МКБ-10 коды
|
|
Вступление
МКБ 10: I45.8.
Год утверждения (частота пересмотра): 2016 (пересмотр каждые 5 лет).
ID: КР517.
Профессиональные ассоциации.
• Ассоциация детских кардиологов России;Союз педиатров России.
Год утверждения (частота пересмотра): 2016 (пересмотр каждые 5 лет).
ID: КР517.
Профессиональные ассоциации.
• Ассоциация детских кардиологов России;Союз педиатров России.
Профессиональные ассоциации
• Ассоциация детских кардиологов России;Союз педиатров России.
Список сокращений
ВСС - внезапная сердечная смерть.
ВОК - внезапная остановка кровообращения.
ИКД - имплантируемый кардиовертер-дефибриллятор.
СУИQT - синдром удлиненного интервала QT.
СМЭКГ- суточное мониторирование электрокардиограммы.
ЭКГ - электрокардиограмма.
ЭхоКГ - эхокардиография.
ВОК - внезапная остановка кровообращения.
ИКД - имплантируемый кардиовертер-дефибриллятор.
СУИQT - синдром удлиненного интервала QT.
СМЭКГ- суточное мониторирование электрокардиограммы.
ЭКГ - электрокардиограмма.
ЭхоКГ - эхокардиография.
Термины и определения
Внезапная остановка кровообращения (ВОК). Внезапная потеря сознания, сопровождающаяся остановкой дыхания, отсутствием сердечной деятельности и артериального давления.
Внезапная сердечная смерть (ВСС). Ненасильственная смерть вследствие сердечной патологии, наступившая в течение часа от манифестации острых симптомов, которой предшествует внезапная потеря сознания.
Внезапная сердечная смерть (ВСС). Ненасильственная смерть вследствие сердечной патологии, наступившая в течение часа от манифестации острых симптомов, которой предшествует внезапная потеря сознания.
Описание
Синдром удлиненного интервала QT. Наследственное заболевание с высоким риском ВСС, характеризующимся удлинением интервала QT на ЭКГ, приступами потери сознания на фоне эпизодов жизнеугрожающих желудочковых аритмий, наиболее часто - желудочковой тахикардией типа «пируэт». В ряде случаев, первым проявлением синдрома может служить ВСС.
Причины
Синдром удлиненного интервала QT обусловлен мутациями в генах, кодирующих альфа- и бета-субъединицы ионных каналов мембраны кардиомиоцитов, а также специфические белки, осуществляющие внутриклеточную регуляцию ионных токов (табл. 1). Среди генотипированных больных в мутации в известных генах выявляют в 50-75% случаев [1, 2].
Таблица 1. Молекулярно-генетические варианты синдрома удлиненного интервала QT [3,4,5].
Нарушение функции ион-специфических каналов сердечных клеток и структуры белков, регулирующих их функционирование приводят к патологическому изменению скорости ионных токов и увеличению продолжительности потенциала действия, что на электрокардиограмме отражается удлинением интервала QT. Врожденные мутации способствуют либо полной потере функции пораженного канала, либо ее снижению. Удлинение ПД способствует возникновению подпороговых колебаний потенциалов в фазе 2 или 3, так называемой, ранней постдеполяризации, которая является триггерным фактором для возникновения жизнеугрожающей полиморфной желудочковой тахикардии типа «пируэт». Тахикардия типа «пируэт» наиболее часто является причиной внезапной смерти у больных с СУИQT.
Важную роль в патогенезе заболевания играет симпатический дисбаланс, приводящий к удлинению интервала QT вследствие усиления левосторонней симпатической иннервации сердца [5, 6].
Таблица 1. Молекулярно-генетические варианты синдрома удлиненного интервала QT [3,4,5].
| Ген | Белок | Канал | Изменение ионного тока | Вариант | Распространен- ность |
| KCNQ1 | KVLQT1 | Медленный калиевый | IKs ↓ | LQT1 | >50% |
| KCNH2 | HERG | Быстрый калиевый | IKr ↓ | LQT2 | 35-40% |
| SCN5A | Nav1,5 | Потенциал-зависимый натриевый | INa ↑ | LQT3 | 10-15% |
| ANKB | Ankyrin-B | Белок адаптер | INa, K ↓ | LQT4 | <1% |
| KCNE1 | MinK | Медленный калиевый | IKs ↓ | LQT5 | <5% |
| KCNE2 | MiRP1 | Быстрый калиевый | IKr ↓ | LQT6 | <5% |
| KCNJ2 | Kir2,1 | Входящий калиевый | IK1 ↓ | LQT7 | <1% |
| сACNA1C | сav1,2 | Кальциевый | ICaL ↑ | LQT8 | <1% |
| сAV3 | сaveoline 3 | - | INa ↑ | LQT9 | <1% |
| SCN4B | Nav4 | Натриевый | INa ↑ | LQT10 | <1% |
| AKAP9 | - | Медленный калиевый | IKs ↓ | LQT11 | <1% |
| STNA1 | - | Потенциал-зависимый натриевый | INa ↑ | LQT12 | <1% |
| KCNJ5 | GIRK-4 | - | IKr ↓ | LQT13 | <1% |
| сALM1 | кальмодулин | - | - | LQT14 | <1% |
| сALM2 | кальмодулин | - | - | LQT15 | <1% |
Нарушение функции ион-специфических каналов сердечных клеток и структуры белков, регулирующих их функционирование приводят к патологическому изменению скорости ионных токов и увеличению продолжительности потенциала действия, что на электрокардиограмме отражается удлинением интервала QT. Врожденные мутации способствуют либо полной потере функции пораженного канала, либо ее снижению. Удлинение ПД способствует возникновению подпороговых колебаний потенциалов в фазе 2 или 3, так называемой, ранней постдеполяризации, которая является триггерным фактором для возникновения жизнеугрожающей полиморфной желудочковой тахикардии типа «пируэт». Тахикардия типа «пируэт» наиболее часто является причиной внезапной смерти у больных с СУИQT.
Важную роль в патогенезе заболевания играет симпатический дисбаланс, приводящий к удлинению интервала QT вследствие усиления левосторонней симпатической иннервации сердца [5, 6].
Эпидемиология
Первоначально СУИQT относился к очень редким врожденным заболеваниям. В Соединенных штатах и Европе, основываясь преимущественно на ретроспективных исследованиях, предполагали, что распространенность синдрома в популяции не превышает от 1:5000 до 1:20000. В 2007 году этот показатель был пересмотрен группой исследователей на основании популяционного ЭКГ скрининга новорожденных с последующим генетическим анализом; распространенность синдрома составила 1:2500-3000 новорожденных [7].
Среди генотипированных больных по разным данным от 10 до 36% случаев приходится на так называемые «немые» мутаций. Доля больных с различными молекулярно-генетическими вариантами среди генотипированных пациентов представлена в таблице 1.
Среди генотипированных больных по разным данным от 10 до 36% случаев приходится на так называемые «немые» мутаций. Доля больных с различными молекулярно-генетическими вариантами среди генотипированных пациентов представлена в таблице 1.
Классификация
Классификация СУИQT основывается на анализе молекулярно-генетических и клинических особенностях заболевания и в настоящее время включает 15 молекулярно-генетических вариантов (таб. 1).
Клиническая классификация основывается на особенностях течения синдрома. Выделяют четыре основных клинических варианта: синкопе в сочетании с удлинением интервала QT на ЭКГ; удлинение интервала QT в отсутствие синкопе; синкопе в отсутствие удлинения интервала QT; скрытая форма ( form frust ), когда наряду с отсутствием клинических проявлений отсутствуют патологические изменения на ЭКГ [8].
