластитель аспартам [87].
Уровень убедительности рекомендации С (уровень достоверности доказательств -5).
Уровень убедительности рекомендации А (уровень достоверности доказательств -1).
Комментарии. В зависимости от формы ГФА сапроптерин** используется в комплексе с диетотерапией или без нее (Приложение А3,11). Начальная доза сапроптерина**у пациентов с недостаточностью вH4 составляет от 2 до 5 мг/кг массы тела при приеме 1 раз в день. Доза может быть увеличена до 20 мг/кг массы тела в день. Для достижения оптимального терапевтического эффекта суточная доза препарата может быть разделена на 2 или 3 приема в течение дня.
• Рекомендуется назначать допаминергические препараты, предшественники серотонина в комплексном лечении пациентов с ВН4 дефицитными ГФА с целью коррекции экстрапирамидного синдрома [5, 6, 27,28, 124].
Уровень убедительности рекомендации С (уровень достоверности доказательств - 4).
Комментарии. Назначаются леводопа+[карбидопа]**(противопоказан детям до 18 лет, назначается по показанию «синдром паркинсонизма», обычно требуется 10−15 мг/кг в сутки по леводопе), предшественник серотонина 5-гидрокситриптофан (10 мг/кг в сутки)(биологически активная добавка) [124].
• Рекомендуется проведение пациентам коррекции недостаточности фолиевой кислоты, а также дополнительное назначение фолиевой кислоты** при беременности [5, 16, 121-124].
Уровень убедительности рекомендации с (уровень достоверности доказательств - 5).
Комментарий. Фолиевая кислота** назначается пациентам при дефиците данного микронутриента в соответствии с инструкцей ей к препарату (особенно важно назначение фолиевой кислоты** в первый триместр беременности - 400 мкг/сут).
В некоторых случаях требуется диета с ограничением ФА и назначением фолиевой кислоты и ее производных (Приложение А3,11).
Назначение следует проводить под контролем уровня фолиевой кислоты в крови, в ряде исследований отмечается даже повышенный уровень фолиевой кислоты у пациентов с ФКУ [121].
• Рекомендуется медикаментозная терапия сапроптерином** пациентам с ФАГ-зависимой ГФА, имеющим до лечения концентрацию ФА крови выше 360 мкмоль/л, продемонстрировавшим положительный ответ на тестирование сапроптерином в виде снижения концентрации ФА крови и повышения толерантности к пищевому фенилаланину с целью расширения диеты и повышения качества жизни пациента [27, 28].
Уровень убедительности рекомендации С (уровень достоверности доказательств -5).
Комментарии. Тестирование потенциальной чувствительности к препарату и лечение сапроптерином** проводит и контролирует врач, который осуществляет также наблюдение пациентов с ГФА (схемы тестирования Приложение А3,12).
Ответ на лечение препаратом сапроптерин** оценивается по степени снижения концентрации ФА в крови пациента при соблюдении стабильной гипофенилаланиновой диеты. Пациент считается чувствительным, если разница уровня ФА, полученного по окончании периода оценки ответа на лечение, и его исходного уровня перед началом приема препарата составляет 30% и более.
• Рекомендуется проведение 48-часового теста пациентам старше 1 года, подросткам и взрослым с целью определения чувствительности к лечению сапроптерином** и получения положительного ответа в виде снижения концентрации ФА крови и повышения толерантности к пищевому фенилаланину [27, 28].
Уровень убедительности доказательств С (уровень достоверности рекомендации - 5).
Комментарии. При получении положительного ответа проводится пробное лечение не менее 28 суток и более, в течение которого определяется степень повышения толерантности к пищевому фенилаланину и вырабатывается дальнейшая тактика лечения. Возможно проведение тестирования у новорожденных пациентов.
• Рекомендуется продолжить тестирование до 7 суток пациентам в случае получения отрицательного ответа 48-и часового теста с целью определения чувствительности к лечению сапроптерином** и получения положительного ответа в виде снижения концентрации ФА крови и повышения толерантности к пищевому фенилаланину [27, 28].
Уровень убедительности рекомендации С (уровень достоверности доказательств - 5).
Комментарии. У некоторых пациентов наблюдается отсроченный положительный ответ на лечение сапроптерином** (так называемые «поздние ответчики»). При необходимости длительная медикаментозная терапия у пациентов ГФА, отвечающих на лечение сапроптерином** снижением уровня ФА в крови, проводится в комбинации с диетой при использовании аминокислотных смесей, количество которых определяет врач.
С согласия пациентки возможно продолжение терапии сапроптерином** во время беременности: сапроптерин** назначают женщинам с ГФА, у которых ранее была доказана чувствительность к лечению сапроптерином** или тем, у кого ранее проводилось лечение данным препаратом.
• Рекомендуется всем пациентам прием профилактической дозы препаратов из группы витамина D и его производных с целью коррекции/профилактики витамин D- дефицитного состояния [16, 121].
Уровень убедительности рекомендации С (уровень достоверности доказательств - 5).
Комментарии. Обычно назначается колекальциферол**; при необходимости вместе с карбонатом кальция в соответствии с рекомендациями по коррекции витамин D - дефицитных состояний.
• Рекомендуется пациентам с ГФА и железодефицитной анемией с терапевтической целью прием пероральных препаратов трехвалентного железа, при необходимости цианокобаламин и его производные [44, 46, 129].
Уровень убедительности рекомендации С (уровень достоверности доказательств - 4).
• Рекомендуется у пациентов с ГФА и судорожным синдромом с терапевтической целью применение симптоматической противосудорожной терапии на фоне патогенетического лечения (противоэпилептические препараты) [91,130].
Уровень убедительности рекомендации С (уровень достоверности доказательств - 4).
• Рекомендуется проведение обучающих мероприятий со всеми пациентами с ГФА и, в зависимости от возраста, их родителями (законными представителями) от момента выявления заболевания и на всем его протяжении в целях повышения осведомленности пациентов и улучшения распознавания гиперфенилаланинемии, снижения рисков развития осложнений, для достижения целевых показателей уровня ФА и улучшения самостоятельного управления заболеванием [71,79-82].
Уровень убедительности рекомендаций С (уровень достоверности доказательств - 4).
Комментарии. Цели и задачи обучения должны быть конкретизированы в соответствии с актуальным состоянием пациента. В школу фенилкетонурии направляются пациенты, не проходившие обучения (первичный цикл), или пациенты, уже прошедшие обучение (повторные циклы), для поддержания уровня знаний и мотивации или при появлении новых терапевтических целей.
• Рекомендуется использовать специально разработанные структурированные программы обучения, адресованные конкретному контингенту пациентов с ГФА (например, беременным) для достижения целевых показателей ФА, профилактики развития и прогрессирования осложнений [71,79-82].
Уровень убедительности рекомендаций С (уровень достоверности доказательств -3).
Комментарии. Обучение может проводиться как в индивидуальном порядке, так и в группах пациентов. Содержание обучающих программ должно соответствовать принятым стандартам диагностики и лечения ГФА, а их структура - учитывать основные принципы педагогики. Программы подразумевают строго практическую направленность и доступность для восприятия. Обязательные разделы обучающих программ:
• школа молодых родителей ребенка с ГФА;
• общие сведения о ГФА;
• контроль уровня ФА;
• диетотерапия;
• социализация и качество жизни;
• психологические аспекты у детей и подростков с ГФА;
• динамическое наблюдение при ГФА;
• подготовка к беременности и беременность при ГФА.
Большая часть времени в процессе обучения должна быть посвящена практической отработке навыков, необходимых для самостоятельного управления заболеванием. Прежде всего это касается контроля уровня ФА, технике подсчета количества белка в пище.
• Рекомендуется проведение обучения пациентов с ГФА специально подготовленными медицинскими работниками: врачом-генетиком, диетологом, неврологом, педиатром, терапевтом, медицинской сестрой; с участием медицинского психолога для поддержания уровня знаний и мотивации [80-82].
Уровень убедительности рекомендаций С (уровень достоверности доказательств - 5).
• Рекомендуется всем пациентам начинать диетотерапию с ограничением пищевого ФА как можно раньше (до 3-х недель жизни) после установления диагноза, чтобы предотвратить повреждение центральной нервной системы [16, 17, 18, 96].
Уровень убедительности рекомендации С (уровень достоверности доказательств - 4).
Комментарии. Большинство специалистов считает, что лечение новорожденных следует начинать до достижения возраста 10 дней [16]. Учитывая, что задержка начала лечения на каждые 4 недели приводила к снижению показателя IQ примерно на 4 балла [18], целесообразно начинать лечение не позднее 3-х недель жизни.
• Рекомендуется всем пациентам начинать лечение, когда концентрация ФА в крови ≥360мкмоль/л чтобы избежать отрицательного воздействия повышенного содержания ФА и его метаболитов на нервную систему [4, 16].
Уровень убедительности рекомендации С (уровень достоверности доказательств - 5).
Комментарии. Не следует назначать лечение ранее нелеченым пациентам, имеющим концентрацию ФА крови <360мкмоль/л. Необходимо осуществлять регулярный контроль ФА крови у этих пациентов для того, чтобы при повышении уровня ФА вовремя назначить лечение [16].
• Рекомендуется пожизненное проведение диетотерапии всем пациентам с ГФА с целью профилактики повреждений центральной нервной системы и улучшения социальной адаптации [17].
Уровень убедительности рекомендации С (уровень достоверности доказательств - 5).
Комментарии. Исследования показали, что поддержание концентрации ФА крови ниже 360 мкмоль/л у пациентов с рождения до 12 лет и 400-600 мкмоль/л у пациентов старше 12 лет и взрослых позволяет сохранить удовлетворительное нейрокогнитивное развитие, адекватную скорость восприятия информации и сохранение психосоциальных функций. В связи с этим рекомендуется пожизненное проведение лечения, в том числе пожизненное следование диетическим ограничениям с использованием специализированных заменителей белка, источников витаминов и минералов [19].
3,1 Консервативное лечение.
3,1,1 Диетотерапия.
• Рекомендуется для пациентов с ФАГ-зависимой ГФА назначение патогенетически обоснованной гипофенилаланиновой диеты с целью ограничения поступления ФА с пищей [20].Уровень убедительности рекомендации с (уровень достоверности доказательств - 5).
Комментарии. Диетотерапия основана на резком ограничении ФА в рационе пациентов за счет исключения высокобелковых продуктов и их замещении специализированными лечебными продуктами, частично или полностью лишенными ФА. Из рациона питания больного ГФА исключают натуральные продукты питания с высоким содержанием белка (соответственно, и ФА) ― мясо, мясопродукты, рыбу, рыбопродукты, творог, яйцо, бобовые, орехи, шоколад Допустимые в диете натуральные продукты вводят в рацион в соответствии с подсчетом содержащегося в них ФА.
Для детей грудного возраста (с рождения до 12 месяцев) к допустимым продуктам относятся женское молоко, детские молочные смеси, овощи, фрукты и некоторые продукты прикорма с низким содержанием белка. Прикорм вводится в те же сроки, что и здоровым детям (с 4 до 6 месяцев), но при этом используются продукты только с низким содержанием белка с учетом толерантности пациента к натуральному белку/фенилаланину [21]. Для компенсации белкового компонента пищи используют специализированные аминокислотные смеси без ФА, сбалансированные по составу наподобие адаптированных детских молочных смесей. Приложение А3,6).
В диете пациентов старше 1 года, как правило, используются специализированные аминокислотные смеси без ФА с большим количеством белка, обогащенные витаминно-минеральными комплексами. В смесях, предназначенных для детей в возрасте от 1 до 8 лет, могут присутствовать в достаточном количестве углеводы и жиры. Это дает возможность индивидуального подбора лечебного продукта в зависимости от нутритивного статуса пациентов, функционального состояния желудочно-кишечного тракта и пищевых предпочтений. Кроме того, указанные смеси аминокислот, в том числе и смеси для детей первого года жизни, как более сбалансированные по составу, могут применяться также у пациентов более старшего возраста и беременных женщин с ГФА при состояниях, обусловленных заболеваниями желудочно-кишечного тракта и непереносимостью некоторых пищевых продуктов.
• Рекомендуется назначение специализированных продуктов лечебного питания (аминокислотные смеси без ФА) пациентам всех возрастных групп с ГФА, требующим диетотерапию, с целью коррекции уровня ФА и улучшения качества жизни [20-23, 89].
Уровень убедительности рекомендации с (уровень достоверности доказательств - 5).
• Рекомендуется назначение низкобелковых продуктов питания пациентам старше 1 года с ГФА с целью коррекции энергетической ценности лечебного рациона [20-23, 89].
Уровень убедительности рекомендации С (уровень достоверности доказательств - 5).
Комментарии. Назначение низкобелковых продуктов показано детям после 1 года и далее-всем пациентам с ГФА. Список низкобелковых и безбелковых специализированных продуктов, зарегистрированных на территории Российской Федерации - приложении А3,7. Данными продуктами питания (никзобелковые и безбелковые) пациенты обеспечиваются согласно Постановлению Правительства РФ от 30 июля 1994 г. N 890 О государственной поддержке развития медицинской промышленности и улучшении обеспечения населения и учреждений здравоохранения лекарственными средствами и изделиями медицинского назначения (с изменениями и дополнениями).
• Рекомендуется при инициации диетотерапии титровать количество ФА пищи (натурального белка) всем пациентам под контролем ФА крови до получения целевых терапевтических значений [22].
Уровень убедительности рекомендации с (уровень достоверности доказательств - 5).
• Рекомендуется при расчетах питания всем пациентам ориентироваться на нормы физиологической потребности в основных нутриентах с целью обеспечения адекватного физического развития и снижения рисков нутритивной недостаточности [20, 23] (Приложение А3,8).
Уровень убедительности рекомендации с (уровень достоверности доказательств - 5).
Комментарии. Допускается уменьшение количества суточного белка (но не более 10%) в основном за счет белка аминокислотной смеси в зависимости от толерантности к пище и к фенилаланину, а также от физической активности пациента и состояния его нутритивного статуса [19, 24].
Белок за счет естественных продуктов в диете рассчитывается исходя из допустимых суточных количеств ФА с учетом, что 1 г белка содержит ~50 мг ФА. В зависимости от переносимости пищевого ФА допустимое и безопасное его количество в сутки составляет от 90 до 35 мг/кг массы тела для детей первого года жизни. В питании детей старше 1 года, а также подростков и взрослых допустимое количество ФА постепенно снижается с 35 до 10 мг/кг массы тела ребенка (Приложение А3,9, приложение А3,10). Также в процессе лечения определяется суточная толерантность к пищевому фенилаланину, которая зависит от степени поражения фермента фенилаланингидроксилазы и возраста пациента.
• Рекомендуется всем пациентам при организации диетотерапии с целью ее оптимизации учитывать клиническую форму заболевания, уровень ФА в крови, возраст, пол; нутритивный статус (физическое развитие), толерантность к пищевому фенилаланину, количество ФА и натурального белка, получаемого с пищей, количество основных пищевых веществ и энергии в лечебном рационе [16, 20, 23].
Уровень убедительности рекомендации С (уровень достоверности доказательств - 5).
Комментарии. При назначении диеты важен индивидуальный и дифференцированный подход к использованию специализированных и натуральных продуктов соответственно возрасту пациента.
Для пациентов ГФА независимо от их возраста сохраняется запрет на продукты, наиболее богатые фенилаланином, такие как мясо, рыба и изделия из них. Творог, твердые сыры, бобовые, куриные яйца, орехи могут в ограниченном количестве входить в рацион пациентов старшего возраста с учетом толерантности к фенилаланину. Не рекомендуется употребление пациентами с ГФА продуктов фастфуд, газированных напитков с подсластителями (аспартам или пищевая добавка Е951), содержащих фенилаланин.
Тактика диетотерапии при сопутствующих заболеваниях (выраженная гипертермия, интоксикация, различные диспепсические явления), а также при отказе от приема аминокислотной смеси заключается в кратковременном (на 2−3 дня) прекращении диетотерапии с заменых лечебных продуктов на натуральные с невысоким содержанием белка. После стихания острого периода болезни в рацион вновь вводится специализированный продукт, но за более короткий период, чем в начале лечения. Если пациент с ГФА не отказывается от пищи во время болезни, то лечение сопутствующих соматических заболеваний проводится по общепринятой схеме и не требует прекращения диетотерапии.
• Не рекомендуется пациентам с ГФА употребление медикаментозных препаратов, биологически активных добавок, содержащих ФА или его производные, подсластитель аспартам [87].
Уровень убедительности рекомендации С (уровень достоверности доказательств -5).
3,1,2 Медикаментозная терапия.
• Рекомендуется назначение патогенетически обоснованного лечения синтетическим аналогом ВН4 (сапроптерин** (А16АХ)) пациентам с ГФА, обусловленной недостаточностью вH4 (гиперфенилаланинемия ВН4 дефицитная), с целью предотвращения тяжелых неврологических нарушений [87, 97].Уровень убедительности рекомендации А (уровень достоверности доказательств -1).
Комментарии. В зависимости от формы ГФА сапроптерин** используется в комплексе с диетотерапией или без нее (Приложение А3,11). Начальная доза сапроптерина**у пациентов с недостаточностью вH4 составляет от 2 до 5 мг/кг массы тела при приеме 1 раз в день. Доза может быть увеличена до 20 мг/кг массы тела в день. Для достижения оптимального терапевтического эффекта суточная доза препарата может быть разделена на 2 или 3 приема в течение дня.
• Рекомендуется назначать допаминергические препараты, предшественники серотонина в комплексном лечении пациентов с ВН4 дефицитными ГФА с целью коррекции экстрапирамидного синдрома [5, 6, 27,28, 124].
Уровень убедительности рекомендации С (уровень достоверности доказательств - 4).
Комментарии. Назначаются леводопа+[карбидопа]**(противопоказан детям до 18 лет, назначается по показанию «синдром паркинсонизма», обычно требуется 10−15 мг/кг в сутки по леводопе), предшественник серотонина 5-гидрокситриптофан (10 мг/кг в сутки)(биологически активная добавка) [124].
• Рекомендуется проведение пациентам коррекции недостаточности фолиевой кислоты, а также дополнительное назначение фолиевой кислоты** при беременности [5, 16, 121-124].
Уровень убедительности рекомендации с (уровень достоверности доказательств - 5).
Комментарий. Фолиевая кислота** назначается пациентам при дефиците данного микронутриента в соответствии с инструкцей ей к препарату (особенно важно назначение фолиевой кислоты** в первый триместр беременности - 400 мкг/сут).
В некоторых случаях требуется диета с ограничением ФА и назначением фолиевой кислоты и ее производных (Приложение А3,11).
Назначение следует проводить под контролем уровня фолиевой кислоты в крови, в ряде исследований отмечается даже повышенный уровень фолиевой кислоты у пациентов с ФКУ [121].
• Рекомендуется медикаментозная терапия сапроптерином** пациентам с ФАГ-зависимой ГФА, имеющим до лечения концентрацию ФА крови выше 360 мкмоль/л, продемонстрировавшим положительный ответ на тестирование сапроптерином в виде снижения концентрации ФА крови и повышения толерантности к пищевому фенилаланину с целью расширения диеты и повышения качества жизни пациента [27, 28].
Уровень убедительности рекомендации С (уровень достоверности доказательств -5).
Комментарии. Тестирование потенциальной чувствительности к препарату и лечение сапроптерином** проводит и контролирует врач, который осуществляет также наблюдение пациентов с ГФА (схемы тестирования Приложение А3,12).
Ответ на лечение препаратом сапроптерин** оценивается по степени снижения концентрации ФА в крови пациента при соблюдении стабильной гипофенилаланиновой диеты. Пациент считается чувствительным, если разница уровня ФА, полученного по окончании периода оценки ответа на лечение, и его исходного уровня перед началом приема препарата составляет 30% и более.
• Рекомендуется проведение 48-часового теста пациентам старше 1 года, подросткам и взрослым с целью определения чувствительности к лечению сапроптерином** и получения положительного ответа в виде снижения концентрации ФА крови и повышения толерантности к пищевому фенилаланину [27, 28].
Уровень убедительности доказательств С (уровень достоверности рекомендации - 5).
Комментарии. При получении положительного ответа проводится пробное лечение не менее 28 суток и более, в течение которого определяется степень повышения толерантности к пищевому фенилаланину и вырабатывается дальнейшая тактика лечения. Возможно проведение тестирования у новорожденных пациентов.
• Рекомендуется продолжить тестирование до 7 суток пациентам в случае получения отрицательного ответа 48-и часового теста с целью определения чувствительности к лечению сапроптерином** и получения положительного ответа в виде снижения концентрации ФА крови и повышения толерантности к пищевому фенилаланину [27, 28].
Уровень убедительности рекомендации С (уровень достоверности доказательств - 5).
Комментарии. У некоторых пациентов наблюдается отсроченный положительный ответ на лечение сапроптерином** (так называемые «поздние ответчики»). При необходимости длительная медикаментозная терапия у пациентов ГФА, отвечающих на лечение сапроптерином** снижением уровня ФА в крови, проводится в комбинации с диетой при использовании аминокислотных смесей, количество которых определяет врач.
С согласия пациентки возможно продолжение терапии сапроптерином** во время беременности: сапроптерин** назначают женщинам с ГФА, у которых ранее была доказана чувствительность к лечению сапроптерином** или тем, у кого ранее проводилось лечение данным препаратом.
• Рекомендуется всем пациентам прием профилактической дозы препаратов из группы витамина D и его производных с целью коррекции/профилактики витамин D- дефицитного состояния [16, 121].
Уровень убедительности рекомендации С (уровень достоверности доказательств - 5).
Комментарии. Обычно назначается колекальциферол**; при необходимости вместе с карбонатом кальция в соответствии с рекомендациями по коррекции витамин D - дефицитных состояний.
• Рекомендуется пациентам с ГФА и железодефицитной анемией с терапевтической целью прием пероральных препаратов трехвалентного железа, при необходимости цианокобаламин и его производные [44, 46, 129].
Уровень убедительности рекомендации С (уровень достоверности доказательств - 4).
• Рекомендуется у пациентов с ГФА и судорожным синдромом с терапевтической целью применение симптоматической противосудорожной терапии на фоне патогенетического лечения (противоэпилептические препараты) [91,130].
Уровень убедительности рекомендации С (уровень достоверности доказательств - 4).
3,2 Хирургическое лечение.
Хирургического вмешательства обычно не требуется.3,3 Иное лечение.
3,3,1 Обучение.
Обучение является неотъемлемой частью комплекса терапевтических мероприятий при ГФА и должно продолжаться на всем протяжении заболевания. Лечение ГФА обязательно включает обучение самоконтролю уровня ФА, принципам управления заболеванием (расчету диетотерапии).• Рекомендуется проведение обучающих мероприятий со всеми пациентами с ГФА и, в зависимости от возраста, их родителями (законными представителями) от момента выявления заболевания и на всем его протяжении в целях повышения осведомленности пациентов и улучшения распознавания гиперфенилаланинемии, снижения рисков развития осложнений, для достижения целевых показателей уровня ФА и улучшения самостоятельного управления заболеванием [71,79-82].
Уровень убедительности рекомендаций С (уровень достоверности доказательств - 4).
Комментарии. Цели и задачи обучения должны быть конкретизированы в соответствии с актуальным состоянием пациента. В школу фенилкетонурии направляются пациенты, не проходившие обучения (первичный цикл), или пациенты, уже прошедшие обучение (повторные циклы), для поддержания уровня знаний и мотивации или при появлении новых терапевтических целей.
• Рекомендуется использовать специально разработанные структурированные программы обучения, адресованные конкретному контингенту пациентов с ГФА (например, беременным) для достижения целевых показателей ФА, профилактики развития и прогрессирования осложнений [71,79-82].
Уровень убедительности рекомендаций С (уровень достоверности доказательств -3).
Комментарии. Обучение может проводиться как в индивидуальном порядке, так и в группах пациентов. Содержание обучающих программ должно соответствовать принятым стандартам диагностики и лечения ГФА, а их структура - учитывать основные принципы педагогики. Программы подразумевают строго практическую направленность и доступность для восприятия. Обязательные разделы обучающих программ:
• школа молодых родителей ребенка с ГФА;
• общие сведения о ГФА;
• контроль уровня ФА;
• диетотерапия;
• социализация и качество жизни;
• психологические аспекты у детей и подростков с ГФА;
• динамическое наблюдение при ГФА;
• подготовка к беременности и беременность при ГФА.
Большая часть времени в процессе обучения должна быть посвящена практической отработке навыков, необходимых для самостоятельного управления заболеванием. Прежде всего это касается контроля уровня ФА, технике подсчета количества белка в пище.
• Рекомендуется проведение обучения пациентов с ГФА специально подготовленными медицинскими работниками: врачом-генетиком, диетологом, неврологом, педиатром, терапевтом, медицинской сестрой; с участием медицинского психолога для поддержания уровня знаний и мотивации [80-82].
Уровень убедительности рекомендаций С (уровень достоверности доказательств - 5).
|
|
Реабилитация и амбулаторное лечение
Основными аспектами медицинской и социальной помощи пациентам с ГФА являются диагностика, контроль за лечением и социальная реабилитация.
Медицинская реабилитация включает в себя следующие рекомендации:
• Рекомендуется соблюдение рекомендаций врача по диетическому питанию пациентам с ГФА для предупреждения осложнений [36, 37].
Уровень убедительности рекомендаций В (уровень достоверности доказательств -2).
Комментарии. Преимущественно у детей школьного возраста и взрослых повышается уровень ФА крови в связи с нарушением рекомендаций по диетическому питанию, что требует психологической поддержки пациента. Уровень интеллектуального развития пациента, его когнитивные функции имеют корреляцию со значением ФА крови в течение жизни [36, 37].
• Рекомендована консультации медицинского психолога пациентам с ГФА для коррекции психологического состояния при наличии показаний [30, 51, 52].
Уровень убедительности рекомендации С (уровень достоверности доказательств - 4).
Комментарии. Психолого-педагогическая реабилитация детей подросткового возраста. Они сталкиваются с проблемами периода полового созревания, которые сопровождается стремлением к независимости, протестным поведением, а также подверженностью влияния сверстников. Это период частых отказов пациентов с ГФА подростков от диетотерапии, употребления продуктов специализированного питания, а также высокого риска потери метаболического контроля и полной утраты медицинского наблюдения.
Социальная реабилитация включает в себя организацию питания детей с ГФА в общеобразовательных, оздоровительных учреждениях; у взрослых - возможность использования специализированных продуктов лечебного питания на рабочем месте.
Особую роль в помощи пациентам с ГФА играют общественные организации. Организация, объединяющая родителей детей с ГФА и взрослых пациентов, помогает в социальной реабилитации, социальной адаптации, помощи в трудоустройстве, организации отдыха в тч в летних лагерях, досуга, социокультурной реабилитации и других мероприятиях, а также проведении родительских школ и семинаров.
Несмотря на то, что ГФА не является жизнеугрожающим заболеванием, при необходимости в рамках реабилитации рассматривается паллиативная помощь, которая включает в себя систему мер по улучшению качества жизни пациентов с угрожающими жизни и сокращающими жизнь заболеваниями, преимущественно в терминальной стадии развития, и представляет собой активный и целостный подход к оказанию помощи, начинающийся с момента постановки диагноза и покрывающий физические, эмоциональные, социальные и духовные аспекты вплоть до смерти.
Паллиативная помощь пациентам с ГФА оказывается на основании соответствующих нормативных документов ( см Приложение А3.
Медицинская реабилитация включает в себя следующие рекомендации:
• Рекомендуется соблюдение рекомендаций врача по диетическому питанию пациентам с ГФА для предупреждения осложнений [36, 37].
Уровень убедительности рекомендаций В (уровень достоверности доказательств -2).
Комментарии. Преимущественно у детей школьного возраста и взрослых повышается уровень ФА крови в связи с нарушением рекомендаций по диетическому питанию, что требует психологической поддержки пациента. Уровень интеллектуального развития пациента, его когнитивные функции имеют корреляцию со значением ФА крови в течение жизни [36, 37].
• Рекомендована консультации медицинского психолога пациентам с ГФА для коррекции психологического состояния при наличии показаний [30, 51, 52].
Уровень убедительности рекомендации С (уровень достоверности доказательств - 4).
Комментарии. Психолого-педагогическая реабилитация детей подросткового возраста. Они сталкиваются с проблемами периода полового созревания, которые сопровождается стремлением к независимости, протестным поведением, а также подверженностью влияния сверстников. Это период частых отказов пациентов с ГФА подростков от диетотерапии, употребления продуктов специализированного питания, а также высокого риска потери метаболического контроля и полной утраты медицинского наблюдения.
