МКБ-10 коды
|
|
Вступление
Кодирование по Международной статистической классификации болезней и проблем, связанных со здоровьем: E25.0, E25.8, E25.9.
Год утверждения (частота пересмотра): 2021.
Возрастная категория: Взрослые.
Пересмотр не позднее: 2023.
ID: 82.
Разработчик клинической рекомендации.
• Российская ассоциация эндокринологов.
• Российское общество акушеров-гинекологов.
Одобрено Научно-практическим Советом Минздрава РФ.
Год утверждения (частота пересмотра): 2021.
Возрастная категория: Взрослые.
Пересмотр не позднее: 2023.
ID: 82.
Разработчик клинической рекомендации.
• Российская ассоциация эндокринологов.
• Российское общество акушеров-гинекологов.
Одобрено Научно-практическим Советом Минздрава РФ.
|
|
Список сокращений
| 17ОНР ─17-гидроксипрогестерон | |
| HLA-комплекс ─ Human Leucocyte Antigens (система генов тканевой совместимости человека) | |
| TART ─ Testicular Adrenal Rest Tumors (образования в яичках из остаточной надпочечниковой ткани) | |
| АГ ─ Артериальная гипертензия | |
| АКТГ─ Адренокортикотропный гормон | |
| АРП ─ Рениновая активность плазмы крови | |
| ВДКН ─ Врожденная дисфункция коры надпочечников | |
| ГК─ Глюкокортикоиды | |
| ГФ ВДКН ─ Гипертоническая форма ВДКН | |
| ДОК ─ Дезоксикортикостерон | |
| ЖКТ ─ Желудочно-кишечный тракт | |
| ИМТ ─ Индекс массы тела | |
| КОК ─ Комбинированные оральные контрацептивы | |
| ЛПВП ─ Липопротеиды высокой плотности | |
| МК ─ Минералокортикоиды | |
| нВДКН ─ Неклассическая форма врожденной дисфункции коры надпочечников | |
| НПО ─ Наружные половые органы | |
| НТГ ─ Нарушение толерантности к глюкозе | |
| ОГТТ ─ Оральный глюкозотолерантный тест | |
| ОХС ─ Общий холестерин | |
| СД ─ Сахарный диабет |
Термины и определения
Секвенирование. Определение последовательности нуклеотидов в молекуле ДНК или последовательности аминокислот в молекуле белка.
Компаунд-гетерозиготность. Состояние организма, при котором один и тот же локус на гомологичных хромосомах представлен разными мутантными аллелями.
Мутация (патогенный вариант). Изменение в наследственных структурах (ДНК, ген, хромосома, геном):
• со сдвигом рамки - приводящая к нарушению нормального отсчета кодирующих триплетов (делеции или вставки участков молекулы ДНК, размеры которых не кратны трем основаниям); обычно приводит к изменению аминокислотной последовательности белка;
• сплайсинговая - затрагивающая сайт сплайсинга и приводящая к неправильному вырезанию интрона либо к удалению из молекулы РНК информационно значимой экзонной последовательности.
Неонатальный скрининг на 17 OHP. Позволяет диагностировать классические формы дефицита 21-гидроксилазы. На втором этапе скрининга (ретестирование) предпочтительно определение мультистероидного спектра методом тандемной масс-спектрометрии.
В РФ неонатальный скрининг на выявление дефицита 21-гидроксилазы проводится согласно приказу Минздравсоцразвития РФ от 22,03,2006 N 185. Скрининг начинается в родильном доме: у каждого новорождённого берется несколько капель крови на специальный тест-бланк, который направляется в специализированную лабораторию для проведения исследования. У доношенных детей кровь для исследования берут на 4 день жизни, у недоношенных - на 7 день жизни. Используются разные пороговые уровни 17OHP в зависимости от массы тела при рождении, которые определены для каждой лаборатории. Сведения о положительном результате скрининга сообщаются в поликлинику по месту жительства ребенка, после чего происходит повторный забор крови для ретестирования.
Интроитопластика. Формирование преддверия входа во влагалище.
Компаунд-гетерозиготность. Состояние организма, при котором один и тот же локус на гомологичных хромосомах представлен разными мутантными аллелями.
Мутация (патогенный вариант). Изменение в наследственных структурах (ДНК, ген, хромосома, геном):
• со сдвигом рамки - приводящая к нарушению нормального отсчета кодирующих триплетов (делеции или вставки участков молекулы ДНК, размеры которых не кратны трем основаниям); обычно приводит к изменению аминокислотной последовательности белка;
• сплайсинговая - затрагивающая сайт сплайсинга и приводящая к неправильному вырезанию интрона либо к удалению из молекулы РНК информационно значимой экзонной последовательности.
Неонатальный скрининг на 17 OHP. Позволяет диагностировать классические формы дефицита 21-гидроксилазы. На втором этапе скрининга (ретестирование) предпочтительно определение мультистероидного спектра методом тандемной масс-спектрометрии.
В РФ неонатальный скрининг на выявление дефицита 21-гидроксилазы проводится согласно приказу Минздравсоцразвития РФ от 22,03,2006 N 185. Скрининг начинается в родильном доме: у каждого новорождённого берется несколько капель крови на специальный тест-бланк, который направляется в специализированную лабораторию для проведения исследования. У доношенных детей кровь для исследования берут на 4 день жизни, у недоношенных - на 7 день жизни. Используются разные пороговые уровни 17OHP в зависимости от массы тела при рождении, которые определены для каждой лаборатории. Сведения о положительном результате скрининга сообщаются в поликлинику по месту жительства ребенка, после чего происходит повторный забор крови для ретестирования.
Интроитопластика. Формирование преддверия входа во влагалище.
Описание
Врожденная дисфункция коры надпочечников (ВДКН). Это группа аутосомно-рецессивных заболеваний, характеризующихся дефектом одного из ферментов или транспортных белков, принимающих участие в синтезе кортизола в коре надпочечников.
Причины
Причиной развития любой формы ВДКН являются патогенные варианты генов, отвечающих за синтез ферментов или транспортных белков, участвующих в биосинтезе кортизола.
ВДКН вследствие дефицита 21-гидроксилазы обусловлена патогенными вариантами в гене сYP21 (CYP21A2), находящемся в HLA-комплексе на коротком плече 6-й хромосомы (6р21,3). Описано более 200 патогенных вариантов сYP21A2. Большинство (75-80%) из них приходится на точечные микроконверсии между геном сYP21 и гомологичным ему псевдогеном сYP21P (CYP21A1P, сYP21A), в то время как всего 20-25% приходится на крупные мутации - делеции и конверсии, приводящие к более тяжелым формам ВДКН. Кроме того, существуют более редкие спорадические патогенные варианты.
В большинстве случаев дефицита 21-гидроксилазы отмечается наличие фенотип-генотипической корреляции. Так патогенные варианты, сопровождающиеся сохранением более 5% активности фермента, приводят к неклассической форме заболевания; крупные делеции и сплайсинг-мутации, при которых активность фермента снижена до 0-2% - к классическим формам. Однако необходимо помнить, что одни и те же патогенные варианты могут приводить к разным фенотипическим проявлениям (табл. 1)[1,2,3,4].
Таблица 1. Фенотипическая корреляция наиболее частых патогенных вариантов гена сYP21 при различных формах ВДКН.
В случае компаунд-гетерозиготных состояний клиническая картина определяется более «легким» патогенным вариантом. В отличие от детского возраста, у взрослых несколько более высока чувствительность минералокортикоидных рецепторов, поэтому те патогенны варианты, что в детстве чаще давали клиническую картину, характерную для сольтеряющей формы, у взрослых могут проявляться в виде простой вирильной формы (табл. 2).
Таблица 2. Фенотипические проявления различных генотипов у взрослых пациентов с дефицитом 21-гидроксилазы в РФ [4].
Гипертоническая форма ВДКН развивается вследствие патогенных вариантов гена сYP11B, локализованном на 8 хромосоме (8q21-q22). В организме человека функционируют 2 изоформы фермента, обладающие 93% идентичностью. 11β-гидроксилаза 1 типа (CYP11В1) вырабатывается в пучковой зоне коры надпочечников, отвечает за биосинтез кортизола и регулируется АКТГ по механизму отрицательной обратной связи. Именно дефицит фермента 11β-гидроксилазы 1 типа приводит к развитию гипертонической формы ВДКН. Наиболее частый патогенный вариант в гене сYP11B1 ― R448H.
Изолированный дефект второй изоформы 11β-гидроксилазы (альдостерон-синтетазы) к ВДКН не относится.
Нарушение синтеза кортизола вследствие недостаточности фермента 21-гидроксилазы ведет к тому, что по механизму отрицательной обратной связи избыток АКТГ стимулирует корковый слой надпочечников, что вызывает ее гиперплазию. При этом из-за существующего ферментативного блока на пути стероидогенеза накапливаются предшественники кортизола и андрогенов, пути образования которых не заблокированы (1а, 1б, 1в).[1,2,4].
Рисунок 1а. Схема стероидогенеза.
Примечания. P450scc (CYP11A1) - 20,22-десмолаза, или «фермент, расщепляющий боковую цепь холестерина» (scc - от англ. side chain cleavage); StAR - cтероидогенный острый регуляторный белок; P450c17 (CYP17A1) - 17α-гидроксилаза; P450c17 + b5 - 17,20-лиаза (CYP17A1) + cytochrome b5; 3βHSD2 - 3-бета-гидроксистероиддегидрогеназа, тип 2; 17βHSD5 - 17-бета-гидроксистероиддегидрогеназа, тип 5; P450c21 (CYP21A2) - 21-гидроксилаза; P450c11β (CYP11B1) - 11β -гидроксилаза; 11βHSD2 - 11-бета-гидроксистероиддегидрогеназа, тип 2; P450c11AS (CYP11B2) - альдостеронсинтаза; ДГЭА - дегидроэпиандростерон; 5αR2 - 5-альфа-редуктаза 2.
Рисунок 1б. Патогенез ВДКН вследствие дефицита 21-гидроксилазы (Р450с21).
Примечания. P450scc (CYP11A1) - 20,22-десмолаза, или «фермент, расщепляющий боковую цепь холестерина» (scc - от англ. side chain cleavage); StAR - cтероидогенный острый регуляторный белок; P450c17 (CYP17A1) - 17α-гидроксилаза; P450c17 + b5 - 17,20-лиаза (CYP17A1) + cytochrome b5; 3βHSD2 - 3-бета-гидроксистероиддегидрогеназа, тип 2; 3αHSD - 3-альфа-гидроксистероиддегидрогеназа; 17βHSD5 - 17-бета-гидроксистероиддегидрогеназа, тип 5; P450c21 (CYP21A2) - 21-гидроксилаза; P450c11β (CYP11B1) - 11β -гидроксилаза; 11βHSD2 - 11-бета-гидроксистероиддегидрогеназа, тип 2; P450c11AS (CYP11B2) - альдостеронсинтаза; ДГЭА - дегидроэпиандростерон; 5αR1 - 5-альфа-редуктаза 1; 5αR2 - 5-альфа-редуктаза 2.
Рисунок 1в. Патогенез ВДКН вследствие дефицита 21-гидроксилазы (в сокращенном виде).
При ГФ ВДКН (дефицит 11β-гидроксилазы, Р450с11β) патогенез аналогичен дефициту 21-гидроксилазы. Главным отличием является то, что при ГФ блок располагается ниже, при этом нарушается конверсия дезоксикортикостерона (ДОК) в кортикостерон. Именно избыток ДОК, обладающего минералокортикоидной активностью, считается основной причиной повышения артериального давления при ВДКН ( 2). Также обсуждается возможная роль 18- гидрокси- и 19-оксо- метаболитов ДОК, которые тоже обладают минералокортикоидными свойствами.
Рисунок 2. Патогенез ВДКН вследствие дефицита 11β-гидроксилазы.
ВДКН вследствие дефицита 21-гидроксилазы обусловлена патогенными вариантами в гене сYP21 (CYP21A2), находящемся в HLA-комплексе на коротком плече 6-й хромосомы (6р21,3). Описано более 200 патогенных вариантов сYP21A2. Большинство (75-80%) из них приходится на точечные микроконверсии между геном сYP21 и гомологичным ему псевдогеном сYP21P (CYP21A1P, сYP21A), в то время как всего 20-25% приходится на крупные мутации - делеции и конверсии, приводящие к более тяжелым формам ВДКН. Кроме того, существуют более редкие спорадические патогенные варианты.
В большинстве случаев дефицита 21-гидроксилазы отмечается наличие фенотип-генотипической корреляции. Так патогенные варианты, сопровождающиеся сохранением более 5% активности фермента, приводят к неклассической форме заболевания; крупные делеции и сплайсинг-мутации, при которых активность фермента снижена до 0-2% - к классическим формам. Однако необходимо помнить, что одни и те же патогенные варианты могут приводить к разным фенотипическим проявлениям (табл. 1)[1,2,3,4].
Таблица 1. Фенотипическая корреляция наиболее частых патогенных вариантов гена сYP21 при различных формах ВДКН.
| Сольтеряющая форма | Вирильная форма | Неклассическая форма |
| - E3del - I2spl I172N - R356W - Q318X - Кластер Е6 - V237E | - P453S - P30L - I172N | - V281L - P30L P453S P105L R339H V304M G375S |
В случае компаунд-гетерозиготных состояний клиническая картина определяется более «легким» патогенным вариантом. В отличие от детского возраста, у взрослых несколько более высока чувствительность минералокортикоидных рецепторов, поэтому те патогенны варианты, что в детстве чаще давали клиническую картину, характерную для сольтеряющей формы, у взрослых могут проявляться в виде простой вирильной формы (табл. 2).
Таблица 2. Фенотипические проявления различных генотипов у взрослых пациентов с дефицитом 21-гидроксилазы в РФ [4].
| Патогенный вариант | Клинические признаки заболевания (%) |
| I2spl/I2spl | Сольтеряющая 85% Вирильная 15% |
| I172N/I172N | Сольтеряющая 21% Вирильная 78% |
| E3del/E3del | Сольтеряющая 100% |
| R356W/R356W | Сольтеряющая 100% |
Гипертоническая форма ВДКН развивается вследствие патогенных вариантов гена сYP11B, локализованном на 8 хромосоме (8q21-q22). В организме человека функционируют 2 изоформы фермента, обладающие 93% идентичностью. 11β-гидроксилаза 1 типа (CYP11В1) вырабатывается в пучковой зоне коры надпочечников, отвечает за биосинтез кортизола и регулируется АКТГ по механизму отрицательной обратной связи. Именно дефицит фермента 11β-гидроксилазы 1 типа приводит к развитию гипертонической формы ВДКН. Наиболее частый патогенный вариант в гене сYP11B1 ― R448H.
Изолированный дефект второй изоформы 11β-гидроксилазы (альдостерон-синтетазы) к ВДКН не относится.
Нарушение синтеза кортизола вследствие недостаточности фермента 21-гидроксилазы ведет к тому, что по механизму отрицательной обратной связи избыток АКТГ стимулирует корковый слой надпочечников, что вызывает ее гиперплазию. При этом из-за существующего ферментативного блока на пути стероидогенеза накапливаются предшественники кортизола и андрогенов, пути образования которых не заблокированы (1а, 1б, 1в).[1,2,4].
Рисунок 1а. Схема стероидогенеза.
Примечания. P450scc (CYP11A1) - 20,22-десмолаза, или «фермент, расщепляющий боковую цепь холестерина» (scc - от англ. side chain cleavage); StAR - cтероидогенный острый регуляторный белок; P450c17 (CYP17A1) - 17α-гидроксилаза; P450c17 + b5 - 17,20-лиаза (CYP17A1) + cytochrome b5; 3βHSD2 - 3-бета-гидроксистероиддегидрогеназа, тип 2; 17βHSD5 - 17-бета-гидроксистероиддегидрогеназа, тип 5; P450c21 (CYP21A2) - 21-гидроксилаза; P450c11β (CYP11B1) - 11β -гидроксилаза; 11βHSD2 - 11-бета-гидроксистероиддегидрогеназа, тип 2; P450c11AS (CYP11B2) - альдостеронсинтаза; ДГЭА - дегидроэпиандростерон; 5αR2 - 5-альфа-редуктаза 2.
Рисунок 1б. Патогенез ВДКН вследствие дефицита 21-гидроксилазы (Р450с21).
Примечания. P450scc (CYP11A1) - 20,22-десмолаза, или «фермент, расщепляющий боковую цепь холестерина» (scc - от англ. side chain cleavage); StAR - cтероидогенный острый регуляторный белок; P450c17 (CYP17A1) - 17α-гидроксилаза; P450c17 + b5 - 17,20-лиаза (CYP17A1) + cytochrome b5; 3βHSD2 - 3-бета-гидроксистероиддегидрогеназа, тип 2; 3αHSD - 3-альфа-гидроксистероиддегидрогеназа; 17βHSD5 - 17-бета-гидроксистероиддегидрогеназа, тип 5; P450c21 (CYP21A2) - 21-гидроксилаза; P450c11β (CYP11B1) - 11β -гидроксилаза; 11βHSD2 - 11-бета-гидроксистероиддегидрогеназа, тип 2; P450c11AS (CYP11B2) - альдостеронсинтаза; ДГЭА - дегидроэпиандростерон; 5αR1 - 5-альфа-редуктаза 1; 5αR2 - 5-альфа-редуктаза 2.
Рисунок 1в. Патогенез ВДКН вследствие дефицита 21-гидроксилазы (в сокращенном виде).
При ГФ ВДКН (дефицит 11β-гидроксилазы, Р450с11β) патогенез аналогичен дефициту 21-гидроксилазы. Главным отличием является то, что при ГФ блок располагается ниже, при этом нарушается конверсия дезоксикортикостерона (ДОК) в кортикостерон. Именно избыток ДОК, обладающего минералокортикоидной активностью, считается основной причиной повышения артериального давления при ВДКН ( 2). Также обсуждается возможная роль 18- гидрокси- и 19-оксо- метаболитов ДОК, которые тоже обладают минералокортикоидными свойствами.
Рисунок 2. Патогенез ВДКН вследствие дефицита 11β-гидроксилазы.
|
|
Эпидемиология
Распространенность классических форм дефицита 21-гидроксилазы составляет от 1:14000 до 1:18000 живых новорожденных в мире. По данным неонатального скрининга в РФ распространенность заболевания в отдельных регионах составляет от 1:5000 до 1:12000, в целом по стране - 1:9638 живых новорожденных. Неклассическая форма ВДКН встречается чаще -от 1:500 до 1:1000 среди общей популяции, а в некоторых изолированных этнических группах, характеризующихся высоким процентом близкородственных браков (например, евреи Ашкенази), распространенность может доходить до 1:50 до 1:100 [2,3,5].
На втором месте находится гипертоническая форма ВДКН (ГФ ВДКН) - дефицит 11β- гидроксилазы, которая встречается по данным литературы примерно у 1 на 100000 новорожденных, а среди евреев Марокко - 1 на 5000-7000 новорожденных. В России распространенность ГФ ВДКН не изучена.
Остальные формы описаны лишь в виде отдельных клинических наблюдений и не подлежат систематизации для выработки клинических рекомендаций.
E25,0 - Врожденные адреногенитальные нарушения, связанные с дефицитом ферментов;
E25,8 Другие адреногенитальные нарушения;
E25,9 Адреногенитальное нарушение неуточненное.
На втором месте находится гипертоническая форма ВДКН (ГФ ВДКН) - дефицит 11β- гидроксилазы, которая встречается по данным литературы примерно у 1 на 100000 новорожденных, а среди евреев Марокко - 1 на 5000-7000 новорожденных. В России распространенность ГФ ВДКН не изучена.
Остальные формы описаны лишь в виде отдельных клинических наблюдений и не подлежат систематизации для выработки клинических рекомендаций.
1,4 Особенности кодирования заболевания или состояния (группы заболеваний или состояний) по Международной статистической классификации болезней и проблем, связанных со здоровьем.
Адреногенитальные расстройства (E25):E25,0 - Врожденные адреногенитальные нарушения, связанные с дефицитом ферментов;
E25,8 Другие адреногенитальные нарушения;
E25,9 Адреногенитальное нарушение неуточненное.
Классификация
1,5 Классификация заболевания или состояния (группы заболеваний или состояний).
В настоящее время описано 7 форм ВДКН:• липоидная гиперплазия коры надпочечников (дефицит StAR-протерина);
• дефицит 20,22-десмолазы;
• дефицит 17α-гидроксилазы/17,20-лиазы;
• дефицит 3β-гидроксистероиддегидрогеназы;
• дефицит 21-гидроксилазы;
• дефицит 11β-гидроксилазы;
• дефицит оксидоредуктазы.
Наиболее частая форма ВДКН, встречающаяся более чем в 90% случаев, обусловлена дефицитом фермента 21-гидроксилазы. В свою очередь, ВДКН вследствие дефицита 21-гидроксилазы подразделяется на неклассическую и классические (вирильная и сольтеряющая) формы.
Клиническая картина
Клиническая картина дефицита 21-гидроксилазы складывается из двух основных составляющих: надпочечниковой недостаточности, возникающей вследствие дефицита синтеза кортизола и альдостерона, и гиперандрогении, возникающей из-за избыточной продукции незаблокированных половых стероидов. В зависимости от степени сохранности активности фермента 21-гидроксилазы выделяют две классические формы ВДКН: сольтеряющую и вирильную.
При сольтеряющей форме имеется дефицит как минералокортикоидов, так и глюкокортикоидов. Причем дефицит последних, при отсутствии компенсации, приводит к развитию смертельно-опасного состояния - сольтеряющего криза, обусловленного снижением реабсорбции натрия в канальцах почек, снижением объем циркулирующей крови, артериального давления, развитием выраженного обезвоживания. Наиболее тяжело сольтеряющие кризы протекают в детском возрасте, с возрастом их частота снижается, однако в стрессовых ситуациях, например, при операциях, травмах, интеркуррентных заболеваниях, они могут осложнить течение заболевания и у взрослых.
При вирильной форме отмечается только дефицит кортизола, что при отсутствии лечения проявляется мышечной слабостью, утомляемостью, потемнением кожных покровов на фоне симптомов гиперандрогении.
При неклассической форме заболевания ведущими жалобами пациенток являются избыточное оволосение, нарушения менструального цикла, бесплодие или невынашивание беременности [1,2,4,6].
При сольтеряющей форме имеется дефицит как минералокортикоидов, так и глюкокортикоидов. Причем дефицит последних, при отсутствии компенсации, приводит к развитию смертельно-опасного состояния - сольтеряющего криза, обусловленного снижением реабсорбции натрия в канальцах почек, снижением объем циркулирующей крови, артериального давления, развитием выраженного обезвоживания. Наиболее тяжело сольтеряющие кризы протекают в детском возрасте, с возрастом их частота снижается, однако в стрессовых ситуациях, например, при операциях, травмах, интеркуррентных заболеваниях, они могут осложнить течение заболевания и у взрослых.
При вирильной форме отмечается только дефицит кортизола, что при отсутствии лечения проявляется мышечной слабостью, утомляемостью, потемнением кожных покровов на фоне симптомов гиперандрогении.
При неклассической форме заболевания ведущими жалобами пациенток являются избыточное оволосение, нарушения менструального цикла, бесплодие или невынашивание беременности [1,2,4,6].
Диагностика
Критерии установления диагноза классических форм дефицита 21-гидроксилаы. Диагноз устанавливается с рождения на основании результатов лабораторных исследований - неонатального скрининга (определение 17-гидроксипрогестерона у новорожденных), в последующем подтвержденного повторным лабораторным обследование с определением в крови повышенного уровня 17 ОНP, дополнительно тестостерона, андростендиона, при сольтеряющей форме заболевания - повышенным уровнем ренина и рениновой активности плазмы крови, гиперкалиемии, гипонатриемии; результатами генетического обследования (выявление мутаций в гене сYP21A2); данными физикального обследования - нарушение формирования наружных половых органов у новорожденных женского пола, признаков преждевременного полового развития у детей обоих полов. В недиагностированных случаях классических форм ВДКН пациентки с женским кариотипом имеют мужской фенотип, принципы лабораторной и генетической диагностики заболевания у взрослых такие же, как в детском возрасте [1,2,4-15].
Уровень убедительности рекомендаций А (уровень достоверности доказательств - 2).
Критерии установления диагноза неклассической формы дефицита 21-гидроксилаы. Диагноз устанавливается на основании анамнестических данных - пациентки предъявляют жалобы на нарушения менструального цикла, привычное невынашивание или бесплодие, избыточный рост волос в андрогензависимых зонах; данных физикального обследования - у женщин выявляются признаки гирсутизма, акне; лабораторного и генетического обследований - повышения уровня 17ОНР, выявление мутаций в гене сYP21A2. У мужчин прицельная диагностика заболевания не проводится, вследствие отсутствия клинических проявлений. Исключение составляют пациенты с бесплодием, TART, опухолями надпочечников и с результатами генетического обследования, которые являются промежуточными между классическими и неклассическими фенотипами [17,19, 21,24-31,45,81,82].
Уровень убедительности рекомендаций А (уровень достоверности доказательств - 2).
Критерии установления диагноза гипертонической формы ВДКН вследствие дефицита 11β-гидроксилазы: диагноз устанавливается с рождения на основании определения 11-дезоксикортизола, генетического обследования: исследование мутаций в гене сYP11B1. Как правило, при этой форме заболевания определяется повышение 17ОНР, поэтому по результатам неонатального скрининга и последующего лабораторного обследования пациентам устанавливается первоначально диагноз вирильной формы дефицита 21 гидроксилазы, однако в последующем, учитывая клиническую картину заболевания: выявления артериальной гипертензии у пациентов, низком уровне калия и активности ренина плазмы (АРП) вне приема минералокортикоидный препаратов (МК) или передозировки глюкокортикоидными (ГК), проводится более углубленное обследование с определением вышеуказанных лабораторных параметров и устанавливается диагноз гипертонической формы ВДКН [1,4,6].
Уровень убедительности рекомендаций С (уровень достоверности доказательств - 4).
Жалобы пациентов определяются клинической картиной дефицита 21-гидроксилазы (см п 1,5).
Уровень убедительности рекомендаций с (уровень достоверности доказательств - 5).
Комментарии. Признаки гиперандрогении у женщин с классическими формами дефицита 21-гидроксилазы обычно ярко выражены и при отсутствии лечения проявляются вирилизацией наружных половых органов, аменореей, выраженной алопецией и гирсутизмом. В недиагностированных случаях ВДКН пациентки с женским кариотипом имеют мужской фенотип. У мужчин признаки надпочечниковой гиперандрогении проявляются в меньшей степени, чем в детском возрасте, к ним можно отнести акне и бесплодие.
Нередко у пациентов отмечается низкий конечный рост, что может являться следствием как недостаточного (из-за избытка андрогенов), так и избыточного (из-за избытка глюкокортикоидов) лечения в детстве.
Неклассическая форма ВДКН не сопровождается признаками надпочечниковой недостаточности и проявляется довольно поздно - обычно после пубертатного возраста. У мужчин это заболевание практически никогда не диагностируется и не требует лечения в связи с отсутствием характерных признаков. У женщин отмечаются признаки умеренной гиперандрогении: акне, гирсутизм, алопеция; часто наблюдается нарушение менструального цикла, бесплодие и невынашивание беременности.
У пациентов с дефицитом 11β-гидроксилазы, как и при вирильной форме 21-гидроксилазы, развиваются клинические признаки, связанные с действием избытка андрогенов и дефицита кортизола. Поэтому в детском возрасте нередко пациентам ошибочно устанавливается диагноз дефицита 21-гидроксилазы, тем более что уровень 17-ОН-прогестерона (17ОНР) у них обычно повышен, как и при вирильной форме. Заподозрить гипертоническую форму можно в случаях повышения артериального давления у пациентов на глюкокортикоидной терапии в отсутствие признаков передозировки терапии. АГ, которая встречается у 2/3 пациентов с дефицитом 11β-гидроксилазы, начинает проявляться в разном возрасте, чаще в детстве, может носить как умеренный, так и выраженный характер с развитием осложнений: гипертрофия левого желудочка, ретинопатия, макроваскулярные осложнения [1,2,4,6].
• В качестве основного метода выявления классических форм дефицита 21-гидрокислазы рекомендуется проводить всем новорожденным неонатальный скрининг с исследованием уровня 17ОНР в крови [5,7-15].
Уровень убедительности рекомендаций А (уровень достоверности доказательств - 2).
Комментарии. Благодаря тому, что ВДКН является генетическим, потенциально летальным и имеющим четкий диагностический маркер заболеванием, оптимальным методом выявления ВДКН во всем мире в настоящее время считается проведение неонатального скрининга. С середины 2006 г. он был внедрен и в России, что позволяет поставить диагноз и начать лечение еще в раннем детском возрасте. Поэтому диагностика классических форм во взрослом возрасте обычно уже не требуется. Однако иногда заболевание не диагностируется вовремя, и установление диагноза требуется в старшем возрасте. Обычно эта ситуация возникает у взрослых при сочетании несоответствия паспортного и генетического пола или при длительно существующей тяжелой вирилизации [5,7,8,9,10,11,12,13,14,15].
• Рекомендуется использовать исследование уровня 17-гидроксипрогестерона в крови в ранние утренние часы как главного диагностического маркера ВДКН в тех случаях, когда диагноз ранее не был установлен в ходе неонатального скрининга [16-19,21-28].
Уровень убедительности рекомендаций А (уровень достоверности доказательств - 2).
Комментарии. Диагностика дефицита 21-гидроксилазы основана на определении уровня 17ОНР - предшественника кортизола, находящегося непосредственно над ферментативным блоком. При классических формах его уровень обычно значительно превышен - более 300 нмоль/л или более 100 нг/мл. Кроме того, отмечается значительное повышение уровней тестостерона, андростендиона и других предшественников половых стероидов. При таких показателях диагноз не вызывает сомнений, дополнительного подтверждения не требуется. Предпочтительный лабораторный метод определения гормональных показателей - жидкостная тандемная масспектрометрия, метод ИФА дает большее число ложно-положительных результатов [16,17,18,19,21,22,23,24,25,26,27,28].
Диагностика неклассической формы 21-гидроксилазы.