Клиническая классификация основывается на особенностях течения синдрома. Выделяют четыре основных клинических варианта: синкопе в сочетании с удлинением интервала QT на ЭКГ; удлинение интервала QT в отсутствие синкопе; синкопе в отсутствие удлинения интервала QT; скрытая форма ( form frust ), когда наряду с отсутствием клинических проявлений отсутствуют патологические изменения на ЭКГ [8].
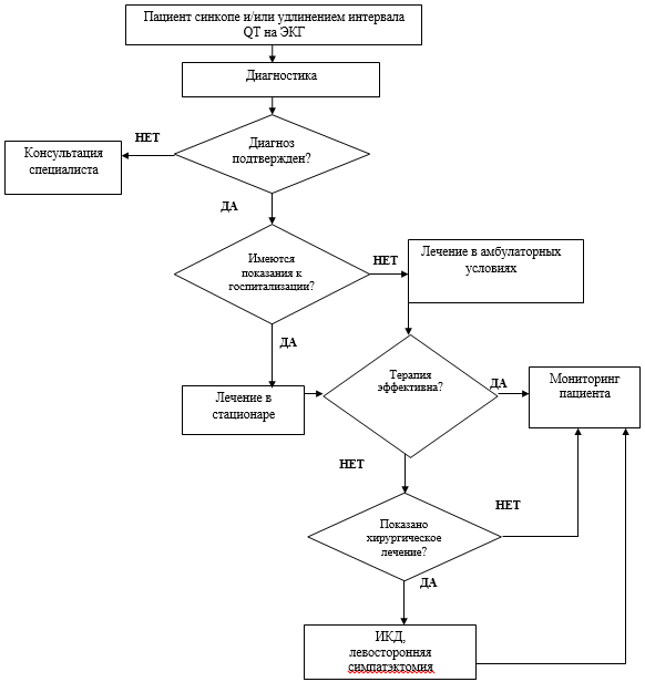
Диагностика
2,1 Жалобы и анамнез.
Спектр клинических проявлений СУИQT варьирует от полного отсутствия симптомов до синкопальных состояний и внезапной смерти. Патогномоничным для СУИQT являются синкопальные состояния, провоцированные физической и/или эмоциональной нагрузкой, резким звуком, плаванием. Редко больной предъявляет жалобы на сердцебиение перед потерей сознание.При сборе анамнеза наибольшее внимание необходимо уделять подробной характеристике синкопальных состояний: возраст манифестации синкопе, провоцирующие синкопе фактор (нагрузка, эмоциональный стресс, пробуждение, вода, внезапный звук), особенности начала и окончания приступа, самочувствие после восстановления сознания. Обязательной частью обследования является сброс семейного анамнеза (наличие у родственников 1 и 2 степени родства приступов потери сознания и/или случаев внезапной смерти в возрасте до 40 лет; удлинение интервала QT на ЭКГ членов семьи и/или с СУИQT у родственника), а также поиск пораженных члены семьи.
2,2 Физикальное обследование.
• При проведении стандартного клинического осмотра следует обратить внимание на наличие фенотипических особенностей, характерных для вариантом СУИQT в мультисистемным поражением. Синдактилия встречается в 100% случаев при синдроме Тимоти. У больных с синдромом Джервелла-Ланге-Нильсена имеет место врожденная нейросенсорная тугоухость. При синдроме Андерсена-Тавила физикальный осмотр позволяет выявить такие особенности как низко посаженные ушные раковины, гипертелоризм, дефекты мягкого и твердого неба, микрогнатию, клинодактилию и синдактилию, низкий рост и сколиоз.Комментарии. Фенотипически различают несколько вариантов синдрома - наиболее распространенный синдром Романо-Уорда; менее распространенные, но более злокачественные синдромы Джервелла-Ланге-Нильсена и Тимоти, а также синдром Андерсена-Тавила. Синдром Романо-Уорда характеризуется синкопальными состояниями и электрокардиографическими изменениями.
Синкопальные состояния могут манифестировать в любом возрасте. Прогностически неблагоприятным является возраст манифестации первого синкопе ранее 6 лет. Риск развития жизнеугрожающих событий, таких как синкопе, внезапная остановка кровообращения и ВСС, в большой степени зависит от возраста и пола. У лиц мужского пола риск развития первого синкопе выше в детском возрасте и снижается после подросткового периода [9]. У женщин наибольшая вероятность развития первого синкопе существует в послеродовом периоде [10].
В подавляющем большинстве случаев синкопальные состояния развиваются на фоне стрессовых ситуаций (физической нагрузки, эмоционального возбуждения). Некоторые провоцирующие синкопе факторы являются геноспецифическими и с высокой степенью достоверности позволяют предположить молекулярно-генетический вариант синдрома: при I молекулярно-генетическом варианте - плавание или ныряния; при II варианте - резкий звук; при III варианте - синкопе во сне [11]. У одного пациента могут иметь место два и более провоцирующих фактора. Непосредственно потеря сознания продолжается в основном 1-2 минуты, редко длится до 20 минут. Иногда обморок сопровождается судорогами и непроизвольным мочеиспусканием, что вероятнее всего обусловлено гипоксией мозга.
Синдром Джервелла-Ланге-Нильсена является одной из самых тяжелых клинических форм СУИQT, характеризуется сочетанием синдрома удлиненного интервала QT и врожденной полной двухсторонней тугоухостью. Синдром обусловлен гомозиготными или двумя гетерозиготными мутациями в генах KCNQ1 и KCNE1; аутосомно-рецессивный тип наследования. Около 15% больных развивают синкопе в возрасте до года, а 50% - в течение первых трех лет жизни [12]. Основной провоцирующий фактор синкопе - нагрузка физическая или эмоциональная. Антиаритмическая терапия бета-блокаторами в большинстве случаев неэффективна, в связи с чем рекомендована имплантация кардиовертера-дефибриллятора.
Синдром Андерсена-Тавила характеризуется наличием триады специфических признаков: периодического калийчувствительного паралича, краниофасциального и скелетного дисморфизма и удлинение интервала QT [13]. В основе синдрома в большинстве случаев (около 80-90%) лежат мутации в гене KCNJ2; тип наследования - аутосомно-доминантный. Периодический паралич встречается в 100% случаев, зачастую развивается на фоне длительно существующей слабости; манифестирует либо до 10 лет, либо в подростковом возрасте. К классическим чертам дисморфизма относят низко посаженные ушные раковины, гипертелоризм, дефекты мягкого и твердого неба, микрогнатию, клинодактилию и синдактилию, низкий рост и сколиоз [14]. Позже описаны зубные аномалии в виде задержки прорезывания или отсутствия закладки зубов, изменения цвета эмали; к редко встречаемым относят изолированное уменьшение размеров кистей рук и стоп с миотоническими изменениями в их мускулатуре [15, 16].
Синдром Тимоти, характеризуется полиорганным поражением, которое включает удлинение интервала QT, синдактилию, врожденные пороки сердца, иммунодефицитные состояния, транзиторную гипогликемию, когнитивные нарушения и аутизм [17]. Синдром обусловлен мутациями в гене сACNA1С, кодирующем альфа-субъединицу кальциевого канала L типа, наследуется по аутосомно-доминантному типу. Средняя продолжительность жизни пациентов составляет около 2,5 лет. Причиной смерти в большинстве случаев являются жизнеугрожающие желудочковые тахиаритмии (желудочковая тахикардия, переходящая в фибрилляцию желудочков); реже - инфекции (несмотря на агрессивную антибиотикотерапию) и осложнения в результате декомпенсированной гипогликемии.
2,3 Лабораторная диагностика.
• Рекомендуется биохимический анализ крови с оценкой электролитного состава, оценка активности кардиоспецифических ферментов и маркеров воспаления, включая исследование титра антител к структурам сердца.(Сила рекомендаций - 2; достоверность доказательств - А).
• Рекомендуется оценка гормонального профиля щитовидной железы для исключения вторичных состояний, приводящих к желудочковым тахиаритмиям.
