МКБ-10 коды
- МКБ-10
- H40.0 Подозрение на глаукому
|
|
Вступление
Кодирование по Международной статистической классификации болезней и проблем, связанных со здоровьем: H40.0.
Год утверждения (частота пересмотра): 2021.
Возрастная категория: Взрослые.
Пересмотр не позднее: 2023.
ID: 628.
Разработчик клинической рекомендации.
• Межрегиональная общественная организация «Глаукомное общество».
• Общероссийская общественная организация «Общество офтальмологов России».
Одобрено Научно-практическим Советом Минздрава РФ.
Год утверждения (частота пересмотра): 2021.
Возрастная категория: Взрослые.
Пересмотр не позднее: 2023.
ID: 628.
Разработчик клинической рекомендации.
• Межрегиональная общественная организация «Глаукомное общество».
• Общероссийская общественная организация «Общество офтальмологов России».
Одобрено Научно-практическим Советом Минздрава РФ.
|
|
Список сокращений
АМ - адреномиметики.
АПГ - аналоги простагландинов.
БАБ - бета-адреноблокаторы.
ВГД - внутриглазное давление.
ВГЖ - внутриглазная жидкость.
ДЗН - диск зрительного нерва.
ДИ - доверительный интервал.
ИКА - ингибиторы карбоангидразы.
ЛИ - лазерная иридотомия/иридэктомия.
ЛС - лекарственное средство.
ЛТП - лазерная трабекулопластика.
МКБ 10 - международная классификация болезней 10-го пересмотра.
МНН - международное непатентованное наименование.
М-хол. - м-холиномиметики.
НРП - нейроретинальный поясок.
ОГ - офтальмогипертензия.
ОКТ - оптическая когерентная томография.
ПГ - подозрение на глаукому.
ПЗ - поле зрения.
ПОУГ - первичная открытоугольная глаукома.
ПЭРГ - паттерн электроретинограмма.
ПЭС - псевдоэксфолиативный синдром.
САП - стандартная автоматизированная периметрия.
СЛТ - селективная лазерная трабекулопластика.
СНВС - слой нервных волокон сетчатки.
УПК - угол передней камеры.
ФЭК - факоэмульсификация катаракты.
ЦТР - толщина роговицы в центральной оптической зоне.
Э/Д - отношение максимального размера экскавации к диаметру ДЗН.
ISNT (inferior, superior, nasalis, temporalis / нижний, верхний, назальный, темпоральный) - правило офтальмоскопической оценки состояния НРП при диагностике глаукомы.
P0 - истинный уровень внутриглазного давления.
Pt - показатель тонометрии при измерении тонометром внутриглазного давления по Маклакову, грузом массой 10 г.
АПГ - аналоги простагландинов.
БАБ - бета-адреноблокаторы.
ВГД - внутриглазное давление.
ВГЖ - внутриглазная жидкость.
ДЗН - диск зрительного нерва.
ДИ - доверительный интервал.
ИКА - ингибиторы карбоангидразы.
ЛИ - лазерная иридотомия/иридэктомия.
ЛС - лекарственное средство.
ЛТП - лазерная трабекулопластика.
МКБ 10 - международная классификация болезней 10-го пересмотра.
МНН - международное непатентованное наименование.
М-хол. - м-холиномиметики.
НРП - нейроретинальный поясок.
ОГ - офтальмогипертензия.
ОКТ - оптическая когерентная томография.
ПГ - подозрение на глаукому.
ПЗ - поле зрения.
ПОУГ - первичная открытоугольная глаукома.
ПЭРГ - паттерн электроретинограмма.
ПЭС - псевдоэксфолиативный синдром.
САП - стандартная автоматизированная периметрия.
СЛТ - селективная лазерная трабекулопластика.
СНВС - слой нервных волокон сетчатки.
УПК - угол передней камеры.
ФЭК - факоэмульсификация катаракты.
ЦТР - толщина роговицы в центральной оптической зоне.
Э/Д - отношение максимального размера экскавации к диаметру ДЗН.
ISNT (inferior, superior, nasalis, temporalis / нижний, верхний, назальный, темпоральный) - правило офтальмоскопической оценки состояния НРП при диагностике глаукомы.
P0 - истинный уровень внутриглазного давления.
Pt - показатель тонометрии при измерении тонометром внутриглазного давления по Маклакову, грузом массой 10 г.
Термины и определения
Биомикроскопия глаза. Метод прижизненного визуального исследования оптических сред и тканей глаза, основанный на создании контраста между освещенными и неосвещенными участками, проводимый при помощи щелевой лампы и дополнительных диагностических линз (в частности, для биомикроскопии глазного дна).
Внутриглазное давление. Давление жидкости внутри глаза, являющееся результатом баланса между продукцией камерной влаги, трабекулярным и увеосклеральным оттоком и давлением в эписклеральных венах, поддерживающее его форму и обеспечивающее постоянство циркулирующих питательных веществ, и нормальную трофику внутриглазных тканей.
Гониоскопия. Метод визуального исследования (осмотра) угла передней камеры глаза, проводимый при помощи щелевой лампы и гониолинзы (гониоскопа).
Диск зрительного нерва. Место выхода аксонов ганглиозных клеток сетчатки из глазного яблока.
Нейроретинальный поясок (НРП) ‒ область между краем диска зрительного нерва и краем экскавации, где проецируется основная масса аксонов ганглиозных клеток сетчатки.
Оптическая когерентная томография (ОКТ) ‒ диагностический неинвазивный бесконтактный метод прижизненной визуализации, качественного и количественного анализа морфологических особенностей структур глазного дна, основанный на принципе световой интерферометрии.
Офтальмогипертензия (глазная гипертензия). Повышение уровня ВГД при отсутствии характерных для глаукомы изменений ДЗН, СНВС и дефектов ПЗ.
Офтальмоскопия. Инструментальный метод осмотра глазного дна и его структур.
Офтальмотонометрия. Метод инструментального измерения уровня ВГД, величина которого определяется анализом данных деформации глаза тонометром и оценивается в миллиметрах ртутного столба (мм ).
Периметрия. Метод исследования ПЗ.
Поле зрения. Совокупность точек пространства, одновременно видимых глазом при неподвижном взоре.
Скотома. Дефект ПЗ, не связанный с периферическими границами.
Слой нервных волокон сетчатки. Слой сетчатки, представляющий собой аксоны ганглиозных клеток сетчатки.
Cтандартная автоматизированная периметрия. Компьютерная пороговая статическая периметрия, при которой исследуют центральное ПЗ с помощью белого стимула на белом фоне.
Угол передней камеры. Пространство между роговично-склеральной областью и передней поверхностью радужки.
Электрофизиологические исследования. Методы исследования функции зрительного нерва, сетчатой оболочки, зрительных областей в коре головного мозга.
MD, mean deviation (среднее отклонение). Периметрический индекс, который определяется при статической периметрии и представляет собой среднее различие между нормальными значениями светочувствительности сетчатки с поправкой на возраст и измеренными пороговыми значениями во всех точках сканирования.
PSD, pattern standard deviation (паттерн стандартного отклонения). Периметрический индекс, характеризующий выраженность очаговых дефектов поля зрения.
GHT, Glaucoma Hemifield Test (глаукомный тест полуполей). Тест, сравнивающий верхнюю и нижнюю половины ПЗ по 5 (пяти) соответствующим участкам.
Внутриглазное давление. Давление жидкости внутри глаза, являющееся результатом баланса между продукцией камерной влаги, трабекулярным и увеосклеральным оттоком и давлением в эписклеральных венах, поддерживающее его форму и обеспечивающее постоянство циркулирующих питательных веществ, и нормальную трофику внутриглазных тканей.
Гониоскопия. Метод визуального исследования (осмотра) угла передней камеры глаза, проводимый при помощи щелевой лампы и гониолинзы (гониоскопа).
Диск зрительного нерва. Место выхода аксонов ганглиозных клеток сетчатки из глазного яблока.
Нейроретинальный поясок (НРП) ‒ область между краем диска зрительного нерва и краем экскавации, где проецируется основная масса аксонов ганглиозных клеток сетчатки.
Оптическая когерентная томография (ОКТ) ‒ диагностический неинвазивный бесконтактный метод прижизненной визуализации, качественного и количественного анализа морфологических особенностей структур глазного дна, основанный на принципе световой интерферометрии.
Офтальмогипертензия (глазная гипертензия). Повышение уровня ВГД при отсутствии характерных для глаукомы изменений ДЗН, СНВС и дефектов ПЗ.
Офтальмоскопия. Инструментальный метод осмотра глазного дна и его структур.
Офтальмотонометрия. Метод инструментального измерения уровня ВГД, величина которого определяется анализом данных деформации глаза тонометром и оценивается в миллиметрах ртутного столба (мм ).
Периметрия. Метод исследования ПЗ.
Поле зрения. Совокупность точек пространства, одновременно видимых глазом при неподвижном взоре.
Скотома. Дефект ПЗ, не связанный с периферическими границами.
Слой нервных волокон сетчатки. Слой сетчатки, представляющий собой аксоны ганглиозных клеток сетчатки.
Cтандартная автоматизированная периметрия. Компьютерная пороговая статическая периметрия, при которой исследуют центральное ПЗ с помощью белого стимула на белом фоне.
Угол передней камеры. Пространство между роговично-склеральной областью и передней поверхностью радужки.
Электрофизиологические исследования. Методы исследования функции зрительного нерва, сетчатой оболочки, зрительных областей в коре головного мозга.
MD, mean deviation (среднее отклонение). Периметрический индекс, который определяется при статической периметрии и представляет собой среднее различие между нормальными значениями светочувствительности сетчатки с поправкой на возраст и измеренными пороговыми значениями во всех точках сканирования.
PSD, pattern standard deviation (паттерн стандартного отклонения). Периметрический индекс, характеризующий выраженность очаговых дефектов поля зрения.
GHT, Glaucoma Hemifield Test (глаукомный тест полуполей). Тест, сравнивающий верхнюю и нижнюю половины ПЗ по 5 (пяти) соответствующим участкам.
Описание
Подозрение на глаукому. Это состояние, характеризующееся наличием клинических проявлений и/или совокупности факторов риска, указывающих на повышенную вероятность развития ПОУГ [1-7]:
Повышенный уровень ВГД при отсутствии изменений параметров ДЗН, СНВС и ПЗ (офтальмогипертензия);
Или.
• наличие изменений в ДЗН или СНВС, подозрительных на глаукомное повреждение;
Или.
• наличие изменений в ПЗ, подозрительных на глаукомное повреждение, при отсутствии клинических признаков других видов оптической нейропатий или ретинопатий.
Таким образом, термин подозрение на глаукому имеет более широкое значение, чем термин офтальмогипертензия ( включает в себя когорты пациентов с нормальным уровнем ВГД, но наличием изменений структуры ДЗН и/или СНВС и/или поля зрения). В данном контексте офтальмогипертензия может рассматриваться как частный случай подозрения на глаукому .
Повышенный уровень ВГД при отсутствии изменений параметров ДЗН, СНВС и ПЗ (офтальмогипертензия);
Или.
• наличие изменений в ДЗН или СНВС, подозрительных на глаукомное повреждение;
Или.
• наличие изменений в ПЗ, подозрительных на глаукомное повреждение, при отсутствии клинических признаков других видов оптической нейропатий или ретинопатий.
Таким образом, термин подозрение на глаукому имеет более широкое значение, чем термин офтальмогипертензия ( включает в себя когорты пациентов с нормальным уровнем ВГД, но наличием изменений структуры ДЗН и/или СНВС и/или поля зрения). В данном контексте офтальмогипертензия может рассматриваться как частный случай подозрения на глаукому .
Причины
При обследовании и последующем наблюдении пациента с ПГ особое внимание уделяется факторам риска, увеличивающим вероятность развития ПОУГ. К ним относятся следующие локальные и системные факторы:
• возраст. ПОУГ преимущественно развивается у пациентов старше 40 лет, а ее распространенность увеличивается с возрастом (95% ДИ 2,5 - 4,0) [8-14].
• раса/этническая принадлежность. Распространенность ПОУГ в несколько раз выше у афро-американцев, чем у лиц европеоидной расы (95% ДИ 3,83-9,13) [15-18].
• пол. Данные о взаимосвязи пола и ПОУГ противоречивы [19-22].
• семейный анамнез. Распространенность глаукомы среди кровных родственников больных с ПОУГ в 4-9 раз выше, чем в общей популяции [23-27].
• повышенный уровень ВГД. Прямо коррелирует с увеличением распространенности и заболеваемости ПОУГ. Риск развития глаукомы возрастает на 10% на каждый 1 мм повышения уровня ВГД выше среднестатистической нормы [28-41].
• псевдоэксфолиативный синдром. Наличие псевдоэксфолиаций увеличивает риск ПОУГ в 9-11 раз. В течение 10 лет глаукома развивается у каждого третьего пациента с ПЭС [42-46].
• синдром пигментной дисперсии. Риск развития пигментной глаукомы у пациентов с синдромом пигментной дисперсии составила около 10% за 5 лет и 15% за 15 лет [ 47-50].
• толщина роговицы в центральной оптической зоне (ЦТР). Установлено увеличение риска развития ПОУГ на 30-41% на каждые 40 мкм истончения ЦТР ниже среднестатистической нормы [31, 51-54].
• миопия. Миопия высокой степени (≥6-ти диоптрий) увеличивает частоту возникновения ПГ [55-60].
• перфузионное глазное давление. Обнаружена связь низкого перфузионного глазного давления с увеличением частоты возникновения ПГ. Поскольку перфузионное давление представляет разность между диастолическим уровнем артериального давления и величиной ВГД, лечение артериальной гипертензии у больных с ПГ может приводить к развитию системной гипотензии, и как следствие - ухудшению кровоснабжения ДЗН [61-66].
• кровоизлияния на ДЗН. В международном исследовании по изучению глаукомы низкого давления (Collaborative Normal Tension Glaucoma Study, сNTGS) наличие кровоизлияний в зоне ДЗН достоверно коррелировало с прогрессированием глаукомы [67].
• другие факторы. Имеются сообщения о других факторах, которые могут быть связаны с повышенным риском развития ПОУГ (кардиоваскулярная патология, в том числе системная артериальная гипотензия, системный атеросклероз; вазоспастический синдром, в том числе болезнь Рейно, мигрень и мигренеподобные состояния; апноэ во сне и синкопальные состояния неясного генеза; сахарный диабет (95% ДИ 1,20-1,57). Вместе с тем, литературные данные остаются противоречивыми [68-72].
• возраст. ПОУГ преимущественно развивается у пациентов старше 40 лет, а ее распространенность увеличивается с возрастом (95% ДИ 2,5 - 4,0) [8-14].
• раса/этническая принадлежность. Распространенность ПОУГ в несколько раз выше у афро-американцев, чем у лиц европеоидной расы (95% ДИ 3,83-9,13) [15-18].
• пол. Данные о взаимосвязи пола и ПОУГ противоречивы [19-22].
• семейный анамнез. Распространенность глаукомы среди кровных родственников больных с ПОУГ в 4-9 раз выше, чем в общей популяции [23-27].
• повышенный уровень ВГД. Прямо коррелирует с увеличением распространенности и заболеваемости ПОУГ. Риск развития глаукомы возрастает на 10% на каждый 1 мм повышения уровня ВГД выше среднестатистической нормы [28-41].
• псевдоэксфолиативный синдром. Наличие псевдоэксфолиаций увеличивает риск ПОУГ в 9-11 раз. В течение 10 лет глаукома развивается у каждого третьего пациента с ПЭС [42-46].
• синдром пигментной дисперсии. Риск развития пигментной глаукомы у пациентов с синдромом пигментной дисперсии составила около 10% за 5 лет и 15% за 15 лет [ 47-50].
• толщина роговицы в центральной оптической зоне (ЦТР). Установлено увеличение риска развития ПОУГ на 30-41% на каждые 40 мкм истончения ЦТР ниже среднестатистической нормы [31, 51-54].
• миопия. Миопия высокой степени (≥6-ти диоптрий) увеличивает частоту возникновения ПГ [55-60].
• перфузионное глазное давление. Обнаружена связь низкого перфузионного глазного давления с увеличением частоты возникновения ПГ. Поскольку перфузионное давление представляет разность между диастолическим уровнем артериального давления и величиной ВГД, лечение артериальной гипертензии у больных с ПГ может приводить к развитию системной гипотензии, и как следствие - ухудшению кровоснабжения ДЗН [61-66].
• кровоизлияния на ДЗН. В международном исследовании по изучению глаукомы низкого давления (Collaborative Normal Tension Glaucoma Study, сNTGS) наличие кровоизлияний в зоне ДЗН достоверно коррелировало с прогрессированием глаукомы [67].
• другие факторы. Имеются сообщения о других факторах, которые могут быть связаны с повышенным риском развития ПОУГ (кардиоваскулярная патология, в том числе системная артериальная гипотензия, системный атеросклероз; вазоспастический синдром, в том числе болезнь Рейно, мигрень и мигренеподобные состояния; апноэ во сне и синкопальные состояния неясного генеза; сахарный диабет (95% ДИ 1,20-1,57). Вместе с тем, литературные данные остаются противоречивыми [68-72].
|
|
Эпидемиология
В Российской Федерации до настоящего времени не проводились масштабные системные клинико-эпидемиологические исследования, посвященные обнаружению лиц с подозрением на глаукому, офтальмогипертензией (ОГ). В подавляющем большинстве случаев диагностирование данных состояний происходит при выполнении популяционных исследований по поводу глаукомы при выявлении повышенного уровня ВГД [4, 73-77].
По отдельным данным отечественных и зарубежных литературных источников, частота повышения уровня ВГД в 5-15 раз превышает частоту распространенности глаукомы. Таким образом, включение лиц с офтальмогипертензией в группу больных с глаукомой приведет к увеличению числа последних в 10 раз без достаточных на то оснований [73, 78-82].
В свою очередь, распространенность ОГ среди лиц европеоидной расы, проживающих в США, в возрасте 40 лет и старше, составляет 4,5% (в диапазоне от 2,7% у лиц в возрасте от 43 до 49 лет до 7,7% у лиц в возрасте от 75 до 79 лет) [83].
Несколько выше обнаруженная распространенность повышенного уровня ВГД среди латиноамериканцев в возрасте 40 лет и старше: она составляет 3,5% (от 1,7% у лиц в возрасте 40-49 лет до 7,4% у лиц в возрасте 80 лет и старше) [84].
Возраст-ассоциированное увеличение доли пациентов характерно как для ОГ, так и для ПОУГ. Однако темпы прироста при ОГ несомненно выше: в популяции лиц старше 50 лет распространенность ОГ составляет до 15-20% [31, 85-109].
Реальная распространенность ОГ может быть значительно выше, поскольку значительное количество случаев остаются недиагностированными. Например, предполагается, что от 3 до 6 миллионов человек в США имеют повышенный уровень ВГД [28,110].
Комментарий. Согласно Международной статистической классификации болезней и проблем, связанных со здоровьем в данную группу входят и другие состояния - преглаукома (Н40,00), открытый УПК с пограничными изменениями и низким риском развития заболевания (Н40,01), открытый УПК с пограничными изменениями и высоким риском развития заболевания (Н40,02), анатомически узкий УПК (Н40,03), гормонально (стероидно) -зависимая форма (Н40,04), офтальмогипертензия (Н40,05), первичное закрытие УПК без развития глаукомы (Н40,06) [11,112].
По отдельным данным отечественных и зарубежных литературных источников, частота повышения уровня ВГД в 5-15 раз превышает частоту распространенности глаукомы. Таким образом, включение лиц с офтальмогипертензией в группу больных с глаукомой приведет к увеличению числа последних в 10 раз без достаточных на то оснований [73, 78-82].
В свою очередь, распространенность ОГ среди лиц европеоидной расы, проживающих в США, в возрасте 40 лет и старше, составляет 4,5% (в диапазоне от 2,7% у лиц в возрасте от 43 до 49 лет до 7,7% у лиц в возрасте от 75 до 79 лет) [83].
Несколько выше обнаруженная распространенность повышенного уровня ВГД среди латиноамериканцев в возрасте 40 лет и старше: она составляет 3,5% (от 1,7% у лиц в возрасте 40-49 лет до 7,4% у лиц в возрасте 80 лет и старше) [84].
Возраст-ассоциированное увеличение доли пациентов характерно как для ОГ, так и для ПОУГ. Однако темпы прироста при ОГ несомненно выше: в популяции лиц старше 50 лет распространенность ОГ составляет до 15-20% [31, 85-109].
Реальная распространенность ОГ может быть значительно выше, поскольку значительное количество случаев остаются недиагностированными. Например, предполагается, что от 3 до 6 миллионов человек в США имеют повышенный уровень ВГД [28,110].
1,4 Особенности кодирования заболевания или состояния (группы заболеваний или состояний) по Международной статистической классификации болезней и проблем, связанных со здоровьем.
H.40,0 - Подозрение на глаукому [111,112].Комментарий. Согласно Международной статистической классификации болезней и проблем, связанных со здоровьем в данную группу входят и другие состояния - преглаукома (Н40,00), открытый УПК с пограничными изменениями и низким риском развития заболевания (Н40,01), открытый УПК с пограничными изменениями и высоким риском развития заболевания (Н40,02), анатомически узкий УПК (Н40,03), гормонально (стероидно) -зависимая форма (Н40,04), офтальмогипертензия (Н40,05), первичное закрытие УПК без развития глаукомы (Н40,06) [11,112].
Классификация
1,5 Классификация заболевания или состояния (группы заболеваний или состояний).
Не существует классификации ПГ, однако выделяют состояния, характеризующие ОГ, которую подразделяют на: [1, 113,114]:1) ложную;
2) эссенциальную;
3) симптоматическую.
Примеры диагноза:
Подозрение на глаукому обоих глаз.
Подозрение на глаукому обоих глаз. Ложная офтальмогипертензия обоих глаз.
Подозрение на глаукому обоих глаз. Эссенциальная офтальмогипертензия обоих глаз.
Подозрение на глаукому обоих глаз. Симптоматическая офтальмогипертензия обоих глаз.
Клиническая картина
Чаще всего при подозрении на глаукому ПЗ и/или ДЗН и/или СНВС не имеют отклонений от нормы или обнаруживают пограничные изменения не менее чем одной из перечисленных функций/структур на фоне периодического или постоянного повышения уровня ВГД [115].
Как правило, ПГ, также как и первичная открытоугольная глаукома (ПОУГ) протекает бессимптомно и в большинстве случаев выявляется случайно при определении повышения уровня ВГД, которое иногда проявляется отдельными нетипичными жалобами: периодическое затуманивание зрения, видение радужных кругов вокруг источников света, боли в глазах, головные боли, мелькание «мушек», быстрая утомляемость, частая смена пресбиопических очков [116-118].
Помимо этого, следует обратить внимание на повышенный уровень ВГД (>21 мм , Ро) без лечения, асимметрию офтальмотонуса между парными глазами [119-122]. Измененный внешний вид ДЗН включает в себя расширение экскавации, истончение НРП или СНВС, прорыв экскавацию к краю, кровоизлияние на ДЗН, выраженную перипапиллярную атрофию и асимметрию морфометрических параметров парных глаз [1, 122].
Комментарий. Эти изменения, также можно увидеть и при других состояниях, таких как миопия или аномалии ДЗН (физиологическое увеличение Э/Д при ДЗН большого размера, наклоненные аномальные ДЗН ), где они могут быть вариантом нормы [123,124]. До 40% волокон зрительного нерва могут быть потеряны до того, как произойдет изменения поля зрения и снижение толщины СНВС при сравнении пациентов с ПГ и нормальными показателями [125,126]. При ПГ не обнаруживается никаких дефектов поля зрения при тестировании или появляются дефекты, которые еще не вполне убедительны в качестве доказательства глаукомы [122]. В случае обнаружения изменений и для их подтверждения, периметрические тесты следует повторить с учетом эффекта обучения пациента [1, 122].
Особенности клинико-патогенетических форм ОГ.
Для ОГ характерно доброкачественное течение без поражения ЗН. Вместе с тем в части случаев (15-25%) возможен переход ОГ в глаукому, поэтому данное состояние следует рассматривать как один из факторов риска [1].Ложная гипертензия связана с устойчивой повышенной реактивностью пациента на тонометрию, высоким индивидуальным уровнем ВГД или техническими погрешностями при измерении офтальмотонусаЭссенциальная гипертензия обусловлена дисбалансом возрастных изменений в гидродинамике глаза - ухудшением оттока водянистой влаги при сохранившейся ее секреции. Во многих случаях этот дисбаланс постепенно выравнивается.Симптоматическая гипертензия представляет собой кратковременное или длительное повышение уровня ВГД, являющееся лишь симптомом другого заболевания. Если основное заболевание излечивают, то офтальмотонус нормализуется. К симптоматической гипертензии относят глаукомоциклические кризы, увеиты с гипертензией, а также повышение офтальмотонуса, вызванное нарушением активной регуляции внутриглазного давления вследствие интоксикации, диэнцефальных и эндокринных расстройств, патологически протекающий климактерический период, длительного введения некоторых гормонов в больших дозах.
Как правило, ПГ, также как и первичная открытоугольная глаукома (ПОУГ) протекает бессимптомно и в большинстве случаев выявляется случайно при определении повышения уровня ВГД, которое иногда проявляется отдельными нетипичными жалобами: периодическое затуманивание зрения, видение радужных кругов вокруг источников света, боли в глазах, головные боли, мелькание «мушек», быстрая утомляемость, частая смена пресбиопических очков [116-118].
Помимо этого, следует обратить внимание на повышенный уровень ВГД (>21 мм , Ро) без лечения, асимметрию офтальмотонуса между парными глазами [119-122]. Измененный внешний вид ДЗН включает в себя расширение экскавации, истончение НРП или СНВС, прорыв экскавацию к краю, кровоизлияние на ДЗН, выраженную перипапиллярную атрофию и асимметрию морфометрических параметров парных глаз [1, 122].
Комментарий. Эти изменения, также можно увидеть и при других состояниях, таких как миопия или аномалии ДЗН (физиологическое увеличение Э/Д при ДЗН большого размера, наклоненные аномальные ДЗН ), где они могут быть вариантом нормы [123,124]. До 40% волокон зрительного нерва могут быть потеряны до того, как произойдет изменения поля зрения и снижение толщины СНВС при сравнении пациентов с ПГ и нормальными показателями [125,126]. При ПГ не обнаруживается никаких дефектов поля зрения при тестировании или появляются дефекты, которые еще не вполне убедительны в качестве доказательства глаукомы [122]. В случае обнаружения изменений и для их подтверждения, периметрические тесты следует повторить с учетом эффекта обучения пациента [1, 122].
Особенности клинико-патогенетических форм ОГ.
Для ОГ характерно доброкачественное течение без поражения ЗН. Вместе с тем в части случаев (15-25%) возможен переход ОГ в глаукому, поэтому данное состояние следует рассматривать как один из факторов риска [1].Ложная гипертензия связана с устойчивой повышенной реактивностью пациента на тонометрию, высоким индивидуальным уровнем ВГД или техническими погрешностями при измерении офтальмотонусаЭссенциальная гипертензия обусловлена дисбалансом возрастных изменений в гидродинамике глаза - ухудшением оттока водянистой влаги при сохранившейся ее секреции. Во многих случаях этот дисбаланс постепенно выравнивается.Симптоматическая гипертензия представляет собой кратковременное или длительное повышение уровня ВГД, являющееся лишь симптомом другого заболевания. Если основное заболевание излечивают, то офтальмотонус нормализуется. К симптоматической гипертензии относят глаукомоциклические кризы, увеиты с гипертензией, а также повышение офтальмотонуса, вызванное нарушением активной регуляции внутриглазного давления вследствие интоксикации, диэнцефальных и эндокринных расстройств, патологически протекающий климактерический период, длительного введения некоторых гормонов в больших дозах.