• Диагностику нВДКН рекомендуется проводить у женщин с признаками гирсутизма, алопеции, акне, нарушениями менструального цикла, бесплодием и/или привычным невынашиванием беременности [16-19,21,29-31].
Уровень убедительности рекомендаций A (уровень достоверности доказательств - 3).
Комментарии. Диагностика неклассической формы ВДКН является более частой задачей и рутинно встречается в практике эндокринологов и акушеров-гинекологов, так как по клиническим проявлениям это заболевание схоже с синдромом поликистозных яичников. Именно с этим заболеванием и проводится чаще всего дифференциальная диагностика нВДКН.[16,17,18,19,21,29,30,31].
• Для диагностики нВДКН рекомендуется исследовать уровень 17ОНР в крови у женщин в раннюю фолликулярную фазу в утренние часы [16-19,21,29-31].
Уровень убедительности рекомендаций A (уровень достоверности доказательств - 2).
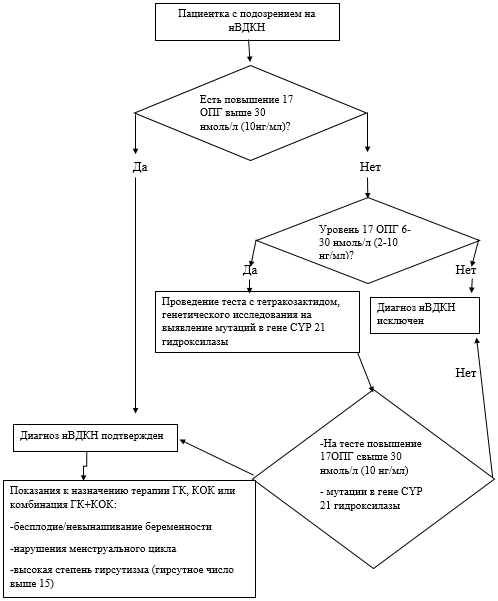
Комментарии. Для диагностики неклассической формы забор крови на 17ОНР проводят рано утром в фолликулярную фазу цикла (не позднее 5-7 дня), при аменорее - в любой день, строго вне беременности. Нормой считаются показатели менее 6 нмоль/л или менее 2 нг/мл, ниже этих уровней нВДКН практически не встречается. Следует помнить, что референсные значения, которые приводятся различными лабораториями, обычно отличаются и могут быть значительно ниже указанных «отрезных точек» для диагностики неклассической ВДКН. В случае значений базального 17ОНР более 30 нмоль/л или 10 нг/мл, диагноз ВДКН считается подтвержденным, и дополнительной диагностики не требуется.
При пограничных значениях 17ОНР (6-30 нмоль/л или 2-10 нг/мл - так называемая «серая зона»), выявленных минимум при двукратном определении, в мире рекомендуется проводить дополнительный стимулирующий тест с препаратами из АТХ-группы АКТГ (H01AA02), что является золотым стандартом диагностики ВДКН в мире. [16,17,18,19,21,29,30,31].
• При сомнительных результатах определения 17ОНР, а также в целях генетического консультирования далее рекомендуется проводить генетическое исследование гена сYP21A2 [1-4,32-40, 177].
Алгоритм диагностики неклассической ВДКН в РФ представлен в табл. 3.
Таблица 3. Алгоритм диагностики нВДКН в РФ вследствие дефицита 21-гидроксилазы.
Уровень убедительности рекомендаций В (уровень достоверности доказательств - 2).
Комментарии. В случаях, когда проведение стимулирующего теста с тетракозактидом невозможно, либо в целях генетического консультирования проводится генетическое исследование на наличие патогенных вариантов в гене 21-гидроксилазы - сYP21А2. При интерпретации полученных результатов необходимо учитывать несколько факторов. Во-первых, некоторые лаборатории в РФ проводят диагностику лишь 2-3 наиболее тяжелых патогенных варианта, характерных для классических форм 21-гидроксилазы. Поэтому перед направлением на исследование необходимо уточнять, проводится ли исследование патогенных вариантов, специфичных для неклассической формы ( см табл. 1). Следует проводить анализ максимально возможных для каждой лаборатории патогенных вариантов в гене сYP21A2 при любой форме заболевания. Так, при неклассических формах ВДКН возможна идентификация как патогенных вариантов, приводящих к незначительной потери функции белка, так и вариантов, ответственных за полную инактивацию белка. Отмечено, что при наличии у пациента с НФ одного «тяжёлого» и одного «лёгкого» патогенного варианта наблюдается более высокая степень гирсутизма и увеличенные значения 17-гидроксипрогестерона, чем при идентификации двух «лёгких» вариантов. Особенности строения гена сYP21A2, а именно наличие в непосредственной близости псевдогена сYP21A1, приводят к тому, что около 90% мутантных аллелей являются следствием рекомбинации между этими генами и несут в себе один или несколько частых патогенных вариантов. С одной стороны, наличие частых мутаций ускоряет и удешевляет генетическую диагностику. С другой стороны, сложные рекомбинации между генами приводят к тому, что на одном аллеле может быть несколько патогенных вариантов, и определить, находятся ли они в разных аллелях или в пределах одного, невозможно без генотипирования родителей. Помимо этого, существует вероятность наличия у пациента новых неописанных мутаций или гетерозиготный носитель «наиболее частой мутации» может иметь не описанный патогенный вариант в другом аллеле. Генетическая диагностика при ВДКН является важным этапом в процессе постановки диагноза и при планировании беременности в семьях, имеющих ребёнка, больного ВДКН или в семьях, включающих гетеро- или гомозиготных носителей патогенных вариантов в гене сYP21A2. Но, важно отметить, что невыявление мутаций в данном гене не служит причиной для снятия диагноза ВДКН [1,2,4,5,32,33,34,35,36,37,38,39,40].
Диагностика дефицита 11β-гидроксилазы.
• У пациентов с нетипичным течением ВДКН или развитием АГ рекомендуется проводить диагностику ГФ ВДКН путем комплексного определение концентрации стероидных гормонов методом тандемной масс-спектрометрии с исследованием уровня 11-дезоксикортизола в крови [1,4,6,178].
Уровень убедительности рекомендаций С (уровень достоверности доказательств - 4).
Комментарии. Основным маркером диагностики ГФ ВДКН является определение 11-дезоксикортизола ― основного предшественника кортизола, находящегося над ферментативным блоком, который при классическом варианте заболевания превышает норму более чем в 5-10 раз. Однако в рутинной практике это возможно сделать только в ходе проведения мультистероидного анализа. Поэтому при подозрении на ГФ ВДКН, например, при низком уровне калия и активности ренина плазмы (АРП) вне приема минералокортикоидный препаратов (МК) или передозировки глюкокортикоидными (ГК), при повышении артериального давления у пациентов с ранее выявленной вирильной формой заболевания, а также при отсутствии типичных патогенных вариантов в гене сYP21-гидроксилазы, пациента необходимо направить в специализированные центры для уточнения диагноза и подбора терапии.
Исследование мутаций в гене сYP11B1 проводится крайне редко, поэтому в России генетическую диагностику можно провести только с помощью секвенирования гена. В некоторых странах (напр. в Израиле) исследование одного из наиболее частых патогенных вариантов - His R448H - применяется в рутинной практике.
В литературе описаны случаи неклассической формы дефицита 11β-гидроксилазы. В клинической картине доминируют признаки гиперандрогении и нарушения менструального цикла у женщин, при этом АГ при этой форме заболевания нет, либо она носит незначительный характер. Диагностировать неклассическую форму 11β-гидроксилазы можно на основании повышения 11-дезоксикортизола при проведении тандемной масс-спектрометрии. [1,4,6].
Уровень убедительности рекомендаций С (уровень достоверности доказательств - 5).
Коментарии. Инструментальная диагностика у взрослых пациентов с ВДКН направлена на выявление вторичных образований в надпочечниках, особенно при эпизодах длительной декомпенсации в анамнезе (УЗИ, КТ надпочечников). Необходимый этап - оценка состояния репродуктивной системы, используемые скрининговые методики - УЗИ органов малого таза у женщин, органов мошонки у мужчин. При первичном обращении пациента проводится инструментальная оценка состояния минеральной плотности костной ткани (проведение рентгеноденситометрии минимум 2 отделов - поясничного отдела позвоночника и проксимального отдела бедренной кости). Более подробно об инструментальной диагностике при ВДКН изложено в разделе «Диспансерное наблюдение» [1,4,41-63].
Уровень убедительности рекомендаций А (уровень достоверности доказательств - 2).
Критерии установления диагноза неклассической формы дефицита 21-гидроксилаы. Диагноз устанавливается на основании анамнестических данных - пациентки предъявляют жалобы на нарушения менструального цикла, привычное невынашивание или бесплодие, избыточный рост волос в андрогензависимых зонах; данных физикального обследования - у женщин выявляются признаки гирсутизма, акне; лабораторного и генетического обследований - повышения уровня 17ОНР, выявление мутаций в гене сYP21A2. У мужчин прицельная диагностика заболевания не проводится, вследствие отсутствия клинических проявлений. Исключение составляют пациенты с бесплодием, TART, опухолями надпочечников и с результатами генетического обследования, которые являются промежуточными между классическими и неклассическими фенотипами [17,19, 21,24-31,45,81,82].
Уровень убедительности рекомендаций А (уровень достоверности доказательств - 2).
Критерии установления диагноза гипертонической формы ВДКН вследствие дефицита 11β-гидроксилазы: диагноз устанавливается с рождения на основании определения 11-дезоксикортизола, генетического обследования: исследование мутаций в гене сYP11B1. Как правило, при этой форме заболевания определяется повышение 17ОНР, поэтому по результатам неонатального скрининга и последующего лабораторного обследования пациентам устанавливается первоначально диагноз вирильной формы дефицита 21 гидроксилазы, однако в последующем, учитывая клиническую картину заболевания: выявления артериальной гипертензии у пациентов, низком уровне калия и активности ренина плазмы (АРП) вне приема минералокортикоидный препаратов (МК) или передозировки глюкокортикоидными (ГК), проводится более углубленное обследование с определением вышеуказанных лабораторных параметров и устанавливается диагноз гипертонической формы ВДКН [1,4,6].
Уровень убедительности рекомендаций С (уровень достоверности доказательств - 4).
2,1 Жалобы и анамнез.
Жалобы пациентов определяются формой заболевания (вириальная, сольтеряющая, неклассическая) [1,2,4,6].Жалобы пациентов определяются клинической картиной дефицита 21-гидроксилазы (см п 1,5).
2,2 Физикальное обследование.
• Физикальное обследование пациентов рекомендовано проводить по стандартным принципам пропедевтики. Необходимо провести оценку антропометрических параметров, степени гирсутизма у женщин, оценить наличие клинических признаков надпочечниковой недостаточности [1,2,4,6].Уровень убедительности рекомендаций с (уровень достоверности доказательств - 5).
Комментарии. Признаки гиперандрогении у женщин с классическими формами дефицита 21-гидроксилазы обычно ярко выражены и при отсутствии лечения проявляются вирилизацией наружных половых органов, аменореей, выраженной алопецией и гирсутизмом. В недиагностированных случаях ВДКН пациентки с женским кариотипом имеют мужской фенотип. У мужчин признаки надпочечниковой гиперандрогении проявляются в меньшей степени, чем в детском возрасте, к ним можно отнести акне и бесплодие.
Нередко у пациентов отмечается низкий конечный рост, что может являться следствием как недостаточного (из-за избытка андрогенов), так и избыточного (из-за избытка глюкокортикоидов) лечения в детстве.
Неклассическая форма ВДКН не сопровождается признаками надпочечниковой недостаточности и проявляется довольно поздно - обычно после пубертатного возраста. У мужчин это заболевание практически никогда не диагностируется и не требует лечения в связи с отсутствием характерных признаков. У женщин отмечаются признаки умеренной гиперандрогении: акне, гирсутизм, алопеция; часто наблюдается нарушение менструального цикла, бесплодие и невынашивание беременности.
У пациентов с дефицитом 11β-гидроксилазы, как и при вирильной форме 21-гидроксилазы, развиваются клинические признаки, связанные с действием избытка андрогенов и дефицита кортизола. Поэтому в детском возрасте нередко пациентам ошибочно устанавливается диагноз дефицита 21-гидроксилазы, тем более что уровень 17-ОН-прогестерона (17ОНР) у них обычно повышен, как и при вирильной форме. Заподозрить гипертоническую форму можно в случаях повышения артериального давления у пациентов на глюкокортикоидной терапии в отсутствие признаков передозировки терапии. АГ, которая встречается у 2/3 пациентов с дефицитом 11β-гидроксилазы, начинает проявляться в разном возрасте, чаще в детстве, может носить как умеренный, так и выраженный характер с развитием осложнений: гипертрофия левого желудочка, ретинопатия, макроваскулярные осложнения [1,2,4,6].
2,3 Лабораторные диагностические исследования.
Диагностика классических форм дефицита 21-гидроксилазы.• В качестве основного метода выявления классических форм дефицита 21-гидрокислазы рекомендуется проводить всем новорожденным неонатальный скрининг с исследованием уровня 17ОНР в крови [5,7-15].
Уровень убедительности рекомендаций А (уровень достоверности доказательств - 2).
Комментарии. Благодаря тому, что ВДКН является генетическим, потенциально летальным и имеющим четкий диагностический маркер заболеванием, оптимальным методом выявления ВДКН во всем мире в настоящее время считается проведение неонатального скрининга. С середины 2006 г. он был внедрен и в России, что позволяет поставить диагноз и начать лечение еще в раннем детском возрасте. Поэтому диагностика классических форм во взрослом возрасте обычно уже не требуется. Однако иногда заболевание не диагностируется вовремя, и установление диагноза требуется в старшем возрасте. Обычно эта ситуация возникает у взрослых при сочетании несоответствия паспортного и генетического пола или при длительно существующей тяжелой вирилизации [5,7,8,9,10,11,12,13,14,15].
• Рекомендуется использовать исследование уровня 17-гидроксипрогестерона в крови в ранние утренние часы как главного диагностического маркера ВДКН в тех случаях, когда диагноз ранее не был установлен в ходе неонатального скрининга [16-19,21-28].
Уровень убедительности рекомендаций А (уровень достоверности доказательств - 2).
Комментарии. Диагностика дефицита 21-гидроксилазы основана на определении уровня 17ОНР - предшественника кортизола, находящегося непосредственно над ферментативным блоком. При классических формах его уровень обычно значительно превышен - более 300 нмоль/л или более 100 нг/мл. Кроме того, отмечается значительное повышение уровней тестостерона, андростендиона и других предшественников половых стероидов. При таких показателях диагноз не вызывает сомнений, дополнительного подтверждения не требуется. Предпочтительный лабораторный метод определения гормональных показателей - жидкостная тандемная масспектрометрия, метод ИФА дает большее число ложно-положительных результатов [16,17,18,19,21,22,23,24,25,26,27,28].
Диагностика неклассической формы 21-гидроксилазы.
• Диагностику нВДКН рекомендуется проводить у женщин с признаками гирсутизма, алопеции, акне, нарушениями менструального цикла, бесплодием и/или привычным невынашиванием беременности [16-19,21,29-31].
Уровень убедительности рекомендаций A (уровень достоверности доказательств - 3).
Комментарии. Диагностика неклассической формы ВДКН является более частой задачей и рутинно встречается в практике эндокринологов и акушеров-гинекологов, так как по клиническим проявлениям это заболевание схоже с синдромом поликистозных яичников. Именно с этим заболеванием и проводится чаще всего дифференциальная диагностика нВДКН.[16,17,18,19,21,29,30,31].
• Для диагностики нВДКН рекомендуется исследовать уровень 17ОНР в крови у женщин в раннюю фолликулярную фазу в утренние часы [16-19,21,29-31].
Уровень убедительности рекомендаций A (уровень достоверности доказательств - 2).
Комментарии. Для диагностики неклассической формы забор крови на 17ОНР проводят рано утром в фолликулярную фазу цикла (не позднее 5-7 дня), при аменорее - в любой день, строго вне беременности. Нормой считаются показатели менее 6 нмоль/л или менее 2 нг/мл, ниже этих уровней нВДКН практически не встречается. Следует помнить, что референсные значения, которые приводятся различными лабораториями, обычно отличаются и могут быть значительно ниже указанных «отрезных точек» для диагностики неклассической ВДКН. В случае значений базального 17ОНР более 30 нмоль/л или 10 нг/мл, диагноз ВДКН считается подтвержденным, и дополнительной диагностики не требуется.
При пограничных значениях 17ОНР (6-30 нмоль/л или 2-10 нг/мл - так называемая «серая зона»), выявленных минимум при двукратном определении, в мире рекомендуется проводить дополнительный стимулирующий тест с препаратами из АТХ-группы АКТГ (H01AA02), что является золотым стандартом диагностики ВДКН в мире. [16,17,18,19,21,29,30,31].
• При сомнительных результатах определения 17ОНР, а также в целях генетического консультирования далее рекомендуется проводить генетическое исследование гена сYP21A2 [1-4,32-40, 177].
Алгоритм диагностики неклассической ВДКН в РФ представлен в табл. 3.
Таблица 3. Алгоритм диагностики нВДКН в РФ вследствие дефицита 21-гидроксилазы.
| Базальный уровень 17ОНР | ||
| < 6 нмоль/л (< 2 нг/мл) | 6-30 нмоль/л (2-10 нг/мл) | > 30 нмоль/л (> 10 нг/мл) |
| Дефицит 21-гидроксилазы исключается | Рекомендуется генетическое исследование гена сYP21 A2 | Дефицит 21-гидроксилазы |
Уровень убедительности рекомендаций В (уровень достоверности доказательств - 2).
Комментарии. В случаях, когда проведение стимулирующего теста с тетракозактидом невозможно, либо в целях генетического консультирования проводится генетическое исследование на наличие патогенных вариантов в гене 21-гидроксилазы - сYP21А2. При интерпретации полученных результатов необходимо учитывать несколько факторов. Во-первых, некоторые лаборатории в РФ проводят диагностику лишь 2-3 наиболее тяжелых патогенных варианта, характерных для классических форм 21-гидроксилазы. Поэтому перед направлением на исследование необходимо уточнять, проводится ли исследование патогенных вариантов, специфичных для неклассической формы ( см табл. 1). Следует проводить анализ максимально возможных для каждой лаборатории патогенных вариантов в гене сYP21A2 при любой форме заболевания. Так, при неклассических формах ВДКН возможна идентификация как патогенных вариантов, приводящих к незначительной потери функции белка, так и вариантов, ответственных за полную инактивацию белка. Отмечено, что при наличии у пациента с НФ одного «тяжёлого» и одного «лёгкого» патогенного варианта наблюдается более высокая степень гирсутизма и увеличенные значения 17-гидроксипрогестерона, чем при идентификации двух «лёгких» вариантов. Особенности строения гена сYP21A2, а именно наличие в непосредственной близости псевдогена сYP21A1, приводят к тому, что около 90% мутантных аллелей являются следствием рекомбинации между этими генами и несут в себе один или несколько частых патогенных вариантов. С одной стороны, наличие частых мутаций ускоряет и удешевляет генетическую диагностику. С другой стороны, сложные рекомбинации между генами приводят к тому, что на одном аллеле может быть несколько патогенных вариантов, и определить, находятся ли они в разных аллелях или в пределах одного, невозможно без генотипирования родителей. Помимо этого, существует вероятность наличия у пациента новых неописанных мутаций или гетерозиготный носитель «наиболее частой мутации» может иметь не описанный патогенный вариант в другом аллеле. Генетическая диагностика при ВДКН является важным этапом в процессе постановки диагноза и при планировании беременности в семьях, имеющих ребёнка, больного ВДКН или в семьях, включающих гетеро- или гомозиготных носителей патогенных вариантов в гене сYP21A2. Но, важно отметить, что невыявление мутаций в данном гене не служит причиной для снятия диагноза ВДКН [1,2,4,5,32,33,34,35,36,37,38,39,40].
Диагностика дефицита 11β-гидроксилазы.
• У пациентов с нетипичным течением ВДКН или развитием АГ рекомендуется проводить диагностику ГФ ВДКН путем комплексного определение концентрации стероидных гормонов методом тандемной масс-спектрометрии с исследованием уровня 11-дезоксикортизола в крови [1,4,6,178].
Уровень убедительности рекомендаций С (уровень достоверности доказательств - 4).
Комментарии. Основным маркером диагностики ГФ ВДКН является определение 11-дезоксикортизола ― основного предшественника кортизола, находящегося над ферментативным блоком, который при классическом варианте заболевания превышает норму более чем в 5-10 раз. Однако в рутинной практике это возможно сделать только в ходе проведения мультистероидного анализа. Поэтому при подозрении на ГФ ВДКН, например, при низком уровне калия и активности ренина плазмы (АРП) вне приема минералокортикоидный препаратов (МК) или передозировки глюкокортикоидными (ГК), при повышении артериального давления у пациентов с ранее выявленной вирильной формой заболевания, а также при отсутствии типичных патогенных вариантов в гене сYP21-гидроксилазы, пациента необходимо направить в специализированные центры для уточнения диагноза и подбора терапии.
Исследование мутаций в гене сYP11B1 проводится крайне редко, поэтому в России генетическую диагностику можно провести только с помощью секвенирования гена. В некоторых странах (напр. в Израиле) исследование одного из наиболее частых патогенных вариантов - His R448H - применяется в рутинной практике.
В литературе описаны случаи неклассической формы дефицита 11β-гидроксилазы. В клинической картине доминируют признаки гиперандрогении и нарушения менструального цикла у женщин, при этом АГ при этой форме заболевания нет, либо она носит незначительный характер. Диагностировать неклассическую форму 11β-гидроксилазы можно на основании повышения 11-дезоксикортизола при проведении тандемной масс-спектрометрии. [1,4,6].
2,4 Инструментальные диагностические исследования.
• С целью диагностики осложнений ВДКН и длительной заместительной терапии ГКС у пациентов рекомендуется использовать такие методы инструментальной диагностики, как: рентгеноденситометрия всем пациентам вне зависимости от степени компенсации, УЗИ/МСКТ или МРТ надпочечников при эпизодах длительной компенсации, УЗИ органов мошонки всем мужчинам, УЗИ малого таза всем женщинам (при подозрении на ОАРТ - дополнительно проведение МРТ малого таза [1,4].Уровень убедительности рекомендаций С (уровень достоверности доказательств - 5).
Коментарии. Инструментальная диагностика у взрослых пациентов с ВДКН направлена на выявление вторичных образований в надпочечниках, особенно при эпизодах длительной декомпенсации в анамнезе (УЗИ, КТ надпочечников). Необходимый этап - оценка состояния репродуктивной системы, используемые скрининговые методики - УЗИ органов малого таза у женщин, органов мошонки у мужчин. При первичном обращении пациента проводится инструментальная оценка состояния минеральной плотности костной ткани (проведение рентгеноденситометрии минимум 2 отделов - поясничного отдела позвоночника и проксимального отдела бедренной кости). Более подробно об инструментальной диагностике при ВДКН изложено в разделе «Диспансерное наблюдение» [1,4,41-63].
2,5 Иные диагностические исследования.
Отсутствуют.|
|
Лечение
3,1 Консервативное лечение.
Лечение пациентов с классическими формами дефицита 21-гидроксилазы.• Рекомендовано лечить взрослых пациентов с классическими формами ВДКН гидрокортизоном или длительно действующими ГК [1-6,64-75].
Уровень убедительности рекомендаций С (уровень достоверности доказательств - 5).
Комментарии. Лечение классических форм ВДКН сводится к пожизненному применению глюкокортикоидов и минералокортикоидов (при сольтеряющей форме). Основная сложность лечения ВДКН заключается в том, что в настоящее время не разработаны препараты, полностью имитирующие собственную секрецию кортизола и способные в физиологических дозах полностью подавить избыточный синтез надпочечниковых андрогенов, поэтому ведение пациентов сводится к балансированию между признаками гиперкортицизма и гиперандрогении.
В отличие от детского возраста, когда рекомендуется вести пациентов только на глюкокортикоидных препаратах короткого действия, у взрослых пациентов возможно использование как препаратов короткого (гидрокортизон**), так и длительного действия (преднизолон**, дексаметазон**, метилпреднизолон**). Это в ряде случаев приводит к улучшению комплаентности пациентов. Наиболее часто используется следующая схема перевода с одного глюкокортикоидного препарата на другой: 20 мг гидрокортизона** ≈ 5 мг преднизолона** ≈ 4 мг метилпреднизолона** ≈ 0,375-0,5 мг дексаметазона**.
Время назначения глюкокортикоидных препаратов при ВДКН остается в мире дискутируемым вопросом. Есть сторонники назначения больших доз утром, которые считают такой режим более физиологичным, так как он лучше имитирует циркадианный ритм выработки кортизола. Другие же отмечают достижение лучшей компенсации при применении больших доз на ночь за счет подавления ночного выброса АКТГ. В России чаще применяется второй вариант, однако строгих рекомендаций по данному вопросу нет, и решение может остаться за лечащим врачом [1-6,64-75].
• При сольтеряющей форме дефицита 21-гидроксилазы рекомендуется дополнительно к ГК применять МК (флудрокортизон**) [1-6,64-75].
Уровень убедительности рекомендаций С (уровень достоверности доказательств - 5).
Комментарии. Для компенсации минералокортикоидной функции используется флудрокортизон. Средние дозировки и схемы применения препаратов для лечения классических форм ВДКН представлены в табл. 4.[1-6,64-75].
Таблица 4. Препараты глюко- и минералокортикоидов, используемые в лечении классических форм ВДКН у взрослых, ** -препараты, входящие в список ЖНВЛП.
| Гидрокортизон**, АТХ код H02AB09 | 15-25 мг/сут (максимально до 40 мг/сут) разделить на 2-3 приема |
| Преднизолон**, АТХ код H02AB06 | 5-7,5 мг/сут (максимально до 10 мг/сут) на 2 приема |
| Дексаметазон**, АТХ код: H02AB02 | 0,25-0,5 мг/сут (максимально до 1 мг/сут) на ночь |
| Метилпреднизолон**, АТХ код: H02AB04 | 4-6 мг/сут на ночь или в 2 приема |
| Флудрокортизон**, АТХ код: H02AA02 | 50-200 мкг/сут |
• Рекомендовано увеличение дозы ГК или переход на парентеральное введение ГК в острых ситуациях, таких как фебрильная температура (>38,5°С), гастроэнтерит с дегидратацией, операции под общей анестезией и массивные травмы [1-6,76-80].
Уровень убедительности рекомендаций С (уровень достоверности доказательств - 5).
Комментарии. У пациентов с классическими формами ВДКН в организме не происходит адекватной выработки кортизола в ответ на физический стресс, например, при заболеваниях, сопровождающихся высокой температурой, гастроэнтерите с дегидратацией, операциях и травмах. Именно поэтому всем пациентам с ВДКН рекомендуется носить при себе идентификационные документы или браслеты, указывающие, что у них имеется данное заболевание, и в случае ургентных ситуаций им необходимо незамедлительное введение гидрокортизона. Так как заболевание является редким и не знакомо многим специалистам первичного звена, предложено указывать у таких пациентов наличие хронической надпочечниковой недостаточности, что облегчает принятие решения в данных ситуациях.
В случае интеркуррентных заболеваний, при которых сохранена возможность продолжения перорального приема ГК, необходимо увеличение дозы глюкокортикоидов в 2-3 раза. При неэффективности вводится гидрокортизон (гидрокортизон сукцинат натрия) 50-100 мг внутримышечно, далее при необходимости введение повторяется по 50 мг каждые 4-6 часов. В случае отсутствия улучшения самочувствия в течение 24-48 часов рекомендуется госпитализация в стационар, где проводится внутривенная инфузия гидрокортизона на фоне регидратационной терапии. При применении парентерального гидрокортизона, доза флудрокортизона не меняется, либо даже МК отменяются полностью. Как только состояние пациента стабилизируется, следует постепенно вернуться к обычным дозам препаратов[1-6,76-80].
• При эмоциональном и нервном напряжении, при легких вирусных заболеваниях и предстоящей физической нагрузке увеличивать дозу ГК не рекомендуется [1-6, 76-80].
Уровень убедительности рекомендаций с (уровень достоверности доказательств - 5).
Комментарии. При физических нагрузках и психологическом стрессе необходимости в увеличении дозы ГК нет [1-6, 76-80].
Лечение пациентов с неклассическими формами дефицита 21-гидроксилазы.
• Лечение пациенток с нВДКН с помощью ГК рекомендовано проводить при выявлении выраженной гиперандрогении, бесплодия или невынашивания беременности [17,75,81-89].
Уровень убедительности рекомендаций С (уровень достоверности доказательств - 5).
Комментарии. У женщин с выраженными симптомами гиперандрогении возможно назначение ГК (табл. 5). Помимо этого терапию можно проводить комбинированно с гирмональными контрацептивами для системного применения (АТХ код G03A) и/или антиандрогенами (АТХ код G03H), а также рекомендовать женщинам различные методы эпиляции [17,75,81,82,83,84,85,86].
Таблица 5. Препараты ГК, используемые в лечении неклассической формы ВДКН.
| Гидрокортизон**, АТХ код H02AB09 | 10-15 мг на 2-3 приема в день |
| Преднизолон**, АТХ код H02AB06 | 2,5-7,5 мг на 1-2 приема |
| Дексаметазон** (только вне беременности), АТХ код: H02AB02 | 0,25-0,5 мг на ночь |
| Метилпреднизолон**, АТХ код: H02AB04 | 2-6 мг на ночь |
Несмотря на то, что у 68% женщин с неклассической ВДКН самопроизвольные беременности могут наступить и без применения глюкокортикоидов, спонтанные выкидыши на ранних сроках при отсутствии лечения встречаются достаточно часто. Поэтому рассматривать вопрос о ГК терапии необходимо, прежде всего, на этапе планирования беременности, особенно у женщин с бесплодием или привычным невынашиванием беременности. Необходимо отметить, что в случае, когда решается вопрос в пользу ГК терапии очень важно начинать ее с этапа планирования беременности, а не когда беременность уже наступила, так как именно этап имплантации на фоне ГК наиболее важен для улучшения прогнозов вынашивания.