Социальная реабилитация включает в себя организацию питания детей с ГФА в общеобразовательных, оздоровительных учреждениях; у взрослых - возможность использования специализированных продуктов лечебного питания на рабочем месте.
Особую роль в помощи пациентам с ГФА играют общественные организации. Организация, объединяющая родителей детей с ГФА и взрослых пациентов, помогает в социальной реабилитации, социальной адаптации, помощи в трудоустройстве, организации отдыха в тч в летних лагерях, досуга, социокультурной реабилитации и других мероприятиях, а также проведении родительских школ и семинаров.
Несмотря на то, что ГФА не является жизнеугрожающим заболеванием, при необходимости в рамках реабилитации рассматривается паллиативная помощь, которая включает в себя систему мер по улучшению качества жизни пациентов с угрожающими жизни и сокращающими жизнь заболеваниями, преимущественно в терминальной стадии развития, и представляет собой активный и целостный подход к оказанию помощи, начинающийся с момента постановки диагноза и покрывающий физические, эмоциональные, социальные и духовные аспекты вплоть до смерти.
Паллиативная помощь пациентам с ГФА оказывается на основании соответствующих нормативных документов ( см Приложение А3.
Профилактика
• Рекомендуется проспективное медико-генетическое консультирование пар, планирующих беременность с рекомендацией обследования на гетерозиготное носительство частых мутаций в гене РАН с целью прогноза потомства [16, 55].
Уровень убедительности рекомендаций С (уровень достоверности доказательств - 4).
Комментарии. Частота носительства патогенной мутации в гене PAH в РФ составляет 1:50. При выявлении ГФА в семье - обследование родственников для уточнения гетерозиготного носительства мутации в генах РАН, PTS, QDPR, GCH1, PCBD, SPR, DNAJC12.
• Рекомендуется медико-генетическое консультирование пар, имеющих в семейном анамнезе детей с ГФА, планирующих беременность с целью информирования о возможности дородовой диагностики: пренатальная диагностика, использование вспомогательных репродуктивных технологий [16, 56].
Уровень убедительности рекомендаций с (уровень достоверности доказательств -5).
Комментарии. Дородовая диагностика проводится в паре, где установлено, что будущие родители являются носителями мутации в одном гене - РАН, PTS, QDPR, GCH1, PCBD, SPR, DNAJC12. Вероятность рождения ребенка с ГФА у женщины или мужчины, страдающих данным заболеванием, реализуется в случае, если второй родитель является гетерозиготным носителем мутантного гена (риск 50%) или также страдает ГФА (риск 100%).
• Рекомендуется консультирование девочек подросткового возраста и женщин, страдающих ГФА, по вопросу планирования семьи с целью предупреждения рождения ребенка с синдромом «материнской фенилкетонурии» [20, 115,116, 126].
Уровень убедительности рекомендаций A (уровень достоверности доказательств -3).
Комментарии. При планировании беременности, желательно, чтобы уровень ФА крови за 2-3 месяца до зачатия и в течение беременности не превышал 360 мкмоль/л.
Профилактика патологии плода, в том числе ВПР, у беременной с ГФА.
• Рекомендуются беременной с ГФА строгие диетические ограничения поступления ФА с пищей с целью профилактики патологии плода [16,117,118].
Уровень убедительности рекомендаций С (уровень достоверности доказательств -5).
• Рекомендовано назначение сапроптерина** в случаях, если ранее у пациентки была подтверждена чувствительность к применению кофакторной терапии [54].
Уровень убедительности рекомендаций С (уровень достоверности доказательств -4).
Комментарии. Подробнее см разделы «Диагностика» и «Лечение».
Контроль за адекватностью лечения.
• Рекомендуется осуществлять взятие крови утром натощак (после ночного голодания) всем пациентам для определения контрольных значений ФА крови [25, 16].
Уровень убедительности рекомендации С (уровень достоверности доказательств - 5).
КомментарииВ настоящее время установлено, что уровень ФА в крови снижается в течение дня, причем самый высокий уровень ФА в крови достигается рано утром после ночного голодания. Правила забора крови на фильтр в приложении А3,14.
• Рекомендуется придерживаться уровня ФА крови в пределах от 120 до 360 мкмоль/л пациентам в возрасте с рождения до 12 лет с целью предупреждения нарушений нейропсихического развития и когнитивных расстройств [29, 16].
Уровень убедительности рекомендации с (уровень достоверности доказательств - 5).
Комментарии. Частые колебания и превышение целевых терапевтических значений ФА крови у детей в возрасте до 12 лет приводят впоследствии к нарушениям нейропсихического развития и когнитивным расстройствам [29, 16].
• Рекомендуется придерживаться уровня ФА крови в пределах от 120 до 360 мкмоль/л с целью предупреждения нарушений нейропсихического развития и когнитивных расстройств:
• пациентам в возрасте с 12-18 лет [29, 30, 75, 76, 90, 105, 127];
Уровень убедительности рекомендации В (уровень достоверности доказательств - 2).
• взрослым [29, 30, 75, 76, 90, 105, 127].
Уровень убедительности рекомендации В (уровень достоверности доказательств - 3).
Комментарии. Допускаются более высокие колебания ФА крови на диете, но не выше 600 мкмоль/л [29].
Было показано, что длительное повышение уровня ФА в крови у взрослых с ФАГ-зависимой ГФА отрицательно влияет на психоэмоциональное состояние (лабильное настроение, депрессия), приводит к нарушению внимания и других нейрокогнитивных функций [30, 16, 52].
• Рекомендуется строго следовать гипофенилаланиновой диете и придерживаться уровня ФА крови в пределах от 120 до 360 мкмоль/л женщинам в периоды прегравидарной подготовки, I и II семестров беременности с целью профилактики синдрома материнской ФКУ [16, 106, 107, 128].
Уровень убедительности рекомендации С (уровень достоверности доказательств - 4).
Комментарии. Отсутствие диетических ограничений и контроля за содержанием ФА крови у женщин в прегравидарный период и во время беременности значительно повышают риск развития у плода «синдрома материнской ФКУ» [72-74].
• Рекомендуется поддерживать нижний целевой уровень ФА крови не менее 120 мкмоль/л всем пациентам для профилактики дефицитных состояний и осложнений гипофенилаланиновой диеты [31].
Уровень убедительности рекомендации С (уровень достоверности доказательств - 4).
Комментарии. Широко используемый нижний целевой уровень ФА в крови - 120 мкмоль/л получен на основании клинического опыта, описывающего неблагоприятные последствия на состояние здоровья пациента при длительно сохраняющихся очень низких концентрациях ФА в крови пациента [31].
В детском возрасте это повышенная заболеваемость, низкий нутритивный статус, энтеропатический акродерматит. У взрослых - недостаточность питания, психоэмоциональные расстройства, у женщин репродуктивного возраста - бесплодие, у беременных с ГФА - внутриутробная задержка развития плода, рождение ребенка с недостаточной массой тела к сроку гестации [25].
• Рекомендуется контроль уровня ФА крови для оценки эффективности терапии у всех пациентов [36-41].
Уровень убедительности рекомендаций В (уровень достоверности доказательств - 2).
Комментарии. С появлением новых терапевтических возможностей медикаментозного лечения рекомендуется придерживаться уровня ФА в крови 120-360 мкмоль/л (2-6мг/дл) для всех возрастов [36-42].
• Рекомендуется пациентам с максимальным значением уровня ФА на скрининге 360 мкмоль/л (6 мг/дл) в течение первого года жизни контролировать ФА крови не реже 1 раза в месяц с целью своевременного выявления повышения ФА и назначения патогенетичсекого лечения и/или уточнения формы ГФА и обязательного диспансерного наблюдения [42, 43].
Уровень убедительности рекомендаций С (уровень достоверности доказательств - 4).
Комментарии. Низкие уровни ФА по ре-тесту требуют проведения дифференциальной диагностики и исключения ВН-4 дефицитных форм ГФА [33].
• Рекомендуется регулярный контроль уровня ФА у пациентов с ВН4 дефицитными формами ГФА с целью поддержания его концентрации в пределах нормальных значений (до 120 мкмоль/л или 2мг/дл) или приближенных к ним [33, 70].
Уровень убедительности рекомендаций С (уровень достоверности доказательств - 5).
Комментарии. При ВН4 дефицитной ГФА контроль адекватности терапии также проводится по уровню ФА крови [33, 70].
• Рекомендуется всем пациентам следующая оптимальная частота исследования уровня ФА крови для своевременной коррекции диетотерапии:
- в возрасте до 3-х месяцев - 1 раз в неделю (до получения стабильных результатов) и далее 1 раз в 10 дней,.
- с 1 года до 6 лет - не реже 1-2 раза в месяц,.
- с 7 и старше - не реже 1 раза в 3 месяца,.
- для беременных с ФАГ-дефицитной ГФА - не реже 1 раз в 7 дней в I триместре и не реже 1 раз в 2 недели во 2-3 триместрах [16, 66].
Уровень убедительности рекомендаций С (уровень достоверности доказательств - 5).
Комментарии. Данные рекомендации основаны на многолетнем опыте работы врачей, специализирующихся на лечении пациентов фенилкетонурией в РФ, и были представлены в предыдущих клинических рекомендациях по фенилкетонурии. В Европейских странах частота рекомендуемых исследований выше: до 1 года 1 раз в неделю, от 1 года до 12 лет 1 раз в 2 недели, старше 12 лет 1 раз в месяц, при подготовке к беременности 1 раз в неделю, при беременности 2 раза в неделю[16, 66].
• Р екомендуется. Исследование клинического анализа крови всем пациентам с ГФА для оценки основных параметров кроветворения и наличия воспалительных процессов не реже 1 раза в год [16, 44, 66, 119-121].
Уровень убедительности рекомендаций А (уровень достоверности доказательств - 2).
Комментарии. При применении ограничительной диеты возможно развитие алиментарной железодефицитной анемии, которая может иметь латентный характер. Исследование проводится не реже 1 раза в год [16, 45].
• Рекомендуется исследование общего (клинического) анализа мочи всем пациентам с ГФА с целью выявления кристаллурии не реже 1 раза в год [90].
Уровень убедительности рекомендаций С (уровень достоверности доказательств - 5).
Комментарии. При применении ограничительной диеты возможно развитие кристаллурии. Исследование проводится не реже 1 раза в год.
• Рекомендуется исследование биохимического анализа мочи (фосфор, кальций. креатинин белок, альбумин) пациентам с ГФА с целью выявления метаболической нефропатии [90, 92].
Уровень убедительности рекомендаций С (уровень достоверности доказательств - 5).
Комментарии. Не реже 1 раза в год.
• Рекомендуется определение соотношения фенилаланина/тирозина пациентам с ГФА с целью своевременной диагностики/предупреждения явлений, вызванных дефицитом тирозина/избытком фенилаланина [101-103].
Уровень убедительности рекомендаций С (уровень достоверности доказательств - 4).
Комментарии. При применении ограничительной диеты возможно развитие дефицита незаменимых аминокислот, в частности - тирозина. Исследование проводится методом тандемной масс-спектрометрии, частота определяется индивидуально, в среднем, не реже 1 раза в год.
• Рекомендовано пациентам с ГФА проведение биохимического анализа крови общетерапевтического с целью оценки состояния печени, почек и выявления, отклонений важных биохимических показателей и их дальнейшей коррекции не реже 1 раза в год [44,45,46,47,49, 83, 121].
Уровень убедительности рекомендаций С (уровень достоверности доказательств - 4).
Комментарии: при применении ограничительной диеты возможно развитие диспротеинемии, нарушения минерального обмена и дефицита эссенциальных микроэлементов. Целесообразно определение содержания глюкозы, общего белка, белковых фракций, общего билирубина, холестерина, триглицеридов, липопротеидов низкой и высокой плотности, щелочной фосфатазы, креатинина, мочевины, аланинаминотрансферазы (АЛТ), аспартатаминотрансферазы (АСТ), кальция общего и ионизированного, натрия, калия, неорганического фосфора, железа, ферритина, уровня основного метаболита витамина D в крови (исследование уровня 25-ОН витамина Д в крови) и витамина В12 (цианокобаламин), фолиевой кислоты с целью оценки баланса важнейших нутриентов при диетотерапии, оценки кальциево-фосфорного обмена, оценки состояния почек, печени с периодичностью 1 раз в год [44, 45,46,47,49].
• Рекомендуется проведение инструментальных обследований почек, печени, поджелудочной железы согласно рекомендациям по дисметаболическим нефропатиям, мочекаменной болезни, метаболическому синдрому в связи с высокой вероятностью развития у пациентов с ГФА поражения почек, метаболического синдрома с целью своевременной диагностики и терапии данных состояний [99].
Уровень убедительности рекомендаций С (уровень достоверности доказательств - 4).
Комментарии. Обычно в качестве скрининг-диагностики и динамического контроля проводится ультразвуковое исследование (УЗИ) органов брюшной полости (комплексное) и почек не реже 1 раза в год пациентам с ГФА для выявления дисметаболических нефропатий, нефрокальциноза, изменений со стороны печени и поджелудочной железы.
• Рекомендуется проведение электроэнцефалографии (ЭЭГ) и ЭЭГ-мониторинга пациентам со всеми формами ГФА при наличии неврологической симптоматики для выявления эпилептической активности [91].
Уровень убедительности рекомендаций С (уровень достоверности доказательств - 4).
Комментарии. ЭЭГ и ЭЭГ-мониторинг по показаниям, при стабильном течении-1 раз в год.
• Рекомендуется проведение МРТ головного мозга (наркоз. По показаниям) пациентам со всеми формами ГФА при наличии у них неврологической симптоматики для выявления прогрессирующих изменений белого вещества мозга [14].
Уровень убедительности рекомендаций в (уровень достоверности доказательств - 3).
Комментарии. МРТ по показаниям.
• Рекомендуется исследование минеральной плотности костной ткани. (рентгенденситометрия) у пациентов старше 5 лет для диагностики остеопороза, выявления группы риска по остеопорозу и принятия профилактических мер [48, 50].
Уровень убедительности рекомендаций С (уровень достоверности доказательств - 2).
Комментарии. Частота исследований - по показаниям не чаще 1 раза в год [48, 50].
• Рекомендуется проведение рентгенографии кисти рук детям со всеми формами ГФА, имеющим задержку физического развития и полового развития, для определения костного возраста и дополнительной оценки кальциево-фосфорного обмена [104].
Уровень убедительности доказательств С (уровень достоверности рекомендации -4).
Комментарии. Исследование проводится пациентам с 2 лет.
• Рекомендуется проведение инструментальных обследований в соответствии с рекомендациями по атеросклерозу и ишемической болезни сердца в связи с более частым выявлением данной патологии у пациентов с ГФА для своевременной диагностики и старта/коррекции терапии [83, 99].
Уровень убедительности доказательств С (уровень достоверности рекомендации - 4).
Комментарий. Проводится электрокардиография пациентам со всеми формами ГФА, в среднем, не реже 1 раза в год, при необходимости, по показаниям, эхокардиография.
• Рекомендуется проведение электрокардиографии и/или эхокардиографии пациентам с нарушением обмена тетрагидробиоптерина, получающим допаминергические препараты, с целью контроля побочных эффектов лечения [87].
Уровень убедительности доказательств С (уровень достоверности рекомендации -5).
Комментарий. Проводится, в среднем, не реже 1 раза в год.
• Рекомендуется консультации врачом-генетиком с целью оценки нутритивного и психоневрологического статуса пациентов с ГФА для своевременного выявления нарушений и при необходимости направления к соответствующему специалисту для наблюдения и коррекции лечения.
Оптимальная частота наблюдения, согласно европейским рекомендациям:
- в возрасте до 1 года - не реже 1 раза в 2 месяца.
- с 1 года до 12 лет - не реже 1 раза в 6 месяцев.
- с 12 до 18 лет - не реже 1 раза в 6 месяцев.
- старше 18 лет - не реже 1 раз в год.
- при беременности - не реже 1 раза в триместр [16].
Согласно мнению рабочей группы российских экспертов, целесообразно проводить более частое наблюдение пациентов в возрасте до 1 года не реже 1 раза в месяц, с 1 года - не реже 1 раза в 3 месяца, у беременных - не чаще 1 раза в месяц [16].
Уровень убедительности рекомендаций С (уровень достоверности доказательств - 5).
Комментарии. Данные рекомендации основаны на многолетнем опыте работы врачей, специализирующихся на лечении пациентов с фенилкетонурией в РФ и аналогичным рекомендациям, разработанным в странах Евросоюза [16].
• Рекомендован а консультация врача. Генетика повторная пациентам с установленным диагнозом ГФА с целью своевременного выявления нарушений и при необходимости направления к соответствующему специалисту для наблюдения и коррекции лечения. [16].
Уровень убедительности рекомендации С (уровень достоверности доказательств - 5).
• Рекомендована консультация врача-диетолога (не реже 1 раза в 12 месяцев) пациентам с установленным диагнозом ГФА для дополнительной коррекции диетотерапии [16, 21, 23, 25, 26].
Уровень убедительности рекомендации С (уровень достоверности доказательств - 5 ).
Комментарии. Консультация врача-диетолога показана пациентам с целью оказания специализированной медицинской помощи.
• Рекомендована консультация врача-диетолога повторная пациентам с установленным диагнозом ГФА для оценки эффективности диеты [16, 21, 23, 25, 26].
Уровень убедительности рекомендации С (уровень достоверности доказательств - 5 ).
Комментарии. Патогенетическим методом лечения фенилкетонурии является диетотерапия. Частота посещения врача-диетолога - по показаниям.
• Рекомендована консультации врача-педиатра детям с ГФА не реже 1 раза в 6 месяцев для оценки общего состояния здоровья и определения тактики дальнейшей терапии [16].
Уровень убедительности рекомендации С (уровень достоверности доказательств - 5).
• Рекомендована консультация врача-терапевта для пациента старше 18 лет с установленным диагнозом ГФА не реже 1 раза в 6 месяцев для оценки общего состояния здоровья и определения тактики дальнейшей терапии [16].
Уровень убедительности рекомендации С (уровень достоверности доказательств - 5).
• Рекомендовано пациентам с ГФА консультация врача-кардиолога/кардиолога детского не реже 1 раза в 12 месяцев для своевременного выявления и/или мониторинга кардиологических изменений [4,5, 16, 45, 83].
Уровень убедительности рекомендации С (уровень достоверности доказательств - 5).
• Рекомендовано пациентам с ГФА по показаниям консультация врача-кардиолога/кардиолога детского повторная для оценки выявленных кардиологических изменений и решения вопроса о терапии [4,5, 16, 45, 83].
Уровень убедительности рекомендации С (уровень достоверности доказательств - 5).
• Рекомендовано пациентам с ГФА по показаниям консультация врача-невролога для своевременного выявления и/или мониторинга неврологических изменений [16].
Уровень убедительности рекомендации С (уровень достоверности доказательств - 5).
• Рекомендовано пациентам с ГФА по показаниям консультация врача-невролога повторная с целью коррекции выявленных неврологических изменений и определения дальнейшей тактики лечения [16].
Уровень убедительности рекомендации С (уровень достоверности доказательств - 5).
• Рекомендовано пациентам с ГФА осмотр врачом-офтальмологом не реже 1 раза в 3 года с целью выявления глазной патологии [16].
Уровень убедительности рекомендации С (уровень достоверности доказательств - 5).
• Рекомендована консультация врача-гастроэнтеролога пациентам с установленным диагнозом ГФА при наличии показаний для своевременного выявления и/или мониторинга гастроэнтерологической патологии [16].
Уровень убедительности рекомендации С (уровень достоверности доказательств - 5).
• Рекомендована консультация врача-психиатра пациентам с установленным диагнозом ГФА для оценки психиатрического статуса при наличии показаний [16].
Уровень убедительности рекомендации С (уровень достоверности доказательств - 5).
• Рекомендована консультация врача-психиатра повторная пациентам с установленным диагнозом ГФА по показаниям для коррекции выявленных психиатрических нарушений и определения дальнейшей тактики лечения [16].
Уровень убедительности рекомендации С (уровень достоверности доказательств - 5).
• Рекомендована консультация медицинского психолога пациентам с ГФА при наличии показаний для оценки и коррекции психологического состояния и психолого-педагогического сопровождения семьи не реже 1 раза в год [30, 51, 52].
Уровень убедительности рекомендации С (уровень достоверности доказательств - 5).
Комментарии. Для оценки интеллекта и других видов психической деятельности пациентов с ГФА используют соответствующие программы и тесты. Во время переходного периода подросткам особенно необходима психологическая помощь по вопросам коммуникации в семье и обществе, профессиональной ориентации; для женщин с ГФА акцент следует делать акцент на вопросах, связанных с беременностью.
• Рекомендована консультация медицинского психолога повторная пациентам с установленным диагнозом ГФА при наличии показаний для психолого-педагогического сопровождения семьи [30, 51, 52].
Уровень убедительности рекомендации С (уровень достоверности доказательств - 5).
Комментарии: психологическая помощь пациентам может потребовать курс занятий- в зависимости от индивидуальных особенностей пациента и семьи.
• Рекомендовано пациентам с ГФА консультация врача-сурдолога по показаниям с целью исключения нарушения слуха у ребенка с задержкой темпов психоречевого развития [88].
Уровень убедительности рекомендации В (уровень достоверности доказательств - 3).
• Рекомендовано пациентам с ГФА консультация врача-дерматолога с целью диагностики патологии кожных покровов и подбора рационального лечения при наличии показаний [78].
Уровень убедительности рекомендации С (уровень достоверности доказательств - 5).
• Рекомендовано пациентам с ГФА консультация врача-эндокринолога с целью уточнения нарушения функции эндокринной системы при наличии показаний [3, 84, 85].
Уровень убедительности рекомендации С (уровень достоверности доказательств - 5).
• Рекомендовано пациентам с ГФА консультация врача-физиотерапевта с целью составления плана физиотерапевтических процедур при наличии показаний [86].
Уровень убедительности рекомендации С (уровень достоверности доказательств - 5).
• Рекомендовано женщинам с ГФА во время беременности наблюдение у акушера-гинеколога (с периодичностью, предусмотренной соответствующими документами, регламентирующими наблюдение за беременными) и врача-генетика с целью коррекции терапии и контроля ФА крови [72-74].
Уровень убедительности рекомендации С (уровень достоверности доказательств - 5).
• Рекомендуется пациентам с ГФА при отсутствии сопутствующих заболеваний проводить профилактическую вакцинацию с целью формирования иммунной защиты организма от инфекций по графику [16].
Уровень убедительности рекомендаций С (уровень достоверности доказательств - 5).
Комментарии. При наличии сопутствующих заболеваний разрешение на проведение прививок дается соответствующим специалистом. Данные рекомендации основаны на многолетнем опыте работы врачей, специализирующихся на лечении пациентов с фенилкетонурией в РФ.
• проведение диагностики и лечения, требующие продолжительного (дневное или круглосуточное пребывание) медицинского наблюдения и мониторинга клинико-лабораторных показателей;
• необходимость проведения различных видов экспертиз или обследования в медицинской организации при невозможности проведения их в амбулаторных условиях (в том числе оформление заключения федерального консилиума/врачебной комиссии).
• Проведение тестирование чувствительности к сапроптерину**.
Комментарии. Проведение нагрузочного теста с сапроптерином** может быть в условиях круглосуточного, так и дневного стационара (приложение А3,12).
При стационарном лечении пациенту назначается низкобелковая (гипофенилаланиновая диета) и аминокислотная смесь.
Показания для экстренной госпитализации в медицинскую организацию:
• острые угрожающие для жизни и развития осложнений состояния, требующие неотложного лечения, в том числе интенсивной терапии, а также круглосуточного медицинского наблюдении и проведения специальных видов обследования и лечения.
Показания к выписке пациента из медицинской организации:
• отсутствие угрозы для жизни пациента и угрозы развития осложнений, требующих неотложного лечения при завершение диагностических мероприятий.
• стабилизация состояния и основных клинико-лабораторных показателей патологического процесса, отсутствие необходимости в продолжительном медицинском наблюдении (дневное или круглосуточное пребывание);
• выполнен план обследования и лечения пациента, даны рекомендации по дальнейшему наблюдению и лечению.
• необходимость перевода пациента в другое медицинское учреждение или учреждение социального обеспечения.
Данные принципы должны соблюдаться на любом этапе оказания медицинской помощи, как в момент постановки диагноза, так и на любом этапе наблюдения пациента.
• Пациент и его представители должны получать полную информацию о заболевании, его течении, патогенезе, прогнозах, осложнениях и методах возможной терапии.
• Диагноз ГФА подразумевает возможность оказания первичной, специализированной и паллиативной помощи на всех этапах заболевания.
• При постановке диагноза ГФА, семья должна быть направлена к специалисту, имеющему опыт работы с пациентами с ГФА, обладающего современной информацией о течении заболевания и возможности участия в клинических испытаниях (новых лекарственных препаратов и/или технических устройств). Также важным является информирование семей о существующих общественных организациях, работающих с этой группой пациентов.
• К наблюдению за пациентом с ГФА должна быть привлечена мультидисциплинарная команда специалистов в составе: педиатр/терапевт, врач-генетик, врач-диетолог, врач-невролог, медицинский психолог, врач-эндокринолог, врач-психиатр, врач-кардиолог, врач-физиотерапевт, врач-гастроэнтеролог. Другие специалисты должны привлекаться по мере возникновения специфических проблем.
• Комментарии. Врач-генетик осуществляет основное наблюдение за пациентами с ГФА. В круг обязанностей врача-генетика входит обследование и постановка диагноза, информирование семьи о заболевании, составление плана многопрофильного наблюдения, осуществлять наблюдение за пациентом, оценивать динамику и степень прогрессирования заболевания при регулярных осмотрах, назначает поддерживающую терапию. При наступлении фертильного возраста у пациентов с ГФА составление плана предгравидарной подготовки для профилактики материнской ФКУ, тестирование партнера на гетерозиготное носительство. При составлении плана многопрофильного наблюдения, врач-генетик определяет кратность наблюдения у других специалистов многопрофильной команды, соответственно текущему состоянию пациента. При каждом осмотре врач-генетик осуществляет переоценку текущего состояния пациента и в соответствии с этим вносит корректировки в план многопрофильного наблюдения. В своих рекомендациях врач-генетик указывает необходимые пациенту лекарственные препараты, диетотерапию в соответствии с выявленными потребностями пациента. А также врач-генетик осуществляет наблюдение ребенка с синдромом материнской ФКУ (консультирование, определение тактики дообследования и решения вопроса о ДНК-диагностике).
Уровень убедительности рекомендаций С (уровень достоверности доказательств - 4).
Комментарии. Частота носительства патогенной мутации в гене PAH в РФ составляет 1:50. При выявлении ГФА в семье - обследование родственников для уточнения гетерозиготного носительства мутации в генах РАН, PTS, QDPR, GCH1, PCBD, SPR, DNAJC12.
• Рекомендуется медико-генетическое консультирование пар, имеющих в семейном анамнезе детей с ГФА, планирующих беременность с целью информирования о возможности дородовой диагностики: пренатальная диагностика, использование вспомогательных репродуктивных технологий [16, 56].
Уровень убедительности рекомендаций с (уровень достоверности доказательств -5).
Комментарии. Дородовая диагностика проводится в паре, где установлено, что будущие родители являются носителями мутации в одном гене - РАН, PTS, QDPR, GCH1, PCBD, SPR, DNAJC12. Вероятность рождения ребенка с ГФА у женщины или мужчины, страдающих данным заболеванием, реализуется в случае, если второй родитель является гетерозиготным носителем мутантного гена (риск 50%) или также страдает ГФА (риск 100%).
• Рекомендуется консультирование девочек подросткового возраста и женщин, страдающих ГФА, по вопросу планирования семьи с целью предупреждения рождения ребенка с синдромом «материнской фенилкетонурии» [20, 115,116, 126].
Уровень убедительности рекомендаций A (уровень достоверности доказательств -3).
Комментарии. При планировании беременности, желательно, чтобы уровень ФА крови за 2-3 месяца до зачатия и в течение беременности не превышал 360 мкмоль/л.
Профилактика патологии плода, в том числе ВПР, у беременной с ГФА.
• Рекомендуются беременной с ГФА строгие диетические ограничения поступления ФА с пищей с целью профилактики патологии плода [16,117,118].
Уровень убедительности рекомендаций С (уровень достоверности доказательств -5).
• Рекомендовано назначение сапроптерина** в случаях, если ранее у пациентки была подтверждена чувствительность к применению кофакторной терапии [54].
Уровень убедительности рекомендаций С (уровень достоверности доказательств -4).