Диагностика
Критерии установления заболевания или состояния:
Повышенный уровень ВГД при отсутствии изменений параметров ДЗН, СНВС и ПЗ (офтальмогипертензия);
Или наличие изменений в ДЗН или СНВС, подозрительных на глаукомное повреждение;
Или наличие изменений в ПЗ, подозрительных на глаукомное повреждение, при отсутствии клинических признаков других видов оптической нейропатий или ретинопатий.
Уровень убедительности рекомендаций С (уровень достоверности доказательств - 5).
Комментарии. При сборе жалоб и анамнеза следует обратить внимание на наличие факторов риска возникновения ПОУГ ( см раздел 1,2) [1-7].
Рекомендуется направлять пациентов с сопутствующими системными заболеваниями к профильным специалистам на консультацию с целью верификации диагноза и установления факторов риска [1-7].
Уровень убедительности рекомендаций С (уровень достоверности доказательств - 5).
Уровень убедительности рекомендаций С (уровень достоверности доказательств - 5).
Рекомендуется рефрактометрия всем пациентам с ПГ с целью определения возможных аномалий рефракции, в том числе с целью их коррекции при проведении периметрии [1-7, 122, 55-60].
Уровень убедительности рекомендаций С (уровень достоверности доказательств - 4).
Комментарии. Исследование проводят с помощью авторефрактометров или скиаскопически, определяют наименьшую отрицательную или максимальную положительную линзу, с которой достигается максимальная острота зрения. Нейтрализация любой аномалии рефракции имеет решающее значение для точной периметрии.
Рекомендуется офтальмотонометрия всем пациентам с ПГ для диагностики, динамического наблюдения и контроля эффективности возможного лечения [1-7, 38, 121,122].
Уровень убедительности рекомендаций В (уровень достоверности доказательств - 2).
Комментарий. Базовым методом измерения уровня ВГД, принятым в Российской Федерации, является офтальмотонометрия по Маклакову (Pt) с использованием груза 10 гр. Для определения уровня истинного ВГД (Po) используется метод тонографии. Общепринятой практикой во всем мире является измерение уровня ВГД методом аппланационной тонометрии (по Гольдману)(Po), результаты которого отличаются от тонометрических значений. Для сопоставления двух видов тонометрий возможно использование переводной линейки Нестерова-Егорова для тонометра Маклакова грузом 10 гр. В Российской Федерации также зарегистрированы тонометры ICare, PASCAL и анализатор биомеханических свойств глаза Ocular Response Analyzer. Бесконтактную тонометрию (пневмотонометрию) нужно рассматривать как скрининговый метод определения уровня ВГД. При динамическом наблюдении рекомендуется использовать один базовый метод тонометрии для корректного сравнения полученных результатов [119-122].
При анализе данных тонометрии учитывают абсолютные цифры уровня ВГД, суточные колебания, разницу офтальмотонуса между парными глазами и характеристики ортостатических колебаний [127-130].
Статистическая норма показателей истинного уровня ВГД (P0) у здорового человека составляет от 10 до 21 мм , показателей тонометрического уровня ВГД (Pt) - от 15 до 25 мм Средняя величина уровня ВГД (Pt) здоровых составляет 19,9±0,03 мм , а весь диапазон статистической нормы можно разделить на три зоны: зону высокой нормы (от 23 до 25 мм , 6,5%), зону средней нормы (19-22 мм , 72,2%) и зону низкой нормы (<18 мм , 20,3%) [131-134].
Суточные колебания уровня ВГД, а также его асимметрия между парными глазами у здоровых лиц, как правило, находятся в пределах 2-3 мм , и лишь в исключительно редких случаях достигают 4-6 мм Чем выше исходный средний уровень ВГД, тем выше могут быть суточные колебания офтальмотонуса [135,136].
Ортостатические колебания в норме редко превышают 4 мм , а при ПГ составляют от 5 до 13 мм [137-139].
Рекомендовано выполнять несколько последовательных измерений уровня ВГД. Их можно проводить дискретно, с перерывом в течение часов, дней или недели. Возможно использование специальных хронобиологических схем [140-143].
Мониторинг уровня ВГД необходим также при подборе местной гипотензивной терапии с учетом начала времени действия препарата, его максимального эффекта и действия периода вымывания, в случае назначения лечения [30, 144-147].
Измерение уровня ВГД необходимо проводить до выполнения гониоскопии и расширения зрачка [1-4].
Рекомендуется биомикроскопия всем пациентам для оценки состояния сред и структур глаза [1-4].
Уровень убедительности рекомендаций. С (уровень достоверности доказательств - 5).
Комментарий. Измерение глубины периферической части передней камеры по методу ван Херика является частью биомикроскопии и помогает ориентировочно определить степень закрытия/открытия УПК. В качестве дополнительных критериев при выполнении биомикроскопии следует учитывать: неравномерное сужение артериол и расширение венул, ампулообразное расширение сосудов, образование микроаневризм, повышение проницаемости капилляров, возникновение мелких геморрагий, появление зернистого тока крови при исследовании конъюнктивы; выявление асимметрии в изменениях переднего отрезка глаз, определение степени пигментации на эндотелии (например, веретено Крукенберга, характерного для пигментной глаукомы), отложения псевдоэксфолиаций по зрачковому краю радужной оболочки и на передней капсуле хрусталика, гетерохромии радужки, атрофии стромы и ее пигментной каймы [148,149].
Рекомендуется гониоскопия всем пациентам с ПГ с целью выявления степени открытия УПК и его патологических изменений [1-4].
Уровень убедительности рекомендаций. С (уровень достоверности доказательств - 5).
Комментарий. Гониоскопия позволяет провести оценку УПК; выявить признаки гониодисгенеза и пороков развития иридокорнеального угла; решить вопрос о возможности проведения лазерной операции на структурах УПК глаза и выполнить эти операции; обнаружить межокулярную асимметрию гониоскопической картины; определить места ретенции.
Гониоскопия - пространственная характеристика УПК, основанная на распознавании и описании его опознавательных зон и характеристик, включающих: биометрические параметры (высоту, профиль и ширину угла - пространство между эндотелием роговицы и корнем радужки); уровень прикрепления радужки; характер и степень пигментации зоны трабекулы и шлеммова канала; наличие синехий, псевдоэксфолиативного материала и иных депозитов.
С целью систематизации результатов гониоскопического исследования целесообразно использовать классификации van вeuningen, G. Spaeth или R. Shaffer [150, 151].
В дополнение к гониоскопии можно использовать ОКТ переднего сегмента с целью динамики изменений УПК, что не заменяет гониоскопию [152].
Исследование не показано пациентам с воспалительными процессами глазной поверхности, при травматическом повреждении глазного яблока, и не может быть выполнена корректно у пациентов с выраженными помутнениями роговицы, гифемой.
Рекомендуется биомикроскопия глазного дна или офтальмоскопия в условиях медикаментозного мидриаза всем пациентам с ПГ для оценки изменений ДЗН и сетчатки [1-4,122].
Уровень убедительности рекомендаций С (уровень достоверности доказательств - 5).
Комментарий. Офтальмоскопию проводят с помощью различных моделей офтальмоскопов, при проведении биомикроскопии глазного дна в условиях медикаментозного мидриаза используют бесконтактные линзы для непрямой офтальмоскопии глазного дна (для получения стереоскопического изображения). При офтальмоскопии необходимо проводить количественную и качественную характеристику параметров.
Качественные характеристики:
• НРП. Для определения характеристик НРП рекомендуется использовать правило ISNT (Inferior - нижний, Superior - верхний, Nasalis - назальный, Temporalis - темпоральный). В глазах с начальными или умеренно выраженными глаукомными повреждениями, потеря ткани НРП наблюдается преимущественно в нижне- и верхневисочных секторах ДЗН. При оценке НРП правило ISNT можно использовать только для стандартных размеров ДЗН; при больших и малых размерах, а также при миопии с косым вхождением оценка НРП затруднена и требует исследования в динамике для выявления прогрессирования заболевания. Чувствительность и специфичность метода не превышает 80% [153-155].
• СНВС. Локальное или диффузное истончение (дефекты), которые лучше визуализируются в бескрасном свете.
• кровоизлияние в зоне ДЗН - наличие.
• перипапиллярная атрофия - наличие и площадь.
Количественные характеристики:
• ДЗН (размер и форма, малый, средний, большой).
• экскавации (размер и форма).
• отношение максимального размера экскавации к диаметру диска зрительного нерва (Э/Д).
При исследовании глазного дна также следует обращать внимание на: размер и форму ДЗН; размер, форму и степень побледнения (розовый или деколорирован) НРП; размер экскавации относительно размера ДЗН, конфигурацию (характер височного края: пологий, крутой, подрытый) и глубину экскавации (мелкая, средняя, глубокая); показатель Э/Д; степень выраженности перипапиллярной хориоретинальной атрофии; расположение сосудистого пучка и связанные с этим симптомы «прокола» («штыка») и запустевание т.н. опоясывающего сосуда ДЗН; кровоизлияния на ДЗН; диаметр артериол сетчатки и состояние СНВС [156-159].
Характерные изменения ДЗН и СНВС представлены в разделе 1,6.
Рекомендуется компьютерная периметрия всем пациентам с ПГ с целью определения функциональных изменений и их мониторинга [125,160-162].
Уровень убедительности рекомендаций A (уровень достоверности доказательств - 1).
Комментарий: Пороговая периметрия центрального поля зрения (100, 240 и 300) «белое-на-белом» является предпочтительным методом раннего выявления дефектов поля зрения [160-162]. Возможен иной вариант периметрии (кинетическая, кампиметрия) исходя из оснащения оборудованием, согласно Стандарта оснащения офтальмологического кабинета, предусмотренному «Порядком оказания медицинской помощи взрослому населению при заболеваниях глаза, его придаточного аппарата и орбиты» (Приказ Министерства здравоохранения РФ от 12,11,2012г. №902н).
Для оценки результатов САП используют различные индексы, такие как средний дефект или среднее отклонение (MD), очаговые дефекты (PSD, LV), а также разные диагностические тесты, подтверждающие результаты компьютерного анализа прогрессирования при исследовании в динамике. САП трудно воспроизводима у пациентов с низкой остротой зрения и сниженным интеллектом. Целесообразно учитывать степень выраженности асимметрии приведенных выше параметров для постановки диагноза. Частота проведения периметрии при ПГ представлена в разделе 5.
При динамическом наблюдении рекомендуется использовать один базовый метод периметрии для корректного сравнения полученных результатов.
Структурные и функциональные методики (тесты) непрерывно совершенствуются, становясь все более чувствительными к самым ранним изменениям. Разрыв между наблюдаемыми функциональными потерями и предшествующими им структурными изменениями, с точки зрения сопоставления этих двух видов стратегии наблюдения - неуклонно уменьшается. Структурные изменения превалируют в начале болезни, в частности при ПГ или при начальной стадии ПОУГ.
Рекомендуется кератопахиметрия всем пациентам с ПГ с целью уточнения результатов тонометрических исследований, а также для выявления одного из факторов риска [1-4, 121, 122].
Уровень убедительности рекомендаций. С (уровень достоверности доказательств - 5).
Комментарий: Распределение показателя ЦТР в норме во взрослой популяции составляет 473-597 мкм (среднее - 540±30 мкм). Значительные отклонения от средних значений ЦТР (±50 мкм) могут оказывать влияние на результаты тонометрии. На сегодняшний день не достигнуто согласие относительно применения алгоритмов коррекции показателей тонометрии по данным ЦТР. Целесообразно проводить деление роговиц на тонкие (481-520 мкм), средние (521-560 мкм) и толстые (>561 мкм), и учитывать связанный с этим риск [121, 163-167].
Рекомендуется оптическое исследование головки зрительного нерва и слоя нервных волокон с помощью компьютерного анализатора (оптическая когерентная томография, ОКТ) пациентам при подозрении на глаукому на этапе диагностики и в ходе регулярного мониторинга с целью выявления количественных изменений ДЗН и сетчатки [122,168].
Уровень убедительности рекомендаций A (уровень достоверности доказательств - 1).
Комментарии. Данные, полученные при помощи ОКТ, не следует трактовать как окончательный диагноз. Это статистические данные, результаты сравнения показателей пациента с нормативной базой данных прибора. Полученные результаты необходимо сопоставлять с клинической картиной во избежание ложных выводов, особенно, в случае нестандартных вариантов ДЗН, показатели которых отсутствуют в базе. Ключевое значение при проведении ОКТ имеет первое исследование, важно его высокое качество, так как оценка прогрессирования в дальнейшем проводится при сравнении с исходным изображением. Частота проведения ОКТ при ПГ представлена в разделе 5.
Метод может также может быть использован для динамического наблюдения в комплексе с данными периметрического исследования [168].
Рекомендуется электроретинография пациентам в случае необходимости дифференциальной диагностики и углубленного анализа функциональных нарушений с целью оценки электрической активности сетчатки [1-7,169].
Уровень убедительности рекомендаций С (уровень достоверности доказательств - 5).
Комментарии. Решение о назначении дополнительных методов исследования принимает врач по результатам базового обследования. Наибольшей специфичностью и чувствительностью при глаукоме обладает ПЭРГ, которая отражает активность самих ганглиозных клеток и может выступать в качестве предиктора структурных изменений сетчатки. Для оценки функционального состояния макулярной зоны сетчатки принимают во внимание компонент ПЭРГ Р50, для оценки функционального состояния зрительного нерва ‒ компонент ПЭРГ N95.
Для верификации диагноза и дифференциальной диагностики ПГ возможно применение других дополнительных методов обследования: тонография, нагрузочно-разгрузочные пробы для исследования регуляции уровня ВГД [1, 73, 170-171].
Повышенный уровень ВГД при отсутствии изменений параметров ДЗН, СНВС и ПЗ (офтальмогипертензия);
Или наличие изменений в ДЗН или СНВС, подозрительных на глаукомное повреждение;
Или наличие изменений в ПЗ, подозрительных на глаукомное повреждение, при отсутствии клинических признаков других видов оптической нейропатий или ретинопатий.
2,1 Жалобы и анамнез.
Рекомендуется тщательный сбор жалоб и анамнеза у всех пациентов с подозрением на глаукому с целью выявления факторов, которые могут повлиять на верификацию диагноза и выбор тактики [1-3].Уровень убедительности рекомендаций С (уровень достоверности доказательств - 5).
Комментарии. При сборе жалоб и анамнеза следует обратить внимание на наличие факторов риска возникновения ПОУГ ( см раздел 1,2) [1-7].
2,2 Физикальное обследование.
Специфических признаков ПГ, которые можно было бы выявить при физикальном осмотре, не существует. Необходимо соблюдать общие пропедевтические принципы обследования пациентов.Рекомендуется направлять пациентов с сопутствующими системными заболеваниями к профильным специалистам на консультацию с целью верификации диагноза и установления факторов риска [1-7].
Уровень убедительности рекомендаций С (уровень достоверности доказательств - 5).
2,3 Лабораторные диагностические исследования.
Диагностических критериев ПГ на основании данных клинического лабораторного обследования не существует.2,4 Инструментальные диагностические исследования.
Рекомендуется визометрия с максимальной коррекцией аметропии всем пациентам с ПГ для оценки функционального состояния ЗН и сетчатки [1-7, 122, 127].Уровень убедительности рекомендаций С (уровень достоверности доказательств - 5).
Рекомендуется рефрактометрия всем пациентам с ПГ с целью определения возможных аномалий рефракции, в том числе с целью их коррекции при проведении периметрии [1-7, 122, 55-60].
Уровень убедительности рекомендаций С (уровень достоверности доказательств - 4).
Комментарии. Исследование проводят с помощью авторефрактометров или скиаскопически, определяют наименьшую отрицательную или максимальную положительную линзу, с которой достигается максимальная острота зрения. Нейтрализация любой аномалии рефракции имеет решающее значение для точной периметрии.
Рекомендуется офтальмотонометрия всем пациентам с ПГ для диагностики, динамического наблюдения и контроля эффективности возможного лечения [1-7, 38, 121,122].
Уровень убедительности рекомендаций В (уровень достоверности доказательств - 2).
Комментарий. Базовым методом измерения уровня ВГД, принятым в Российской Федерации, является офтальмотонометрия по Маклакову (Pt) с использованием груза 10 гр. Для определения уровня истинного ВГД (Po) используется метод тонографии. Общепринятой практикой во всем мире является измерение уровня ВГД методом аппланационной тонометрии (по Гольдману)(Po), результаты которого отличаются от тонометрических значений. Для сопоставления двух видов тонометрий возможно использование переводной линейки Нестерова-Егорова для тонометра Маклакова грузом 10 гр. В Российской Федерации также зарегистрированы тонометры ICare, PASCAL и анализатор биомеханических свойств глаза Ocular Response Analyzer. Бесконтактную тонометрию (пневмотонометрию) нужно рассматривать как скрининговый метод определения уровня ВГД. При динамическом наблюдении рекомендуется использовать один базовый метод тонометрии для корректного сравнения полученных результатов [119-122].
При анализе данных тонометрии учитывают абсолютные цифры уровня ВГД, суточные колебания, разницу офтальмотонуса между парными глазами и характеристики ортостатических колебаний [127-130].
Статистическая норма показателей истинного уровня ВГД (P0) у здорового человека составляет от 10 до 21 мм , показателей тонометрического уровня ВГД (Pt) - от 15 до 25 мм Средняя величина уровня ВГД (Pt) здоровых составляет 19,9±0,03 мм , а весь диапазон статистической нормы можно разделить на три зоны: зону высокой нормы (от 23 до 25 мм , 6,5%), зону средней нормы (19-22 мм , 72,2%) и зону низкой нормы (<18 мм , 20,3%) [131-134].
Суточные колебания уровня ВГД, а также его асимметрия между парными глазами у здоровых лиц, как правило, находятся в пределах 2-3 мм , и лишь в исключительно редких случаях достигают 4-6 мм Чем выше исходный средний уровень ВГД, тем выше могут быть суточные колебания офтальмотонуса [135,136].
Ортостатические колебания в норме редко превышают 4 мм , а при ПГ составляют от 5 до 13 мм [137-139].
Рекомендовано выполнять несколько последовательных измерений уровня ВГД. Их можно проводить дискретно, с перерывом в течение часов, дней или недели. Возможно использование специальных хронобиологических схем [140-143].
Мониторинг уровня ВГД необходим также при подборе местной гипотензивной терапии с учетом начала времени действия препарата, его максимального эффекта и действия периода вымывания, в случае назначения лечения [30, 144-147].
Измерение уровня ВГД необходимо проводить до выполнения гониоскопии и расширения зрачка [1-4].
Рекомендуется биомикроскопия всем пациентам для оценки состояния сред и структур глаза [1-4].
Уровень убедительности рекомендаций. С (уровень достоверности доказательств - 5).
Комментарий. Измерение глубины периферической части передней камеры по методу ван Херика является частью биомикроскопии и помогает ориентировочно определить степень закрытия/открытия УПК. В качестве дополнительных критериев при выполнении биомикроскопии следует учитывать: неравномерное сужение артериол и расширение венул, ампулообразное расширение сосудов, образование микроаневризм, повышение проницаемости капилляров, возникновение мелких геморрагий, появление зернистого тока крови при исследовании конъюнктивы; выявление асимметрии в изменениях переднего отрезка глаз, определение степени пигментации на эндотелии (например, веретено Крукенберга, характерного для пигментной глаукомы), отложения псевдоэксфолиаций по зрачковому краю радужной оболочки и на передней капсуле хрусталика, гетерохромии радужки, атрофии стромы и ее пигментной каймы [148,149].
Рекомендуется гониоскопия всем пациентам с ПГ с целью выявления степени открытия УПК и его патологических изменений [1-4].
Уровень убедительности рекомендаций. С (уровень достоверности доказательств - 5).
Комментарий. Гониоскопия позволяет провести оценку УПК; выявить признаки гониодисгенеза и пороков развития иридокорнеального угла; решить вопрос о возможности проведения лазерной операции на структурах УПК глаза и выполнить эти операции; обнаружить межокулярную асимметрию гониоскопической картины; определить места ретенции.
Гониоскопия - пространственная характеристика УПК, основанная на распознавании и описании его опознавательных зон и характеристик, включающих: биометрические параметры (высоту, профиль и ширину угла - пространство между эндотелием роговицы и корнем радужки); уровень прикрепления радужки; характер и степень пигментации зоны трабекулы и шлеммова канала; наличие синехий, псевдоэксфолиативного материала и иных депозитов.
С целью систематизации результатов гониоскопического исследования целесообразно использовать классификации van вeuningen, G. Spaeth или R. Shaffer [150, 151].
В дополнение к гониоскопии можно использовать ОКТ переднего сегмента с целью динамики изменений УПК, что не заменяет гониоскопию [152].
Исследование не показано пациентам с воспалительными процессами глазной поверхности, при травматическом повреждении глазного яблока, и не может быть выполнена корректно у пациентов с выраженными помутнениями роговицы, гифемой.
Рекомендуется биомикроскопия глазного дна или офтальмоскопия в условиях медикаментозного мидриаза всем пациентам с ПГ для оценки изменений ДЗН и сетчатки [1-4,122].
Уровень убедительности рекомендаций С (уровень достоверности доказательств - 5).
Комментарий. Офтальмоскопию проводят с помощью различных моделей офтальмоскопов, при проведении биомикроскопии глазного дна в условиях медикаментозного мидриаза используют бесконтактные линзы для непрямой офтальмоскопии глазного дна (для получения стереоскопического изображения). При офтальмоскопии необходимо проводить количественную и качественную характеристику параметров.
Качественные характеристики:
• НРП. Для определения характеристик НРП рекомендуется использовать правило ISNT (Inferior - нижний, Superior - верхний, Nasalis - назальный, Temporalis - темпоральный). В глазах с начальными или умеренно выраженными глаукомными повреждениями, потеря ткани НРП наблюдается преимущественно в нижне- и верхневисочных секторах ДЗН. При оценке НРП правило ISNT можно использовать только для стандартных размеров ДЗН; при больших и малых размерах, а также при миопии с косым вхождением оценка НРП затруднена и требует исследования в динамике для выявления прогрессирования заболевания. Чувствительность и специфичность метода не превышает 80% [153-155].
• СНВС. Локальное или диффузное истончение (дефекты), которые лучше визуализируются в бескрасном свете.
• кровоизлияние в зоне ДЗН - наличие.
• перипапиллярная атрофия - наличие и площадь.
Количественные характеристики:
• ДЗН (размер и форма, малый, средний, большой).
• экскавации (размер и форма).
• отношение максимального размера экскавации к диаметру диска зрительного нерва (Э/Д).
При исследовании глазного дна также следует обращать внимание на: размер и форму ДЗН; размер, форму и степень побледнения (розовый или деколорирован) НРП; размер экскавации относительно размера ДЗН, конфигурацию (характер височного края: пологий, крутой, подрытый) и глубину экскавации (мелкая, средняя, глубокая); показатель Э/Д; степень выраженности перипапиллярной хориоретинальной атрофии; расположение сосудистого пучка и связанные с этим симптомы «прокола» («штыка») и запустевание т.н. опоясывающего сосуда ДЗН; кровоизлияния на ДЗН; диаметр артериол сетчатки и состояние СНВС [156-159].
Характерные изменения ДЗН и СНВС представлены в разделе 1,6.
Рекомендуется компьютерная периметрия всем пациентам с ПГ с целью определения функциональных изменений и их мониторинга [125,160-162].
Уровень убедительности рекомендаций A (уровень достоверности доказательств - 1).
Комментарий: Пороговая периметрия центрального поля зрения (100, 240 и 300) «белое-на-белом» является предпочтительным методом раннего выявления дефектов поля зрения [160-162]. Возможен иной вариант периметрии (кинетическая, кампиметрия) исходя из оснащения оборудованием, согласно Стандарта оснащения офтальмологического кабинета, предусмотренному «Порядком оказания медицинской помощи взрослому населению при заболеваниях глаза, его придаточного аппарата и орбиты» (Приказ Министерства здравоохранения РФ от 12,11,2012г. №902н).
Для оценки результатов САП используют различные индексы, такие как средний дефект или среднее отклонение (MD), очаговые дефекты (PSD, LV), а также разные диагностические тесты, подтверждающие результаты компьютерного анализа прогрессирования при исследовании в динамике. САП трудно воспроизводима у пациентов с низкой остротой зрения и сниженным интеллектом. Целесообразно учитывать степень выраженности асимметрии приведенных выше параметров для постановки диагноза. Частота проведения периметрии при ПГ представлена в разделе 5.
При динамическом наблюдении рекомендуется использовать один базовый метод периметрии для корректного сравнения полученных результатов.
2,5 Иные диагностические исследования.
При отсутствии убедительных данных для постановки диагноза или определения прогрессирования заболевания, возможно выполнение ряда дополнительных (уточняющих) методов исследований, проведение которых возможно в условиях офтальмологического кабинета (консультативно-диагностического отделения), офтальмологического отделения или Центра медицинского офтальмологического [1-7, 122].Структурные и функциональные методики (тесты) непрерывно совершенствуются, становясь все более чувствительными к самым ранним изменениям. Разрыв между наблюдаемыми функциональными потерями и предшествующими им структурными изменениями, с точки зрения сопоставления этих двух видов стратегии наблюдения - неуклонно уменьшается. Структурные изменения превалируют в начале болезни, в частности при ПГ или при начальной стадии ПОУГ.
Рекомендуется кератопахиметрия всем пациентам с ПГ с целью уточнения результатов тонометрических исследований, а также для выявления одного из факторов риска [1-4, 121, 122].
Уровень убедительности рекомендаций. С (уровень достоверности доказательств - 5).
Комментарий: Распределение показателя ЦТР в норме во взрослой популяции составляет 473-597 мкм (среднее - 540±30 мкм). Значительные отклонения от средних значений ЦТР (±50 мкм) могут оказывать влияние на результаты тонометрии. На сегодняшний день не достигнуто согласие относительно применения алгоритмов коррекции показателей тонометрии по данным ЦТР. Целесообразно проводить деление роговиц на тонкие (481-520 мкм), средние (521-560 мкм) и толстые (>561 мкм), и учитывать связанный с этим риск [121, 163-167].
Рекомендуется оптическое исследование головки зрительного нерва и слоя нервных волокон с помощью компьютерного анализатора (оптическая когерентная томография, ОКТ) пациентам при подозрении на глаукому на этапе диагностики и в ходе регулярного мониторинга с целью выявления количественных изменений ДЗН и сетчатки [122,168].
Уровень убедительности рекомендаций A (уровень достоверности доказательств - 1).
Комментарии. Данные, полученные при помощи ОКТ, не следует трактовать как окончательный диагноз. Это статистические данные, результаты сравнения показателей пациента с нормативной базой данных прибора. Полученные результаты необходимо сопоставлять с клинической картиной во избежание ложных выводов, особенно, в случае нестандартных вариантов ДЗН, показатели которых отсутствуют в базе. Ключевое значение при проведении ОКТ имеет первое исследование, важно его высокое качество, так как оценка прогрессирования в дальнейшем проводится при сравнении с исходным изображением. Частота проведения ОКТ при ПГ представлена в разделе 5.
Метод может также может быть использован для динамического наблюдения в комплексе с данными периметрического исследования [168].
Рекомендуется электроретинография пациентам в случае необходимости дифференциальной диагностики и углубленного анализа функциональных нарушений с целью оценки электрической активности сетчатки [1-7,169].
Уровень убедительности рекомендаций С (уровень достоверности доказательств - 5).