Беременные женщины с ВДКН должны наблюдаться врачом-эндокринологом, имеющим опыт ведения пациентов с данным заболеванием, и назначение глюкокортикоидов должно проводиться после оценки вероятного положительного эффекта препарата в сравнении с потенциальным риском, с информированного добровольного согласия пациентки. Лечение может проводиться с помощью любого глюкокортикоидного препарата, за исключением дексаметазона. Дозы препаратов с наступлением беременности обычно не меняются, лечение проводится либо в первом-втором триместрах с последующей отменой, либо до родов в зависимости от течения беременности.
Как правило, при неклассической ВДКН отсутствуют дефицит кортизола и сольтеряющие кризы, поэтому нет необходимости повышать дозу ГК во время стрессорных состояний, оперативных вмешательств или острых вирусных заболеваний. Исключением является выявление недостаточной выработки кортизола во время стимулирующего теста (менее 500 нмоль/л) [1,87,88,89].
• У женщин с умеренной гиперандрогенией и дисфункцией яичников вне планирования беременности рекомендуется применение вместо ГК симптоматической терапии: прогестагены и эстрогены (фиксированные комбинации), код АТХ G03AA и/или антиандрогены, код АТХ G03H [17,75,83,84].
Уровень убедительности рекомендаций В (уровень достоверности доказательств - 3).
Комментарии. Несмотря на то, что патогенетическое лечение неклассической формы ВДКН должно проводиться по тем же принципам, что и при классических формах (путем возмещения дефицита кортизола), необходимость назначения ГК терапии абсолютно всем женщинам с неклассической ВДКН вызывает большие споры у специалистов во всем мире. Дело в том, что дозы ГК, необходимые для подавления избыточной продукции андрогенов, нередко являются супрафизиологическими, что, с учетом мягкого течения данной формы заболевания, вызывает определенные сомнения в необходимости их пожизненного приема. Поэтому все больше специалистов во врем мире приходят к мнению, что вне планирования беременности и выраженной гиперандрогении применение ГК не является обязательным и может быть заменено симптоматической терапией в виде КОК и/или антиандрогенов [17,75,83,84].
• Лечить бессимптомные формы нВДКН у женщин не рекомендуется [17,45,81,82].
Уровень убедительности рекомендаций С (уровень достоверности доказательств - 5).
• Лечить мужчин с нВДКН не рекомендуется [17,45,81,82].
Уровень убедительности рекомендаций С (уровень достоверности доказательств - 5).
Комментарии. В случае бессимптомного течения заболевания у женщин терапия не проводится. Лечение нВДКН у мужчин в большинстве случаев не проводится. Исключение составляют пациенты с бесплодием, TART, опухолями надпочечников и с результатами генетического обследования, которые являются промежуточными между классическими и неклассическими фенотипами [17,45,81,82].
Лечение ГФ ВДКН.
• Лечение ГФ ВДКН рекомендуется проводить по тем же принципам, что и лечение вирильной формы, обусловленной дефицитом 21-гидроксилазы. В терапии могут применяться ГК препараты короткого и длительного действия [1,4,6,90-92].
Уровень убедительности рекомендаций С (уровень достоверности доказательств - 5).
Комментарии. Пациенты с классической формой дефицита 11β-гидроксилазы, как и при других формах ВДКН, пожизненно получают препараты ГК с целью коррекции симптомов надпочечниковой недостаточности, гиперандрогении и артериальной гипертензии. Если препаратом выбора у детей является гидрокортизон, у взрослых можно использовать и препараты длительного действия. Необходимости в назначении МК у таких пациентов нет, так как недостаточность альдостерона с избытков возмещается ДОК[1,4,6,90,91,92].
• Пациентам с ГФ ВДКН в качестве дополнительной терапии рекомендуется назначать антигипертензивные препараты (АТХ код С02), предпочтительно калийсберегающие диуретики (АТХ код С03D) и дигидропиридиновые производные селективных блокаторов кальциевых каналов (АТХ код с08CA) [1,4,6, 90-92].
Уровень убедительности рекомендаций С (уровень достоверности доказательств -5).
Комментарии. Если на фоне монотерапии ГК не удается скоррегировать АГ, можно дополнительно использовать антигипертензивные препараты, из которых предпочтительными являются калийсберегающие диуретики (АТХ код С03D) и дигидропиридиновые производные селективных блокаторов кальциевых каналов (АТХ код с08CA) (нифедипин, АТХ код - с08CA05) [1,4,6, 90,91,92].
3,2 Хирургическое лечение.
• Рекомендуется проводить первый этап феминизирующей пластики наружных половых органов в первые годы жизни ребенка и завершать все этапы хирургического лечения у пациенток с ВДКН в пубертатном возрасте [93-98].Уровень убедительности рекомендаций С (уровень достоверности доказательств - 4).
Комментарии. На сегодняшний день не проведено рандомизированных контролируемых исследований, позволяющих стандартизировать подходы к хирургическому лечению пациенток с ВДКН. Этой проблеме должно быть уделено особое внимание: своевременности проведения феминизирующей пластики наружных гениталий, оценке состоятельности оперативного вмешательства и отсутствия развития постоперационных осложнений (рубцы, стриктуры ) Вирилизация гениталий наблюдается у пациенток с рождения. При высокой степени вирилизации феминизирующая пластика проводится в два этапа: первый этап, включающий клиторопластику и рассечение урогенитального синуса, проводится в первые годы жизни ребенка, второй этап - интроитопластику - рекомендуется проводить после наступления менархе и достижения достаточной эстрогенизации гениталий. В практике часто встречаются случаи, когда второй этап пластики не проводится вплоть до взрослого возраста. Таких женщин необходимо направлять в федеральные специализированные центры гинекологического профиля, где имеется опыт таких операций, а также команда экспертов в этой области: хирурги, анестезиологи, психологи и эндокринологи [93,94,95,96,97,98].
3,3 Иное лечение.
Двусторонняя адреналэктомия.• В редких случаях у пациентов с неконтролируемой гиперандрогенией при условии достаточной приверженности к лечению может быть рекомендовано проведение двусторонней адреналэктомии [99-101].
Уровень убедительности рекомендаций с (уровень достоверности доказательств - 4).
Комментарии. Небольшой процент пациентов с тяжелой сольтеряющей формой ВДКН с практически полным отсутствием активности 21-гидроксилазы не поддаются лечению ГК - даже при использовании высоких доз препаратов не снижается выработка андрогенов и остаются признаки вирилизации. Особенно это актуально при решении вопроса о восстановления фертильности. В таких случаях рядом авторов предлагается альтернативный метод лечения ВДКН - двусторонняя адреналэктомия. Однако этот метод лечения вызывает много вопросов. С одной стороны, ее проведение уменьшает вирилизацию и позволяет применять меньшие дозы ГК. С другой - имеются интраоперационные риски, риск адреналовых кризов постоперационно. Противопоказано проводить двустороннюю адреналэктомию некомплаентным пациентам, в послеоперационном периоде нерегулярный прием препаратов заместительной терапии ГК может оказаться фатальным. Именно поэтому решение о проведении столь радикального лечения не должно проводиться рутинно в общей амбулаторной практике. При возникновении подобных ситуаций, когда пациенты не достигают компенсации даже при применении супрафизиологических доз ГК и развитии ятрогенного гиперкортицизма, они должны быть направлены в федеральный центр эндокринологического профиля для решения вопроса об оптимальном методе лечения [99,100,101].
Пренатальная терапия.
• Не рекомендуется проводить лечение беременных препаратами дексаметазона с целью уменьшения степени вирилизации плода (пренатальную терапию). Она должна рассматриваться как экспериментальная методика, проводимая исключительно в специализированных центрах, имеющих соответствующий протокол лечения и комитет по этике [10,103-113].
Уровень убедительности рекомендаций С (уровень достоверности доказательств - 2).
Комментарии. Пренатальная терапия - это лечение off label дексаметазоном беременных женщин, у которых по результатам генетического консультирования имеется высокий риск рождения ребенка с классической формой дефицита 21-гидроксилазы (например, в случае уже имеющихся детей с ВДКН в семье и подтвержденным носительством мутации у обоих родителей, когда риск рождения последующего больного ребенка составляет 25%). Так как дексаметазон - единственный ГК препарат, проникающий через плаценту и способный подавить продукцию андрогенов надпочечниками плода, при его назначении с самых ранних сроков гестации существует возможность снизить степень вирилизации НПО у новорожденных девочек с ВДКН. Рекомедуемые в мировой литературе дозы дексаметазона 20 мкг/кг веса беременной женщины, макисмально 1,5 мг/день. На фоне лечения, уровень глюкокортиокидов плода может превышать средние значения показателей в 60 раз.
Основная проблема заключается в том, что для достижения эффекта начинать терапию необходимо как можно раньше - не позднее 6 недели гестации. В то же время проведение пренатальной диагностики для уточнения пола и наличия ВДКН у плода возможно только на 9-10 неделе беременности. Поэтому лечение высокими дозами дексаметазона на этапах закладки органов напрасно будут получать 7 из 8 детей. В настоящее время на коммерческой основе доступен метод определения в крови беременной женщины участка ДНК плода, характерного для Y-хромосомы с более ранних сроков гестации, но пока эта методика не введена в повсеместную практику.
Влияние дексаметазона на внутриутробное и дальнейшее развитие ребенка до сих пор до конца не изучено, но предполагаются его негативные эффекты на ЦНС, распределение жировой клетчатки, функцию надпочечников и поджелудочной железы в рамках фетального программирования. Кроме того, очевидны негативные эффекты на организм матери по типу ятрогенного гиперкортицизма.
Необходимо отметить, что в России существует мнение, что дексаметазон способен предотвратить вирилизацию НПО у девочек в результате нивелирования действия материнских андрогенов, поэтому нередко дексаметазон назначается беременным женщинам с неклассической ВДКН. Однако данные исследований не подтверждают возможность прохождения материнских андрогенов через плаценту и их негативное влияние на плод. Поэтому дексаметазон допустим к применению у беременных женщин лишь для тех редких случаев, когда подозревается наличие тяжелых классических форм ВДКН у самого ребенка. Именно поэтому в настоящее время не рекомендуется проводить пренатальную терапию дексаметазоном в рутинной практике, а дексаметазон относится к нежелательным препаратам для лечения любой формы ВДКН во время беременности [103-113].
|
|
Реабилитация и амбулаторное лечение
• Предлагается пациентам с ВДКН, имеющим психосоциальные проблемы вследствие патологии полового развития, обращаться к экспертам, специализирующимся на данной нозологии [114-140].
Уровень убедительности рекомендаций A (уровень достоверности доказательств - 3).
Комментарии. Основной вопрос реабилитации взрослых пациентов с ВДКН связан с их психосоциальными проблемами, как при любом заболевании, связанном с патологией полового развития. В идеале, консультирование должно проводиться опытными в данной области специалистами.
46 ХХ пациентам с ВДКН и их семьям может потребоваться помощь в решении таких специфичных для патологии полового развития проблем, как: 1) медицинское обучение семьи, консультирование по вопросам психосоциального прогноза; 2) установление пола в случае выраженной вирилизации; 3) принятие решения по проведению феминизирующей пластики гениталий в раннем детстве; 4) психосоциальная экспертиза для установления пола и консультирование по вопросу смены пола в любом возрасте при наличии желания пациента как с женского на мужской, так и с мужского на женский, хотя такие ситуации крайне редки.
Дополнительные вопросы, специфичные для патологии полового развития, включают подготовку к операции, оценку не типичного для данного пола поведения, социальную адаптацию, би- и гомосексуальную направленность (которая несколько выше у женщин с ВДКН, но все равно встречается редко), вопросы сексуальной функции и общего качества жизни, также, как и помощь в адаптации пациентов при проявлении любопытства со стороны родственников, сверстников или половых партнеров из-за нетипичного строения тела.
Пациенты с ВДКН могут также иметь психосоциальные и психиатрические проблемы, не связанные с основным заболеванием, которые могут решаться в общем порядке психиатрами [114-140].
Уровень убедительности рекомендаций A (уровень достоверности доказательств - 3).
Комментарии. Основной вопрос реабилитации взрослых пациентов с ВДКН связан с их психосоциальными проблемами, как при любом заболевании, связанном с патологией полового развития. В идеале, консультирование должно проводиться опытными в данной области специалистами.
46 ХХ пациентам с ВДКН и их семьям может потребоваться помощь в решении таких специфичных для патологии полового развития проблем, как: 1) медицинское обучение семьи, консультирование по вопросам психосоциального прогноза; 2) установление пола в случае выраженной вирилизации; 3) принятие решения по проведению феминизирующей пластики гениталий в раннем детстве; 4) психосоциальная экспертиза для установления пола и консультирование по вопросу смены пола в любом возрасте при наличии желания пациента как с женского на мужской, так и с мужского на женский, хотя такие ситуации крайне редки.
Дополнительные вопросы, специфичные для патологии полового развития, включают подготовку к операции, оценку не типичного для данного пола поведения, социальную адаптацию, би- и гомосексуальную направленность (которая несколько выше у женщин с ВДКН, но все равно встречается редко), вопросы сексуальной функции и общего качества жизни, также, как и помощь в адаптации пациентов при проявлении любопытства со стороны родственников, сверстников или половых партнеров из-за нетипичного строения тела.
Пациенты с ВДКН могут также иметь психосоциальные и психиатрические проблемы, не связанные с основным заболеванием, которые могут решаться в общем порядке психиатрами [114-140].
Профилактика
5,1 Профилактика и диспансерное наблюдение у взрослых пациентов с классическими формами дефицита 21-гидроксилазы.
• Рекомендуется не реже 1 раза в год всем пациентам проводить обследование для уточнения степени компенсации заболевания [1,2,42,43,71].Уровень убедительности рекомендаций С (уровень достоверности доказательств - 5).
• С целью оценки степени компенсации рекомендуется проводить исследование уровней андростендиона, 17-гидроксипрогестерона, тестостерона в крови всем пациентам с вирильной и сольтеряющей формами ВДКН, а также активности ренина плазмы (только пациентам с сольтеряющей формой) [1,2,42,43,71,141-143].
Уровень убедительности рекомендаций С (уровень достоверности доказательств - 5).
Комментарии. Для оценки эффективности глюкокортикоидной терапии ВДКН в настоящее время наиболее часто в мире используются три показателя - андростендион, 17ОНР и тестостерон, которые необходимо исследовать рано утром натощак, до приема препаратов. Допустимо также проведение анализа через 2 ч после приема препаратов. Предпочтительный лабораторный метод определения гормональных показателей - жидкостная тандемная масспектрометрия, метод ИФА дает больше число ложно-положительных результатов. Измерение АКТГ не является необходимым для определения диагностической или лечебной тактики у пациентов с ВДКН.
У женщин с сохраненным менструальным циклом исследование желательно проводить в раннюю фолликулярную фазу, при приеме комбинированных оральных контрацептивов (КОК) - на 3-4 день цикла (до начала новой упаковки КОК для исключения перекрестной реакции), на фоне аменореи - в любой день [1,2].
У мужчин динамическое наблюдение осложняется тем, что уровень тестостерона, в основном, отражает гонадную, а не надпочечниковую продукцию и поэтому не позволяет адекватно оценить компенсацию заболевания. Мужчины с длительной декомпенсацией или объемными образованиями в яичках из остаточной надпочечниковой ткани (TART), могут иметь низкий уровень тестостерона из-за снижения функции клеток Лейдига. Поэтому главными маркерами становятся уровни андростендиона и 17ОНР, а также соотношение уровней андростендиона и тестостерона. Отношение андростендион/тестостерон менее 0,5 характерно для здоровых мужчин, соотношение более 2 говорит о неудовлетворительной компенсации ВДКН и гиперпродукции надпочечниковых андрогенов [42,43,141]. Дополнительным методом обследования является определение гонадотропинов. У мужчин сниженный уровень гонадотропинов может свидетельствовать о бесплодии у пациентов, повышенный уровень ФСГ говорит о недостаточности функции яичек, особенно при наличии TART.
По мнению большинство специалистов в мире в настоящее время отсутствуют четкие лабораторные критерии компенсации заболевания. Считается нецелесообразным полное подавление уровня 17ОНР, для этого требуется прием супрафизиологических доз глюкокортикоидных препаратов, которые вызывают побочные эффекты. Компенсированные пациенты с ВДКН обычно имеют уровень 17ОНР на верхней границе нормы или умеренно повышенное значение. Уровень андростенидиона должен быть в пределах референсных значений для пола и возраста. В отдельных случаях (например, при планировании беременности или в случае наличия TART у мужчин) выбираются индивидуальные целевые показатели. Для женщин с ВДКН, которые планируют беременность, на фоне проводимой терапии целесообразно достижение уровня прогестерона в фолликулярную фазу цикла менее 0,6 нг/мл (менее 2 нмоль/л) [73,142,143].
При необходимости применения минералокортикоидов при сольтеряющей форме заболевания необходимо поддерживать уровень АРП, ренина на верхней границе нормы или повышенным, но не более чем в 2 раза. При этом, показатели калия, натрия крови должны быть в пределах рефернсного интервала. Следует помнить, что с возрастом потребность в МК снижается, и доза препарата может корректироваться (табл.8) [73,142,143].
• При выявлении декомпенсации или передозировки ГК, помимо коррекции терапии, рекомендуется также провести дообследование на предмет осложнений, характерных для гиперандрогении или гиперкортицизма [18,73,74,144-153].
Уровень убедительности рекомендаций С (уровень достоверности доказательств - 5).
Комментарии. См раздел Диспансерное наблюдение и мониторинг осложнений.
Таблица 8. Лабораторные показатели, используемые для динамического наблюдения за пациентами с ВДКН.
| Пациенты с ВДКН | Лабораторные методы исследования | Целевые уровни | |
| Оба пола | Определение рениновой активности плазмы крови A09,05,120,001 | Повышение менее 2-х норм | |
| Исследование уровня калия в крови A09,05,031 | РИ | ||
| Исследование уровня натрия в крови A09,05,030 | РИ | ||
| Исследование уровня общего тестостерона в крови A09,05,078 | РИ | ||
| Исследование уровня андростендиона в крови A09,05,146 | РИ | ||
| Исследование уровня глобулина, связывающего половые гормоны, в крови A09,05,160 | Необходим для расчёта свободной фракции тестостерона | ||
| Исследование уровня 17-гидроксипрогестерона в крови A09,05,139 | Показатель в РИ, как правило, свидетельствует о передозировке ГКС | ||
| Мужчины | Исследование уровня общего тестостерона в крови A09,05,078 | При значениях вне РИ целесообразна оценка совместно с уровнями ЛГ, ФСГ, андростендиона | |
| Исследование уровня лютеинизирующего гормона в сыворотке крови A09,05,131 Исследование уровня фолликулостимулирующего гормона в сыворотке крови A09,05,132 | Вне РИ свидетельствуют о плохом контроле заболевания | ||
| Соотношение уровней андростендион/тестостерон | ≥2 - декомпенсация заболевания | ||
| Спермограмма в03,053,002 | Показатели должны быть в пределах РИ для здоровых мужчин | ||
| Женщины | Исследование уровня прогестерона в крови (фолликулярная фаза) A09,05,153 | Целевой уровень ≤ 0,6 нг/мл (2 нмоль/л) при планировании беременности | |
5,2 Диспансерное наблюдение и мониторинг осложнений.
Ведение пациентов с классическими формами дефицита 21-гидроксилазы требует непрерывного поддержания равновесия между избытком андрогенов и избытком экзогенных ГК, добиться которого в клинической практике бывает довольно непросто. Поэтому необходим тщательный мониторинг осложнений и последствий как самого заболевания, так и его лечения.• Рекомендуется проводить со всеми пациентами с классическими формами дефицита 21-гидроксилазы профилактические беседы о здоровом образе жизни, с целью мотивировки поддержания нормального индекса массы тела, во избежание развития метаболического синдрома и связанных с ним осложнений [18,73,74,144-148].
Уровень убедительности рекомендаций С (уровень достоверности доказательств - 4).
Комментарии. Комплекс метаболических нарушений при ВДКН весьма широк. Помимо основных побочных явлений, возникающих при передозировке ГК, таких как ожирение, артериальная гипертензия, дислипидемия, инсулинорезистентность и нарушения углеводного обмена, при ВДКН на организм пациента влияют также и дополнительные факторы: гиперандрогения, гипогонадизм, а также адреномедуллярная недостаточность ( 4). Поэтому в рамках ежегодного диспансерного обследования все пациенты нуждаются в обучении принципам здорового питания и здорового образа жизни с классическими формами дефицита 21-гидроксилазы, контроле АД и массы тела ( 3)[18, 73,74,144,145,146,147,148].
Рисунок 3. Патогенез метаболических нарушений при классических формах дефицита 21-гидроксилазы.
• Рекомендуется проводить рентгеноденситометрию всем пациентам с классическими формами дефицита 21-гидроксилазы вне зависимости от степени компенсации при первичном обращении, обязательно ее проведение - при анамнестических данных о периодах передозировки ГКС или перенесенных атравматических переломах [4,73,74,149-153].
Уровень убедительности рекомендаций С (уровень достоверности доказательств - 4).
Комментарии. Проведенные ретроспективные и когортные исследования в мире показали, что у взрослых пациентов с ВДКН по результатам денситометрии выявлялись снижение МПК, в основном, до степени остеопении и, в меньшей частоте случаев, до степени остеопороза. В части работ было показано, что степень потери костной массы зависит от суммарной дозы ГКС в течении жизни. По данным ФГБУ ЭНЦ было показано, что развитие остеопенического синдрома не зависело от степени компенсации заболевания и доз принимаемых ГК препаратов, поэтому рентгеноденситометрию желательно проводить всем пациентам с классическими формами дефицита 21-гидроксилазы вне зависимости от степени компенсации при первичном обращении, если ранее она не проводилась, а далее решать вопрос о частоте мониторинга костной плотности в зависимости от полученных результатов (не реже 1 раза в 5-7 лет при отсутствии снижения МПК и чаще при выявлении остеопенического синдрома) [4,73,74, 149,150,151, 152,153].
• Рекомендуется проводить инструментальные визуализирующие обследования (УЗИ, МСКТ или МРТ) надпочечников с целью исключения новообразований пациентам с классическими формами дефицита 21-гидроксилазы, у которых не удается достичь целевых показателей андрогенов на фоне регулярного приема терапевтических доз ГКС, а также у пациентов с длительными эпизодами отмены терапии или неудовлетворительной компенсацией заболевания [4,154-157].
Уровень убедительности рекомендаций С (уровень достоверности доказательств - 5).
Комментарии. У взрослых пациентов с классическими формами дефицита 21-гидроксилазы по данным КТ достаточно часто выявляются одно - или двусторонние доброкачественные образования надпочечников. Целенаправленный скрининг подобных образований обычно требуется только при наличии длительной декомпенсации, так как они могут достигать значительных размеров. При назначении адекватных доз ГК отмечается уменьшение размеров опухолей, хирургическое лечение обычно не проводится. При удовлетворительной компенсации в проведении скрининга нет необходимости, так как образования небольших размеров не имеют клинического значения[4,154, 155,156, 157].
• Рекомендуется проводить УЗИ органов мошонки у мужчин с классическими формами дефицита 21- гидроксилазы с целью выявления образования яичек из остаточной надпочечниковой ткани TART [42,46,48-52,141,158,159].
Уровень убедительности рекомендаций С (уровень достоверности доказательств - 4).
Комментарии. Доброкачественные образования яичек из остаточной надпочечниковой ткани (TART, testicular adrenal rest tumors) встречаются у 21-28% мужчин с классическими формами дефицита 21-гидроксилазы, при длительной декомпенсации заболевания они могут достигать больших размеров, сдавливать ткань яичек и приводить к гипогонадизму и бесплодию. В клинической практике возможна ошибочная постановка диагноза рака яичек и проведение необоснованных операций у таких пациентов. В отличие от рака яичек, как правило, TART - это двусторонние образования, имеющие тенденцию к уменьшению на фоне интенсификации ГК терапии. Выявляются TART либо пальпаторно при осмотре, либо на УЗИ. Если на фоне достижения компенсации заболевания, размеры TART не изменяются, рекомендуется проведение криоконсервации спермы. Оценка репродуктивной функции у мужчин необходима в случаях обращения по поводу бесплодия либо при длительной декомпенсации заболевания [42, 46, 48,49,50,51,52,141,158,159].
• Рекомендуется женщинам с классическими формами ВДКН проводить УЗИ органов малого таза с целью выявления патологии яичников, при подозрении на OART- МРТ органов малого таза. [52,53,160,161,163-165].
Уровень убедительности рекомендаций С (уровень достоверности доказательств - 4).
Комментарии. У женщин с классическими формами дефицита 21-гидроксилазы при любой степени компенсации наблюдаются нарушения менструального цикла - у 64-68% женщин при сольтеряющей и у 55-75% - при вирильной форме. Нередко при обследовании таких женщин выявляются ультразвуковые признаки поликистозных яичников. При ВДКН в патогенезе формирования поликистозных яичников участвуют инсулинорезистентность, ожирение, а также высокая секреция андрогенов. В ряде случаев удается достигнуть нормализации цикла с помощью интенсификации ГК терапии, однако при ее неэффективности или появлении признаков ятрогенного гиперкортицизма к терапии рекомендуется добавить прогестагены и эстрогены (фиксированные комбинации).
В литературе описаны случаи выявления образований в яичниках из остаточной ткани надпочеников (OART, ovarian adrenal rest tumors), аналогичным по строению с TART. Их частота менее 0,1 % среди всех образований яичников. Предполагается, что ОART чаще возникает у пациенток с длительной декомпенсацией ВДКН. МРТ малого таза является золотым стандартом для уточнения размеров и локализации объемных образований яичников. В мировой литературе описаны единичные случаи сочетания OART и ВДКН, ранняя их диагностика у части пациенток позволяет проводить органосохраняющие операции, что, безусловно, важно для их качества жизни и сохранения менструальной и детородной функции [52,53,160, 161,163,164,165].
На рисунке 4 представлен схематичный план обследования и динамического наблюдения взрослых пациентов с классическими формами дефицита 21-гидроксилазы в зависимости от степени компенсации. Как видно из указанной схемы, ряд исследований (КТ или МРТ надпочечников, УЗИ яичек) необходимо проводить только при декомпенсации заболевания, в то время как активное выявление метаболических нарушений, оценка минеральной костной плотности, а также репродуктивной функции у женщин необходимы при любой степени компенсации заболевания.
Рисунок 4. Динамическое наблюдение за взрослыми пациентами с классическими формами дефицита 21-гидроксилазы.
Профилактика и диспансерное наблюдение у взрослых пациентов с неклассическими формами дефицита 21-гидроксилазы.
• Рекомендуется пациенткам с неклассической формой ВДКН в случае выраженной гиперандрогении при приеме терапии ГК проводить диспансерное наблюдение аналогично пациенткам с классическими формами ВДКН [17,29,81,82,84-86].
Уровень убедительности рекомендаций С (уровень достоверности доказательств - 5).
Комментарии. В отличие от классических форм дефицита 21-гидроксилазы, при неклассической форме не существует общепринятых рекомендаций по динамическому наблюдению и оценке степени компенсации заболевания.
Вне планирования беременности и при умеренной гиперандрогении, когда в качестве основного метода лечения выбирается КОК и/или антиандрогенная терапия, такие пациентки обычно не наблюдаются эндокринологами, а дальнейшее наблюдение и коррекцию терапии проводит гинеколог.
У больных с тяжелой гиперандрогенией и выборе в пользу длительной ГК терапии наблюдение должно проводиться аналогично классическим формам ВДКН. Оценка компенсации заболевания проводится клинически (целевые значения лабораторных показателей, таких как 17ОНР, тестостерон и андростендион, до сих пор не разработаны). При появлении клинических признаков ятрогенного гиперкортицизма необходимо проведение дообследования для выявления метаболических нарушений и снижения МПК [17,29,81,82,84,85,86].
Профилактика и диспансерное наблюдение у взрослых пациентов с дефицитом 11β-гидроксилазы.
• Для оценки компенсации заболевания у пациентов с дефицитом 11β-гидроксилазы рекомендуется проводить комплексное определение концентрации стероидных гормонов методом тандемной масс-спектрометрии с исследованием уровня 11-дезоксикортикостерона в крови (A09,05,141) [166-169].
Уровень убедительности рекомендаций С (уровень достоверности доказательств - 5).
Комментарии. Так же, как и при классических формах дефицита 21-гидроксилазы, наблюдение пациентов с дефицитом 11β-гидроксилазы направлено на подбор адекватной дозы ГК, оценку компенсации и выявление осложнений пожизненной заместительной ГК терапии. Однако в связи с редкой встречаемостью ГФ ВДКН динамическое наблюдение и оценка компенсации представляет сложную задачу. Дело в том, что согласно международным рекомендациям, контроль необходимо проводить по уровню 11-дезоксикортизола, в то время как этот маркер не исследуется в рутинной практике. Поэтому при необходимости коррекции терапии и уточнения степени компенсации рекомендуется направлять таких пациентов в федеральные центры эндокринологического профиля, где возможно проведение комплексного определения концентрации стероидных гормонов методом тандемной масс-спектрометрии.
Судить о компенсации ГФ ВДКН можно по косвенным данным. При назначении недостаточной дозы ГК отмечается повышение уровня андростендиона и тестостерона (у мужчин оценка проводится только по уровню андростендиона), снижается уровень АРП (ренина), калия. В клинической картине регистрируется повышение АД, развитие макрососудистых осложнений, а также проявляются признаки гиперандрогении и гипокортицизма.
Признаками избыточной терапии являются классические признаки гиперкортицизма: увеличение веса, абдоминальный тип ожирения, появление стрий, «климактерического горбика». Лабораторно уровни тестостерона и андростендиона снижены, отмечаются признаки дислипидемии, нарушения углеводного обмена. По данным денситометрии появляются признаки снижения МПК. Повышения АД при этом может и не быть, однако у ряда больных АГ может сохраняться в рамках ятрогенного гиперкортицизма.