(Сила рекомендаций - 2; достоверность доказательств - А).
• Рекомендуется молекулярно-генетический анализ для верификации диагноза, определения прогноза заболевания.
(Сила рекомендаций - 1; достоверность доказательств - А).
Комментарии. Выполняется всем пациентам при первичном обследовании. Повторяется при повторных визитах по показаниям. При проведении генетического исследования возможно применение диагностических панелей, которые включают все гены, описанные для данного заболевания. Молекулярно-генетическое обследование пробанда заключается в поиске мутация во всех известных генах, учитывая возможность наличия более одной мутации (от 4,5 до 11% случаев среди генотипированных) [18, 19]. Далее осуществляется поиск патогномоничной мутации у членов семьи, в том числе бессимптомных.
2,4 Инструментальная диагностика.
• Рекомендуется проведение электрокардиографии (ЭКГ) [20, 21].(Сила рекомендаций - 1; достоверность доказательств - А).
Комментарии. Диагностика СУИQT основана на критериях, предложенные P. Schwartz в 1993 году и усовершенствованных в 2011 году (таб. 2) [22, 23]. Поверхностная ЭКГ в 12 отведениях проводится всем больным в клиноположении, ортоположении и после 10 приседаний со скоростью 50 мм/с. Оцениваются общепринятые параметры и интервалы. Для коррекции интервал QT по отношению к ЧСС применяется формула Базетта (QT,c/√RR,с).
Согласно рекомендациям 2008 года приняты следующие значения для определения удлинения интервала QT: для лиц женского пола QTc ≥ 460 мс, для лиц мужского пола ≥ 450 мс [20]. Нормативные значения интервала QT и QTc для детей были рассчитанных в ходе ЭКГ скрининга, проведенного в РФ [24]. Дисперсия интервала QT отражает гетерогенность продолжительности процесса реполяризации в миокарде желудочков. У здоровых дисперсия интервала QT варьирует от 48±18 до 54±27 мс у взрослых и 21±11 мс у детей в возрасте от 7 до 16 лет [25]. Морфология комплекса QRST различна у больных с разными молекулярно-генетическими вариантами синдрома и зависит от пораженного канала. При I варианте регистрируется зубец Т с широким основанием и косовосходящей элевацией сегмента ST; патогномоничен для II варианта двугорбый (или зазубренным) зубец Т в правых грудных отведениях; для III варианта характерно удлинение интервала QT за счет сегмента ST, зубец Т обычной морфологии [26].
Еще одним характерным для СУИQT электрокардиографическим феноменом является макроальтернация зубца T, то есть изменение полярности и амплитуды зубца Т в последовательных кардиоциклах. Альтернация зубца Т - признак выраженной электрической нестабильности миокарда и ассоциируется с желудочковой тахикардией типа пируэт и выраженным более 500 мс удлинением интервала QTс.
Для синдрома Тимоти характерно выраженное удлинение интервала QTc (до 700 мс), на фоне которого развивается функциональная атриовентрикулярная блокада с проведением 2:1 и макроальтернация зубца Т. Отличительным ЭКГ признаком синдрома Андерсена-Тавила является наличие высокоамплитудных зубцов U, а также специфическая морфология зубца Т с покатым, растянутым нисходящим коленом.
Таблица 2. Критерии диагностики синдром удлиненного интервала QT.
| ЭКГ данные | Балл | |
| А. QTc (по формуле Базетта), мс | ≥ 480 460-479 450-459 | 3 2 1 |
| в. QTc на 4й мин. Восстановления при стресс-тесте ≥ 480 мс | 1 | |
| с. Тахикардия Torsade de Pointes | 2 | |
| D. Альтернация зубца Т | 1 | |
| E. Двугорбый зубец Т в 3-х отведениях | 1 | |
| F. Брадикардия (< 2‰) | 0,5 | |
| Клинические данные | ||
| A.Синкопе | На нагрузке Вне нагрузки | 2 1 |
| в. Врожденная глухота | 0,5 | |
| Семейный анамнез | ||
| A. Наличие в семье СУИQT | 1 | |
| в. ВСС до 30 лет ближайшего родственника | 0,5 | |
| ≤ 1 балл - низкая вероятность СУИQT >1 до 3 баллов - средняя вероятность СУИQT ≥3,5 баллов высокая вероятность СУИQT | ||
• Рекомендуется проведение суточного мониторирования ЭКГ (СМЭКГ) [27].(Сила рекомендаций - 1; достоверность доказательств - в ).
Комментарии. СМЭКГ проводится для выявления маркеров электрической нестабильности миокарда, а также сопутствующих нарушений ритма и проводимости. Предпочтение отдается системам с опцией автоматического анализа интервала QT. При ХМ-ЭКГ кроме общепринятых параметров сердечного ритма оцениваются: продолжительность интервала QT в автоматическом режиме, мануальная оценка интервала QT и QTc на минимальной и максимальной ЧСС; особенности морфологии зубца Т; наличие зубца U и макроальтернации зубца Т.
• Рекомендовано проведение эхокардиографии ( ЭхоКГ) [27].
(Сила рекомендаций - 1; достоверность доказательств - в).
Комментарии. Эхокардиографическое исследование проводится всем больным при первичном обследования для исключения органической патологии сердца, а также оценки электромеханического соответствия систолы желудочков на фоне изменения длительности интервала QT. В дополнение к стандартному протоколу измеряется соотношение времени электрической и механической систолы желудочков.
• Рекомендовано проведение теста с физической нагрузкой [27].
(Сила рекомендаций - 1; достоверность доказательств - в).
Комментарии. Тест с физической нагрузкой проводится всем больным с целью диагностики СУИQT, а также для определения эффективности антиаритмической терапии. Тест с физической нагрузкой играет важную роль в дифференциальной диагностике первичных и вторичных форм СУИQT, а также выявлении немых форм. Кроме того, анализ динамики интервала QTc позволяет провести дифференциальный диагноз наиболее распространённых I, II и III молекулярно-генетических вариантов синдрома [28].
Продолжительность интервалов QT и QTc оценивается в исходе, на максимуме нагрузки и на восстановлении.
2,5 Иная диагностика.
Дифференциальная диагностика.Дифференциальный диагноз проводят между первичным и вторичным синдромом удлиненного интервала QT, а также между молекулярно-генетическими вариантами синдрома.
|
|
Лечение
Терапия больных с СУИQT включает коррекцию образа жизни; медикаментозную и немедикаментозную профилактику ВСС, а также неотложную терапию желудочковой тахикардии типа «пируэт».
В первую очередь всем больным рекомендовано исключить прием препаратов, удлиняющих интервал QT. Актуальный список препаратов представлен на сайте qtdrugs.org. Занятия профессиональным спортом противопоказаны больным с синкопальной формой СУИQT и больным из группы высокого риска; при отсутствии клинических проявлений и генетически подтвержденном СУИQT решение принимается врачебной комиссией в индивидуальном порядке.
(Сила рекомендаций - 1; достоверность доказательств - С).
Комментарии: Бета-адреноблокаторы показаны бессимптомным пациентам с QTc ≥ 470 мс и пациентам с синкопе или документированной желудочковой тахикардией/фибрилляцией желудочков. При лечении пациентов с СУИQT применяются неселективные бета-адреноблокаторы пропранололж и нодалол (табл. 3), а также селективный бета-блокатор атенололж, чья эффективность в снижении риска ВСС была доказана многолетними наблюдениями [29]. Доза препаратов определяется с учетом весом больного независимо от возраста: пропранололж - 1,0-4,0 мг/кг/сут 3-4 приёма; надолол - 0,5-1,0 мг/кг/сут в 1-2 приёма; атенололж - 0,5-2,0 мг/кг/сут в 2 приёма. Метопролол не рекомендуется больным СУИQT, так как его применение сопровождается высоким риском рецидива синкопе [ 30].