Комментарии. Решение о назначении дополнительных методов исследования принимает врач по результатам базового обследования. Наибольшей специфичностью и чувствительностью при глаукоме обладает ПЭРГ, которая отражает активность самих ганглиозных клеток и может выступать в качестве предиктора структурных изменений сетчатки. Для оценки функционального состояния макулярной зоны сетчатки принимают во внимание компонент ПЭРГ Р50, для оценки функционального состояния зрительного нерва ‒ компонент ПЭРГ N95.
Для верификации диагноза и дифференциальной диагностики ПГ возможно применение других дополнительных методов обследования: тонография, нагрузочно-разгрузочные пробы для исследования регуляции уровня ВГД [1, 73, 170-171].
|
|
Лечение
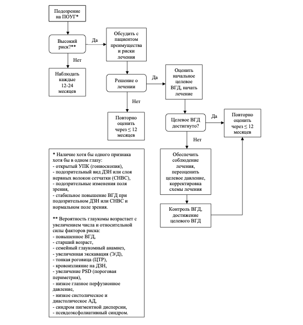
Рекомендуется снижение уровня ВГД пациентам с ПГ, сопровождающимся ОГ и/или при наличии других факторов риска, с целью предотвращения развития ПОУГ [1-7, 30,31, 38, 172-176].
Уровень убедительности рекомендаций в (уровень достоверности доказательств - 2).
Комментарий. Цель лечения ПГ на фоне ОГ заключается в поддержании уровня ВГД в диапазоне, при котором не будет отмечаться потери зрительных функций, а само лечение не будет сопряжено с побочными эффектами, влияющими на качество жизни пациента в течение его жизни. Лечение не назначается при отсутствии известных факторов риска развития и прогрессирования глаукомы [177].
Большинству пациентов с ОГ, не требуется лечение, более чем у 90% пациентов, не получавших лечение, не происходит переход ОГ в глаукому в течение 5 лет наблюдения. Риски и преимущества лечения должны быть сопоставлены с риском глаукомного повреждения ДЗН. Показания для назначения лечения являются относительными, решаются индивидуально и базируются на учете и анализе факторов риска [178-182]. Лечение назначается при обнаружении прогрессирования изменений ДЗН, СНВС, ПЗ или развитии ПОУГ [31].
Преимущества и риски применения каждого из методов лечения должны быть обсуждены с пациентом. Следует стремиться к использованию пациентом минимального количества ЛС с возможностью патогенетически обоснованного выбора препаратов, основываясь, в первую очередь, на данных их клинической эффективности [1-7, 183].
Продолжительное применение ЛС приводит к снижению их гипотензивного эффекта, что требует своевременной коррекции проводимой терапии, например, при выявлении признаков субкомпенсации офтальмотонуса [173, 183-186].
До назначения лечения следует определить предполагаемый уровень «целевого» давления с учетом исходных значений офтальмотонуса, наличия дополнительных факторов риска. Целевое» давление не может быть определено с какой-либо достоверностью у конкретного пациента, не существует утвержденного алгоритма для его установления, однако это не отрицает его применения в клинической практике [1-7, 121, 122]. Используется стратегия определения «целевого» давления, основанная на процентном снижении офтальмотонуса от исходного [1-7]. Основываясь на результатах Исследования по лечению офтальмогипертензии (Ocular Hypertension Treatment Study, OHTS) необходимо стремиться к снижению уровня ВГД не менее чем на 20% от исходного уровня [30, 31].
Уровень убедительности рекомендаций. с (уровень достоверности доказательств -5).
Комментарии. Лечение назначается при прогрессировании изменений ДЗН, СНВС, ПЗ, а также при наличии у пациента дополнительных факторов риска [31].
Хотя лазерное и хирургическое лечение могут эффективно уменьшить ВГД, лечение с помощью гипотензивных глазных капель остается во всем мире предпочтительным стартовым лечением из-за его благоприятного профиля риска и пользы. При выборе гипотензивного препарата необходимо учитывать его эффективность, возможные побочные эффекты, схему дозирования, необходимый процент снижения ВГД от исходного уровня, потенциальную стоимость, доступность [1-7, 183].
Рекомендуется назначить монотерапию пациентам с ОГ и ПГ при наличии дополнительных факторов риска в качестве стартовой терапии для снижения уровня ВГД [1-7, 187, 188].
Уровень убедительности рекомендаций. в (уровень достоверности доказательств - 1).
Комментарий. В качестве препаратов первого выбора используются аналоги простагландинов, бета-адреноблокаторы, ингибиторы карбоангидразы, симпатомиметики для лечения глаукомы. Максимальной гипотензивной активностью обладают аналоги простагландинов. Препараты других фармакологических групп (ингибиторы карбоангидразы, симпатомиметики для лечения глаукомы) в качестве препаратов стартовой терапии применяют реже из-за их меньшей гипотензивной эффективности [187-191].
Применение антиглаукомных препаратов сопряжено с наличием противопоказаний и побочных эффектов, которые следует принимать во внимание при выборе группы ЛС. Основные фармакологические группы гипотензивных препаратов и механизм их действия представлены в таблице 1.
Таблица 1. Основные фармакологические группы гипотензивных антиглаукомных препаратов и механизм их действия.
** относится к ЛС из Перечня жизненно необходимых и важнейших лекарственных препаратов для медицинского применения на 2021 год.
Не рекомендуется применение местных неселективных бета-адреноблокаторов у пациентов с системными противопоказаниями (сердечно-сосудистые и бронхо-легочные заболевания, в частности аритмии, ишемическая болезнь сердца, артериальная гипертензия, хроническая обструктивная болезнь легких, бронхиальная астма), и/или получающих бета-адреноблокаторы перорально для исключения возможного суммирования неблагоприятных эффектов, развития системных побочных осложнений и снижения гипотензивного эффекта терапии [183,192].
Уровень убедительности рекомендаций. с (уровень достоверности доказательств - 5).
Рекомендуются противоглаукомные препараты, не содержащие консерванты, пациентам с подозрением на глаукому в сочетании с заболеваниями тканей глазной поверхности, дисфункцией мейбомиевых желез и хроническими аллергическими реакциями в качестве препаратов стартовой терапии с целью снижения уровня ВГД [193-197].
Уровень убедительности рекомендаций. в (уровень достоверности доказательств - 1).
Рекомендуется перевод пациента на препарат монотерапии из другой фармакологической группы в случаях:
❏ неудовлетворительной переносимости ЛС стартовой терапии;
❏ при хорошей его переносимости, но при отсутствии достижения «целевого» уровня офтальмотонуса [1-7].
Уровень убедительности рекомендаций. С (уровень достоверности доказательств - 5).
Комментарий. При использовании в качестве стартовой терапии аналогов простагландинов возможна замена ЛС в рамках данной группы, а перевод на препарат другой фармакологической группы нецелесообразен [1-7, 189, 190, 192, 198].
Рекомендуется добавить второе ЛС/назначить комбинированный препарат пациентам с ОГ и ПГ при неэффективности монотерапии для достижения давления цели [199-201].
Уровень убедительности рекомендаций A (уровень достоверности доказательств - 1).
Комментарий. Целесообразно комбинировать препараты с различным механизмом действия - улучшающие отток и снижающие секрецию ВГЖ. Для повышения гипотензивной эффективности и приверженности пациентов к проведению медикаментозного лечения глаукомы применяют препараты в виде фиксированных комбинированных форм, содержащие вещества, которые, имея различный механизм гипотензивного действия, при комбинации обладают аддитивным эффектом (таблица 2). Необходимо избегать назначения ЛС, относящихся к одной и той же фармакологической группе (например, нельзя комбинировать два разных бета-адреноблокатора или два аналога простагландинов) [1-7,192].
Таблица 2. Фиксированные комбинации антиглаукомных препаратов.
Рекомендуется усилить фиксированную комбинацию дополнительным препаратом и рассмотреть возможность выполнения лазерного вмешательства пациентам с ОГ и ПГ в случае, если понижение уровня ВГД не достигнуто [1-7, 183].
Уровень убедительности рекомендаций с (уровень достоверности доказательств - 5).
Комментарий. Возможна замена компонентов антиглаукомных комбинаций в случае отсутствия достижения «целевого» уровня ВГД. Применение более 3 (трех) лекарственных средств одновременно не рекомендовано. Увеличение кратности инстилляций антиглаукомных гипотензивных препаратов приводит к снижению приверженности к выполнению назначений, уменьшению эффективности и увеличению числа побочных эффектов [202].
Прекращение лечения у пациентов с OГ или ПГ возможно при стабилизации ситуации на фоне длительной терапии при наличии приемлемого уровня ВГД и низкого риска развития нарушений зрения в течение предполагаемой продолжительности жизни пациента. При прекращении лечения целесообразен контроль уровня ВГД, состояния поля зрения и зрительного нерва с дальнейшей переоценкой, если это клинически показано [203].
Рекомендуется коррекция местной гипотензивной терапии беременным /кормящим пациенткам ПГ и ОГ для достижения давления «цели» с учетом оценки риска тератогенного воздействия препаратов на плод, течение беременности и на новорожденного в период лактации [2, 183, 204, 205].
Уровень убедительности рекомендаций С (уровень достоверности доказательств - 5).
Комментарий. Ни один из антиглаукомных препаратов не классифицирован как безопасный или полностью противопоказанный при беременности. препараты для местного лечения ПГ и ОГ назначаются лишь в том случае, если потенциальная польза лечения оправдывает потенциальный риск для плода. Основные принципы назначения ЛС: использовать минимальное количество препаратов, достаточное для достижения давления цели, обсудить лечение с врачом-акушером-гинекологом и врачом-педиатром, уменьшить системное всасывание препарата (при легком нажатии пациентом на область внутреннего угла глаза или применении окклюдоров). Наиболее чувствительным периодом является первый триместр беременности из-за возможного тератогенного воздействия на плод систематически применяемых гипотензивных препаратов. Учитывая возможное снижение ВГД в период беременности у некоторых пациенток, может рассматриваться временное прекращение местного гипотензивного лечения в условиях тщательного наблюдения. В период беременности возможно назначение бета-адреноблокаторов, симпатомиметиков, и / или ингибиторы карбоангидразы. Аналоги простагландинов следует использовать с осторожностью по причине влияния на тонус матки. Поэтому при появлении признаков гипертонуса матки необходимо прекратить их применение. На 9-м месяце беременности бета-адреноблокаторы и симпатомиметики следует отменить во избежание осложнений у новорожденного [2, 204, 205]. Использование местных ингибиторов карбоангидразы может быть продолжено. В период лактации предпочтительнее назначать ингибиторы карбоангидразы в каплях и аналоги простагландинов [2, 204, 205]. Лазерная трабекулопластика может быть стартовым или дополнительным вмешательством у беременных и кормящих женщин [183, 204, 205].
❏ лазерная трабекулопластика (ЛТП);
❏ селективная лазерная трабекулопластика (СЛТ);
❏ гидродинамическая активация оттока (лазергониотрабекулопунктура);
❏ YAG-лазерная активация трабекулы.
❏ лазерная иридэктомия у лиц с закрытым и/или узким УПК (20 и менее градусов).
Преимуществами лазерных вмешательств являются:
❏ малая травматичность процедур;
❏ отсутствие серьезных интра- и послеоперационных осложнений;
❏ возможность выполнения вмешательства в амбулаторных условиях;
❏ возможность проведения повторных лазерных вмешательств при снижении гипотензивного эффекта в отдаленном послеоперационном периоде.
Рекомендуется проведение лазерной трабекулопластики (ЛТП) пациентам с ПГ и ОГ как альтернативная стратегия медикаментозной терапии; при неэффективности гипотензивной медикаментозной терапии; необходимости оптимизации гипотензивного режима (с целью уменьшения числа используемых гипотензивных препаратов); при наличии системных и местных нежелательных явлений, вызванных гипотензивными препаратами, и противопоказаний к их применению; при потенциальном несоблюдении медикаментозного режима [206-209].
Уровень убедительности рекомендаций. В (Уровень достоверности доказательств - 2).
Комментарии. Ожидаемое среднее снижение уровня ВГД может составить 20-25% (6-9 мм ). Гипотензивный эффект ЛТП оценивается через 1-2 месяца после процедуры. Характерна низкая эффективность повторных процедур ЛТП. Эффективность снижения уровня ВГД сопоставима разных видов лазерных операций (аргоновой/диодной и селективной лазерной трабекулопластики), но инвазивность СЛТ и частота осложнений при этом типе операции отмечается значительно ниже [208]. Повторная ЛТП возможна через 1 год, если эффект от первой процедуры был продолжительным и достаточным для снижения ВГД [206, 210-212]. Выполнение СЛТ целесообразно при выраженной степени пигментации трабекулы (II-IV), отмечена сопоставимая с первичной операцией эффективность повторных процедур [210-212].
Необходим контроль ВГД через 30 минут и 2 часа после выполнения ЛТП пациентам с ОГ для определения степени выраженности реактивной гипертензии, величина которой может составлять более 10 мм [209]. Назначение местной противовоспалительной терапии в течение 4-7 дней после ЛТП уменьшает вероятность послеоперационных осложнений (реактивной гипертензии, посткоагуляционного увеита, периферических гониосинехий) [2].
Как альтернатива ЛТП и СЛТ предложены YAG-лазерная активация трабекулы, лазергониотрабекулопунктура и гидродинамическая активация оттока, которые проводятся как при выраженной, так и при слабой степени пигментации структур дренажной зоны УПК [213].
Уровень убедительности рекомендаций С (уровень достоверности доказательств - 5).
До настоящего времени не проведено надежных клинических исследований, подтверждающих эффективность диетотерапии и применения биологически активных добавок к пище при ПГ [214, 215]. Альтернативные стратегии лечения ПГ (нейропротекция) являются предметом исследований и обсуждений [216-220].
Уровень убедительности рекомендаций в (уровень достоверности доказательств - 2).
Комментарий. Цель лечения ПГ на фоне ОГ заключается в поддержании уровня ВГД в диапазоне, при котором не будет отмечаться потери зрительных функций, а само лечение не будет сопряжено с побочными эффектами, влияющими на качество жизни пациента в течение его жизни. Лечение не назначается при отсутствии известных факторов риска развития и прогрессирования глаукомы [177].
Большинству пациентов с ОГ, не требуется лечение, более чем у 90% пациентов, не получавших лечение, не происходит переход ОГ в глаукому в течение 5 лет наблюдения. Риски и преимущества лечения должны быть сопоставлены с риском глаукомного повреждения ДЗН. Показания для назначения лечения являются относительными, решаются индивидуально и базируются на учете и анализе факторов риска [178-182]. Лечение назначается при обнаружении прогрессирования изменений ДЗН, СНВС, ПЗ или развитии ПОУГ [31].
Преимущества и риски применения каждого из методов лечения должны быть обсуждены с пациентом. Следует стремиться к использованию пациентом минимального количества ЛС с возможностью патогенетически обоснованного выбора препаратов, основываясь, в первую очередь, на данных их клинической эффективности [1-7, 183].
Продолжительное применение ЛС приводит к снижению их гипотензивного эффекта, что требует своевременной коррекции проводимой терапии, например, при выявлении признаков субкомпенсации офтальмотонуса [173, 183-186].
До назначения лечения следует определить предполагаемый уровень «целевого» давления с учетом исходных значений офтальмотонуса, наличия дополнительных факторов риска. Целевое» давление не может быть определено с какой-либо достоверностью у конкретного пациента, не существует утвержденного алгоритма для его установления, однако это не отрицает его применения в клинической практике [1-7, 121, 122]. Используется стратегия определения «целевого» давления, основанная на процентном снижении офтальмотонуса от исходного [1-7]. Основываясь на результатах Исследования по лечению офтальмогипертензии (Ocular Hypertension Treatment Study, OHTS) необходимо стремиться к снижению уровня ВГД не менее чем на 20% от исходного уровня [30, 31].
3,1 Медикаментозное лечение.
Рекомендуется назначить местную гипотензивную терапию пациентам при наличии ОГ и ПГ на основании данных мониторинга состояния ДЗН, слоя СНВС и поля зрения [1-7, 183].Уровень убедительности рекомендаций. с (уровень достоверности доказательств -5).
Комментарии. Лечение назначается при прогрессировании изменений ДЗН, СНВС, ПЗ, а также при наличии у пациента дополнительных факторов риска [31].
Хотя лазерное и хирургическое лечение могут эффективно уменьшить ВГД, лечение с помощью гипотензивных глазных капель остается во всем мире предпочтительным стартовым лечением из-за его благоприятного профиля риска и пользы. При выборе гипотензивного препарата необходимо учитывать его эффективность, возможные побочные эффекты, схему дозирования, необходимый процент снижения ВГД от исходного уровня, потенциальную стоимость, доступность [1-7, 183].
Рекомендуется назначить монотерапию пациентам с ОГ и ПГ при наличии дополнительных факторов риска в качестве стартовой терапии для снижения уровня ВГД [1-7, 187, 188].
Уровень убедительности рекомендаций. в (уровень достоверности доказательств - 1).
Комментарий. В качестве препаратов первого выбора используются аналоги простагландинов, бета-адреноблокаторы, ингибиторы карбоангидразы, симпатомиметики для лечения глаукомы. Максимальной гипотензивной активностью обладают аналоги простагландинов. Препараты других фармакологических групп (ингибиторы карбоангидразы, симпатомиметики для лечения глаукомы) в качестве препаратов стартовой терапии применяют реже из-за их меньшей гипотензивной эффективности [187-191].
Применение антиглаукомных препаратов сопряжено с наличием противопоказаний и побочных эффектов, которые следует принимать во внимание при выборе группы ЛС. Основные фармакологические группы гипотензивных препаратов и механизм их действия представлены в таблице 1.
Таблица 1. Основные фармакологические группы гипотензивных антиглаукомных препаратов и механизм их действия.
| Фармакологическая группа (в соответствии с АТХ-классификацией) | МНН | Форма выпуска, упаковка | Снижение уровня ВГД, % | Противопоказания | Побочные эффекты |
| Улучшающие отток внутриглазной жидкости | |||||
| Аналоги простагландинов | Латанопрост 0,005% | Капли глазные по 2,5 мл во флаконах-капельницах | 25-35 | Повышенная чувствительность к компонентам препарата | Со стороны органа зрения: гиперемия конъюнктивы, жжение, покалывание, ощущение инородного тела, зуд, увеличение пигментации кожи вокруг глаз, изменение ресниц, дистихиаз, фотофобия. Увеличение пигментации радужной оболочки (зелено-коричневой, голубой/серо-коричневой или желто-коричневой радужки), псевдопемфигоид конъюнктивы, киста радужной оболочки, эрозия роговицы, отек роговицы, редко ирит, увеит, отек макулы Очень редко атрофия периорбитальной жировой ткани, Системные: одышка, боль в груди/ стенокардия, боль в мышцах, обострение бронхиальной астмы; со стороны кожи: сыпь, кожный зуд, со стороны опорно-двигательной системы: миалгия, артралгия. |
| Тафлупрост** 0,0015% | Монодозы по 0,3 мл в тюбиках-капельницах, 30 шт., либо флакон 2,5 мл | 25-35 | |||
| Травопрост 0,004% | Капли глазные по 2,5 мл во флаконах-капельницах | 25-35 | |||
| Биматопрост 0,03% | Капли глазные по 2,5 мл во флаконах-капельницах | 25-35 | |||
| Снижающие продукцию внутриглазной жидкости | |||||
| Бета-адреноблока- торы | Тимолол** 0,25%, 0,5% Тимолол** 0,1% | Капли глазные по 5-10 мл во флаконах-капельницах; Гель глазной по 5 г во флаконе-капельнице | 20-25 | Повышенная чувствительность к компонентам препарата, Системные: бронхиальная астма,хроническая обструктивная болезнь легких, синусовая брадикардия (<60 ударов/минута), острая и хроническая сердечная недостаточность, A/V блокада II-III степени, синоатриальная блокада, синдром слабости синусного узла. Местные: дистрофические заболевания роговицы, тяжелые аллергические воспаления слизистой оболочки носа. Также противопоказанием является кормление грудью, ранний детский возраст. новорожденные дети | Местные: жжение и зуд в глазах, слезотечение, гиперемия конъюнктивы, поверхностный кератит, сухость глаз, гипестезия роговицы, аллергический блефароконъюнктивит Системные: брадикардия, аритмия, сердечная недостаточность, коллапс, A/Vблокада, снижение АД, преходящие нарушения мозгового кровообращения, одышка, бронхоспазм, легочная недостаточность, головная боль, головокружение, слабость, периферические отеки, гипогликемия, может маскироваться при инсулин зависимом сахарном диабете, ночная системная артериальная гипотензия, депрессия, половая дисфункция |
| Бетаксолол 0,25%, 0,5% | Капли глазные по 5 мл во флаконах-капельницах | ±20 | Повышенная чувствительность к компонентам препарата, Системные: тяжелая обструктивная дыхательная недостаточность, синусовая брадикардия (<60 ударов/минута), острая и хроническая сердечная недостаточность, A/V блокада II-III степени, синоатриальная блокада, синдром слабости синусного узла. | Местные: жжение, покалывание, более выраженное чем при использовании неселективных препаратов Системные: респираторные и кардиальные побочные эффекты менее выражены, чем при использовании неселективных препаратов, депрессия, эректильная дисфункция. | |
| Ингибиторы карбоангидразы | Бринзоламид 1% | Суспензия глазная по 5 мл во флаконах-капельницах | 20 | повышенная чувствительность к действующему веществу или любому из вспомогательных веществ; известная чувствительность к сульфонамидам; тяжелая почечная недостаточность; гиперхлоремический ацидоз | Со стороны органа зрения: 5-10% - затуманивание зрения; 1-5% - блефарит, кератит, сухость глаз, гиперемия, ощущение инородного тела в глазу, выделения из глаз, дискомфорт, боль, зуд глаз; <1% - конъюнктивит, кератоконъюнктивит, кератопатия, начальные симптомы блефарита (слипание век или корочки на краях век), слезотечение, диплопия, астенопия. Со стороны пищеварительной системы: 5-10% - горький, кислый или необычный вкус во рту; <1% - сухость во рту, диспепсия, тошнота, диарея. Со стороны дыхательной системы: 1-5% - ринит; <1% - одышка, фарингит. Со стороны сердечно-сосудистой системы: <1% - боль в груди, гипертензия. Со стороны мочевыделительной системы: <1% - боль в почках. Аллергические реакции: <1% - крапивница. Прочие: 1-5% - головная боль, дерматит; <1% - алопеция, головокружение. |
| Дорзоламид** 2% | Капли глазные по 5-10 мл во флаконах-капельницах | 20 | Хроническая почечная недостаточность (КК менее 30 мл/мин); гиперхлоремический ацидоз; детский и подростковый возраст до 18 лет; беременность; период лактации (грудного вскармливания); одновременный пероральный прием ингибиторов карбоангидразы; повышенная чувствительность к какому-либо компоненту препарата. С осторожностью назначают препарат при сахарном диабете, печеночной недостаточности, заболеваниях роговицы, применении у пациентов после антиглаукоматозных операций (риск гипотонии глаза, отслойки сетчатки). Дорзоламид 2% - противопоказан к назначению при беременности, в периоде лактации и у новорожденных в возрасте менее 1 недели | Системные: горечь во рту, тошнота, головная боль, астения, нефроуролитиаз, злокачественная экссудативная эритема (синдром Стивенса-Джонсона), токсический эпидермальный некролиз (синдром Лайелла), агранулоцитоз, апластическая анемия, кожные высыпания. Местные: жжение, парестезии, зуд в глазах, слезотечение, нечеткость зрительного восприятия, раздражение и отек век, конъюнктивит, поверхностный точечный кератит, блефарит, фотофобия; редко - иридоциклит, увеличение толщины роговицы, аллергические реакции, гипотония глаза, отслойка сетчатки у пациентов после антиглаукоматозных операций | |
| Улучшающие отток и снижающие продукцию внутриглазной жидкости | |||||
| Симпатомиметики | Бримонидин 0,15%; 0,2% | Капли глазные по 5-10 мл во флаконах-капельницах | 18-25 | Повышенная чувствительность к компонентам препарата, сопутствующее лечение ингибиторами моноаминоксидазы (МАО) для приема внутрь Детский возраст до 2 х лет Очень низкая масса тела у взрослых до 20 кг. Период кормления грудью | Местные: аллергический блефароконъюнктивит, гиперемия конъюнктивы, зуд, жжение, отек конъюнктивы, фотосесибилизация, кровоизлияние в конъюнктиву, слезотечение, слизистое отделяемое из глаз, сухость и раздражение глаз, кератит, кератопатия, выпадение полей зрения, кровоизлияния в стекловидное тело, плавающие помутнения в стекловидное тело, снижение остроты зрения, эрозия роговицы, ячмень, контактный дерматит. Системные: головная боль, общая слабость, сонливость, головокружение, бессонница, колебания АД, бронхит, кашель, одышка, сухость слизистой оболочки носа, апноэ, сыпь, диспепсия, сухость слизистой оболочки полости рта, гриппоподобный синдром, гиперхолестеринемия, общие аллергические реакции, астения, утомляемость, извращение вкуса. |
** относится к ЛС из Перечня жизненно необходимых и важнейших лекарственных препаратов для медицинского применения на 2021 год.
Не рекомендуется применение местных неселективных бета-адреноблокаторов у пациентов с системными противопоказаниями (сердечно-сосудистые и бронхо-легочные заболевания, в частности аритмии, ишемическая болезнь сердца, артериальная гипертензия, хроническая обструктивная болезнь легких, бронхиальная астма), и/или получающих бета-адреноблокаторы перорально для исключения возможного суммирования неблагоприятных эффектов, развития системных побочных осложнений и снижения гипотензивного эффекта терапии [183,192].
Уровень убедительности рекомендаций. с (уровень достоверности доказательств - 5).
Рекомендуются противоглаукомные препараты, не содержащие консерванты, пациентам с подозрением на глаукому в сочетании с заболеваниями тканей глазной поверхности, дисфункцией мейбомиевых желез и хроническими аллергическими реакциями в качестве препаратов стартовой терапии с целью снижения уровня ВГД [193-197].
Уровень убедительности рекомендаций. в (уровень достоверности доказательств - 1).
Рекомендуется перевод пациента на препарат монотерапии из другой фармакологической группы в случаях:
❏ неудовлетворительной переносимости ЛС стартовой терапии;
❏ при хорошей его переносимости, но при отсутствии достижения «целевого» уровня офтальмотонуса [1-7].
Уровень убедительности рекомендаций. С (уровень достоверности доказательств - 5).
Комментарий. При использовании в качестве стартовой терапии аналогов простагландинов возможна замена ЛС в рамках данной группы, а перевод на препарат другой фармакологической группы нецелесообразен [1-7, 189, 190, 192, 198].
Рекомендуется добавить второе ЛС/назначить комбинированный препарат пациентам с ОГ и ПГ при неэффективности монотерапии для достижения давления цели [199-201].
Уровень убедительности рекомендаций A (уровень достоверности доказательств - 1).
Комментарий. Целесообразно комбинировать препараты с различным механизмом действия - улучшающие отток и снижающие секрецию ВГЖ. Для повышения гипотензивной эффективности и приверженности пациентов к проведению медикаментозного лечения глаукомы применяют препараты в виде фиксированных комбинированных форм, содержащие вещества, которые, имея различный механизм гипотензивного действия, при комбинации обладают аддитивным эффектом (таблица 2). Необходимо избегать назначения ЛС, относящихся к одной и той же фармакологической группе (например, нельзя комбинировать два разных бета-адреноблокатора или два аналога простагландинов) [1-7,192].