Комментарии. Подробнее см разделы «Диагностика» и «Лечение».
5,2 Диспансерное наблюдение пациентов с классической фенилкетонурией.
С целью предупреждения интеллектуальных, когнитивных, речевых, познавательных нарушений, гармоничного физического развития диспансерное наблюдение включает в себя следующие рекомендации:Контроль за адекватностью лечения.
• Рекомендуется осуществлять взятие крови утром натощак (после ночного голодания) всем пациентам для определения контрольных значений ФА крови [25, 16].
Уровень убедительности рекомендации С (уровень достоверности доказательств - 5).
КомментарииВ настоящее время установлено, что уровень ФА в крови снижается в течение дня, причем самый высокий уровень ФА в крови достигается рано утром после ночного голодания. Правила забора крови на фильтр в приложении А3,14.
• Рекомендуется придерживаться уровня ФА крови в пределах от 120 до 360 мкмоль/л пациентам в возрасте с рождения до 12 лет с целью предупреждения нарушений нейропсихического развития и когнитивных расстройств [29, 16].
Уровень убедительности рекомендации с (уровень достоверности доказательств - 5).
Комментарии. Частые колебания и превышение целевых терапевтических значений ФА крови у детей в возрасте до 12 лет приводят впоследствии к нарушениям нейропсихического развития и когнитивным расстройствам [29, 16].
• Рекомендуется придерживаться уровня ФА крови в пределах от 120 до 360 мкмоль/л с целью предупреждения нарушений нейропсихического развития и когнитивных расстройств:
• пациентам в возрасте с 12-18 лет [29, 30, 75, 76, 90, 105, 127];
Уровень убедительности рекомендации В (уровень достоверности доказательств - 2).
• взрослым [29, 30, 75, 76, 90, 105, 127].
Уровень убедительности рекомендации В (уровень достоверности доказательств - 3).
Комментарии. Допускаются более высокие колебания ФА крови на диете, но не выше 600 мкмоль/л [29].
Было показано, что длительное повышение уровня ФА в крови у взрослых с ФАГ-зависимой ГФА отрицательно влияет на психоэмоциональное состояние (лабильное настроение, депрессия), приводит к нарушению внимания и других нейрокогнитивных функций [30, 16, 52].
• Рекомендуется строго следовать гипофенилаланиновой диете и придерживаться уровня ФА крови в пределах от 120 до 360 мкмоль/л женщинам в периоды прегравидарной подготовки, I и II семестров беременности с целью профилактики синдрома материнской ФКУ [16, 106, 107, 128].
Уровень убедительности рекомендации С (уровень достоверности доказательств - 4).
Комментарии. Отсутствие диетических ограничений и контроля за содержанием ФА крови у женщин в прегравидарный период и во время беременности значительно повышают риск развития у плода «синдрома материнской ФКУ» [72-74].
• Рекомендуется поддерживать нижний целевой уровень ФА крови не менее 120 мкмоль/л всем пациентам для профилактики дефицитных состояний и осложнений гипофенилаланиновой диеты [31].
Уровень убедительности рекомендации С (уровень достоверности доказательств - 4).
Комментарии. Широко используемый нижний целевой уровень ФА в крови - 120 мкмоль/л получен на основании клинического опыта, описывающего неблагоприятные последствия на состояние здоровья пациента при длительно сохраняющихся очень низких концентрациях ФА в крови пациента [31].
В детском возрасте это повышенная заболеваемость, низкий нутритивный статус, энтеропатический акродерматит. У взрослых - недостаточность питания, психоэмоциональные расстройства, у женщин репродуктивного возраста - бесплодие, у беременных с ГФА - внутриутробная задержка развития плода, рождение ребенка с недостаточной массой тела к сроку гестации [25].
• Рекомендуется контроль уровня ФА крови для оценки эффективности терапии у всех пациентов [36-41].
Уровень убедительности рекомендаций В (уровень достоверности доказательств - 2).
Комментарии. С появлением новых терапевтических возможностей медикаментозного лечения рекомендуется придерживаться уровня ФА в крови 120-360 мкмоль/л (2-6мг/дл) для всех возрастов [36-42].
• Рекомендуется пациентам с максимальным значением уровня ФА на скрининге 360 мкмоль/л (6 мг/дл) в течение первого года жизни контролировать ФА крови не реже 1 раза в месяц с целью своевременного выявления повышения ФА и назначения патогенетичсекого лечения и/или уточнения формы ГФА и обязательного диспансерного наблюдения [42, 43].
Уровень убедительности рекомендаций С (уровень достоверности доказательств - 4).
Комментарии. Низкие уровни ФА по ре-тесту требуют проведения дифференциальной диагностики и исключения ВН-4 дефицитных форм ГФА [33].
• Рекомендуется регулярный контроль уровня ФА у пациентов с ВН4 дефицитными формами ГФА с целью поддержания его концентрации в пределах нормальных значений (до 120 мкмоль/л или 2мг/дл) или приближенных к ним [33, 70].
Уровень убедительности рекомендаций С (уровень достоверности доказательств - 5).
Комментарии. При ВН4 дефицитной ГФА контроль адекватности терапии также проводится по уровню ФА крови [33, 70].
• Рекомендуется всем пациентам следующая оптимальная частота исследования уровня ФА крови для своевременной коррекции диетотерапии:
- в возрасте до 3-х месяцев - 1 раз в неделю (до получения стабильных результатов) и далее 1 раз в 10 дней,.
- с 1 года до 6 лет - не реже 1-2 раза в месяц,.
- с 7 и старше - не реже 1 раза в 3 месяца,.
- для беременных с ФАГ-дефицитной ГФА - не реже 1 раз в 7 дней в I триместре и не реже 1 раз в 2 недели во 2-3 триместрах [16, 66].
Уровень убедительности рекомендаций С (уровень достоверности доказательств - 5).
Комментарии. Данные рекомендации основаны на многолетнем опыте работы врачей, специализирующихся на лечении пациентов фенилкетонурией в РФ, и были представлены в предыдущих клинических рекомендациях по фенилкетонурии. В Европейских странах частота рекомендуемых исследований выше: до 1 года 1 раз в неделю, от 1 года до 12 лет 1 раз в 2 недели, старше 12 лет 1 раз в месяц, при подготовке к беременности 1 раз в неделю, при беременности 2 раза в неделю[16, 66].
• Р екомендуется. Исследование клинического анализа крови всем пациентам с ГФА для оценки основных параметров кроветворения и наличия воспалительных процессов не реже 1 раза в год [16, 44, 66, 119-121].
Уровень убедительности рекомендаций А (уровень достоверности доказательств - 2).
Комментарии. При применении ограничительной диеты возможно развитие алиментарной железодефицитной анемии, которая может иметь латентный характер. Исследование проводится не реже 1 раза в год [16, 45].
• Рекомендуется исследование общего (клинического) анализа мочи всем пациентам с ГФА с целью выявления кристаллурии не реже 1 раза в год [90].
Уровень убедительности рекомендаций С (уровень достоверности доказательств - 5).
Комментарии. При применении ограничительной диеты возможно развитие кристаллурии. Исследование проводится не реже 1 раза в год.
• Рекомендуется исследование биохимического анализа мочи (фосфор, кальций. креатинин белок, альбумин) пациентам с ГФА с целью выявления метаболической нефропатии [90, 92].
Уровень убедительности рекомендаций С (уровень достоверности доказательств - 5).
Комментарии. Не реже 1 раза в год.
• Рекомендуется определение соотношения фенилаланина/тирозина пациентам с ГФА с целью своевременной диагностики/предупреждения явлений, вызванных дефицитом тирозина/избытком фенилаланина [101-103].
Уровень убедительности рекомендаций С (уровень достоверности доказательств - 4).
Комментарии. При применении ограничительной диеты возможно развитие дефицита незаменимых аминокислот, в частности - тирозина. Исследование проводится методом тандемной масс-спектрометрии, частота определяется индивидуально, в среднем, не реже 1 раза в год.
• Рекомендовано пациентам с ГФА проведение биохимического анализа крови общетерапевтического с целью оценки состояния печени, почек и выявления, отклонений важных биохимических показателей и их дальнейшей коррекции не реже 1 раза в год [44,45,46,47,49, 83, 121].
Уровень убедительности рекомендаций С (уровень достоверности доказательств - 4).
Комментарии: при применении ограничительной диеты возможно развитие диспротеинемии, нарушения минерального обмена и дефицита эссенциальных микроэлементов. Целесообразно определение содержания глюкозы, общего белка, белковых фракций, общего билирубина, холестерина, триглицеридов, липопротеидов низкой и высокой плотности, щелочной фосфатазы, креатинина, мочевины, аланинаминотрансферазы (АЛТ), аспартатаминотрансферазы (АСТ), кальция общего и ионизированного, натрия, калия, неорганического фосфора, железа, ферритина, уровня основного метаболита витамина D в крови (исследование уровня 25-ОН витамина Д в крови) и витамина В12 (цианокобаламин), фолиевой кислоты с целью оценки баланса важнейших нутриентов при диетотерапии, оценки кальциево-фосфорного обмена, оценки состояния почек, печени с периодичностью 1 раз в год [44, 45,46,47,49].
• Рекомендуется проведение инструментальных обследований почек, печени, поджелудочной железы согласно рекомендациям по дисметаболическим нефропатиям, мочекаменной болезни, метаболическому синдрому в связи с высокой вероятностью развития у пациентов с ГФА поражения почек, метаболического синдрома с целью своевременной диагностики и терапии данных состояний [99].
Уровень убедительности рекомендаций С (уровень достоверности доказательств - 4).
Комментарии. Обычно в качестве скрининг-диагностики и динамического контроля проводится ультразвуковое исследование (УЗИ) органов брюшной полости (комплексное) и почек не реже 1 раза в год пациентам с ГФА для выявления дисметаболических нефропатий, нефрокальциноза, изменений со стороны печени и поджелудочной железы.
• Рекомендуется проведение электроэнцефалографии (ЭЭГ) и ЭЭГ-мониторинга пациентам со всеми формами ГФА при наличии неврологической симптоматики для выявления эпилептической активности [91].
Уровень убедительности рекомендаций С (уровень достоверности доказательств - 4).
Комментарии. ЭЭГ и ЭЭГ-мониторинг по показаниям, при стабильном течении-1 раз в год.
• Рекомендуется проведение МРТ головного мозга (наркоз. По показаниям) пациентам со всеми формами ГФА при наличии у них неврологической симптоматики для выявления прогрессирующих изменений белого вещества мозга [14].
Уровень убедительности рекомендаций в (уровень достоверности доказательств - 3).
Комментарии. МРТ по показаниям.
• Рекомендуется исследование минеральной плотности костной ткани. (рентгенденситометрия) у пациентов старше 5 лет для диагностики остеопороза, выявления группы риска по остеопорозу и принятия профилактических мер [48, 50].
Уровень убедительности рекомендаций С (уровень достоверности доказательств - 2).
Комментарии. Частота исследований - по показаниям не чаще 1 раза в год [48, 50].
• Рекомендуется проведение рентгенографии кисти рук детям со всеми формами ГФА, имеющим задержку физического развития и полового развития, для определения костного возраста и дополнительной оценки кальциево-фосфорного обмена [104].
Уровень убедительности доказательств С (уровень достоверности рекомендации -4).
Комментарии. Исследование проводится пациентам с 2 лет.
• Рекомендуется проведение инструментальных обследований в соответствии с рекомендациями по атеросклерозу и ишемической болезни сердца в связи с более частым выявлением данной патологии у пациентов с ГФА для своевременной диагностики и старта/коррекции терапии [83, 99].
Уровень убедительности доказательств С (уровень достоверности рекомендации - 4).
Комментарий. Проводится электрокардиография пациентам со всеми формами ГФА, в среднем, не реже 1 раза в год, при необходимости, по показаниям, эхокардиография.
• Рекомендуется проведение электрокардиографии и/или эхокардиографии пациентам с нарушением обмена тетрагидробиоптерина, получающим допаминергические препараты, с целью контроля побочных эффектов лечения [87].
Уровень убедительности доказательств С (уровень достоверности рекомендации -5).
Комментарий. Проводится, в среднем, не реже 1 раза в год.
• Рекомендуется консультации врачом-генетиком с целью оценки нутритивного и психоневрологического статуса пациентов с ГФА для своевременного выявления нарушений и при необходимости направления к соответствующему специалисту для наблюдения и коррекции лечения.
Оптимальная частота наблюдения, согласно европейским рекомендациям:
- в возрасте до 1 года - не реже 1 раза в 2 месяца.
- с 1 года до 12 лет - не реже 1 раза в 6 месяцев.
- с 12 до 18 лет - не реже 1 раза в 6 месяцев.
- старше 18 лет - не реже 1 раз в год.
- при беременности - не реже 1 раза в триместр [16].
Согласно мнению рабочей группы российских экспертов, целесообразно проводить более частое наблюдение пациентов в возрасте до 1 года не реже 1 раза в месяц, с 1 года - не реже 1 раза в 3 месяца, у беременных - не чаще 1 раза в месяц [16].
Уровень убедительности рекомендаций С (уровень достоверности доказательств - 5).
Комментарии. Данные рекомендации основаны на многолетнем опыте работы врачей, специализирующихся на лечении пациентов с фенилкетонурией в РФ и аналогичным рекомендациям, разработанным в странах Евросоюза [16].
• Рекомендован а консультация врача. Генетика повторная пациентам с установленным диагнозом ГФА с целью своевременного выявления нарушений и при необходимости направления к соответствующему специалисту для наблюдения и коррекции лечения. [16].
Уровень убедительности рекомендации С (уровень достоверности доказательств - 5).
• Рекомендована консультация врача-диетолога (не реже 1 раза в 12 месяцев) пациентам с установленным диагнозом ГФА для дополнительной коррекции диетотерапии [16, 21, 23, 25, 26].
Уровень убедительности рекомендации С (уровень достоверности доказательств - 5 ).
Комментарии. Консультация врача-диетолога показана пациентам с целью оказания специализированной медицинской помощи.
• Рекомендована консультация врача-диетолога повторная пациентам с установленным диагнозом ГФА для оценки эффективности диеты [16, 21, 23, 25, 26].
Уровень убедительности рекомендации С (уровень достоверности доказательств - 5 ).
Комментарии. Патогенетическим методом лечения фенилкетонурии является диетотерапия. Частота посещения врача-диетолога - по показаниям.
• Рекомендована консультации врача-педиатра детям с ГФА не реже 1 раза в 6 месяцев для оценки общего состояния здоровья и определения тактики дальнейшей терапии [16].
Уровень убедительности рекомендации С (уровень достоверности доказательств - 5).
• Рекомендована консультация врача-терапевта для пациента старше 18 лет с установленным диагнозом ГФА не реже 1 раза в 6 месяцев для оценки общего состояния здоровья и определения тактики дальнейшей терапии [16].
Уровень убедительности рекомендации С (уровень достоверности доказательств - 5).
• Рекомендовано пациентам с ГФА консультация врача-кардиолога/кардиолога детского не реже 1 раза в 12 месяцев для своевременного выявления и/или мониторинга кардиологических изменений [4,5, 16, 45, 83].
Уровень убедительности рекомендации С (уровень достоверности доказательств - 5).
• Рекомендовано пациентам с ГФА по показаниям консультация врача-кардиолога/кардиолога детского повторная для оценки выявленных кардиологических изменений и решения вопроса о терапии [4,5, 16, 45, 83].
Уровень убедительности рекомендации С (уровень достоверности доказательств - 5).
• Рекомендовано пациентам с ГФА по показаниям консультация врача-невролога для своевременного выявления и/или мониторинга неврологических изменений [16].
Уровень убедительности рекомендации С (уровень достоверности доказательств - 5).
• Рекомендовано пациентам с ГФА по показаниям консультация врача-невролога повторная с целью коррекции выявленных неврологических изменений и определения дальнейшей тактики лечения [16].
Уровень убедительности рекомендации С (уровень достоверности доказательств - 5).
• Рекомендовано пациентам с ГФА осмотр врачом-офтальмологом не реже 1 раза в 3 года с целью выявления глазной патологии [16].
Уровень убедительности рекомендации С (уровень достоверности доказательств - 5).
• Рекомендована консультация врача-гастроэнтеролога пациентам с установленным диагнозом ГФА при наличии показаний для своевременного выявления и/или мониторинга гастроэнтерологической патологии [16].
Уровень убедительности рекомендации С (уровень достоверности доказательств - 5).
• Рекомендована консультация врача-психиатра пациентам с установленным диагнозом ГФА для оценки психиатрического статуса при наличии показаний [16].
Уровень убедительности рекомендации С (уровень достоверности доказательств - 5).
• Рекомендована консультация врача-психиатра повторная пациентам с установленным диагнозом ГФА по показаниям для коррекции выявленных психиатрических нарушений и определения дальнейшей тактики лечения [16].
Уровень убедительности рекомендации С (уровень достоверности доказательств - 5).
• Рекомендована консультация медицинского психолога пациентам с ГФА при наличии показаний для оценки и коррекции психологического состояния и психолого-педагогического сопровождения семьи не реже 1 раза в год [30, 51, 52].
Уровень убедительности рекомендации С (уровень достоверности доказательств - 5).
Комментарии. Для оценки интеллекта и других видов психической деятельности пациентов с ГФА используют соответствующие программы и тесты. Во время переходного периода подросткам особенно необходима психологическая помощь по вопросам коммуникации в семье и обществе, профессиональной ориентации; для женщин с ГФА акцент следует делать акцент на вопросах, связанных с беременностью.
• Рекомендована консультация медицинского психолога повторная пациентам с установленным диагнозом ГФА при наличии показаний для психолого-педагогического сопровождения семьи [30, 51, 52].
Уровень убедительности рекомендации С (уровень достоверности доказательств - 5).
Комментарии: психологическая помощь пациентам может потребовать курс занятий- в зависимости от индивидуальных особенностей пациента и семьи.
• Рекомендовано пациентам с ГФА консультация врача-сурдолога по показаниям с целью исключения нарушения слуха у ребенка с задержкой темпов психоречевого развития [88].
Уровень убедительности рекомендации В (уровень достоверности доказательств - 3).
• Рекомендовано пациентам с ГФА консультация врача-дерматолога с целью диагностики патологии кожных покровов и подбора рационального лечения при наличии показаний [78].
Уровень убедительности рекомендации С (уровень достоверности доказательств - 5).
• Рекомендовано пациентам с ГФА консультация врача-эндокринолога с целью уточнения нарушения функции эндокринной системы при наличии показаний [3, 84, 85].
Уровень убедительности рекомендации С (уровень достоверности доказательств - 5).
• Рекомендовано пациентам с ГФА консультация врача-физиотерапевта с целью составления плана физиотерапевтических процедур при наличии показаний [86].
Уровень убедительности рекомендации С (уровень достоверности доказательств - 5).
• Рекомендовано женщинам с ГФА во время беременности наблюдение у акушера-гинеколога (с периодичностью, предусмотренной соответствующими документами, регламентирующими наблюдение за беременными) и врача-генетика с целью коррекции терапии и контроля ФА крови [72-74].
Уровень убедительности рекомендации С (уровень достоверности доказательств - 5).
• Рекомендуется пациентам с ГФА при отсутствии сопутствующих заболеваний проводить профилактическую вакцинацию с целью формирования иммунной защиты организма от инфекций по графику [16].
Уровень убедительности рекомендаций С (уровень достоверности доказательств - 5).
Комментарии. При наличии сопутствующих заболеваний разрешение на проведение прививок дается соответствующим специалистом. Данные рекомендации основаны на многолетнем опыте работы врачей, специализирующихся на лечении пациентов с фенилкетонурией в РФ.
Организация оказания медицинской помощи.
Показания к госпитализации.
Показания для плановой госпитализации в медицинскую организацию:• проведение диагностики и лечения, требующие продолжительного (дневное или круглосуточное пребывание) медицинского наблюдения и мониторинга клинико-лабораторных показателей;
• необходимость проведения различных видов экспертиз или обследования в медицинской организации при невозможности проведения их в амбулаторных условиях (в том числе оформление заключения федерального консилиума/врачебной комиссии).
• Проведение тестирование чувствительности к сапроптерину**.
Комментарии. Проведение нагрузочного теста с сапроптерином** может быть в условиях круглосуточного, так и дневного стационара (приложение А3,12).
При стационарном лечении пациенту назначается низкобелковая (гипофенилаланиновая диета) и аминокислотная смесь.
Показания для экстренной госпитализации в медицинскую организацию:
• острые угрожающие для жизни и развития осложнений состояния, требующие неотложного лечения, в том числе интенсивной терапии, а также круглосуточного медицинского наблюдении и проведения специальных видов обследования и лечения.
Показания к выписке пациента из медицинской организации:
• отсутствие угрозы для жизни пациента и угрозы развития осложнений, требующих неотложного лечения при завершение диагностических мероприятий.
• стабилизация состояния и основных клинико-лабораторных показателей патологического процесса, отсутствие необходимости в продолжительном медицинском наблюдении (дневное или круглосуточное пребывание);
• выполнен план обследования и лечения пациента, даны рекомендации по дальнейшему наблюдению и лечению.
• необходимость перевода пациента в другое медицинское учреждение или учреждение социального обеспечения.
Принципы организации медицинской помощи пациентам с ГФА.
Постановка диагноза ГФА ставит много вопросов перед родственниками пациента и перед специалистами, работающими с такими пациентами. Многочисленные проблемы, возникающие при обнаружении и развитии заболевания, для решения которых требуется грамотная организация процесса помощи при участии мультидисциплинарной команды специалистов и соблюдение основных принципов и подходов к ее оказанию.Данные принципы должны соблюдаться на любом этапе оказания медицинской помощи, как в момент постановки диагноза, так и на любом этапе наблюдения пациента.
• Пациент и его представители должны получать полную информацию о заболевании, его течении, патогенезе, прогнозах, осложнениях и методах возможной терапии.
• Диагноз ГФА подразумевает возможность оказания первичной, специализированной и паллиативной помощи на всех этапах заболевания.
• При постановке диагноза ГФА, семья должна быть направлена к специалисту, имеющему опыт работы с пациентами с ГФА, обладающего современной информацией о течении заболевания и возможности участия в клинических испытаниях (новых лекарственных препаратов и/или технических устройств). Также важным является информирование семей о существующих общественных организациях, работающих с этой группой пациентов.
• К наблюдению за пациентом с ГФА должна быть привлечена мультидисциплинарная команда специалистов в составе: педиатр/терапевт, врач-генетик, врач-диетолог, врач-невролог, медицинский психолог, врач-эндокринолог, врач-психиатр, врач-кардиолог, врач-физиотерапевт, врач-гастроэнтеролог. Другие специалисты должны привлекаться по мере возникновения специфических проблем.
• Комментарии. Врач-генетик осуществляет основное наблюдение за пациентами с ГФА. В круг обязанностей врача-генетика входит обследование и постановка диагноза, информирование семьи о заболевании, составление плана многопрофильного наблюдения, осуществлять наблюдение за пациентом, оценивать динамику и степень прогрессирования заболевания при регулярных осмотрах, назначает поддерживающую терапию. При наступлении фертильного возраста у пациентов с ГФА составление плана предгравидарной подготовки для профилактики материнской ФКУ, тестирование партнера на гетерозиготное носительство. При составлении плана многопрофильного наблюдения, врач-генетик определяет кратность наблюдения у других специалистов многопрофильной команды, соответственно текущему состоянию пациента. При каждом осмотре врач-генетик осуществляет переоценку текущего состояния пациента и в соответствии с этим вносит корректировки в план многопрофильного наблюдения. В своих рекомендациях врач-генетик указывает необходимые пациенту лекарственные препараты, диетотерапию в соответствии с выявленными потребностями пациента. А также врач-генетик осуществляет наблюдение ребенка с синдромом материнской ФКУ (консультирование, определение тактики дообследования и решения вопроса о ДНК-диагностике).
|
|
Дополнительно
ГФА - хроническое неизлечимое заболевание, поэтому пациенты нуждаются в активном диспансерном наблюдении и непрерывном лечении. При своевременной диагностике и адекватной терапии клиническая картина более благоприятна, при отсутствии- поражение нервной системы быстро прогрессирует. Многие пациенты, своевременно диагностируемые и получающие адекватную терапию, доживают до преклонного возраста, живут полноценной жизнью и оставляют здоровое потомство.
Критерии оценки качества медицинской помощи
| № | Критерии качества | Оценка выполнения |
| 1 | Проведен неонатальный скрининг (определено содержание ФА) | Да/нет |
| 2 | Проведено определение содержания ФА в крови пациентам с подозрением на ГФА | Да/нет |
| 3 | Проведено молекулярно-генетическое тестирование для уточнения формы заболевания | Да/нет |
| 4 | Проведен нагрузочный тест с сапроптерином (в течение не менее 48-часов) пациентам старше года с мутациями в гене PAH, которые ассоциированы с чувствительностью к вH4 | Да/нет |
| 5 | Проведен клинический анализ крови (содержание гемоглобина, количество эритроцитов, цветовой показатель, количество лейкоцитов, тромбоцитов, лейкоцитарная формула и скорость оседания эритроцитов) на этапе диагностики и далее не реже 1 раза в год | Да/нет |
| 6 | Проведено исследование анализа мочи общего на этапе диагностики и далее не реже 1 раза в год | Да/нет |
| 7 | Проведен биохимический анализ мочи (фосфаты, оксалаты, ураты) не реже 1 раза в год пациентам с ГФА | Да/нет |
| 8 | Проведен биохимический анализа крови общетерапевтический (содержание глюкозы, общего белка, белковых фракций, общего билирубина, холестерина, триглицеридов, липопротеидов низкой и высокой плотности, щелочной фосфатазы, креатинина, мочевины, аланинаминотрансферазы (АЛТ), аспартатаминотрансферазы (АСТ), кальция общего и ионизированного, натрия, калия, неорганического фосфора, железа, ферритина) на этапе диагностики и далее не реже 1 раза в год | Да/нет |
| 9 | Проведена тандемная масс-спектрометрия пациентам с ГФА с целью определения соотношения фенилаланина/тирозина не реже 1 раза в год | Да/нет |
| 10 | Проведено исследование уровня глюкозы и гликированного гемоглобина в крови женщинам с ГФА при наступлении беременности | Да/нет |
| 11 | Проведено ЭЭГ и ЭЭГ-мониторинг пациентам со всеми формами ГФА при наличии неврологической симптоматики, а при стабильном течении-1 раз в год | Да/нет |
| 12 | Проведено ультразвуковое исследование органов брюшной полости и почек пациентам с ГФА на момент постановки диагноза и далее- не реже 1 раза в год | Да/нет |
| 13 | Проведена электрокардиография пациентам со всеми формами ГФА на момент постановки диагноза и далее- не реже 1 раза в год | Да/нет |
| 14 | Проведено дополнительное экспертное ультразвуковое исследование плода женщинам с ГФА при беременности с целью исключения врожденных аномалий развития плода на сроке 15-16 недель беременности | Да/нет |
| 15 | Проведено дополнительное экспертное ультразвуковое исследование плода женщинам с ГФА при беременности с целью исключения врожденных аномалий развития плода на сроке 25-26 недель беременности | Да/нет |
| 16 | Проведена первичная консультация врача- генетика пациентам с ГФА на момент установления диагноза | Да/нет |
| 17 | Проведена консультация врача- генетика повторная пациентам с частотой, соответствующей возрасту пациента | Да/нет |
| 18 | Проведена консультация врача-педиатра детям с установленным диагнозом ГФА, если не проводилась в предшествующие 6 месяцев | Да/нет |
| 19 | Проведена консультация врача-терапевта пациентам старше 18 лет с установленным диагнозом ГФА, если не проводилось в предшествующие 6 месяцев | Да/нет |
| 20 | Проведена консультация врача-генетика пациентам старше 18 лет с установленным диагнозом ГФА с целью обсуждения предгравидарной подготовки перед планированием беременности, обсуждение вопроса о необходимости проведения ДНК-тестирования партнеру | Да/нет |
| 21 | Проведена консультация врача-невролога пациентам с ГФА по показаниям для своевременного выявления и/или мониторинга неврологических изменений | Да/нет |
| 22 | Проведена консультация врача-невролога повторная пациентам с ГФА по показаниям с целью коррекции выявленных неврологических изменений и определения дальнейшей тактики лечения | Да/нет |
| 23 | Проведена консультация врачом-офтальмологом (при первичном обследовании и далее не реже 1 раза в 3 года), включающая обследование глазного дна (офтальмоскопии) всем пациентам с ГФА | Да/нет |
| 24 | Проведена консультация врача-психиатра пациентам с установленным диагнозом ГФА для оценки психиатрического статуса при наличии показаний | Да/нет |
| 25 | Проведена консультация врача-психиатра повторная пациентам с установленным диагнозом ГФА по показаниям для коррекции выявленных психиатрических нарушений и определения дальнейшей тактики лечения | Да/нет |
| 26 | Выполнено своевременное назначение диетотерапии пациентам с концентрацией ФА в крови ≥360мкмоль/л | Да/нет |
| 27 | Выполнены расчеты питания, исходя из норм физиологической потребности в основных нутриентах | Да/нет |
| 28 | Проведен контроль уровня ФА крови при инициации диетотерапии | Да/нет |
| 29 | Назначен сапроптерин пациентам с ВН4-дефицитной ГФА при отсутствии медицинских противопоказаний | Да/нет |
| 30 | Назначен сапроптерин пациентам с ФАГ-дефицитной ГФА, чувствительной к сапроптерину при отсутствии противопоказаний | Да/нет |
| 31 | Назначены допаминергические препараты, предшественники серотонина в комплексном лечении пациентов с ВН4 - дефицитной ГФА | Да/нет |
| 32 | Проведен мониторинг уровня ФА всем пациентам с ГФА на фоне диетотерапии в соответствии с частотой, прописанной в КР | Да/нет |
| 33 | Проведен мониторинг уровня ФА беременным с ГФА на фоне диетотерапии не реже 1 раза в 7 дней в I триместре и не реже 1 раза в 2 недели во II и III триместре | Да/нет |
| 34 | Проведена коррекция диетотерапии для достижения целевых уровней ФА | Да/нет |
| 35 | Назначены специализированные продукты лечебного питания (аминокислотные смеси без ФА) | Да/нет |
| 36 | Назначены низкобелковые продукты питания | Да/нет |
Список литературы
• Thomason M.J. et al. A systematic review of evidence for the appropriateness of neonatal screening programmes for inborn errors of metabolism // J. Public Health Med. 1998. V..20.N3. P.331-343.