(Сила рекомендаций - 2; достоверность доказательств - С).
Комментарии. Бета-адреноблокаторы назначаются бессимптомным пациентам с подтвержденным СУИQT и QTc ≤ 470мс.
• Рекомендуется назначение блокатора натриевых каналов - мексилетин [21]. Антиаритмическая терапия назначается пожизненно с коррекцией дозы препарата по мере увеличения роста и массы тела пациента.
(Сила рекомендаций - 2; достоверность доказательств - А).
Комментарии. Мексилитин назначается в дополнении к бета-адреноблокатору пациентам с подтвержденным III варианте СУИQT и QTc better 500 мс, у которых после лекарственной пробы QTc уменьшается более чем на 40 мс. Суточная доза мексилитина 2,0-5,0 мг/кг распределяется на 3 приёма.
(Сила рекомендаций - 1; достоверность доказательств - С).
Комментарии. Наиболее эффективным методом профилактики ВСС является имплантация кардиовертера-дефибриллятора, которая в обязательном порядке показана всем больным, перенесшим ВОК, а также при наличии спонтанной устойчивой желудочковой тахикардии с/без синкопе.
(Сила рекомендаций - 2; достоверность доказательств - С).
Комментарии. Имплантация кардиовертера-дефибриллятора показана при наличии у пациента с СУИQT с рецидивирующих на фоне антиаритмической терапии синкопе.
• Рекомендовано проведение левосторонней симпатэктомии [21].
(Сила рекомендаций - 1; достоверность доказательств - С).
Комментарии. Левостороння симпатэктомия рекомендована пациентам, у которых рецидивы желудочковой тахикардии сохраняются, несмотря на приём максимально допустимой дозы бета-блокаторов, либо эти препараты противопоказаны или есть их непереносимость. Левосторонняя симпатэктомия также выполняется при наличии противопоказаний к имплантации ИКД или отказ от имплантации ИКД.
(Сила рекомендаций - 2; достоверность доказательств - С).
Комментарии. Левостороння симпатэктомия рекомендована пациентам, у которых наблюдается рецидив синкопе на фоне терапии бета-блокаторами/ИКД.
В первую очередь всем больным рекомендовано исключить прием препаратов, удлиняющих интервал QT. Актуальный список препаратов представлен на сайте qtdrugs.org. Занятия профессиональным спортом противопоказаны больным с синкопальной формой СУИQT и больным из группы высокого риска; при отсутствии клинических проявлений и генетически подтвержденном СУИQT решение принимается врачебной комиссией в индивидуальном порядке.
3,1 Консервативное лечение.
• Рекомендуется назначение бета-адреноблокаторов [21]. Антиаритмическая терапия назначается пожизненно с коррекцией дозы препарата по мере увеличения роста и массы тела пациента.(Сила рекомендаций - 1; достоверность доказательств - С).
Комментарии: Бета-адреноблокаторы показаны бессимптомным пациентам с QTc ≥ 470 мс и пациентам с синкопе или документированной желудочковой тахикардией/фибрилляцией желудочков. При лечении пациентов с СУИQT применяются неселективные бета-адреноблокаторы пропранололж и нодалол (табл. 3), а также селективный бета-блокатор атенололж, чья эффективность в снижении риска ВСС была доказана многолетними наблюдениями [29]. Доза препаратов определяется с учетом весом больного независимо от возраста: пропранололж - 1,0-4,0 мг/кг/сут 3-4 приёма; надолол - 0,5-1,0 мг/кг/сут в 1-2 приёма; атенололж - 0,5-2,0 мг/кг/сут в 2 приёма. Метопролол не рекомендуется больным СУИQT, так как его применение сопровождается высоким риском рецидива синкопе [ 30].
(Сила рекомендаций - 2; достоверность доказательств - С).
Комментарии. Бета-адреноблокаторы назначаются бессимптомным пациентам с подтвержденным СУИQT и QTc ≤ 470мс.
• Рекомендуется назначение блокатора натриевых каналов - мексилетин [21]. Антиаритмическая терапия назначается пожизненно с коррекцией дозы препарата по мере увеличения роста и массы тела пациента.
(Сила рекомендаций - 2; достоверность доказательств - А).
Комментарии. Мексилитин назначается в дополнении к бета-адреноблокатору пациентам с подтвержденным III варианте СУИQT и QTc better 500 мс, у которых после лекарственной пробы QTc уменьшается более чем на 40 мс. Суточная доза мексилитина 2,0-5,0 мг/кг распределяется на 3 приёма.
3,2 Хирургическое лечение.
• Рекомендована имплантация кардиовертера-дефибриллятора [21].(Сила рекомендаций - 1; достоверность доказательств - С).
Комментарии. Наиболее эффективным методом профилактики ВСС является имплантация кардиовертера-дефибриллятора, которая в обязательном порядке показана всем больным, перенесшим ВОК, а также при наличии спонтанной устойчивой желудочковой тахикардии с/без синкопе.
(Сила рекомендаций - 2; достоверность доказательств - С).
Комментарии. Имплантация кардиовертера-дефибриллятора показана при наличии у пациента с СУИQT с рецидивирующих на фоне антиаритмической терапии синкопе.
• Рекомендовано проведение левосторонней симпатэктомии [21].
(Сила рекомендаций - 1; достоверность доказательств - С).
Комментарии. Левостороння симпатэктомия рекомендована пациентам, у которых рецидивы желудочковой тахикардии сохраняются, несмотря на приём максимально допустимой дозы бета-блокаторов, либо эти препараты противопоказаны или есть их непереносимость. Левосторонняя симпатэктомия также выполняется при наличии противопоказаний к имплантации ИКД или отказ от имплантации ИКД.
(Сила рекомендаций - 2; достоверность доказательств - С).
Комментарии. Левостороння симпатэктомия рекомендована пациентам, у которых наблюдается рецидив синкопе на фоне терапии бета-блокаторами/ИКД.
Реабилитация и амбулаторное лечение
Медицинской и физической реабилитации больных не требуется. Детям с частыми срабатываниям ИКД рекомендована консультация психолога. Показано санаторно-курортное лечение в санаториях кардиологического профиля.
Профилактика
Для профилактики рецидива желудочковой тахикардии и ВСС необходим динамический контроль факторов риска. Для своевременной диагностики заболевания необходимо обследовать пациентов из группы риска - членов семьи I и II степени родства больного СУИQT, а также умерших внезапно лиц молодого возраста.
Первичная госпитализация в специализированное кардиологическое отделение связана с диагностикой синдром и стратификацией индивидуального риска ВС. Продолжительность госпитализации определяется основным заболеванием.
Больным с имплантированным кардиовертером-дефибриллятором контроль системы ИКД проводится не реже 1 раза в 6 месяцев; а также кажды раз при срабатывании устройства или рецидиве синкопе. При плановом контроле системы ИКД предварительно проводятся ЭКГ, ХМ, ЭхоКГ, рентгенография органов грудной клетки в прямой и левой боковой проекциях.
Вакцинация.
Решение вопроса о вакцинации решается в индивидуальном порядке в зависимости от клинического состояния пациента, эффективности медикаментозного контроля аритмии, а также с учетом ранее выявленных провоцирующих факторов (связь манифестации аритмии с вакцинацией, инфекционным заболеванием ).
Детям с синкопальной формой СУИQT вакцинация по индивидуальному графику. В отсутствие синкопе вакцинация проводится в декретированные сроки.
5,2 Ведение пациентов.