Таблица 2. Фиксированные комбинации антиглаукомных препаратов.
| Варианты фиксированных комбинаций | МНН | Форма выпуска, упаковка |
| Аналоги простагландинов и бета-адреноблокаторы | Латанопрост+ Тимолол | Капли глазные по 2,5 мл во флаконах-капельницах |
| Тимолол +Травопрост | Капли глазные по 2,5 мл во флаконах-капельницах | |
| Тафлупрост+Тимолол | Капли глазные по 0,3 мл в тюбиках-капельницах, 30 шт. | |
| Биматопрост +Тимолол | Капли глазные по 3 мл во флаконах-капельницах | |
| Симпатомиметики и Бета-адреноблокаторы | Бримонидин +Тимолол | Капли глазные по 5 мл во флаконах-капельницах |
| Ингибиторы карбоангидразы и Бета-адреноблокаторы | Бринзоламид +Тимолол | Капли глазные по 5 мл во флаконах-капельницах |
| Дорзоламид + Тимолол | Капли глазные по 5, 7 или 10 мл во флаконах-капельницах; Капли глазные по 0,4 мл в тюбиках-капельницах, 10, 20, 30, 60 или 90 шт. | |
| Симпатомиметики и Ингибиторы карбоангидразы | Бримонидин + Бринзоламид | Капли глазные по 5 мл во флаконах-капельницах |
Рекомендуется усилить фиксированную комбинацию дополнительным препаратом и рассмотреть возможность выполнения лазерного вмешательства пациентам с ОГ и ПГ в случае, если понижение уровня ВГД не достигнуто [1-7, 183].
Уровень убедительности рекомендаций с (уровень достоверности доказательств - 5).
Комментарий. Возможна замена компонентов антиглаукомных комбинаций в случае отсутствия достижения «целевого» уровня ВГД. Применение более 3 (трех) лекарственных средств одновременно не рекомендовано. Увеличение кратности инстилляций антиглаукомных гипотензивных препаратов приводит к снижению приверженности к выполнению назначений, уменьшению эффективности и увеличению числа побочных эффектов [202].
Прекращение лечения у пациентов с OГ или ПГ возможно при стабилизации ситуации на фоне длительной терапии при наличии приемлемого уровня ВГД и низкого риска развития нарушений зрения в течение предполагаемой продолжительности жизни пациента. При прекращении лечения целесообразен контроль уровня ВГД, состояния поля зрения и зрительного нерва с дальнейшей переоценкой, если это клинически показано [203].
Рекомендуется коррекция местной гипотензивной терапии беременным /кормящим пациенткам ПГ и ОГ для достижения давления «цели» с учетом оценки риска тератогенного воздействия препаратов на плод, течение беременности и на новорожденного в период лактации [2, 183, 204, 205].
Уровень убедительности рекомендаций С (уровень достоверности доказательств - 5).
Комментарий. Ни один из антиглаукомных препаратов не классифицирован как безопасный или полностью противопоказанный при беременности. препараты для местного лечения ПГ и ОГ назначаются лишь в том случае, если потенциальная польза лечения оправдывает потенциальный риск для плода. Основные принципы назначения ЛС: использовать минимальное количество препаратов, достаточное для достижения давления цели, обсудить лечение с врачом-акушером-гинекологом и врачом-педиатром, уменьшить системное всасывание препарата (при легком нажатии пациентом на область внутреннего угла глаза или применении окклюдоров). Наиболее чувствительным периодом является первый триместр беременности из-за возможного тератогенного воздействия на плод систематически применяемых гипотензивных препаратов. Учитывая возможное снижение ВГД в период беременности у некоторых пациенток, может рассматриваться временное прекращение местного гипотензивного лечения в условиях тщательного наблюдения. В период беременности возможно назначение бета-адреноблокаторов, симпатомиметиков, и / или ингибиторы карбоангидразы. Аналоги простагландинов следует использовать с осторожностью по причине влияния на тонус матки. Поэтому при появлении признаков гипертонуса матки необходимо прекратить их применение. На 9-м месяце беременности бета-адреноблокаторы и симпатомиметики следует отменить во избежание осложнений у новорожденного [2, 204, 205]. Использование местных ингибиторов карбоангидразы может быть продолжено. В период лактации предпочтительнее назначать ингибиторы карбоангидразы в каплях и аналоги простагландинов [2, 204, 205]. Лазерная трабекулопластика может быть стартовым или дополнительным вмешательством у беременных и кормящих женщин [183, 204, 205].
3,2 Лазерное лечение.
Лазерные вмешательства, используемые при лечении офтальмогипертензии направлены на восстановление оттока ВГЖ:❏ лазерная трабекулопластика (ЛТП);
❏ селективная лазерная трабекулопластика (СЛТ);
❏ гидродинамическая активация оттока (лазергониотрабекулопунктура);
❏ YAG-лазерная активация трабекулы.
❏ лазерная иридэктомия у лиц с закрытым и/или узким УПК (20 и менее градусов).
Преимуществами лазерных вмешательств являются:
❏ малая травматичность процедур;
❏ отсутствие серьезных интра- и послеоперационных осложнений;
❏ возможность выполнения вмешательства в амбулаторных условиях;
❏ возможность проведения повторных лазерных вмешательств при снижении гипотензивного эффекта в отдаленном послеоперационном периоде.
Рекомендуется проведение лазерной трабекулопластики (ЛТП) пациентам с ПГ и ОГ как альтернативная стратегия медикаментозной терапии; при неэффективности гипотензивной медикаментозной терапии; необходимости оптимизации гипотензивного режима (с целью уменьшения числа используемых гипотензивных препаратов); при наличии системных и местных нежелательных явлений, вызванных гипотензивными препаратами, и противопоказаний к их применению; при потенциальном несоблюдении медикаментозного режима [206-209].
Уровень убедительности рекомендаций. В (Уровень достоверности доказательств - 2).
Комментарии. Ожидаемое среднее снижение уровня ВГД может составить 20-25% (6-9 мм ). Гипотензивный эффект ЛТП оценивается через 1-2 месяца после процедуры. Характерна низкая эффективность повторных процедур ЛТП. Эффективность снижения уровня ВГД сопоставима разных видов лазерных операций (аргоновой/диодной и селективной лазерной трабекулопластики), но инвазивность СЛТ и частота осложнений при этом типе операции отмечается значительно ниже [208]. Повторная ЛТП возможна через 1 год, если эффект от первой процедуры был продолжительным и достаточным для снижения ВГД [206, 210-212]. Выполнение СЛТ целесообразно при выраженной степени пигментации трабекулы (II-IV), отмечена сопоставимая с первичной операцией эффективность повторных процедур [210-212].
Необходим контроль ВГД через 30 минут и 2 часа после выполнения ЛТП пациентам с ОГ для определения степени выраженности реактивной гипертензии, величина которой может составлять более 10 мм [209]. Назначение местной противовоспалительной терапии в течение 4-7 дней после ЛТП уменьшает вероятность послеоперационных осложнений (реактивной гипертензии, посткоагуляционного увеита, периферических гониосинехий) [2].
Как альтернатива ЛТП и СЛТ предложены YAG-лазерная активация трабекулы, лазергониотрабекулопунктура и гидродинамическая активация оттока, которые проводятся как при выраженной, так и при слабой степени пигментации структур дренажной зоны УПК [213].
3,3 Хирургическое лечение.
Не рекомендуется хирургическое лечение пациентам с ПГ [2, 122].Уровень убедительности рекомендаций С (уровень достоверности доказательств - 5).
3,4 Диетотерапия, обезболивание и другие методы лечения.
Специальной диеты при ПГ не существует. Методы обезболивания (инстилляции) применяются на этапе лазерного лечения ПГ, и не используются в качестве самостоятельной терапии.До настоящего времени не проведено надежных клинических исследований, подтверждающих эффективность диетотерапии и применения биологически активных добавок к пище при ПГ [214, 215]. Альтернативные стратегии лечения ПГ (нейропротекция) являются предметом исследований и обсуждений [216-220].
|
|
Реабилитация и амбулаторное лечение
Медицинская реабилитация и санаторно-курортное лечение пациентов с ПГ не разработаны.
Профилактика
Специфической профилактики ПГ не существует. Результаты исследований, касающиеся медицинской эффективности и экономической эффективности проведения скрининга, профилактики и диспансерного наблюдения противоречивы, и не могут носить рекомендательного характера [1,4].
Рекомендуется измерение уровня ВГД при первом прохождении профилактического медицинского осмотра, далее в возрасте 40 лет и старше 1 раз в год с целью раннего выявления ОГ и ПОУГ [221].
Уровень убедительности рекомендаций С (уровень достоверности доказательств - 5).
Комментарии. Первый этап диспансеризации (скрининг) проводится с целью выявления признаков ОГ и ПОУГ, факторов риска, особенно при отягощенном семейном анамнезе; определения медицинских показаний к выполнению дополнительных обследований и осмотров врачом-офтальмологом для уточнения диагноза глаукомы [1,221].
Рекомендуется осмотр (консультация) врачом-офтальмологом граждан в возрасте 40 лет и старше, имеющих повышенное ВГД, и граждан в возрасте 65 лет и старше, имеющих снижение остроты зрения, не поддающееся очковой коррекции, с целью раннего выявления ПГ и ПОУГ [221].
Уровень убедительности рекомендаций С (уровень достоверности доказательств - 5).
Рекомендуется диспансерное наблюдение за пациентами с ПГ с целью контроля уровня ВГД, динамики структурных и функциональных показателей, изменений в факторах риска развития ПОУГ, контроля выполнения намеченного плана лечения и выявления его неблагоприятных последствий [7, 222].
Уровень убедительности рекомендаций С (уровень достоверности доказательств - 5).
Комментарий. Решение о периодичности наблюдения и назначении дополнительных методов исследования принимает врач по результатам базового обследования. На сегодняшний день не достигнуто согласие относительно интервалов и финальных сроков наблюдения. Периодичность осмотров врачом-офтальмологом и объем исследований и манипуляций определяется индивидуально, но не реже 1 раза в год. Длительность наблюдения за пациентами с ПГ определяется индивидуально, но если через 3-5 лет не будет обнаружено никаких изменений морфофункциональных параметров глаза пациента, то дополнительное наблюдение следует прекратить и рекомендовать ежегодные осмотры врачом-офтальмологом в соответствии с Приказом Министерства здравоохранения России от 13 марта 2019 г. №124н «Об утверждении порядка проведения профилактического медицинского осмотра и диспансеризации определенных групп взрослого населения».
При выявлении признаков глаукомной оптической нейропатии по данным ОКТ и периметрии, во время диспансерного наблюдения за пациентами с подозрением на глаукому, устанавливается диагноз ПОУГ, и дальнейшее наблюдение и ведение пациентов проводится по клиническим рекомендациям «Глаукома первичная открытоугольная, H 40,1.
У пациентов с ПГ и ОГ, получающих медикаментозную терапию, определяют эффективность и любые побочные эффекты лечения; выявляют изменения и новые назначения других специалистов по системным показаниям, которые могут повлиять на динамику патологического процесса и эффективность лечения; контролируют правильность соблюдения пациентом режима гипотензивной терапию.
Каждый визит пациента сопровождается оценкой субъективного самочувствия больного, зрительных функций (трудности при вождении, темновая адаптация, проблемы с контрастной чувствительностью, чтением мелкого шрифта и оценкой расстояния до предметов), качества жизни и приверженности пациента к назначенному лечению. Переоценка факторов риска проводится при каждом посещении пациента.
Регулярный контроль за выполнением врачебных назначений позволяет повысить эффективность проводимых мероприятий.
Рекомендуется измерение уровня ВГД при первом прохождении профилактического медицинского осмотра, далее в возрасте 40 лет и старше 1 раз в год с целью раннего выявления ОГ и ПОУГ [221].
Уровень убедительности рекомендаций С (уровень достоверности доказательств - 5).
Комментарии. Первый этап диспансеризации (скрининг) проводится с целью выявления признаков ОГ и ПОУГ, факторов риска, особенно при отягощенном семейном анамнезе; определения медицинских показаний к выполнению дополнительных обследований и осмотров врачом-офтальмологом для уточнения диагноза глаукомы [1,221].
Рекомендуется осмотр (консультация) врачом-офтальмологом граждан в возрасте 40 лет и старше, имеющих повышенное ВГД, и граждан в возрасте 65 лет и старше, имеющих снижение остроты зрения, не поддающееся очковой коррекции, с целью раннего выявления ПГ и ПОУГ [221].
Уровень убедительности рекомендаций С (уровень достоверности доказательств - 5).
Рекомендуется диспансерное наблюдение за пациентами с ПГ с целью контроля уровня ВГД, динамики структурных и функциональных показателей, изменений в факторах риска развития ПОУГ, контроля выполнения намеченного плана лечения и выявления его неблагоприятных последствий [7, 222].
Уровень убедительности рекомендаций С (уровень достоверности доказательств - 5).
Комментарий. Решение о периодичности наблюдения и назначении дополнительных методов исследования принимает врач по результатам базового обследования. На сегодняшний день не достигнуто согласие относительно интервалов и финальных сроков наблюдения. Периодичность осмотров врачом-офтальмологом и объем исследований и манипуляций определяется индивидуально, но не реже 1 раза в год. Длительность наблюдения за пациентами с ПГ определяется индивидуально, но если через 3-5 лет не будет обнаружено никаких изменений морфофункциональных параметров глаза пациента, то дополнительное наблюдение следует прекратить и рекомендовать ежегодные осмотры врачом-офтальмологом в соответствии с Приказом Министерства здравоохранения России от 13 марта 2019 г. №124н «Об утверждении порядка проведения профилактического медицинского осмотра и диспансеризации определенных групп взрослого населения».
При выявлении признаков глаукомной оптической нейропатии по данным ОКТ и периметрии, во время диспансерного наблюдения за пациентами с подозрением на глаукому, устанавливается диагноз ПОУГ, и дальнейшее наблюдение и ведение пациентов проводится по клиническим рекомендациям «Глаукома первичная открытоугольная, H 40,1.
У пациентов с ПГ и ОГ, получающих медикаментозную терапию, определяют эффективность и любые побочные эффекты лечения; выявляют изменения и новые назначения других специалистов по системным показаниям, которые могут повлиять на динамику патологического процесса и эффективность лечения; контролируют правильность соблюдения пациентом режима гипотензивной терапию.
Каждый визит пациента сопровождается оценкой субъективного самочувствия больного, зрительных функций (трудности при вождении, темновая адаптация, проблемы с контрастной чувствительностью, чтением мелкого шрифта и оценкой расстояния до предметов), качества жизни и приверженности пациента к назначенному лечению. Переоценка факторов риска проводится при каждом посещении пациента.
Регулярный контроль за выполнением врачебных назначений позволяет повысить эффективность проводимых мероприятий.
Организация оказания медицинской помощи
Первичная специализированная медико-санитарная помощь при ПГ оказывается врачом-офтальмологом в поликлиническом отделении медицинской организации. Проведение лечения (лазерных вмешательств, медикаментозного консервативного или физиотерапевтического лечения) проводится в амбулаторных условиях, условиях дневного или круглосуточного стационара.
Показанием для госпитализации пациентов с ПГ в медицинскую организацию является:
Плановая:
❏ проведение углубленного обследования, медикаментозного и/или лазерного лечения (при невозможности их проведения в амбулаторных условиях и условиях дневного стационара).
Показания к выписке пациента из медицинской организации [1]:
❏ завершение одного из этапов оказания специализированной медицинской помощи, в условиях круглосуточного или дневного стационара при отсутствии осложнений лечения, требующих медикаментозной коррекции и/или медицинских вмешательств в стационарных условиях;
❏ отказ пациента или его законного представителя от специализированной медицинской помощи в условиях круглосуточного или дневного стационара, установленной консилиумом медицинской организации, при отсутствии осложнений основного заболевания и/или лечения, требующих медикаментозной коррекции и/или медицинских вмешательств в стационарных условиях;
❏ необходимость перевода пациента в другую медицинскую организацию по соответствующему профилю оказания медицинской помощи. Заключение о целесообразности перевода пациента в профильную медицинскую организацию составляется после предварительной консультации по предоставленным медицинским документам и/или предварительного осмотра пациента врачами специалистами медицинской организации, в которую планируется перевод.
Показанием для госпитализации пациентов с ПГ в медицинскую организацию является:
Плановая:
❏ проведение углубленного обследования, медикаментозного и/или лазерного лечения (при невозможности их проведения в амбулаторных условиях и условиях дневного стационара).
Показания к выписке пациента из медицинской организации [1]:
❏ завершение одного из этапов оказания специализированной медицинской помощи, в условиях круглосуточного или дневного стационара при отсутствии осложнений лечения, требующих медикаментозной коррекции и/или медицинских вмешательств в стационарных условиях;
❏ отказ пациента или его законного представителя от специализированной медицинской помощи в условиях круглосуточного или дневного стационара, установленной консилиумом медицинской организации, при отсутствии осложнений основного заболевания и/или лечения, требующих медикаментозной коррекции и/или медицинских вмешательств в стационарных условиях;
❏ необходимость перевода пациента в другую медицинскую организацию по соответствующему профилю оказания медицинской помощи. Заключение о целесообразности перевода пациента в профильную медицинскую организацию составляется после предварительной консультации по предоставленным медицинским документам и/или предварительного осмотра пациента врачами специалистами медицинской организации, в которую планируется перевод.
Дополнительно
Риск развития и прогрессирования заболевания выше у пациентов с ПГ, не соблюдающих режим инстилляций гипотензивных капель в случае наличия ОГ.
По данным эпидемиологических исследований, для людей пожилого возраста характерно сосуществование двух и более хронических заболеваний, требующее коррекции лечебно-диагностического процесса, проводимого в отношении каждой патологии.
Местные факторы, влияющие на исход заболевания.
При сочетании катаракты и ОГ возможно изменение тактики ведения. Установлено, что факоэмульсификация катаракты у пациентов с офтальмогипертензией снижает уровень ВГД на 4,1 мм при этом гипотензивный эффект сохраняется на протяжении не менее 36 месяцев [223, 224].
Кераторефракционные операции изменяют толщину, кривизну и биомеханические свойства роговицы, приводя к недостоверной оценке уровня ВГД [166, 225-226].
Миопия высокой степени часто затрудняет раннее выявление ПОУГ, поскольку глаукомные изменения ДЗН могут маскироваться особенностями диска зрительного нерва при миопии (миопическим конусом, косым входом (наклонным) ДЗН), а дефекты поля зрения и истончение слоя нервных волокон сетчатки неотличимы от тех, которые встречаются у пациентов с глаукомой. В связи с этим, целесообразно выполнять повторные диагностические исследования состояния ДЗН и СНВС. Также стоит помнить, что измененные биомеханические свойства роговицы миопического глаза приводят к недостоверной оценке уровня ВГД традиционными способами [227-230].
Системные факторы, влияющие на исход заболевания.
ПГ и глаукома часто сочетаются с рядом системных заболеваний, таких как гипертоническая болезнь, ишемическая болезнь сердца, сахарный диабет, болезни щитовидной железы, астма, дегенеративные заболевания центральной нервной системы и депрессия. Коморбидность (сочетание двух и более болезней у одного пациента) приводит к снижению качества жизни, самооценки здоровья, подвижности и функциональных возможностей, а также увеличению количества госпитализаций, использования ресурсов здравоохранения, смертности и затрат на лечение. Наличие множественных хронических состояний повышает сложность терапии как для медицинских работников, так и для пациентов и негативно влияет на результаты лечения. При этом риск побочных эффектов и вреда, который может быть вызван множеством факторов, включая взаимодействие между лекарственными средствами, возрастает с увеличением количества ЛС необходимых для лечения каждой из патологий пациента [231, 232].
Комментарий. ЛС, применяемые при различных нозологиях могут влиять на прогрессирование и развитие глаукомы. Так, кортикостероиды повышают уровень ВГД при любых путях введения у 25-33% пациентов, причем у 5% возможно увеличение уровня ВГД ≥32 мм , что несомненно увеличивает риски развития/ прогрессирования глаукомы. В то время как принимаемые перорально метформин**, бета-адреноблокаторы и статины снижают их [233, 234]. Одновременный прием бета-адреноблокаторов для местного и системного использования (часто назначаемых в качестве монотерапии у пациентов с глаукомой и сопутствующей сердечно-сосудистой патологией соответственно) приводит к значимому уменьшению гипотензивного эффекта местных ББ в сравнении с пациентами, не получающими ББ перорально. Кроме того, у данного контингента пациентов отмечаются значимо большие показатели систолического артериального давления и более высокие сосудистые риски [192].
По данным эпидемиологических исследований, для людей пожилого возраста характерно сосуществование двух и более хронических заболеваний, требующее коррекции лечебно-диагностического процесса, проводимого в отношении каждой патологии.
Местные факторы, влияющие на исход заболевания.
При сочетании катаракты и ОГ возможно изменение тактики ведения. Установлено, что факоэмульсификация катаракты у пациентов с офтальмогипертензией снижает уровень ВГД на 4,1 мм при этом гипотензивный эффект сохраняется на протяжении не менее 36 месяцев [223, 224].
Кераторефракционные операции изменяют толщину, кривизну и биомеханические свойства роговицы, приводя к недостоверной оценке уровня ВГД [166, 225-226].
Миопия высокой степени часто затрудняет раннее выявление ПОУГ, поскольку глаукомные изменения ДЗН могут маскироваться особенностями диска зрительного нерва при миопии (миопическим конусом, косым входом (наклонным) ДЗН), а дефекты поля зрения и истончение слоя нервных волокон сетчатки неотличимы от тех, которые встречаются у пациентов с глаукомой. В связи с этим, целесообразно выполнять повторные диагностические исследования состояния ДЗН и СНВС. Также стоит помнить, что измененные биомеханические свойства роговицы миопического глаза приводят к недостоверной оценке уровня ВГД традиционными способами [227-230].
Системные факторы, влияющие на исход заболевания.
ПГ и глаукома часто сочетаются с рядом системных заболеваний, таких как гипертоническая болезнь, ишемическая болезнь сердца, сахарный диабет, болезни щитовидной железы, астма, дегенеративные заболевания центральной нервной системы и депрессия. Коморбидность (сочетание двух и более болезней у одного пациента) приводит к снижению качества жизни, самооценки здоровья, подвижности и функциональных возможностей, а также увеличению количества госпитализаций, использования ресурсов здравоохранения, смертности и затрат на лечение. Наличие множественных хронических состояний повышает сложность терапии как для медицинских работников, так и для пациентов и негативно влияет на результаты лечения. При этом риск побочных эффектов и вреда, который может быть вызван множеством факторов, включая взаимодействие между лекарственными средствами, возрастает с увеличением количества ЛС необходимых для лечения каждой из патологий пациента [231, 232].
Комментарий. ЛС, применяемые при различных нозологиях могут влиять на прогрессирование и развитие глаукомы. Так, кортикостероиды повышают уровень ВГД при любых путях введения у 25-33% пациентов, причем у 5% возможно увеличение уровня ВГД ≥32 мм , что несомненно увеличивает риски развития/ прогрессирования глаукомы. В то время как принимаемые перорально метформин**, бета-адреноблокаторы и статины снижают их [233, 234]. Одновременный прием бета-адреноблокаторов для местного и системного использования (часто назначаемых в качестве монотерапии у пациентов с глаукомой и сопутствующей сердечно-сосудистой патологией соответственно) приводит к значимому уменьшению гипотензивного эффекта местных ББ в сравнении с пациентами, не получающими ББ перорально. Кроме того, у данного контингента пациентов отмечаются значимо большие показатели систолического артериального давления и более высокие сосудистые риски [192].
|
|
Критерии оценки качества медицинской помощи
Критерии качества применяются в целях оценки своевременности оказания медицинской помощи, правильности выбора методов профилактики, диагностики, лечения и реабилитации, степени достижения запланированного результата. Критерии качества применяются по группам заболеваний (состояний) и по условиям оказания медицинской помощи (в амбулаторных условиях, в условиях дневного стационара и стационарных условиях).
Таблица 3,1. Критерии оценки качества оказания амбулаторно-поликлинической медицинской помощи и уровни достоверности доказательств и убедительности рекомендаций.
1возможен иной вариант периметрии (кинетическая, кампиметрия) исходя из оснащения кабинета оборудованием, согласно Стандарту оснащения офтальмологического кабинета, предусмотренному «Порядком оказания медицинской помощи взрослому населению при заболеваниях глаза, его придаточного аппарата и орбиты» (Приказ Министерства здравоохранения РФ от 12,11,2012г. №902н).
2Частота исследований определяется динамикой заболевания (но не реже 1 раза в год).
Таблица 3,2. Критерии оценки качества оказания медицинской помощи в дневном стационаре и уровни достоверности доказательств и убедительности рекомендаций.
Таблица 3,3. Критерии оценки качества оказания медицинской помощи в круглосуточном стационаре и уровни достоверности доказательств и убедительности рекомендаций.
1исходя из оснащения оборудованием, в соответствии со Стандартом оснащения офтальмологического отделения/ Центра медицинского офтальмологического, предусмотренного «Порядком оказания медицинской помощи взрослому населению при заболеваниях глаза, его придаточного аппарата и орбиты» (Приказ Министерства здравоохранения РФ от 12,11,2012г. №902н).
Таблица 3,1. Критерии оценки качества оказания амбулаторно-поликлинической медицинской помощи и уровни достоверности доказательств и убедительности рекомендаций.
| № | Критерии качества | Оценка выполнения | Уровень достоверности доказательств | Уровень убедительности рекомендаций |
| 1. | Выполнена офтальмотонометрия | Да/Нет | 1 | А |
| 2. | Выполнена визометрия с максимальной коррекцией аметропии | Да/Нет | 3 | А |
| 3. | Выполнена компьютерная1 периметрия2 | Да/Нет | 2 | А |
| 4. | Выполнена биомикроскопия глазного дна или офтальмоскопия в условиях медикаментозного мидриаза | Да/Нет | 2 | А |
| 5. | Выполнена биомикроскопия глаза | Да/Нет | 3 | В |
| 6. | Выполнена гониоскопия1 | Да/Нет | 3 | В |
| 7. | Назначена местная гипотензивная терапия пациентам при наличии офтальмогипертензии и подозрении на глаукому (при решении о назначении) | Да/Нет | 1 | А |
1возможен иной вариант периметрии (кинетическая, кампиметрия) исходя из оснащения кабинета оборудованием, согласно Стандарту оснащения офтальмологического кабинета, предусмотренному «Порядком оказания медицинской помощи взрослому населению при заболеваниях глаза, его придаточного аппарата и орбиты» (Приказ Министерства здравоохранения РФ от 12,11,2012г. №902н).
2Частота исследований определяется динамикой заболевания (но не реже 1 раза в год).