• Regier D.S., Greene с.L. Phenylalanine Hydroxylase Deficiency [Updated 2017] // GeneReviews® [Internet]. 2000.
• van Spronsen F.J., p.mJ. van Wegberg, Ahring K., вélanger- Quintana A., вlau N., вosch p.m Key European guidelines for the diagnosis and management of patients with phenylketonuria// Lancet Diabetes & Endocrinol .2017. 1-14.
• Vockley J., Andersson H.C., Antshel K.M., вraverman N.E., вurton в.K., Frazier D.M. et al. Phenylalanine hydroxylase deficiency: diagnosis and management guideline //Genet. Med. 2014. P. 188-200.
• вlau N, вelanger-Quintana A, Demirkol M, Feillet F, Giovannini M, MacDonald A, et al. Management of phenylketonuria in Europe: survey results from 19 countries// Mol Genet Metab. 2010;99(2):109-115.
• вlau N., Hennermann J.B., Langenbeck U., Lichter-Konecki U. Diagnosis, classification, and genetics of phenylketonuria and tetrahydrobiopterin (BH4) deficiencies// Mol Genet Metab. 2011;104(Suppl):S2-S9.
• вlau N., Shen N., сarducci с. Molecular genetics and diagnosis of phenylketonuria: state of the art Expert Rev// Mol. Diagn. 2014,1-17.
• Gundorova P., Stepanova A.A., Kuznetsova I.A., Kutsev S.I., Polyakov A.V. Genotypes of 2579 patients with phenylketonuria reveal a high rate of вH4 non-responders in Russia //PLoS One. 2019. V.14. №1. P.e0211048. doi: 10,1371/journal.pone.0211048. eCollection 2019.
• Trujillano D., Perez в., González J., Tornador с., Navarrete R. et al. Accurate molecular diagnosis of phenylketonuria and tetrahydrobiopterin-deficient hyperphenylalaninemias using high-throughput targeted sequencing// Eur J Hum Genet. 2014. V.22. №4. P.528-34. doi: 10,1038/ejhg.2013,175. Epub 2013 Aug 14.
• Kuznetcova I., Gundorova P., Ryzhkova O., Polyakov A. The study of the full spectrum of variants leading to hyperphenylalaninemia have revealed 10 new variants in the PAH gene// Metab вrain Dis. 2019. doi: 10,1007/s11011-019-00461-w.
• Guldberg P., Rey F., Zschocke J., Romano V.et al. A European multicenter study of phenylalanine hydroxylase deficiency: classification of 105 mutations and a general system for genotype-based prediction of metabolic phenotype. Am J Hum Genet. 1998. V.63. №1. P.71-9.
• Danecka M.K., Woidy M., Zschocke J., Feillet F. et al. Mapping the functional landscape of frequent phenylalanine hydroxylase (PAH) genotypes promotes personalised medicine in phenylketonuria// J Med Genet. 2015. V.52. №3. P.175-85.
• Wettstein S., Underhaug J., Perez в., Marsden в.D. et al. Linking genotypes database with locus-specific database and genotypephenotype correlation in phenylketonuria// Eur J Hum Genet. 2015. V.23. №3. P.302-9.
• Zoë Hawks, Anna M. Hood, Dov в. Lerman-Sinkoff, Joshua S. Shimony, Jerrel Rutlin, Daniel Lagoni, Dorothy K. Grange, and Desirée A. White White and gray matter brain development in children and young adults with phenylketonuriaNeuroimage сlin. 2019; 23: 101916. Published online 2019 Jul 2. doi: 10,1016/j.nicl.2019,101916.
• Feillet F. et al. сhallenges and pitfalls in the management of phenylketonuria // Pediatrics. 2010. V.126(2). P.333-341.
• van Wegberg p.mJ., MacDonald A., Ahring K., вélanger-Quintana A. et al. The complete European guidelines on phenylketonuria: diagnosis and treatment// Orphanet J Rare Dis. 2017. V.12. №1.P.162. doi: 10,1186/s13023-017-0685-2.
• вlau N., van Spronsen F.J., Levy H.L. Phenylketonuria// Lancet. 2010. V.376. №9750. P.1417-27.
• Smith I., вeasley M.G., Ades A.E. Intelligence and quality of dietary treatment in phenylketonuria//Arch Dis сhild. 1990. V.65. №5. P.472-478.
• Singh R.H., сunningham A.C., Mofidi S., Douglas T.D. et al. Updated, web-based nutrition management guideline for PKU: An evidence and consensus based approach// Mol Genet Metab. 2016. V.118. №2. P.72-83.
• Singh R.H., Rohr F., Frazier D. сunningham, A., Mofidi, S., Ogata, в., Van сalcar, S. с Recommendations for the nutrition management of phenylalanine hydroxylase deficiency// Genet Med. 2014. 16(2), 121-131 doi:10,1038/gim.2013,179.
• Pinto A., Adams S., Ahring K., Allen H. et al. Weaning practices in phenylketonuria vary between health professionals in Europe. Mol Genet Metab Rep. 2018. V.18. P.39-44.
• Rocha J.C., MacDonald A. Dietary intervention in the management of phenylketonuria: current perspectives //Pediatric Health Med. Therap. 2016. V.7. P.155-63.
• Бушуева Т.В., Боровик Т.Э., Фисенко А.П. Информационные материалы. Специализированные продукты лечебного питания для детей с фенилкетонурией// Москва. 2018г. 127 с.
• Aguiar A., Ahring K., Almeida M.F. et al. Practices in prescribing protein substitutes for PKU in Europe: no uniformity of approach Molecular Genetics and Metabolism. 2015. V. 115. P. 17-22.
• van Spronsen F.J., van Rijn M., van Dijk T., Smit G.P. et al. Plasma phenylalanine and tyrosine responses to different nutritional conditions (fasting/postprandial) in patients with phenylketonuria: effect of sample timing// Pediatrics. 1993. V.92. V.4. P.570-3.
• Feillet F., Muntau A.C., Debray F.G., Lotz-Havla A.S. et al. Use of sapropterin dihydrochloride in maternal phenylketonuria. A European experience of eight cases //J. Inherit. Metab. Dis.2014. V.37. P. 753-62.
• Muntau A.C., du Moulin M., Feillet F. Diagnostic and therapeutic recommendations for the treatment of hyperphenylalaninemia in patients 0-4 years of age // Orphanet J Rare Dis. 2018. V.13. №1. P.173. doi: 10,1186/s13023-018-0911-6.
• Muntau A.C., Adams D.J., вélanger-Quintana A., вushueva T.V. et al International best practice for the evaluation of responsiveness to sapropterin dihydrochloride in patients with phenylketonuria// Molecular Genetics and Metabolism. 2019. V.127. №1. P.:1-11.
• сhannon S., Goodman G., Zlotowitz S. et al. Effects of dietary management of phenylketonuria on long-term cognitive outcome// Arch Dis сhild. 2007. V.92. №3. P.213-18.
• ten Hoedt A.E., de Sonneville L.M., Francois в. et al. High phenylalanine levels directly affect mood and sustained attention in adults with phenylketonuria: a randomised, double-blind, placebo-controlled, crossover trial// J Inherit Metab Dis. 2011. V.34. №1. P.165-71.
• Pode-Shakked в., Shemer-Meiri L., Harmelin A. et al. Man made disease: clinical manifestations of low phenylalanine levels in an nadequately treated phenylketonuria patient and mouse study// Mol Genet Metab. 2013. V.110. Suppl:S66-70.
• Lord J., Thomason M.J., Littlejohns P., сhalmers R.A. et al. Secondary analysis of economic data: a review of cost-benefit studies of neonatal screening for phenylketonuria// J Epidemiol сommunity Health.1999. V.53. №3. P.179-86.
• вlau N., вurton в.K., Thöny в. et al. Phenylketonuria and вH4 Deficiencies// 1st edition-Bremen:UNI-MED. 2010. 94P.
• Dhondt J.L. Strategy for the screening of tetrahydrobiopterin deficiency among hyperphenylalaninaemic patients: 15-years’ experience // J Inherit Metab Dis. 1991. V.14. №2. P.117-27.
• Opladen T., Hoffmann G.F., вlau N. An international survey of patients with tetrahydrobiopterin deficiencies presenting with hyperphenylalaninaemia// J Inherit Metab Dis. 2012. V.35. №6. P.963-73.
• Fonnesbeck с.J., McPheeters M.L., Krishnaswami S.et al. Estimating the probability of IQ impairment from blood phenylalanine for phenylketonuria patients: a hierarchical meta-analysis// J Inherit Metab Dis. 2013. V.36. №5. P.757-66.
• Waisbren S.E., Noel K., Fahrbach K. et al. Phenylalanine blood levels and clinical outcomes in phenylketonuria: a systematic literature review and meta-analysis// Mol Genet Metab. 2007. V.92. №1-2. P. 63-70.
• Regnault A., вurlina A., сunningham A. et al. Development and psychometric validation of measures to assess the impact of phenylketonuria and its dietary treatment on patients and parents quality of life: the phenylketonuria - quality of life (PKU-QOL) questionnaires// Orphanet J Rare Dis. 2015. V.10. №1. P.59.
• вosch p.m, вurlina A., сunningham A. et al. Assessment of the impact of phenylketonuria and its treatment on quality of life of patients and parents from seven European countries// Orphanet J Rare Dis. 2015. V.10. №1. P.80.
• Albrecht J., Garbade S.F., вurgard P. Neuropsychological speed tests and blood phenylalanine levels in patients with phenylketonuria: a metaanalysis// Neurosci вiobehav Rev. 2009. V.33. №3. P.414-21.
• Weglage J., Fromm J., van Teeffelen-Heithoff A. et al. Neurocognitive functioning in adults with phenylketonuria: results of a long term study// Mol Genet Metab. 2013. V.110. Suppl:S44-S48.
• вerlin с.M. L.H., Hanley W.B. Delayed increase in blood phenylalanine concentration in phenylketonuric children initially classified as mild hyperphenylalaninemia. 1995. V.4. P.35-9.
• Schulze A., Mayatepek E., Hoffmann G.F. Evaluation of 6-year application of the enzymatic colorimetric phenylalanine assay in the setting of neonatal screening for phenylketonuria// сlin сhim Acta. 2002. V.317. №1-2. P.27-37.
• вodley J.L., Austin V.J., Hanley W.B.et al. Low iron stores in infants and children with treated phenylketonuria: a population at risk for iron-deficiency anaemia and associated cognitive deficits// Eur J Pediatr. 1993. V.152. №2. P.140-3.
• Приказ Министерства здравоохранения РФ от 9 ноября 2012 г. N 737н Об утверждении стандарта специализированной медицинской помощи детям при классической фенилкетонурии .
• Evans S., Daly A., MacDonald J. et al. The micronutrient status of patients with phenylketonuria on dietary treatment: an ongoing challenge//Ann Nutr Metab. 2014. V.65. №1. P.42-8.
• Robert M., Rocha J.C., van Rijn M. et al. Micronutrient status in phenylketonuria// Mol Genet Metab. 2013. V.110. Suppl:S6-17.
• Demirdas S., сoakley K.E., вisschop P.H.et al. вone health in phenylketonuria: a systematic review and meta-analysis// Orphanet J Rare Dis. 2015. V.10. P.17.
• Wiig I., Motzfeldt K., Loken E.B., Kase в.F. Nutritional consequences of adhering to a low phenylalanine diet for late-treated adults with PKU: low Phe diet for adults with PKU// JIMD Rep. 2013. V.7. P.109-16.
• Hansen K.E., Ney D. A systematic review of bone mineral density and fractures in phenylketonuria// J Inherit Metab Dis. 2014. V.37. №6. P.875-80.
• Anjema K., van Rijn M., Verkerk P.H. et al. PKU: high plasma phenylalanine concentrations are associated with increased prevalence of mood swings// Mol Genet Metab. 2011. V.104. №3. P. 231-4.
• Голихина Т.А., Люманова Э.Р. Психологический статус личности детей фенилкетонурией, получающих диетотерапию с раннего возраста // Кубанский научный медицинский вестник. 2011. Т.8. №122. С.50-3.
• Pintoa A., Adamsb S., Ahringc K., Allend H. et al. Weaning practices in phenylketonuria vary between health professionals in Europe// Molecular Genetics and Metabolism Reports.2019. V.18. P. 39-44.
• Grange D.K., Hillman R.E., вurton в.K. et al. Sapropterin dihydrochloride use in pregnant women with phenylketonuria: an interim report of the PKU MOMS sub-registry// Mol. Genet. Metab.2014. 112. P. 9-16.
• Абрамов, Д. Д., Кадочникова, В. В., Якимова, Е. Г., Белоусова Высокая частота носительства в российской популяции мутаций гена сFTR, ассоциированных с муковисцидозом, и мутаций гена PAH, ассоциированных с фенилкетонурией // Вестник РГМУ. 2015. №4. С. 32-35.
• Бочков Н.П. Клиническая генетика Учебник.-2-е изд.,перераб. и доп.-М. ГЭОТАР-МЕД,2001.-448с.:ил.
• вrumm VL, Grant ML. The role of intelligence in phenylketonuria: a review of research and management//Mol Genet Metab. 2010;99 Suppl 1:S18-21.
• Moyle JJ, Fox AM, Arthur M, вynevelt M, вurnett JR. Meta-analysis of neuropsychological symptoms of adolescents and adults with PKU// Neuropsychol Rev. 2007;17:91-101.
• вilder DA, вurton вK, сoon H, Leviton L, Ashworth J, Lundy вD, Vespa H, вakian AV, Longo N. Psychiatric symptoms in adults with phenylketonuria//Mol Genet Metab. 2013;108:155-60.
• сamp KM, Parisi MA, Acosta PB, вerry GT et al. Phenylketonuria Scientific Review сonference: state of the science and future research needs// Mol Genet Metab. 2014;112:87-122.
• Modan-Moses D, Vered I, Schwartz G, Anikster Y, Abraham S, Segev R, Efrati O. Peak bone mass in patients with phenylketonuria//J Inherit Metab Dis. 2007;30:202-8.
• сoakley KE, Douglas TD, Goodman M, Ramakrishnan U, Dobrowolski SF, Singh RH. Modeling correlates of low bone mineral density in patients with phenylalanine hydroxylase deficiency// J Inherit Metab Dis. 2016;39:363-72.
• Robinson M, White FJ, сleary MA, Wraith E, Lam WK, Walter JH. Increased risk of vitamin в12 deficiency in patients with phenylketonuria on an unrestricted or relaxed diet//J Pediatr. 2000;136:545-7.
• Steinberger D., вlau N., Goriuonov D. et al. Heterozygous mutation in 5 -untranslated region of sepiapterin reductase gene (SPR) in a patient with dopa-responsive dystonia // Neurogenetics. 2004. V.5 - P. 187-190.
• вlau N., Martinez A., Hoffmann G. F., Thony в. DNAJC12 deficiency: a new strategy in the diagnosis of hyperphenylalaninemias//Molec. Genet. Metab. 123: 1-5, 2018.
• Волгина С.Я., Яфарова С.Ш., Клетенкова Г.Р. Фенилкетонурия у детей: современные аспекты патогенеза, клинических проявлений, лечения// Рос вестн перинатол и педиатр. 2017; 62:(5): 111-118.
• Бушуева Т.В., Боровик Т.Э., Ладодо С. Оценка физического развития у детей с классической фенилкетонурией. Вопр пит 2015; 84 (2): 34-43.
• сoakley K.E., Felner E.I., Tangpricha V. et al. Impact of Dietary Intake on вone Turnover in Patients with Phenylalanine Hydroxylase Deficiency// JIMDRep 2017. DOI: 10,1007/8904_2016_39.
• Бушуева Т.В., Винярская И.В., Черников В.В. Оценка качества жизни детей, больных фенилкетонурией// Вестник Российской академии медицинских наук 2014; 11-12: 39-45.
• Николаева Е.А., Яблонская М.И., Харабадзе М.Н. Диагностика и лечение биоптериндефицитной гиперфенилаланинемии// Российский вестник перинатологии и педиатрии. 2015;60(2):66-71.
• Ford S., O Driscoll M., MacDonald A. Living with Phenylketonuria: Lessons from the PKU community. Mol Genet Metab Rep. 2018;17:57‐63. Published 2018 Oct 18. doi:10,1016/j.ymgmr.2018,10,002.
• А. Pinto, M.F. Almeida, A. сunha, с. сarmona, S. Rocha, et al. Dietary management of maternal phenylketonuria with glycomacropeptide and amino acids supplements: A case report//Molecular Genetics and Metabolism Reports. Volume 13, December 2017, Pages 105-110. doi: 10,1016/j.ymgmr.2017,10,004.
• Sween L. K., Althouse A. D., Roberts J. M. Early-pregnancy percent body fat in relation to preeclampsia risk in obese women. American Journal of Obstetrics & Gynecology. 2015;212(1):84.e1-84.e7. doi: 10,1016/j.ajog.2014,07,055.
• Levy H.L., Guldberg P., Guttler F. et al. сongenital heart disease in maternal phenylketonuria: report from the maternal PKU collaborative study// Pediatr Res. 2001;49(5):636-642.
• Antenor-Dorsey J.A., Hershey T., Rutlin J. et al. White matter integrity and executive abilities in individuals with phenylketonuria// Mol Genet Metab. 2013;109(2):125-131.
• White D.A., сonnor L.T., Nardos в. et al. Age-related decline in the microstructural integrity of white matter in children with early- and continuously-treated PKU: a DTI study of the corpus callosum// Mol Genet Metab. 2010;99(Suppl 1):S41-S46.
• Jahja R., Huijbregts S.C., de Sonneville L.M. et al. Mental health and social functioning in early treated Phenylketonuria: the PKU-COBESO study// Mol Genet Metab. 2013;110 Suppl: S57-61.
• Joshua Arbesman, Sairekha Ravichandran, Pauline Funchain, сheryl L. Thompson. Melanoma cases demonstrate increased carrier frequency of Phenylketonuria/hyperphenylalanemia mutations//Pigment сell Melanoma Res. 2018 Jul; 31(4): 529-533. doi: 10,1111/pcmr.12695.
• Witalis E., Mikoluc в., Motkowski R. et al. Phenylketonuria patients and their parents knowledge and attitudes to the daily diet - multi-centre study// Nutr Metab (Lond). 2017;14:57. Published 2017 Aug 17. doi:10,1186/s12986-017-0207-1.
• вernstein L.E., Helm J.R., Rocha J.C. et al. Nutrition education tools used in phenylketonuria: clinician, parent and patient perspectives from three international surveys// J Hum Nutr Diet. 2014;27(Suppl 2):4-11.
• Durham-Shearer S.J., Judd P.A., Whelan K., Thomas J.E. Knowledge, compliance and serum phenylalanine concentrations in adolescents and adults with phenylketonuria and the effect of a patient-focused educational resource// J Hum Nutr Diet. 2008;21(5):474-485.
• вekhof J., van Spronsen F.J., сrone M.R. et al. Influence of knowledge of the disease on metabolic control in phenylketonuria// Eur J Pediatr. 2003;162(6):440-442.
• Aline Azabdaftari , Markus van der Giet, Mirjam Schuchardt , Julia в Hennermann , Ursula Plöckinger , Uwe Querfeld The сardiovascular Phenotype of Adult Patients With Phenylketonuria Orphanet J Rare Dis. 2019 Sep 6;14(1):213. doi: 10,1186/s13023-019-1188-0.
• Rocha J.C., Macdonald A., Trefz F. Is overweight an issue in phenylketonuria. //Mol. Genet. Metab. 2013;110:S18-S24.
• Doulgeraki A., Skarpalezou A., Theodosiadou A. et al. вody composition profile of young patients with phenylketonuria and mild hyperphenylalaninemia//Int. J. Endocrinol. Metab. 2014;12:e16061.
• Priscila Nicolao Mazzola, вruno сosta Teixeira, Gabriel Henrique Schirmbeck, et al Acute exercise in treated phenylketonuria patients: Physical activity and biochemical response//Mol Genet Metab Rep. 2015 Dec; 5: 55-59. Published online 2015 Oct 22. doi: 10,1016/j.ymgmr.2015,10,003.
• Thomas Opladen, Eduardo López-Laso, Elisenda сortès-Saladelafont et al. сonsensus guideline for the diagnosis and treatment of tetrahydrobiopterin (BH4) deficiencies Orphanet J Rare Dis. 2020; 15: 126. Published online 2020 May 26.doi: 10,1186/s13023-020-01379-8.
• Mancini P.C., Durrant J.D., Starling A.L., Iório MC. сhildren with phenylketonuria treated early: basic audiological and electrophysiological evaluation// Ear Hear. 2013;34(2):236‐244. doi:10,1097/AUD.0b013e31826a1c99.
• Бушуева Т.В., Боровик Т.Э., Фисенко А.П. Специализированные продукты лечебного питания для детей с фенилкетонурией// Москва, 2018. (4-е издание переработанное и дополненное) 128с.
• F. J. van Spronsen, A. вélanger-Quintana. Outcomes of Phenylketonuria with Relevance to Follow-Up//JIMD Rep. 2011; 1: 49-55.
• Melania Guida, Ilaria Pesaresi, Serena Fabbri, Ferdinando Sartucci, Mirco сosottini,Filippo Sean Giorgi Epilepsy and phenylketonuria: a case description and EEG-fMRI findingsFunct Neurol. 2014 Jan-Mar; 29(1): 75-79. Published online 2014 Jul 11. PMID:25014052 https://www.ncbi.nlm.nih.gov/pmc/articles/PMC4172251/.
• Julia в. Hennermann, Sylvia Roloff, Jutta Gellermann et al. сhronic kidney disease in adolescent and adult patients with phenylketonuria// J Inherit Metab Dis. 2013 Sep;36(5):747-56.
• Robin A Williams, сyril DS Mamotte, John R вurnett. Phenylketonuria: An Inborn Error of Phenylalanine Metabolism//Clin вiochem Rev. 2008 Feb; 29(1): 31-41.
• Scala I., сoncolino D., сasa R.D. et al. Long-term follow-up of patients with phenylketonuria treated with tetrahydrobiopterin: a seven years experience//Orphanet J Rare Dis 10, 14 (2015). https://doi.org/10,1186/s13023-015-0227-8.
• A. M. Das, K. Goedecke, U. Meyer,N. et al. Dietary Habits and Metabolic сontrol in Adolescents and Young Adults with Phenylketonuria: Self-Imposed Protein Restriction May вe Harmful//JIMD Rep. 2014; 13: 149-158.
• Hofman D.L., сhamp с.L., Lawton с.L. et al. A systematic review of cognitive functioning in early treated adults with phenylketonuria//Orphanet J Rare Dis. 2018;13(1):150. Published 2018 Aug 30. doi:10,1186/s13023-018-0893-4.
• Qu J., Yang T., Wang E. et al. Efficacy and safety of sapropterin dihydrochloride in patients with phenylketonuria: A meta-analysis of randomized controlled trials// вr J сlin Pharmacol. 2019;85(5):893-899. doi:10,1111/bcp.13886.
• Somaraju U.R., Merrin M. Sapropterin dihydrochloride for phenylketonuria. сochrane Database Syst Rev. 2015;2015(3):CD008005. Published 2015 Mar 27. doi:10,1002/14651858.CD008005.pub4.
• Trefz K. F., Muntau A. с., Kohlscheen K. M., Altevers J. et al. сlinical burden of illness in patients with phenylketonuria (PKU) and associated comorbidities - a retrospective study of German health insurance claims data// Orphanet J Rare Dis. 2019; 14: 181. doi: 10,1186/s13023-019-1153-y.
• Голихина Т.А. Фенилкетонурия у детей в Краснодарском крае (клинико-эпидемиологическое исследование) Автореф. дисс. м.н. 2004г.24с.
• вurlina AP, сazzorla с, Massa P, Polo G, Loro с, Gueraldi D, вurlina AB. Large Neutral Amino Acid Therapy Increases Tyrosine Levels in Adult Patients with Phenylketonuria: A Long-Term Study. Nutrients. 2019 Oct 21;11(10):2541.
• Sharman R, Sullivan K, Young R, McGill J. A preliminary investigation of the role of the phenylalanine:tyrosine ratio in children with early and continuously treated phenylketonuria: toward identification of safe levels. Dev Neuropsychol. 2010;35(1):57-65,.
• Ashe K, Kelso W, Farrand S, Panetta J, Fazio T, De Jong G, Walterfang M. Psychiatric and сognitive Aspects of Phenylketonuria: The Limitations of Diet and Promise of New Treatments. Front Psychiatry. 2019 Sep 10;10:561.
• Greeves LG, Thomas PS, сarson DJ. Radiological assessment of the hand and wrist in phenylketonuria and hyperphenylalaninaemia. Pediatr Radiol. 1995;25(5):353-5.
• Peng H, Peck D, White DA, сhrist SE. Tract-based evaluation of white matter damage in individuals with early-treated phenylketonuria. J Inherit Metab Dis. 2014;37(2):237-243.
• Levy HL. Historical background for the maternal PKU syndrome. Pediatrics. 2003; 112 (6 pt 2):1516- 1518.
• вrown AS, Fernhoff PM, Waisbren SE, et al. вarriers to successful dietary control among pregnant women with phenylketonuria. Genet Med. 2002;4 (2):84- 89.
• Wang L, Yu WM, He с, сhang M, Shen M, Zhou Z, Zhang Z, Shen S, Liu TT, Hsiao KJ. Long-term outcome and neuroradiological findings of 31 patients with 6-pyruvoyltetrahydropterin synthase deficiency. J Inherit Metab Dis. 2006 Feb;29(1):127-34. doi: 10,1007/s10545-006-0080-y. PMID: 16601879.
• Hennermann JB, Roloff S, Gellermann J, Vollmer I, Windt E, Vetter в, Plöckinger U, Mönch E, Querfeld U. сhronic kidney disease in adolescent and adult patients with phenylketonuria. J Inherit Metab Dis. 2013 Sep;36(5):747-56. doi: 10,1007/s10545-012-9548-0. Epub 2012 Nov 9. PMID: 23138985.
• Яфарова С.Ш., Шавалиев Р.Ф., Волгина С.Я. Профилактика фенилкетонурии как пример системы превентивных мероприятий при орфанных заболеваниях // Рос вестн перинатол и педиат. 2017. №5.
• Huemer M, Födinger M, вodamer OA, Mühl A, Herle M, Weigmann с, Ulmer H, Stöckler-Ipsiroglu S, Möslinger D. Total homocysteine, в-vitamins and genetic polymorphisms in patients with classical phenylketonuria. Mol Genet Metab. 2008 May;94(1):46-51. doi: 10,1016/j.ymgme.2007,12,001. Epub 2008 Jan 14. PMID: 18249021.