Пациентам с ГФ ВДКН, как минимум, ежегодно необходимо проводить обследование у кардиолога, по показаниям проводить ЭКГ, эхокардиографию, суточное мониторирование АД и ЭКГ для своевременной диагностики и коррекции макрососудистых осложнений АГ [166,167,168,169].
|
|
Организация оказания медицинской помощи
Показания для плановой госпитализации:
1) проведение хирургического лечения (как правило, пластические операции на наружных половых органах у женщин, реже оперативное лечение TART у мужчин, удаление вторичных новообразований надпочечников);
2) с целью коррекции терапии, комплексного скрининга осложнений, в случае невозможности оказания специализированной эндокринологической медицинской помощи в амбулаторном порядке;
Показания для экстренной госпитализации:
1) аддисонический криз;
Показания к выписке пациента из стационара:
1) достижение целевых уровней андрогенов, определение тактики лечения осложнений;
2) стабильное состояние здоровья пациента и его гемодинамических показателей в случае экстренной госпитализации;
1) проведение хирургического лечения (как правило, пластические операции на наружных половых органах у женщин, реже оперативное лечение TART у мужчин, удаление вторичных новообразований надпочечников);
2) с целью коррекции терапии, комплексного скрининга осложнений, в случае невозможности оказания специализированной эндокринологической медицинской помощи в амбулаторном порядке;
Показания для экстренной госпитализации:
1) аддисонический криз;
Показания к выписке пациента из стационара:
1) достижение целевых уровней андрогенов, определение тактики лечения осложнений;
2) стабильное состояние здоровья пациента и его гемодинамических показателей в случае экстренной госпитализации;
Дополнительно
Беременность при ВДКН.
Наблюдение за беременными с классическими формами дефицита 21-гидроксилазы.
• Рекомендуется при наступлении беременности продолжить терапию ГК и МК в тех же дозах, что применялись до беременности. Увеличение дозы ГК показано только при развитии признаков надпочечниковой недостаточности. [80,142,170-174].
Уровень убедительности рекомендаций С (уровень достоверности доказательств - 5).
Комментарии. Частота беременностей и родов низка у женщин с классическими формами дефицита 21-гидроксилазы, особенно при сольтеряющей форме, несмотря на проводимое лечение, направленное на восстановление фертильности. Основную роль при этом имеют психосоциальные факторы, плохая компенсация заболевания, а также последствия неадекватно проведенной пластики НПО. В ряде случаев даже при адекватной терапии ВДКН для наступления беременности необходимо использование вспомогательных репродуктивных технологий.
Основная сложность ведения беременных с классическими формами ВДКН заключается в том, что во время беременности уровни андрогенов постепенно повышаются вследствие увеличения уровня секс-связывающего и кортизол-связывающего глобулина, поэтому не существует критериев оценки адекватности терапии. Ряд авторов предлагает использовать показатели 17ОНР, тестостерона и андростендиона с частотой 1 раз в 6-8 недель и оценивать не их абсолютные значения, а динамику изменения. Другие предлагают ориентироваться только на клинически проявления: пизнаки угрозы невынашивания, гипо- или гиперкортицизма или изменения АД.
Обычно пациентки получают те же дозы глюкокортикоидов, что и до беременности, доза глюко- и минералокортикоидов может быть увеличена на 20-40% во 2 или 3 триместре беременности при развитии ортостатической гипотензии или признаков надпочениковой недостаточности. Женщины с ВДКН находятся в группе риска по развитию гестационного диабета, поэтому во время беременности необходимо проводить тщательный контроль гликемии и при нормальных показателях (гликемия венозной плазмы менее 5,1 ммоль/л) - тест толерантности к глюкозе на сроке 24-28 недель.
Во время родов рекомендуется вводить гидрокортизон (гидрокортизон сукцинат натрия) парентерально 50 мг внутримышечно или внутривенно, далее при необходимости введение повторяется по 50 мг каждые 4-6 часов, с последующим возвращением на пероральный прием препаратов в течение 1-2 суток. Если женщине проводилась пластика НПО, рекомендуется родоразрешение путем кесарева сечения для уменьшения травматизации в родах [80,142, 170,171,172, 173,174].
• При беременности не рекомендуется применение ГК препаратов, которые проходят через плаценту, таких как дексаметазон [1,3,80,170, 172].
Уровень убедительности рекомендаций С (уровень достоверности доказательств - 5).
Комментарии. Дексаметазон не должен применяться во время беременности так как он не инактивируется ферментом плаценты 3β-гидроксистероиддегидрогеназой и в неизменном виде проходит в кровь плода. Остальные глюкокортикоиды допустимы к использованию при оценке потенциальной пользы и рисков, в соответствии с требованиями официальных инструкций [1,3,80,170, 172].
Наблюдение за беременными с неклассическими формами дефицита 21-гидроксилазы.
• Рекомендуется пациенткам с нВДКН, получающим ГК, при наступлении беременности продолжить терапию в прежних дозах [1,3,29,85,175, 176].
Уровень убедительности рекомендаций С (уровень достоверности доказательств - 5).
Комментарии. Пациентки с историей невынашивания, или бесплодия, или при неэффективной коррекции гиперандрогенизма переводятся с КОК на ГК и основным критерием компенсации является восстановление спонтанной овуляции и наступление беременности. Так же, как и при классических формах ВДКН, к применению противопоказан дексаметазон. Необходимо помнить о повышенном риске развития у беременных с неклассическими формами гестационного сахарного диабета и проводить обследование согласно принятым в РФ рекомендациям.
У женщин с нВДКН не рекомендуется применение глюкокортикоидов при беременности, если она наступила без их использования.
Родоразрешение проводится по общим акушерским показаниям. В день родов женщинам, у которых в результате теста с тетракозактидом выявлялось неадекватное повышение кортизола (менее 500 нмоль/л), необходимо введение гидрокортизона парентерально. После родов в плановом порядке эндокринологом принимается решение о необходимости дальнейшего лечения пациентки с помощью ГК или возможности постепенной его отмены [1,3,29,85,175,176].
Наблюдение за беременными с классическими формами дефицита 21-гидроксилазы.
• Рекомендуется при наступлении беременности продолжить терапию ГК и МК в тех же дозах, что применялись до беременности. Увеличение дозы ГК показано только при развитии признаков надпочечниковой недостаточности. [80,142,170-174].
Уровень убедительности рекомендаций С (уровень достоверности доказательств - 5).
Комментарии. Частота беременностей и родов низка у женщин с классическими формами дефицита 21-гидроксилазы, особенно при сольтеряющей форме, несмотря на проводимое лечение, направленное на восстановление фертильности. Основную роль при этом имеют психосоциальные факторы, плохая компенсация заболевания, а также последствия неадекватно проведенной пластики НПО. В ряде случаев даже при адекватной терапии ВДКН для наступления беременности необходимо использование вспомогательных репродуктивных технологий.
Основная сложность ведения беременных с классическими формами ВДКН заключается в том, что во время беременности уровни андрогенов постепенно повышаются вследствие увеличения уровня секс-связывающего и кортизол-связывающего глобулина, поэтому не существует критериев оценки адекватности терапии. Ряд авторов предлагает использовать показатели 17ОНР, тестостерона и андростендиона с частотой 1 раз в 6-8 недель и оценивать не их абсолютные значения, а динамику изменения. Другие предлагают ориентироваться только на клинически проявления: пизнаки угрозы невынашивания, гипо- или гиперкортицизма или изменения АД.
Обычно пациентки получают те же дозы глюкокортикоидов, что и до беременности, доза глюко- и минералокортикоидов может быть увеличена на 20-40% во 2 или 3 триместре беременности при развитии ортостатической гипотензии или признаков надпочениковой недостаточности. Женщины с ВДКН находятся в группе риска по развитию гестационного диабета, поэтому во время беременности необходимо проводить тщательный контроль гликемии и при нормальных показателях (гликемия венозной плазмы менее 5,1 ммоль/л) - тест толерантности к глюкозе на сроке 24-28 недель.
Во время родов рекомендуется вводить гидрокортизон (гидрокортизон сукцинат натрия) парентерально 50 мг внутримышечно или внутривенно, далее при необходимости введение повторяется по 50 мг каждые 4-6 часов, с последующим возвращением на пероральный прием препаратов в течение 1-2 суток. Если женщине проводилась пластика НПО, рекомендуется родоразрешение путем кесарева сечения для уменьшения травматизации в родах [80,142, 170,171,172, 173,174].
• При беременности не рекомендуется применение ГК препаратов, которые проходят через плаценту, таких как дексаметазон [1,3,80,170, 172].
Уровень убедительности рекомендаций С (уровень достоверности доказательств - 5).
Комментарии. Дексаметазон не должен применяться во время беременности так как он не инактивируется ферментом плаценты 3β-гидроксистероиддегидрогеназой и в неизменном виде проходит в кровь плода. Остальные глюкокортикоиды допустимы к использованию при оценке потенциальной пользы и рисков, в соответствии с требованиями официальных инструкций [1,3,80,170, 172].
Наблюдение за беременными с неклассическими формами дефицита 21-гидроксилазы.
• Рекомендуется пациенткам с нВДКН, получающим ГК, при наступлении беременности продолжить терапию в прежних дозах [1,3,29,85,175, 176].
Уровень убедительности рекомендаций С (уровень достоверности доказательств - 5).
Комментарии. Пациентки с историей невынашивания, или бесплодия, или при неэффективной коррекции гиперандрогенизма переводятся с КОК на ГК и основным критерием компенсации является восстановление спонтанной овуляции и наступление беременности. Так же, как и при классических формах ВДКН, к применению противопоказан дексаметазон. Необходимо помнить о повышенном риске развития у беременных с неклассическими формами гестационного сахарного диабета и проводить обследование согласно принятым в РФ рекомендациям.
У женщин с нВДКН не рекомендуется применение глюкокортикоидов при беременности, если она наступила без их использования.
Родоразрешение проводится по общим акушерским показаниям. В день родов женщинам, у которых в результате теста с тетракозактидом выявлялось неадекватное повышение кортизола (менее 500 нмоль/л), необходимо введение гидрокортизона парентерально. После родов в плановом порядке эндокринологом принимается решение о необходимости дальнейшего лечения пациентки с помощью ГК или возможности постепенной его отмены [1,3,29,85,175,176].
Критерии оценки качества медицинской помощи
| № | Критерий качества | Уровень достоверности доказательств | Уровень убедительности рекоменсдаций |
| 1 | Выполнено исследование уровня андростендиона крови всем пациентам с вирильной и сольтеряющей формой ВДКН | 3 | А |
| 2 | Выполнено исследование уровня 17-гидроксипрогестерона (17-ОНР) крови всем пациентам с вирильной и сольтеряющей формой ВДКН | 3 | A |
| 2 | Выполнено исследование уровня тестостерона крови всем пациентам с вирильной и сольтеряющей формой ВДКН | 3 | A |
| 3 | Выполнено исследование активности ренина плазмы крови при сольтеряющей форме ВДКН | 3 | A |
| 4 | Выполнена мультиспиральная компьютерная томография или МРТ надпочечников для определения вторичных объемных образований у пациентов с классическими формами ВДКН, у которых не удается достичь целевых показателей андрогенов, а также при эпизодах длительной декомпенсации в анамнезе у пациентов | 4 | A |
| 5 | Выполнено ультразвуковое исследование органов мошонки мужчин | 3 | A |
| 6 | Выполнено ультразвуковое исследование органов малого таза, при подозрении на OART - МРТ органов малого таза | 3 | A |
| 7 | Выполнено назначение и/или коррекция дозы глюкокортикоидов при классических формах ВДКН, по показаниями - нВДКН | 2 | A |
| 8 | Выполнено назначение и/или коррекция дозы минералокортикоидов при сольтеряющей форме ВДКН | 2 | A |
| 9 | Выполнена денситометрия при первичном обращении, либо при анамнестических данных о периодах передозировки ГКС или перенесенных атравматических переломах | 4 | В |
|
|
Список литературы
1. Мельниченко Г.А., Трошина Е.А., Молашенко Н.В., Сазонова А.И., Ужегова Ж.А. Клинические рекомендации Российской ассоциации эндокринологов по диагностике и лечебно-профилактическим мероприятиям при врожденной дисфункции коры надпочечников у пациентов во взрослом возрасте сonsilium Medicum №4, том 18, 2016, стр 8-19.
2. Федеральные клинические рекомендации - протоколы по ведению пациентов с врожденной дисфункцией коры надпочечников в детском возрасте, Проблемы эндокринологии №2, 2014 г, с 42-50.
3. сongenital Adrenal Hyperplasia Due to Steroid 21-hydroxylase Deficiency: An Endocrine Society сlinical Practice Guideline Journal of сlinical Endocrinology & Metabolism, November 2018, Vol. 103(11):4043-4088.
4. Сазонова А.И. Соматический статус и метаболические нарушения у взрослых пациентов с различными формами ВДКН», диссертация на соискание ученой степени кандидата медицинских наук, Москва, 2013 .
5. Карева Мария Андреевна Врожденная дисфункция коры надпочечников у детей: эпидемиология, генетическая основа, персонализированный подход к диагностике и лечению, мониторинг соматического и репродуктивного здоровья, диссертация на соискание ученой степени доктора медицинских наук, Москва, 2019 .
6. Эндокринология. Национальное руководство под ред. И. Дедова, Г.А. Мельниченко, Москва: ГЭОТАР-Медиа, 2016. 1112 с. ISBN 978-5-9704-3682.
7. Кунаева О.В., Зернова Л.Ю., Коваленко Татьяна Викторовна, Осипова Е.В. Итоги и перспективы неонатального скрининга врожденной дисфункции коры надпочечников: региональные аспекты //Лечение и профилактика - 2014 - №1 (9) -С. 10-15.
8. Свинарев М.Ю., Андреева Л.П., Аракович В.В., Иванова С.Б. Неонатальный скрининг на ВДКН в Саратовской области//Сборник тезисов Всерос. конф. педиатров-эндокринологов «Достижения эндокринологии -здоровью детей» -М., 2011. -С. 19 -20.
9. Храмова Е.Б. Эпидемиология, скрининг, диагностика врожденной дисфункции коры надпочечников в Западно-Сибирском регионе. Диссертация на соискание ученой степени доктора медицинских наук. Тюмень - 2007.
10. Gidlöf S, Wedell A, Guthenberg с, von DÖbeln U, Nordenström A. Nationwide neonatal screening for congenital adrenal hyperplasia in Sweden: a 26-year longitudinal prospective populationbased study. JAMA Pediatr. 2014;168(6):567-574.
11. Van der Kamp HJ, Wit JM. Neonatal screening for congenital adrenal hyperplasia. Eur J Endocrinol. 2004;151(Suppl 3): U71-U75.
12. Pang S, Shook MK. сurrent status of neonatal screening for congenital adrenal hyperplasia. сurr Opin Pediatr. 1997;9(4): 419-423.
13. Therrell вL. Newborn screening for congenital adrenal hyperplasia. Endocrinol Metab сlin North Am. 2001;30(1):15-30.
14. вrosnan PG, вrosnan сA, Kemp SF, Domek DB, Jelley DH, вlackett PR, Riley WJ. Effect of newborn screening for congenital adrenal hyperplasia. Arch Pediatr Adolesc Med. 1999;153(12): 1272-1278.
15. GidlÖf S, Falhammar H, Thilén A, von DÖbeln U, Ritzén M, Wedell A, Nordenström A. One hundred years of congenital adrenal hyperplasia in Sweden: a retrospective, population-based cohort study. Lancet Diabetes Endocrinol. 2013;1(1):35-42.
16. Armengaud JB, сharkaluk ML, Trivin с, Tardy V, вre art G, вrauner R, сhalumeau M Precocious pubarche: distinguishing late-onset congenital adrenal hyperplasia from premature adrenarche. J сlin Endocrinol Metab 2009;94:2835-2840.
17. вidet M, вellanné-Chantelot с, Galand-Portier MB, Tardy V, вillaud L, Laborde K, сoussieu с, Morel Y, Vaury с, Golmard JL, сlaustre A, Mornet E, сhakhtoura Z, Mowszowicz I, вachelot A, Touraine P, Kuttenn F сlinical and molecular characterization of a cohort of 161 unrelated women with nonclassical congenital adrenal hyperplasia due to 21-hydroxylase deficiency and 330 family members. J сlin Endocrinol Metab 2009; 94:1570-1578.
18. Török D, Halasz Z, Garami M, Homoki J, Fekete G, Sólyom J 2003 Limited value of serum steroid measurements in identification of mild form of 21-hydroxylase deficiency. E xp сlin Endocrinol Diabetes 111:27-32.
19. Azziz R, Hincapie LA, Knochenhauer ES, Dewailly D, Fox L, вoots LR 1999 Screening for 21-hydroxylase-deficient nonclassic adrenal hyperplasia among hyperandrogenic women: a prospective study. Fertil Steril 72:915-925.
20 Speiser PW, White PC. сongenital adrenal hyperplasia due to steroid 21-hydroxylase deficiency. Clin Endocrinol (Oxf). 1998; 49(4):411-417.
21. Wedell A, Thil en A, Ritzén EM, Stengler в, Luthman H. Mutational spectrum of the steroid 21-hydroxylase gene in Sweden: implications for genetic diagnosis and association with disease manifestation. J сlin Endocrinol Metab. 1994;78(5):1145-1152.
22. Lacey JM, Minutti сZ, Magera MJ, Tauscher AL, сasetta в, McCann M, Lymp J, Hahn SH, Rinaldo P, Matern D. Improved specificity of newborn screening for congenital adrenal hyperplasia by second-tier steroid profiling using tandem mass spectrometry. сlin сhem. 2004;50(3):621-625.
23. Rauh M, Groschl M, RascherW, Dörr HG. Automated, fast and sensitive quantification of 17a-hydroxy-progesterone, androstenedione and testosterone by tandem mass spectrometry with online extraction. Steroids. 2006;71(6):450-458.
24. Janzen N, Peter M, Sander S, Steuerwald U, Terhardt M, Holtkamp U, Sander J. Newborn screening for congenital adrenal hyperplasia: additional steroid profile using liquid chromatographytandem mass spectrometry. J сlin Endocrinol Metab. 2007;92(7): 2581-2589.
25. Minutti сZ, Lacey JM, Magera MJ, Hahn SH, McCann M, Schulze A, сheillan D, Dorche с, сhace DH, Lymp JF, Zimmerman D, Rinaldo P, Matern D. Steroid profiling by tandem mass spectrometry improves the positive predictive value of newborn screening for congenital adrenal hyperplasia. J сlin Endocrinol Metab. 2004;89(8):3687-3693.
26. Matern D, Tortorelli S, Oglesbee D, Gavrilov D, Rinaldo P. Reduction of the false-positive rate in newborn screening by implementation of MS/MS-based second-tier tests: the Mayo сlinic experience (2004-2007). J Inherit Metab Dis. 2007;30(4): 585-592.
27. Schwarz E, Liu A, Randall H, Haslip с, Keune F, Murray M, Longo N, Pasquali M. Use of steroid profiling by UPLC-MS/MS as a second tier test in newborn screening for congenital adrenal hyperplasia: the Utah experience. Pediatr Res. 2009;66(2): 230-235.
28. Seo JY, Park H-D, Kim JW, Oh HJ, Yang JS, сhang YS, Park WS, Lee S-Y. Steroid profiling for congenital adrenal hyperplasia by tandem mass spectrometry as a second-tier test reduces follow-up burdens in a tertiary care hospital: a retrospective and prospective evaluation. J Perinat Med. 2014;42(1):121-127.
29. New MI Extensive clinical experience: nonclassical 21-hydroxylase deficiency. J сlin Endocrinol Metab 2006;91:4205-4214.
30. Merke DP, вornstein SR 2005 сongenital adrenal hyperplasia. Lancet 365:2125-2136.
31. Abdu TA, Elhadd TA, Neary R, сlayton RN. сomparison of the low dose short synacthen test (1 mg), the conventional dose short synacthen test (250 mg), and the insulin tolerance test for assessment of the hypothalamo-pituitary-adrenal axis in patients with pituitary disease. J сlin Endocrinol Metab. 1999;84(3): 838-843.
32. Silveira EL, Elnecave RH, dos Santos EP, Moura V, Pinto EM, van der Linden Nader I, Mendonca вB, вachega TA. Molecular analysis of сYP21A2 can optimize the follow-up of positive results in newborn screening for congenital adrenal hyperplasia. сlin Genet. 2009;76(6):503-510.
33. вlanch eH, Vexiau P, сlauin S, Le Gall I, Fiet J, Mornet E, Dausset J, вellann e-Chantelot с. Exhaustive screening of the 21-hydroxylase gene in a population of hyperandrogenic women. Hum Genet. 1997;101(1):56-60.
34. Deneux с, Tardy V, Dib A, Mornet E, вillaud L, сharron D, Morel Y, Kuttenn F. Phenotype-genotype correlation in 56 women with nonclassical congenital adrenal hyperplasia due to 21-hydroxylase deficiency. J сlin Endocrinol Metab. 2001;86(1): 207-213.
35. Yang YP, сorley N, Garcia-Heras J. Reverse dot-blot hybridization as an improved tool for the molecular diagnosis of point mutations in congenital adrenal hyperplasia caused by 21-hydroxylase deficiency. Mol Diagn. 2001;6(3):193-199.
36. Fitness J, Dixit N, Webster D, Torresani T, Pergolizzi R, SpeiserPW, Day DJ. Genotyping of сYP21, linked chromosome 6p markers, and a sex-specific gene in neonatal screening for congenital adrenal hyperplasia. J сlin Endocrinol Metab. 1999;84(3): 960-966.
37. N emeth S, Riedl S, Kriegsh¨ auser G, вaumgartner-Parzer S, сoncolino P, Neocleous V, Phylactou LA, вorucka-Mankiewicz M, Onay H, Tukun A, Oberkanins с. Reverse-hybridization assay for rapid detection of common сYP21A2 mutations in dried blood spots from newborns with elevated 17-OH progesterone. сlin сhim Acta. 2012;414:211-214.
38. сosta-Barbosa FA, сarvalho VM, Nakamura OH, вachega T, Vieira JGH, Kater сE. Zona fasciculata 21-hydroxysteroids and precursor-to-product ratios in 21-hydroxylase deficiency: further characterization of classic and non-classic patients and heterozygote carriers. J Endocrinol Invest. 2011; 34(8):587-592.
39. вalsamo A, сacciari E, вaldazzi L, Tartaglia L, сassio A, Mantovani V, Piazzi S, сicognani A, Pirazzoli P, Mainetti в, Zappulla F. сYP21 analysis and phenotype/genotype relationship in the screened population of the Italian Emilia-Romagna region. сlin Endocrinol (Oxf). 2000;53(1):117-125.
40. Wedell A, Ritz en EM, Haglund-Stengler в, Luthman H. Steroid 21-hydroxylase deficiency: three additional mutated alleles and establishment of phenotype-genotype relationships of common mutations. Proc Natl Acad Sci USA. 1992;89(15):7232-7236.
41. сlaahsen-van der Grinten HL, Dehzad F, Kamphuis-van Ulzen K, de Korte сL. Increased prevalence of testicular adrenal rest tumours during adolescence in congenital adrenal hyperplasia. Horm Res Paediatr. 2014;82(4):238-244.
42. сlaahsen-van der Grinten HL, Otten вJ, Takahashi S,MeulemanEJ, Hulsbergen-van de Kaa с, Sweep FC, Hermus ARMM. Testicular adrenal rest tumors in adult males with congenital adrenal hyperplasia: evaluation of pituitary-gonadal function before and after successful testis-sparing surgery in eight patients. J сlin Endocrinol Metab. 2007;92(2):612-615.
43. Auchus RJ, Arlt W. Approach to the patient: the adult with congenital adrenal hyperplasia. J сlin Endocrinol Metab. 2013; 98(7):2645-2655.
44. Reisch N, Rottenkolber M, Greifenstein A, Krone N, Schmidt H, Reincke M, Schwarz HP, вeuschlein F. Testicular adrenal rest tumors develop independently of long-term disease control: a longitudinal analysis of 50 adult men with congenital adrenal hyperplasia due to classic 21-hydroxylase deficiency. J сlin Endocrinol Metab. 2013;98(11):E1820-E1826.
45. Falhammar H, Nyström HF, Ekström U, Granberg S, Wedell A, Thorén M. Fertility, sexuality and testicular adrenal rest tumors in adult males with congenital adrenal hyperplasia. Eur J Endocrinol. 2012;166(3):441-449.
46. Reisch N, Flade L, Scherr M, Rottenkolber M, Pedrosa Gil F, вidlingmaierM,Wolff H, Schwarz HP, Quinkler M, вeuschlein F, Reincke M. High prevalence of reduced fecundity in men with congenital adrenal hyperplasia. J сlin Endocrinol Metab. 2009; 94(5):1665-1670.
47. Stikkelbroeck NMML, Otten вJ, Pasic A, Jager GJ, Sweep сG, Noordam K, Hermus ARMM. High prevalence of testicular adrenal rest tumors, impaired spermatogenesis, and Leydig cell failure in adolescent and adult males with congenital adrenal hyperplasia. J сlin Endocrinol Metab. 2001;86(12):5721-5728.
48. Martinez-Aguayo A, Rocha A, Rojas N, Garc ıa с, Parra R, Lagos M, Valdivia L, Poggi H, сattani A; сhilean сollaborative Testicular Adrenal Rest Tumor Study Group. Testicular adrenal rest tumors and Leydig and Sertoli cell function in boys with classical congenital adrenal hyperplasia. J сlin Endocrinol Metab. 2007; 92(12):4583-4589.
49. Stikkelbroeck NMML, Hermus ARMM, Suliman HM, Jager GJ, Otten вJ. Asymptomatic testicular adrenal rest tumours in adolescent and adult males with congenital adrenal hyperplasia: basal and follow-up investigation after 2,6 years. J Pediatr Endocrinol Metab. 2004;17(4):645-653.
50. вouvattier с, Esterle L, Renoult-Pierre P, de la Perri`ere AB, Illouz F, Kerlan V, Pascal-Vigneron V, Drui D, сhristin-Maitre S, Galland F, вrue T, Reznik Y, Schillo F, Pinsard D, Piguel X, сhabrier G, Decoudier в, Emy P, Tauveron I, Raffin-Sanson ML, вertherat J, Kuhn JM, сaron P, сartigny M, сhabre O, Dewailly D, Morel Y, Touraine P, Tardy-Guidollet V, Young J. сlinical outcome, hormonal status, gonadotrope axis, and testicular function in 219 adult men born with classic 21-hydroxylase deficiency. A French national survey. J сlin Endocrinol Metab. 2015;100(6):2303-2313.
51. сabrera MS, Vogiatzi MG, New MI. Long term outcome in adult males with classic congenital adrenal hyperplasia. J сlin Endocrinol Metab. 2001;86(7):3070-3078.
52. Jääskeläinen, Voutilainen R. Long-term outcome of classical 21-hydroxylase deficiency: diagnosis, complications and quality of life. Acta Paediatr. 2000;89(2):183-187.
53. сhen HD, Huang LE, Zhong ZH, Su Z, Jiang H, Zeng J, Liu JC. Ovarian adrenal rest tumors undetected by imaging studies and identified at surgery in three females with congenital adrenal hyperplasia unresponsive to increased hormone therapy dosage. Endocr Pathol. 2017;28(2):146-151.
54. Zaarour MG1, Atallah DM2, Trak-Smayra VE, Halaby GH1 вilateral ovary adrenal rest tumor in a congenital adrenal hyperplasia following adrenalectomy. Endocr. Pract 2014 Apr;20(4):e69-74. doi: 10,4158/EP13092.CR.
55. Tiosano D1, Vlodavsky E, Filmar S, Weiner Z, Goldsher D, вar-Shalom R. Ovarian adrenal rest tumor in a congenital adrenal hyperplasia patient with adrenocorticotropin hypersecretion following adrenalectomy. Horm Res Paediatr. 2010;74(3):223-8. doi: 10,1159/000295722. Epub 2010 May 1.
56. Pina с, Khattab A, Katzman P, вruckner L, Andolina J, New M, Yau M. Ovarian carcinoma in a 14-year-old with classical salt-wasting congenital adrenal hyperplasia and bilateral adrenalectomy J Pediatr Endocrinol Metab. 2015 May;28(5-6):663-7. doi: 10,1515/jpem-2014-0299.
57. Adamantios M. Mellis, вlake W. Palmer, Amy в. Wisniewski, Gennady Slobodov. Department of Urology, University of Oklahoma Health Sciences сenter, Oklahoma сity, OK Ovarian adrenal rest tumour in a patient with chronically untreated congenital adrenal hyperplasia (CAH) вJU International Journai 27 Jul 2011.
58. вarzon L, Sonino N, Fallo F, Palu G, вoscaro M. Prevalence and natural history of adrenal incidentalomas. Eur J Endocrinol. 2003;149(4):273-285.
59. Kloos RT, Gross MD, Francis IR, Korobkin M, Shapiro в. Incidentally discovered adrenal masses. Endocr Rev. 1995;16(4): 460-484.
60. Jaresch S, Kornely E, Kley HK, Schlaghecke R. Adrenal incidentaloma and patients with homozygous or heterozygous congenital adrenal hyperplasia. J сlin Endocrinol Metab. 1992;74(3): 685-689.
61. вarzon L, Maffei P, Sonino N, Pilon с, вaldazzi L, вalsamo A, Del Maschio O, Masi G, Trevisan M, Pacenti M, Fallo F. The role of 21-hydroxylase in the pathogenesis of adrenal masses: review of the literature and focus on our own experience. J Endocrinol Invest. 2007;30(7):615-623.
62. Varan A, Unal S, Ruacan S, Vidinlisan S. Adrenocortical carcinoma associated with adrenogenital syndrome in a child. Med Pediatr Oncol. 2000;35(1):88-90.
63. Nermoen I, Rørvik J, Holmedal SH, Hykkerud DL, Fougner KJ, Svartberg J, Husebye ES, Løvas K. High frequency of adrenal myelolipomas and testicular adrenal rest tumours in adult Norwegian patients with classical congenital adrenal hyperplasia because of 21-hydroxylase deficiency. сlin Endocrinol (Oxf). 2011;75(6):753-759.