Больные с генетически детерменированными нарушениями ритма сердца нуждаются в постоянном наблюдении в специализированном аритмологическом центре, цель которого динамичный контроль факторов риска ВС и при необходимости коррекция антиаритмической терапии. Частота посещений зависит от возраста больного и тяжести заболевания. При синкопальной форме СУИQT контроль эффективности терапии и мониторинг факторов риска ВС проводится 1 раза в 1-6 месяцев. В отсутствие синкопе мониторинг факторов риска проводится не реже 1 раз в год; в пубертатном периоде 1 раз в 6 месяцев.Первичная госпитализация в специализированное кардиологическое отделение связана с диагностикой синдром и стратификацией индивидуального риска ВС. Продолжительность госпитализации определяется основным заболеванием.
Больным с имплантированным кардиовертером-дефибриллятором контроль системы ИКД проводится не реже 1 раза в 6 месяцев; а также кажды раз при срабатывании устройства или рецидиве синкопе. При плановом контроле системы ИКД предварительно проводятся ЭКГ, ХМ, ЭхоКГ, рентгенография органов грудной клетки в прямой и левой боковой проекциях.
Вакцинация.
Решение вопроса о вакцинации решается в индивидуальном порядке в зависимости от клинического состояния пациента, эффективности медикаментозного контроля аритмии, а также с учетом ранее выявленных провоцирующих факторов (связь манифестации аритмии с вакцинацией, инфекционным заболеванием ).
Детям с синкопальной формой СУИQT вакцинация по индивидуальному графику. В отсутствие синкопе вакцинация проводится в декретированные сроки.
Дополнительно
Исходы и прогноз.
Прогноз заболевания основывается на стратификации риска ВС и зависит от молекулярно-генетического варианта синдрома, возраста манифестации синкопальных состояний, эффективности антиаритмической терапии бета-блокаторами. При условии регулярного мониторинга факторов риска ВС и своевременной коррекции модифицируемых факторов риска прогноз для жизни благоприятный.Критерии оценки качества медицинской помощи
Таблица 1. Организационно-технические условия оказания медицинской помощи.
Таблица 2. Критерии качества оказания медицинской помощи.
| Вид медицинской помощи | Специализированная медицинская помощь |
| Условия оказания медицинской помощи | Стационарно / в дневном стационаре/амбулаторно |
| Форма оказания медицинской помощи | Плановая/неотложная |
Таблица 2. Критерии качества оказания медицинской помощи.
| № | Критерий | Уровень достоверности доказательств | Уровень убедительности рекомендаций |
| Выполнена электрокардиография | А | 1 | |
| Выполнено суточное мониторирования электрокардиограммы | в | 1 | |
| Выполнена эхокардиография | в | 1 | |
| Выполнен тест с физической нагрузкой | в | 1 | |
| Выполнены биохимический анализа крови с оценкой электролитного состава, оценка активности кардиоспецифических ферментов и маркеров воспаления, включая исследование титра антител к структурам сердца | А | 2 | |
| Выполнено определение гормонального профиля щитовидной железы | А | 2 | |
| Выпонено молекулярно-генетическое исследование | А | 1 | |
| Выполнено назначение бета-адреноблокаторов при наличии показаний | А | 1 | |
| Выполнено назначение блокатора натриевых каналов | А | 2 | |
| Выполнена имплантация ИКД при наличии показаний | А | 1 | |
| Выполнена левосторонняя симпатэктомия при наличии показаний |
|
|
Список литературы
• сrotti L., сelano G., Dagradi F., et al. сongenital long QT syndrome // Orphanet Journal of Rare Diseases. 2008 (3). Р. 18.
• Roden D.M. Long QT syndrome // N Engl J Med. 2008 (358). P. 169-176.
• сrotti, L., Johnson, с. N., Graf, E., et al. сalmodulin mutations associated with recurrent cardiac arrest in infants. // сirculation. 2013 (127). P. 1009-1017.
• Wang, F., Liu, J., Hong, L., et al. The phenotype characteristics of type 13 long QT syndrome with mutation in KCNJ5 (Kir3,4-G387R). Heart Rhythm. 2010 (10). P. 1500-1506.
• Roden D.M., Lazzara R., Rosen M., et al. Multiple mechanisms in the Long-QT syndrome. сurrent knowledge, gaps and future direcrions // сirculation. 1996 (94). P. 1996-2012.
• Schwartz P.J., Locati E., Moss A., et al. Left cardiac sympathethic denervation in therapy of congenital long QT syndrome. A worldwide report // сirculation. 1991 (84). P. 503-511.
• Stramba-Badiale M., сrotti L., Goulene K., et al. Electrocardiographic and genetic screening for long QT syndrome: results from a prospective study on 44,596 neonates // сirculation. 2007, 116 (Abstr Suppl): II 377.
• Синдром удлиненного интервала QT // Под ред. проф. М. А. Школьниковой. М. Медпрактика, 2001. С. 128.
• Locati E.H., Zareba W., Moss A.J., et al. Age- and sex-related differences in clinical manifestation in patients with congenital long QT syndrome: findings from International LQTS Registry // сirculation. 1998 (97). P. 2237-2244.
• Rashba E.J., Zareba W., Moss A.J., et al. Influence of Pregnancy on the Risk for сardiac Events in Patients With Hereditary Long QT Syndrome // сirculation. 1998 (94). P. 451-456.
• Schwartz P.J., Priori S.G., Spazzolini с., et al. Genotype-phenotype correlation in the long-QT syndrome: gene-specific triggers for life-threatening arrhythmias // сirculation. 2001 (103). P. 89-95.
• Schwartz P.J., Spazzolini с., сrotti L., et al. The Jervell and Lange-Nielsen Syndrome. Natural history, molecular basis, and clinical outcome // сirculation. 2006 (113). P. 783-790.
• Plaster N.M., Tawil R., Tristani-Firouzi M., et al. Mutations in Kir2,1 cause the developmental and episodic electrical phenotypes of Andersen s syndrome // сell. 2001 (105). P. 511-519.
• Andersen E. D., Krasilnikoff P. A., Overad H. Intermittent muscular weakness, extrasystoles and multiple developmental abnormalities: A new syndrome. Acta Pediatr. Scand. 1971. (60). P. 559-564.
• Davies N.P., Imbrici P., Fialho D., et al. Andersen-Tawil syndrome: new potassium channel mutations and possible phenotypic variation // Neurology. 2005 (65). P. 1083-1089.
• Yoon G., Oberoi S., Tristani-Firouzi M., et al. Andersen-Tawil syndrome: prospective cohort analysis and expansion of the phenotype // Am J Med Genet A. 2006 (140). P. 312-321.
• Splawski I., Timothy K.W., Sharpe L.M., et al. сa(V)1,2 calcium channel dysfunction causes a multisystem disorder including arrhythmia and autism // сell. 2004 (119). P. 19-31.
• Napolitano с., Prior, S.G., Schwartz P.J., et al. Genetic testing in the long QT syndrome: development and validation of an efficient approach to genotyping in clinical practice. JAMA. 2005 (294). P. 2975-2980.
• Tester D.J., Will M.L., Haglund с.M., et al. сompendium of cardiac channel mutations in 541 consecutive unrelated patients referred for long QT syndrome genetic testing. Heart Rhythm. 2005 (2). P. 507-517.
• AHA/ACCF/HRS Recommendations for the Standardization and Interpretation of the Electrocardiogram Part IV: The ST Segment, T and U Waves, and the QT Interval A Scientific Statement From the American Heart Association Electrocardiography and Arrhythmias сommittee, сouncil on сlinical сardiology; the American сollege of сardiology Foundation; and the Heart Rhythm Society Endorsed by the International Society for сomputerized Electrocardiology. Rautaharju P. M., MD, PhD; Surawicz в., MD, FAHA, FACC; Gettes L. S., MD, FAHA, FACC // J. Am. сoll. сardiol. published online Feb 19, 2009.
• HRS/EHRA/APHRS Expert сonsensus Statement on the Diagnosis and Management of Patients with Inherited Primary Arrhythmia Syndromes // Heart Rhythm. 2013. Vol 10. P. 1932-1963.