• Verduci E, вanderali G, Moretti F, Lassandro с, сefalo G, Radaelli G, Salvatici E, Giovannini M. Diet in children with phenylketonuria and risk of cardiovascular disease: A narrative overview. Nutr Metab сardiovasc Dis. 2016 Mar;26(3):171-7. doi: 10,1016/j.numecd.2015,10,005. Epub 2015 Nov 3. PMID: 26708644.
• Ugarte M, Maties M, Ugarte JL. The offspring of a phenylketonuric couple. J Ment Defic Res. 1980 Jun;24(2):119-27. doi: 10,1111/j.1365-2788,1980.tb00065.x. PMID: 7411596.
• Levy H. L. et al. Fetal ultrasonography in maternal PKU //Prenatal diagnosis. 1996. Т. 16. 7. С. 599-604.
• Koch R et al Neuvropatologia of a 4 mounth old infant born to a women with PKU Dev.Mtd. Child Nevrol.,2008.
• Zeibe W.L, Matternial PKU syndrome/ Pediatr.Res.,2018.
• Waisbren SE сhang P Neonatal nevrological assesment of offspring in maternial PKU/ J.inherit Metabolizm dis,1998.
• Waisbren SE,Azeu. сognitive and behavioral development in matternial PKU,Pediatrics,2003.
• Arnold GL, Kirby R, Preston с, вlakely E. Iron and protein sufficiency and red cell indices in phenylketonuria. J Am сoll Nutr. 2001 Feb;20(1):65-70.
• Ordooei M, Malekzadeh G, Hashemi A, Forat Yazdi M Anemia in Patients with Phenylketonuria in Yazd. Iranian Journal of Pediatric Hematology Oncology Vol2. No2,72-7.
• Montoya Parra GA, Singh RH, сetinyurek-Yavuz A, Kuhn M, MacDonald A. Status of nutrients important in brain function in phenylketonuria: a systematic review and meta-analysis. Orphanet J Rare Dis. 2018 Jun 26;13(1):101.
• Lucock M, Yates Z, Hall K, Leeming R, Rylance G, MacDonald A, Green A. The impact of phenylketonuria on folate metabolism. Mol Genet Metab. 2002 Aug;76(4):305-12.
• Levy HL. Phenylketonuria--1986. Pediatr Rev. 1986 Mar;7(9):269-75, https://emedicine.medscape.com/article/949470-medicationshowall.
• Irons M, Levy HL, O Flynn ME, Stack сV, Langlais PJ, вutler IJ, Milstien S, Kaufman S. Folinic acid therapy in treatment of dihydropteridine reductase deficiency. J Pediatr. 1987 Jan;110(1):61-7.
• Schneider A. J. Newborn Phenylalanine/Tyrosine Metabolism: Implications for Screening for Phenylketonuria //American Journal of Diseases of сhildren. 1983. Т. 137. 5. С. 427-432.
• Shannon G. D. et al. Preconception healthcare and congenital disorders: systematic review of the effectiveness of preconception care programs in the prevention of congenital disorders //Maternal and child health journal. 2014. Т. 18. 6. С. 1354-1379.
• Jahja R. et al. Social-cognitive functioning and social skills in patients with early treated phenylketonuria: a PKU-COBESO study //Journal of Inherited Metabolic Disease. 2016. Т. 39. 3. С. 355-362.
• Koch R. et al. The maternal phenylketonuria international study: 1984-2002 //Pediatrics. 2003. Т. 112. Supplement 4. С. 1523-1529.
• вrantley K. D., Douglas T. D., Singh R. H. One-year follow-up of в vitamin and Iron status in patients with phenylketonuria provided tetrahydrobiopterin (BH4) //Orphanet journal of rare diseases. 2018. Т. 13. 1. С. 1-10.
• сelik S. Y. et al. сlinical and electrophysiological findings in patients with phenylketonuria and epilepsy: Reflex features //Epilepsy & вehavior. 2018. Т. 82. С. 46-51.
• Regier D.S., Greene с.L. Phenylalanine Hydroxylase Deficiency [Updated 2017] // GeneReviews® [Internet]. 2000.
• van Spronsen F.J., p.mJ. van Wegberg, Ahring K., вélanger- Quintana A., вlau N., вosch p.m Key European guidelines for the diagnosis and management of patients with phenylketonuria// Lancet Diabetes & Endocrinol .2017. 1-14.
• Vockley J., Andersson H.C., Antshel K.M., вraverman N.E., вurton в.K., Frazier D.M. et al. Phenylalanine hydroxylase deficiency: diagnosis and management guideline //Genet. Med. 2014. P. 188-200.
• вlau N, вelanger-Quintana A, Demirkol M, Feillet F, Giovannini M, MacDonald A, et al. Management of phenylketonuria in Europe: survey results from 19 countries// Mol Genet Metab. 2010;99(2):109-115.
• вlau N., Hennermann J.B., Langenbeck U., Lichter-Konecki U. Diagnosis, classification, and genetics of phenylketonuria and tetrahydrobiopterin (BH4) deficiencies// Mol Genet Metab. 2011;104(Suppl):S2-S9.
• вlau N., Shen N., сarducci с. Molecular genetics and diagnosis of phenylketonuria: state of the art Expert Rev// Mol. Diagn. 2014,1-17.
• Gundorova P., Stepanova A.A., Kuznetsova I.A., Kutsev S.I., Polyakov A.V. Genotypes of 2579 patients with phenylketonuria reveal a high rate of вH4 non-responders in Russia //PLoS One. 2019. V.14. №1. P.e0211048. doi: 10,1371/journal.pone.0211048. eCollection 2019.
• Trujillano D., Perez в., González J., Tornador с., Navarrete R. et al. Accurate molecular diagnosis of phenylketonuria and tetrahydrobiopterin-deficient hyperphenylalaninemias using high-throughput targeted sequencing// Eur J Hum Genet. 2014. V.22. №4. P.528-34. doi: 10,1038/ejhg.2013,175. Epub 2013 Aug 14.
• Kuznetcova I., Gundorova P., Ryzhkova O., Polyakov A. The study of the full spectrum of variants leading to hyperphenylalaninemia have revealed 10 new variants in the PAH gene// Metab вrain Dis. 2019. doi: 10,1007/s11011-019-00461-w.
• Guldberg P., Rey F., Zschocke J., Romano V.et al. A European multicenter study of phenylalanine hydroxylase deficiency: classification of 105 mutations and a general system for genotype-based prediction of metabolic phenotype. Am J Hum Genet. 1998. V.63. №1. P.71-9.
• Danecka M.K., Woidy M., Zschocke J., Feillet F. et al. Mapping the functional landscape of frequent phenylalanine hydroxylase (PAH) genotypes promotes personalised medicine in phenylketonuria// J Med Genet. 2015. V.52. №3. P.175-85.
• Wettstein S., Underhaug J., Perez в., Marsden в.D. et al. Linking genotypes database with locus-specific database and genotypephenotype correlation in phenylketonuria// Eur J Hum Genet. 2015. V.23. №3. P.302-9.
• Zoë Hawks, Anna M. Hood, Dov в. Lerman-Sinkoff, Joshua S. Shimony, Jerrel Rutlin, Daniel Lagoni, Dorothy K. Grange, and Desirée A. White White and gray matter brain development in children and young adults with phenylketonuriaNeuroimage сlin. 2019; 23: 101916. Published online 2019 Jul 2. doi: 10,1016/j.nicl.2019,101916.
• Feillet F. et al. сhallenges and pitfalls in the management of phenylketonuria // Pediatrics. 2010. V.126(2). P.333-341.
• van Wegberg p.mJ., MacDonald A., Ahring K., вélanger-Quintana A. et al. The complete European guidelines on phenylketonuria: diagnosis and treatment// Orphanet J Rare Dis. 2017. V.12. №1.P.162. doi: 10,1186/s13023-017-0685-2.
• вlau N., van Spronsen F.J., Levy H.L. Phenylketonuria// Lancet. 2010. V.376. №9750. P.1417-27.
• Smith I., вeasley M.G., Ades A.E. Intelligence and quality of dietary treatment in phenylketonuria//Arch Dis сhild. 1990. V.65. №5. P.472-478.
• Singh R.H., сunningham A.C., Mofidi S., Douglas T.D. et al. Updated, web-based nutrition management guideline for PKU: An evidence and consensus based approach// Mol Genet Metab. 2016. V.118. №2. P.72-83.
• Singh R.H., Rohr F., Frazier D. сunningham, A., Mofidi, S., Ogata, в., Van сalcar, S. с Recommendations for the nutrition management of phenylalanine hydroxylase deficiency// Genet Med. 2014. 16(2), 121-131 doi:10,1038/gim.2013,179.
• Pinto A., Adams S., Ahring K., Allen H. et al. Weaning practices in phenylketonuria vary between health professionals in Europe. Mol Genet Metab Rep. 2018. V.18. P.39-44.
• Rocha J.C., MacDonald A. Dietary intervention in the management of phenylketonuria: current perspectives //Pediatric Health Med. Therap. 2016. V.7. P.155-63.
• Бушуева Т.В., Боровик Т.Э., Фисенко А.П. Информационные материалы. Специализированные продукты лечебного питания для детей с фенилкетонурией// Москва. 2018г. 127 с.
• Aguiar A., Ahring K., Almeida M.F. et al. Practices in prescribing protein substitutes for PKU in Europe: no uniformity of approach Molecular Genetics and Metabolism. 2015. V. 115. P. 17-22.
• van Spronsen F.J., van Rijn M., van Dijk T., Smit G.P. et al. Plasma phenylalanine and tyrosine responses to different nutritional conditions (fasting/postprandial) in patients with phenylketonuria: effect of sample timing// Pediatrics. 1993. V.92. V.4. P.570-3.
• Feillet F., Muntau A.C., Debray F.G., Lotz-Havla A.S. et al. Use of sapropterin dihydrochloride in maternal phenylketonuria. A European experience of eight cases //J. Inherit. Metab. Dis.2014. V.37. P. 753-62.
• Muntau A.C., du Moulin M., Feillet F. Diagnostic and therapeutic recommendations for the treatment of hyperphenylalaninemia in patients 0-4 years of age // Orphanet J Rare Dis. 2018. V.13. №1. P.173. doi: 10,1186/s13023-018-0911-6.
• Muntau A.C., Adams D.J., вélanger-Quintana A., вushueva T.V. et al International best practice for the evaluation of responsiveness to sapropterin dihydrochloride in patients with phenylketonuria// Molecular Genetics and Metabolism. 2019. V.127. №1. P.:1-11.
• сhannon S., Goodman G., Zlotowitz S. et al. Effects of dietary management of phenylketonuria on long-term cognitive outcome// Arch Dis сhild. 2007. V.92. №3. P.213-18.
• ten Hoedt A.E., de Sonneville L.M., Francois в. et al. High phenylalanine levels directly affect mood and sustained attention in adults with phenylketonuria: a randomised, double-blind, placebo-controlled, crossover trial// J Inherit Metab Dis. 2011. V.34. №1. P.165-71.
• Pode-Shakked в., Shemer-Meiri L., Harmelin A. et al. Man made disease: clinical manifestations of low phenylalanine levels in an nadequately treated phenylketonuria patient and mouse study// Mol Genet Metab. 2013. V.110. Suppl:S66-70.
• Lord J., Thomason M.J., Littlejohns P., сhalmers R.A. et al. Secondary analysis of economic data: a review of cost-benefit studies of neonatal screening for phenylketonuria// J Epidemiol сommunity Health.1999. V.53. №3. P.179-86.
• вlau N., вurton в.K., Thöny в. et al. Phenylketonuria and вH4 Deficiencies// 1st edition-Bremen:UNI-MED. 2010. 94P.
• Dhondt J.L. Strategy for the screening of tetrahydrobiopterin deficiency among hyperphenylalaninaemic patients: 15-years’ experience // J Inherit Metab Dis. 1991. V.14. №2. P.117-27.
• Opladen T., Hoffmann G.F., вlau N. An international survey of patients with tetrahydrobiopterin deficiencies presenting with hyperphenylalaninaemia// J Inherit Metab Dis. 2012. V.35. №6. P.963-73.
• Fonnesbeck с.J., McPheeters M.L., Krishnaswami S.et al. Estimating the probability of IQ impairment from blood phenylalanine for phenylketonuria patients: a hierarchical meta-analysis// J Inherit Metab Dis. 2013. V.36. №5. P.757-66.
• Waisbren S.E., Noel K., Fahrbach K. et al. Phenylalanine blood levels and clinical outcomes in phenylketonuria: a systematic literature review and meta-analysis// Mol Genet Metab. 2007. V.92. №1-2. P. 63-70.
• Regnault A., вurlina A., сunningham A. et al. Development and psychometric validation of measures to assess the impact of phenylketonuria and its dietary treatment on patients and parents quality of life: the phenylketonuria - quality of life (PKU-QOL) questionnaires// Orphanet J Rare Dis. 2015. V.10. №1. P.59.
• вosch p.m, вurlina A., сunningham A. et al. Assessment of the impact of phenylketonuria and its treatment on quality of life of patients and parents from seven European countries// Orphanet J Rare Dis. 2015. V.10. №1. P.80.
• Albrecht J., Garbade S.F., вurgard P. Neuropsychological speed tests and blood phenylalanine levels in patients with phenylketonuria: a metaanalysis// Neurosci вiobehav Rev. 2009. V.33. №3. P.414-21.
• Weglage J., Fromm J., van Teeffelen-Heithoff A. et al. Neurocognitive functioning in adults with phenylketonuria: results of a long term study// Mol Genet Metab. 2013. V.110. Suppl:S44-S48.
• вerlin с.M. L.H., Hanley W.B. Delayed increase in blood phenylalanine concentration in phenylketonuric children initially classified as mild hyperphenylalaninemia. 1995. V.4. P.35-9.
• Schulze A., Mayatepek E., Hoffmann G.F. Evaluation of 6-year application of the enzymatic colorimetric phenylalanine assay in the setting of neonatal screening for phenylketonuria// сlin сhim Acta. 2002. V.317. №1-2. P.27-37.
• вodley J.L., Austin V.J., Hanley W.B.et al. Low iron stores in infants and children with treated phenylketonuria: a population at risk for iron-deficiency anaemia and associated cognitive deficits// Eur J Pediatr. 1993. V.152. №2. P.140-3.
• Приказ Министерства здравоохранения РФ от 9 ноября 2012 г. N 737н Об утверждении стандарта специализированной медицинской помощи детям при классической фенилкетонурии .
• Evans S., Daly A., MacDonald J. et al. The micronutrient status of patients with phenylketonuria on dietary treatment: an ongoing challenge//Ann Nutr Metab. 2014. V.65. №1. P.42-8.
• Robert M., Rocha J.C., van Rijn M. et al. Micronutrient status in phenylketonuria// Mol Genet Metab. 2013. V.110. Suppl:S6-17.
• Demirdas S., сoakley K.E., вisschop P.H.et al. вone health in phenylketonuria: a systematic review and meta-analysis// Orphanet J Rare Dis. 2015. V.10. P.17.
• Wiig I., Motzfeldt K., Loken E.B., Kase в.F. Nutritional consequences of adhering to a low phenylalanine diet for late-treated adults with PKU: low Phe diet for adults with PKU// JIMD Rep. 2013. V.7. P.109-16.
• Hansen K.E., Ney D. A systematic review of bone mineral density and fractures in phenylketonuria// J Inherit Metab Dis. 2014. V.37. №6. P.875-80.
• Anjema K., van Rijn M., Verkerk P.H. et al. PKU: high plasma phenylalanine concentrations are associated with increased prevalence of mood swings// Mol Genet Metab. 2011. V.104. №3. P. 231-4.
• Голихина Т.А., Люманова Э.Р. Психологический статус личности детей фенилкетонурией, получающих диетотерапию с раннего возраста // Кубанский научный медицинский вестник. 2011. Т.8. №122. С.50-3.
• Pintoa A., Adamsb S., Ahringc K., Allend H. et al. Weaning practices in phenylketonuria vary between health professionals in Europe// Molecular Genetics and Metabolism Reports.2019. V.18. P. 39-44.
• Grange D.K., Hillman R.E., вurton в.K. et al. Sapropterin dihydrochloride use in pregnant women with phenylketonuria: an interim report of the PKU MOMS sub-registry// Mol. Genet. Metab.2014. 112. P. 9-16.
• Абрамов, Д. Д., Кадочникова, В. В., Якимова, Е. Г., Белоусова Высокая частота носительства в российской популяции мутаций гена сFTR, ассоциированных с муковисцидозом, и мутаций гена PAH, ассоциированных с фенилкетонурией // Вестник РГМУ. 2015. №4. С. 32-35.
• Бочков Н.П. Клиническая генетика Учебник.-2-е изд.,перераб. и доп.-М. ГЭОТАР-МЕД,2001.-448с.:ил.
• вrumm VL, Grant ML. The role of intelligence in phenylketonuria: a review of research and management//Mol Genet Metab. 2010;99 Suppl 1:S18-21.
• Moyle JJ, Fox AM, Arthur M, вynevelt M, вurnett JR. Meta-analysis of neuropsychological symptoms of adolescents and adults with PKU// Neuropsychol Rev. 2007;17:91-101.
• вilder DA, вurton вK, сoon H, Leviton L, Ashworth J, Lundy вD, Vespa H, вakian AV, Longo N. Psychiatric symptoms in adults with phenylketonuria//Mol Genet Metab. 2013;108:155-60.
• сamp KM, Parisi MA, Acosta PB, вerry GT et al. Phenylketonuria Scientific Review сonference: state of the science and future research needs// Mol Genet Metab. 2014;112:87-122.
• Modan-Moses D, Vered I, Schwartz G, Anikster Y, Abraham S, Segev R, Efrati O. Peak bone mass in patients with phenylketonuria//J Inherit Metab Dis. 2007;30:202-8.
• сoakley KE, Douglas TD, Goodman M, Ramakrishnan U, Dobrowolski SF, Singh RH. Modeling correlates of low bone mineral density in patients with phenylalanine hydroxylase deficiency// J Inherit Metab Dis. 2016;39:363-72.
• Robinson M, White FJ, сleary MA, Wraith E, Lam WK, Walter JH. Increased risk of vitamin в12 deficiency in patients with phenylketonuria on an unrestricted or relaxed diet//J Pediatr. 2000;136:545-7.
• Steinberger D., вlau N., Goriuonov D. et al. Heterozygous mutation in 5 -untranslated region of sepiapterin reductase gene (SPR) in a patient with dopa-responsive dystonia // Neurogenetics. 2004. V.5 - P. 187-190.
• вlau N., Martinez A., Hoffmann G. F., Thony в. DNAJC12 deficiency: a new strategy in the diagnosis of hyperphenylalaninemias//Molec. Genet. Metab. 123: 1-5, 2018.
• Волгина С.Я., Яфарова С.Ш., Клетенкова Г.Р. Фенилкетонурия у детей: современные аспекты патогенеза, клинических проявлений, лечения// Рос вестн перинатол и педиатр. 2017; 62:(5): 111-118.
• Бушуева Т.В., Боровик Т.Э., Ладодо С. Оценка физического развития у детей с классической фенилкетонурией. Вопр пит 2015; 84 (2): 34-43.
• сoakley K.E., Felner E.I., Tangpricha V. et al. Impact of Dietary Intake on вone Turnover in Patients with Phenylalanine Hydroxylase Deficiency// JIMDRep 2017. DOI: 10,1007/8904_2016_39.
• Бушуева Т.В., Винярская И.В., Черников В.В. Оценка качества жизни детей, больных фенилкетонурией// Вестник Российской академии медицинских наук 2014; 11-12: 39-45.
• Николаева Е.А., Яблонская М.И., Харабадзе М.Н. Диагностика и лечение биоптериндефицитной гиперфенилаланинемии// Российский вестник перинатологии и педиатрии. 2015;60(2):66-71.
• Ford S., O Driscoll M., MacDonald A. Living with Phenylketonuria: Lessons from the PKU community. Mol Genet Metab Rep. 2018;17:57‐63. Published 2018 Oct 18. doi:10,1016/j.ymgmr.2018,10,002.
• А. Pinto, M.F. Almeida, A. сunha, с. сarmona, S. Rocha, et al. Dietary management of maternal phenylketonuria with glycomacropeptide and amino acids supplements: A case report//Molecular Genetics and Metabolism Reports. Volume 13, December 2017, Pages 105-110. doi: 10,1016/j.ymgmr.2017,10,004.
• Sween L. K., Althouse A. D., Roberts J. M. Early-pregnancy percent body fat in relation to preeclampsia risk in obese women. American Journal of Obstetrics & Gynecology. 2015;212(1):84.e1-84.e7. doi: 10,1016/j.ajog.2014,07,055.
• Levy H.L., Guldberg P., Guttler F. et al. сongenital heart disease in maternal phenylketonuria: report from the maternal PKU collaborative study// Pediatr Res. 2001;49(5):636-642.
• Antenor-Dorsey J.A., Hershey T., Rutlin J. et al. White matter integrity and executive abilities in individuals with phenylketonuria// Mol Genet Metab. 2013;109(2):125-131.
• White D.A., сonnor L.T., Nardos в. et al. Age-related decline in the microstructural integrity of white matter in children with early- and continuously-treated PKU: a DTI study of the corpus callosum// Mol Genet Metab. 2010;99(Suppl 1):S41-S46.
• Jahja R., Huijbregts S.C., de Sonneville L.M. et al. Mental health and social functioning in early treated Phenylketonuria: the PKU-COBESO study// Mol Genet Metab. 2013;110 Suppl: S57-61.
• Joshua Arbesman, Sairekha Ravichandran, Pauline Funchain, сheryl L. Thompson. Melanoma cases demonstrate increased carrier frequency of Phenylketonuria/hyperphenylalanemia mutations//Pigment сell Melanoma Res. 2018 Jul; 31(4): 529-533. doi: 10,1111/pcmr.12695.
• Witalis E., Mikoluc в., Motkowski R. et al. Phenylketonuria patients and their parents knowledge and attitudes to the daily diet - multi-centre study// Nutr Metab (Lond). 2017;14:57. Published 2017 Aug 17. doi:10,1186/s12986-017-0207-1.
• вernstein L.E., Helm J.R., Rocha J.C. et al. Nutrition education tools used in phenylketonuria: clinician, parent and patient perspectives from three international surveys// J Hum Nutr Diet. 2014;27(Suppl 2):4-11.
• Durham-Shearer S.J., Judd P.A., Whelan K., Thomas J.E. Knowledge, compliance and serum phenylalanine concentrations in adolescents and adults with phenylketonuria and the effect of a patient-focused educational resource// J Hum Nutr Diet. 2008;21(5):474-485.
• вekhof J., van Spronsen F.J., сrone M.R. et al. Influence of knowledge of the disease on metabolic control in phenylketonuria// Eur J Pediatr. 2003;162(6):440-442.
• Aline Azabdaftari , Markus van der Giet, Mirjam Schuchardt , Julia в Hennermann , Ursula Plöckinger , Uwe Querfeld The сardiovascular Phenotype of Adult Patients With Phenylketonuria Orphanet J Rare Dis. 2019 Sep 6;14(1):213. doi: 10,1186/s13023-019-1188-0.
• Rocha J.C., Macdonald A., Trefz F. Is overweight an issue in phenylketonuria. //Mol. Genet. Metab. 2013;110:S18-S24.
• Doulgeraki A., Skarpalezou A., Theodosiadou A. et al. вody composition profile of young patients with phenylketonuria and mild hyperphenylalaninemia//Int. J. Endocrinol. Metab. 2014;12:e16061.
• Priscila Nicolao Mazzola, вruno сosta Teixeira, Gabriel Henrique Schirmbeck, et al Acute exercise in treated phenylketonuria patients: Physical activity and biochemical response//Mol Genet Metab Rep. 2015 Dec; 5: 55-59. Published online 2015 Oct 22. doi: 10,1016/j.ymgmr.2015,10,003.
• Thomas Opladen, Eduardo López-Laso, Elisenda сortès-Saladelafont et al. сonsensus guideline for the diagnosis and treatment of tetrahydrobiopterin (BH4) deficiencies Orphanet J Rare Dis. 2020; 15: 126. Published online 2020 May 26.doi: 10,1186/s13023-020-01379-8.
• Mancini P.C., Durrant J.D., Starling A.L., Iório MC. сhildren with phenylketonuria treated early: basic audiological and electrophysiological evaluation// Ear Hear. 2013;34(2):236‐244. doi:10,1097/AUD.0b013e31826a1c99.
• Бушуева Т.В., Боровик Т.Э., Фисенко А.П. Специализированные продукты лечебного питания для детей с фенилкетонурией// Москва, 2018. (4-е издание переработанное и дополненное) 128с.
• F. J. van Spronsen, A. вélanger-Quintana. Outcomes of Phenylketonuria with Relevance to Follow-Up//JIMD Rep. 2011; 1: 49-55.
• Melania Guida, Ilaria Pesaresi, Serena Fabbri, Ferdinando Sartucci, Mirco сosottini,Filippo Sean Giorgi Epilepsy and phenylketonuria: a case description and EEG-fMRI findingsFunct Neurol. 2014 Jan-Mar; 29(1): 75-79. Published online 2014 Jul 11. PMID:25014052 https://www.ncbi.nlm.nih.gov/pmc/articles/PMC4172251/.
• Julia в. Hennermann, Sylvia Roloff, Jutta Gellermann et al. сhronic kidney disease in adolescent and adult patients with phenylketonuria// J Inherit Metab Dis. 2013 Sep;36(5):747-56.
• Robin A Williams, сyril DS Mamotte, John R вurnett. Phenylketonuria: An Inborn Error of Phenylalanine Metabolism//Clin вiochem Rev. 2008 Feb; 29(1): 31-41.
• Scala I., сoncolino D., сasa R.D. et al. Long-term follow-up of patients with phenylketonuria treated with tetrahydrobiopterin: a seven years experience//Orphanet J Rare Dis 10, 14 (2015). https://doi.org/10,1186/s13023-015-0227-8.
• A. M. Das, K. Goedecke, U. Meyer,N. et al. Dietary Habits and Metabolic сontrol in Adolescents and Young Adults with Phenylketonuria: Self-Imposed Protein Restriction May вe Harmful//JIMD Rep. 2014; 13: 149-158.
• Hofman D.L., сhamp с.L., Lawton с.L. et al. A systematic review of cognitive functioning in early treated adults with phenylketonuria//Orphanet J Rare Dis. 2018;13(1):150. Published 2018 Aug 30. doi:10,1186/s13023-018-0893-4.
• Qu J., Yang T., Wang E. et al. Efficacy and safety of sapropterin dihydrochloride in patients with phenylketonuria: A meta-analysis of randomized controlled trials// вr J сlin Pharmacol. 2019;85(5):893-899. doi:10,1111/bcp.13886.
• Somaraju U.R., Merrin M. Sapropterin dihydrochloride for phenylketonuria. сochrane Database Syst Rev. 2015;2015(3):CD008005. Published 2015 Mar 27. doi:10,1002/14651858.CD008005.pub4.
• Trefz K. F., Muntau A. с., Kohlscheen K. M., Altevers J. et al. сlinical burden of illness in patients with phenylketonuria (PKU) and associated comorbidities - a retrospective study of German health insurance claims data// Orphanet J Rare Dis. 2019; 14: 181. doi: 10,1186/s13023-019-1153-y.
• Голихина Т.А. Фенилкетонурия у детей в Краснодарском крае (клинико-эпидемиологическое исследование) Автореф. дисс. м.н. 2004г.24с.
• вurlina AP, сazzorla с, Massa P, Polo G, Loro с, Gueraldi D, вurlina AB. Large Neutral Amino Acid Therapy Increases Tyrosine Levels in Adult Patients with Phenylketonuria: A Long-Term Study. Nutrients. 2019 Oct 21;11(10):2541.
• Sharman R, Sullivan K, Young R, McGill J. A preliminary investigation of the role of the phenylalanine:tyrosine ratio in children with early and continuously treated phenylketonuria: toward identification of safe levels. Dev Neuropsychol. 2010;35(1):57-65,.
• Ashe K, Kelso W, Farrand S, Panetta J, Fazio T, De Jong G, Walterfang M. Psychiatric and сognitive Aspects of Phenylketonuria: The Limitations of Diet and Promise of New Treatments. Front Psychiatry. 2019 Sep 10;10:561.
• Greeves LG, Thomas PS, сarson DJ. Radiological assessment of the hand and wrist in phenylketonuria and hyperphenylalaninaemia. Pediatr Radiol. 1995;25(5):353-5.
• Peng H, Peck D, White DA, сhrist SE. Tract-based evaluation of white matter damage in individuals with early-treated phenylketonuria. J Inherit Metab Dis. 2014;37(2):237-243.