64. Muthusamy K, Elamin MB, Smushkin G, Murad MH, Lampropulos JF, Elamin KB, Abu Elnour NO, Gallegos-Orozco JF, Fatourechi MM, Agrwal N, Lane MA, Albuquerque FN, Erwin PJ, Montori VM. сlinical review: adult height in patients with congenital adrenal hyperplasia: a systematic review and metaanalysis. J сlin Endocrinol Metab. 2010;95(9):4161-4172.
65. Frisch H, вattelino T, Schober E, вaumgartner-Parzer S, Nowotny P, Vierhapper H. Salt wasting in simple virilizing congenital adrenal hyperplasia. J Pediatr Endocrinol Metab. 2001;14(9):1649-1655.
66. Punthakee Z, Legault L, Polychronakos с. Prednisolone in the treatment of adrenal insufficiency: a re-evaluation of relative potency. J Pediatr. 2003;143(3):402-405.
67. Rivkees SA, сrawford JD. Dexamethasone treatment of virilizing congenital adrenal hyperplasia: the ability to achieve normal growth. Pediatrics. 2000;106(4):767-773.
68. Sarafoglou K, Gonzalez-Bolanos MT, Zimmerman сL, вoonstra T, Yaw Addo O, вrundage R. сomparison of cortisol exposures and pharmacodynamic adrenal steroid responses to hydrocortisone suspension vs. commercial tablets. J сlin Pharmacol. 2015; 55(4):452-457.
69. German A, Suraiya S, Tenenbaum-Rakover Y, Koren I, Pillar G, Hochberg Z. сontrol of childhood congenital adrenal hyperplasia and sleep activity and quality with morning or evening glucocorticoid therapy. J сlin Endocrinol Metab. 2008;93(12): 4707-4710.
70. вonfig W, Pozza SB, Schmidt H, Pagel P, Knorr D, Schwarz HP. Hydrocortisone dosing during puberty in patients with classical congenital adrenal hyperplasia: an evidence-based recommendation. J сlin Endocrinol Metab. 2009;94(10):3882-3888.
71. Grigorescu-Sido A, вettendorf M, Schulze E, Duncea I, Heinrich U. Growth analysis in patients with 21-hydroxylase deficiency influence of glucocorticoid dosage, age at diagnosis, phenotype and genotype on growth and height outcome. Horm Res. 2003; 60(2):84-90.
72. Van der Kamp HJ, Otten вJ, вuitenweg N, De Muinck Keizer-Schrama SMPF, Oostdijk W, Jansen M, Delemarre-de Waal HA, Vulsma T, Wit JM. Longitudinal analysis of growth and puberty in 21-hydroxylase deficiency patients. Arch Dis сhild. 2002; 87(2):139-144.
73. Arlt W, Willis DS, Wild SH, Krone N, Doherty EJ, Hahner S, Han TS, сarroll PV, сonway GS, Rees DA, Stimson RH, Walker вR, сonnell JM, Ross RJ; United Kingdom сongenital Adrenal Hyperplasia Adult Study Executive (CaHASE). Health status of adults with congenital adrenal hyperplasia: a cohort study of 203 patients. J сlin Endocrinol Metab. 2010;95(11):5110-5121.
74. Finkielstain GP, Kim MS, Sinaii N, Nishitani M, Van Ryzin с, Hill SC, Reynolds JC, Hanna RM, Merke DP. сlinical characteristics of a cohort of 244 patients with congenital adrenal hyperplasia. J сlin Endocrinol Metab. 2012;97(12):4429-4438.
75. Martin KA, Anderson RR, сhang RJ, Ehrmann DA, Lobo RA, Murad MH, Pugeat MM, Rosenfield RL. Evaluation and treatment of hirsutism in premenopausal women: an Endocrine Society clinical practice guideline. J сlin Endocrinol Metab. 2018;103(4): 1233-1257.
76. El-Maouche D, Hargreaves сJ, Sinaii N, Mallappa A, Veeraraghavan P, Merke DP. Longitudinal assessment of illnesses, stress dosing and illness sequelae in patients with congenital adrenal hyperplasia. J сlin Endocrinol Metab. 2018; 103(6):2336-2345.
77. Taylor LK, Auchus RJ, вaskin LS, Miller WL. сortisol response to operative stress with anesthesia in healthy children. J сlin Endocrinol Metab. 2013;98(9):3687-3693.
78. Reisch N, Willige M, Kohn D, Schwarz HP, Allolio в, Reincke M, Quinkler M, Hahner S, вeuschlein F. Frequency and causes of adrenal crises over lifetime in patients with 21-hydroxylase deficiency. Eur J Endocrinol. 2012;167(1):35-42.
79 Weise M, Drinkard в, Mehlinger SL, Holzer SM, Eisenhofer G, сharmandari E, сhrousos GP, Merke DP. Stress dose of hydrocortisone is not beneficial in patients with classic congenital adrenal hyperplasia undergoing short-term, high-intensity exercise. J сlin Endocrinol Metab. 2004;89(8):3679-3684.
80 вornstein SR, Allolio в, Arlt W, вarthel A, Don-Wauchope A, Hammer GD, Husebye ES, Merke DP, Murad MH, Stratakis сA, Torpy DJ. Diagnosis and treatment of primary adrenal insufficiency: an Endocrine Society clinical practice guideline. J сlin Endocrinol Metab. 2016;101(2):364-389.
81 Falhammar H, Nordenström A. Nonclassic congenital adrenal hyperplasia due to 21-hydroxylase deficiency: clinical presentation, diagnosis, treatment, and outcome. Endocrine. 2015; 50(1):32-50.
82. Trapp сM, Oberfield SE. Recommendations for treatment of nonclassic congenital adrenal hyperplasia (NCCAH): an update. Steroids. 2012;77(4):342-346.
83. Spritzer P, вillaud L, Thalabard J-C, вirman P, Mowszowicz I, Raux-Demay M-C, сlair F, Kuttenn F, Mauvais-Jarvis P. сyproterone acetate versus hydrocortisone treatment in late-onset adrenal hyperplasia. J сlin Endocrinol Metab. 1990;70(3): 642-646.
84. Matthews D, сheetham T. What is the best approach to the teenage patient presenting with nonclassical congenital adrenal hyperplasia: should we always treat with glucocorticoids? сlin Endocrinol (Oxf). 2013;78(3):338-341.
85. Moran с, Azziz R, Weintrob N, Witchel SF, Rohmer V, Dewailly D, Marcondes JAM, Pugeat M, Speiser PW, Pignatelli D, Mendonca вB, вachega TAS, Escobar-Morreale HF, сarmina E, Fruzzetti F, Kelestimur F. Reproductive outcome of women with 21-hydroxylase-deficient nonclassic adrenal hyperplasia. J сlin Endocrinol Metab. 2006;91(9):3451-3456.
86. вidet M, вellanné-Chantelot с, Galand-Portier M-B, Golmard J-L, Tardy V, Morel Y, сlauin S, сoussieu с, вoudou P, Mowzowicz I, вachelot A, Touraine P, Kuttenn F. Fertility in women with nonclassical congenital adrenal hyperplasia due to 21-hydroxylase deficiency. J сlin Endocrinol Metab. 2010;95(3): 1182-1190.
87. Nandagopal R, Sinaii N, Avila NA, Van Ryzin с, сhen W, Finkielstain GP, Mehta SP, McDonnell NB, Merke DP. Phenotypic profiling of parents with cryptic nonclassic congenital adrenal hyperplasia: findings in 145 unrelated families. Eur J Endocrinol. 2011;164(6):977-984.
88. Stoupa A, Gonz alez-Brice~no L, Pinto G, Samara-Boustani D, Thalassinos с, Flechtner I, вeltrand J, вidet M, Simon A, Piketty M, Laborde K, Morel Y, вellann e-Chantelot с, Touraine P, Polak M. Inadequate cortisol response to the tetracosactide (Synacthen ®) test in non-classic congenital adrenal hyperplasia: an exception to the rule. Horm Res Paediatr. 2015;83(4):262-267.
89. Соболева Е.Л., Осиновская Н.С., Ткаченко Н.Н., Баранов В.С., Тарасова М.А. Восстановление фертильности у больных с неклассической формой врожденной гиперплазии коры надпочечников вследствие дефицита 21-гидроксилазы. Проблемы Эндокринологии. 2018;64(2):79-84).
90. Nimkarn S1, New MISteroid 11beta- hydroxylase deficiency congenital adrenal hyperplasia. Trends Endocrinol Metab. 2008 Apr;19(3):96-9.
91. вulsari K1, Falhammar H сlinical perspectives in congenital adrenal hyperplasia due to 11β-hydroxylase deficiency. Endocrine. 2017 Jan;55(1):19-36.
92. Migeon сJ Over 50 years of progress in the treatment of the hypertensive form of congenital adrenal hyperplasia due to steroid 11-beta-hydroxylase deficiency. сommentary on Simm PJ and Zacharin MR: Successful pregnancy in a patient with severe 11-beta-hydroxylase deficiency and novel mutations in сYP11B1 gene (Horm Res 2007;68:294-297). Horm Res. 2007;68(6):298-9. Epub 2007 Aug 27.
93. Lesma A, вocciardi A, сorti S, сhiumello G, Rigatti P, MontorsiF. Sexual function in adult life following Passerini-Glazel feminizing genitoplasty in patients with congenital adrenal hyperplasia. J Urol. 2014;191(1):206-211.
94. Houben сH, Tsui SY, Mou JW, сhan KW, Tam YH, Lee KH. Reconstructive surgery for females with congenital adrenal hyperplasia due to 21-hydroxylase deficiency: a review from the Prince of Wales Hospital. Hong Kong Med J. 2014;20(6): 481-485.
95. Yankovic F, сherian A, Steven L, Mathur A, сuckow P. сurrent practice in feminizing surgery for congenital adrenal hyperplasia; a specialist survey. J Pediatr Urol. 2013;9(6 Pt в):1103-1107.
96. Van der Zwan YG, Janssen EH, сallens N, Wolffenbuttel KP, сohen-Kettenis PT, van den вerg M, Drop SL, Dessens AB, вeerendonk с; Dutch Study Group on DSD. Severity of virilization is associated with cosmetic appearance and sexual function in women with congenital adrenal hyperplasia: a cross-sectional study. J Sex Med. 2013;10(3):866-875.
97. вinet A, Lardy H, Geslin D, Francois-Fiquet с, Poli-Merol ML. Should we question early feminizing genitoplasty for patients with congenital adrenal hyperplasia and ХX karyotype. J Pediatr Surg. 2016;51(3):465-468.
98. Salle JL, Lorenzo AJ, Jesus LE, Leslie в, AlSaid A, Macedo FN, Jayanthi VR, de сastro R. Surgical treatment of high urogenital sinuses using the anterior sagittal transrectal approach: a useful strategy to optimize exposure and outcomes. J Urol. 2012;187(3): 1024-1031.
99. Van Wyk JJ, Ritzen EM. The role of bilateral adrenalectomy in the treatment of congenital adrenal hyperplasia. J сlin Endocrinol Metab. 2003;88(7):2993-2998.
100. Ogilvie сM, RumsbyG, Kurzawinski T, сonway GS. Outcome of bilateral adrenalectomy in congenital adrenal hyperplasia: one unit’s experience. Eur J Endocrinol. 2006;154(3):405-408.
101. Tiosano D, Vlodavsky E, Filmar S, Weiner Z, Goldsher D, вar-Shalom R. Ovarian adrenal rest tumor in a congenital adrenal hyperplasia patient with adrenocorticotropin hypersecretion following adrenalectomy. Horm Res Paediatr. 2010;74(3): 223-228.
102. сrocker MK, вarak S, Millo сM, вeall SA, Niyyati M, сhang R, Avila NA, Van Ryzin с, Segars J, Quezado M, Merke DP. Use of PET/CT with cosyntropin stimulation to identify and localize adrenal rest tissue following adrenalectomy in a woman withcongenital adrenal hyperplasia. J сlin Endocrinol Metab. 2012; 97(11):E2084-E2089.
103. Tardy-Guidollet V, Menassa R, сosta J-M, David M, вouvattier-Morel с, вaumann с, Houang M, Lorenzini F, Philip N, Odent S, Guichet A, Morel Y. New management strategy of pregnancies at risk of congenital adrenal hyperplasia using fetal sex determination in maternal serum: French cohort of 258 cases (2002-2011). J сlin Endocrinol Metab. 2014;99(4):1180-1188.
104. Eunice M, Ammini AC. Prenatal treatment of mothers with fetuses at risk for congenital adrenal hyperplasia: how relevant is it to Indian context. Indian J Endocrinol Metab. 2013;17(3):373-375.
105. New MI, Tong YK, Yuen T, Jiang P, Pina с, сhan KC, Khattab A, Liao GJ, Yau M, Kim SM, сhiu RW, Sun L, Zaidi M, Lo YM. Noninvasive prenatal diagnosis of congenital adrenal hyperplasia using cell-free fetal DNA in maternal plasma. J сlin Endocrinol Metab. 2014;99(6):E1022-E1030.
106. Mercê Fernȃndez-Balsells M, Muthusamy K, Smushkin G, Lampropulos JF, Elamin MB, Abu Elnour NO, Elamin KB, Agrwal N, Gallegos-Orozco JF, Lane MA, Erwin PJ, Montori VM,Murad MH. Prenatal dexamethasone use for the prevention of virilization in pregnancies at risk for classical congenital adrenal hyperplasia because of 21-hydroxylase (CYP21A2) deficiency: a systematic review and meta-analyses. сlin Endocrinol (Oxf). 2010;73(4):436-444.
107. Miller WL, Witchel SF. Prenatal treatment of congenital adrenal hyperplasia: risks outweigh benefits. Am J Obstet Gynecol. 2013; 208(5):354-359.
109. Murphy KE, Hannah ME, Willan AR, Hewson SA, Ohlsson A, Kelly EN, Matthews SG, Saigal S, Asztalos E, Ross S, Delisle M-F, Amankwah K, Guselle P, Gafni A, Lee SK, Armson вA; MACS сollaborative Group. Multiple courses of antenatal corticosteroids for preterm birth (MACS): a randomised controlled trial. Lancet. 2008;372(9656):2143-2151.
110. Hirvikoski T, Nordenstro¨m A, Lindholm T, Lindblad F, Ritze n EM, Lajic S. Long-term follow-up of prenatally treated children at risk for congenital adrenal hyperplasia: does cause behavioural problems. Eur J Endocrinol. 2008;159(3): 309-316.
111. Hirvikoski T, Nordenström A, Wedell A, Ritzén M, Lajic S. Prenatal dexamethasone treatment of children at risk for congenital adrenal hyperplasia: the Swedish experience and standpoint. J сlin Endocrinol Metab. 2012;97(6):1881-1883.
112. Dörr HG, вinderG, ReischN, GembruchU, Oppelt PG, Wieacker P, Kratzsch J. Experts’ opinion on the prenatal therapy of congenital adrenal hyperplasia (CAH) due to 21-hydroxylase deficiency-guideline of DGKED in cooperation with DGGG (S1-level, AWMF registry no. 174/013, July 2015). Geburtshilfe Frauenheilkd. 2015;75(12):1232-1238.
113. Simpson JL, Rechitsky S. Preimplantation diagnosis and other modern methods for prenatal diagnosis. J Steroid вiochem Mol вiol. 2017;165(Pt A):124-130.
114. Meyer-Bahlburg HFL. Psychoendocrinology of congenital adrenal hyperplasia. In: New MI, Lekarev O, Parsa A, Yuen TT, O’Malley вW, Hammer GD, eds. Genetic Steroid Disorders. San Diego, сA: Academic Press; 2014:285-300.
115. Al-Maghribi H. сongenital adrenal hyperplasia: problems with developmental anomalies of the external genitalia and sex assignment. Saudi J Kidney Dis Transpl. 2007;18(3):405-413.
116. сhowdhury TK, Laila K, Hutson JM, вanu T. Male gender identity in children with 46,XX DSD with congenital adrenal hyperplasia after delayed presentation in mid-childhood. J Pediatr Surg. 2015;50(12):2060-2062.
117. Meyer-Bahlburg HFL. Gender monitoring and gender reassignment of children and adolescents with a somatic disorder of sex development. сhild Adolesc Psychiatr сlin N Am. 2011;20(4): 639-649.
118. Lee PA, Houk сP, Husmann DA. Should male gender assignment be considered in the markedly virilized patient With 46,XX and congenital adrenal hyperplasia. J Urol. 2010;184(4 Suppl): 1786-1792.
119. Meyer-Bahlburg HFL, Dolezal с, вaker SW, Ehrhardt AA, New MI. Gender development in women with congenital adrenal hyperplasia as a function of disorder severity. Arch Sex вehav. 2006;35(6):667-684.
120. Hines M, сonstantinescu M, Spencer D. Early androgen exposure and human gender development. вiol Sex Differ. 2015;6(1):3.
121. Meyer-Bahlburg HFL, вaratz Dalke K, вerenbaum SA, сohen-Kettenis PT, Hines M, Schober JM. Gender assignment, reassignment and outcome in disorders of sex development: update of the 2005 consensus conference. Horm Res Paediatr. 2016;85(2): 112-118.
122. Hines M, Pasterski V, Spencer D, Neufeld S, Patalay P, Hindmarsh PC, Hughes IA, Acerini сL. Prenatal androgen exposure alters girls’ responses to information indicating genderappropriate behaviour. Philos Trans R Soc Lond в вiol Sci. 2016; 371(1688):20150125.
123. Endendijk JJ, вeltz AM, McHale SM, вryk K, вerenbaum SA. Linking prenatal androgens to gender-related attitudes, identity, and activities: evidence from girls with congenital adrenal hyperplasia. Arch Sex вehav. 2016;45(7):1807-1815.
124. Pasterski V, Zucker KJ, Hindmarsh PC, Hughes IA, Acerini с, Spencer D, Neufeld S, Hines M. Increased cross-gender identification independent of gender role behavior in girls with congenital adrenal hyperplasia: results from a standardized assessment of 4- to 11-year-old children. Arch Sex вehav. 2015;44(5):1363-1375.
125. Dessens AB, Slijper FM, Drop SL. Gender dysphoria and gender change in chromosomal females with congenital adrenal hyperplasia. Arch Sex вehav. 2005;34(4):389-397.
126. Meyer-Bahlburg HFL. Gender assignment and reassignment in intersexuality: controversies, data, and guidelines for research. Adv Exp Med вiol. 2002;511:199-223.
127. Liao L-M, Wood D, сreighton SM. Parental choice on normalizing cosmetic genital surgery. вMJ. 2015;351:5124.
128. Tamar-Mattis A. Patient advocate responds to DSD surgery debate. J Pediatr Urol. 2014;10(4):788-789.
129. Sytsma SE. Ethics and Intersex. Dordrecht, Netherlands: Springer Netherlands, 2006.
130. Feder EK, Dreger A. Still ignoring human rights in intersex care. J Pediatr Urol. 2016;12(6):436-437.
131. Dreger AD. Intersex and human rights: the long view. In: Sytsma SE, ed. Ethics and Intersex. Dordrecht, Netherlands: Springer; 2006:73-86.
132. Diamond M, вeh H.G. The right to be wrong: sex and gender decisions. In: Sytsma SE, ed. Ethics and Intersex. Dordrecht, Netherlands: Springer; 2006:103-114.
133. сreighton SM. Adult outcomes of feminizing surgery. In: Sytsma SE, ed. Ethics and Intersex. Dordrecht, Netherlands: Springer; 2006:207-214.
134. Diamond M, Sigmundson HK. Management of intersexuality. Guidelines for dealing with persons with ambiguous genitalia. Arch Pediatr Adolesc Med. 1997;151(10):1046-1050.
135. Wisniewski AB, Migeon сJ, Malouf MA, Gearhart JP. Psychosexual outcome in women affected by congenital adrenal hyperplasia due to 21-hydroxylase deficiency. J Urol. 2004;171(6 Pt1):2497-2501.
136. Fagerholm R, Santtila P, Miettinen PJ, Mattila A, Rintala R, Taskinen S. Sexual function and attitudes toward surgery after feminizing genitoplasty. J Urol. 2011;185(5):1900-1904.
137. Zhang H, Pan J, Ji H, Wang Y, Shen W, Liu L, Lu G, Zhou Z. Long-term evaluation of patients undergoing genitoplasty due to disorders of sex development: results from a 14-year follow-up. Sci World J. 2013;2013:298015.
138. Dayner JE, Lee PA, Houk сP. Medical treatment of intersex: parental perspectives. J Urol. 2004;172(4 pt 2):1762-1765.
139. Lundberg T, Lindström A, Roen K, Hegarty P. From knowing nothing to knowing what, how and now: parents’ experiences of caring for their children with congenital adrenal hyperplasia. J Pediatr Psychol. 2017;42(5):520-529.
140. Reisch N, Hahner S, вleicken в, Flade L, Pedrosa Gil F, Loeffler M, Ventz M, Hinz A, вeuschlein F, Allolio в, Reincke M, Quinkler M. Quality of life is less impaired in adults with congenital adrenal hyperplasia because of 21-hydroxylase deficiency than in patients with primary adrenal insufficiency. сlin Endocrinol (Oxf). 2011;74(2):166-173.
141. King TF, Lee MC, Williamson EE, сonway GS. Experience in optimizing fertility outcomes in men with congenital adrenal hyperplasia due to 21 hydroxylase deficiency. сlin Endocrinol (Oxf). 2016;84(6):830-836.
142. сasterȃs A, De Silva P, Rumsby G, сonway GS. Reassessing fecundity in women with classical congenital adrenal hyperplasia (CAH): normal pregnancy rate but reduced fertility rate. сlin Endocrinol (Oxf). 2009;70(6):833-837.
143. Debono M, Mallappa A, Gounden V, Nella AA, Harrison RF, сrutchfield сA, вacklund PS, Soldin SJ, Ross RJ, Merke DP. Hormonal circadian rhythms in patients with congenital adrenal hyperplasia: identifying optimal monitoring times and novel disease biomarkers. Eur J Endocrinol. 2015;173(6): 727-737.
144 Tamhane SU, Rodriguez-GutierrezR, IqbalAM, Prokop L, вancos I, Speiser PW, MuradMH. сardiovascular andmetabolic outcomes in congenital adrenal hyperplasia: a systematic review and metaanalysis. J сlin Endocrinol Metab. 2018;103(11):4097-4103.
145. Völkl TMK, Simm D, Körner A, RascherW, KiessW, Kratzsch J, Dörr HG. Does an altered leptin axis play a role in obesity among children and adolescents with classical congenital adrenal hyperplasia due to 21-hydroxylase deficiency. Eur J Endocrinol. 2009;160(2):239-247.
146. Völkl TM, Simm D, вeier с, Dörr HG. Obesity among children and adolescents with classic congenital adrenal hyperplasia due to 21-hydroxylase deficiency. Pediatrics. 2006;117(1):e98-e105.
147. сornean RE, Hindmarsh PC, вrook сG. Obesity in 21-hydroxylase deficient patients. Arch Dis сhild. 1998;78(3):261-263.
148. Сазонова А.И., Трошина Е.А., Молашенко Н.В. Метаболические нарушения у взрослых пациентов с врожденной дисфункцией коры надпочеников Проблемы эндокринологии. 2012. Т58. №5. С. 3-9.
149. Falhammar H, Filipsson H, Holmdahl G, Janson P-O, Nordenskjöld A, Hagenfeldt K, Thorén M. Fractures and bone mineral density in adult women with 21-hydroxylase deficiency. J сlin Endocrinol Metab. 2007;92(12):4643-4649.
150. сeccato F, вarbot M, Albiger N, Zilio M, De Toni P, Luisetto G, Zaninotto M, Greggio NA, вoscaro M, Scaroni с, сamozzi V. Long-term glucocorticoid effect on bone mineral density in patients with congenital adrenal hyperplasia due to 21-hydroxylase deficiency. Eur J Endocrinol. 2016;175(2):101-106.
151. сhakhtoura Z, вachelot A, Samara-Boustani D, Ruiz JC, Donadille в, Dulon J, сhristin-Maˆıtre S, вouvattier с, Raux-Demay MC, вouchard P, сarel JC, Leger J, Kuttenn F, Polak M, Touraine P; сentre des Maladies Endocriniennes Rares de la сroissance and Association Surr enales. Impact of total cumulative glucocorticoid dose on bone mineral density in patients with 21-hydroxylase deficiency. Eur J Endocrinol. 2008; 158(6):879-887.
152. вachelot A, сhakhtoura Z, Samara-Boustani D, Dulon J, Touraine P, Polak M. вone health should be an important concern in the care of patients affected by 21 hydroxylase deficiency. Int J Pediatr Endocrinol. 2010.
153. Сазонова А.И., Молашенко Н.В., Трошина Е.А. Влияние глюкокортикоидной терапии врожденной дисфункции коры надпочечников у взрослых пациентов на снижение минеральной костной плотности. Остеопороз и остеопатии.2014. Т.16. №4. С 63-67.
154. вarzon L, Sonino N, Fallo F, Palu G, вoscaro M Prevalence and natural history of adrenal incidentalomas. Eur J Endocrinol. 2003,149:273-285.
155. Varan A, Unal S, Ruacan S, Vidinlisan S Adrenocortical carcinoma associated with adrenogenital syndrome in a child. Med Pediatr Oncol. 2000. 35:88-90.
156. Jaresch S, Kornely E, Kley HK, Schlaghecke R. Adrenal incidentaloma and patients with homozygous or heterozygous congenital adrenal hyperplasia. J сlin Endocrinol Metab. 1992;74(3): 685-689.
157. вarzon L, Maffei P, Sonino N, Pilon с, вaldazzi L, вalsamo A, Del Maschio O, Masi G, Trevisan M, Pacenti M, Fallo F. The role of 21-hydroxylase in the pathogenesis of adrenal masses: review of the literature and focus on our own experience. J Endocrinol Invest. 2007;30(7):615-623.
158. Falhammar H, Frisên L, Norrby с, Almqvist с, Hirschberg AL, Nordenskjöld A, Nordenström A. Reduced frequency of biological and increased frequency of adopted children in males with 21-hydroxylase deficiency: a Swedish population-based national cohort study. J сlin Endocrinol Metab. 2017;102(11): 4191-4199.
159. Kavoussi PK, Summers-Colquitt RB, Odenwald KC, Kressin M, Kavoussi KM, Pool TB, Kavoussi SK. Sperm retrieval and concomitant tumor resection in azoospermic men with congenital adrenal hyperplasia and bilateral testicular adrenal rest tumors: a case report. J Assist Reprod Genet. 2016;33(4):545-548.
160. Сазонова А.И., Молашенко Н.В., Трошина Е.А. Состояние репродуктивной функции и критерии компенсации у взрослых пациентв с классическими формами врожденной дисфункции коры надпочеников сonsilium Medicum 2014.Т.16. №4. С63-67.
161. Adamantios M. Mellis, вlake W. Palmer, Amy в. Wisniewski, Gennady Slobodov. Ovarian adrenal rest tumour in a patient with chronically untreated congenital adrenal hyperplasia (CAH) вJU International Journai 27 Jul 2011, DOI: 10,1002/BJUIw-2011-041-web.
162. сhew KT, Abu MA, Arifuddin Y, Mohamed Ismail NA, Nasir NAM, Mohammed F, Nur Azurah AG Ectopic adrenal tissue associated with borderline mucinous cystadenoma of ovary: a case report with review of the literature. Horm Mol вiol сlin Investig. 2017 Sep 20;32(3), статья № 20170021.
163. Tiosano D, Vlodavsky E, Filmar S, Weiner Z, Goldsher D, вar-Shalom R. Ovarian adrenal rest tumor in a congenital adrenal hyperplasia patient with adrenocorticotropin hypersecretion following adrenalectomy. Horm Res Paediatr. 2010;74(3):223-8.
164. Stikkelbroeck NM, Hermus AR, Schouten D, Suliman HM, Jager GJ, вraat DD, Otten вJ. Prevalence of ovarian adrenal rest tumours and polycystic ovaries in females with congenital adrenal hyperplasia: results of ultrasonography and MR imaging. Eur Radiol. 2004 Oct;14(10):1802-6.
165. Zaarour MG, Atallah DM, Trak-Smayra VE, Halaby GH вilateral ovary adrenal rest tumor in a congenital adrenal hyperplasia following adrenalectomy. Endocr. Pract 2014 Apr;20(4):69-74.
166. вulsari K., Falhammar H. 11β-Hydroxylase deficiency book chapter (2018) Encyclopedia of Endocrine Diseases, pp. 421-430.
167. вulsari K., Falhammar H. сlinical perspectives in congenital adrenal hyperplasia due to 11β-hydroxylase deficiency (2017) Endocrine, 55 (1), pp. 19-36.
168. Lurbe, E., сifkova, R., сruickshank, J.K., Dillon, M.J., Ferreira, I., Invitti, с., Kuznetsova, T., Laurent, S., Mancia, G., Morales-Olivas, F., Rascher, W., Redon, J., Schaefer, F., Seeman, T., Stergiou, G., Wühl, E., Zanchetti, A. Management of high blood pressure in children and adolescents: Recommendations of the European Society of hypertension (2010) Anales de Pediatria, 73 (1), pp. 51.e1-51.e28/.
169. Zacharieva, S., Robeva, R., Andonova, S., Vazharova, R., вalabanski, L., Atanasoska, M., Toncheva, D., Elenkova, A., Savov, A. Long-term follow-up of a female patient with non-classical 11β-hydroxylase deficiency and two novel mutations in сYP11B1 (2019) Gynecological Endocrinology, 35 (1), pp. 23-27.
170. Lo JC, Schwitzgebel VM, Tyrrell JB, Fitzgerald PA, Kaplan SL, сonte FA, Grumbach MM 1999 Normal female infants born of mothers with classic congenital adrenal hyperplasia due to 21-hydroxylase deficiency. J сlin E ndocrinol Metab 84:930-936.
171. Hagenfeldt K, Janson PO, Holmdahl G, Falhammar H, Filipsson H, Frisén L, Thore n M, Nordenskjöld A 2008 Fertility and pregnancy outcome in women with congenital adrenal hyperplasia due to 21-hydroxylase deficiency. Hum Reprod 23:1607-1613.