Таблица 3,2. Критерии оценки качества оказания медицинской помощи в дневном стационаре и уровни достоверности доказательств и убедительности рекомендаций.
| № | Критерии качества | Оценка выполнения | Уровень достоверности доказательств | Уровень убедительности рекомендаций |
| 1. | Выполнена офтальмотонометрия | Да/Нет | 1 | А |
| 2. | Выполнена визометрия с максимальной коррекцией аметропии | Да/Нет | 3 | А |
| 3. | Выполнена компьютерная периметрия | Да/Нет | 2 | А |
| 4. | Выполнена биомикроскопия глазного дна или офтальмоскопия в условиях медикаментозного мидриаза | Да/Нет | 2 | А |
| 5. | Выполнена биомикроскопия глаза | Да/Нет | 3 | В |
| 6. | Выполнена гониоскопия | Да/Нет | 3 | В |
| 7. | Назначена местная гипотензивная терапия пациентам при наличии офтальмогипертензии и подозрении на глаукому (при решении о назначении) | Да/Нет | 1 | А |
| 8. | Выполнено лазерное вмешательство (при наличии показаний) | Да/Нет | 3 | В |
| 9. | Достигнуто снижение уровня внутриглазного давления на момент выписки из стационара | Да/Нет | 2 | А |
Таблица 3,3. Критерии оценки качества оказания медицинской помощи в круглосуточном стационаре и уровни достоверности доказательств и убедительности рекомендаций.
| № | Критерии качества | Оценка выполнения | Уровень достоверности доказательств | Уровень убедительности рекомендаций |
| 1. | Выполнена офтальмотонометрия | Да/Нет | 1 | А |
| 2. | Выполнена визометрия с максимальной коррекцией аметропии | Да/Нет | 3 | А |
| 3. | Выполнена компьютерная периметрия | Да/Нет | 2 | А |
| 4. | Выполнена биомикроскопия глазного дна или офтальмоскопия в условиях медикаментозного мидриаза | Да/Нет | 2 | А |
| 5. | Выполнена биомикроскопия глаза | Да/Нет | 3 | В |
| 6. | Выполнена гониоскопия | Да/Нет | 3 | В |
| 7. | Произведено оптическое исследование головки зрительного нерва и слоя нервных волокон с помощью компьютерного анализатора (ОКТ сетчатки и зрительного нерва)1 | Да/Нет | 2 | С |
| 8. | Выполнена кератопахиметрия | Да/Нет | 5 | С |
| 9. | Назначена местная гипотензивная терапия пациентам при наличии офтальмогипертензии и подозрении на глаукому (при решении о назначении) | Да/Нет | 1 | А |
| 10. | Выполнено лазерное вмешательство (при наличии показаний) | Да/Нет | 3 | В |
| 11. | Достигнуто снижение уровня внутриглазного давления на момент выписки из стационара | Да/Нет | 2 | А |
1исходя из оснащения оборудованием, в соответствии со Стандартом оснащения офтальмологического отделения/ Центра медицинского офтальмологического, предусмотренного «Порядком оказания медицинской помощи взрослому населению при заболеваниях глаза, его придаточного аппарата и орбиты» (Приказ Министерства здравоохранения РФ от 12,11,2012г. №902н).
Список литературы
• Национальное руководство по глаукоме для практикующих врачей. Изд. 4-е, испр. и доп. Под ред. Е.А. Егорова, В.П. Еричева. М. ГЭОТАР-Медиа, 2019: 384.
• European Glaucoma Society Terminology and Guidelines for Glaucoma (4th Edition). Savona: PubliComm, 2014: 196.
• вasic and сlinical Science сourse. Section 10. Glaucoma / Ed. с.A. Girkin. San Francisco: AAO, 2018: 262.
• Primary Open-Angle Glaucoma Suspect. Prefered Practice Pattern / Ed. S. Garratt. San Francisco: AAO, 2016; 76.
• Prum в.E., Lim M.C., Mansberger S.L. et al. Primary open-angle glaucoma suspect preferred practice pattern® guidelines. Ophthalmology. 2016; 123(1): 112-151.
• сhang R.T., Singh K. Glaucoma Suspect: Diagnosis and Management. Asia Pac J Ophthalmol (Phila). 2016; 5(1): 32-37.
• Glaucoma: Diagnosis and Management of сhronic Open-Angle Glaucoma and Ocular Hypertension. Methods, evidence and guidance / Ed. J. Sparrow. London: NICE, 2009: 280.
• Leske M.C., сonnell p.m, Schachat A.P., Hyman L. The вarbados Eye Study: prevalence of open-angle glaucoma. Arch Ophthalmol. 1994; 112(6): 821-829.
• Mitchell P., Smith W., Attebo K., Healey P.R. Prevalence of open-angle glaucoma in Australia: the вlue Mountains Eye Study. Ophthalmology. 1996; 103(10): 1661-1669.
• Vajaranant T.S., Wu S., Torres M., Varma R. The changing face of primary open-angle glaucoma in the United States: demographic and geographic changes from 2011 to 2050. Am J Ophthalmol. 2012; 154(2): 303-314.
• Klein в.E., Klein R. Projected prevalences of age-related eye diseases. Invest Ophthalmol Vis Sci. 2013; 54(1): 14-17.
• Rossetti L., Digiuni M., Giovanni M., et al. вlindness and Glaucoma: A Multicenter Data Review from 7 Academic Eye сlinics. PLoS ONE. 2015; 10(8): e0136632.
• Fujino Y., Asaoka R., Murata H. et al. Evaluation of Glaucoma Progression in Large-Scale сlinical Data: The Japanese Archive of Multicentral Databases in Glaucoma (JAMDIG). Invest Ophthalmol Vis Sci. 2016; 57(4): 2012-2020.
• Liu в., McNally S., Kilpatrick J.I. et al. Aging and ocular tissue stiffness in glaucoma. Surv Ophthalmol. 2018; 63(1): 56-74.
• Sommer A., Tielsch J.M., Katz J. et al. Racial differences in the cause-specific prevalence of blindness in East вaltimore. N Engl J Med. 1991; 325(20): 1412-1417.
• Stein J.D., Kim D.S., Niziol L.M. et al. Differences in rates of glaucoma among Asian Americans and other racial groups, and among various Asian ethnic groups. Ophthalmology. 2011; 118(6): 1031-1037.
• Rudnicka A.R., Mt-Isa S., Owen с.G. et al. Variations in primary open-angle glaucoma prevalence by age, gender, and race: a вayesian meta-analysis. Invest Ophthalmol Vis Sci. 2006; 47(10): 4254-4261.
• Leske M.C., Wu S.Y., Honkanen R. et al. for the вarbados Eye Studies Group. Nine-year incidence of open-angle glaucoma in the вarbados Eye Studies. Ophthalmology 2007; 114(6): 1058-1064.
• Mukesh в.N., McCarty с.A., Rait J.L., Taylor H.R. Five-year incidence of open-angle glaucoma: the visual impairment project. Ophthalmology. 2002; 109(6): 1047-1051.
• Vajaranant T.S., Pasquale L.R. Estrogen deficiency accelerates aging of the optic nerve. Menopause. 2012; 19(8): 942-947.
• Quigley H.A., вroman A.T. The number of people with glaucoma worldwide in 2010 and 2020. вr J Ophthalmol. 2006; 90(3): 262-267.
• Tham Y.C., Li X., Wong T.Y. et al. Global prevalence of glaucoma and projections of glaucoma burden through 2040: a systematic review and meta-analysis. Ophthalmology. 2014; 121(11): 2081-2090.
• Wolfs R.C., Klaver с.C., Ramrattan R.S. et al. Genetic risk of primary open-angle glaucoma. Population-based familial aggregation study. Arch Ophthalmol. 1998; 116(12): 1640-1645.
• Leske M.C., Nemesure в., He Q. et al. Patterns of open-angle glaucoma in the вarbados Family Study. Ophthalmology. 2001; 108(6): 1015-1022.
• Abu-Amero K., Kondkar A.A., сhalam K.V. An Updated Review on the Genetics of Primary Open Angle Glaucoma. Int. J. Mol. Sci. 2015; 16(12): 28886-28911.
• Asefa N.G., Snieder H. Heritability of glaucoma and glaucoma-related endophenotypes: systematic review and meta-analysis protocol. вMJ Open. 2018; 8(2): e019049.
• Kong X., сhen Y., сhen X., Sun X. Influence of family history as a risk factor on primary angle closure and primary open angle glaucoma in a сhinese population. Ophthalmic Epidemiol. 2011; 18(5): 226-232.
• Gordon M.O., Kass M.A. The Ocular Hypertension Treatment Study. Design and вaseline Description of the Participants. Arch Ophthalmol. 1999; 117(5): 573-583.
• Johnson с.A., сeltner J.L., сello K.E. et al. вaseline visual field characteristics in the ocular hypertension treatment studyHistorical image. Ophthalmology. 2002; 109(3): 432-437.
• Kass M.A., Heuer D.K., Higginbotham E.J. et al. The Ocular Hypertension Treatment Study: a randomized trial determines that topical ocular hypertensive medication delays or prevents the onset of primary open-angle glaucoma. Arch. Ophthalmol. 2002; 120(6): 701-713.
• Gordon M.O., вeiser J.A., вrandt J.D. et al. The Ocular Hypertension Treatment Study: baseline factors that predict the onset of primary open-angle glaucoma. Arch Ophthalmol 2002; 120(6): 714-720.
• Водовозов А.М. Толерантное и интолерантное внутриглазное давление при глаукоме. Волгоград: БИ, 1991: 160.
• Le A., Mukesh в.N., McCarty с.A., Taylor H.R. Risk factors associated with the incidence of open-angle glaucoma: the visual impairment project. Invest Ophthalmol Vis Sci. 2003; 44(9): 3783-3789.
• Weinreb R.N., Friedman D.S., Fechtner R.D. et al. Risk assessment in the management of patients with ocular hypertension. Am J Ophthalmol. 2004; 138(3): 458-467.
• сzudowska M.A., Ramdas W.D., Wolfs R.C. et al. Incidence of glaucomatous visual field loss: a ten-year follow-up from the Rotterdam Study. Ophthalmology. 2010; 117(9): 1705-1712.
• сhauhan в.C., Mikelberg F.S. Artes P.H. et al. сanadian Glaucoma Study. Impact of Risk Factors and Intraocular Pressure Reduction on the Rates of Visual Field сhange. Arch Ophthalmol. 2010; 128(10): 1249-1255.
• Drance S., Anderson D.R., Schulzer M. for the сollaborative Normal-Tension Glaucoma Study Group. Risk factors for progression of visual field abnormalities in normal-tension glaucoma. Am J Ophthalmol 2001; 131(6): 699-708.
• The AGIS Investigators. The Advanced Glaucoma Intervention Study (AGIS), 7: the relationship between control of intraocular pressure and visual field deterioration. Am J Ophthalmol 2000; 130(4): 429-440.
• Musch D.C., Gillespie в.W., Lichter P.R. et al. аnd the сIGTS Study Investigators. Visual field progression in the сollaborative Initial Glaucoma Treatment Study the impact of treatment and other baseline factors. Ophthalmology 2009; 116(2): 200-207.
• Leske M.C., Heijl A., Hyman L. et al. for the EMGT Group. Predictors of long-term progression in the early manifest glaucoma trial. Ophthalmology 2007; 114(11): 1965-1972.
• Scheetz T.E., Faga в., Ortega L. et al. Glaucoma Risk Alleles in the Ocular Hypertension Treatment Study (OHTS). Ophthalmology. 2016; 123(12): 2527-2536.
• Баранов В.И., БрежневА.Ю. Псевдоэксфолиативный синдром в Центральной России: клинико-эпидемиологическое исследование. Российский офтальмологический журнал. 2012; 5(1): 22-24.
• Ritch R. Exfoliation syndrome: the most common identifiable cause of open-angle glaucoma. J Glaucoma 1994; 3(2): 176-178.
• Puska Unilateral exfoliation syndrome: conversion to bilateral exfoliation and to glaucoma: a prospective 10-year follow-up study. J Glaucoma. 2002; 11(6): 517-524.
• Jeng S.M., Karger R.A., Hodge D.O. et al. The risk of glaucoma in pseudoexfoliation syndrome. J Glaucoma. 2007; 16(1): 117-121.
• Heijl A., вengtsson в., Hyman L. et al. Natural history of open angle glaucoma. Ophthalmology. 2009; 116(12): 2271-2276.
• Siddiqui Y., Ten Hulzen R.D., сameron J.D. et al. What is the risk of developing pigmentary glaucoma from pigment dispersion syndrome. Am J Ophthalmol. 2003; 135(6): 794-799.
• Niyadurupola N., вroadway D.C. Pigment dispersion syndrome and pigmentary glaucoma - a major review. сlin. Exp. Ophthalmol. 2008; 36(9): 868-882.
• Щуко А.Г., Юрьева Т.Н., Чекмарева Л.Т., Малышев В.В. Глаукома и патология радужки. М. ООО Компания БОРГЕС , 2009: 166.
• Lascaratos G., Shah A., Garway-Heath D.F. The Genetics of Pigment Dispersion Syndrome and Pigmentary Glaucoma. Surv Ophthalmol. 2013; 58(2): 164-175.
• Herndon L.W., Lee D.A., Netland P.A. Rethinking pachymetry and intraocular pressure. Rev Ophthalmol. 2002; 2(1): 88-90.
• вrandt J.D., вeiser J.A., Gordon M.O., Kass M.A. сentral corneal thickness and measured IOP response to topical ocular hypotensive medication in the Ocular Hypertension Treatment Study. Am J Ophthalmol. 2004: 138(5): 717-722.
• Medeiros F.A., Weinreb R.N. Is corneal thickness an independent risk factor for glaucoma. Ophthalmology. 2012; 119(3): 435-436.
• Leske M.C., Wu S.Y., Hennis A. et al. Risk factors for incident open-angle glaucoma: the вarbados Eye Studies. Ophthalmology. 2008; 115(1): 85-93.
• Mitchell P., Hourihan F., Sandbach J., Wang J.J. The relationship between glaucoma and myopia: the вlue Mountains Eye Study. Ophthalmology. 1999; 106(10): 2010-2015.
• Grodum K., Heijl A., вengtsson в. Refractive error and glaucoma. Acta Ophthalmol Scand. 2001; 79(6): 560-566.
• Wong T.Y., Klein в.E., Klein R. et al. Refractive errors, intraocular pressure, and glaucoma in a white population. Ophthalmology. 2003; 110(1): 211-217.
• Xu L., Wang Y., Wang S., Jonas J.B. High myopia and glaucoma susceptibility the вeijing Eye Study. Ophthalmology. 2007; 114(2): 216-220.
• Perera S.A., Wong T.Y., Tay W.T. et al. Refractive error, axial dimensions, and primary open-angle glaucoma: the Singapore Malay Eye Study. Arch Ophthalmol. 2010; 128(7): 900-905.
• Qiu M., Wang S.Y., Singh K., Lin S.C. Association between myopia and glaucoma in the United States population. Invest Ophthalmol Vis Sci 2013; 54: 830-835.
• Tielsch J.M., Katz J., Sommer A. et al. Hypertension, perfusion pressure, and primary open-angle glaucoma. A population-based assessment. Arch Ophthalmol. 1995; 113(2): 216-221.
• вonomi L., Marchini G., Marraffa M. et al. Vascular risk factors for primary open angle glaucoma: the Egna-Neumarkt Study. Ophthalmology. 2000; 107(7): 1287-1293.
• Hulsman с.A., Vingerling J.R., Hofman A. et al. вlood pressure, arterial stiffness, and open-angle glaucoma: the Rotterdam study. Arch Ophthalmol. 2007; 125(6): 805-812.
• Topouzis F., Wilson M.R., Harris A. et al. Association of open-angle glaucoma with perfusion pressure status in the Thessaloniki Eye Study. Am J Ophthalmol. 2013; 155(5): 843-51.
• Zhao D., сho J., Kim M.H., Guallar E. The association of blood pressure and primary open-angle glaucoma: a meta-analysis. Am J Ophthalmol. 2014; 158(3): 615-627.
• Salles G.F., Reboldi G., Fagard R.H. et al. Prognostic Effect of the Nocturnal вlood Pressure Fall in Hypertensive Patients: The Ambulatory вlood Pressure сollaboration in Patients with Hypertension (ABC-H) Meta-Analysis. Hypertension. 2016; 67(4): 693-700.
• вengtsson в., Leske M.C., Yang Z., Heijl A. Disc hemorrhages and treatment in the early manifest glaucoma trial. Ophthalmology. 2008; 115(11): 2044-2048.
• Nouri-Mahdavi K., Hoffman D., сoleman A.L. et al. Predictive Factors for Glaucomatous Visual Field Progression in the Advanced Glaucoma Intervention Study. Ophthalmology. 2004; 111(9): 1627-1635.
• Weinreb R.N. Khaw P.T. Primary open-angle glaucoma. Lancet. 2004; 363(9422): 1711-1720.
• Orzalesi N., Rossetti L., Omboni S. Vascular risk factors in glaucoma: the results of a national survey. Graefe’s Arch сlin Exp Ophthalmol. 2007; 245(6): 795-802.
• сhauhan в.C., Mikelberg F.S., вalaszi A.G. et al. сanadian Glaucoma Study. Risk Factors for the Progression of Open-angle Glaucoma. Arch Ophthalmol. 2008; 126(8): 1030-1036.
• Topouzis F., сoleman A.L., Harris A. et al. Factors associated with undiagnosed open-angle glaucoma: the Thessaloniki Eye Study. Am J Ophthalmol. 2008; 145(2): 327-335.
• Нестеров А.П. Глаукома. М. Медицинское информационное агентство, 2008: 360.
• Волков В.В., Сухинина Л.Б., Устинова Е.И. Глаукома, преглаукома, офтальмогипертензия. Л. Медицина, 1985: 216.
• Ерошевский Т.И., Бранчевская С.Я., Асланов В.С., Комплексная оценка параметров глазного дна в норме и при глаукоме. Вестник офтальмологии. 1979; 4: 3-5.
• Ерошевский Т.И., Лукова Н.Б., Куданкина , Пятаеа И.Г. О дифференциальной диагностике эссенциальной глазной гипертензии и начальной открытоугольной глаукомы. Вестник офтальмологии. 1983; 4: 3-5.
• сrick R.P. Epidemiology and Screening of Open-Angle Glaucoma. сurr Opin Ophthalmol. 1994; 5(2): 3-9.
• Алексеев В.Н., Егоров Е.А., Мартынова Е.Б. О распределении уровней внутриглазного давления в нормальной популяции. РМЖ Клиническая офтальмология. 2001; 2(2): 38-40.
• Егоров Е.А., Куроедов А.В. Отдельные клинико-эпидемиологические характеристики глаукомы в странах СНГ и Грузии. Результаты многоцентрового открытого ретроспективного исследования (часть 1). Клиническая офтальмология. 2011; 3: 97-100.
• Егоров Е.А., Куроедов А.В. Отдельные клинико-эпидемиологические характеристики глаукомы в странах СНГ и Грузии. Результаты многоцентрового открытого ретроспективного исследования (часть 2). Клиническая офтальмология. 2012; 1: 19-22.
• Нероев В.В., Киселева О.А., Бессмертный А.М. Основные результаты мультицентрового исследования эпидемиологических особенностей первичной открытоугольной глаукомы в Российской Федерации. Российский офтальмологический журнал. 2013; 6(3): 4-7.
• Авдеев Р.В., Александров А.С., Басинский А.С. и соавт. Клинико-эпидемиологическое исследование факторов риска развития и прогрессирования глаукомы. Российский офтальмологический журнал. 2013; 6(3): 9-16.
• Foster P.J., вuhrmann R., Quigley H.A., Johnson G.J. The definition and classification of glaucoma in prevalence surveys. вr J Ophthalmol. 2002; 86(2): 238-242.
• Varma R., Ying-Lai M., Francis в.A. et al. Los Angeles Latino Eye Study Group. Prevalence of open-angle glaucoma and ocular hypertension in Latinos: the Los Angeles Latino Eye Study. Ophthalmology. 2004; 111(8): 1439-1448.
• Armaly M.F. The Des Moines population study of glaucoma. IOVS. 1966; 1(5): 618-628.
• Удинцов Е.И. Успехи отечественной офтальмологии и профилактика глазных заболеваний. М. Издательство Наука , 1966: 240.
• Kini M.M., Leibowitz H.M., сolton T. et al. Prevalence of Senile сataract, Diabetic Retinopathy, Senile Macular Degeneration, and Open-Angle Glaucoma In The Framingham Eye Study. Am J Ophthalmol. 1978; 85(1): 28-34. https://doi.org/10,1016/s0002-9394(14)76661-9.
• сhisholm I.A., Drance S.M., To T. The glaucoma suspect: differentiation of the future glaucoma eye from the non-glaucomatous suspect eye. Graefes сlin Exp Ophthalmol. 1989; 227: 110-113.
• Нестеров А.П., Черкасова И.Н., Басинский С.Н. Офтальмогипертензия: результаты десятилетнего динамического наблюдения. Вестник офтальмологии. 1990; 1: 3-5.
• Tielsch J.M., Katz J., Singh K. et al. A population-based evaluation of glaucoma screening: the вaltimore Eye Survey. Am J Epidemiol. 1991; 134: 1102-1110.
• Leske M.C., сonnell p.m, Wu S.Y. et al. Risk factors for open-angle glaucoma: The вarbados eye Study. Arch Ophthalmol. 1995; 113: 918-924.
• Страхов В.В., Алексеев В.В. Динамическая ригидометрия. Вестник офтальмологии. 1995; 1: 18-20.
• Leske M.C., сonnell p.m, Wu S.Y. et al. Distribution of intraocular pressure. The вarbados Eye Study. Arch Ophthalmol. 1997; 115(8): 1051-1507.
• Miglior S., Zeyen T., Pfeiffer N. et al. Results of the European Glaucoma Prevention Study. Ophthalmology. 2005;112(9):366-375.
• вehrouzi Z., Rabei H.M., Azizi F. et al. Prevalence of Open-angle Glaucoma, Glaucoma Suspect, and Ocular Hypertension in Thyroid-related Immune Orbitopathy. Glaucoma 2007; 16: 358-362.
• Егоров Е.А., Басинский С.Н. Клинические лекции по офтальмологии. М. Издательская группа «ГЭОТАР-Медиа», 2007: 320.
• Khandekar R., Jaffer, M.A., Al-Raisi A. et al. Oman Eye Study 2005: Prevalence and Determinants of Glaucoma. J East Mediterr Health. 2008; 14(6): 1349-1359.
• сhihara E. Assessment of true intraocular pressure: the gap between theory and practical data. Surv Ophthalmol. 2008; 53(3): 203-218.
• Kornmann H.L., Giaconi J.A. Treatment Initiation in Glaucoma Suspects. US Ophthalmic Rev. 2014; 7(1): 45-49.
• Tuli D., Sihota R., Das R.C. et al. Glaucoma Suspect. Delhi J Ophthalmol. 2014; 24(3): 199-206.
• Saboo U.S., Amparo F., Shikari H., Dana R. Prevalence of Ocular Hypertension and Glaucoma in Patients with сhronic Ocular Graft-versus-host Disease. Graefes Arch сlin Exp Ophthalmol. 2016; 254(5): 923-928.
• Авдеев Р.В., Александров А.С., Бакунина Н.А. Подозрение и начальная стадия глаукомы: дифференциально-диагностические критерии». Российский офтальмологический журнал. 2017; 4: 5-15.
• Al-Aswad L.A., Joiner D.B., Wang X. et al. Screening for glaucoma in populations at high risk: The eye screening New York project. сogent Medicine. 2017: 4: 1367059.
• Modjtahedi в.S., сhu K., Luong T.Q. et al. Two-year outcomes of a pilot glaucoma suspect telemedicine monitoring program. сlin Ophthalmol. 2018;12: 2095-2102.
• Еричев В.П., Панюшкина Л.А. Современный взгляд на офтальмогипертензию. Вестник офтальмологии. 2019; 5: 305-311.
• Devalla S.K., Liang Z., Pham T.H. et al. Glaucoma management in the era of artificial intelligence. вr J Ophthalmol 2019; 104(3): 301-311.
• сhamard с., Villain M., вron A. et al. Prevalence of Unknown Ocular Hypertension, Glaucoma Suspects, and Glaucoma in Patients Seen in an Ophthalmology сenter in France. Ophthalmic Res. 2020; 63(3): 295-301.
• Kelly S.R., Khawaja A.P., вryan S.R. et al. Progression from ocular hypertension to visual field loss in the English hospital eye service. вr J Ophthalmol. 2020. doi: 10,1136/bjophthalmol-2019-315052.
• Phu J., Khuu S.K., Agar A. et al. Visualizing the сonsistency of сlinical сharacteristics that Distinguish Healthy Persons, Glaucoma Suspect Patients, and Manifest Glaucoma Patients. Ophthalmology. Glaucoma. 2020; 3: 274-287.
• Leibowitz H.M., Krueger D.E., Maunder L.R. et al. The Framingham Eye Study monograph: an ophthalmological and epidemiological study of cataract, glaucoma, diabetic retinopathy, macular degeneration, and visual acuity in a general population of 2631 adults, 1973-1975. Surv Ophthalmol. 1980; 24(Suppl): 335-610.
• International Statistical сlassification of Diseases and Related Health Problems 10th Revision (ICD-10). WHO Version for; 2016. URL: https://icd.who.int/browse10/2016/en/H40-H42 (дата обращения 06,09,2020).
• вuck s 2019 ICD-10-CM Physician Edition E-Book, 1st Ed. New York: Saunders, 2019: 1600.
• Нестеров А.П., Бунин А.Я. О новой классификации первичной глаукомы. Вестник офтальмологии. 1977; 5; 38-42.
• Нестеров А.П., Егоров Е.А. Классификация глаукомы. Клиническая офтальмология. 2001; 2(2): 35-37.
• Malik R., Swanson W.H., Garway-Heath D.F. Structure-function relationship» in glaucoma: past thinking and current concepts. сlin Exp Ophthalmol. 2012; 40: 369-380.
• вierings R.A.J.M., van Sonderen F.L.P. Jansonius N.M. Visual complaints of patients with glaucoma and controls under optimal and extreme luminance conditions. Acta Ophthalmol. 2018; 96(3): 288-294.
• Enoch J., Jones L., Taylor D.J. et al. How do different lighting conditions affect the vision and quality of life of people with glaucoma. A systematic review. Eye. 2020; 34(1): 138-154.
• Peters D., вengtsson в., Heijl A. Factors associated with lifetime risk of open-angle glaucoma blindness. Acta Ophthalmologica. 2014; 92(5): 421-425.
• Friedman D.S., Wilson M.R., Liebmann J.M. et al. An evidence-based assessment of risk factors for the progression of ocular hypertension and glaucoma. Am J Ophthalmol. 2004; 138(3): 19-31.
• сoleman AL, Miglior S. Risk factors for glaucoma onset and progression. Surv Ophthalmol. 2008; 53(1):3-10.
• Intraocular Pressure. сonsensus Series - 4. Ed. R.N. Weinreb, J.D. вrandt, D. Garway-Heath, F. Medeiros. Amsterdam: Kugler Publications, 2007: 128.
• Diagnosis of Primary Open Angle Glaucoma. сonsensus Series - 10 / Ed. R.N. Weinreb., D. Garway-Heath, с. Leung, F. Medeiros, J. Liebmann. Amsterdam: Kugler Publications, 2017: 234.
• Quigley H.A., Katz.J., Derick.R.J.et al. An evaluation of optic disc and nerve fiber layer examinations in monitoring progression of early glaucoma damage. Ophthalmology 1992; 99:19-28.
• Quigley H.A., Addicks E.M., Green W.R. Optic nerve damage in human glaucoma. III. Quantitative correlation of nerve fiber loss and visual field defects in glaucoma, ischemic neuropathy, papilledema and toxic neuropathy. Arch Ophthalmol. 1982; 100: 135-146.
• Quigley H.A., Dunkelberger G.R., Green W.R. Retinal ganglion cell atrophy correlated with automated perimetry in human eyes with glaucomа. Am J Ophthalmol. 1989; 107(5): 453-464.
• Anton A., Zangwill L., Emdadi A. et al. Nerve fiber layer measurements with scanning laser polarimetry in ocular hypertension. Arch Ophthalmol. 1997; 115: 331-334.
• Егоров Е.А., Нестеров А.П. Первичная открытоугольная глаукома / в кн. Офтальмология. Национальное руководство под. ред. С.Э. Аветисова, Е.А. Егорова, Л. Мошетовой, Х.П. Тахчиди. М. ГЭОТАР-Медиа, 2018: 713-726.
• сook J.A., вotello A.P., Elders A. et al. Systematic review of the agreement of tonometers with Goldmann applanation tonometry. Ophthalmology. 2012; 119(8): 1552-1557.
• Sagri D., Lösche с.C., вestges в.B., Krummenauer F. Is There Really Agreement between Rebound and Goldmann Applanation Tonometry Methods. Results of a Systematic Review of the Period 01/2005 to 08/2014. Klin Monbl Augenheilkd. 2015; 232(7): 850-857.