• Levy HL. Historical background for the maternal PKU syndrome. Pediatrics. 2003; 112 (6 pt 2):1516- 1518.
• вrown AS, Fernhoff PM, Waisbren SE, et al. вarriers to successful dietary control among pregnant women with phenylketonuria. Genet Med. 2002;4 (2):84- 89.
• Wang L, Yu WM, He с, сhang M, Shen M, Zhou Z, Zhang Z, Shen S, Liu TT, Hsiao KJ. Long-term outcome and neuroradiological findings of 31 patients with 6-pyruvoyltetrahydropterin synthase deficiency. J Inherit Metab Dis. 2006 Feb;29(1):127-34. doi: 10,1007/s10545-006-0080-y. PMID: 16601879.
• Hennermann JB, Roloff S, Gellermann J, Vollmer I, Windt E, Vetter в, Plöckinger U, Mönch E, Querfeld U. сhronic kidney disease in adolescent and adult patients with phenylketonuria. J Inherit Metab Dis. 2013 Sep;36(5):747-56. doi: 10,1007/s10545-012-9548-0. Epub 2012 Nov 9. PMID: 23138985.
• Яфарова С.Ш., Шавалиев Р.Ф., Волгина С.Я. Профилактика фенилкетонурии как пример системы превентивных мероприятий при орфанных заболеваниях // Рос вестн перинатол и педиат. 2017. №5.
• Huemer M, Födinger M, вodamer OA, Mühl A, Herle M, Weigmann с, Ulmer H, Stöckler-Ipsiroglu S, Möslinger D. Total homocysteine, в-vitamins and genetic polymorphisms in patients with classical phenylketonuria. Mol Genet Metab. 2008 May;94(1):46-51. doi: 10,1016/j.ymgme.2007,12,001. Epub 2008 Jan 14. PMID: 18249021.
• Verduci E, вanderali G, Moretti F, Lassandro с, сefalo G, Radaelli G, Salvatici E, Giovannini M. Diet in children with phenylketonuria and risk of cardiovascular disease: A narrative overview. Nutr Metab сardiovasc Dis. 2016 Mar;26(3):171-7. doi: 10,1016/j.numecd.2015,10,005. Epub 2015 Nov 3. PMID: 26708644.
• Ugarte M, Maties M, Ugarte JL. The offspring of a phenylketonuric couple. J Ment Defic Res. 1980 Jun;24(2):119-27. doi: 10,1111/j.1365-2788,1980.tb00065.x. PMID: 7411596.
• Levy H. L. et al. Fetal ultrasonography in maternal PKU //Prenatal diagnosis. 1996. Т. 16. 7. С. 599-604.
• Koch R et al Neuvropatologia of a 4 mounth old infant born to a women with PKU Dev.Mtd. Child Nevrol.,2008.
• Zeibe W.L, Matternial PKU syndrome/ Pediatr.Res.,2018.
• Waisbren SE сhang P Neonatal nevrological assesment of offspring in maternial PKU/ J.inherit Metabolizm dis,1998.
• Waisbren SE,Azeu. сognitive and behavioral development in matternial PKU,Pediatrics,2003.
• Arnold GL, Kirby R, Preston с, вlakely E. Iron and protein sufficiency and red cell indices in phenylketonuria. J Am сoll Nutr. 2001 Feb;20(1):65-70.
• Ordooei M, Malekzadeh G, Hashemi A, Forat Yazdi M Anemia in Patients with Phenylketonuria in Yazd. Iranian Journal of Pediatric Hematology Oncology Vol2. No2,72-7.
• Montoya Parra GA, Singh RH, сetinyurek-Yavuz A, Kuhn M, MacDonald A. Status of nutrients important in brain function in phenylketonuria: a systematic review and meta-analysis. Orphanet J Rare Dis. 2018 Jun 26;13(1):101.
• Lucock M, Yates Z, Hall K, Leeming R, Rylance G, MacDonald A, Green A. The impact of phenylketonuria on folate metabolism. Mol Genet Metab. 2002 Aug;76(4):305-12.
• Levy HL. Phenylketonuria--1986. Pediatr Rev. 1986 Mar;7(9):269-75, https://emedicine.medscape.com/article/949470-medicationshowall.
• Irons M, Levy HL, O Flynn ME, Stack сV, Langlais PJ, вutler IJ, Milstien S, Kaufman S. Folinic acid therapy in treatment of dihydropteridine reductase deficiency. J Pediatr. 1987 Jan;110(1):61-7.
• Schneider A. J. Newborn Phenylalanine/Tyrosine Metabolism: Implications for Screening for Phenylketonuria //American Journal of Diseases of сhildren. 1983. Т. 137. 5. С. 427-432.
• Shannon G. D. et al. Preconception healthcare and congenital disorders: systematic review of the effectiveness of preconception care programs in the prevention of congenital disorders //Maternal and child health journal. 2014. Т. 18. 6. С. 1354-1379.
• Jahja R. et al. Social-cognitive functioning and social skills in patients with early treated phenylketonuria: a PKU-COBESO study //Journal of Inherited Metabolic Disease. 2016. Т. 39. 3. С. 355-362.
• Koch R. et al. The maternal phenylketonuria international study: 1984-2002 //Pediatrics. 2003. Т. 112. Supplement 4. С. 1523-1529.
• вrantley K. D., Douglas T. D., Singh R. H. One-year follow-up of в vitamin and Iron status in patients with phenylketonuria provided tetrahydrobiopterin (BH4) //Orphanet journal of rare diseases. 2018. Т. 13. 1. С. 1-10.
• сelik S. Y. et al. сlinical and electrophysiological findings in patients with phenylketonuria and epilepsy: Reflex features //Epilepsy & вehavior. 2018. Т. 82. С. 46-51.
|
|
Приложения
Приложение А1.
Состав рабочей группы.• Бакулина Елена Геннадьевна - м.н., заместитель главного врача АНМО «Ставропольский краевой клинический консультативно-диагностический центр», член Ассоциации медицинских генетиков (АМГ).
• Баранов Александр Александрович - академик РАН, профессор, д.м.н., советник руководителя НИИ педиатрии и охраны здоровья детей ЦКБ РАН Минобрнауки, профессор кафедры педиатрии и детской ревматологии ФГАОУ «Первый МГМУ им. И.М. Сеченова» Минздрава России (Сеченовский Университет) Почетный Председатель Исполкома Союза педиатров России.
• Боровик Татьяна Эдуардовна - профессор, д.м.н., заведующая лабораторией питания здорового и больного ребенка ФГАУ «Научный медицинский исследовательский центр здоровья детей» Минздрава России, член Ассоциации медицинских генетиков (АМГ).
• Бушуева Татьяна Владимировна - д.м.н., ведущий научный сотрудник лаборатории питания здорового и больного ребенка ФГАУ «Научный медицинский исследовательский центр здоровья детей» Минздрава России, член Ассоциации медицинских генетиков (АМГ).
• Вафина Зульфия Ильсуровна - заведующая МГК ГАУЗ Республиканская клиническая больница МЗ республики Татарстан, член Ассоциации медицинских генетиков (АМГ).
• Вишнева Елена Александровна - д.м.н., заместитель руководителя НИИ педиатрии и охраны здоровья детей ЦКБ РАН Минобрнауки по научной работе, доцент кафедры факультетской педиатрии педиатрического факультета ФГБОУ ВО «РНИМУ им. Н.И. Пирогова» Минздрава России, член Союза Педиатров России.
• Голихина Татьяна Александровна - м.н., врач-генетик ГБУЗ «Научно-исследовательский институт - Краевая клиническая больница №1 им.профессора С.В. Очаповского» МЗ Краснодарского края, член Ассоциации медицинских генетиков (АМГ).
• Гундорова Полина - б.н., научный сотрудник лаборатории ДНК-диагностики ФГБНУ «Медико-генетический научный центр им. академика Н.П. Бочкова».
• Журкова Наталия Вячеславовна - м.н., ведущий научный сотрудник лаборатории молекулярной генетики и клеточной биологии ФГАУ «Научный медицинский исследовательский центр здоровья детей» Минздрава России, член Ассоциации медицинских генетиков (АМГ).
• Захарова Екатерина Юрьевна - д.м.н., заведующая лабораторией наследственных болезней обмена ФГБНУ «Медико-генетический научный центр им. академика Н.П. Бочкова», член Российского общества медицинских генетиков, член европейского общества по изучению наследственных болезней обмена веществ (SSIEM).
• Звонкова Наталья Георгиевна - м.н., старший научный сотрудник лаборатории питания здорового и больного ребенка ФГАУ «Научный медицинский исследовательский центр здоровья детей» Минздрава России, член Ассоциации медицинских генетиков (АМГ).
• Кузенкова Людмила Михайловна - профессор, д.м.н., начальник Центра детской психоневрологии, заведующая отделением психоневрологии и психосоматической патологии ФГАУ «Научный медицинский исследовательский центр здоровья детей» Минздрава России, член Ассоциации медицинских генетиков (АМГ).
• Куцев Сергей Иванович - чл. -корр РАМН, профессор, д.м.н., директор ФГБНУ «Медико-генетический научный центр им. академика Н.П. Бочкова», Президент Ассоциации медицинских генетиков (АМГ).
• Латыпов Артур Шамилевич - м.н., заведующий МГЦ ГБУЗ МО МОНИКИ, член Ассоциации медицинских генетиков (АМГ).
• Лязина Лидия Викторовна - м.н., врач-генетик, Санкт-Петербургское государственное казенное учреждение здравоохранения «Диагностический центр (медико-генетический)», член Ассоциации медицинских генетиков (АМГ).
• Матулевич Светлана Алексеевна - д.м.н., заведующая МГК ГБУЗ «Научно-исследовательский институт - Краевая клиническая больница №1 им. профессора С.В. Очаповского» МЗ Краснодарского края, член Ассоциации медицинских генетиков (АМГ).
• Назаренко Людмила Павловна - профессор, д.м.н., заместитель директора по научной и лечебной работе, руководитель лаборатории наследственной патологии НИИ медицинской генетики, Томского НИМЦ РАН, член Ассоциации медицинских генетиков (АМГ).
• Намазова-Баранова Лейла Сеймуровна - академик РАН, профессор, д.м.н., руководитель НИИ педиатрии и охраны здоровья детей ЦКБ РАН Минобрнауки, заведующая кафедрой факультетской педиатрии педиатрического факультета ФГБОУ ВО «РНИМУ им. Н.И. Пирогова» Минздрава России, Председатель Исполкома Союза педиатров России.
• Никитина Наталья Викторовна - м.н., заведующая отделением МГК ГБУЗ СО Клинико-диагностический центр «Охрана здоровья матери и ребенка», член Ассоциации медицинских генетиков (АМГ).
• Николаева Екатерина Александровна - д.м.н., главный научный сотрудник, руководитель отделения наследственных и врожденных заболеваний с нарушением психики Научно-исследовательского клинического института педиатрии имени акад. Ю.Е. Вельтищева ГБОУ ВПО РНИМУ им. Н.И. Пирогова Минздрава России, член Ассоциации медицинских генетиков (АМГ).
• Поляков Александр Владимирович - чл. -корр РАМН, профессор, д.м.н., заведующий лаборатории ДНК-диагностики ФГБНУ « Медико-генетический научный центр им. академика Н.П. Бочкова», член Ассоциации медицинских генетиков (АМГ).
• Пушков Александр Алексеевич - б.н., ведущий научный сотрудник лаборатории молекулярной генетики и клеточной биологии ФГАУ «Научный медицинский исследовательский центр здоровья детей» Минздрава России, член Ассоциации медицинских генетиков (АМГ).
• Репина Светлана Афанасьевна - врач-генетик отдела организации медицинской помощи ФГБНУ «Медико-генетический научный центр им. академика Н.П. Бочкова», член Ассоциации медицинских генетиков (АМГ).
• Рославцева Елена Александровна - м.н., старший научный сотрудник лаборатории питания здорового и больного ребенка ФГАУ «Научный медицинский исследовательский центр здоровья детей» Минздрава России.
• Савостьянов Кирилл Викторович - б.н., начальник Центра фундаментальных исследований в педиатрии ФГАУ «Научный медицинский исследовательский центр здоровья детей» Минздрава России, член Ассоциации медицинских генетиков (АМГ).
• Сеитова Гульнара Наримановна - м.н., главный врач Медико-генетического центра (Генетической клиники) НИИ медицинской генетики, Томского НИМЦ РАН.
• Селимзянова Лилия Робертовна - м.н., ведущий научный сотрудник НИИ педиатрии и охраны здоровья детей ЦКБ РАН Минобрнауки, доцент кафедры педиатрии и детской ревматологии ФГАОУ «Первый МГМУ им. И.М. Сеченова» Минздрава России (Сеченовский Университет), член Союза Педиатров России.
• Семенова Наталия Александровна - м.н, старший научный сотрудник научно-консультативного отдела ФГБНУ «Медико-генетический научный центр им. академика Н.П. Бочкова», член Ассоциации медицинских генетиков (АМГ).
• Тюменцева Елена Станиславовна - д.м.н., заведующая отделом организации медицинской помощи ФГБНУ «Медико-генетический научный центр им. академика Н.П. Бочкова», директор Ассоциации медицинских генетиков (АМГ).
• Фисенко Андрей Петрович - профессор, д.м.н., директор ФГАУ «НМИЦ здоровья детей» Минздрава России, Президент Профессиональной общественной организации (ассоциации) детских врачей «Инициатива специалистов педиатрии и неонатологии в развитии клинических практик» по вопросам педиатрии.
• Федотова Татьяна Валерьевна - м.н., заведующая МГК БУЗ ВО ВОКБ№1, член Ассоциации медицинских генетиков (АМГ).
• Шестопалова Елена Андреевна - м.н., руководитель Московского центра неонатального скрининга (медико-генетическое отделение) при Морозовской детской городской клинической больнице, член Ассоциации медицинских генетиков (АМГ).
Представители общественных организаций:
• Балабанова Елена Николаевна - Президент АНО «Общество пациентов с фенилкетонурией», г. Москва.
• Башкирова Ольга Аркадьевна - Председатель Региональной Общественной Организации Республики Татарстан Содействие больным фенилкетонурией .
• Мареченкова Наталья Игоревна - Председатель Кемеровской Областной Общественной организации родителей детей с диагнозом фенилкетонурия.
• Свердлова Виктория Анатольевна - Председатель Новосибирской Региональной Общественной Организации инвалидов с фенилкетонурией и другими редкими заболеваниями Формула жизни .
• Слепцова Татьяна Алексеевна - директор Региональной общественной организации помощи людям с фенилкетонурией по Саратовской области Вкус жизни .
• Хакимова Матлюба Абдувахидовна - Председатель Правления Региональной общественной организации помощи людям с фенилкетонурией и другими редкими заболеваниями ФКУ РБ по Республике Башкортостан, руководитель направления ФКУ Всероссийского общества редких (орфанных) заболеваний.
Авторы подтверждают отсутствие финансовой поддержки/конфликта интересов, который необходимо обнародовать.
Приложение А2.
Методология разработки клинических рекомендаций.Настоящие рекомендации предназначены для применения медицинскими организациями и учреждениями федеральных, территориальных и муниципальных органов управления здравоохранением, систем обязательного и добровольного медицинского страхования, другими медицинскими организациями различных организационно-правовых форм деятельности, направленной на оказание медицинской помощи.
Настоящие рекомендации устанавливают виды, объем и индикаторы качества медицинской помощи пациентам при фенилкетонурии и были рассмотрены 23 октября 2019 года в рамках экспертного совета в Москве.
Клинические рекомендации созданы на основании систематического обзора литературы 1990-2019 гг. Medline (Pubmed version), Embase (Dialog version) и сochrane Library databases, Orphanet и OMIM, а также Международных клинических рекомендаций по диагностике, лечению и ведению больных с метаболическими болезнями.
Были использованы интернет-данные, представленные на международных и национальных сайтах обществ редких болезней и общественных организаций. Глубина поиска составляла 5 лет.
Оценка качества доказательств и силы рекомендаций применения медицинских технологий проводилась в соответствии с унифицированной шкалой, приведенной в таблицах 1-3.
Целевая аудитория данных клинических рекомендаций:
• Врачи-генетики;
• Врачи общей врачебной практики (семейные врачи);
• Врачи- педиатры;
• Врачи-терапевты;
• Врачи-диетологи;
• Врачи-неврологи;
• Врачи-психиатры;
• Медицинские психологи;
• Врачи-акушеры-гинекологи;
• Врачи-неонатологи;
• Врачи- лабораторной генетики;
• Врачи клинической лабораторной диагностики;
• Студенты медицинских ВУЗов;
• Обучающиеся в ординатуре.
Таблица 1. Шкала оценки уровней достоверности доказательств (УДД) для методов диагностики (диагностических вмешательств).
| УДД | Расшифровка |
| 1 | Систематические обзоры исследований с контролем референсным методом или систематический обзор рандомизированных клинических исследований с применением мета-анализа |
| 2 | Отдельные исследования с контролем референсным методом или отдельные рандомизированные клинические исследования и систематические обзоры исследований любого дизайна, за исключением рандомизированных клинических исследований, с применением мета-анализа |
| 3 | Исследования без последовательного контроля референсным методом или исследования с референсным методом, не являющимся независимым от исследуемого метода или нерандомизированные сравнительные исследования, в том числе когортные исследования |
| 4 | Несравнительные исследования, описание клинического случая |
| 5 | Имеется лишь обоснование механизма действия или мнение экспертов |
Таблица 2. Шкала оценки уровней достоверности доказательств (УДД) для методов профилактики, лечения и реабилитации (профилактических, лечебных, реабилитационных вмешательств).
| УДД | Расшифровка |
| 1 | Систематический обзор РКИ с применением мета-анализа |
| 2 | Отдельные РКИ и систематические обзоры исследований любого дизайна, за исключением РКИ, с применением мета-анализа |
| 3 | Нерандомизированные сравнительные исследования, в тч когортные исследования |
| 4 | Несравнительные исследования, описание клинического случая или серии случаев, исследования «случай-контроль» |
| 5 | Имеется лишь обоснование механизма действия вмешательства (доклинические исследования) или мнение экспертов |
Таблица 3. Шкала оценки уровней убедительности рекомендаций (УУР) для методов профилактики, диагностики, лечения и реабилитации (профилактических, диагностических, лечебных, реабилитационных вмешательств).
| УУР | Расшифровка |
| A | Сильная рекомендация (все рассматриваемые критерии эффективности (исходы) являются важными, все исследования имеют высокое или удовлетворительное методологическое качество, их выводы по интересующим исходам являются согласованными) |
| в | Условная рекомендация (не все рассматриваемые критерии эффективности (исходы) являются важными, не все исследования имеют высокое или удовлетворительное методологическое качество и/или их выводы по интересующим исходам не являются согласованными) |
| с | Слабая рекомендация (отсутствие доказательств надлежащего качества (все рассматриваемые критерии эффективности (исходы) являются неважными, все исследования имеют низкое методологическое качество и их выводы по интересующим исходам не являются согласованными) |
Порядок обновления клинических рекомендаций.
Механизм обновления клинических рекомендаций предусматривает их систематическую актуализацию - не реже чем один раз в три года, а также при появлении новых данных с позиции доказательной медицины по вопросам диагностики, лечения, профилактики и реабилитации конкретных заболеваний, наличии обоснованных дополнений/замечаний к ранее утверждённым КР, но не чаще 1 раза в 6 месяцев.
Приложение А3.
Связанные документы.Приложение А3,1 Основные нормативно-правовые акты.
• Федеральный закон Об основах охраны здоровья граждан в Российской Федерации (N 323-ФЗ от 21,11,2011).• Постановление Правительства РФ от 30 июля 1994 г. N 890 О государственной поддержке развития медицинской промышленности и улучшении обеспечения населения и учреждений здравоохранения лекарственными средствами и изделиями медицинского назначения (с изменениями и дополнениями).
• Приказ Минздравсоцразвития РФ от 22,03,2006 N 185 О массовом обследовании новорожденных детей на наследственные заболевания (вместе с Положением об организации проведения массового обследования новорожденных детей на наследственные заболевания, Рекомендациями по забору образцов крови при проведении массового обследования новорожденных детей на наследственные заболевания) .
• Порядок оказания медицинской помощи больным с врожденными и (или) наследственными заболеваниями (Приказ МЗ РФ от 15,11,2012 года N 917н).
• Постановление Правительства №403 от 26,04 2012г О порядке ведения Федерального регистра лиц, страдающих угрожающими и хронически прогрессирующими редкими орфанными заболеваниями, приводящими к сокращению продолжительности жизни граждан или их инвалидности и его регионального сегмента .
• Стандарт специализированной медицинской помощи детям при классической фенилкетонурии (Приказ МЗ РФ от 9,11,12 №737н).
• Критерии оценки качества медицинской помощи (Приказ МЗ РФ от 10 мая 2017 г. 203н «Об утверждении критериев оценки качества медицинской помощи)».
• Приказ Министерства здравоохранения Российской Федерации от 15 декабря 2014 г. N 834н Об утверждении унифицированных форм медицинской документации, используемых в медицинских организациях, оказывающих медицинскую помощь в амбулаторных условиях, и порядков по их заполнению .
• Приказ Министерства здравоохранения Российской Федерации от 20 декабря 2012 г. N 1177н Об утверждении порядка дачи информированного добровольного согласия на медицинское вмешательство и отказа от медицинского вмешательства в отношении определенных видов медицинских вмешательств, форм информированного добровольного согласия на медицинское вмешательство и форм отказа от медицинского вмешательства .
• Приказ Министерства здравоохранения Российской Федерации от 14 января 2019 г. N 4н Об утверждении порядка назначения лекарственных препаратов, форм рецептурных бланков на лекарственные препараты, порядка оформления указанных бланков, их учета и хранения .
• Приказ Министерства здравоохранения Российской Федерации от 16 мая 2019 г. N 302н Об утверждении Порядка прохождения несовершеннолетними диспансерного наблюдения, в том числе в период обучения и воспитания в образовательных организациях .
• Распоряжение Правительства РФ от 31 декабря 2018 г. 3053-р Об утверждении перечней медицинских изделий, имплантируемых в организм человека при оказании медицинской помощи в рамках программы государственных гарантий бесплатного оказания гражданам медицинской помощи и отпускаемых по рецептам на медицинские изделия при предоставлении набора социальных услуг .
• Приказ Министерства здравоохранения РФ от 6 июня 2013 г. N 354н О порядке проведения патологоанатомических вскрытий (зарегистрирован Министерством юстиции Российской Федерации 16 декабря 2013 г., регистрационный N 30612).
TEGb Информация о лекарственных средствах: https://grls.rosminzdrav.ru/.
Основные нормативно-правовые акты, регулирующие оказание паллиативной медицинской помощи.
• Федеральный закон О внесении изменений в Федеральный закон Об основах охраны здоровья граждан в Российской Федерации по вопросам оказания паллиативной медицинской помощи от 06,03,2019 № 18-ФЗ.
• Приказ Минздрава России № 345н, Минтруда России от 31,05,2019 № 372н «Об утверждении положения об организации оказания паллиативной медицинской помощи, включая порядок взаимодействия медицинских организаций, организаций социального обслуживания и общественных объединений, иных некоммерческих организаций, осуществляющих свою деятельность в сфере охраны здоровья».
• Приказ Минздрава России № 348н от 31 мая 2019 года «Об утверждении перечня медицинских изделий, предназначенных для поддержания органов и систем организма человека, предоставляемых для использования на дому».
• Приказ Минздрава России № 505н от 10 июля 2019 года «Об утверждении Порядка передачи от медицинской организации пациенту (его законному представителю) медицинских изделий, предназначенных для поддержания функций органов и систем организма человека, для использования на дому при оказании паллиативной медицинской помощи».
• Приказ МЗ РФ № 831 от 3 октября 2019 года «Об утверждении ведомственной целевой программы «Развитие системы оказания паллиативной медицинской помощи».
Прочие нормативно-правовые документы, с учетом которых разработаны клинические рекомендации:
• Международная классификация болезней, травм и состояний, влияющих на здоровье (МКБ - 10);
• Приказ МЗ РФ от 20 декабря 2012г. 1183н «Об утверждении номенклатуры должностей медицинских работников и фармацевтических работников».
• Приказ МЗ РФ от 23 июля 2010 г. 541н. Единый квалификационный справочник должностей руководителей, специалистов и служащих, раздел Квалификационные характеристики должностей работников в сфере здравоохранения.
• Федеральный закон от 25,12,2018 № 489 489-ФЗ «О внесении изменений в статью 40 Федерального закона Об обязательном медицинском страховании в Российской Федерации и Федеральный закон Об основах охраны здоровья граждан в Российской Федерации по вопросам клинических рекомендаций».
• Приказ Минздрава России № 103н от 28,02,2019 г. Об утверждении порядка и сроков разработки клинических рекомендаций, их пересмотра, типовой формы клинических рекомендаций и требований к их структуре, составу и научной обоснованности, включаемой в клинические рекомендации информации».
• Приказ Минздрава России от 13,10,2017 N 804н Об утверждении номенклатуры медицинских услуг .
• Приказ Министерства труда и социальной защиты РФ от 27 августа 2019 г. n 585н О классификациях и критериях, используемых при осуществлении медико-социальной экспертизы граждан федеральными государственными учреждениями медико-социальной экспертизы ;
• Приказ Министерства здравоохранения и социального развития Российской Федерации «О порядке применения лекарственных средств у больных по жизненным показаниям» от 9 августа 2005 г. 494.
• Информационное письмо Минздрава России по возможности закупки лекарственного препарата по торговому наименованию (https://www.rosminzdrav.ru/news/2019/12/18/13043-minzdrav-podgotovil-informatsionnoe-pismo-po-vozmozhnosti-zakupki-lekarstvennogo-preparata-po-torgovomu-naimenovaniyu);
• Перечень специализированных продуктов лечебного питания для детей-инвалидов на 2020 год, Распоряжение Правительства Российской Федерации от 11 декабря 2019 года № 2984-р.
Приложение А3,2 Этиопатогенетическая классификация ГФА.
| Код OMIM | Название Патологии | Фермент | Ген | Локализация гена |
| 261600 | Гиперфенилаланемия ФАГ-дефицитная (ФКУ) | фенилаланин4-гидроксилаза (РАН) | РАН | 12q22q24,2 |
| 261640 | Гиперфенилаланинемия вH4-дефицитная (тип A) | 6-пирувоил- тетрагидро- птеринсинтаза (PTPS) | PTS | 11q22,3q23,3 |
| 233910 | Гиперфенилаланинемия вH4-дефицитная (тип в) | гуанозин-трифосфат- циклогидролаза (GTPCH) | GCHI | 14q22,1q22,2 |
| 261630 | Гиперфенилаланинемия вH4-дефицитная (тип с) | дигидро-птеридин- редуктаза (DHPR) | QDPR | 4p15,31 |
| 264070 | Гиперфенилаланинемия вH4-дефицитная (тип D) | птерин-4-альфакарбиноламиндегидратаза (PCD) | PCBD | 10q22 |
| 182125 | ДОФА-зависимая дистония вH4-дефицитная | сепиаптерин- редуктаза (SPR) | SPR | 2p13,2 |
| 617384 | Гиперфенилаланинемия не-BH4-дефицитная | J-домен-содержащий белок 1 (JDP1) | DNAJC12 | 10q21,3 |
*http://www.ncbi.nlm.nih.gov/omim/?term=HPA вlau монография.
Приложение А3,3 Диагностические показатели фенилананина и птеринов в крови, моче и спинномозговой жидкости.
| Показатели/ фермент | Phe (К) | Neo (М) | вio (М) | Pri (М) | Neo (СМж) | вio (СМж) | SHIAA (СМж) | HVA (СМж) | SMTHF (СМж) | активность DHPR (К) |
| AdGTPСH | N | N | N | N | ↓ | ↓ | N-↓ | ↓ | N | N |
| ArGTPСH | ↑ | ↓ | ↓ | N | ↓ | ↓ | ↓ | ↓ | N | N |
| PTPS | ↑ | ↑ | ↓ | N | ↑ | ↓ | ↓ | ↓ | N | N |
| SR | N | N | N | N | N | ↑ | ↓ | ↓ | N | N |
| PCD | ↑ | ↑ | N-↓ | ↑ | N | N | N | N | N | N |
| DHPR | ↑ | N | ↑ | N | N | ↑ | ↓ | ↓ | N-↓ | ↓ |
* AdGTPСH - аутосомно доминантный дефицит гуанозин-трифос-фат-циклогидролазы I; ArGTPСH - аутосомно рецессивный дефицит гуанозин-трифосфат-циклогидролазы I, PTPS - 6-пирувоилтетрагидроптеринсинтаза, SR - сепиаптеринредуктаза, PCD - птерин-4-альфа-карбиноламиндегидратаза, DHPR - дигидроптеридинредуктаза, Phe -фенилаланин, Neo - неоптерин, вio - биоптерин, Pri - примаптерин,SHIAA - S-гидроксииндолуксусная кислота, HVA - гомованилиновая кислота, SMTHF - 5-метитетрагидрофолат, К - кровь, М - моча, СМж -спиномозговая жидкость.