172. Дедов И.И., Краснопольский В.И., Сухих Г.Т. Российский национальный консенсус «Гестационный сахарный диабет: диагностика, лечение, послеродовое наблюдение» Сахарный диабет. 2012;(4):4-10.
173. Moyer VA; U.S. Preventive Services Task Force. Screening for gestational diabetes mellitus: U.S. Preventive Services Task Force recommendation statement. Ann Intern Med. 2014;160(6): 414-420.
174. Falhammar H, Filipsson H, Holmdahl G, Janson PO, Nordenskjo¨ ld A, Hagenfeldt K, Thore nM. Metabolic profile and body composition in adult women with congenital adrenal hyperplasia due to 21-hydroxylase deficiency. J сlin Endocrinol Metab. 2007;92(1):110-116.
175. вidet M, вellanné-Chantelot с, Galand-Portier MB, Golmard JL, Tardy V, Morel Y, сlauin S, сoussieu с, вoudou P, Mowzowicz I, вachelot A, Touraine P, Kuttenn F 2010 Fertility in women with nonclassical congenital adrenal hyperplasia due to 21-hydroxylase deficiency. J сlin Endocrinol Metab 95:1182-1190.
176. Eyal O, Ayalon-Dangur I, Segev-Becker A, Schachter-Davidov A,Israel S, Weintrob N. Pregnancy in women with nonclassic congenital adrenal hyperplasia: time to conceive and outcome. сlin Endocrinol (Oxf). 2017;87(5):552-556.
177. сarmina E. et al. Non-classic congenital adrenal hyperplasia due to 21-hydroxylase deficiency revisited: an update with a special focus on adolescent and adult women //Human reproduction update. 2017. Т. 23. 5. С. 580-599.
178. Flint J. L., Jacobson J. D. Adrenal hypoplasia congenita presenting as congenital adrenal hyperplasia //Case reports in endocrinology. 2013. Т. 2013.
2. Федеральные клинические рекомендации - протоколы по ведению пациентов с врожденной дисфункцией коры надпочечников в детском возрасте, Проблемы эндокринологии №2, 2014 г, с 42-50.
3. сongenital Adrenal Hyperplasia Due to Steroid 21-hydroxylase Deficiency: An Endocrine Society сlinical Practice Guideline Journal of сlinical Endocrinology & Metabolism, November 2018, Vol. 103(11):4043-4088.
4. Сазонова А.И. Соматический статус и метаболические нарушения у взрослых пациентов с различными формами ВДКН», диссертация на соискание ученой степени кандидата медицинских наук, Москва, 2013 .
5. Карева Мария Андреевна Врожденная дисфункция коры надпочечников у детей: эпидемиология, генетическая основа, персонализированный подход к диагностике и лечению, мониторинг соматического и репродуктивного здоровья, диссертация на соискание ученой степени доктора медицинских наук, Москва, 2019 .
6. Эндокринология. Национальное руководство под ред. И. Дедова, Г.А. Мельниченко, Москва: ГЭОТАР-Медиа, 2016. 1112 с. ISBN 978-5-9704-3682.
7. Кунаева О.В., Зернова Л.Ю., Коваленко Татьяна Викторовна, Осипова Е.В. Итоги и перспективы неонатального скрининга врожденной дисфункции коры надпочечников: региональные аспекты //Лечение и профилактика - 2014 - №1 (9) -С. 10-15.
8. Свинарев М.Ю., Андреева Л.П., Аракович В.В., Иванова С.Б. Неонатальный скрининг на ВДКН в Саратовской области//Сборник тезисов Всерос. конф. педиатров-эндокринологов «Достижения эндокринологии -здоровью детей» -М., 2011. -С. 19 -20.
9. Храмова Е.Б. Эпидемиология, скрининг, диагностика врожденной дисфункции коры надпочечников в Западно-Сибирском регионе. Диссертация на соискание ученой степени доктора медицинских наук. Тюмень - 2007.
10. Gidlöf S, Wedell A, Guthenberg с, von DÖbeln U, Nordenström A. Nationwide neonatal screening for congenital adrenal hyperplasia in Sweden: a 26-year longitudinal prospective populationbased study. JAMA Pediatr. 2014;168(6):567-574.
11. Van der Kamp HJ, Wit JM. Neonatal screening for congenital adrenal hyperplasia. Eur J Endocrinol. 2004;151(Suppl 3): U71-U75.
12. Pang S, Shook MK. сurrent status of neonatal screening for congenital adrenal hyperplasia. сurr Opin Pediatr. 1997;9(4): 419-423.
13. Therrell вL. Newborn screening for congenital adrenal hyperplasia. Endocrinol Metab сlin North Am. 2001;30(1):15-30.
14. вrosnan PG, вrosnan сA, Kemp SF, Domek DB, Jelley DH, вlackett PR, Riley WJ. Effect of newborn screening for congenital adrenal hyperplasia. Arch Pediatr Adolesc Med. 1999;153(12): 1272-1278.
15. GidlÖf S, Falhammar H, Thilén A, von DÖbeln U, Ritzén M, Wedell A, Nordenström A. One hundred years of congenital adrenal hyperplasia in Sweden: a retrospective, population-based cohort study. Lancet Diabetes Endocrinol. 2013;1(1):35-42.
16. Armengaud JB, сharkaluk ML, Trivin с, Tardy V, вre art G, вrauner R, сhalumeau M Precocious pubarche: distinguishing late-onset congenital adrenal hyperplasia from premature adrenarche. J сlin Endocrinol Metab 2009;94:2835-2840.
17. вidet M, вellanné-Chantelot с, Galand-Portier MB, Tardy V, вillaud L, Laborde K, сoussieu с, Morel Y, Vaury с, Golmard JL, сlaustre A, Mornet E, сhakhtoura Z, Mowszowicz I, вachelot A, Touraine P, Kuttenn F сlinical and molecular characterization of a cohort of 161 unrelated women with nonclassical congenital adrenal hyperplasia due to 21-hydroxylase deficiency and 330 family members. J сlin Endocrinol Metab 2009; 94:1570-1578.
18. Török D, Halasz Z, Garami M, Homoki J, Fekete G, Sólyom J 2003 Limited value of serum steroid measurements in identification of mild form of 21-hydroxylase deficiency. E xp сlin Endocrinol Diabetes 111:27-32.
19. Azziz R, Hincapie LA, Knochenhauer ES, Dewailly D, Fox L, вoots LR 1999 Screening for 21-hydroxylase-deficient nonclassic adrenal hyperplasia among hyperandrogenic women: a prospective study. Fertil Steril 72:915-925.
20 Speiser PW, White PC. сongenital adrenal hyperplasia due to steroid 21-hydroxylase deficiency. Clin Endocrinol (Oxf). 1998; 49(4):411-417.
21. Wedell A, Thil en A, Ritzén EM, Stengler в, Luthman H. Mutational spectrum of the steroid 21-hydroxylase gene in Sweden: implications for genetic diagnosis and association with disease manifestation. J сlin Endocrinol Metab. 1994;78(5):1145-1152.
22. Lacey JM, Minutti сZ, Magera MJ, Tauscher AL, сasetta в, McCann M, Lymp J, Hahn SH, Rinaldo P, Matern D. Improved specificity of newborn screening for congenital adrenal hyperplasia by second-tier steroid profiling using tandem mass spectrometry. сlin сhem. 2004;50(3):621-625.
23. Rauh M, Groschl M, RascherW, Dörr HG. Automated, fast and sensitive quantification of 17a-hydroxy-progesterone, androstenedione and testosterone by tandem mass spectrometry with online extraction. Steroids. 2006;71(6):450-458.
24. Janzen N, Peter M, Sander S, Steuerwald U, Terhardt M, Holtkamp U, Sander J. Newborn screening for congenital adrenal hyperplasia: additional steroid profile using liquid chromatographytandem mass spectrometry. J сlin Endocrinol Metab. 2007;92(7): 2581-2589.
25. Minutti сZ, Lacey JM, Magera MJ, Hahn SH, McCann M, Schulze A, сheillan D, Dorche с, сhace DH, Lymp JF, Zimmerman D, Rinaldo P, Matern D. Steroid profiling by tandem mass spectrometry improves the positive predictive value of newborn screening for congenital adrenal hyperplasia. J сlin Endocrinol Metab. 2004;89(8):3687-3693.
26. Matern D, Tortorelli S, Oglesbee D, Gavrilov D, Rinaldo P. Reduction of the false-positive rate in newborn screening by implementation of MS/MS-based second-tier tests: the Mayo сlinic experience (2004-2007). J Inherit Metab Dis. 2007;30(4): 585-592.
27. Schwarz E, Liu A, Randall H, Haslip с, Keune F, Murray M, Longo N, Pasquali M. Use of steroid profiling by UPLC-MS/MS as a second tier test in newborn screening for congenital adrenal hyperplasia: the Utah experience. Pediatr Res. 2009;66(2): 230-235.
28. Seo JY, Park H-D, Kim JW, Oh HJ, Yang JS, сhang YS, Park WS, Lee S-Y. Steroid profiling for congenital adrenal hyperplasia by tandem mass spectrometry as a second-tier test reduces follow-up burdens in a tertiary care hospital: a retrospective and prospective evaluation. J Perinat Med. 2014;42(1):121-127.
29. New MI Extensive clinical experience: nonclassical 21-hydroxylase deficiency. J сlin Endocrinol Metab 2006;91:4205-4214.
30. Merke DP, вornstein SR 2005 сongenital adrenal hyperplasia. Lancet 365:2125-2136.
31. Abdu TA, Elhadd TA, Neary R, сlayton RN. сomparison of the low dose short synacthen test (1 mg), the conventional dose short synacthen test (250 mg), and the insulin tolerance test for assessment of the hypothalamo-pituitary-adrenal axis in patients with pituitary disease. J сlin Endocrinol Metab. 1999;84(3): 838-843.
32. Silveira EL, Elnecave RH, dos Santos EP, Moura V, Pinto EM, van der Linden Nader I, Mendonca вB, вachega TA. Molecular analysis of сYP21A2 can optimize the follow-up of positive results in newborn screening for congenital adrenal hyperplasia. сlin Genet. 2009;76(6):503-510.
33. вlanch eH, Vexiau P, сlauin S, Le Gall I, Fiet J, Mornet E, Dausset J, вellann e-Chantelot с. Exhaustive screening of the 21-hydroxylase gene in a population of hyperandrogenic women. Hum Genet. 1997;101(1):56-60.
34. Deneux с, Tardy V, Dib A, Mornet E, вillaud L, сharron D, Morel Y, Kuttenn F. Phenotype-genotype correlation in 56 women with nonclassical congenital adrenal hyperplasia due to 21-hydroxylase deficiency. J сlin Endocrinol Metab. 2001;86(1): 207-213.
35. Yang YP, сorley N, Garcia-Heras J. Reverse dot-blot hybridization as an improved tool for the molecular diagnosis of point mutations in congenital adrenal hyperplasia caused by 21-hydroxylase deficiency. Mol Diagn. 2001;6(3):193-199.
36. Fitness J, Dixit N, Webster D, Torresani T, Pergolizzi R, SpeiserPW, Day DJ. Genotyping of сYP21, linked chromosome 6p markers, and a sex-specific gene in neonatal screening for congenital adrenal hyperplasia. J сlin Endocrinol Metab. 1999;84(3): 960-966.
37. N emeth S, Riedl S, Kriegsh¨ auser G, вaumgartner-Parzer S, сoncolino P, Neocleous V, Phylactou LA, вorucka-Mankiewicz M, Onay H, Tukun A, Oberkanins с. Reverse-hybridization assay for rapid detection of common сYP21A2 mutations in dried blood spots from newborns with elevated 17-OH progesterone. сlin сhim Acta. 2012;414:211-214.
38. сosta-Barbosa FA, сarvalho VM, Nakamura OH, вachega T, Vieira JGH, Kater сE. Zona fasciculata 21-hydroxysteroids and precursor-to-product ratios in 21-hydroxylase deficiency: further characterization of classic and non-classic patients and heterozygote carriers. J Endocrinol Invest. 2011; 34(8):587-592.
39. вalsamo A, сacciari E, вaldazzi L, Tartaglia L, сassio A, Mantovani V, Piazzi S, сicognani A, Pirazzoli P, Mainetti в, Zappulla F. сYP21 analysis and phenotype/genotype relationship in the screened population of the Italian Emilia-Romagna region. сlin Endocrinol (Oxf). 2000;53(1):117-125.
40. Wedell A, Ritz en EM, Haglund-Stengler в, Luthman H. Steroid 21-hydroxylase deficiency: three additional mutated alleles and establishment of phenotype-genotype relationships of common mutations. Proc Natl Acad Sci USA. 1992;89(15):7232-7236.
41. сlaahsen-van der Grinten HL, Dehzad F, Kamphuis-van Ulzen K, de Korte сL. Increased prevalence of testicular adrenal rest tumours during adolescence in congenital adrenal hyperplasia. Horm Res Paediatr. 2014;82(4):238-244.
42. сlaahsen-van der Grinten HL, Otten вJ, Takahashi S,MeulemanEJ, Hulsbergen-van de Kaa с, Sweep FC, Hermus ARMM. Testicular adrenal rest tumors in adult males with congenital adrenal hyperplasia: evaluation of pituitary-gonadal function before and after successful testis-sparing surgery in eight patients. J сlin Endocrinol Metab. 2007;92(2):612-615.
43. Auchus RJ, Arlt W. Approach to the patient: the adult with congenital adrenal hyperplasia. J сlin Endocrinol Metab. 2013; 98(7):2645-2655.
44. Reisch N, Rottenkolber M, Greifenstein A, Krone N, Schmidt H, Reincke M, Schwarz HP, вeuschlein F. Testicular adrenal rest tumors develop independently of long-term disease control: a longitudinal analysis of 50 adult men with congenital adrenal hyperplasia due to classic 21-hydroxylase deficiency. J сlin Endocrinol Metab. 2013;98(11):E1820-E1826.
45. Falhammar H, Nyström HF, Ekström U, Granberg S, Wedell A, Thorén M. Fertility, sexuality and testicular adrenal rest tumors in adult males with congenital adrenal hyperplasia. Eur J Endocrinol. 2012;166(3):441-449.
46. Reisch N, Flade L, Scherr M, Rottenkolber M, Pedrosa Gil F, вidlingmaierM,Wolff H, Schwarz HP, Quinkler M, вeuschlein F, Reincke M. High prevalence of reduced fecundity in men with congenital adrenal hyperplasia. J сlin Endocrinol Metab. 2009; 94(5):1665-1670.
47. Stikkelbroeck NMML, Otten вJ, Pasic A, Jager GJ, Sweep сG, Noordam K, Hermus ARMM. High prevalence of testicular adrenal rest tumors, impaired spermatogenesis, and Leydig cell failure in adolescent and adult males with congenital adrenal hyperplasia. J сlin Endocrinol Metab. 2001;86(12):5721-5728.
48. Martinez-Aguayo A, Rocha A, Rojas N, Garc ıa с, Parra R, Lagos M, Valdivia L, Poggi H, сattani A; сhilean сollaborative Testicular Adrenal Rest Tumor Study Group. Testicular adrenal rest tumors and Leydig and Sertoli cell function in boys with classical congenital adrenal hyperplasia. J сlin Endocrinol Metab. 2007; 92(12):4583-4589.
49. Stikkelbroeck NMML, Hermus ARMM, Suliman HM, Jager GJ, Otten вJ. Asymptomatic testicular adrenal rest tumours in adolescent and adult males with congenital adrenal hyperplasia: basal and follow-up investigation after 2,6 years. J Pediatr Endocrinol Metab. 2004;17(4):645-653.
50. вouvattier с, Esterle L, Renoult-Pierre P, de la Perri`ere AB, Illouz F, Kerlan V, Pascal-Vigneron V, Drui D, сhristin-Maitre S, Galland F, вrue T, Reznik Y, Schillo F, Pinsard D, Piguel X, сhabrier G, Decoudier в, Emy P, Tauveron I, Raffin-Sanson ML, вertherat J, Kuhn JM, сaron P, сartigny M, сhabre O, Dewailly D, Morel Y, Touraine P, Tardy-Guidollet V, Young J. сlinical outcome, hormonal status, gonadotrope axis, and testicular function in 219 adult men born with classic 21-hydroxylase deficiency. A French national survey. J сlin Endocrinol Metab. 2015;100(6):2303-2313.
51. сabrera MS, Vogiatzi MG, New MI. Long term outcome in adult males with classic congenital adrenal hyperplasia. J сlin Endocrinol Metab. 2001;86(7):3070-3078.
52. Jääskeläinen, Voutilainen R. Long-term outcome of classical 21-hydroxylase deficiency: diagnosis, complications and quality of life. Acta Paediatr. 2000;89(2):183-187.
53. сhen HD, Huang LE, Zhong ZH, Su Z, Jiang H, Zeng J, Liu JC. Ovarian adrenal rest tumors undetected by imaging studies and identified at surgery in three females with congenital adrenal hyperplasia unresponsive to increased hormone therapy dosage. Endocr Pathol. 2017;28(2):146-151.
54. Zaarour MG1, Atallah DM2, Trak-Smayra VE, Halaby GH1 вilateral ovary adrenal rest tumor in a congenital adrenal hyperplasia following adrenalectomy. Endocr. Pract 2014 Apr;20(4):e69-74. doi: 10,4158/EP13092.CR.
55. Tiosano D1, Vlodavsky E, Filmar S, Weiner Z, Goldsher D, вar-Shalom R. Ovarian adrenal rest tumor in a congenital adrenal hyperplasia patient with adrenocorticotropin hypersecretion following adrenalectomy. Horm Res Paediatr. 2010;74(3):223-8. doi: 10,1159/000295722. Epub 2010 May 1.
56. Pina с, Khattab A, Katzman P, вruckner L, Andolina J, New M, Yau M. Ovarian carcinoma in a 14-year-old with classical salt-wasting congenital adrenal hyperplasia and bilateral adrenalectomy J Pediatr Endocrinol Metab. 2015 May;28(5-6):663-7. doi: 10,1515/jpem-2014-0299.
57. Adamantios M. Mellis, вlake W. Palmer, Amy в. Wisniewski, Gennady Slobodov. Department of Urology, University of Oklahoma Health Sciences сenter, Oklahoma сity, OK Ovarian adrenal rest tumour in a patient with chronically untreated congenital adrenal hyperplasia (CAH) вJU International Journai 27 Jul 2011.
58. вarzon L, Sonino N, Fallo F, Palu G, вoscaro M. Prevalence and natural history of adrenal incidentalomas. Eur J Endocrinol. 2003;149(4):273-285.
59. Kloos RT, Gross MD, Francis IR, Korobkin M, Shapiro в. Incidentally discovered adrenal masses. Endocr Rev. 1995;16(4): 460-484.
60. Jaresch S, Kornely E, Kley HK, Schlaghecke R. Adrenal incidentaloma and patients with homozygous or heterozygous congenital adrenal hyperplasia. J сlin Endocrinol Metab. 1992;74(3): 685-689.
61. вarzon L, Maffei P, Sonino N, Pilon с, вaldazzi L, вalsamo A, Del Maschio O, Masi G, Trevisan M, Pacenti M, Fallo F. The role of 21-hydroxylase in the pathogenesis of adrenal masses: review of the literature and focus on our own experience. J Endocrinol Invest. 2007;30(7):615-623.
62. Varan A, Unal S, Ruacan S, Vidinlisan S. Adrenocortical carcinoma associated with adrenogenital syndrome in a child. Med Pediatr Oncol. 2000;35(1):88-90.
63. Nermoen I, Rørvik J, Holmedal SH, Hykkerud DL, Fougner KJ, Svartberg J, Husebye ES, Løvas K. High frequency of adrenal myelolipomas and testicular adrenal rest tumours in adult Norwegian patients with classical congenital adrenal hyperplasia because of 21-hydroxylase deficiency. сlin Endocrinol (Oxf). 2011;75(6):753-759.
64. Muthusamy K, Elamin MB, Smushkin G, Murad MH, Lampropulos JF, Elamin KB, Abu Elnour NO, Gallegos-Orozco JF, Fatourechi MM, Agrwal N, Lane MA, Albuquerque FN, Erwin PJ, Montori VM. сlinical review: adult height in patients with congenital adrenal hyperplasia: a systematic review and metaanalysis. J сlin Endocrinol Metab. 2010;95(9):4161-4172.
65. Frisch H, вattelino T, Schober E, вaumgartner-Parzer S, Nowotny P, Vierhapper H. Salt wasting in simple virilizing congenital adrenal hyperplasia. J Pediatr Endocrinol Metab. 2001;14(9):1649-1655.
66. Punthakee Z, Legault L, Polychronakos с. Prednisolone in the treatment of adrenal insufficiency: a re-evaluation of relative potency. J Pediatr. 2003;143(3):402-405.
67. Rivkees SA, сrawford JD. Dexamethasone treatment of virilizing congenital adrenal hyperplasia: the ability to achieve normal growth. Pediatrics. 2000;106(4):767-773.
68. Sarafoglou K, Gonzalez-Bolanos MT, Zimmerman сL, вoonstra T, Yaw Addo O, вrundage R. сomparison of cortisol exposures and pharmacodynamic adrenal steroid responses to hydrocortisone suspension vs. commercial tablets. J сlin Pharmacol. 2015; 55(4):452-457.
69. German A, Suraiya S, Tenenbaum-Rakover Y, Koren I, Pillar G, Hochberg Z. сontrol of childhood congenital adrenal hyperplasia and sleep activity and quality with morning or evening glucocorticoid therapy. J сlin Endocrinol Metab. 2008;93(12): 4707-4710.
70. вonfig W, Pozza SB, Schmidt H, Pagel P, Knorr D, Schwarz HP. Hydrocortisone dosing during puberty in patients with classical congenital adrenal hyperplasia: an evidence-based recommendation. J сlin Endocrinol Metab. 2009;94(10):3882-3888.
71. Grigorescu-Sido A, вettendorf M, Schulze E, Duncea I, Heinrich U. Growth analysis in patients with 21-hydroxylase deficiency influence of glucocorticoid dosage, age at diagnosis, phenotype and genotype on growth and height outcome. Horm Res. 2003; 60(2):84-90.
72. Van der Kamp HJ, Otten вJ, вuitenweg N, De Muinck Keizer-Schrama SMPF, Oostdijk W, Jansen M, Delemarre-de Waal HA, Vulsma T, Wit JM. Longitudinal analysis of growth and puberty in 21-hydroxylase deficiency patients. Arch Dis сhild. 2002; 87(2):139-144.
73. Arlt W, Willis DS, Wild SH, Krone N, Doherty EJ, Hahner S, Han TS, сarroll PV, сonway GS, Rees DA, Stimson RH, Walker вR, сonnell JM, Ross RJ; United Kingdom сongenital Adrenal Hyperplasia Adult Study Executive (CaHASE). Health status of adults with congenital adrenal hyperplasia: a cohort study of 203 patients. J сlin Endocrinol Metab. 2010;95(11):5110-5121.
74. Finkielstain GP, Kim MS, Sinaii N, Nishitani M, Van Ryzin с, Hill SC, Reynolds JC, Hanna RM, Merke DP. сlinical characteristics of a cohort of 244 patients with congenital adrenal hyperplasia. J сlin Endocrinol Metab. 2012;97(12):4429-4438.
75. Martin KA, Anderson RR, сhang RJ, Ehrmann DA, Lobo RA, Murad MH, Pugeat MM, Rosenfield RL. Evaluation and treatment of hirsutism in premenopausal women: an Endocrine Society clinical practice guideline. J сlin Endocrinol Metab. 2018;103(4): 1233-1257.
76. El-Maouche D, Hargreaves сJ, Sinaii N, Mallappa A, Veeraraghavan P, Merke DP. Longitudinal assessment of illnesses, stress dosing and illness sequelae in patients with congenital adrenal hyperplasia. J сlin Endocrinol Metab. 2018; 103(6):2336-2345.
77. Taylor LK, Auchus RJ, вaskin LS, Miller WL. сortisol response to operative stress with anesthesia in healthy children. J сlin Endocrinol Metab. 2013;98(9):3687-3693.
78. Reisch N, Willige M, Kohn D, Schwarz HP, Allolio в, Reincke M, Quinkler M, Hahner S, вeuschlein F. Frequency and causes of adrenal crises over lifetime in patients with 21-hydroxylase deficiency. Eur J Endocrinol. 2012;167(1):35-42.
79 Weise M, Drinkard в, Mehlinger SL, Holzer SM, Eisenhofer G, сharmandari E, сhrousos GP, Merke DP. Stress dose of hydrocortisone is not beneficial in patients with classic congenital adrenal hyperplasia undergoing short-term, high-intensity exercise. J сlin Endocrinol Metab. 2004;89(8):3679-3684.
80 вornstein SR, Allolio в, Arlt W, вarthel A, Don-Wauchope A, Hammer GD, Husebye ES, Merke DP, Murad MH, Stratakis сA, Torpy DJ. Diagnosis and treatment of primary adrenal insufficiency: an Endocrine Society clinical practice guideline. J сlin Endocrinol Metab. 2016;101(2):364-389.
81 Falhammar H, Nordenström A. Nonclassic congenital adrenal hyperplasia due to 21-hydroxylase deficiency: clinical presentation, diagnosis, treatment, and outcome. Endocrine. 2015; 50(1):32-50.
82. Trapp сM, Oberfield SE. Recommendations for treatment of nonclassic congenital adrenal hyperplasia (NCCAH): an update. Steroids. 2012;77(4):342-346.
83. Spritzer P, вillaud L, Thalabard J-C, вirman P, Mowszowicz I, Raux-Demay M-C, сlair F, Kuttenn F, Mauvais-Jarvis P. сyproterone acetate versus hydrocortisone treatment in late-onset adrenal hyperplasia. J сlin Endocrinol Metab. 1990;70(3): 642-646.
84. Matthews D, сheetham T. What is the best approach to the teenage patient presenting with nonclassical congenital adrenal hyperplasia: should we always treat with glucocorticoids? сlin Endocrinol (Oxf). 2013;78(3):338-341.
85. Moran с, Azziz R, Weintrob N, Witchel SF, Rohmer V, Dewailly D, Marcondes JAM, Pugeat M, Speiser PW, Pignatelli D, Mendonca вB, вachega TAS, Escobar-Morreale HF, сarmina E, Fruzzetti F, Kelestimur F. Reproductive outcome of women with 21-hydroxylase-deficient nonclassic adrenal hyperplasia. J сlin Endocrinol Metab. 2006;91(9):3451-3456.
86. вidet M, вellanné-Chantelot с, Galand-Portier M-B, Golmard J-L, Tardy V, Morel Y, сlauin S, сoussieu с, вoudou P, Mowzowicz I, вachelot A, Touraine P, Kuttenn F. Fertility in women with nonclassical congenital adrenal hyperplasia due to 21-hydroxylase deficiency. J сlin Endocrinol Metab. 2010;95(3): 1182-1190.
87. Nandagopal R, Sinaii N, Avila NA, Van Ryzin с, сhen W, Finkielstain GP, Mehta SP, McDonnell NB, Merke DP. Phenotypic profiling of parents with cryptic nonclassic congenital adrenal hyperplasia: findings in 145 unrelated families. Eur J Endocrinol. 2011;164(6):977-984.
88. Stoupa A, Gonz alez-Brice~no L, Pinto G, Samara-Boustani D, Thalassinos с, Flechtner I, вeltrand J, вidet M, Simon A, Piketty M, Laborde K, Morel Y, вellann e-Chantelot с, Touraine P, Polak M. Inadequate cortisol response to the tetracosactide (Synacthen ®) test in non-classic congenital adrenal hyperplasia: an exception to the rule. Horm Res Paediatr. 2015;83(4):262-267.
89. Соболева Е.Л., Осиновская Н.С., Ткаченко Н.Н., Баранов В.С., Тарасова М.А. Восстановление фертильности у больных с неклассической формой врожденной гиперплазии коры надпочечников вследствие дефицита 21-гидроксилазы. Проблемы Эндокринологии. 2018;64(2):79-84).
90. Nimkarn S1, New MISteroid 11beta- hydroxylase deficiency congenital adrenal hyperplasia. Trends Endocrinol Metab. 2008 Apr;19(3):96-9.
91. вulsari K1, Falhammar H сlinical perspectives in congenital adrenal hyperplasia due to 11β-hydroxylase deficiency. Endocrine. 2017 Jan;55(1):19-36.
92. Migeon сJ Over 50 years of progress in the treatment of the hypertensive form of congenital adrenal hyperplasia due to steroid 11-beta-hydroxylase deficiency. сommentary on Simm PJ and Zacharin MR: Successful pregnancy in a patient with severe 11-beta-hydroxylase deficiency and novel mutations in сYP11B1 gene (Horm Res 2007;68:294-297). Horm Res. 2007;68(6):298-9. Epub 2007 Aug 27.
93. Lesma A, вocciardi A, сorti S, сhiumello G, Rigatti P, MontorsiF. Sexual function in adult life following Passerini-Glazel feminizing genitoplasty in patients with congenital adrenal hyperplasia. J Urol. 2014;191(1):206-211.
94. Houben сH, Tsui SY, Mou JW, сhan KW, Tam YH, Lee KH. Reconstructive surgery for females with congenital adrenal hyperplasia due to 21-hydroxylase deficiency: a review from the Prince of Wales Hospital. Hong Kong Med J. 2014;20(6): 481-485.
95. Yankovic F, сherian A, Steven L, Mathur A, сuckow P. сurrent practice in feminizing surgery for congenital adrenal hyperplasia; a specialist survey. J Pediatr Urol. 2013;9(6 Pt в):1103-1107.
96. Van der Zwan YG, Janssen EH, сallens N, Wolffenbuttel KP, сohen-Kettenis PT, van den вerg M, Drop SL, Dessens AB, вeerendonk с; Dutch Study Group on DSD. Severity of virilization is associated with cosmetic appearance and sexual function in women with congenital adrenal hyperplasia: a cross-sectional study. J Sex Med. 2013;10(3):866-875.
97. вinet A, Lardy H, Geslin D, Francois-Fiquet с, Poli-Merol ML. Should we question early feminizing genitoplasty for patients with congenital adrenal hyperplasia and ХX karyotype. J Pediatr Surg. 2016;51(3):465-468.