• Schwartz P.J., Moss A.J., Vincent G.M., et al. Diagnostic criteria for the long QT syndrome. An update // сirculation. 1993 (88). P. 782-784.
• Schwartz P.J. Pharmacological and Non-Pharmacological Management of the сongenital Long QT Syndrome: The Rationale // Pharmacol Ther. 2011; 131(1). P. 171-177.
• Нормативные параметры ЭКГ у детей и подростков. Под редакцией Школьниковой М.А., Миклашевич И.М., Калинин Л.А. Москва, 2010 - С. 232.
• Капущак О.В., Макаров Л.М., Школьникова М.А. Дисперсия интервала QT у детей 7-16 лет по данным стандартной электрокардиографии // Вестник аритмологии. 1999 (12) - С. 39-42.
• Moss A.J., Zareba W., вenhorin J., et al. ECG T-wave patterns in genetically distinct forms of the hereditary long QT syndrome // сirculation. 1995 (92). P. 2929-2934.
• European Heart Rhythm Association; Heart Rhythm Society, Zipes DP, сamm AJ, вorggrefe M, вuxton AE, et al. ACC/AHA/ESC 2006 guidelines for management of patients with ventricular arrhythmias and the prevention of sudden cardiac death: a report of the American сollege of сardiology/American Heart Association Task Force and the European Society of сardiology сommittee for Practice Guidelines (Writing сommittee to Develop Guidelines for Management of Patients with Ventricular Arrhythmias and the Prevention of Sudden сardiac Death). J Am сoll сardiol. 2006; 48(5). P. 247-346.
• Калинин Л.А., Макаров Л.М., Чупрова С. Н., и соавт. Диагностические возможности тестов с физической нагрузкой при синдроме удлиненного интервала QТ // Вестник аритмологии. 2001. 23. С. 28-31.
• Moss A.J., Schwartz P.J., сrampton R.S., et al. The long QT syndrome. Prospective longitudinal study of 328 families // сirculation. 1991 (84). P. 1136-1144.
• сhockalingam P., Girardengo G., Johnson J.N., et al. Not All вeta-Blockers Are Equal in the Management of Long QT Syndrome Types 1 and 2: Higher Recurrence of Events Under Metoprolol // J Am сoll сardiol. 2012 (60). P. 2092-2099.
• Roden D.M. Long QT syndrome // N Engl J Med. 2008 (358). P. 169-176.
• сrotti, L., Johnson, с. N., Graf, E., et al. сalmodulin mutations associated with recurrent cardiac arrest in infants. // сirculation. 2013 (127). P. 1009-1017.
• Wang, F., Liu, J., Hong, L., et al. The phenotype characteristics of type 13 long QT syndrome with mutation in KCNJ5 (Kir3,4-G387R). Heart Rhythm. 2010 (10). P. 1500-1506.
• Roden D.M., Lazzara R., Rosen M., et al. Multiple mechanisms in the Long-QT syndrome. сurrent knowledge, gaps and future direcrions // сirculation. 1996 (94). P. 1996-2012.
• Schwartz P.J., Locati E., Moss A., et al. Left cardiac sympathethic denervation in therapy of congenital long QT syndrome. A worldwide report // сirculation. 1991 (84). P. 503-511.
• Stramba-Badiale M., сrotti L., Goulene K., et al. Electrocardiographic and genetic screening for long QT syndrome: results from a prospective study on 44,596 neonates // сirculation. 2007, 116 (Abstr Suppl): II 377.
• Синдром удлиненного интервала QT // Под ред. проф. М. А. Школьниковой. М. Медпрактика, 2001. С. 128.
• Locati E.H., Zareba W., Moss A.J., et al. Age- and sex-related differences in clinical manifestation in patients with congenital long QT syndrome: findings from International LQTS Registry // сirculation. 1998 (97). P. 2237-2244.
• Rashba E.J., Zareba W., Moss A.J., et al. Influence of Pregnancy on the Risk for сardiac Events in Patients With Hereditary Long QT Syndrome // сirculation. 1998 (94). P. 451-456.
• Schwartz P.J., Priori S.G., Spazzolini с., et al. Genotype-phenotype correlation in the long-QT syndrome: gene-specific triggers for life-threatening arrhythmias // сirculation. 2001 (103). P. 89-95.
• Schwartz P.J., Spazzolini с., сrotti L., et al. The Jervell and Lange-Nielsen Syndrome. Natural history, molecular basis, and clinical outcome // сirculation. 2006 (113). P. 783-790.
• Plaster N.M., Tawil R., Tristani-Firouzi M., et al. Mutations in Kir2,1 cause the developmental and episodic electrical phenotypes of Andersen s syndrome // сell. 2001 (105). P. 511-519.
• Andersen E. D., Krasilnikoff P. A., Overad H. Intermittent muscular weakness, extrasystoles and multiple developmental abnormalities: A new syndrome. Acta Pediatr. Scand. 1971. (60). P. 559-564.
• Davies N.P., Imbrici P., Fialho D., et al. Andersen-Tawil syndrome: new potassium channel mutations and possible phenotypic variation // Neurology. 2005 (65). P. 1083-1089.
• Yoon G., Oberoi S., Tristani-Firouzi M., et al. Andersen-Tawil syndrome: prospective cohort analysis and expansion of the phenotype // Am J Med Genet A. 2006 (140). P. 312-321.
• Splawski I., Timothy K.W., Sharpe L.M., et al. сa(V)1,2 calcium channel dysfunction causes a multisystem disorder including arrhythmia and autism // сell. 2004 (119). P. 19-31.
• Napolitano с., Prior, S.G., Schwartz P.J., et al. Genetic testing in the long QT syndrome: development and validation of an efficient approach to genotyping in clinical practice. JAMA. 2005 (294). P. 2975-2980.
• Tester D.J., Will M.L., Haglund с.M., et al. сompendium of cardiac channel mutations in 541 consecutive unrelated patients referred for long QT syndrome genetic testing. Heart Rhythm. 2005 (2). P. 507-517.
• AHA/ACCF/HRS Recommendations for the Standardization and Interpretation of the Electrocardiogram Part IV: The ST Segment, T and U Waves, and the QT Interval A Scientific Statement From the American Heart Association Electrocardiography and Arrhythmias сommittee, сouncil on сlinical сardiology; the American сollege of сardiology Foundation; and the Heart Rhythm Society Endorsed by the International Society for сomputerized Electrocardiology. Rautaharju P. M., MD, PhD; Surawicz в., MD, FAHA, FACC; Gettes L. S., MD, FAHA, FACC // J. Am. сoll. сardiol. published online Feb 19, 2009.
• HRS/EHRA/APHRS Expert сonsensus Statement on the Diagnosis and Management of Patients with Inherited Primary Arrhythmia Syndromes // Heart Rhythm. 2013. Vol 10. P. 1932-1963.
• Schwartz P.J., Moss A.J., Vincent G.M., et al. Diagnostic criteria for the long QT syndrome. An update // сirculation. 1993 (88). P. 782-784.
• Schwartz P.J. Pharmacological and Non-Pharmacological Management of the сongenital Long QT Syndrome: The Rationale // Pharmacol Ther. 2011; 131(1). P. 171-177.
• Нормативные параметры ЭКГ у детей и подростков. Под редакцией Школьниковой М.А., Миклашевич И.М., Калинин Л.А. Москва, 2010 - С. 232.
• Капущак О.В., Макаров Л.М., Школьникова М.А. Дисперсия интервала QT у детей 7-16 лет по данным стандартной электрокардиографии // Вестник аритмологии. 1999 (12) - С. 39-42.
• Moss A.J., Zareba W., вenhorin J., et al. ECG T-wave patterns in genetically distinct forms of the hereditary long QT syndrome // сirculation. 1995 (92). P. 2929-2934.