Приложение А3,4 Алгоритм молекулярно-генетической диагностики пациентов с ГФА.
Поиск мутаций гена PAH.Комментарий: Вне зависимости от диагностической концентрации ФА, наиболее частой (98%) причиной всех ГФА являются мутации в гене PAH. Поиск мутаций гена PAH является молекулярно-генетическим исследованием, которое следует назначать в первую очередь. Исключением являются пациенты с проведенным исследованием птеринов мочи или крови, по результатам которого можно однозначно заподозрить вH4-дефицитную ГФА.
1. Поиск частых мутаций гена PAH.
Исследование кодирующей последовательности гена PAH (секвенирование по Сенгеру или массовое параллельное секвенирование с последующим подтверждением результатов методом секвенирования по Сенгеру).
2. Поиск делеций и дупликаций гена PAH (метод MLPA).
Комментарий: В случае не обнаружения одной или обеих мутаций гена PAH после поиска частых мутаций (a) последовательно назначаются исследования (b), (c). Если в результате полного исследования гена PAH обе мутации не были обнаружены, следует проводить исследование генов по алгоритму ниже.
Поиск мутаций в генах PTS, QDPR, GCH1, PCBD1, SPR, DNAJC12.
Комментарий: В случае наличия результатов биохимических исследований, подтверждающих наличие у пациента определенной формы вH4-дефицитной ГФА, можно приступить сразу к исследованию соответствующего гена. В противном случае, рекомендуется проводить исследование генов в указанной последовательности: PTS, QDPR, GCH1, PCBD1, SPR, DNAJC12 (по частоте встречаемости). В случае использования методом массового параллельного секвенирования возможно исследование вышеперечисленных генов одновременно.
Приложение А3,5 Информированное согласие законного представителя ребенка с ГФА о необходимости лечения и соблюдения требований врача.
Я, __________________________________________________________________________.(Ф.И.О. полностью).
Являюсь законным представителем (мать, отец, усыновитель, опекун, попечитель) ребенка или лица, признанного недееспособным.
_____________________________________________________________________________.
(Ф.И.О. ребенка или недееспособного гражданина - полностью, год рождения).
Осведомлен о необходимости соблюдения требований врача и лечения.
Мне даны полные и всесторонние сведения о характере, степени тяжести заболевания, возможных осложнениях, включая данные о результатах обследования, прогнозе, возможных вариантах медицинского вмешательства (обследования, лечения), и ожидаемых результатах проводимого лечения.
Мне подробно в доступной для меня форме разъяснены возможные последствия несоблюдения требований врача и лечения (умственная отсталость, эпилептические приступы ). Я осознаю, что несоблюдение требований врача и лечения отрицательно скажется на состоянии здоровья ребенка и даже может привести к неблагоприятному исходу.
___________ ___________________________________________________ «___»____20__г.
(подпись) (Ф.И.О. гражданина или его законного представителя).
___________ ___________________________________________________ «___»____20__г.
(подпись) (Должность и Ф.И.О. медицинского работника).
Приложение А3,6 Химический состав и возраст применения специализированных продуктов на основе аминокислот без ФА.
(в 100 г сухого продукта/100 мл готового жидкого продукта)* [16, 25, 27, 31, 53].| Наименование продукта | Белок (эквивалент), г | Жир, г | Углеводы, г | Энергетическая ценность, ккал | Возраст применения | |
| Афенилак 13**** | 13 | 25 | 52 | 485 | 0-12 мес | |
| Афенилак 15**** | 15 | 23 | 51,7 | 474 | ||
| Афенилак 20**** | 20 | 18 | 50,4 | 444 | старше 1 года | |
| Афенилак 40**** | 40 | 13,5 | 31 | 405 | ||
| Нутриген PREMIUM 14-phе**** | 14 | 23 | 50,4 | 471 | 0-12 мес | |
| Нутриген PREMIUM 20-phе**** | 20 | 18 | 50,4 | 444 | старше 1 года | |
| Нутриген PREMIUM 40-phе**** | 40 | 13 | 31,4 | 403 | ||
| Нутриген PREMIUM 70-phе**** | 70 | 0 | 4,5 | 298 | старше 7 лет, взрослые, беременные женщины | |
| Нутриген 30**** | 30 | 0 | 54,1 | 336 | старше 1 года | |
| Нутриген 70**** | 70 | 0 | 6,9 | 308 | старше 7 лет, взрослые, беременные женщины | |
| Нутриген 75**** | 75 | 0 | 1,3 | 305 | ||
| PKU Анамикс Инфант**** | 13,1 | 23 | 49,5 | 457 | 0-12 мес | |
| П-АМ 1**** | 75 | 0 | 0 | 300 | от 1 до 4 лет. | |
| П-АМ 2**** | 75 | 0 | 0 | 300 | с 4 до 12 лет | |
| П-АМ 3**** | 75 | 0 | 0 | 300 | старше 13 лет | |
| ХР Максамейд**** | 25 | менее 0,5 | 51 | 309 | от 1 до 8 лет | |
| ХР Максамум**** | 39 | менее 0,5 | 34 | 297 | старше 8 лет, взрослые, беременные женщины | |
| PKU Лофлекс LQ Juicy вerries жидкий**** | 100 | 16 | 0 | 7 | 394 | старше 4 лет, взрослые, беременные женщины |
| 62,5 | 10 | 0 | 4,4 | 246 | ||
| PKU Nutri 2 Energy **** | 27 | 14 | 42 | 402 | старше 1 года | |
| PKU Nutri 3 Energy**** | 35,4 | 12,6 | 44 | 387 | старше 9 лет, взрослые, беременные женщины | |
| PKU Nutri 2 сoncentrated**** | 60 | 0 | 10 | 280 | старше 1 года | |
| PKU Nutri 3 сoncentrated**** | 70 | 0 | 4,3 | 297 | старше 9лет, взрослые, беременные женщины | |
| сOMIDA-PKU А формула + LCP**** | 11,8 | 27,4 | 52,6 | 506 | 0-12 мес | |
| сOMIDA-PKU В**** | 73 | 0,5 | 296 | старше 1 года | ||
| сOMIDA-PKU В формула**** | 31,1 | 15 | 40,6 | 424 | ||
| сOMIDA-РKU С**** | 75 | 0 | 0,4 | 302 | старше 7 лет | |
| сOMIDA-PKU С формула**** | 45 | 0 | 38,9 | 335 | ||
| МD мил ФКУ-0**** | 13 | 23 | 59 | 495 | 0-12 мес | |
| МD мил ФКУ-1**** | 20 | 0 | 73 | 372 | старше 1 года | |
| МD мил ФКУ-2**** | 40 | 6,1 | 46,9 | 402 | ||
| МD мил ФКУ-3**** | 69,1 | 0 | 23 | 368 | старше 1 года, взрослые и беременные женщины | |
| МD мил ФКУ Премиум**** | 69,1 | 1,9 | 23 | 385 | ||
| МD мил ФКУ MAXI**** | 75 | 0 | 14 | 356 | старше 1 года | |
* список продуктов представлен в соответствии с Распоряжением правительства Российской Федерации от 11 декабря 2019 г. 2984-р «Об утверждении перечня специализированных продуктов лечебного питания для детей-инвалидов на 2020 г.
Приложение А3,7 Список низкобелковых и безбелковых специализированных продуктов, зарегистрированных на территории Российской Федерации.
| Вид продуктов низкобелковых специализированных* | Среднее количество белка в 100 г готового продукта | Производители, чья продукция зарегистрирована в Российской Федерации | Возраст применения | |||
| Мука низкобелковая для выпечки хлеба, оладий, хлебобулочных и кондитерских изделий (в виде полуфабрикатов) | ≤ 1 г | ФГБНУ Всероссийский научно-исследовательский институт крахмалопродуктов МакМастер (Россия) вalviten Польша Лопрофин (Нутриция) ЗАО Ифаприм (Россия) Doctor Schär AG/SPA (Германия, Италия | Старше 1 года, включая подростков, взрослых, беременных женщин с ФКУ | |||
| Макаронные изделия низкобелковые в ассортименте (вермишель, макароны ) | ||||||
| Низкобелковые хлебобулочные изделия готовые (хлеб ) | ||||||
| Низкобелковые кондитерские изделия (печенье, вафли ) | ||||||
| Низкобелковые полуфабрикаты на основе крахмалов для приготовления супов, пюре, овощных котлет и других блюд. | ||||||
| Низкобелковые крупы ( саго, рис ) | ||||||
| Низкобелковый заменитель яиц | ||||||
| Безбелковые сухие напитки с молочным вкусом | ||||||
| Содержание фенилаланина, основных пищевых веществ и энергии некоторых крахмалосодержащих низкобелковых продуктов, используемых в питании пациентов с фенилкетонурией (100 г продукта) | ||||||
| ФА | белки | жиры | углеводы | ккал | ||
| Саго искусственное | 40 | 0,8 | 0,2 | 86,5 | 360,0 | |
| Макаронные изделия малобелковые | 50 | 1,0 | 0,6 | 85,0 | 358,0 | |
| Крахмал картофельный | 5,0 | 0,1 | - | 78,2 | 313 | |
| Крахмал кукурузный | 50 | 1,0 | 0,6 | 83,5 | 343 | |
| Крахмал пшеничный | 20 | 0,4 | 0,1 | 86,8 | 367,0 | |
| Крахмал амилопектиновый набухающий | 50 | 1,0 | 0,6 | 85,2 | 329,0 | |
| Хлеб безбелковый | 35 | 0,7 | 2,5 | 58,9 | 276,0 | |
| Полуфабрикат низкобелковый для приготовления блинов и оладий | 95 | 1,9 | 1,0 | 90,5 | 417,5 | |
| Глюкозная помадка с фруктовыми добавками | 30−100 | 0,6−2,0 | 0,1−1,0 | 71,0−73,0 | 300−310 | |
Приложение А3,8 Нормы физиологической потребности в основных нутриентах для здоровых детей различных возрастных групп и взрослых.
Среднесуточные нормы потребностей в основных пищевых веществах и энергии для детей первого года жизни (на кг массы тела) [24].| Возраст (мес.) | Энергия, ккал/ кг | Белок, г/кг | Жиры, г/кг | Углеводы, г/кг |
| 0-3 | 115 | 2,2 | 6,5 | 13 |
| 4-6 | 115 | 2,6 | 6,0 | 13 |
| 7-12 | 110 | 2,9 | 5,5 | 13 |
Среднесуточные нормы физиологической потребности в основных пищевых веществах и энергии для детей старше года [24].
| Возраст | Энергия, ккал | Белок, г/день* | Жиры, г/день | Углеводы, г/день |
| от 1 года до 2 лет | 1200 | 36 (28) | 40 | 174 |
| от 2 лет до 3 лет | 1400 | 42 (33) | 47 | 203 |
| от 3 лет до 7 лет | 1800 | 54 (46) | 60 | 261 |
| от 7 лет до 11 лет | 2100 | 63 (54) | 70 | 305 |
| от 11 лет до 14 лет мальчики | 2500 | 75 (64) | 83 | 363 |
| от 11 лет до 14 лет девочки | 2300 | 69 (59) | 77 | 334 |
| от 14 лет до 18 лет юноши | 2900 | 87 (74) | 97 | 421 |
| от 14 лет до 18 лет девушки | 2500 | 76 (64) | 83 | 363 |
Примечание: * В скобках указано ориентировочное потребление белка за счёт специализированной смеси без ФА.
Приложение А3,9 Минимальное допустимое количество ФА в питании пациентов с ГФА в зависимости от возраста.
| Возраст детей | Количество ФА | |
| мг/кг/сутки* | мг/сутки** | |
| от 0 до 2 месяцев | 90-60 | 130-430 |
| 2-6 месяцев | 55-45 | 135-400 |
| 6- 9 месяцев | 40-35 | 145-370 |
| 9 - 12 месяцев | 135-330 | |
| 1-3 | 35-25 | 200-320 |
| 3-7 | 25-20 | 200-1100 |
| 7 и старше | 20-10 | |
| Беременные и кормящие женщины** | ||
| Триместр 1 | 265-770 | |
| Триместр 2 | 400-1650 | |
| Триместр 3 | 700-2275 | |
| Период лактации | 700-2275 | |
Примечание: *- [23]; ** - [4, 20].
Недостающее количество белка восполняется за счет специализированных лечебных продуктов ― смесей аминокислот без ФА и низкобелковых продуктов питания. Аминокислотные смеси различаются по содержанию белка (от 13 г до 77,5 г на 100 г сухого продукта) и других питательных веществ (углеводы, жиры, витамины, микро- и макроэлементы). Все смеси в своем составе не содержат ФА. Аминокислотные смеси с содержанием 13−15 г белка в 100 г сухой смеси предназначены для детей первого года жизни. Детям старше 1 года, подросткам, взрослым, включая беременных женщин, назначаются смеси с более высоким содержанием белка (Приложение А3,3). Расчет суточной дозы специализированного продукта производится по формуле: (Ps-Pn) × 100,.
P.
Где Ps ― суточное количество белка, Pn ― белок естественных продуктов, P ― белковый эквивалент в 100 г сухого специализированного продукта. Принцип расчета гипофенилааниновой диеты показан на примере расчета питания 3-хлетнему ребенку с ФАГ-зависимой ГФА (ФКУ).
Приложение А3,10 Пример расчета питания ребенку с ФАГ-зависимой ГФА.
Пациент 3 года, масса тела 14,5 кг.1. Общее суточное количество белка в рационе больного ( см табл.5): 54,0г.
2. Допустимое суточное количество ФА ( см табл.6):
25 х 14,5 = 363 мг.
3. Допустимое количество белка естественных продуктов (1г белка содержит 50 мг ФА):
З6З:50 = 7,3 г.
4. Количество белка за счет специализированного продукта на основе смеси L-аминокислот без ФА:
54,0 - 7,3 = 46,7 г.
5. Суточное количество аминокислотной смеси (100 г содержит 20 г белка):
46,7 x 100:20 = 233 г.
6. Рекомендуемое суточное количество жира в рационе ( см табл.5): 60 г.
7. Рекомендуемое суточное количество углеводов ( см табл.5): 261 г.
Приложение А3,11 Схема терапии при различных ВН4-дефицитных состояниях.
Схема терапии при различных ВН4-дефицитных состояниях (с/без гиперфенилаланинемии) *.| Средства терапии Ферменты | Сапрптерин** | Леводопа+[Карбидопа]** | 5-гидрокси триптофан (биологически активная добавка) | Диета с низким ФА | Фолиевая кислота** |
| GTPCH | + | + | + | - | - |
| DRD/аутосомно-доминантный тип GTPCH | - | + | - | - | - |
| PTPS умеренная форма | + | - | - | - | - |
| PTPS тяжелая форма | + | + | + | - | - |
| DHPR | - | + | + | + | + |
| SR | - | + | + | - | - |
| PCBD | + | + | + | - | - |
Примечание: *-таблица составлена по данным N. Blau 2014.
Приложение А3,12 Тест на чувствительность к сапроптерину**.
Тестирование потенциальной чувствительности к сапроптерину** и дальнейшее лечение им проводит и контролирует врач, который осуществляет наблюдение пациентов с ГФА. Для более тщательного контроля тест целесообразно проводить в стационаре, возможно дневного пребывания, при удовлетворительной комплаентности пациента - амбулаторно. Перед проведением тестирования у родителей (законных представителей) ребенка, а также у пациентов старше 14 лет берут информированное согласие (приложение А3,13) на проведение данной процедуры, проводится предварительная беседа, в которой разъясняются цели и задачи тестирования, роль родителей и самого пациента в обеспечении и выполнении условий проведения теста.Важными условиями тестирования являются.
• ведение пищевого дневника и стабильная гипофенилаланиновая диета с целью исключения ее влияния на колебания концентрации ФА в крови;
• необходимость тесного взаимодействия с врачом для своевременного сообщения о нежелательных явлениях, интеркуррентных заболеваниях или других событиях, способных повлиять на результат тестирования;
• образцы крови для определения ФА следует собирать непосредственно перед введением сапроптерина**, а затем 2-5 проб в течение периода испытаний в одно и то же время дня, желательно натощак;
• измерение ФА в сухих образцах крови проводить одним и тем же методом.
Тестирование может быть проведено с 1 года с целью выявить ВН4 дефицитные формы ГФА, что не исключает повторного проведения теста в более старшем возрасте для определения чувствительности к сапроптерину** у больных с ФАГ зависимой формой ГФА.
Можно использовать различные схемы тестирования (короткие схемы - 24 час, 48 часов, 7 дней, длительные схемы - от 28 дней и более). Длительность тестирования и кратность взятия крови во время тестирования определяет врач, руководствуясь при этом данными исследований по оптимальному проведению теста [28].
Для получения наиболее информативного результата целесообразно использовать для тестирования максимальную дозировку препарата (20 мг/кг). Суточная доза рассчитывается индивидуально для каждого пациента в соответствии с инструкцией.
«Короткие» схемы тестирования.
Основным критерием эффективности препарата при коротком тестировании является снижение концентрации ФА крови на 30% и более.
Проведение теста у детей старше 1 года, подростков и взрослых пациентов.
Перед проведением тестирования стабилизируют содержание ФА в крови путем поддержания постоянства пищевого рациона в течение 4-5 дней до начала теста и в период тестирования. Тестирование начинают на фоне стабильного уровня ФА крови, при этом рассчитывается среднее значение двух показателей ФА, полученных в результате двукратного взятия крови перед началом тестирования. Целесообразно, чтобы среднее значение ФА было не ниже 450 мкмоль/л (7,5 мг/дл), поэтому «короткое» тестирование необходимо проводить в первую очередь у пациентов с повышенным содержанием ФА в крови. При нормальном содержании ФА крови, диета может быть слегка расширена (только при согласии родителей/законных представителей или самого пациента) до получения стабильных значений ФА крови не ниже 450 мкмоль/л (7,5 мг/дл).
В день первого приема препарата натощак берут анализ крови из пальца на фенилаланин, затем ребенок принимает рассчитанную дозу препарата вместе с завтраком или сразу же после завтрака. В течение 2-х (или 7-ми) дней утром в одно и то же время после завтрака (или вместе с едой) ребенок принимает препарат, разведенный в теплой воде в соответствии с инструкцией.
Повторное взятие крови проводят на 3-й (или 8-й) день строго натощак. Ответ на чувствительность к препарату оценивается по степени снижения концентрации ФА в крови больного при соблюдении стабильной гипофенилаланиновой диеты. Пациент считается чувствительным, если разница уровня ФА, полученного по окончании периода оценки ответа на лечение, и исходного уровня ФА перед началом приема препарата составляет 30% и более.
При снижении уровня ФА более 85% высока вероятность, что гиперфенилаланинемия у пациента обусловлена недостаточностью тетрагидробиоптерина (ВН4).
Примерные схемы тестирования приведены в таблицах 1-2.
Таблица 1. Двухдневная схема тестирования для определения чувствительности к сапроптерину*.
| Процедуры | До теста | Дни тестирования | ||||
| I | II | 1 | 2 | 3 | 4 | |
| Кровь натощак | Х | Х | Х | Х | ||
| Прием препарата | + | + | ||||
| Определение ответа по результатам ФА крови | * | |||||
*- кратность взятия крови может быть увеличена до 3-х раз в сутки по решению врача. Более частый контроль ФА позволяет зафиксировать момент максимального снижения концентрации ФА крови на фоне приема сапроптерина**.
Таблица 2. Семидневная схема тестирования для определения чувствительности к сапроптерину**1.
| Процедуры | До теста | Дни тестирования | |||||||||
| 7-и дневная схема | |||||||||||
| I | II | 1 | 2 | 3 | 4 | 5 | 6 | 7 | 8 | 9 | |
| Кровь натощак | Х | Х | Х | Х | |||||||
| Прием препарата | + | + | + | + | + | + | + | ||||
| Определение ответа по результатам ФА крови | Х | * | |||||||||
1- кратность взятия крови может быть увеличена до 3-х раз в сутки по решению врача. Более частый контроль ФА позволяет зафиксировать момент максимального снижения концентрации ФА крови на фоне приема сапроптерина**.
После проведения тестирования и получения положительного результата необходимо подтвердить его в ходе длительного наблюдения.
«Длительный» тест.
Основным критерием эффективности «длительного» тестирования является повышение толерантности к пищевому фенилаланину. Преимуществом такого тестирования является возможность его проведения на фоне референсных значений ФА крови у пациента ( не выше 360 мкмоль/л). При этом требуется ежедневное ведение пищевого дневника, тщательный контроль диеты, фактического потребления пациентом натурального белка и ФА.
Во время длительного теста на реакцию с сапроптерином** образцы крови для определения концентраций ФА следует собирать по возможности ежедневно, если такой возможности нет, то не реже одного раза в неделю.
Максимальная толерантность к пищевому ФА определяется путем постепенного увеличения потребления ФА (расширение диеты) при сохранении показателей ФА в крови пациента в целевом диапазоне. В соответствии с европейскими рекомендациями по диагностике и лечению ГФА повышение естественной толерантности к белку ≥100% по сравнению с исходной (до начала тестирования) при сохранении концентрации ФА крови в пределах терапевтического диапазона после 6 месяцев приема сапроптерина** является доказательством чувствительности пациента к лечению данным препаратом.
В течение пробного лечения и последующей коррекции терапии концентрация ФА в крови не должна превышать целевого значения 6 мг/дл (360 мкмоль/л). При комбинированном использовании гипофенилаланиновой диеты и сапроптерина** контроль за антропометрическими и биохимическими показателями нутритивного статуса должны быть систематическим во избежание развития дефицита основных и минорных пищевых веществ, алиментарно-зависимых состояний.
При необходимости длительная медикаментозная терапия у больных ГФА, отвечающих на лечение сапроптерином** снижением уровня ФА в крови, проводится в комбинации с диетой при использовании аминокислотных смесей, количество которых определяет врач.
Пациенты, получающие сапроптерин** требуют тщательного контроля за состоянием их нутритивного статуса и другими показателями здоровья не реже 1 раза в 6 месяцев.
Тестирование на чувствительность к сапроптерину** во время беременности.
Женщинам с ГФА настоятельно рекомендуется выполнить тест до наступления беременности. Возможность проведения 48-часового теста на чувствительность к сапроптерину** рассматривается в случаях, когда беременная женщина с ГФА не могут достичь уровня ФА ≤360 мкмоль/л в крови с помощью гипфенилаланиновой диеты. Такой подход считается оправданным, так как риск тератогенности высоких концентраций в крови матери превышает риск использования сапроптерина** во время беременности. Если тестирование было проведено ранее (в подростковом возрасте, до беременности ) и был получен положительный ответ, позволяющий расширить диету женщины с ГФА, препарат назначается ей в период прегравидарной подготовки (за 2-3 месяца до планируемого зачатия). После наступления беременности прием препарата продолжается до родов, с коррекцией дозы лекарственного препарата [26, 54].
Медикаментозная терапия при ВН4-дефицитных состояниях с ГФА является патогенетической и назначается после установления диагноза в обязательном порядке без проведения тестирования. Начальная доза сапроптерина** у больных с недостаточностью вH4 составляет от 2 до 5 мг/кг массы тела при приеме 1 раз в день. При необходимости доза сапроптерина** может быть увеличена до 20 мг/кг массы тела в день, для достижения оптимального терапевтического эффекта возможен прием препарата 2 -3 в день.
Приложение А3,13 Информированное согласие на проведение тестирования препаратом сапроптерин**.
Я, _______________________________________________________________________(ФИО),.Паспорт № ____________, выдан ___________________________________________________.
Проинформирован (-а) о том, что препарат сапроптерин** (Сапроптерина** дигидрохлорид) является синтетическим аналогом природного тетрагидробиоптерина и является средством для лечения больных с наследственными нарушениями обмена веществ (нужное подчеркнуть) - фенилкетонурии, чувствительной к лечению сапроптерином**, и нарушений обмена тетрагидробиоптерина (атипичная, кофакторная, тетрагидробиоптерин-зависимая форма фенилкетонурии), которым страдает мой ребенок (ФИО) _______________________________________________________________, ____________ г.р.
Я информирован(-а) о том, что для подтверждения чувствительности к лечению сапроптерином**, необходимо провести тестирование, целью которого является подтвердить снижение уровня фенилаланина в крови на фоне применения сапроптерина** в соответствии с имеющимися международными стандартами (30% и более).
Я информирован(-а) о том, что в случае подтверждения чувствительности к терапии сапроптерином**, данное лечение будет предоставлено моему ребенку только после подтверждения государственного финансирования.
Я информирован(-а) лечащим врачом о том, что в процессе применения сапроптерина** могут развиваться побочные эффекты, наиболее частыми из которых являются:
• Незначительная головная боль.
• Насморк, заложенность носа.
• Боль в горле.
• Кашель.
• Желудочно-кишечные расстройства: понос, рвота, боли в животе.
• Гипофенилаланинемия.
• Могут быть другие побочные эффекты, о которых пока не известно.
Я обязуюсь обеспечить моему ребенку стабильную диету и не вносить в нее никаких изменений в период проведения тестирования.
Я обязуюсь сообщать лечащему врачу обо всех побочных эффектах, нежелательных явлениях и изменениях в состоянии моего ребенка, развившихся во время применения сапроптерина**.
Я информирован(-а) о том, что я имею право отказаться от лечения препаратом в любое время, о чем обязуюсь уведомить лечащего врача в течении суток.
Я информирован(-а) о рекомендуемой дозе препарата, схеме лечения и ожидаемых результатах терапии.
Моя подпись под данным согласием означает, что текст данного согласия прочитан, в нем все понятно, на все вопросы я получил(-а) удовлетворившие меня ответы, с предложенным планом лечения согласен(-а).
___________________________.
(число, месяц, год).
Законный представитель (мать/отец/другой родственник).
______________________________________ (подпись).
______________________________________ (Ф.И.О.
Лечащий врач__________________________(подпись).
______________________________________ (Ф.И.О.
ЛПУ: ____________________________________________.
Приложение A3,14 Взятие биоматериала для проведения диагностики в пятнах крови.
| Кровь собирается на стандартную карточку-фильтр (№903), которая применяется для скрининга новорожденных в Российской Федерации или аналогичную для получения сухого пятна крови. Кровь может быть, как капиллярная (из пальца, пятки), так и венозная. Венозная кровь собирается в пробирку, аккуратно перемешивается и затем быстро с помощью пипетки наносится на фильтр по 25-50 мкл крови на каждую выделенную область. Необходимо хорошо пропитать выделенную область на фильтре ( 1). Предпочтительно собирать образцы после еды через 40 минут - 1 час. Возможно также осуществить забор крови и натощак. На карточке-фильтре обязательно должны быть четко указаны ФИО, кем и откуда направлен пациент, дата рождения и телефон лечащего врача (рисунок 2). Образец сухого пятна крови вкладывается в чистый конверт, либо в чистый файл. Карточка-фильтр не должна соприкасаться с грязной поверхностью и с образцами других пациентов. Необходимо приложить к образцам информированные согласия пациента или его законных представителей на проведение лабораторных исследований | Рисунок 1. Образец правильного нанесения крови на карточку-фильтр Рисунок 2. Образец карточки-фильтра |
Алгоритм действий медицинского персонала при взятии образцов крови.
• вымыть руки (гигиенический уровень), надеть перчатки;
• вымыть руки пациента (пятку ребенка в случае, если кровь берется из пятки);
• протереть область прокалывания стерильной салфеткой, смоченной 70% спиртом, промокнуть сухой стерильной салфеткой; - проколоть стерильным одноразовым скарификатором;
• снять первую каплю крови стерильным сухим тампоном;
• мягко надавить для получения второй капли крови;
• приложить перпендикулярно тест-бланк к капле крови и пропитать его кровью насквозь;
• аналогичным образом нанести на тест-бланк 6-8 капель, вид пятен крови должен быть одинаковым с обеих сторон.
• высушить тест-бланк в горизонтальном положении на чистой обезжиренной поверхности не менее 4 ч без применения тепловой обработки и попадания прямых солнечных лучей;
• упаковать тест-бланки в чистый конверт таким образом, чтобы пятна крови не соприкасались.