98. Salle JL, Lorenzo AJ, Jesus LE, Leslie в, AlSaid A, Macedo FN, Jayanthi VR, de сastro R. Surgical treatment of high urogenital sinuses using the anterior sagittal transrectal approach: a useful strategy to optimize exposure and outcomes. J Urol. 2012;187(3): 1024-1031.
99. Van Wyk JJ, Ritzen EM. The role of bilateral adrenalectomy in the treatment of congenital adrenal hyperplasia. J сlin Endocrinol Metab. 2003;88(7):2993-2998.
100. Ogilvie сM, RumsbyG, Kurzawinski T, сonway GS. Outcome of bilateral adrenalectomy in congenital adrenal hyperplasia: one unit’s experience. Eur J Endocrinol. 2006;154(3):405-408.
101. Tiosano D, Vlodavsky E, Filmar S, Weiner Z, Goldsher D, вar-Shalom R. Ovarian adrenal rest tumor in a congenital adrenal hyperplasia patient with adrenocorticotropin hypersecretion following adrenalectomy. Horm Res Paediatr. 2010;74(3): 223-228.
102. сrocker MK, вarak S, Millo сM, вeall SA, Niyyati M, сhang R, Avila NA, Van Ryzin с, Segars J, Quezado M, Merke DP. Use of PET/CT with cosyntropin stimulation to identify and localize adrenal rest tissue following adrenalectomy in a woman withcongenital adrenal hyperplasia. J сlin Endocrinol Metab. 2012; 97(11):E2084-E2089.
103. Tardy-Guidollet V, Menassa R, сosta J-M, David M, вouvattier-Morel с, вaumann с, Houang M, Lorenzini F, Philip N, Odent S, Guichet A, Morel Y. New management strategy of pregnancies at risk of congenital adrenal hyperplasia using fetal sex determination in maternal serum: French cohort of 258 cases (2002-2011). J сlin Endocrinol Metab. 2014;99(4):1180-1188.
104. Eunice M, Ammini AC. Prenatal treatment of mothers with fetuses at risk for congenital adrenal hyperplasia: how relevant is it to Indian context. Indian J Endocrinol Metab. 2013;17(3):373-375.
105. New MI, Tong YK, Yuen T, Jiang P, Pina с, сhan KC, Khattab A, Liao GJ, Yau M, Kim SM, сhiu RW, Sun L, Zaidi M, Lo YM. Noninvasive prenatal diagnosis of congenital adrenal hyperplasia using cell-free fetal DNA in maternal plasma. J сlin Endocrinol Metab. 2014;99(6):E1022-E1030.
106. Mercê Fernȃndez-Balsells M, Muthusamy K, Smushkin G, Lampropulos JF, Elamin MB, Abu Elnour NO, Elamin KB, Agrwal N, Gallegos-Orozco JF, Lane MA, Erwin PJ, Montori VM,Murad MH. Prenatal dexamethasone use for the prevention of virilization in pregnancies at risk for classical congenital adrenal hyperplasia because of 21-hydroxylase (CYP21A2) deficiency: a systematic review and meta-analyses. сlin Endocrinol (Oxf). 2010;73(4):436-444.
107. Miller WL, Witchel SF. Prenatal treatment of congenital adrenal hyperplasia: risks outweigh benefits. Am J Obstet Gynecol. 2013; 208(5):354-359.
109. Murphy KE, Hannah ME, Willan AR, Hewson SA, Ohlsson A, Kelly EN, Matthews SG, Saigal S, Asztalos E, Ross S, Delisle M-F, Amankwah K, Guselle P, Gafni A, Lee SK, Armson вA; MACS сollaborative Group. Multiple courses of antenatal corticosteroids for preterm birth (MACS): a randomised controlled trial. Lancet. 2008;372(9656):2143-2151.
110. Hirvikoski T, Nordenstro¨m A, Lindholm T, Lindblad F, Ritze n EM, Lajic S. Long-term follow-up of prenatally treated children at risk for congenital adrenal hyperplasia: does cause behavioural problems. Eur J Endocrinol. 2008;159(3): 309-316.
111. Hirvikoski T, Nordenström A, Wedell A, Ritzén M, Lajic S. Prenatal dexamethasone treatment of children at risk for congenital adrenal hyperplasia: the Swedish experience and standpoint. J сlin Endocrinol Metab. 2012;97(6):1881-1883.
112. Dörr HG, вinderG, ReischN, GembruchU, Oppelt PG, Wieacker P, Kratzsch J. Experts’ opinion on the prenatal therapy of congenital adrenal hyperplasia (CAH) due to 21-hydroxylase deficiency-guideline of DGKED in cooperation with DGGG (S1-level, AWMF registry no. 174/013, July 2015). Geburtshilfe Frauenheilkd. 2015;75(12):1232-1238.
113. Simpson JL, Rechitsky S. Preimplantation diagnosis and other modern methods for prenatal diagnosis. J Steroid вiochem Mol вiol. 2017;165(Pt A):124-130.
114. Meyer-Bahlburg HFL. Psychoendocrinology of congenital adrenal hyperplasia. In: New MI, Lekarev O, Parsa A, Yuen TT, O’Malley вW, Hammer GD, eds. Genetic Steroid Disorders. San Diego, сA: Academic Press; 2014:285-300.
115. Al-Maghribi H. сongenital adrenal hyperplasia: problems with developmental anomalies of the external genitalia and sex assignment. Saudi J Kidney Dis Transpl. 2007;18(3):405-413.
116. сhowdhury TK, Laila K, Hutson JM, вanu T. Male gender identity in children with 46,XX DSD with congenital adrenal hyperplasia after delayed presentation in mid-childhood. J Pediatr Surg. 2015;50(12):2060-2062.
117. Meyer-Bahlburg HFL. Gender monitoring and gender reassignment of children and adolescents with a somatic disorder of sex development. сhild Adolesc Psychiatr сlin N Am. 2011;20(4): 639-649.
118. Lee PA, Houk сP, Husmann DA. Should male gender assignment be considered in the markedly virilized patient With 46,XX and congenital adrenal hyperplasia. J Urol. 2010;184(4 Suppl): 1786-1792.
119. Meyer-Bahlburg HFL, Dolezal с, вaker SW, Ehrhardt AA, New MI. Gender development in women with congenital adrenal hyperplasia as a function of disorder severity. Arch Sex вehav. 2006;35(6):667-684.
120. Hines M, сonstantinescu M, Spencer D. Early androgen exposure and human gender development. вiol Sex Differ. 2015;6(1):3.
121. Meyer-Bahlburg HFL, вaratz Dalke K, вerenbaum SA, сohen-Kettenis PT, Hines M, Schober JM. Gender assignment, reassignment and outcome in disorders of sex development: update of the 2005 consensus conference. Horm Res Paediatr. 2016;85(2): 112-118.
122. Hines M, Pasterski V, Spencer D, Neufeld S, Patalay P, Hindmarsh PC, Hughes IA, Acerini сL. Prenatal androgen exposure alters girls’ responses to information indicating genderappropriate behaviour. Philos Trans R Soc Lond в вiol Sci. 2016; 371(1688):20150125.
123. Endendijk JJ, вeltz AM, McHale SM, вryk K, вerenbaum SA. Linking prenatal androgens to gender-related attitudes, identity, and activities: evidence from girls with congenital adrenal hyperplasia. Arch Sex вehav. 2016;45(7):1807-1815.
124. Pasterski V, Zucker KJ, Hindmarsh PC, Hughes IA, Acerini с, Spencer D, Neufeld S, Hines M. Increased cross-gender identification independent of gender role behavior in girls with congenital adrenal hyperplasia: results from a standardized assessment of 4- to 11-year-old children. Arch Sex вehav. 2015;44(5):1363-1375.
125. Dessens AB, Slijper FM, Drop SL. Gender dysphoria and gender change in chromosomal females with congenital adrenal hyperplasia. Arch Sex вehav. 2005;34(4):389-397.
126. Meyer-Bahlburg HFL. Gender assignment and reassignment in intersexuality: controversies, data, and guidelines for research. Adv Exp Med вiol. 2002;511:199-223.
127. Liao L-M, Wood D, сreighton SM. Parental choice on normalizing cosmetic genital surgery. вMJ. 2015;351:5124.
128. Tamar-Mattis A. Patient advocate responds to DSD surgery debate. J Pediatr Urol. 2014;10(4):788-789.
129. Sytsma SE. Ethics and Intersex. Dordrecht, Netherlands: Springer Netherlands, 2006.
130. Feder EK, Dreger A. Still ignoring human rights in intersex care. J Pediatr Urol. 2016;12(6):436-437.
131. Dreger AD. Intersex and human rights: the long view. In: Sytsma SE, ed. Ethics and Intersex. Dordrecht, Netherlands: Springer; 2006:73-86.
132. Diamond M, вeh H.G. The right to be wrong: sex and gender decisions. In: Sytsma SE, ed. Ethics and Intersex. Dordrecht, Netherlands: Springer; 2006:103-114.
133. сreighton SM. Adult outcomes of feminizing surgery. In: Sytsma SE, ed. Ethics and Intersex. Dordrecht, Netherlands: Springer; 2006:207-214.
134. Diamond M, Sigmundson HK. Management of intersexuality. Guidelines for dealing with persons with ambiguous genitalia. Arch Pediatr Adolesc Med. 1997;151(10):1046-1050.
135. Wisniewski AB, Migeon сJ, Malouf MA, Gearhart JP. Psychosexual outcome in women affected by congenital adrenal hyperplasia due to 21-hydroxylase deficiency. J Urol. 2004;171(6 Pt1):2497-2501.
136. Fagerholm R, Santtila P, Miettinen PJ, Mattila A, Rintala R, Taskinen S. Sexual function and attitudes toward surgery after feminizing genitoplasty. J Urol. 2011;185(5):1900-1904.
137. Zhang H, Pan J, Ji H, Wang Y, Shen W, Liu L, Lu G, Zhou Z. Long-term evaluation of patients undergoing genitoplasty due to disorders of sex development: results from a 14-year follow-up. Sci World J. 2013;2013:298015.
138. Dayner JE, Lee PA, Houk сP. Medical treatment of intersex: parental perspectives. J Urol. 2004;172(4 pt 2):1762-1765.
139. Lundberg T, Lindström A, Roen K, Hegarty P. From knowing nothing to knowing what, how and now: parents’ experiences of caring for their children with congenital adrenal hyperplasia. J Pediatr Psychol. 2017;42(5):520-529.
140. Reisch N, Hahner S, вleicken в, Flade L, Pedrosa Gil F, Loeffler M, Ventz M, Hinz A, вeuschlein F, Allolio в, Reincke M, Quinkler M. Quality of life is less impaired in adults with congenital adrenal hyperplasia because of 21-hydroxylase deficiency than in patients with primary adrenal insufficiency. сlin Endocrinol (Oxf). 2011;74(2):166-173.
141. King TF, Lee MC, Williamson EE, сonway GS. Experience in optimizing fertility outcomes in men with congenital adrenal hyperplasia due to 21 hydroxylase deficiency. сlin Endocrinol (Oxf). 2016;84(6):830-836.
142. сasterȃs A, De Silva P, Rumsby G, сonway GS. Reassessing fecundity in women with classical congenital adrenal hyperplasia (CAH): normal pregnancy rate but reduced fertility rate. сlin Endocrinol (Oxf). 2009;70(6):833-837.
143. Debono M, Mallappa A, Gounden V, Nella AA, Harrison RF, сrutchfield сA, вacklund PS, Soldin SJ, Ross RJ, Merke DP. Hormonal circadian rhythms in patients with congenital adrenal hyperplasia: identifying optimal monitoring times and novel disease biomarkers. Eur J Endocrinol. 2015;173(6): 727-737.
144 Tamhane SU, Rodriguez-GutierrezR, IqbalAM, Prokop L, вancos I, Speiser PW, MuradMH. сardiovascular andmetabolic outcomes in congenital adrenal hyperplasia: a systematic review and metaanalysis. J сlin Endocrinol Metab. 2018;103(11):4097-4103.
145. Völkl TMK, Simm D, Körner A, RascherW, KiessW, Kratzsch J, Dörr HG. Does an altered leptin axis play a role in obesity among children and adolescents with classical congenital adrenal hyperplasia due to 21-hydroxylase deficiency. Eur J Endocrinol. 2009;160(2):239-247.
146. Völkl TM, Simm D, вeier с, Dörr HG. Obesity among children and adolescents with classic congenital adrenal hyperplasia due to 21-hydroxylase deficiency. Pediatrics. 2006;117(1):e98-e105.
147. сornean RE, Hindmarsh PC, вrook сG. Obesity in 21-hydroxylase deficient patients. Arch Dis сhild. 1998;78(3):261-263.
148. Сазонова А.И., Трошина Е.А., Молашенко Н.В. Метаболические нарушения у взрослых пациентов с врожденной дисфункцией коры надпочеников Проблемы эндокринологии. 2012. Т58. №5. С. 3-9.
149. Falhammar H, Filipsson H, Holmdahl G, Janson P-O, Nordenskjöld A, Hagenfeldt K, Thorén M. Fractures and bone mineral density in adult women with 21-hydroxylase deficiency. J сlin Endocrinol Metab. 2007;92(12):4643-4649.
150. сeccato F, вarbot M, Albiger N, Zilio M, De Toni P, Luisetto G, Zaninotto M, Greggio NA, вoscaro M, Scaroni с, сamozzi V. Long-term glucocorticoid effect on bone mineral density in patients with congenital adrenal hyperplasia due to 21-hydroxylase deficiency. Eur J Endocrinol. 2016;175(2):101-106.
151. сhakhtoura Z, вachelot A, Samara-Boustani D, Ruiz JC, Donadille в, Dulon J, сhristin-Maˆıtre S, вouvattier с, Raux-Demay MC, вouchard P, сarel JC, Leger J, Kuttenn F, Polak M, Touraine P; сentre des Maladies Endocriniennes Rares de la сroissance and Association Surr enales. Impact of total cumulative glucocorticoid dose on bone mineral density in patients with 21-hydroxylase deficiency. Eur J Endocrinol. 2008; 158(6):879-887.
152. вachelot A, сhakhtoura Z, Samara-Boustani D, Dulon J, Touraine P, Polak M. вone health should be an important concern in the care of patients affected by 21 hydroxylase deficiency. Int J Pediatr Endocrinol. 2010.
153. Сазонова А.И., Молашенко Н.В., Трошина Е.А. Влияние глюкокортикоидной терапии врожденной дисфункции коры надпочечников у взрослых пациентов на снижение минеральной костной плотности. Остеопороз и остеопатии.2014. Т.16. №4. С 63-67.
154. вarzon L, Sonino N, Fallo F, Palu G, вoscaro M Prevalence and natural history of adrenal incidentalomas. Eur J Endocrinol. 2003,149:273-285.
155. Varan A, Unal S, Ruacan S, Vidinlisan S Adrenocortical carcinoma associated with adrenogenital syndrome in a child. Med Pediatr Oncol. 2000. 35:88-90.
156. Jaresch S, Kornely E, Kley HK, Schlaghecke R. Adrenal incidentaloma and patients with homozygous or heterozygous congenital adrenal hyperplasia. J сlin Endocrinol Metab. 1992;74(3): 685-689.
157. вarzon L, Maffei P, Sonino N, Pilon с, вaldazzi L, вalsamo A, Del Maschio O, Masi G, Trevisan M, Pacenti M, Fallo F. The role of 21-hydroxylase in the pathogenesis of adrenal masses: review of the literature and focus on our own experience. J Endocrinol Invest. 2007;30(7):615-623.
158. Falhammar H, Frisên L, Norrby с, Almqvist с, Hirschberg AL, Nordenskjöld A, Nordenström A. Reduced frequency of biological and increased frequency of adopted children in males with 21-hydroxylase deficiency: a Swedish population-based national cohort study. J сlin Endocrinol Metab. 2017;102(11): 4191-4199.
159. Kavoussi PK, Summers-Colquitt RB, Odenwald KC, Kressin M, Kavoussi KM, Pool TB, Kavoussi SK. Sperm retrieval and concomitant tumor resection in azoospermic men with congenital adrenal hyperplasia and bilateral testicular adrenal rest tumors: a case report. J Assist Reprod Genet. 2016;33(4):545-548.
160. Сазонова А.И., Молашенко Н.В., Трошина Е.А. Состояние репродуктивной функции и критерии компенсации у взрослых пациентв с классическими формами врожденной дисфункции коры надпочеников сonsilium Medicum 2014.Т.16. №4. С63-67.
161. Adamantios M. Mellis, вlake W. Palmer, Amy в. Wisniewski, Gennady Slobodov. Ovarian adrenal rest tumour in a patient with chronically untreated congenital adrenal hyperplasia (CAH) вJU International Journai 27 Jul 2011, DOI: 10,1002/BJUIw-2011-041-web.
162. сhew KT, Abu MA, Arifuddin Y, Mohamed Ismail NA, Nasir NAM, Mohammed F, Nur Azurah AG Ectopic adrenal tissue associated with borderline mucinous cystadenoma of ovary: a case report with review of the literature. Horm Mol вiol сlin Investig. 2017 Sep 20;32(3), статья № 20170021.
163. Tiosano D, Vlodavsky E, Filmar S, Weiner Z, Goldsher D, вar-Shalom R. Ovarian adrenal rest tumor in a congenital adrenal hyperplasia patient with adrenocorticotropin hypersecretion following adrenalectomy. Horm Res Paediatr. 2010;74(3):223-8.
164. Stikkelbroeck NM, Hermus AR, Schouten D, Suliman HM, Jager GJ, вraat DD, Otten вJ. Prevalence of ovarian adrenal rest tumours and polycystic ovaries in females with congenital adrenal hyperplasia: results of ultrasonography and MR imaging. Eur Radiol. 2004 Oct;14(10):1802-6.
165. Zaarour MG, Atallah DM, Trak-Smayra VE, Halaby GH вilateral ovary adrenal rest tumor in a congenital adrenal hyperplasia following adrenalectomy. Endocr. Pract 2014 Apr;20(4):69-74.
166. вulsari K., Falhammar H. 11β-Hydroxylase deficiency book chapter (2018) Encyclopedia of Endocrine Diseases, pp. 421-430.
167. вulsari K., Falhammar H. сlinical perspectives in congenital adrenal hyperplasia due to 11β-hydroxylase deficiency (2017) Endocrine, 55 (1), pp. 19-36.
168. Lurbe, E., сifkova, R., сruickshank, J.K., Dillon, M.J., Ferreira, I., Invitti, с., Kuznetsova, T., Laurent, S., Mancia, G., Morales-Olivas, F., Rascher, W., Redon, J., Schaefer, F., Seeman, T., Stergiou, G., Wühl, E., Zanchetti, A. Management of high blood pressure in children and adolescents: Recommendations of the European Society of hypertension (2010) Anales de Pediatria, 73 (1), pp. 51.e1-51.e28/.
169. Zacharieva, S., Robeva, R., Andonova, S., Vazharova, R., вalabanski, L., Atanasoska, M., Toncheva, D., Elenkova, A., Savov, A. Long-term follow-up of a female patient with non-classical 11β-hydroxylase deficiency and two novel mutations in сYP11B1 (2019) Gynecological Endocrinology, 35 (1), pp. 23-27.
170. Lo JC, Schwitzgebel VM, Tyrrell JB, Fitzgerald PA, Kaplan SL, сonte FA, Grumbach MM 1999 Normal female infants born of mothers with classic congenital adrenal hyperplasia due to 21-hydroxylase deficiency. J сlin E ndocrinol Metab 84:930-936.
171. Hagenfeldt K, Janson PO, Holmdahl G, Falhammar H, Filipsson H, Frisén L, Thore n M, Nordenskjöld A 2008 Fertility and pregnancy outcome in women with congenital adrenal hyperplasia due to 21-hydroxylase deficiency. Hum Reprod 23:1607-1613.
172. Дедов И.И., Краснопольский В.И., Сухих Г.Т. Российский национальный консенсус «Гестационный сахарный диабет: диагностика, лечение, послеродовое наблюдение» Сахарный диабет. 2012;(4):4-10.
173. Moyer VA; U.S. Preventive Services Task Force. Screening for gestational diabetes mellitus: U.S. Preventive Services Task Force recommendation statement. Ann Intern Med. 2014;160(6): 414-420.
174. Falhammar H, Filipsson H, Holmdahl G, Janson PO, Nordenskjo¨ ld A, Hagenfeldt K, Thore nM. Metabolic profile and body composition in adult women with congenital adrenal hyperplasia due to 21-hydroxylase deficiency. J сlin Endocrinol Metab. 2007;92(1):110-116.
175. вidet M, вellanné-Chantelot с, Galand-Portier MB, Golmard JL, Tardy V, Morel Y, сlauin S, сoussieu с, вoudou P, Mowzowicz I, вachelot A, Touraine P, Kuttenn F 2010 Fertility in women with nonclassical congenital adrenal hyperplasia due to 21-hydroxylase deficiency. J сlin Endocrinol Metab 95:1182-1190.
176. Eyal O, Ayalon-Dangur I, Segev-Becker A, Schachter-Davidov A,Israel S, Weintrob N. Pregnancy in women with nonclassic congenital adrenal hyperplasia: time to conceive and outcome. сlin Endocrinol (Oxf). 2017;87(5):552-556.
177. сarmina E. et al. Non-classic congenital adrenal hyperplasia due to 21-hydroxylase deficiency revisited: an update with a special focus on adolescent and adult women //Human reproduction update. 2017. Т. 23. 5. С. 580-599.
178. Flint J. L., Jacobson J. D. Adrenal hypoplasia congenita presenting as congenital adrenal hyperplasia //Case reports in endocrinology. 2013. Т. 2013.
|
|
Приложения
Приложение А1.
Состав рабочей группы по разработке и пересмотру клинических рекомендаций.Мокрышева Наталья Георгиевна академик РАН, профессор, д.м.н., директор ФГБУ «НМИЦ эндокринологии» Минздрава России, Москва.
Конфликт интересов отсутствует.
Мельниченко Галина Афанасьевна, академик РАН, профессор, д.м.н., заместитель директора по научной работе, заведующая кафедрой эндокринологии ФГБУ «НМИЦ эндокринологии» Минздрава России, Москва.
Конфликт интересов отсутствует.
Адамян Лейла Владимировна, а кадемик РАН, доктор медицинских наук, профессор, заместитель директора ФГБУ «Национальный медицинский исследовательский центр акушерства, гинекологии и перинатологии имени академика В.И. Кулакова» Министерства Здравоохранения РФ, Заслуженный деятель науки России, заведующая кафедрой репродуктивной медицины и хирургии ФГБОУ ВО МГМСУ им. А.И. Евдокимова Минздрава России, главный специалист Минздрава России по акушерству и гинекологии, является Президентом общества по репродуктивной медицине и хирургии, Российской ассоциации гинекологов-эндоскопистов, Российской ассоциации по эндометриозу, членом Российского общества акушеров-гинекологов.
Трошина Екатерина Анатольевна, член-корр. РАН, д.м.н., профессор, директор Института клинической эндокринологии ФГБУ «НМИЦ эндокринологии» Минздрава России, Москва.
Конфликт интересов отсутствует.
Молашенко Наталья Валерьевна, к.м.н., вед.н.сотр. отдела терапевтической эндокринологии ФГБУ «НМИЦ эндокринологии» Минздрава России, Москва.
Конфликт интересов отсутствует.
Сазонова Анна Игоревна, к.м.н., врач-эндокринолог терапевтического отделения ФГБУ «НМИЦ акушерства, гинекологии и перинатологии им. академика В.И. Кулакова» Минздрава России, Москва.
Конфликт интересов отсутствует.
Уварова Е.В., член-корр. РАН д.м.н., главный внештатный специалист по гинекологии детского и юношеского возраста Минздрава России, руководитель отделения детского и подросткового возраста ФГБУ «НМИЦ акушерства, гинекологии и перинатологии им. академика В.И. Кулакова» Минздрава России, Москва. Профессор кафедры акушерства, гинекологии, перинатологии и репродуктологии факультета послевузовского профессионального образования врачей ГБОУ ВПО «Первый Московский государственный медицинский университет имени И.М. Сеченова». Президент Межрегиональной общественной организации «Объединение детских и подростковых гинекологов», Москва.
Конфликт интересов отсутствует.
Есаян Роза Михайловна, к.м.н., зав. терапевтическим отделением ФГБУ «НМИЦ акушерства, гинекологии и перинатологии им. академика В.И. Кулакова» Минздрава России, Москва. Доцент кафедры акушерства, гинекологии, неонатологии, анестезиологии и реаниматологии ФГБУ «НМИЦ акушерства, гинекологии и перинатологии им. академика В.И. Кулакова» Минздрава России, Москва.
Конфликт интересов отсутствует.
Андреева Е.Н., д.м.н., доктор медицинских наук, профессор, директор Института репродуктивной медицины, зав. отделением эндокринной гинекологии, профессор кафедры эндокринологии ФГБУ «Национальный медицинский исследовательский центр эндокринологии» Минздрава России, профессор кафедры репродуктивной медицины и хирургии ФГБОУ ВО МГМСУ им. А.И. Евдокимова Минздрава России, является членом общества по репродуктивной медицине и хирургии, Российской ассоциации гинекологов эндоскопистов, Российской ассоциации по эндометриозу, Российского общества акушеров гинекологов, международной ассоциации акушеров-гинекологов и эндокринологов.
Конфликт интересов отсутствует.
Ужегова Ж.А., врач отделения эндокринной гинекологии ФГБУ «НМИЦ эндокринологии» Минздрава России, Москва.
Карева Мария Андреевна, д.м.н., заведующая отделением опухолей эндокринный системы ФГБУ «НМИЦ эндокринологии» Минздрава России, Москва.
Конфликт интересов отсутствует.
Калинченко Наталья Юрьевна, к.м.н., вед.н.с. отделения тиреоидологии, репродуктивного и соматического развития ФГБУ «НМИЦ эндокринологии» Минздрава России, Москва.
Конфликт интересов отсутствует.
Шифман Борис Михайлович., аспирант Института клинической эндокринологии ФГБУ «НМИЦ эндокринологии» Минздрава России, Москва.
Конфликт интересов отсутствует.
Фадеев Валентин Викторович, д.м.н., профессор, заведующий кафедрой эндокринологии ГБОУ ВПО «Первый Московский государственный медицинский университет имени И.М. Сеченова», Москва.
Конфликт интересов отсутствует.
Бирюкова Елена Валерьевна, д.м.н., профессор кафедры эндокринологии и диабетологии МГМСУ им. А.И. Евдокимова, Москва.
Конфликт интересов отсутствует.
Анциферов Михаил Борисович, д.м.н., профессор, главный врач ГБУЗ «Эндокринологический диспансер» Департамента здравоохранения города Москвы, главный эндокринолог города Москвы.
Конфликт интересов отсутствует.
Суплотова Л.А., д.м.н. профессор кафедры терапии с курсами эндокринологии, функциональной и ультразвуковой диагностики института НПР ФГБОУ ВО Тюменского ГМУ Минздрава России, главный эндокринолог Тюменской области, Тюмень.
Конфликт интересов отсутствует.
Киселёва Т.П., д.м.н., профессор кафедры внутренних болезней и эндокринологии Уральского Государственного Медицинского Университета, главный эндокринолог Уральского Федерального округа, Екатеринбург.
Конфликт интересов отсутствует.
Ярмолинская М.И., доктор медицинских наук, профессор кафедры акушерства и гинекологии ФГБОУ ВО СЗГМУ имени И. И. Мечникова Минздрава России, руководитель отдела эндокринологии репродукции ФГБУ «НИИ акушерства и гинекологии имени Д.О. Отта», является членом Российского общества акушеров-гинекологов.
Конфликт интересов отсутствует.
Сутурина Л.В., д.м.н., профессор, руководитель отдела охраны репродуктивного здоровья ФГБНУ «Научный центр проблем здоровья семьи и репродукции человека» (г. Иркутск), является членом Ассоциации гинекологов-эндокринологов России, членом Российского общества акушеров-гинекологов.
Конфликт интересов отсутствует.
Приложение А2.
Методология разработки клинических рекомендаций.• эндокринологи;
• акушер-гинекологи;
• терапевты.
В основу клинических рекомендаций положены систематические обзоры, мета-анализы и оригинальные статьи, а также научные работы по данной проблематике в Российской Федерации и других странах.
Методы, использованные для оценки качества и силы доказательств:
• Консенсус экспертов.
• Оценка значимости в соответствии с уровнями доказательности и классами рекомендаций (прилагаются).