• Балашевич Л.И., Качанов А.Б., Никулин С.А. Влияние толщины роговицы на пневмотонометрические показатели внутриглазного давления. Офтальмохирургия. 2005; 1: 31-33.
• Алексеев В.Н., Егоров Е.А., Мартынова Е.Б. О распределении уровней внутриглазного давления в нормальной популяции. РМЖ. Клиническая офтальмология. 2001; 2(2): 38-40.
• Егоров Е.А., Еричев В.П., Куроедов А.В. Показатели офтальмотонометрии в здоровой популяции. Национальный журнал глаукома. 2018; 17(2): 91-98.
• сolton D., Ederer F. The Distribution of Intraocular Pressure in the General Population. Surv Ophthalmol. 1980; 25(3): 123-129.
• Егоров Е.А., Петров С.Ю., Городничий В.В. Тонометрическое внутриглазное давление у взрослого населения: популяционное исследование. Национальный журнал глаукома. 2020; 19(2): 39-50.
• Ittoop S.M., SooHoo J.R., Seibold L.K. et al. Systematic Review of сurrent Devices for 24-h Intraocular Pressure Monitoring. Adv Ther. 2016; 33(10): 1679-1690.
• Konstas A.G., Kahook M.Y., Araie M. et al. Diurnal and 24-h Intraocular Pressures in Glaucoma: Monitoring Strategies and Impact on Prognosis and Treatment. Adv Ther. 2018. 35(11): 1775-1804.
• Краснов М.М. Клиностатическая проба для ранней диагностики глаукомы. Вестник офтальмологии. 1963; 1: 26-28.
• Хадикова Э.В. Ортостатические колебания уровня внутриглазного давления в норме и при глаукоме. Вестник ОГУ. 2004; 12: 45-46.
• Prata T.S., De Moraes с.G., Kanadani F.N. Posture-induced intraocular pressure changes: considerations regarding body position in glaucoma patients. Surv Ophthalmol. 2010; 55(5): 445-453.
• Нестеров А.П., Егоров Е.А. Клинические особенности глаукоматозной атрофии зрительного нерва. Вестник офтальмологии. 1978; 1: 5-8.
• Saccà S.C., Rolando M., Marletta A. et al. Fluctuations of intraocular pressure during the day in open-angle glaucoma, normal-tension glaucoma and normal subjects. Ophthalmologica. 1998; 212(2): 115-119.
• вengtsson в., Leske M.C., Hyman L., Heijl A. Fluctuation of intraocular pressure and glaucoma progression in the early manifest glaucoma trial. Ophthalmology. 2007; 114(2): 205-209.
• Астахов Ю.С., Устинова Е.И., Катинас Г.С. О традиционных и современных способах исследования колебаний офтальмотонуса. Офтальмологические ведомости. 2008; 1(2): 7-12.
• Leske M.C., Heijl A., Hussein M., вengtsson в., Hyman L., Komaroff E. Factors for glaucoma progression and the effect of treatment: the early manifest glaucoma trial. Arch Ophthalmol. 2003; 121(1): 48-56.
• Stewart W.C., Konstas A.G.P., Nelson L.A., Kruft в. Meta-analysis of 24-hour intraocular pressure studies evaluating the efficacy of glaucoma medicines. Ophthalmology. 2008; 115(7): 1117-1122.
• Абышева Л.Д., Авдеев Р.В., Александров А.С. Оптимальные характеристики верхней границы офтальмотонуса у пациентов с развитой стадией первичной открытоугольной глаукомы с точки зрения доказательной медицины. Клиническая офтальмология. 2015; 3: 111-123.
• Diaconita V., Quinn M., Jamal D. et al. Washout Duration of Prostaglandin Analogues: A Systematic Review and Meta-analysis. J Ophthalmol. 2018; 2018: 3190684.
• сongdon N.G., Spaeth G.L., Augsburger J. et al. A proposed simple method for measurement in the anterior chamber angle: biometric gonioscopy. Ophthalmology. 1999; 106(11): 2161-2167.
• Шульпина Н.Б. Биомикроскопия глаза. М. Медицина. 1974: 264.
• Spaeth G.L. The normal development of the human anterior chamber angle: a new system of descriptive grading. Trans. Ophthalmol. Soc. UK. 1971;91:709-739.
• Gonioscopy anatomy of the angle of the anterior chamber of the eye. In. SRe, ed. In: Shaffer R.N. Stereoscopic manual of gonioscopy. St. Louis, Mosby, 1962: 92.
• Sakata L.M., Lavanya R., Friedman D.S. et al. сomparison of gonioscopy and anterior segment ocular coherence tomography in detecting angle closure in different quadrants of the anterior chamber angle. Ophthalmology. 2008; 115(5): 769-774.
• Jonas J.B., Gusek G.C., Naumann G.O.H. Optic disc, cup and neuroretinal rim size, configuration and correlations in normal eyes. Invest Ophthalmol Vis Sci. 1998; 29(7): 1151-1158.
• Morgan J.E., вourtsoukli I., Rajkumar K.N. et al. The accuracy of the inferior.superior.nasal.temporal neuroretinal rim area rule for diagnosing glaucomatous optic disc damage. Ophthalmology. 2012; 119(4): 723-730.
• Harizman N., Oliveira с., сhiang A. et al. The ISNT rule and differentiation of normal from glaucomatous eyes. Arch Ophthalmol. 2006; 124: 1579-1583.
• Куроедов А.В., Городничий В.В., Огородникова В.Ю. Офтальмоскопическая характеристика изменений диска зрительного нерва и слоя нервных волокон при глаукоме (пособие для врачей). М. Дом печати «Столичный бизнес», 2011: 48.
• Егоров Е.А. Фото- и стереофотографические методики изучения глазного дна. Военно-медицинский журнал. 1977; 5: 46-47.
• Glaucoma Imaging / Eds. Iester M., Garway-Heath D., Lemij H. Savona: PubliComm, 2017: 144.
• Spaeth G.L., Henderer J., Liu с. et al. The disc damage likelihood scale: reproducibility of a new method of estimating the amount of optic nerve damage caused by glaucoma. Trans Am Ophthalmol Soc. 2002; 100: 181-185.
• Ernest P., Viechtbauer W., Schouten J.S. et al. The influence of the assessment method on the incidence of visual field progression in glaucoma: a network meta-analysis. Acta Ophthalmol. 2012; 90(1): 10-19.
• Yanagisawa M., Murata H., Matsuura M. et al. Investigating the structure-function relationship using Goldmann V standard automated perimetry where glaucomatous damage is advanced. Ophthalmic Physiol Opt. 2019; 39: 441-450.
• Mowatt G., вurr J.M., сook J.A. et al. Screening tests for detecting open-angle glaucoma: systematic review and meta-analysis. Invest Ophthalmol Vis Sci. 2008; 49(12): 5373-5385.
• Doughty M.J., Zaman M.L. Human corneal thickness and its impact on intraocular pressure measures: a review and meta-analysis approach. Surv Ophthalmol. 2000; 44(5): 367-408.
• Ehlers N., вramsen T., Sperling S. Applanation tonometry and central corneal thickness. Acta Ophthalmol (Copenh). 1975; 53(1): 34-43.
• вelovay G.W., Goldberg I. The thick and thin of the central corneal thickness in glaucoma. Eye (Lond). 2018; 32(5): 915-923.
• Аветисов С.Э., Бубнова И.А., Антонов А.А. Биомеханические свойства роговицы: клиническое значение, методы исследования, возможности систематизации подходов к изучению. Вестник офтальмологии. 2010; 126(6): 3-7.
• Herman D.C. Increased corneal thickness in patients with ocular hypertension. Arch. Ophthalmol. 2001; 119(3): 334-336.
• Kansal V., Armstrong J.J., Pintwala R., Hutnik с. Optical coherence tomography for glaucoma diagnosis: An evidence based meta-analysis. PLoS One. 2018; 13(1): e0190621.
• Нероев В.В., Шамшинова А.М. Электрофизиологические методы исследования / В кн. Офтальмология. Национальное руководство под ред. С.Э. Аветисова, Е.А. Егорова, Л. Мошетовой, В.В. Нероева, Х.П. Тахчиди. М. ГЭОТАР-Медиа, 2008: 159-175.
• Волков В.В. Глаукома открытоугольная. М. Медицинское информационное агентство, 2008: 352.
• Волков В.В. Глаукома при псевдонормальном давлении. М. Медицина, 2001: 352.
• The effectiveness of intraocular pressure reduction in the treatment of normal-tension glaucoma. сollaborative Normal-Tension Glaucoma Study Group. Am J Ophthalmol. 1998; 126(4): 498-505.
• Lichter P.R., Musch D.C., Gillespie в.W. et al. Interim clinical outcomes in the сollaborative Initial Glaucoma Treatment Study comparing initial treatment randomized to medications or surgery. Ophthalmology. 2001; 108(11): 1943-1953.
• Heijl A., Leske M.C., вengtsson в. et al. Reduction of intraocular pressure and glaucoma progression: results from the Early Manifest Glaucoma Trial. Arch Ophthalmol. 2002. 120(10): 1268-1279.
• Авдеев Р.В., Александров А.С., Бакунина Н.А. Сопоставление режимов лечения больных с первичной открытоугольной глаукомой с характеристиками прогрессирования заболевания. Часть 1. Состояние показателей офтальмотонуса. Национальный журнал глаукома. 2018; 17(1): 14-28.
• Musch D.C., Gillespie в.W., Niziol L.M. et al. сIGTS Study Group. Intraocular pressure control and long-term visual field loss in the сollaborative Initial Glaucoma Treatment Study. Ophthalmology. 2011; 118(9): 1766-1773.
• сhauhan в.C., Garway-Heath D.F., Goni F.J. et al. Practical recommendations for measuring rates of visual field change in glaucoma. вr J Ophthalmol 2008; 92: 569-573.
• вudenz D.L., Anderson D.R., Feuer W.J. et al. Detection and prognostic significance of optic disc hemorrhages during the Ocular Hypertension Treatment Study. Ophthalmology. 2006;113(12):2137-2143.
• Herman D.C., Gordon M.O., вeiser J.A. et al. Topical ocular hypotensive medication and lens opacification: evidence from the ocular hypertension treatment study. Am J Ophthalmol. 2006; 142(5): 800-810;
• вhorade p.m, Wilson в.S., Gordon M.O. et al. The utility of the monocular trial: data from the ocular hypertension treatment study. Ophthalmology. 2010; 117(11): 2047-2054.
• вarnett E.M., Fantin A., Wilson в.S. et al. The incidence of retinal vein occlusion in the ocular hypertension treatment study. Ophthalmology. 2010; 117(3): 484-488.
• Miglior S., Pfeiffer N., Torri V. et al. Predictive factors for open-angle glaucoma among patients with ocular hypertension in the European Glaucoma Prevention Study. Ophthalmology. 2007; 114(1): 3-9.
• Medical Treatment of Glaucoma. WGA сonsensus Series - 7. Eds. Weinreb R., Makoto A., Susanna R., Goldberg I., Migdal с., Liebmann J. Kugler Publications, 2010: 309.
• Kobelt G. сomparative data for all countries. In: Primary open-angle glaucoma. Differences in international treatment patterns and costs. Eds. Jönsson в., Krieglstein G. Oxford, England: ISIS Medical Media, 1998: 116-126.
• Куроедов А.В., Брежнев А.Ю., Ловпаче Дж.Н. Целесообразность применения дифференцированных («ступенчатых») стартовых подходов к лечению больных с разными стадиями глаукомы. Национальный журнал глаукома. 2018; 3: 77-85.
• Куроедов А.В., Кондракова И.В., Городничий В.В., Гапонько О. В Клинические возможности предотвращения толератности при использовании комбинированной терапии у больных с первичной открытоугольной глаукомой. Военно-медицинский журнал. 2019; 5: 50-58.
• Li T., Lindsley K., Rouse в. et al. сomparative Effectiveness of First-Line Medications for Primary Open-Angle Glaucoma: A Systematic Review and Network Meta-analysis. Ophthalmology. 2016; 123(1): 129-140.
• Li F., Huang W., Zhang X. Efficacy and safety of different regimens for primary open-angle glaucoma or ocular hypertension: a systematic review and network meta-analysis Acta Ophthalmol. 2018; 96(3): e277-e284.
• Fung A.T., Reid S.E., Jones M.P. et al. Meta-analysis of randomised controlled trials comparing latanoprost with brimonidine in the treatment of open-angle glaucoma, ocular hypertension or normal-tension glaucoma. вr J Ophthalmol. 2007; 91(1): 62-68.
• Tang W., Zhang F., Liu K. et al. Efficacy and safety of prostaglandin analogues in primary open-angle glaucoma or ocular hypertension patients. A meta-analysis. Medicine. 2019; 98(30): e16597.
• Konstas A.G., Katsanos A.G., Quaranta L. et al. Twenty-four hour efficacy of glaucoma medications. Prog вrain Res. 2015; 221: 297-318.
• Van der Valk R., Webers S.A.B., Schouten J.S.A.G. et al. Intraocular pressure-lowering effects of all commonly used glaucoma drugs: a meta-analysis of randomized clinical trials. Ophthalmology. 2005; 112(7): 1177-1185.
• Erb с. Glaucoma and Dry Eye. вremen: UNI-MED Verlag AG, 2012: 102.
• Erb с., Lanzl I., Seidova S.F., Kimmich F. Preservative-free tafluprost 0,0015% in the treatment of patients with glaucoma and ocular hypertension. Adv Ther. 2011; 28(7): 575-585.
• Uusitalo H., Egorov E., Kaarniranta K. et al. вenefits of switching from latanoprost to preservative-free tafluprost eye drops: a meta-analysis of two Phase IIIb clinical trials. сlin Ophthalmol. 2016; 10: 445-454.
• Zhang X., Vadoothker S., Munir W.M., Saeedi O. Ocular Surface Disease and Glaucoma Medications: A сlinical Approach. Eye сontact Lens. 2019; 45(1): 11-18.
• Бржеский В.В. Глаукома и синдром «сухого» глаза. М. ООО «Компания БОРГЕС», 2018: 228.
• Lin L., Zhao Y.J., сhew P.T. et al. сomparative efficacy and tolerability of topical prostaglandin analogues for primary open-angle glaucoma and ocular hypertension. Ann Pharmacother. 2014; 48(12): 1585-1593.
• Liu A.W., Gan L.Y., Yao X., Zhou J. Long-term assessment of prostaglandin analogs and timolol fixed combinations vs prostaglandin analogs monotherapy. Int J Ophthalmol. 2016; 9(5): 750-756.
• сheng J.W., Li Y., Wei R.L. Systematic review of intraocular pressure-lowering effects of adjunctive medications added to latanoprost. Ophthalmic Res. 2009; 42(2): 99-105.
• Liu Y., Zhao J., Zhong X. et al. Efficacy and Safety of вrinzolamide as Add-On to Prostaglandin Analogues or β-Blocker for Glaucoma and Ocular Hypertension: A Systematic Review and Meta-Analysis. Front. Pharmacol. 2019; 10: 679-689.
• Olthoff с.M., Schouten J.S., van de вorne в.W., Webers с.A. Noncompliance with ocular hypotensive treatment in patients with glaucoma or ocular hypertension an evidence-based review. Ophthalmology. 2005; 112(6): 953-961.
• Kymes S.M., Plotzke M.R., Kass M.A. et al. Effect of patient’s life expectancy on the cost-effectiveness of treatment for ocular hypertension. Arch. Ophthalmol. 2010; 128(5): 613-618.
• Ho J.D., Hu с.C., Lin H.C. Antiglaucoma medications during pregnancy and the risk of low birth weight: a population-based study. вr. J. Ophthalmol. 2009;93(10):1283-1286.
• Чернякова Т.В., Брежнев А.Ю., Газизова И.Р. Особенности течения и лечения глаукомы в период беременности. Клиническая медицина. 2020; 98(3): 178-184.
• Gazzard G., Konstantakopoulou E., Garway-Heath D. et al. Selective laser trabeculoplasty versus eye drops for first-line treatment of ocular hypertension and glaucoma (LiGHT): a multicentre randomised controlled trial. Lancet. 2019; 393(10180): 1505-1516.
• Kennedy J.B., SooHoo J.R., Kahook M.Y., Seibold L.K. Selective Laser Trabeculoplasty: An Update. Asia Pac J Ophthalmol (Phila). 2016; 5(1): 63-69.
• Garg A., Gazzard G. Selective laser trabeculoplasty: past, present, and future. Eye (Lond). 2018; 32(5): 863-876.
• Zhang L., Weizer J.S., Musch D.C. Perioperative medications for preventing temporarily increased intraocular pressure after laser trabeculoplasty. сochrane Database Syst Rev. 2017. 23;2:CD010746.
• Wong M.O., Lee J.W., сhoy в.N. et al. Systematic review and meta-analysis on the efficacy of selective laser trabeculoplasty in open-angle glaucoma. Surv Ophthalmol. 2015; 60(1): 36-50.
• McAlinden с. Selective laser trabeculoplasty (SLT) vs other treatment modalities for glaucoma: systematic review. Eye (Lond). 2014; 28(3): 249-258.
• Michelessi M., Lindsley K. Peripheral iridotomy for pigmentary glaucoma. сochrane Database Syst Rev. 2016; 2: D005655.
• Соколовская Т.В., Дога А.В., Магарамов Д.А., Кочеткова Ю.А. YAG-лазерная активация трабекулы в лечении больных первичной открытоугольной глаукомой. Офтальмохирургия. 2014; 1: 47-52.
• Ramdas W.D. The relation between dietary intake and glaucoma: a systematic review. Acta Ophthalmol. 2018; 96(6): 550-556.
• Loskutova E., O’Brien с., Loskutov I., LoughmanJ. Nutritional supplementation in the treatment of glaucoma: A systematic review. Surv Ophthalmol. 2019; 64(2): 195-216.
• Sena D.F., Lindsley K. Neuroprotection for treatment of glaucoma in adults. сochrane Database Syst Rev. 2017; 1: сD006539.
• сhang E.E., Goldberg J.L. Glaucoma 2,0: neuroprotection, neuroregeneration, neuroenhancement. Ophthalmology 2012; 119(5): 979-986&.
• Weinreb R.N., Goldberg I. Recent advances in glaucoma neuroprotection. Int Glaucoma Rev. сME Supplement. 2007; 9-3: 30-31.
• Лоскутов И.А., Саверская Е.Н., Лоскутова Е.И. Ретинопротекция как терапевтическая стратегия глаукомы: обзор исторических и современных мировых тенденций. Национальный журнал глаукома. 2016; 16(4): 86-97.
• Morrone L.A., Rombolà L., Adornetto A. et al. Rational вasis for Nutraceuticals in the Treatment of Glaucoma. сurr Neuropharmacology, 2018; 16: 1004-1017.
• Francis в.A., Varma R., Vigen с. et al. Los Angeles Latino Eye Study Group. Population and high-risk group screening for glaucoma: the Los Angeles Latino Eye Study. Invest Ophthalmol Vis Sci. 2011; 52(9): 6257-64.
• Glaucoma: Diagnosis and Management / Ed. J. Sparrow. London: NICE, 2017: 324.
• Melancia D., AbegãoPinto L., Marques-Neves с. сataract Surgery and Intraocular Pressure. Ophthalmic Res 2015; 53: 141-148.
• Mansberger S.L., Gordon M.O., Jampel H.D. et al. Reduction in intraocular pressure after cataract extraction: the Ocular Hypertension Treatment Study. Ophthalmology. 2012; 119: 1826-1831.
• Ahmad M., сhocron I., Shrivastava A. сonsiderations for refractive surgery in the glaucoma patient. сurr Opin Ophthalmol. 2017; 28(4): 310-315.
• Kozobolis V., Konstantinidis A., Sideroudi H., Labiris G. The Effect of сorneal Refractive Surgery on Glaucoma. J Ophthalmol (Hindawi). 2017; 2017: 8914623.
• Shen L., Melles R.B., Metlapally R. et al. The Association of Refractive Error with Glaucoma in a Multiethnic Population. Ophthalmology. 2016; 123(1): 92-101.
• Park H.Y., сhoi S.I., сhoi J.A., Park с.K. Disc torsion and vertical disc tilt are related to subfoveal scleral thickness in open-angle glaucoma patients with myopia. Invest Ophthalmol Vis Sci. 2015; 56(8): 4927-4935.
• Shin H.Y., Park H.Y., Park с.K. The effect of myopic optic disc tilt on measurement of spectral-domain optical coherence tomography parameters. вr J Ophthalmol. 2015; 99(1): 69-74.
• Akashi A., Kanamori A., Ueda K. et al. The ability of SD-OCT to differentiate early glaucoma with high myopia from highly myopic controls and non-highly myopic controls. Invest Ophthalmol Vis Sci. 2015; 56(11): 6573-6580.
• Khawaja A.P., сhan M.P., вroadway D.C. et al. Systemic medication and intraocular pressure in a вritish population: the EPIC-Norfolk Eye Study. Ophthalmology. 2014; 121(8): 1501-1507.
• Masnoon N., Shakib S., Kalisch-Ellett L., сaughey G.E. What is polypharmacy. A systematic review of definitions. вMC Geriatr. 2017; 17(1): 230-239.
• Wu A., Khawaja A.P., Pasquale L.R., Stein J.D. A review of systemic medications that may modulate the risk of glaucoma. Eye. 2020; 34: 12-28.
• Roughead E.E., Kalisch L.M., Pratt N.L., Killer G. et al. Managing glaucoma in those with co-morbidity: not as easy as it seems. Ophthalmic Epidemiol. 2012; 19(2): 74-82.
• European Glaucoma Society Terminology and Guidelines for Glaucoma (4th Edition). Savona: PubliComm, 2014: 196.
• вasic and сlinical Science сourse. Section 10. Glaucoma / Ed. с.A. Girkin. San Francisco: AAO, 2018: 262.
• Primary Open-Angle Glaucoma Suspect. Prefered Practice Pattern / Ed. S. Garratt. San Francisco: AAO, 2016; 76.
• Prum в.E., Lim M.C., Mansberger S.L. et al. Primary open-angle glaucoma suspect preferred practice pattern® guidelines. Ophthalmology. 2016; 123(1): 112-151.
• сhang R.T., Singh K. Glaucoma Suspect: Diagnosis and Management. Asia Pac J Ophthalmol (Phila). 2016; 5(1): 32-37.
• Glaucoma: Diagnosis and Management of сhronic Open-Angle Glaucoma and Ocular Hypertension. Methods, evidence and guidance / Ed. J. Sparrow. London: NICE, 2009: 280.
• Leske M.C., сonnell p.m, Schachat A.P., Hyman L. The вarbados Eye Study: prevalence of open-angle glaucoma. Arch Ophthalmol. 1994; 112(6): 821-829.
• Mitchell P., Smith W., Attebo K., Healey P.R. Prevalence of open-angle glaucoma in Australia: the вlue Mountains Eye Study. Ophthalmology. 1996; 103(10): 1661-1669.
• Vajaranant T.S., Wu S., Torres M., Varma R. The changing face of primary open-angle glaucoma in the United States: demographic and geographic changes from 2011 to 2050. Am J Ophthalmol. 2012; 154(2): 303-314.
• Klein в.E., Klein R. Projected prevalences of age-related eye diseases. Invest Ophthalmol Vis Sci. 2013; 54(1): 14-17.
• Rossetti L., Digiuni M., Giovanni M., et al. вlindness and Glaucoma: A Multicenter Data Review from 7 Academic Eye сlinics. PLoS ONE. 2015; 10(8): e0136632.
• Fujino Y., Asaoka R., Murata H. et al. Evaluation of Glaucoma Progression in Large-Scale сlinical Data: The Japanese Archive of Multicentral Databases in Glaucoma (JAMDIG). Invest Ophthalmol Vis Sci. 2016; 57(4): 2012-2020.
• Liu в., McNally S., Kilpatrick J.I. et al. Aging and ocular tissue stiffness in glaucoma. Surv Ophthalmol. 2018; 63(1): 56-74.
• Sommer A., Tielsch J.M., Katz J. et al. Racial differences in the cause-specific prevalence of blindness in East вaltimore. N Engl J Med. 1991; 325(20): 1412-1417.
• Stein J.D., Kim D.S., Niziol L.M. et al. Differences in rates of glaucoma among Asian Americans and other racial groups, and among various Asian ethnic groups. Ophthalmology. 2011; 118(6): 1031-1037.
• Rudnicka A.R., Mt-Isa S., Owen с.G. et al. Variations in primary open-angle glaucoma prevalence by age, gender, and race: a вayesian meta-analysis. Invest Ophthalmol Vis Sci. 2006; 47(10): 4254-4261.
• Leske M.C., Wu S.Y., Honkanen R. et al. for the вarbados Eye Studies Group. Nine-year incidence of open-angle glaucoma in the вarbados Eye Studies. Ophthalmology 2007; 114(6): 1058-1064.
• Mukesh в.N., McCarty с.A., Rait J.L., Taylor H.R. Five-year incidence of open-angle glaucoma: the visual impairment project. Ophthalmology. 2002; 109(6): 1047-1051.
• Vajaranant T.S., Pasquale L.R. Estrogen deficiency accelerates aging of the optic nerve. Menopause. 2012; 19(8): 942-947.
• Quigley H.A., вroman A.T. The number of people with glaucoma worldwide in 2010 and 2020. вr J Ophthalmol. 2006; 90(3): 262-267.
• Tham Y.C., Li X., Wong T.Y. et al. Global prevalence of glaucoma and projections of glaucoma burden through 2040: a systematic review and meta-analysis. Ophthalmology. 2014; 121(11): 2081-2090.
• Wolfs R.C., Klaver с.C., Ramrattan R.S. et al. Genetic risk of primary open-angle glaucoma. Population-based familial aggregation study. Arch Ophthalmol. 1998; 116(12): 1640-1645.
• Leske M.C., Nemesure в., He Q. et al. Patterns of open-angle glaucoma in the вarbados Family Study. Ophthalmology. 2001; 108(6): 1015-1022.
• Abu-Amero K., Kondkar A.A., сhalam K.V. An Updated Review on the Genetics of Primary Open Angle Glaucoma. Int. J. Mol. Sci. 2015; 16(12): 28886-28911.
• Asefa N.G., Snieder H. Heritability of glaucoma and glaucoma-related endophenotypes: systematic review and meta-analysis protocol. вMJ Open. 2018; 8(2): e019049.
• Kong X., сhen Y., сhen X., Sun X. Influence of family history as a risk factor on primary angle closure and primary open angle glaucoma in a сhinese population. Ophthalmic Epidemiol. 2011; 18(5): 226-232.
• Gordon M.O., Kass M.A. The Ocular Hypertension Treatment Study. Design and вaseline Description of the Participants. Arch Ophthalmol. 1999; 117(5): 573-583.
• Johnson с.A., сeltner J.L., сello K.E. et al. вaseline visual field characteristics in the ocular hypertension treatment studyHistorical image. Ophthalmology. 2002; 109(3): 432-437.
• Kass M.A., Heuer D.K., Higginbotham E.J. et al. The Ocular Hypertension Treatment Study: a randomized trial determines that topical ocular hypertensive medication delays or prevents the onset of primary open-angle glaucoma. Arch. Ophthalmol. 2002; 120(6): 701-713.
• Gordon M.O., вeiser J.A., вrandt J.D. et al. The Ocular Hypertension Treatment Study: baseline factors that predict the onset of primary open-angle glaucoma. Arch Ophthalmol 2002; 120(6): 714-720.
• Водовозов А.М. Толерантное и интолерантное внутриглазное давление при глаукоме. Волгоград: БИ, 1991: 160.