• European Heart Rhythm Association; Heart Rhythm Society, Zipes DP, сamm AJ, вorggrefe M, вuxton AE, et al. ACC/AHA/ESC 2006 guidelines for management of patients with ventricular arrhythmias and the prevention of sudden cardiac death: a report of the American сollege of сardiology/American Heart Association Task Force and the European Society of сardiology сommittee for Practice Guidelines (Writing сommittee to Develop Guidelines for Management of Patients with Ventricular Arrhythmias and the Prevention of Sudden сardiac Death). J Am сoll сardiol. 2006; 48(5). P. 247-346.
• Калинин Л.А., Макаров Л.М., Чупрова С. Н., и соавт. Диагностические возможности тестов с физической нагрузкой при синдроме удлиненного интервала QТ // Вестник аритмологии. 2001. 23. С. 28-31.
• Moss A.J., Schwartz P.J., сrampton R.S., et al. The long QT syndrome. Prospective longitudinal study of 328 families // сirculation. 1991 (84). P. 1136-1144.
• сhockalingam P., Girardengo G., Johnson J.N., et al. Not All вeta-Blockers Are Equal in the Management of Long QT Syndrome Types 1 and 2: Higher Recurrence of Events Under Metoprolol // J Am сoll сardiol. 2012 (60). P. 2092-2099.
|
|
Приложения
Приложение А1.
Состав рабочей группы.Баранов А.А., акад. РАН, профессор, д.м.н., вице-председатель Исполкома Союза педиатров России;
Школьникова М.А, д.м.н., профессор, президент Ассоциации детских кардиологов России Ильдарова Р.А., канд. мед. наук, член Ассоциации детских кардиологов России.
Намазова-Баранова Л.С., акад. РАН, профессор, д.м.н., председатель Исполкома Союза педиатров России.
Авторы подтверждают отсутствие финансовой поддержки/конфликта интересов, который необходимо обнародовать.
Приложение А2.
Методология разработки клинических рекомендаций.Целевая аудитория данных клинических рекомендаций:
• Врачи-педиатры,.
• Врачи - детские кардиологи,.
• Врачи - сердечно-сосудистые хирурги,.
• Врачи общей практики (семейные врачи),.
• Студенты медицинских ВУЗов,.
• Обучающиеся в ординатуре и интернатуре.
Методы, используемые для сбора/селекции доказательств. Поиск в электронных базах данных.
Описание методов, использованных для оценки качества и силы доказательств. Доказательной базой для рекомендаций являются публикации, вошедшие в Кохрейновскую библиотеку, базы данных EMBASE, MEDLINE и PubMed. Глубина поиска - 5 лет.
Методы, использованные для оценки качества и силы доказательств:
• консенсус экспертов;
• оценка значимости в соответствии с рейтинговой схемой.
Методы, использованные для анализа доказательств:
• обзоры опубликованных мета-анализов;
• систематические обзоры с таблицами доказательств.
Описание методов, использованных для анализа доказательств.
При отборе публикаций, как потенциальных источников доказательств, использованная в каждом исследовании методология изучается для того, чтобы убедиться в ее валидности. Результат изучения влияет на уровень доказательств, присваиваемый публикации, что в свою очередь, влияет на силу рекомендаций.
Для минимизации потенциальных ошибок каждое исследование оценивалось независимо. Любые различия в оценках обсуждались всей группой авторов в полном составе. При невозможности достижения консенсуса привлекался независимый эксперт.
Таблицы доказательств. Заполнялись авторами клинических рекомендаций.
Методы, использованные для формулирования рекомендаций. Консенсус экспертов.
Индикаторы доброкачественной практики ( Good Practice Points. GPPs ).
Рекомендуемая доброкачественная практика базируется на клиническом опыте авторов разработанных рекомендаций.
Экономический анализ.
Анализ стоимости не проводился и публикации по фармакоэкономике не анализировались.
Метод валидации рекомендаций.
• Внешняя экспертная оценка.
• Внутренняя экспертная оценка.
Описание метода валидации рекомендаций.
Настоящие рекомендации в предварительной версии были рецензированы независимыми экспертами, которых, прежде всего, попросили прокомментировать, насколько доступна для понимания интерпретация доказательств, лежащая в основе рекомендаций.
От врачей первичного звена получены комментарии в отношении доходчивости изложения данных рекомендаций, а также их оценка важности предлагаемых рекомендаций, как инструмента повседневной практики.
Все комментарии, полученные от экспертов, тщательно систематизировались и обсуждались членами рабочей группы (авторами рекомендаций). Каждый пункт обсуждался в отдельности.
Консультация и экспертная оценка.
Проект рекомендаций был рецензирован независимыми экспертами, которых, прежде всего, попросили прокомментировать доходчивость и точность интерпретации доказательной базы, лежащей в основе рекомендаций.
Рабочая группа.
Для окончательной редакции и контроля качества рекомендации были повторно проанализированы членами рабочей группы, которые пришли к заключению, что все замечания и комментарии экспертов приняты во внимание, риск систематических ошибок при разработке рекомендаций сведен к минимуму.
Основные рекомендации.
Сила рекомендаций (1-2) на основании соответствующих уровней доказательств (А-С) и индикаторы доброкачественной практики (табл. 6) - good practice points (GPPs) приводятся при изложении текста рекомендаций.
Таблица П1. Схема для оценки уровня рекомендаций.
| Степень достоверности рекомендаций | Соотношение риска и преимуществ | Методологическое качество имеющихся доказательств | Пояснения по применению рекомендаций |
| 1А Сильная рекомендация, основанная на доказательствах высокого качества | Польза отчетливо превалирует над рисками и затратами, либо наоборот | Надежные непротиворечивые доказательства, основанные на хорошо выполненных РКИ или неопровержимые доказательства, представленные в какой-либо другой форме. Дальнейшие исследования вряд ли изменят нашу уверенность в оценке соотношения пользы и риска. | Сильная рекомендация, которая может использоваться в большинстве случаев у преимущественного количества пациентов без каких-либо изменений и исключений |
| 1В Сильная рекомендация, основанная на доказательствах умеренного качества | Польза отчетливо превалирует над рисками и затратами, либо наоборот | Доказательства, основанные на результатах РКИ, выполненных с некоторыми ограничениями (противоречивые результаты, методологические ошибки, косвенные или случайные ), либо других веских основаниях. Дальнейшие исследования (если они проводятся), вероятно, окажут влияние на нашу уверенность в оценке соотношения пользы и риска и могут изменить ее. | Сильная рекомендация, применение которой возможно в большинстве случаев |
| 1С Сильная рекомендация, основанная на доказательствах низкого качества | Польза, вероятно, будет превалировать над возможными рисками и затратами, либо наоборот | Доказательства, основанные на обсервационных исследованиях, бессистемном клиническом опыте, результатах РКИ, выполненных с существенными недостатками. Любая оценка эффекта расценивается как неопределенная. | Относительно сильная рекомендация, которая может быть изменена при получении доказательств более высокого качества |
| 2А Слабая рекомендация, основанная на доказательствах высокого качества | Польза сопоставима с возможными рисками и затратами | Надежные доказательства, основанные на хорошо выполненных РКИ или подтвержденные другими неопровержимыми данными. Дальнейшие исследования вряд ли изменят нашу уверенность в оценке соотношения пользы и риска. | Слабая рекомендация. Выбор наилучшей тактики будет зависеть от клинической ситуации (обстоятельств), пациента или социальных предпочтений. |
| 2В Слабая рекомендация, основанная на доказательствах умеренного качества | Польза сопоставима с рисками и осложнениями, однако в этой оценке есть неопределенность. | Доказательства, основанные на результатах РКИ, выполненных с существенными ограничениями (противоречивые результаты, методологические дефекты, косвенные или случайные), или сильные доказательства, представленные в какой-либо другой форме. Дальнейшие исследования (если они проводятся), скорее всего, окажут влияние на нашу уверенность в оценке соотношения пользы и риска и могут изменить ее. | Слабая рекомендация. Альтернативная тактика в определенных ситуациях может явиться для некоторых пациентов лучшим выбором. |
| 2С Слабая рекомендация, основанная на доказательствах низкого качества | Неоднозначность в оценке соотношения пользы, рисков и осложнений; польза может быть сопоставима с возможными рисками и осложнениями. | Доказательства, основанные на обсервационных исследованиях, бессистемного клинического опыта или РКИ с существенными недостатками. Любая оценка эффекта расценивается как неопределенная. | Очень слабая рекомендация; альтернативные подходы могут быть использованы в равной степени. |
*В таблице цифровое значение соответствует силе рекомендаций, буквенное - соответствует уровню доказательности.