Особенности при инфузионной терапии.
Некоторые пациенты могут получать инфузионную терапию, переливание компонентов крови, что может оказать влияние на результаты тестов. Например, при переливании плазмы крови могут быть получены ложноотрицательные результаты. Рекомендуется осуществить забор крови для анализа метаболитов и ДНК-диагностики не 9 ранее чем через 6-7 дней после переливания плазмы крови и через 7-10 дней после переливания компонентов крови.
Не допускается забор крови.
• сразу после проведения пациенту инфузионной терапии;
• сразу после заменого переливания крови.
Хранение и транспортировка биоматериала.
Образцы высушенных пятен крови можно хранить в обычной камере холодильника при +40С до отправки. Срок хранения до момента отправки не должен превышать 7 дней.
Приложение В.
Информация для пациентов.Что такое фенилкетонурия.
Фенилкетонурия (ФКУ) - это наследственное заболевание, характеризующееся нарушением метаболизма фенилаланина (ФА, незаменимая аминокислота, которая не синтезируется в организме, поступает с пищей ― продуктами животного происхождения, в том числе с грудным молоком и детскими молочными смесями). ФКУ - целая группа заболеваний различной тяжести. В России примерно 1 на 7-8 тысяч новорожденных детей, а всего более 200 детей в год, рождается с этим заболеванием.
При отсутствии своевременной диагностики и лечения заболевание проявляется обычно в возрасте 2−6 месяцев жизни признаками поражения центральной нервной системы: родителей беспокоят вялость ребенка, отсутствие интереса к окружающему, иногда повышенная раздражительность, беспокойство, срыгивания, нарушение мышечного тонуса (чаще мышечная гипотония), признаки атопического дерматита, задержка психомоторного развития, иногда судороги. С возрастом дети имеют тяжелое поражение нервной системы вплоть до умственной отсталости и эпилепсии. При своевременно назначенном патогенетическом лечении жалобы имеют более легкий характер или отсутствуют.
Как врачи обнаруживают, что ребёнок болен.
С целью ранней диагностики и профилактики развития указанных симптомов всем новорожденным проводится неонатальный скрининг в родильном доме на 3-7 день жизни.
Результаты данного обследования сообщаются родителям по телефону.
Родители обязаны внимательно отнестись к полученной из центра неонатального скрининга информации и немедленно явиться на прием к врачу и/или связаться с ним по телефону, даже если у ребенка отсутствуют клинические симптомы. Решение о назначении и характере диетотерапии принимает врач.
Какие проблемы вызывает фенилкетонурия.
Пища, которую мы едим, содержит белки, состоящие из отдельных аминокислот. При фенилкетонурии одна из этих аминокислот, которая называется фенилаланин, не усваивается организмом обычным образом. Из-за этого ФА накапливается в крови ребенка. Без лечения это приводит нарушению развития мозга. Но это можно предупредить, если уменьшить количество белка в пище. Таким образом, Ваш ребенок нуждается в специальной низкобелковой диете.
Диета, с одной стороны, должна содержать мало ФА, но, с другой стороны, быть сбалансированной для обеспечения роста и развития малыша. Ваш врач-генетик поможет лучше понять ситуацию, чтобы она была ясна Вам полностью.
Что делать родителям.
За исключением диеты, относитесь к ребенку как к здоровому, не старайтесь избыточно опекать его.
Диета поначалу кажется сложной, но врачи-генетики и диетологи окажут Вам максимальную поддержку и помощь, всегда, когда Вы будете в ней нуждаться.
Будет ли ребенок нормально расти и развиваться.
Для всех детей с ФКУ, которые своевременно начали лечение, ответ один - ДА. Если лечение Вашего ребенка проводится постоянно, ребенок растет и развивается нормально.
Но, если контроль за соблюдением диеты недостаточный, это может вызвать проблемы обучения и поведения ребенка. Ребенок не сможет добиться тех успехов, которых он бы достиг при тщательном соблюдении диеты.
Это пожизненная диета.
В настоящее время считается, что наиболее благоприятно пожизненное соблюдение диеты. Жесткое соблюдение диеты необходимо у женщин с ФКУ непосредственно перед и во время беременности для предупреждения развития пороков плода. Диетотерапия, основанная на резком ограничении ФА в рационе больных детей за счет исключения высокобелковых продуктов, должна быть начата не позднее первых недель жизни ребенка с целью достижения максимальной эффективности лечения. Недостающее количество белка восполняется за счет специализированных лечебных продуктов, частично или полностью лишенных ФА [23].
Назначение патогенетической диетотерапии с первых дней жизни ребенка определяет благоприятный прогноз течения фенилкетонурии.
Основные принципы диеты при ФКУ.
Обычное питание, рассчитанное на здорового ребёнка, содержит гораздо больше фенилаланина, чем может усвоить ребёнок с ФКУ. Таким образом, лечение состоит в диете, содержащей ровно столько фенилаланина, сколько необходимо для роста и развития ребёнка.
Мясо, рыба, сыр, яйца, орехи, молоко, соя богаты белком и, таким образом, не могут использоваться в диете. Другие продукты, содержащие меньшее количество белка, такие как картофель и злаки, даются в таком количестве, чтобы уровень фенилаланина, который должен регулярно проверяться, оставался в безопасных пределах. Прием этих продуктов должен быть равномерно распределен в течение дня. Разрешенное количество каждого продукта со временем может меняться даже у одного ребёнка.
Большинство фруктов, почти все овощи, в том числе листовые, сахар, варенья, сиропы и жиры, такие как сливочное масло, свиное сало, растительное масло, могут использоваться относительно свободно. Кроме того, существуют специально разработанные и производимые промышленным образом продукты питания для детей с ФКУ, содержащие мало белка. К ним относятся специальный хлеб, макаронные изделия, печенье и вафли, молоко и другие изделия, которые можно использовать достаточно свободно для того, чтобы разнообразить питание малыша. Вы можете готовить их обычным способом (жарить, варить, печь ), добавляя травы и специи по вкусу.
Высокобелковые продукты, такие как мясо, рыба, сыр, яйца, которые не может есть Ваш ребенок, заменяются специальной аминокислотной смесью, в которой отсутствует фенилаланин. Эти заменители белка употребляются в виде напитков или паст, а у более старших детей могут быть в форме таблеток. Эти смеси выдаются по рецепту врача и обеспечивают ребенка «безопасным» белком для его роста и развития. Врач-генетик подробно расскажет Вам, как правильно готовить и принимать такую смесь.
Заменители белка - крайне важная часть диеты при ФКУ. Они даются в несколько приемов в течение дня. Это помогает удержать уровень фенилаланина крови в безопасных границах.
В диете ребёнка также важны минералы и витамины. Если они уже не включены в заменитель белка, Ваш врач назначит необходимые количества этих веществ в виде дополнительных добавок к пище. Давайте ребенку только те препараты, которые назначит врач.
При каких формах ФКУ возможна медикаментозная терапия.
Для некоторых форм ФКУ разработана медикаментозная терапия. Эффективность лекарственного препарата определяется с помощью тестирования.
Тестирование проводит, контролирует и оценивает врач, который осуществляет лечение и наблюдение пациентов с ФКУ. Для более тщательного контроля тест целесообразно проводить в стационаре, возможно дневного пребывания, при строгом соблюдении пациентом рекомендаций врача по проведению теста - амбулаторно.
Перед проведением тестирования очень важно стабилизировать содержание фенилаланина в крови путем соблюдения неизменного пищевого рациона в течение 4-5 дней до начала теста и в период тестирования для исключения влияния диеты на колебания концентрации ФА в крови. После получения положительного результата тестирования необходимо подтвердить его в ходе более длительного наблюдения.
Повышение толерантности к пищевому ФА на фоне приема синтетических аналогов ВН4 является показанием для расширения диеты, при этом концентрация ФА не должна превышать 6 мг/дл. При комбинированном использовании гипофенилаланиновой диеты и синтетического аналога ВН4 контроль за химическим составом диеты, антропометрическими и биохимическими показателями нутритивного статуса пациента, ФА крови должны быть систематическим.
Пациенты, получающие синтетический аналог ВН4 требуют тщательного контроля за состоянием их нутритивного статуса и другими показателями здоровья.
Чтобы лечение было эффективным, родители и члены семей, где есть пациенты с ФКУ, сами пациенты должны быть в тесном контакте со своим лечащим врачом и выполнять все его назначения.
Как это коснется других детей в нашей семье.
Учитывая аутосомно-рецессивный тип наследования, мать и отец больного ребенка являются носителями болезни, хотя они совершенно здоровы. При каждой беременности риск родить больного ребенка составляет 1 шанс из 4, то есть достаточно высокий риск повторного рождения в семье больного ребенка. Поэтому показано медико-генетическое консультирование, чтобы помочь семье родить здорового ребенка. Также медико-генетическое консультирование необходимо всем пациентам с ФКУ репродуктивного возраста.
Взрослым пациентам с ФКУ (независимо от пола) следует знать, что если у их партнера нет мутаций в гене ФАГ, то в данном браке все дети будут только носителями, и болезнь не повлияет на их здоровье. С другой стороны, если партнер пациента с ФКУ имеет мутацию в гене ФАГ, то 50% их детей могут страдать фенилкетонурией. Если оба родителя являются пациентами с ФКУ, то все их дети также будут иметь данное заболевание и должны будут получать одинаковое с родителями лечение. Женщинам репродуктивного возраста с установленным ранее диагнозом ФКУ рекомендуется заранее планировать беременность, предварительно проконсультироваться у гинеколога и генетика и строго выполнять их назначения. Эти меры необходимы для снижения риска рождения у женщин с ФКУ младенцев с различными врожденными пороками развития (синдромом «материнской ФКУ»).
Памятка будущим мамам с диагнозом «фенилкетонурия» а также родителям девочек с фенилкетонурией.
Это важно знать.
Нужно помнить, что после окончания специализированного лечения у Вас в крови остается высокое содержание фенилаланина и его производных. На Ваш организм это не оказывает вредного воздействия. Но если вы собираетесь стать матерью, то высокий уровень фенилаланина у вас в крови остановится «грозным врагом» Вашего будущего ребенка. Повышенный уровень фенилаланина в крови беременной женщины, страдающей ФКУ, вызывает у плода тяжелые пороки развития сердечно сосудистой системы, головного мозга, задержку физического развития, интеллектуального развития, эпилепсию. Высокая концентрация фенилаланина и его производных в крови во время беременности является «ядом» для развивающего организма малыша.
Что нужно сделать, чтобы предотвратить рождение больного ребенка:
• Посетить медико-генетическую консультацию при планировании беременности. Если Вам не выполняли ДНК-диагностику, следует провести ДНК-диагностику Вам и Вашему партнеру.
• Встать на учёт в медико-генетической консультации и начать лечение за 2-3 месяца до планируемой беременности. В этот период перейти на строгую гипофенилаланиновую диету с применением специализированного продукта лечебного питания (аминокислотная смесь с низким значением ФА). Уровень фенилаланина в крови на этом этапе не должен превышать 360 мкмоль/л (6 мг/дл).
• После наступления беременности уровень фенилаланина в крови должен оставаться в пределах 120- 240 мкмоль/л (2-4 мг/дл). До 12 недель беременности контроль уровня фенилаланина должен проводится не реже один раз в неделю. После 12 недель- не реже 1 раз в 2 недели. Врач медико-генетической консультации составит оптимальный расчёт специализированной диеты и дозы специализированного продукта лечебного питания.
Только соблюдение вышеуказанных действий, постоянное наблюдение врача медико-генетической консультации, плановый контроль уровня фенилаланина в крови позволит избежать серьезных осложнений развития Вашего ребенка.
Частота проведения обследования у пациентов с ГФА.
Первичная диагностика.
| Консультации врачей, лабораторные и инструментальные исследования, тестирование и терапия | Комментарий |
| Повторное определение содержания ФА в периферической крови новорожденным детям с повышенным уровнем ФА по результатам первичного теста | не позднее 3 недель от первично положительного результата |
| Молекулярно-генетическое тестирование для уточнения формы заболевания | в первый год после постановки диагноза |
| Проведен нагрузочный тест с синтетическим аналогом ВН4 (в течение не менее 48-часов) пациентам старше года с мутациями в гене PAH, которые ассоциированы с чувствительностью к вH4 | по показаниям |
| Исследование общего анализа крови для оценки основных параметров кроветворения | в первые 6 месяцев |
| Исследование общего анализа мочи с целью выявления дисметаболической нефропатии | в первые 6 месяцев |
| Исследование биохимического анализа крови общетерапевтического(содержание глюкозы, общего белка, белковых фракций, общего билирубина, холестерина, триглицеридов, липопротеидов низкой и высокой плотности, щелочной фосфатазы, креатинина, мочевины, аланинаминотрансферазы (АЛТ), аспартатаминотрансферазы (АСТ), кальция общего и ионизированного, натрия, калия, неорганического фосфора, железа, ферритина) с целью оценки баланса важнейших нутриентов при диетотерапии, оценки кальциево-фосфорного обмена, оценки состояния почек и печени | в первые 6 месяцев |
| Исследование биохимического анализа мочи (фосфаты, оксалаты, ураты) с целью оценки состояния почек, выявления дисметаболической нефропатии, кальциурии | в первые 6 месяцев |
| Проведена тандемная масс-спектрометрия пациентам с ГФА с целью определения соотношения фенилаланина/тирозина | в первый год |
| Исследование содержания птеринов в моче | не позднее 3 недель от первично положительного результата |
| 12-канальная ЭКГ для выявления дисметаболических нарушений в миокарде | в первые 6 месяцев |
| Эхокардиография при изменениях на ЭКГ | по показаниям |
| Проведено ЭЭГ и ЭЭГ-мониторинг пациентам со всеми формами ГФА при наличии неврологической симптоматики | по показаниям |
| УЗИ органов брюшной полости и почек для выявления дисметаболических нефропатий, нефрокальциноза, изменений со стороны печени и поджелудочной железы | в первые 6 месяцев |
| Консультация врача-генетика первичная (назначение и коррекция диетотерапии, осуществление контроля за адекватностью ее проведения) | не позднее 3 недель от первично положительного результата |
| Консультация врача-диетолога для анализа и коррекции диетотерапии (первично) | не позднее 3 недель от рождения |
| Консультация врача-педиатра для оценки общего состояния здоровья и определения тактики дальнейшей терапии | в первые 6 месяцев |
| Консультация врача-кардиолога и кардиологическое обследование, для своевременного выявления и/или мониторинга кардиологических изменений | в первые 6 месяцев |
| Консультация врача-невролога для своевременного выявления и/или мониторинга неврологических изменений | в первые 6 месяцев |
| Осмотр врачом-офтальмологом, включающий обследование глазного дна (офтальмоскопии) | в первые 6 месяцев |
| Консультация врача-психиатра пациентам с установленным диагнозом ГФА для оценки психиатрического статуса | по показаниям |
| Консультация медицинского психолога с оценкой интеллекта и других видов психической деятельности, используя соответствующие программы и тесты | по показаниям |
| Назначение лечения | Комментарий |
| Назначение диетотерапии после установления диагноза, чтобы предотвратить повреждение ЦНС | как можно раньше (до 3-х недель жизни) |
| Назначение синтетического аналогаВН4 пациентам с ВН4-дефицитной ГФА, с ФАГ-дефицитной ГФА, чувствительной к синтетическому аналогу ВН4 с целью предотвратить тяжелых неврологических нарушений. | после положительного тестирования синтетическим аналогом ВН4 |
| Назначение допаминергических препаратов, предшественников серотонина | в комплексном лечении пациентов с ВН4 - дефицитной ГФА |
| Назначение препаратов кальция и витамина D и его аналогов | при наличии остеопении |
| Назначение препаратов трехвалентного железа | при наличии железодефецитной анемии |
| Назначение противоэпилептических препаратов | при наличии судорожного синдрома |
Динамическое наблюдение детей с ГФА.
| Консультации врачей, лабораторные и инструментальные исследования, тестирование и терапия | Младше 12 лет | 12-18 лет | ||
| Анализ крови на ФА (утром натощак) | в возрасте до 3-х месяцев - 1 раз в неделю (до получения стабильных результатов) и далее 1 раз в 10 дней; с 1 года до 6 лет - не реже 1-2 раза в месяц; с 7 лет и старше - не реже 1 раза в 3 месяца | не реже 1 раза в 3 месяца | ||
| Анализ крови пациентам с ГФА с максимальным значением уровня ФА на протяжении длительного периода 360 мкммоль/л (6 мг/дл) | не реже 1 раза в месяц | по показаниям | ||
| Исследование общего анализа крови для оценки основных параметров кроветворения | не реже 1 раза в год | |||
| Исследование общего анализа мочи с целью выявления дисметаболической нефропатии | не реже 1 раза в год | |||
| Исследование биохимического анализа крови общетерапевтического (содержание глюкозы, общего белка, белковых фракций, общего билирубина, холестерина, триглицеридов, липопротеидов низкой и высокой плотности, щелочной фосфатазы, креатинина, мочевины, аланинаминотрансферазы (АЛТ), аспартатаминотрансферазы (АСТ), кальция общего и ионизированного, натрия, калия, неорганического фосфора, железа, ферритина) с целью оценки баланса важнейших нутриентов при диетотерапии, оценки кальциево-фосфорного обмена, оценки состояния почек и печени | не реже 1 раза в год | |||
| Исследование биохимического анализа мочи (фосфаты, оксалаты, ураты) с целью оценки состояния почек, выявления дисметаболической нефропатии | не реже 1 раза в год | |||
| Проведена тандемная масс-спектрометрия пациентам с ГФА с целью определения соотношения фенилаланина/тирозина | не реже 1 раза в год | |||
| Эхокардиография при изменениях на ЭКГ | по показаниям | |||
| 12-канальная ЭКГ для выявления дисметаболических нарушений в миокарде | не реже 1 раза в год | |||
| МРТ головного мозга при наличии неврологической симптоматики | по показаниям | |||
| ЭЭГ и ЭЭГ-мониторинг при наличии неврологической симптоматики | при стабильном течении-1 раз в год, по показаниям-чаще | |||
| УЗИ органов брюшной полости и почек для выявления дисметаболических нефропатий, нефрокальциноза, изменений со стороны печени и поджелудочной железы на фоне высокобелковой диеты | не реже 1 раза в год | |||
| Исследование минеральной плотности костной ткани - денситометрия для диагностики остеопороза и его профилактики | проводится детям старше 5 лет по показаниям | по показаниям | ||
| Проведение рентгенографии кисти рук детям, имеющим задержку физического развития и полового развития для определения костного возраста и кальциево-фосфорного обмена | по показаниям | |||
| Консультация врача-генетика (назначение и коррекция диетотерапии, осуществление контроля за адекватностью ее проведения) | в возрасте до 1 года - не реже 1 раза в месяц; с 1 года - не реже 1 раза в 3 месяца | не реже 1 раза в 3 месяца | ||
| Консультация врача-диетолога для анализа и коррекции диетотерапии | не реже 1 раза в год | |||
| Консультация врача-педиатра для оценки общего состояния здоровья и определения тактики дальнейшей терапии | 1 раз в 6 месяцев | |||
| Консультация врача-кардиолога и кардиологическое обследование, для своевременного выявления и/или мониторинга кардиологических изменений | по показаниям | |||
| Консультация врача-невролога для своевременного выявления и/или мониторинга неврологических изменений | не реже 1 раза в год | |||
| Осмотр врачом-офтальмологом, включающий обследование глазного дна (офтальмоскопии) | не реже 1 раза в 3 года | |||
| Консультация врача-гастроэнтеролога | по показаниям | |||
| Консультация врача-психиатра для оценки психиатрического статуса | по показаниям | |||
| Консультация врача-физиотерапевта для назначения и проведения физиотерапевтических процедур | по показаниям | |||
| Консультация медицинского психолога для оценки и коррекции психологического состояния и оказания психологической помощи | Обязательно при отказе от диетотерапии, употребления продуктов специализированного питания, а также высокого риска потери метаболического контроля и полной утраты медицинского наблюдения | По необходимости оказывается психологическая помощь по вопросам коммуникации в семье и обществе, профессиональной ориентации; для пациентов женского пола дополнительно по вопросам, связанным с беременностью | ||
| Назначение лечения | Комментарий | |||
| Диетотерапия (с целью профилактики повреждений ЦНС и улучшения социальной адаптации) | пожизненно | |||
| Прием синтетического аналога ВН4 пациентам с ВН4-дефицитной ГФА, с ФАГ-дефицитной ГФА, чувствительной к синтетическому аналогу ВН4 с целью предотвратить тяжелых неврологических нарушений | пожизненно | |||
| Назначение допаминергических препаратов, предшественников серотонина с целью коррекции экстрапирамидного синдрома | по показаниям | |||
| Назначение препаратов кальция и витамина D и его аналогов | при наличии остеопении | |||
| Назначение препаратов трехвалентного железа | при наличии железодефицитной анемии | |||
| Назначение противоэпилептических препаратов | при наличии судорожного синдрома | |||
| Консультация девочек подросткового возраста по вопросу планирования семьи с целью предупреждения рождения ребенка с материнской ФКУ | - | по показаниям | ||
| Консультация женщин по вопросу планирования семьи с целью предупреждения рождения ребенка с материнской ФКУ | - | при планировании беременности | ||
| Консультация пар, планирующих беременность, при условии, что будущие родители являются носителями патогенных вариантов | - | по показаниям | ||
Динамическое наблюдение взрослых пациентов с ГФА.
| Консультации врачей, лабораторные и инструментальные исследования, тестирование и терапия | 18 лет и старше | |
| мужчины и небеременные женщины | Беременные с ФАГ-дефицитной ГФА | |
| Анализ крови на ФА (утром натощак) | 1 раз в 3 месяца | Не реже 1 раз в 7 дней в I триместре Не реже 1 раз в 2 недели во 2-3 триместре |
| Анализ крови пациентам с ГФА с максимальным значением уровня ФА на протяжении длительного периода 360 мкмоль/л (6 мг/дл) | по показаниям | |
| Исследование общего анализа крови для оценки основных параметров кроветворения | не реже 1 раза в год | |
| Исследование общего анализа мочи с целью выявления дисметаболической нефропатии | не реже 1 раза в год | |
| Исследование биохимического анализа крови общетерапевтического (содержание глюкозы, общего белка, белковых фракций, общего билирубина, холестерина, триглицеридов, липопротеидов низкой и высокой плотности, щелочной фосфатазы, креатинина, мочевины, аланинаминотрансферазы (АЛТ), аспартатаминотрансферазы (АСТ), кальция общего и ионизированного, натрия, калия, неорганического фосфора, железа, ферритина) с целью оценки баланса важнейших нутриентов при диетотерапии, оценки кальциево-фосфорного обмена, оценки состояния почек и печени | не реже 1 раза в год | |
| Исследование биохимического анализа мочи (фосфаты, оксалаты, ураты) с целью оценки состояния почек, выявления дисметаболической нефропатии, кальциурии | не реже 1 раза в год | |
| Проведена тандемная масс-спектрометрия пациентам с ГФА с целью определения соотношения фенилаланина/тирозина | не реже 1 раза в год | |
| Проведено исследование уровня глюкозы и гликированного гемоглобина в крови | - | при наступлении беременности |
| Исследование уровня гомоцистеина в крови с целью оценки риска развития сердечно-сосудистых заболеваний | по показаниям | |
| Эхокардиография при изменениях на ЭКГ | по показаниям | |
| 12-канальная ЭКГ для выявления дисметаболических нарушений в миокарде | не реже 1 раза в год | |
| МРТ головного мозга при наличии неврологической симптоматики | по показаниям | |
| ЭЭГ и ЭЭГ-мониторинг при наличии неврологической симптоматики | по показаниям | |
| УЗИ органов брюшной полости и почек для выявления дисметаболических нефропатий, нефрокальциноза, изменений со стороны печени и поджелудочной железы на фоне высокобелковой диеты | не реже 1 раза в год | |
| Исследование минеральной плотности костной ткани - денситометрия для диагностики остеопороза и его профилактики | по показаниям | |
| Проведение рентгенографии кисти рук детям, имеющим задержку физического развития и полового развития для определения костного возраста и кальциево-фосфорного обмена | по показаниям | |
| Проведено дополнительное экспертное ультразвуковое исследование плода женщинам с ГФА при беременности с целью исключения врожденных аномалий развития плода | - | на сроке 15-16 и 25-26 недель беременности |
| Консультация врача-генетика (назначение и коррекция диетотерапии, осуществление контроля за адекватностью ее проведения) | 1 раз в 3 месяца | не реже 1 раза в месяц |
| Консультация врача-диетолога для анализа и коррекции диетотерапии | не реже 1 раза в год | по показаниям |
| Консультация врача-терапевта для оценки общего состояния здоровья и определения тактики дальнейшей терапии | 1 раз в 6 месяцев | по показаниям |
| Консультация врача-кардиолога и кардиологическое обследование, для своевременного выявления и/или мониторинга кардиологических изменений: | по показаниям | |
| Эхокардиография при изменениях на ЭКГ | по показаниям | |
| 12-канальная ЭКГ для выявления дисметаболических нарушений в миокарде | не реже 1 раза в год | |
| Консультация врача-невролога для своевременного выявления и/или мониторинга неврологических изменений | по показаниям | |
| Осмотр врачом-офтальмологом, включающий обследование глазного дна (офтальмоскопии) с целью выявления глазной патологии и неврологического статуса | не реже 1 раза в 3 года | |
| Консультация врача-гастроэнтеролога | по показаниям | |
| Консультация врача-психиатра для оценки психиатрического статуса | по показаниям | |
| Консультация врача-физиотерапевта для назначения и проведения физиотерапевтических процедур | по показаниям (заболевания суставов, рахит, нарушения кальциево-фосфорного обмена) | |
| Консультация медицинского психолога для оценки и коррекции психологического состояния и оказания психологической помощи | По необходимости оказывается психологическая помощь по вопросам коммуникации в семье и обществе, профессиональной ориентации; для пациентов женского пола дополнительно по вопросам, связанным с беременностью | |
| МРТ головного мозга при наличии неврологической симптоматики | по показаниям | |
| ЭЭГ-мониторинг при наличии неврологической симптоматики | по показаниям | |
| УЗИ органов брюшной полости и почек для выявления дисметаболических нефропатий, нефрокальциноза, изменений со стороны печени и поджелудочной железы на фоне высокобелковой диеты | 1 раз в год | |
| Исследование минеральной плотности костной ткани - денситометрия для диагностики остеопороза и его профилактики | по показаниям | |
| Проведение рентгенографии кисти рук детям, имеющим задержку физического развития и полового развития для определения костного возраста и кальциево-фосфорного обмена | по показаниям | |
| Консультация женщин по вопросу планирования семьи с целью предупреждения рождения ребенка с материнской ФКУ | при планировании беременности | - |
| Консультация пар, планирующих беременность, при условии что будущие родители являются носителями мутации | по показаниям | - |
| Назначение лечения | Комментарий | |
| Диетотерапия | пожизненно | |
| Назначение синтетического аналога ВН4 пациентам с ВН4-дефицитной ГФА, с ФАГ-дефицитной ГФА, чувствительной к синтетическому аналогу ВН4 с целью предотвратить тяжелые неврологические нарушения. | пожизненно | |
| Назначение допаминергических препаратов, предшественников серотонина с целью коррекции экстрапирамидного синдрома | по показаниям | |
| Назначение препаратов кальция и витамина D и его аналогов | при наличии остеопении | |
| Назначение препаратов трехвалентного железа | при наличии железодефецитной анемии | |
| Назначение противоэпилептических препаратов | при наличии судорожного синдрома | |
Приложение Г.
Приложение Г1 Клиническая классификация ГФА в зависимости от уровня ФА в крови до лечения.
Название на русском языке: Клиническая классификация ГФА в зависимости от уровня ФА в крови до лечения.Оригинальное название:
Источник: вlau N., вurton в.K., Thöny в. et al. Phenylketonuria and вH4 Deficiencies// 1st edition-Bremen:UNI-MED. 2010. 94P.
Тип: шкала оценки.
Назначение: определение формы заболевания в зависимости от уровня ФА.
Содержание:
| Форма заболевания | Уровень ФА в сыворотке крови** | |
| мкмоль/л | мг/дл | |
| Легкая ГФА | 120-360 | 2-6 |
| Умеренная ГФА | 360-1200 | 6-20 |
| Тяжелая ГФА | >1200 | >20 |
Примечание: **- коэффициент пересчета мкмоль/л в мг/дл равен 60 [33].
Ключ: содержится в самой шкале.
|
|
Год актуализации информации
2020.