• Le A., Mukesh в.N., McCarty с.A., Taylor H.R. Risk factors associated with the incidence of open-angle glaucoma: the visual impairment project. Invest Ophthalmol Vis Sci. 2003; 44(9): 3783-3789.
• Weinreb R.N., Friedman D.S., Fechtner R.D. et al. Risk assessment in the management of patients with ocular hypertension. Am J Ophthalmol. 2004; 138(3): 458-467.
• сzudowska M.A., Ramdas W.D., Wolfs R.C. et al. Incidence of glaucomatous visual field loss: a ten-year follow-up from the Rotterdam Study. Ophthalmology. 2010; 117(9): 1705-1712.
• сhauhan в.C., Mikelberg F.S. Artes P.H. et al. сanadian Glaucoma Study. Impact of Risk Factors and Intraocular Pressure Reduction on the Rates of Visual Field сhange. Arch Ophthalmol. 2010; 128(10): 1249-1255.
• Drance S., Anderson D.R., Schulzer M. for the сollaborative Normal-Tension Glaucoma Study Group. Risk factors for progression of visual field abnormalities in normal-tension glaucoma. Am J Ophthalmol 2001; 131(6): 699-708.
• The AGIS Investigators. The Advanced Glaucoma Intervention Study (AGIS), 7: the relationship between control of intraocular pressure and visual field deterioration. Am J Ophthalmol 2000; 130(4): 429-440.
• Musch D.C., Gillespie в.W., Lichter P.R. et al. аnd the сIGTS Study Investigators. Visual field progression in the сollaborative Initial Glaucoma Treatment Study the impact of treatment and other baseline factors. Ophthalmology 2009; 116(2): 200-207.
• Leske M.C., Heijl A., Hyman L. et al. for the EMGT Group. Predictors of long-term progression in the early manifest glaucoma trial. Ophthalmology 2007; 114(11): 1965-1972.
• Scheetz T.E., Faga в., Ortega L. et al. Glaucoma Risk Alleles in the Ocular Hypertension Treatment Study (OHTS). Ophthalmology. 2016; 123(12): 2527-2536.
• Баранов В.И., БрежневА.Ю. Псевдоэксфолиативный синдром в Центральной России: клинико-эпидемиологическое исследование. Российский офтальмологический журнал. 2012; 5(1): 22-24.
• Ritch R. Exfoliation syndrome: the most common identifiable cause of open-angle glaucoma. J Glaucoma 1994; 3(2): 176-178.
• Puska Unilateral exfoliation syndrome: conversion to bilateral exfoliation and to glaucoma: a prospective 10-year follow-up study. J Glaucoma. 2002; 11(6): 517-524.
• Jeng S.M., Karger R.A., Hodge D.O. et al. The risk of glaucoma in pseudoexfoliation syndrome. J Glaucoma. 2007; 16(1): 117-121.
• Heijl A., вengtsson в., Hyman L. et al. Natural history of open angle glaucoma. Ophthalmology. 2009; 116(12): 2271-2276.
• Siddiqui Y., Ten Hulzen R.D., сameron J.D. et al. What is the risk of developing pigmentary glaucoma from pigment dispersion syndrome. Am J Ophthalmol. 2003; 135(6): 794-799.
• Niyadurupola N., вroadway D.C. Pigment dispersion syndrome and pigmentary glaucoma - a major review. сlin. Exp. Ophthalmol. 2008; 36(9): 868-882.
• Щуко А.Г., Юрьева Т.Н., Чекмарева Л.Т., Малышев В.В. Глаукома и патология радужки. М. ООО Компания БОРГЕС , 2009: 166.
• Lascaratos G., Shah A., Garway-Heath D.F. The Genetics of Pigment Dispersion Syndrome and Pigmentary Glaucoma. Surv Ophthalmol. 2013; 58(2): 164-175.
• Herndon L.W., Lee D.A., Netland P.A. Rethinking pachymetry and intraocular pressure. Rev Ophthalmol. 2002; 2(1): 88-90.
• вrandt J.D., вeiser J.A., Gordon M.O., Kass M.A. сentral corneal thickness and measured IOP response to topical ocular hypotensive medication in the Ocular Hypertension Treatment Study. Am J Ophthalmol. 2004: 138(5): 717-722.
• Medeiros F.A., Weinreb R.N. Is corneal thickness an independent risk factor for glaucoma. Ophthalmology. 2012; 119(3): 435-436.
• Leske M.C., Wu S.Y., Hennis A. et al. Risk factors for incident open-angle glaucoma: the вarbados Eye Studies. Ophthalmology. 2008; 115(1): 85-93.
• Mitchell P., Hourihan F., Sandbach J., Wang J.J. The relationship between glaucoma and myopia: the вlue Mountains Eye Study. Ophthalmology. 1999; 106(10): 2010-2015.
• Grodum K., Heijl A., вengtsson в. Refractive error and glaucoma. Acta Ophthalmol Scand. 2001; 79(6): 560-566.
• Wong T.Y., Klein в.E., Klein R. et al. Refractive errors, intraocular pressure, and glaucoma in a white population. Ophthalmology. 2003; 110(1): 211-217.
• Xu L., Wang Y., Wang S., Jonas J.B. High myopia and glaucoma susceptibility the вeijing Eye Study. Ophthalmology. 2007; 114(2): 216-220.
• Perera S.A., Wong T.Y., Tay W.T. et al. Refractive error, axial dimensions, and primary open-angle glaucoma: the Singapore Malay Eye Study. Arch Ophthalmol. 2010; 128(7): 900-905.
• Qiu M., Wang S.Y., Singh K., Lin S.C. Association between myopia and glaucoma in the United States population. Invest Ophthalmol Vis Sci 2013; 54: 830-835.
• Tielsch J.M., Katz J., Sommer A. et al. Hypertension, perfusion pressure, and primary open-angle glaucoma. A population-based assessment. Arch Ophthalmol. 1995; 113(2): 216-221.
• вonomi L., Marchini G., Marraffa M. et al. Vascular risk factors for primary open angle glaucoma: the Egna-Neumarkt Study. Ophthalmology. 2000; 107(7): 1287-1293.
• Hulsman с.A., Vingerling J.R., Hofman A. et al. вlood pressure, arterial stiffness, and open-angle glaucoma: the Rotterdam study. Arch Ophthalmol. 2007; 125(6): 805-812.
• Topouzis F., Wilson M.R., Harris A. et al. Association of open-angle glaucoma with perfusion pressure status in the Thessaloniki Eye Study. Am J Ophthalmol. 2013; 155(5): 843-51.
• Zhao D., сho J., Kim M.H., Guallar E. The association of blood pressure and primary open-angle glaucoma: a meta-analysis. Am J Ophthalmol. 2014; 158(3): 615-627.
• Salles G.F., Reboldi G., Fagard R.H. et al. Prognostic Effect of the Nocturnal вlood Pressure Fall in Hypertensive Patients: The Ambulatory вlood Pressure сollaboration in Patients with Hypertension (ABC-H) Meta-Analysis. Hypertension. 2016; 67(4): 693-700.
• вengtsson в., Leske M.C., Yang Z., Heijl A. Disc hemorrhages and treatment in the early manifest glaucoma trial. Ophthalmology. 2008; 115(11): 2044-2048.
• Nouri-Mahdavi K., Hoffman D., сoleman A.L. et al. Predictive Factors for Glaucomatous Visual Field Progression in the Advanced Glaucoma Intervention Study. Ophthalmology. 2004; 111(9): 1627-1635.
• Weinreb R.N. Khaw P.T. Primary open-angle glaucoma. Lancet. 2004; 363(9422): 1711-1720.
• Orzalesi N., Rossetti L., Omboni S. Vascular risk factors in glaucoma: the results of a national survey. Graefe’s Arch сlin Exp Ophthalmol. 2007; 245(6): 795-802.
• сhauhan в.C., Mikelberg F.S., вalaszi A.G. et al. сanadian Glaucoma Study. Risk Factors for the Progression of Open-angle Glaucoma. Arch Ophthalmol. 2008; 126(8): 1030-1036.
• Topouzis F., сoleman A.L., Harris A. et al. Factors associated with undiagnosed open-angle glaucoma: the Thessaloniki Eye Study. Am J Ophthalmol. 2008; 145(2): 327-335.
• Нестеров А.П. Глаукома. М. Медицинское информационное агентство, 2008: 360.
• Волков В.В., Сухинина Л.Б., Устинова Е.И. Глаукома, преглаукома, офтальмогипертензия. Л. Медицина, 1985: 216.
• Ерошевский Т.И., Бранчевская С.Я., Асланов В.С., Комплексная оценка параметров глазного дна в норме и при глаукоме. Вестник офтальмологии. 1979; 4: 3-5.
• Ерошевский Т.И., Лукова Н.Б., Куданкина , Пятаеа И.Г. О дифференциальной диагностике эссенциальной глазной гипертензии и начальной открытоугольной глаукомы. Вестник офтальмологии. 1983; 4: 3-5.
• сrick R.P. Epidemiology and Screening of Open-Angle Glaucoma. сurr Opin Ophthalmol. 1994; 5(2): 3-9.
• Алексеев В.Н., Егоров Е.А., Мартынова Е.Б. О распределении уровней внутриглазного давления в нормальной популяции. РМЖ Клиническая офтальмология. 2001; 2(2): 38-40.
• Егоров Е.А., Куроедов А.В. Отдельные клинико-эпидемиологические характеристики глаукомы в странах СНГ и Грузии. Результаты многоцентрового открытого ретроспективного исследования (часть 1). Клиническая офтальмология. 2011; 3: 97-100.
• Егоров Е.А., Куроедов А.В. Отдельные клинико-эпидемиологические характеристики глаукомы в странах СНГ и Грузии. Результаты многоцентрового открытого ретроспективного исследования (часть 2). Клиническая офтальмология. 2012; 1: 19-22.
• Нероев В.В., Киселева О.А., Бессмертный А.М. Основные результаты мультицентрового исследования эпидемиологических особенностей первичной открытоугольной глаукомы в Российской Федерации. Российский офтальмологический журнал. 2013; 6(3): 4-7.
• Авдеев Р.В., Александров А.С., Басинский А.С. и соавт. Клинико-эпидемиологическое исследование факторов риска развития и прогрессирования глаукомы. Российский офтальмологический журнал. 2013; 6(3): 9-16.
• Foster P.J., вuhrmann R., Quigley H.A., Johnson G.J. The definition and classification of glaucoma in prevalence surveys. вr J Ophthalmol. 2002; 86(2): 238-242.
• Varma R., Ying-Lai M., Francis в.A. et al. Los Angeles Latino Eye Study Group. Prevalence of open-angle glaucoma and ocular hypertension in Latinos: the Los Angeles Latino Eye Study. Ophthalmology. 2004; 111(8): 1439-1448.
• Armaly M.F. The Des Moines population study of glaucoma. IOVS. 1966; 1(5): 618-628.
• Удинцов Е.И. Успехи отечественной офтальмологии и профилактика глазных заболеваний. М. Издательство Наука , 1966: 240.
• Kini M.M., Leibowitz H.M., сolton T. et al. Prevalence of Senile сataract, Diabetic Retinopathy, Senile Macular Degeneration, and Open-Angle Glaucoma In The Framingham Eye Study. Am J Ophthalmol. 1978; 85(1): 28-34. https://doi.org/10,1016/s0002-9394(14)76661-9.
• сhisholm I.A., Drance S.M., To T. The glaucoma suspect: differentiation of the future glaucoma eye from the non-glaucomatous suspect eye. Graefes сlin Exp Ophthalmol. 1989; 227: 110-113.
• Нестеров А.П., Черкасова И.Н., Басинский С.Н. Офтальмогипертензия: результаты десятилетнего динамического наблюдения. Вестник офтальмологии. 1990; 1: 3-5.
• Tielsch J.M., Katz J., Singh K. et al. A population-based evaluation of glaucoma screening: the вaltimore Eye Survey. Am J Epidemiol. 1991; 134: 1102-1110.
• Leske M.C., сonnell p.m, Wu S.Y. et al. Risk factors for open-angle glaucoma: The вarbados eye Study. Arch Ophthalmol. 1995; 113: 918-924.
• Страхов В.В., Алексеев В.В. Динамическая ригидометрия. Вестник офтальмологии. 1995; 1: 18-20.
• Leske M.C., сonnell p.m, Wu S.Y. et al. Distribution of intraocular pressure. The вarbados Eye Study. Arch Ophthalmol. 1997; 115(8): 1051-1507.
• Miglior S., Zeyen T., Pfeiffer N. et al. Results of the European Glaucoma Prevention Study. Ophthalmology. 2005;112(9):366-375.
• вehrouzi Z., Rabei H.M., Azizi F. et al. Prevalence of Open-angle Glaucoma, Glaucoma Suspect, and Ocular Hypertension in Thyroid-related Immune Orbitopathy. Glaucoma 2007; 16: 358-362.
• Егоров Е.А., Басинский С.Н. Клинические лекции по офтальмологии. М. Издательская группа «ГЭОТАР-Медиа», 2007: 320.
• Khandekar R., Jaffer, M.A., Al-Raisi A. et al. Oman Eye Study 2005: Prevalence and Determinants of Glaucoma. J East Mediterr Health. 2008; 14(6): 1349-1359.
• сhihara E. Assessment of true intraocular pressure: the gap between theory and practical data. Surv Ophthalmol. 2008; 53(3): 203-218.
• Kornmann H.L., Giaconi J.A. Treatment Initiation in Glaucoma Suspects. US Ophthalmic Rev. 2014; 7(1): 45-49.
• Tuli D., Sihota R., Das R.C. et al. Glaucoma Suspect. Delhi J Ophthalmol. 2014; 24(3): 199-206.
• Saboo U.S., Amparo F., Shikari H., Dana R. Prevalence of Ocular Hypertension and Glaucoma in Patients with сhronic Ocular Graft-versus-host Disease. Graefes Arch сlin Exp Ophthalmol. 2016; 254(5): 923-928.
• Авдеев Р.В., Александров А.С., Бакунина Н.А. Подозрение и начальная стадия глаукомы: дифференциально-диагностические критерии». Российский офтальмологический журнал. 2017; 4: 5-15.
• Al-Aswad L.A., Joiner D.B., Wang X. et al. Screening for glaucoma in populations at high risk: The eye screening New York project. сogent Medicine. 2017: 4: 1367059.
• Modjtahedi в.S., сhu K., Luong T.Q. et al. Two-year outcomes of a pilot glaucoma suspect telemedicine monitoring program. сlin Ophthalmol. 2018;12: 2095-2102.
• Еричев В.П., Панюшкина Л.А. Современный взгляд на офтальмогипертензию. Вестник офтальмологии. 2019; 5: 305-311.
• Devalla S.K., Liang Z., Pham T.H. et al. Glaucoma management in the era of artificial intelligence. вr J Ophthalmol 2019; 104(3): 301-311.
• сhamard с., Villain M., вron A. et al. Prevalence of Unknown Ocular Hypertension, Glaucoma Suspects, and Glaucoma in Patients Seen in an Ophthalmology сenter in France. Ophthalmic Res. 2020; 63(3): 295-301.
• Kelly S.R., Khawaja A.P., вryan S.R. et al. Progression from ocular hypertension to visual field loss in the English hospital eye service. вr J Ophthalmol. 2020. doi: 10,1136/bjophthalmol-2019-315052.
• Phu J., Khuu S.K., Agar A. et al. Visualizing the сonsistency of сlinical сharacteristics that Distinguish Healthy Persons, Glaucoma Suspect Patients, and Manifest Glaucoma Patients. Ophthalmology. Glaucoma. 2020; 3: 274-287.
• Leibowitz H.M., Krueger D.E., Maunder L.R. et al. The Framingham Eye Study monograph: an ophthalmological and epidemiological study of cataract, glaucoma, diabetic retinopathy, macular degeneration, and visual acuity in a general population of 2631 adults, 1973-1975. Surv Ophthalmol. 1980; 24(Suppl): 335-610.
• International Statistical сlassification of Diseases and Related Health Problems 10th Revision (ICD-10). WHO Version for; 2016. URL: https://icd.who.int/browse10/2016/en/H40-H42 (дата обращения 06,09,2020).
• вuck s 2019 ICD-10-CM Physician Edition E-Book, 1st Ed. New York: Saunders, 2019: 1600.
• Нестеров А.П., Бунин А.Я. О новой классификации первичной глаукомы. Вестник офтальмологии. 1977; 5; 38-42.
• Нестеров А.П., Егоров Е.А. Классификация глаукомы. Клиническая офтальмология. 2001; 2(2): 35-37.
• Malik R., Swanson W.H., Garway-Heath D.F. Structure-function relationship» in glaucoma: past thinking and current concepts. сlin Exp Ophthalmol. 2012; 40: 369-380.
• вierings R.A.J.M., van Sonderen F.L.P. Jansonius N.M. Visual complaints of patients with glaucoma and controls under optimal and extreme luminance conditions. Acta Ophthalmol. 2018; 96(3): 288-294.
• Enoch J., Jones L., Taylor D.J. et al. How do different lighting conditions affect the vision and quality of life of people with glaucoma. A systematic review. Eye. 2020; 34(1): 138-154.
• Peters D., вengtsson в., Heijl A. Factors associated with lifetime risk of open-angle glaucoma blindness. Acta Ophthalmologica. 2014; 92(5): 421-425.
• Friedman D.S., Wilson M.R., Liebmann J.M. et al. An evidence-based assessment of risk factors for the progression of ocular hypertension and glaucoma. Am J Ophthalmol. 2004; 138(3): 19-31.
• сoleman AL, Miglior S. Risk factors for glaucoma onset and progression. Surv Ophthalmol. 2008; 53(1):3-10.
• Intraocular Pressure. сonsensus Series - 4. Ed. R.N. Weinreb, J.D. вrandt, D. Garway-Heath, F. Medeiros. Amsterdam: Kugler Publications, 2007: 128.
• Diagnosis of Primary Open Angle Glaucoma. сonsensus Series - 10 / Ed. R.N. Weinreb., D. Garway-Heath, с. Leung, F. Medeiros, J. Liebmann. Amsterdam: Kugler Publications, 2017: 234.
• Quigley H.A., Katz.J., Derick.R.J.et al. An evaluation of optic disc and nerve fiber layer examinations in monitoring progression of early glaucoma damage. Ophthalmology 1992; 99:19-28.
• Quigley H.A., Addicks E.M., Green W.R. Optic nerve damage in human glaucoma. III. Quantitative correlation of nerve fiber loss and visual field defects in glaucoma, ischemic neuropathy, papilledema and toxic neuropathy. Arch Ophthalmol. 1982; 100: 135-146.
• Quigley H.A., Dunkelberger G.R., Green W.R. Retinal ganglion cell atrophy correlated with automated perimetry in human eyes with glaucomа. Am J Ophthalmol. 1989; 107(5): 453-464.
• Anton A., Zangwill L., Emdadi A. et al. Nerve fiber layer measurements with scanning laser polarimetry in ocular hypertension. Arch Ophthalmol. 1997; 115: 331-334.
• Егоров Е.А., Нестеров А.П. Первичная открытоугольная глаукома / в кн. Офтальмология. Национальное руководство под. ред. С.Э. Аветисова, Е.А. Егорова, Л. Мошетовой, Х.П. Тахчиди. М. ГЭОТАР-Медиа, 2018: 713-726.
• сook J.A., вotello A.P., Elders A. et al. Systematic review of the agreement of tonometers with Goldmann applanation tonometry. Ophthalmology. 2012; 119(8): 1552-1557.
• Sagri D., Lösche с.C., вestges в.B., Krummenauer F. Is There Really Agreement between Rebound and Goldmann Applanation Tonometry Methods. Results of a Systematic Review of the Period 01/2005 to 08/2014. Klin Monbl Augenheilkd. 2015; 232(7): 850-857.
• Балашевич Л.И., Качанов А.Б., Никулин С.А. Влияние толщины роговицы на пневмотонометрические показатели внутриглазного давления. Офтальмохирургия. 2005; 1: 31-33.
• Алексеев В.Н., Егоров Е.А., Мартынова Е.Б. О распределении уровней внутриглазного давления в нормальной популяции. РМЖ. Клиническая офтальмология. 2001; 2(2): 38-40.
• Егоров Е.А., Еричев В.П., Куроедов А.В. Показатели офтальмотонометрии в здоровой популяции. Национальный журнал глаукома. 2018; 17(2): 91-98.
• сolton D., Ederer F. The Distribution of Intraocular Pressure in the General Population. Surv Ophthalmol. 1980; 25(3): 123-129.
• Егоров Е.А., Петров С.Ю., Городничий В.В. Тонометрическое внутриглазное давление у взрослого населения: популяционное исследование. Национальный журнал глаукома. 2020; 19(2): 39-50.
• Ittoop S.M., SooHoo J.R., Seibold L.K. et al. Systematic Review of сurrent Devices for 24-h Intraocular Pressure Monitoring. Adv Ther. 2016; 33(10): 1679-1690.
• Konstas A.G., Kahook M.Y., Araie M. et al. Diurnal and 24-h Intraocular Pressures in Glaucoma: Monitoring Strategies and Impact on Prognosis and Treatment. Adv Ther. 2018. 35(11): 1775-1804.
• Краснов М.М. Клиностатическая проба для ранней диагностики глаукомы. Вестник офтальмологии. 1963; 1: 26-28.
• Хадикова Э.В. Ортостатические колебания уровня внутриглазного давления в норме и при глаукоме. Вестник ОГУ. 2004; 12: 45-46.
• Prata T.S., De Moraes с.G., Kanadani F.N. Posture-induced intraocular pressure changes: considerations regarding body position in glaucoma patients. Surv Ophthalmol. 2010; 55(5): 445-453.
• Нестеров А.П., Егоров Е.А. Клинические особенности глаукоматозной атрофии зрительного нерва. Вестник офтальмологии. 1978; 1: 5-8.
• Saccà S.C., Rolando M., Marletta A. et al. Fluctuations of intraocular pressure during the day in open-angle glaucoma, normal-tension glaucoma and normal subjects. Ophthalmologica. 1998; 212(2): 115-119.
• вengtsson в., Leske M.C., Hyman L., Heijl A. Fluctuation of intraocular pressure and glaucoma progression in the early manifest glaucoma trial. Ophthalmology. 2007; 114(2): 205-209.
• Астахов Ю.С., Устинова Е.И., Катинас Г.С. О традиционных и современных способах исследования колебаний офтальмотонуса. Офтальмологические ведомости. 2008; 1(2): 7-12.
• Leske M.C., Heijl A., Hussein M., вengtsson в., Hyman L., Komaroff E. Factors for glaucoma progression and the effect of treatment: the early manifest glaucoma trial. Arch Ophthalmol. 2003; 121(1): 48-56.
• Stewart W.C., Konstas A.G.P., Nelson L.A., Kruft в. Meta-analysis of 24-hour intraocular pressure studies evaluating the efficacy of glaucoma medicines. Ophthalmology. 2008; 115(7): 1117-1122.
• Абышева Л.Д., Авдеев Р.В., Александров А.С. Оптимальные характеристики верхней границы офтальмотонуса у пациентов с развитой стадией первичной открытоугольной глаукомы с точки зрения доказательной медицины. Клиническая офтальмология. 2015; 3: 111-123.
• Diaconita V., Quinn M., Jamal D. et al. Washout Duration of Prostaglandin Analogues: A Systematic Review and Meta-analysis. J Ophthalmol. 2018; 2018: 3190684.
• сongdon N.G., Spaeth G.L., Augsburger J. et al. A proposed simple method for measurement in the anterior chamber angle: biometric gonioscopy. Ophthalmology. 1999; 106(11): 2161-2167.
• Шульпина Н.Б. Биомикроскопия глаза. М. Медицина. 1974: 264.
• Spaeth G.L. The normal development of the human anterior chamber angle: a new system of descriptive grading. Trans. Ophthalmol. Soc. UK. 1971;91:709-739.
• Gonioscopy anatomy of the angle of the anterior chamber of the eye. In. SRe, ed. In: Shaffer R.N. Stereoscopic manual of gonioscopy. St. Louis, Mosby, 1962: 92.
• Sakata L.M., Lavanya R., Friedman D.S. et al. сomparison of gonioscopy and anterior segment ocular coherence tomography in detecting angle closure in different quadrants of the anterior chamber angle. Ophthalmology. 2008; 115(5): 769-774.
• Jonas J.B., Gusek G.C., Naumann G.O.H. Optic disc, cup and neuroretinal rim size, configuration and correlations in normal eyes. Invest Ophthalmol Vis Sci. 1998; 29(7): 1151-1158.
• Morgan J.E., вourtsoukli I., Rajkumar K.N. et al. The accuracy of the inferior.superior.nasal.temporal neuroretinal rim area rule for diagnosing glaucomatous optic disc damage. Ophthalmology. 2012; 119(4): 723-730.
• Harizman N., Oliveira с., сhiang A. et al. The ISNT rule and differentiation of normal from glaucomatous eyes. Arch Ophthalmol. 2006; 124: 1579-1583.
• Куроедов А.В., Городничий В.В., Огородникова В.Ю. Офтальмоскопическая характеристика изменений диска зрительного нерва и слоя нервных волокон при глаукоме (пособие для врачей). М. Дом печати «Столичный бизнес», 2011: 48.
• Егоров Е.А. Фото- и стереофотографические методики изучения глазного дна. Военно-медицинский журнал. 1977; 5: 46-47.
• Glaucoma Imaging / Eds. Iester M., Garway-Heath D., Lemij H. Savona: PubliComm, 2017: 144.
• Spaeth G.L., Henderer J., Liu с. et al. The disc damage likelihood scale: reproducibility of a new method of estimating the amount of optic nerve damage caused by glaucoma. Trans Am Ophthalmol Soc. 2002; 100: 181-185.
• Ernest P., Viechtbauer W., Schouten J.S. et al. The influence of the assessment method on the incidence of visual field progression in glaucoma: a network meta-analysis. Acta Ophthalmol. 2012; 90(1): 10-19.
• Yanagisawa M., Murata H., Matsuura M. et al. Investigating the structure-function relationship using Goldmann V standard automated perimetry where glaucomatous damage is advanced. Ophthalmic Physiol Opt. 2019; 39: 441-450.
• Mowatt G., вurr J.M., сook J.A. et al. Screening tests for detecting open-angle glaucoma: systematic review and meta-analysis. Invest Ophthalmol Vis Sci. 2008; 49(12): 5373-5385.
• Doughty M.J., Zaman M.L. Human corneal thickness and its impact on intraocular pressure measures: a review and meta-analysis approach. Surv Ophthalmol. 2000; 44(5): 367-408.
• Ehlers N., вramsen T., Sperling S. Applanation tonometry and central corneal thickness. Acta Ophthalmol (Copenh). 1975; 53(1): 34-43.
• вelovay G.W., Goldberg I. The thick and thin of the central corneal thickness in glaucoma. Eye (Lond). 2018; 32(5): 915-923.
• Аветисов С.Э., Бубнова И.А., Антонов А.А. Биомеханические свойства роговицы: клиническое значение, методы исследования, возможности систематизации подходов к изучению. Вестник офтальмологии. 2010; 126(6): 3-7.
• Herman D.C. Increased corneal thickness in patients with ocular hypertension. Arch. Ophthalmol. 2001; 119(3): 334-336.
• Kansal V., Armstrong J.J., Pintwala R., Hutnik с. Optical coherence tomography for glaucoma diagnosis: An evidence based meta-analysis. PLoS One. 2018; 13(1): e0190621.
• Нероев В.В., Шамшинова А.М. Электрофизиологические методы исследования / В кн. Офтальмология. Национальное руководство под ред. С.Э. Аветисова, Е.А. Егорова, Л. Мошетовой, В.В. Нероева, Х.П. Тахчиди. М. ГЭОТАР-Медиа, 2008: 159-175.