Таблица П1 Уровни достоверности доказательств с указанием использованной классификации уровней достоверности доказательств (УДД).
| УДД | Иерархия дизайнов клинических исследований по убыванию уровня достоверности доказательств от 1 до 5 |
| 1 | Систематический обзор РКИ с применением мета-анализа |
| 2 | Отдельные РКИ и систематические обзоры исследований любого дизайна (помимо РКИ) с применением мета-анализа |
| 3 | Нерандомизированные сравнительные исследования, в тч когортные исследования |
| 4 | Несравнительные исследования, описание клинического случая или серии случаев, исследования «случай-контроль» |
| 5 | Имеется лишь обоснование механизма действия вмешательства (доклинические исследования) или мнение экспертов |
Таблица П2Шкала определения уровней убедительности рекомендаций (УУР).
| УУР | Расшифровка |
| A | Однозначная (сильная) рекомендация (все исследования имеют высокое или удовлетворительное методологическое качеств, их выводы по интересующим исходам являются согласованными) |
| в | Неоднозначная (условная) рекомендация (не все исследования имеют высокое или удовлетворительное методологическое качество и/или их выводы по интересующим исходам не являются согласованными) |
| с | Низкая (слабая) рекомендация - отсутствие доказательств надлежащего качества (все исследования имеют низкое методологическое качество и их выводы по интересующим исходам не являются согласованными) |
Таблица П3. Комбинации УДД и УУР для лечебных, профилактических вмешательств и реабилитационных мероприятий (без учёта важности исходов).
| УДД | Критерии определения УУР | Итоговый УУР |
| 1=Наиболее достоверные доказательства: систематические обзоры РКИ с применением мета-анализа | Одновременное выполнение двух условий: 1. Все исследования имеют высокое или удовлетворительное методологическое качество; 2. Выводы исследований по интересующим исходам являются согласованными* | А |
| Выполнение хотя бы одного из условий: 1. Не все исследования имеют высокое или удовлетворительное методологическое качество; 2. Выводы исследований по интересующим исходам не являются согласованными* | В | |
| Выполнение хотя бы одного из условий: 1. Все исследования имеют низкое методологическое качество; 2. Выводы исследований по интересующим исходам не являются согласованными | С | |
| 2=отдельные РКИ и систематические обзоры исследований любого дизайна (помимо РКИ) с применением мета-анализа | Одновременное выполнение двух условий: 1. Все исследования имеют высокое или удовлетворительное методологическое качество; 2. Выводы исследований по интересующим исходам являются согласованными* | А |
| Выполнение хотя бы одного из условий: 1. Не все исследования имеют высокое или удовлетворительное методологическое качество; 2. Выводы исследований по интересующим исходам не являются согласованными* | В | |
| Выполнение хотя бы одного из условий: 1. Все исследования имеют низкое методологическое качество; 2. Выводы исследований по интересующим исходам не являются согласованными* | С | |
| 3=Нерандомизированные сравнительные исследования в тч когортные исследования | Одновременное выполнение двух условий: 1. Все исследования имеют высокое или удовлетворительное методологическое качество; 2. Выводы исследований по интересующим исходам являются согласованными* | А |
| Выполнение хотя бы одного из условий: 1. Не все исследования имеют высокое или удовлетворительное методологическое качество; 2. Выводы исследований по интересующим исходам не являются согласованными* | В | |
| Выполнение хотя бы одного из условий: 1. Все исследования имеют низкое методологическое качество; 2. Выводы исследований по интересующим исходам не являются согласованными* | С | |
| 4=Несравнительные исследования, описание клинического случая или серии случаев | С | |
| 5=Наименее достоверные доказательства: имеется лишь обоснование механизма действия (доклинические исследования) или мнение экспертов | С | |
*Если оценивается одно КИ, то данное условие не учитывается.
Связанные документы:
• Порядок оказания медицинской помощи взрослому населению по профилю «эндокринология» (Приказ Министерства здравоохранения Российской Федерации от 12 ноября 2012 г. N 899н).
• Стандарт специализированной медицинской помощи при врожденных адреногенитальных нарушениях, связанных с дефицитом ферментов (Приказ Министерства здравоохранения Российской Федерации от 7 ноября 2012 г. 658н).
Порядок обновления клинических рекомендаций. Пересмотр 1 раз в 3 года.
Приложение А3.
Справочные материалы, включая соответствие показаний к применению и противопоказаний, способов применения и доз лекарственных препаратов, инструкции по применению лекарственного препарата.Приложение В.
Информация для пациента.Врожденная дисфункция коры надпочечников (ВДКН). Заболевание, связанное с нарушением работы надпочечников. Надпочечники (НП) - парные органы небольших размеров, расположенные близко к почкам. Состоят из 2 основных частей: внутренняя часть - мозговой слой, вырабатывает адреналин и эта функция при ВДКН не нарушена. Наружный слой - корковый слой, именно там возникают нарушения, приводящие к развитию ВДКН.
В корковом слое вырабатываются гормоны (стероиды), которые поддерживают основные жизненные функции организма. Эти гормоны образуются из холестерина путем сложного, многоэтапного процесса и в конечном итоге, в корковом слое вырабатываются 3 группы гормонов: кортизол, альдостерон, мужские половые гормоны (андрогены).
Кортизол регулирует работу практически всех систем организма. Кровообращение, ответ на стресс (в том числе при инфекции, травме) и много другое.
Альдостерон. Отвечает за поддержание в организме нормального уровня таких веществ, как калий, натрий.
Андрогены. Вырабатываются в НП как у мужчин, так и у женщин, влияют на репродуктивное здоровье.
Работа НП контролируется головным мозгом (гипофизом, гипоталамусом). Если уровень кортизола в крови недостаточен для нормальной работы организма, это «распознается» гипоталамусом, сигнал передается гипофизу и в нем начинает вырабатываться гормон кортикотропин (АКТГ), который действует на корковый слой надпочечников - происходит выброс кортизола. Когда в организме достигается нормальный уровень кортизола, стимуляция гипофиза прекращается и выработка АКТГ снижается. Если пациент принимает препараты глюкокортикостероидов (синтетический кортизол) в таблетках, инъекциях, то гипоталамус под воздействием этих препаратов, снижает выработку АКТГ гипофизом, НП не стимулируются АКТГ и синтез кортизола в организме человека снижается. Если терапия по каким-то причинам проводится длительное время в больших дозах, то синтез «своего» кортизола прекращается.
Как было отмечено выше, процесс образования гормонов в НП многоэтапен и на каждом этапе работает свой фермент. Если хотя бы 1 фермент работает неправильно - развивается ВДКН. В конечном итоге, при ВДКН возникает недостаток образования в организме кортизола и, в ряде случаев, альдостерона, а андрогены синтезируются в организме в повышенном количестве. При низком уровне кортизола у пациентов с ВДКН повышается уровень АКТГ, который пытается «стимулировать» работу коры НП, возникает разрастание (гиперплазия) ткани НП.
Практически 90% случаев ВДКН связано с нарушением работы фермента, который называется 21-гидроксилаза. Это происходит из-за разных мутаций в гене, который «отвечает» за работу фермента. ВДКН - это генетически обусловленное заболевание. При практически полном нарушении работы фермента - развивается классическая форма ВДКН. Классическая ВДКН это 2 вида (формы) заболевания: вирильная (дефицит кортизола, при нормальном образовании альдостерона, выраженное увеличение андрогенов в организме) и сольтеряющая (дефицит кортизола+дефицит альдостерона, выраженное увеличение андрогенов). При неполном нарушении фермента - возникает неклассическая форма ВДКН (только избыточное образование андрогенов, кортизол, альдостерон в норме).
Классические форма ВДКН диагностируется с рождения, в РФ с 2006 г введен скрининг новорожденных на это заболевание. У новорожденных с сольтеряющей формой заболевания без лечения возникает снижение аппетита, потеря веса, рвота (сольтеряющие кризы). У новорожденных девочек из-за неправильной работы НП и образования большого количества андрогенов изменяются наружные половые органы по мужскому типу, что требует в ряде случаев проведение пластических операций. При вирильной форме не бывает сольтеряющих кризов, у девочек есть признаки нарушений наружных половых органов, у мальчиков в возрасте 2-4 лет возникают признаки быстрого роста и полового созревания. Дети без лечения сначала опережают сверстников в росте, но андрогены способствуют быстрому закрытию зон роста в костях и в конечном итоге, рост пациентов низкий.
Неклассическая форма ВДКН диагностируется у молодых женщин или подростков при обследовании на предмет нерегулярного менструального цикла или избыточного оволосения. У мужчин это состояние не вызывает никаких клинических признаков и не диагностируется.
Диагноз ВДКН ставится на основании комплексного обследования, включающего исследование уровня гормонов, в ряде случаев на пробе с АКТГ, генетического анализа, УЗИ, КТ/МРТ.
Дети и взрослые с классическими формами ВДКН должны пожизненно лечится таблетками, содержащими кортизол - глюкокортикоидами. При постоянном лечении нормализуется уровень АКТГ и андрогенов в НП, нормализуется уровень кортизола в крови. При сольтеряющей форме заболевания дополнительно назначаются препараты альдостерона. Необходимо помнить, что кортизол важен для организма в любых стрессовых ситуация: при заболеваниях, травмах, оперативных вмешательствах. При ВДКН в надпочечниках пациентов не происходит нормального образования кортизола, поэтому в стрессовых ситуациях необходимо увеличивать дозу глюкокортикоидов или вводить их внутримышечно или внутривенно. Четкий алгоритм действия должен дать лечащий врач пациента.
Пациентки с неклассической формой ВДКН требуют индивидуального подхода. У большинства пациенток главная жалоба - избыточный рост волос на теле, при этом менструальный цикл может быть нормальным и бесплодия может не быть. В таких случаях рекомендуют использовать различные методы эпиляции. В случае, когда у пациенток есть проблемы с зачатием или вынашиванием беременности или выраженное нарушение менструального цикла - решается вопрос о назначении глюкокортикоидов или оральных контрацептивов.
Необходимо отметить, что дозы препаратов подбираются индивидуально эндокринологом под контролем гормональных анализов крови. Динамическое обследование взрослых пациентов, как правило, проводится 1-2 раза в год. Обязательно надо проводить обследования для обнаружения осложнений заболевания или последствий неправильного лечения (состояние желудочно-кишечного тракта, наблюдение офтальмолога, гинекологическое и андрологическое обследование).
У взрослых пациентов с ВДКН естественно возникают вопросы, связанные с возможностью наследования заболевания их детьми. При слиянии сперматозоида и материнской яйцеклетки формируется геном плода. Каждая клетка плода содержит 23 пары хромосомы, при этом одна хромосома из пары от матери, другая от отца. Болезнь развивается если 2 хромосомы содержат поврежденный ген (2 мутации), если выявлена только 1 мутация (поврежден ген одной хромосомы), то такое состояние называется «здоровый носитель». Теперь рассмотрим ситуацию, когда в супружеской паре один из партнеров болен ВДКН. В случае, если другой партнер здоров, то ребенку передастся только 1 ген с мутацией и ребенок будет здоров. Если партнер тоже болен ВДКН или является здоровым носителем, то возможна ситуация рождения ребенка с ВДКН. Т.о. таким супружеским парам необходима консультация генетика и обследование партнера на предмет мутации в гене фермента 21 гидроксилазы.
Частая ситуация при ВДКН - это психологические проблемы. Это заболевание, безусловно, является стрессом для членов семьи и взрослых пациентов. Специализированная психологическая помощь во многих странах является неотъемлемой частью работы с пациентами с ВДКН.
В заключении хотелось бы сказать, что ВДКН - заболевание, поддающееся лечению. При адекватной терапии и качественном наблюдении за пациентами они ведут нормальный образ жизни, полностью социально адаптируются, получают образование, создают семьи, воспитывают детей.
Приложение Г1-ГN.
Шкалы оценки, вопросники и другие оценочные инструменты состояния пациента, приведенные в клинических рекомендациях.Г.1 Подсчет гирсутного числа по модифицированной шкале Ферримана-Голлвея.
Г2 Характеристика глюко- и минералокортикоидных препаратов для лечения ВДКН.
Глюкокортикоиды Механизм действия и фармакологические эффекты. Механизм действия глюкокортикоидов основан на их связывании с внутриклеточными стероидными рецепторами, при этом гормоны регулируют экспрессию широкого спектра генов на транскрипционном и пост транскрипционном уровнях. Глюкокортикоиды играют важную роль в адаптации организма к стрессорным воздействиям внешней среды, оказывая многостороннее влияние на обмен веществ. Они способствуют развитию гипергликемии через несколько механизмов: стимулируют печеночный глюконеогенез; усиливают катаболизм белков, стимулируя высвобождение аминокислот - субстратов глюконеогенеза; снижают потребление и использование глюкозы жировой тканью; увеличивают эффективность действия гормонов, стимулирующих ключевые метаболические процессы, в том числе глюконеогенез. Глюкокортикоиды усиливают липолитическое действие катехоламинов и СТГ и повышают содержание свободных жирных кислот в плазме; оказывают анаболическое действие на обмен белков в печени и катаболическое - в мышцах, жировой и лимфоидной тканях, коже, костях. Они подавляют рост и деление фибробластов и синтез коллагена, за счет чего нарушают репаративную фазу воспаления; при их избытке усиливается костная резорбция, подавляется костеобразование, в результате чего снижается МПКТ. Глюкокортикоиды обладают сильным противовоспалительным и иммуносупрессивным действием. В системе гипоталамус-гипофиз-надпочечники действует классический принцип «отрицательной обратной связи»: глюкокортикоиды подавляют образование кортикотропин-рилизинг-гормона и АКТГ. В эндокринологии основное показание для назначения глюкокортикоидов - заместительная терапия при недостаточности функции коры надпочечников.По продолжительности действия препараты глюкокортикоидов разделяют на 3 группы: короткого действия (гидрокортизон), средней продолжительности действия (преднизолон, метилпреднизолон) и длительного действия (дексаметазон). Кроме того, различна и биологическая активность препаратов (табл. Г1).
Таблица Г2,1. Сравнительная характеристика препаратов глюкокортикоидов и минералокортикоидов.
| Препараты | Стандартная таблетированная форма, эквивалентная по глюкокортикоидной активности, мг | Активность | ||
| Глюкокортикоидная | Минералокортикоидная | АКТГ-подавляющая | ||
| Гидрокортизон | 20 | 1 | 1 | + |
| Преднизолон | 5 | 4 | 0,5 | ++ |
| Метилпреднизолон | 4 | 5 | 0,1 | ++ |
| Дексаметазон | 0,5 | 30 | 0,05 | +++ |
| Флудрокортизон | 0,1 | 15 | 150 | - |
Фармакокинетика. При приеме внутрь глюкокортикоиды хорошо всасываются в ЖКТ, причем прием пищи мало влияет на их абсорбцию. Другие пути введения препаратов при лечении эндокринных заболеваний практически не используют, за исключением случаев острой надпочечниковой недостаточности (ОНН), когда гидрокортизон вводят парентерально. Несмотря на короткие Т1/2, в тканях глюкокортикоиды сохраняются гораздо дольше, в соответствии с чем их терапевтические эффекты достаточно длительные (табл. Г2, Г3).
Таблица Г2,2. Фармакокинетика препаратов глюкокортикоидов.
| Препарат | T 1/2 из плазмы крови, ч | T 1/2 из тканей, ч |
| Гидрокортизон | 0,5-2 | 8-12 |
| Преднизолон | 2-4 | 12-36 |
| Метилпреднизолон | 2-4 | 12-36 |
| Дексаметазон | 5 | 36-54 |
Побочные эффекты. Частота развития и выраженность НПР глюкокортикоидов зависят от дозы и длительности их применения. Характерные побочные явления при парентеральном применении глюкокортикоидов обычно обратимы и могут быть устранены или уменьшены при снижении дозы.
Эндокринная система: угнетение функции надпочечников, вторичная ареактивность надпочечников и гипофиза различного генеза, развитие синдрома Иценко-Кушинга, нарушения менструального цикла, снижение толерантности к глюкозе, проявление латентного сахарного диабета (СД), повышение потребности в инсулине или пероральных гипогликемических средствах у больных СД.
ЖКТ: пептическая язва с возможным прободением и кровотечением, панкреатит (тошнота, рвота), вздутие живота, эрозивный/язвенный эзофагит; повышение активности АЛТ, АСТ и щелочной фосфатазы (ЩФ) в сыворотке крови (обычно эти изменения незначительны, не связаны с какими-либо клиническими синдромами и обратимы после прекращения лечения).
Сердечно-сосудистая система: ХСН у больных с соответствующей предрасположенностью, повышение артериального давления (АД), у больных с острым и подострым инфарктом миокарда - распространение очага некроза, замедление формирования рубцовой ткани, что может привести к разрыву сердечной мышцы.
Нервная система: повышение внутричерепного давления с отеком диска зрительного нерва, судороги, головокружение, головная боль, делирий, дезориентация, эйфория, галлюцинации, маниакально-депрессивный психоз, депрессия, паранойя.
Органы чувств: задняя субкапсулярная катаракта, повышение внутриглазного давления (ВГД), глаукома с возможным повреждением зрительного нерва, экзофтальм, склонность к развитию вторичных бактериальных, грибковых или вирусных инфекций глаз.
Обмен веществ: отрицательный азотистый баланс, обусловленный катаболизмом белков.
Опорно-двигательная система: «стероидная» миопатия, снижение мышечной массы, остеопороз, разрывы сухожилий, в особенности ахиллова сухожилия, компрессионные переломы позвонков, асептический некроз эпифизов бедренной и плечевой кости, патологические переломы длинных костей.
Кожные покровы: медленное заживление ран, истончение и снижение прочности кожи, петехии, экхимозы, эритема лица, возможное подавление реакции при кожных тестах, гирсутизм, повышенное потоотделение.
Аллергические реакции: генерализованные (кожная сыпь/крапивница).
Другие: повышение аппетита, икота, аритмии, гиперкоагуляция, тромбозы, трофические изменения роговицы, повышенное выведение кальция, гипокальциемия, развитие или обострение инфекционных заболеваний.
Синдром «отмены»: если у пациента, длительно принимающего глюкокортикоиды, быстро уменьшать дозу препарата, могут развиться признаки надпочечниковой недостаточности, артериальная гипотензия и смерть. Кроме того, возможно развитие синдрома «отмены», не связанного с надпочечниковой недостаточностью (анорексия, тошнота, рвота, летаргия, головная боль, лихорадка, артралгия, десквамация эпителия, миалгия, снижение массы тела, снижение АД).
Таблица Г2,3. Лекарственные взаимодействия глюкокортикоидов.
| Препараты | Эффекты |
| Блокаторы кальциевых каналов, хинидин, эритромицин, индинавир | Снижение эффективности перечисленных препаратов |
| НПВП | Возрастание риска формирования язв в ЖКТ |
| Индукторы фермента сYP3А4 (например, фенитоин, фенобарбитал, карбамазепин, примидон, рифабутин, рифампицин) или препаратов, повышающих метаболический клиренс глюкокортикоидов (эфедрин и аминоглютетимид) | Ослабление действия глюкокортикоидов |
| Ингибиторы фермента сYP3А4 (кетоконазол, макролидные антибиотики ) | Увеличение концентрации глюкокортикоидов в крови |
| Гипогликемические, антигипертензивные препараты, празиквантель и калийвыводящие диуретики | Глюкокортикоиды уменьшают терапевтическое действие перечисленных препаратов |
| Гепарин, албендазол, калийсберегающие диуретики | Повышение активности перечисленных препаратов |
| Непрямые антикоагулянты | Изменения свертываемости крови |
| Антагонисты β2-адренорецепторов, тиазидные диуретики, фуросемид, этакриновая кислота, ингибиторы карбоангидразы, амфотерицин | Применение высоких доз глюкокортикоидов увеличивает риск развития гипокалиемии |
| Антациды | Уменьшают всасывание глюкокортикоидов при приеме внутрь |
| Салицилаты | Увеличение почечного клиренса салицилатов |
| Оральные контрацептивы, антитиреоидные препараты | Увеличение T1/2 глюкокортикоидов |
| Талидомид | Возможно развитие токсического эпидермального некролиза |
| Сердечные гликозиды | Глюкокортикоиды могут повышать риск возникновения аритмии или дигиталисной интоксикации |
| Соматропин | Замедление абсорбции соматропина |
| Этанол, этанолсодержащие препараты | Увеличение частоты появления или интенсивности эрозивно-язвенных поражений ЖКТ |
Минералокортикоиды. Механизм действия и фармакологические эффекты.
Основная функция минералокортикоидов - задержка в организме натрия и поддержание физиологической осмолярности внутренней среды. Главный орган-мишень этих гормонов - почка, где они усиливают активную реабсорбцию натрия в дистальных извитых канальцах и собирательных трубочках, стимулируя экспрессию гена Na+-K+-АТФазы. Кроме того, минералокортикоиды способствуют выделению почками ионов калия, водорода и аммония. Для заместительной терапии минералокортикоидной недостаточности в настоящее время применяется только флудрокортизон.
Фармакокинетика. После приема внутрь флудрокортизон быстро и полностью всасывается из ЖКТ. сmax флудрокортизона в плазме достигается приблизительно через 2 Связывание с белками плазмы - 42%. Метаболизируется в печени. Выводится почками в виде неактивных метаболитов. T1/2 из плазмы - 3,5 Легко проходит гистогематические барьеры. T1/2 - 18-36 Незначительная часть экскретируется при лактации.
Особенности применения. Препарат эффективен при приеме внутрь и обладает мощным минералокортикоидным действием, сопоставимым с альдостероном. При беременности может потребоваться увеличение дозы флудрокортизона, поскольку значительно повышается уровень прогестерона - антагониста минералокортикоидных рецепторов. Иногда дозу флудрокортизона приходится увеличивать в летнее время (особенно в условиях жаркого климата) из-за больших потерь с потом натрия и воды (табл. Г4).
Побочное действие.
Со стороны сердечно-сосудистой системы: АГ, периферические отеки, гипертрофия левого желудочка сердца, недостаточность кровообращения, гипернатриемия, гипокальциемия, аритмии, брадикардия, изменения на ЭКГ, характерные для гипокалиемии, гиперкоагуляция, тромбозы, облитерирующий эндартериит.
Со стороны опорно-двигательного аппарата: мышечная слабость, стероидная потеря мышечной массы, остеопороз, компрессионный перелом позвоночника, асептический некроз головок бедренной и плечевой костей, патологические переломы длинных трубчатых костей.
Со стороны ЖКТ. Стероидная язва с возможным прободением и кровотечением, панкреатит; метеоризм, язвенный эзофагит, нарушения пищеварения, тошнота, повышение или снижение аппетита, рвота, икота, повышение активности АЛТ, АСТ и ЩФ.
Со стороны кожи: угри, замедленное заживление ран; истончение кожи; петехии и гематомы, эритема, повышенная потливость, аллергический дерматит, крапивница, ангионевротический отек, экхимозы, гипер- или гипопигментация, склонность к развитию пиодермии и кандидоза.
Со стороны ЦНС: повышение ВЧД, судороги, головокружение, головная боль, нарушения сна.
Со стороны органов эндокринной системы: вторичная надпочечниковая и гипоталамо-гипофизарная недостаточность, синдром Кушинга, нарушения менструального цикла; НТГ; манифестация латентного СД и повышение потребности в инсулине или пероральных гипогликемических препаратах у больных с СД; гирсутизм.
Со стороны органа зрения: задняя субкапсулярная катаракта, увеличение внутриглазного давления, глаукома, экзофтальм, склонность к развитию вторичных бактериальных, грибковых или вирусных инфекций глаз, трофические изменения роговицы.
Со стороны психической сферы: мании или делириозный синдром.
Метаболические нарушения: отрицательный азотистый баланс; гипергликемия; глюкозурия, повышенное выведение Са2+, гипокалиемический синдром.
Прочие: анафилактические реакции; увеличение массы тела; маскировка симптомов инфекционных заболеваний; обмороки; развитие или обострение инфекций (появлению этой нежелательной побочной реакции (НПР) способствуют совместно применяемые иммунодепрессанты и вакцинация); лейкоцитурия; синдром «отмены».
Таблица Г2,4. Взаимодействие флудрокортизона с другими лекарственными средствами.
| Препарат | Эффекты |
| Системные глюко- и минералокортикоиды | Повышает эффективность (и токсичность) |
| Анаболические стероиды, андрогены | Снижает эффективность, увеличивает гепатотоксичность, повышает риск развития периферических отеков, угрей (применять осторожно болезнях печени и сердца) |
| Сердечные гликозиды и препараты, вызывающие гипокалиемию (диуретики, амфотерицин в) | Усиливает вероятность НПР |
| Натрийсодержащие препараты | Возрастает риск развития периферических отеков и гипертензии |
| Ацетилсалициловая кислота и другие НПВП | Повышается риск изъязвления слизистой оболочки желудка |
| Барбитураты, противоэпилептические средства (фенитоин, карбамазепин), рифампицин | Ускоряют метаболизм кортикостероидов (путем индукции микросомальных ферментов) и ослабляют их действие |
| КОК, содержащие эстрогены | Замедляют метаболизм, увеличивают T1/2 и усиливают действие флудрокортизона |
| Антигистаминные препараты | Ослабляют действие флудрокортизона |
| Антикоагулянты (производные кумарина, индандион, гепарин), стрептокиназа, урокиназа | Взывают снижение, а у некоторых больных - повышение эффективности флудрокортизона |
| Трициклические антидепрессанты | Могут усиливать психические нарушения, связанные с приемом флудрокортизона (не следует назначать их для лечения данных нарушений) |
| Эфедрин | Может ускорять метаболизм кортикостероидов (возможна коррекция дозы флудрокортизона) |
| Пероральные гипогликемические средства и инсулин (возможна коррекция дозы гипогликемических средств) | Ослабляет гипогликемическое действие |
| Калийсберегающие диуретики, слабительные средства | Ослабляет действие |
| Иммунодепрессанты | Повышается риск развития инфекции, лимфом и других лимфопролиферативных заболеваний |
| Совместное применение с деполяризующими миорелаксантами | Флудрокортизон может способствовать усилению блокады синапсов и приводить к увеличению продолжительности нервно-мышечной блокады за счет гипокальцемии |
| Применение вакцин, содержащих живые вирусы | Возможна репликация вирусов (развитие вирусных заболеваний) и снижение выработки антител (одновременное применение не рекомендуется) |
| Другие вакцины в сочетании с флудрокортизоном | Повышают риск неврологических осложнений и снижают выработку антител |
Таблица Г2,5. Схема коррекции заместительной терапии при ВДКН.
| Условие | Действие |
| Лихорадка | Увеличение дозы гидрокортизона в 2 раза при t 38грС, в 3 раза при t 39грС до нормализации (обычно 2-3 дня); повышенное употребление электролит-содержащих жидкостей |
| Гастроэнтерит или травма (прием оральных форм невозможен) | Гидрокортизон в/м 100 мг в сутки (например, утром 50 мг, днем 25 мг и вечером 25 мг) |
| Хирургическое лечение (несложное; малоинвазивные процедуры, например эзофагогастродуоденоскопия, экстракция зуба) | Гидрокортизон в/м 50-75 мг в сутки обычно 1 - 2 дня (например, 25-50 мг за 15 -30 минут до вмешательства и 25 мг после вмешательства) |
| Большое хирургическое вмешательство под общим наркозом, травма, роды или болезнь, которая требует интенсивной терапии | Гидрокортизон* 100 мг в/в болюсно, далее непрерывное введение 200 мг в сутки (или по 50 мг каждые 6 ч в/в или в/м); непрерывное введение жидкостей (5% декстроза и 0,9 или 0,45% NaCl) После родов без осложнений - обычно переводят на прием пероральных ГКС в обычных для пациента дозах. При гладком течении послеоперационного периода в первые три дня внутримышечно вводят 100-150 мг гидрокортизона в сутки, затем 3-5 дней - 75-100 мг в сутки, после чего пациента переводят на таблетированные препараты по обычной схеме. |
| Аддисонический криз | См текст далее |
*гидрокортизона сукцинат натрия.
Г4 Алгоритм лечения острой надпочениковой недостаточности при ВДКН.
Экстренные меры.• Установление внутривенного доступа.
• В/в введение 2-3 л 0,9% раствора натрия хлорида (со скоростью 1 л в час). Обязательно мониторировать признаки перегрузки жидкостью (артериальное давление, центральное венозное давление, диурез, электролиты крови, хрипы в легких).
• В/в введение гидрокортизона (100-150 мг немедленно и далее каждые 6 час).
Меры после стабилизации состояния пациента.
• Продолжение в/в введение 0,9% р-ра натрия хлорида с уменьшением объема и скорости инфузии (в течение 24-48 час), после восстановления ОЦК - дополнительное введение 5% р-ра декстрозы (0,5- 1 л).
• Постепенное уменьшение дозы глюкокортикоидов ( в течение 1-3 дней).
• Начало заместительной минералокортикоидной терапии (флудрокортизон 0,1 мг/сут.) при парентеральной дозе гидрокортизона менее 100 мг/сут, прекращении введения 0,9% р-ра натрия хлорида или переходе на пероральный прием гидрокортизона.
• Поиск и лечение этиологического фактора (вероятных инфекций), приведших к острой надпочечниковой недостаточности.
Дальнейшее ведение.
После стабилизации состояния пациента и снижения суточной дозы гидрокортизона менее 100 мг в сутки пациента переводят на постоянную заместительную гормональную терапию таблетированными препаратами гидрокортизона.
Таблица Г2,6. Заместительная терапия при острой надпочечниковой недостаточности при ВДКН.
| Препарат | Применение |
| Догоспитальный этап | |
| Гидрокортизон (препарат выбора) | Внутривенно (гидрокортизона сукцинат натрия) или внутримышечно, 100-150 мг |
| Дексаметазон или преднизолон | Внутривенно, 4-8 мг струйно на догоспитальном этапе Внутривенно, 40 мг струйно на догоспитальном этапе |
| 1 сутки | |
| Гидрокортизон (препарат выбора) | Внутривенно или внутримышечно, 100-150 мг каждые 6 максимальная суточная доза - 800-1000 мг |
| 2-5 сутки | |
| Гидрокортизон | При АД 100 мм рт ст и выше перевод на внутримышечное введение, 50-75 мг каждые 6-8 с последующим снижением дозы каждые сутки (25-50 мг 2-4 раза в сутки). При дозе менее 100 мг - добавление флудрокортизона 0,05-0,2 мг/сут |
| Последующие дни | |
| Гидрокортизон + флудрокортизон | Перевод на пероральный прием -Внутрь, 40 мг утром и 20 мг в 18:00, постепенное снижение дозы до стандартной заместительной (до 40 мг гидрокортизона (10 мг преднизолона) в сутки) - Внутрь, 0,05-0,2 мг в сутки (обычно 0,1 мг /сут) |
|
|
Год актуализации информации
2021.
Связанные заболевания
Связанные стандарты мед. помощи
- Стандарт специализированной медицинской помощи детям при нарушениях формирования пола
- Стандарт специализированной медицинской помощи детям при преждевременном половом созревании
- Стандарт первичной медико-санитарной помощи детям при преждевременном половом созревании, в том числе вторичного генеза
- Стандарт специализированной медицинской помощи несовершеннолетним при олигоменорее и аменорее
- Стандарт медицинской помощи больным адреногенитальными расстройствами (при оказании специализированной помощи)
- Стандарт специализированной медицинской помощи при врожденных адреногенитальных нарушениях, связанных с дефицитом ферментов
- Стандарт медицинской помощи больным с врожденными адреногенитальными нарушениями, связанными с дефицитом ферментов
- Стандарт медицинской помощи больным с врожденными адрено-генитальными нарушениями, связанными с дефицитом ферментов