Актуализация данных клинических рекомендаций будет проводиться не реже, чем один раз в пять лет. Принятие решения об обновлении будет принято на основании предложений, представленных медицинскими профессиональными некоммерческими организациями с учётом результатов комплексной оценки лекарственных препаратов, медицинских изделий, а также результатов клинической апробации.
Приложение А3.
Связанные документы.Порядки оказания медицинской помощи:
Приказ Министерства здравоохранения Российской Федерации от 25 октября 2012 г. No 440н Об утверждении Порядка оказания медицинской помощи по профилю детская кардиология (Зарегистрировано в Минюсте РФ 4 декабря 2012 г. Регистрационный No 26000.
Приказ Министерства здравоохранения Российской Федерации от 15 ноября 2012 г. No 918н Об утверждении Порядка оказания медицинской помощи больным сердечно-сосудистыми заболеваниями (Зарегистрировано в Минюсте РФ 29 декабря 2012 г. Регистрационный No 26483).
КР337. Болевой синдром (БС) у детей, нуждающихся в паллиативной медицинской помощи.
Приложение В.
Информация для пациентов.Синдром удлиненного интервала QT это заболевание, относящееся к нарушениям ритма сердца, при котором нарушается работа мембраны сердечной клетки. В зависимости от причины возникновения различают первичный и вторичный синдром удлиненного интервала QT.
Причиной первичного синдрома всегда является мутация в гене. Всего в настоящее время известно 10 генов, мутации в которых приводят к развитию синдрома удлиненного интервала QT. Генетическая мутация может быть как унаследована от одного или обоих родителей, так и появиться впервые у пациента.
Причинами вторичного синдрома удлиненного интервала QT могут быть различные состояния (электролитные нарушения, отравления ртутью и органофосфорными инсектицидами, низкобелковая диета, нервная анорексия, интракраниальные и субарахноидальные кровоизлияния, полная АВ блокада, синусовая брадикардия, миокардиты, кардиомиопатии, заболевания эндокринной системы) и прием некоторых лекарственных средств.
Основным проявлением синдрома удлиненного интервала QT являются синкопальные состояния (обмороки), которые возникают вследствие нарушения ритма сердца - фибрилляции желудочков.
Обморок может быть спровоцирован эмоциональной или физической нагрузкой, резким звуком, водой, испугом. В некоторых случаях приступ желудочковой тахикардии возникает во сне или в покое. Иногда перед обмороком может быть ощущение сердцебиения; чаще всего предвестники отсутствуют. Во время обморока АД и пульс могут не определяются, отмечается бледность кожных покровов. При длительности обморока минуту и более возможно развитие судорог, непроизвольного мочеиспускания и/или дефекации, что зачастую приводит к ошибочному диагнозу эпилепсии. В случае возникновения обморока у пациента с СУИQT необходимо провести мероприятия сердечно-легочной реанимации.
При этом заболевании имеет место высокий риск внезапной сердечной смерти, которая в некоторых случаях является первым симптомом заболевания.
Диагностируется заболевание чаще всего в связи с изменениями на ЭКГ в виде удлинения интервала QT более 450 мс. Кроме того, заболевание может быть диагностировано при обследовании по поводу впервые возникшего синкопального состояния.
В случае выявления изменений на ЭКГ необходима срочная консультация кардиолога с целью выяснения причин удлинения интервала QT и определения прогноза. Обследование включает в себя кроме стандартной ЭКГ суточное мониторирование ЭКГ, эхокардиографию, пробу с нагрузкой (тредмилл-тест или велоэргометрию), определение уровня электролитов крови. При выявлении вторичного СУИQT необходимо устранить те патологические состояния, которые привели к изменениям на ЭКГ - коррекция уровня электролитов, либо нормализации функции пораженной эндокринной железы, или прекращение приема лекарства. В случае установления диагноза первичного СУИQT необходимо дополнительно обследовать членов семьи. Пациент с первичным СУИQT нуждается в постоянном наблюдении кардиологом и регулярном мониторировании факторов риска возникновения синкопальных состояний, даже в отсутствие клинических проявлений заболевания.
Основной целью лечения СУИQT является профилактика развития желудочковой тахикардии и следовательно синкопальных состояний. Лечение включает в себя медикаментозную терапию, оперативные методы (имплантация кардиовертера-дефибрилятора, удаление левого звездчатого ганглия), изменения образа жизни.
К медикаментозной терапии относятся бета-адреноблокаторы - антиаритмические препараты. В нашей стране используется преимущественно атенолол. Назначается он при наличии у пациента синкопальных состояний, либо высокого риска их развития. Атенолол назначается постоянно по жизненным показаниям, строго регулярно.Отменять его самостоятельно нельзя. Даже при необходимости проведения дополнительных обследований натощак (например, гастроскопия или биохимический анализ крови), прием атенолола не пропускается. Кроме того, все пациенты получают препараты магния и калия курсами. Калий и магний - это минералы, необходимые для нормальной работы проводящей системы сердца.
Если сохраняются обмороки на фоне антиаритмической терапии, а также при некоторых генетических вариантах синдрома, характеризующихся особенно высоким риском внезапной сердечной смерти, проводится оперативное лечение - имплантация кардиовертера-дефибриллятора. При этом, антиаритмическая терапия не прекращается. Кардиовертер-деяибриялтор необходим для того, чтобы предотвратить фатальные осложнения в случае развития желудочковой тахикардии.
Левый звездчатый ганглий является частью симпатической нервной системы, участвует в регуляции ритма сердца. Удаление производится хирургическим путем. Процедура помогает существенно снизить частоту синкопальных состояний.
При наличии синдрома удлиненного интервала QT, даже при легком течении заболевания, противопоказан профессиональный спорт. Уровень допустимой физической нагрузки определяется кардиологом. Учитывая, что обморок может возникнуть в воде, рекомендовано либо воздержаться от занятий плаванием, либо не плавать в одиночестве. Необходимо исключить прием препаратов, удлиняющих интервал QT.
При возникновении состояний, сопровождающихся электролитными нарушениями (таких как, диарея, многократная рвота), необходимо сразу проводить коррекцию уровня электролитов во избежание развития желудочковой тахикардии. При наличии синкопальных состояний рекомендовано по возможности избегать ситуаций, провоцирующих обморок: физических нагрузок, резких звуков, стрессовых ситуаций.
Период беременности, родов и послеродовый период у женщин с первичным СУИQT отличаются высоким риском возникновения симптомов. В этот период необходим тщательный контроль за состоянием женщины. Недопустимо отменять прием антиаритмической терапии или уменьшать дозу препаратов в этом периоде.
При появлении нового члена семьи (рождение ребенка), необходимо его обследовать для выявления у него проявлений СУИQT.
Приложение Г.
…ж - лекарственный препарат, входящий в Перечень жизненно необходимых и важнейших лекарственных препаратов для медицинского применения на 2017 год (Распоряжение Правительства РФ от 28 декабря 2016 года N 2885-р).|
|
Год актуализации информации
2016.