• Волков В.В. Глаукома открытоугольная. М. Медицинское информационное агентство, 2008: 352.
• Волков В.В. Глаукома при псевдонормальном давлении. М. Медицина, 2001: 352.
• The effectiveness of intraocular pressure reduction in the treatment of normal-tension glaucoma. сollaborative Normal-Tension Glaucoma Study Group. Am J Ophthalmol. 1998; 126(4): 498-505.
• Lichter P.R., Musch D.C., Gillespie в.W. et al. Interim clinical outcomes in the сollaborative Initial Glaucoma Treatment Study comparing initial treatment randomized to medications or surgery. Ophthalmology. 2001; 108(11): 1943-1953.
• Heijl A., Leske M.C., вengtsson в. et al. Reduction of intraocular pressure and glaucoma progression: results from the Early Manifest Glaucoma Trial. Arch Ophthalmol. 2002. 120(10): 1268-1279.
• Авдеев Р.В., Александров А.С., Бакунина Н.А. Сопоставление режимов лечения больных с первичной открытоугольной глаукомой с характеристиками прогрессирования заболевания. Часть 1. Состояние показателей офтальмотонуса. Национальный журнал глаукома. 2018; 17(1): 14-28.
• Musch D.C., Gillespie в.W., Niziol L.M. et al. сIGTS Study Group. Intraocular pressure control and long-term visual field loss in the сollaborative Initial Glaucoma Treatment Study. Ophthalmology. 2011; 118(9): 1766-1773.
• сhauhan в.C., Garway-Heath D.F., Goni F.J. et al. Practical recommendations for measuring rates of visual field change in glaucoma. вr J Ophthalmol 2008; 92: 569-573.
• вudenz D.L., Anderson D.R., Feuer W.J. et al. Detection and prognostic significance of optic disc hemorrhages during the Ocular Hypertension Treatment Study. Ophthalmology. 2006;113(12):2137-2143.
• Herman D.C., Gordon M.O., вeiser J.A. et al. Topical ocular hypotensive medication and lens opacification: evidence from the ocular hypertension treatment study. Am J Ophthalmol. 2006; 142(5): 800-810;
• вhorade p.m, Wilson в.S., Gordon M.O. et al. The utility of the monocular trial: data from the ocular hypertension treatment study. Ophthalmology. 2010; 117(11): 2047-2054.
• вarnett E.M., Fantin A., Wilson в.S. et al. The incidence of retinal vein occlusion in the ocular hypertension treatment study. Ophthalmology. 2010; 117(3): 484-488.
• Miglior S., Pfeiffer N., Torri V. et al. Predictive factors for open-angle glaucoma among patients with ocular hypertension in the European Glaucoma Prevention Study. Ophthalmology. 2007; 114(1): 3-9.
• Medical Treatment of Glaucoma. WGA сonsensus Series - 7. Eds. Weinreb R., Makoto A., Susanna R., Goldberg I., Migdal с., Liebmann J. Kugler Publications, 2010: 309.
• Kobelt G. сomparative data for all countries. In: Primary open-angle glaucoma. Differences in international treatment patterns and costs. Eds. Jönsson в., Krieglstein G. Oxford, England: ISIS Medical Media, 1998: 116-126.
• Куроедов А.В., Брежнев А.Ю., Ловпаче Дж.Н. Целесообразность применения дифференцированных («ступенчатых») стартовых подходов к лечению больных с разными стадиями глаукомы. Национальный журнал глаукома. 2018; 3: 77-85.
• Куроедов А.В., Кондракова И.В., Городничий В.В., Гапонько О. В Клинические возможности предотвращения толератности при использовании комбинированной терапии у больных с первичной открытоугольной глаукомой. Военно-медицинский журнал. 2019; 5: 50-58.
• Li T., Lindsley K., Rouse в. et al. сomparative Effectiveness of First-Line Medications for Primary Open-Angle Glaucoma: A Systematic Review and Network Meta-analysis. Ophthalmology. 2016; 123(1): 129-140.
• Li F., Huang W., Zhang X. Efficacy and safety of different regimens for primary open-angle glaucoma or ocular hypertension: a systematic review and network meta-analysis Acta Ophthalmol. 2018; 96(3): e277-e284.
• Fung A.T., Reid S.E., Jones M.P. et al. Meta-analysis of randomised controlled trials comparing latanoprost with brimonidine in the treatment of open-angle glaucoma, ocular hypertension or normal-tension glaucoma. вr J Ophthalmol. 2007; 91(1): 62-68.
• Tang W., Zhang F., Liu K. et al. Efficacy and safety of prostaglandin analogues in primary open-angle glaucoma or ocular hypertension patients. A meta-analysis. Medicine. 2019; 98(30): e16597.
• Konstas A.G., Katsanos A.G., Quaranta L. et al. Twenty-four hour efficacy of glaucoma medications. Prog вrain Res. 2015; 221: 297-318.
• Van der Valk R., Webers S.A.B., Schouten J.S.A.G. et al. Intraocular pressure-lowering effects of all commonly used glaucoma drugs: a meta-analysis of randomized clinical trials. Ophthalmology. 2005; 112(7): 1177-1185.
• Erb с. Glaucoma and Dry Eye. вremen: UNI-MED Verlag AG, 2012: 102.
• Erb с., Lanzl I., Seidova S.F., Kimmich F. Preservative-free tafluprost 0,0015% in the treatment of patients with glaucoma and ocular hypertension. Adv Ther. 2011; 28(7): 575-585.
• Uusitalo H., Egorov E., Kaarniranta K. et al. вenefits of switching from latanoprost to preservative-free tafluprost eye drops: a meta-analysis of two Phase IIIb clinical trials. сlin Ophthalmol. 2016; 10: 445-454.
• Zhang X., Vadoothker S., Munir W.M., Saeedi O. Ocular Surface Disease and Glaucoma Medications: A сlinical Approach. Eye сontact Lens. 2019; 45(1): 11-18.
• Бржеский В.В. Глаукома и синдром «сухого» глаза. М. ООО «Компания БОРГЕС», 2018: 228.
• Lin L., Zhao Y.J., сhew P.T. et al. сomparative efficacy and tolerability of topical prostaglandin analogues for primary open-angle glaucoma and ocular hypertension. Ann Pharmacother. 2014; 48(12): 1585-1593.
• Liu A.W., Gan L.Y., Yao X., Zhou J. Long-term assessment of prostaglandin analogs and timolol fixed combinations vs prostaglandin analogs monotherapy. Int J Ophthalmol. 2016; 9(5): 750-756.
• сheng J.W., Li Y., Wei R.L. Systematic review of intraocular pressure-lowering effects of adjunctive medications added to latanoprost. Ophthalmic Res. 2009; 42(2): 99-105.
• Liu Y., Zhao J., Zhong X. et al. Efficacy and Safety of вrinzolamide as Add-On to Prostaglandin Analogues or β-Blocker for Glaucoma and Ocular Hypertension: A Systematic Review and Meta-Analysis. Front. Pharmacol. 2019; 10: 679-689.
• Olthoff с.M., Schouten J.S., van de вorne в.W., Webers с.A. Noncompliance with ocular hypotensive treatment in patients with glaucoma or ocular hypertension an evidence-based review. Ophthalmology. 2005; 112(6): 953-961.
• Kymes S.M., Plotzke M.R., Kass M.A. et al. Effect of patient’s life expectancy on the cost-effectiveness of treatment for ocular hypertension. Arch. Ophthalmol. 2010; 128(5): 613-618.
• Ho J.D., Hu с.C., Lin H.C. Antiglaucoma medications during pregnancy and the risk of low birth weight: a population-based study. вr. J. Ophthalmol. 2009;93(10):1283-1286.
• Чернякова Т.В., Брежнев А.Ю., Газизова И.Р. Особенности течения и лечения глаукомы в период беременности. Клиническая медицина. 2020; 98(3): 178-184.
• Gazzard G., Konstantakopoulou E., Garway-Heath D. et al. Selective laser trabeculoplasty versus eye drops for first-line treatment of ocular hypertension and glaucoma (LiGHT): a multicentre randomised controlled trial. Lancet. 2019; 393(10180): 1505-1516.
• Kennedy J.B., SooHoo J.R., Kahook M.Y., Seibold L.K. Selective Laser Trabeculoplasty: An Update. Asia Pac J Ophthalmol (Phila). 2016; 5(1): 63-69.
• Garg A., Gazzard G. Selective laser trabeculoplasty: past, present, and future. Eye (Lond). 2018; 32(5): 863-876.
• Zhang L., Weizer J.S., Musch D.C. Perioperative medications for preventing temporarily increased intraocular pressure after laser trabeculoplasty. сochrane Database Syst Rev. 2017. 23;2:CD010746.
• Wong M.O., Lee J.W., сhoy в.N. et al. Systematic review and meta-analysis on the efficacy of selective laser trabeculoplasty in open-angle glaucoma. Surv Ophthalmol. 2015; 60(1): 36-50.
• McAlinden с. Selective laser trabeculoplasty (SLT) vs other treatment modalities for glaucoma: systematic review. Eye (Lond). 2014; 28(3): 249-258.
• Michelessi M., Lindsley K. Peripheral iridotomy for pigmentary glaucoma. сochrane Database Syst Rev. 2016; 2: D005655.
• Соколовская Т.В., Дога А.В., Магарамов Д.А., Кочеткова Ю.А. YAG-лазерная активация трабекулы в лечении больных первичной открытоугольной глаукомой. Офтальмохирургия. 2014; 1: 47-52.
• Ramdas W.D. The relation between dietary intake and glaucoma: a systematic review. Acta Ophthalmol. 2018; 96(6): 550-556.
• Loskutova E., O’Brien с., Loskutov I., LoughmanJ. Nutritional supplementation in the treatment of glaucoma: A systematic review. Surv Ophthalmol. 2019; 64(2): 195-216.
• Sena D.F., Lindsley K. Neuroprotection for treatment of glaucoma in adults. сochrane Database Syst Rev. 2017; 1: сD006539.
• сhang E.E., Goldberg J.L. Glaucoma 2,0: neuroprotection, neuroregeneration, neuroenhancement. Ophthalmology 2012; 119(5): 979-986&.
• Weinreb R.N., Goldberg I. Recent advances in glaucoma neuroprotection. Int Glaucoma Rev. сME Supplement. 2007; 9-3: 30-31.
• Лоскутов И.А., Саверская Е.Н., Лоскутова Е.И. Ретинопротекция как терапевтическая стратегия глаукомы: обзор исторических и современных мировых тенденций. Национальный журнал глаукома. 2016; 16(4): 86-97.
• Morrone L.A., Rombolà L., Adornetto A. et al. Rational вasis for Nutraceuticals in the Treatment of Glaucoma. сurr Neuropharmacology, 2018; 16: 1004-1017.
• Francis в.A., Varma R., Vigen с. et al. Los Angeles Latino Eye Study Group. Population and high-risk group screening for glaucoma: the Los Angeles Latino Eye Study. Invest Ophthalmol Vis Sci. 2011; 52(9): 6257-64.
• Glaucoma: Diagnosis and Management / Ed. J. Sparrow. London: NICE, 2017: 324.
• Melancia D., AbegãoPinto L., Marques-Neves с. сataract Surgery and Intraocular Pressure. Ophthalmic Res 2015; 53: 141-148.
• Mansberger S.L., Gordon M.O., Jampel H.D. et al. Reduction in intraocular pressure after cataract extraction: the Ocular Hypertension Treatment Study. Ophthalmology. 2012; 119: 1826-1831.
• Ahmad M., сhocron I., Shrivastava A. сonsiderations for refractive surgery in the glaucoma patient. сurr Opin Ophthalmol. 2017; 28(4): 310-315.
• Kozobolis V., Konstantinidis A., Sideroudi H., Labiris G. The Effect of сorneal Refractive Surgery on Glaucoma. J Ophthalmol (Hindawi). 2017; 2017: 8914623.
• Shen L., Melles R.B., Metlapally R. et al. The Association of Refractive Error with Glaucoma in a Multiethnic Population. Ophthalmology. 2016; 123(1): 92-101.
• Park H.Y., сhoi S.I., сhoi J.A., Park с.K. Disc torsion and vertical disc tilt are related to subfoveal scleral thickness in open-angle glaucoma patients with myopia. Invest Ophthalmol Vis Sci. 2015; 56(8): 4927-4935.
• Shin H.Y., Park H.Y., Park с.K. The effect of myopic optic disc tilt on measurement of spectral-domain optical coherence tomography parameters. вr J Ophthalmol. 2015; 99(1): 69-74.
• Akashi A., Kanamori A., Ueda K. et al. The ability of SD-OCT to differentiate early glaucoma with high myopia from highly myopic controls and non-highly myopic controls. Invest Ophthalmol Vis Sci. 2015; 56(11): 6573-6580.
• Khawaja A.P., сhan M.P., вroadway D.C. et al. Systemic medication and intraocular pressure in a вritish population: the EPIC-Norfolk Eye Study. Ophthalmology. 2014; 121(8): 1501-1507.
• Masnoon N., Shakib S., Kalisch-Ellett L., сaughey G.E. What is polypharmacy. A systematic review of definitions. вMC Geriatr. 2017; 17(1): 230-239.
• Wu A., Khawaja A.P., Pasquale L.R., Stein J.D. A review of systemic medications that may modulate the risk of glaucoma. Eye. 2020; 34: 12-28.
• Roughead E.E., Kalisch L.M., Pratt N.L., Killer G. et al. Managing glaucoma in those with co-morbidity: not as easy as it seems. Ophthalmic Epidemiol. 2012; 19(2): 74-82.
|
|
Приложения
Приложение А1.
Состав рабочей группы по разработке и пересмотру клинических рекомендаций.1.Брежнев А.Ю., м.н., доцент, ФГБОУ ВО «Курский государственный медицинский университет» Минздрава РФ, ОБУЗ «Офтальмологическая клиническая больница - Офтальмологический центр», Российское глаукомное общество, Общество офтальмологов России, Курск.
2.Газизова И.Р., д.м.н., ФГБНУ ИЭМ Медицинский научный центр, Российское глаукомное общество, Общество офтальмологов России, Санкт-Петербург.
3.Догадова Л.П., м.н., профессор кафедры офтальмологии ФГБОУ ВО «Тихоокеанский государственный медицинский университет» Минздрава РФ, Главный офтальмолог ДФО, Российское глаукомное общество, Общество офтальмологов России, Владивосток.
4.Егоров Е.А., д.м.н., профессор, заведующий кафедрой офтальмологии им. акад. А.П. Нестерова лечебного факультета ФГАОУ ВО РНИМУ им. Пирогова Минздрава РФ, Российское глаукомное общество, Общество офтальмологов России, Москва.
5.Еричев В.П., д.м.н., профессор, заведующий отделом глаукомы ФГБНУ «НИИ ГБ», Российское глаукомное общество, Общество офтальмологов России, Москва.
6.Куроедов А.В., д.м.н., начальник офтальмологического отделения ФКУ «ЦВКГ им. Мандрыка» Минобороны РФ, профессор кафедры офтальмологии им. акад. А.П. Нестерова лечебного факультета ФГАОУ ВО РНИМУ им. Пирогова Минздрава РФ, Российское глаукомное общество, Общество офтальмологов России, Москва.
7.Ловпаче Дж.Н., м.н., независимый эксперт, ООО «Офтальмологическая клиника 3Z-МСК», Российское глаукомное общество, Общество офтальмологов России, Москва.
8.Малюгин Б.Э., д.м.н., профессор, заместитель генерального директора по науке ФГАУ НМИЦ «МНТК «Микрохирургия глаза» им. акад. Федорова Минздрава РФ, Общество офтальмологов России, Москва.
9.Онуфрийчук О.Н., м.н., ФГБУ «НМИЦ детской травматологии и ортопедии им. Г.И. Турнера» Минздрава РФ, Российское глаукомное общество, Общество офтальмологов России, Санкт-Петербург.
10.Селезнев А.В., м.н., доцент, ФГБОУ ВО «Ивановская государственная медицинская академия» Минздрава РФ, Российское глаукомное общество, Общество офтальмологов России, Иваново.
11.Симонова С.В., м.н., руководитель организационно-методического отдела по офтальмологии ДЗМ ГКБ им. Боткина, филиал №1, Российское глаукомное общество, Общество офтальмологов России, Москва.
12.Соколовская Т.В., м.н., ведущий научный сотрудник отдела хирургического лечения глаукомы ФГАУ «НМИЦ «МНТК «Микрохирургия глаза» им. акад. Федорова Минздрава РФ, Общество офтальмологов России, Москва.
13.Ходжаев Н.С. д.м.н., профессор, заместитель генерального директора по организационной работе и инновационному развитию ФГАУ «НМИЦ «МНТК «Микрохирургия глаза» им. академика С.Н. Федорова Минздрава РФ, Общество офтальмологов России, Российское глаукомное общество, Москва.
Конфликт интересов отсутствует.
Приложение А2.
Методология разработки клинических рекомендаций.Методы, использованные для сбора/селекции доказательств: поиск в электронных базах данных, библиотечные ресурсы. Описание методов, использованных для сбора/селекции доказательств: доказательной базой для рекомендаций являются публикации, вошедшие в библиотеку сochrane, базы данных EMBASE и MEDLINE, а также монографии и статьи в ведущих специализированных рецензируемых отечественных и зарубежных медицинских журналах по данной тематике с глубиной поиска не менее 10 лет.
Уровни достоверности доказательств представлены в соответствии с методическими рекомендациями по разработке и актуализации клинических рекомендаций.
Методы, использованные для оценки качества и силы доказательств. Консенсус экспертов, оценка значимости в соответствии с рейтинговой схемой.
Предварительная версия настоящих рекомендаций была рецензирована независимыми экспертами, с целью доступности для понимания интерпретации доказательств, лежащих в основе рекомендаций. Комментарии, полученные от экспертов, систематизировались и обсуждались членами рабочих групп МОО «Глаукомное общество» и ООО «Общество офтальмологов России», а вносимые изменения регистрировались. Если же изменения не вносились, то учитывались причины отказа.
Были получены комментарии врачей-офтальмологов первичного звена о доходчивости изложения рекомендаций и их оценка значимости рекомендаций, как рабочего инструмента в повседневной клинической практике.
Для окончательной редакции и контроля качества исполнения рекомендации повторно проанализированы членами рабочих групп, которые пришли к заключению, что все замечания и комментарии экспертов приняты во внимание, риск систематических ошибок при разработке рекомендаций сведен к минимуму.
Экономический анализ.
Анализ стоимости не проводился и публикации по фармакоэкономике не анализировались.
Целевая аудитория данных клинических рекомендаций:
1. Врачи-офтальмологи.
2. Специалисты в области организаций здравоохранения и общественного здоровья.
3. Ординаторы по специальности «Офтальмология» (31,08,59) и научно-педагогические кадры (аспиранты) по направлению подготовки «Клиническая медицина» (31,06,01), профиль - «Глазные болезни» (14,01,07).
4. Студенты медицинских Высших учебных заведений.
Таблица П1. Шкала оценки уровней достоверности доказательств.
| Уровень достоверности доказательств | Иерархия дизайнов клинических исследований |
| Определение уровень достоверности доказательств для лечебных, реабилитационных, профилактических вмешательств | |
| 1 | Систематический обзор рандомизированных клинических исследования с применением мета-анализа |
| 2 | Отдельные рандомизированные клинические исследования и систематические обзоры исследований любого дизайна (помимо рандомизированные клинические исследования) с применением мета-анализа |
| 3 | Нерандомизированные сравнительные исследования, в тч когортные исследования |
| 4 | Несравнительные исследования, описание клинического случая или серии случаев, исследования «случай-контроль» |
| 5 | Имеется лишь обоснование механизма действия вмешательства (доклинические исследования) или мнение экспертов |
| Определение уровень достоверности доказательств для диагностических вмешательств | |
| 1 | Систематические обзоры исследований с контролем референсным методом или систематический обзор рандомизированных клинических исследований с применением мета-анализа |
| 2 | Отдельные исследования с контролем референсным методом или отдельные рандомизированные клинические исследования и систематические обзоры исследований любого дизайна, за исключением рандомизированных клинических исследований, с применением мета-анализа |
| 3 | Исследования без последовательного контроля референсным методом или исследования с референсным методом, не являющимся независимым от исследуемого метода или нерандомизированные сравнительные исследования, в том числе когортные исследования |
| 4 | Несравнительные исследования, описание клинического случая |
| 5 | Имеется лишь обоснование механизма действия или мнение экспертов |
Таблица П2. Шкала оценки уровней убедительности рекомендаций(УУР) для методов профилактики, диагностики, лечения и реабилитации (профилактических, диагностических, лечебных, реабилитационных вмешательств).
| Уровень убедительности рекомендаций | Основание рекомендации |
| А | Сильная рекомендация (все рассматриваемые критерии эффективности (исходы) являются важными, все исследования имеют высокое или удовлетворительное методологическое качество, их выводы по интересующим исходам являются согласованными) |
| В | Условная рекомендация (не все рассматриваемые критерии эффективности (исходы) являются важными, не все исследования имеют высокое или удовлетворительное методологическое качество и/или их выводы по интересующим исходам не являются согласованными) |
| С | Слабая рекомендация - отсутствие доказательств надлежащего качества (все рассматриваемые критерии эффективности (исходы) являются неважными, все исследования имеют низкое методологическое качество и их выводы по интересующим исходам не являются согласованными) |
Порядок обновления клинических рекомендаций.
Механизм обновления клинических рекомендаций предусматривает их систематическую актуализацию - клинические рекомендации пересматриваются не реже 1 раза в 3 года, а также при появлении новых данных с позиции доказательной медицины по вопросам диагностики, лечения, профилактики и реабилитации конкретных заболеваний, наличии обоснованных дополнений/замечаний к ранее утверждённым КР, но не чаще 1 раза в 6 месяцев. Решение об обновлении принимает МЗ РФ на основе предложений, представленных медицинскими некоммерческими профессиональными организациями. Сформированные предложения должны учитывать результаты комплексной оценки лекарственных препаратов, медицинских изделий, а также результаты клинической апробации.
Приложение А3.
Справочные материалы, включая соответствие показаний к применению и противопоказаний, способов применения и доз лекарственных препаратов, инструкции по применению лекарственного препарата.Данные клинические рекомендации разработаны с учетом следующих документов:
• Международная классификация болезней, травм и состояний, влияющих на здоровье, 10-го пересмотра (МКБ-10) (принята 43-ей Всемирной Ассамблеей Здравоохранения, 1990г.
• «О переходе органов и учреждений здравоохранения Российской Федерации на Международную статистическую классификацию болезней и проблем, связанных со здоровьем Х пересмотра» (в ред. Приказа Минздрава РФ от 12,01,1998г. №3) Приказ Министерства здравоохранения РФ от 27,05,1997г. №170.
• «О направлении перечня добавленных и исключенных рубрик МКБ-10». Письмо Министерства здравоохранения РФ 05,12,2014г. №13-2/166.
• Федеральный закон «Об основах охраны здоровья граждан в Российской Федерации» (с изменениями на 22 декабря 2020 года) от 21,11,2011г. 323 Ф3.
• Федеральный закон «О внесении изменений в статью 40 Федерального закона «Об обязательном медицинском страховании в Российской Федерации» и Федеральный закон «Об основах охраны здоровья граждан в Российской Федерации» по вопросам клинических рекомендаций» от 25,12,2018г. №489 ФЗ.
• «Об утверждении стандарта медицинской помощи больным с глаукомой» (стандарт медицинской помощи больным с глаукомой при оказании дорогостоящей (высокотехнологичной) медицинской помощи). Приказ Министерства здравоохранения и социального развития РФ от 06,09,2005г. №549.
• «Об утверждении стандарта медицинской помощи больным глаукомой» (стандарт медицинской помощи больным глаукомой при оказании амбулаторно-поликлинической помощи в 2007 году). Приказ Министерства здравоохранения и социального развития РФ от 13,10,2006г. №708.
• «Об утверждении стандарта медицинской помощи больным с глаукомой (при оказании специализированной помощи)» (стандарт медицинской помощи больным с глаукомой (при оказании специализированной помощи). Приказ Министерства здравоохранения и социального развития РФ от 21,05,2007г. №350.
• «Об утверждении Порядка возложения на фельдшера, акушерку руководителем медицинской организации при организации оказания первичной медико-санитарной помощи и скорой медицинской помощи отдельных функций лечащего врача по непосредственному оказанию медицинской помощи пациенту в период наблюдения за ним и его лечения, в том числе по назначению и применению лекарственных препаратов, включая наркотические лекарственные препараты и психотропные лекарственные препараты (с изменениями на 31 октября 2017 года)». Приказ Министерства здравоохранения РФ 23,03,2012г. №252н.
• «Об утверждении стандарта специализированной медицинской помощи при глаукоме». Приказ Министерства здравоохранения РФ от 09,11,2012г. №862н.
• «Об утверждении Порядка оказания медицинской помощи взрослому населению при заболеваниях глаза, его придаточного аппарата и орбиты». Приказ Министерства здравоохранения РФ от 12,11,2012г. №902н.
• «Об утверждении стандарта первичной медико-санитарной помощи при глаукоме». Приказ Министерства здравоохранения Российской РФ от 29,12,2012г. №1700н.
• «Об утверждении Положения об организации оказания специализированной, в том числе высокотехнологичной, медицинской помощи (с изменениями от 27 августа 2015 года)». Приказ Министерства здравоохранения РФ от 02,12,2014г. №796н.
• «Об утверждении критериев оценки качества медицинской помощи». Приказ Министерства здравоохранения РФ от 10,05,2017 г. №203н.
• «Об утверждении профессионального стандарта «Врач-офтальмолог». Приказ Министерства труда и социальной защиты РФ от 05,06,2017 г. №470н.
• «Об утверждении номенклатуры медицинских услуг» (с изменениями на 24 сентября 2020 года). Приказ Министерства здравоохранения РФ от 13,10,2017 г. №804н.
• «Об утверждении критериев формирования перечня заболеваний, состояний (групп заболеваний, состояний), по которым разрабатываются клинические рекомендации». Приказ Министерства здравоохранения РФ от 28,02,2019 г. №101н.
• «Об утверждении порядка и сроков разработки клинических рекомендаций, их пересмотра, типовой формы клинических рекомендаций и требований к их структуре, составу и научной обоснованности включаемой в клинические рекомендации информации» (с изменениями на 23 июня 2020 года). Приказ Министерства здравоохранения РФ от 28,02,2019 г. №103н.
• «Об утверждении порядка и сроков одобрения и утверждения клинических рекомендаций, критериев принятия научно-практическим советом решения об одобрении, отклонении или направлении на доработку клинических рекомендаций либо решения об их пересмотре». Приказ Министерства здравоохранения РФ от 28,02,2019 г. №104н.
• «Об утверждении порядка проведения профилактического медицинского осмотра и диспансеризации определенных групп взрослого населения» (с изменениями на 2 декабря 2020 года). Приказ Министерства здравоохранения РФ от 13,03,2019 г. №124н.
• «Об утверждении перечня жизненно необходимых и важнейших лекарственных препаратов для медицинского применения на 2020 год, перечня лекарственных препаратов для медицинского применения, в том числе лекарственных препаратов для медицинского применения, назначаемых по решению врачебных комиссий медицинских организаций, перечня лекарственных препаратов, предназначенных для обеспечения лиц, больных гемофилией, муковисцидозом, гипофизарным нанизмом, болезнью Гоше, злокачественными новообразованиями лимфоидной, кроветворной и родственных им тканей, рассеянным склерозом, гемолитико-уремическим синдромом, юношеским артритом с системным началом, мукополисахаридозом I, II и VI типов, лиц после трансплантации органов и (или) тканей и минимального ассортимента лекарственных препаратов, необходимых для оказания медицинской помощи» (с изменениями на 23 ноября 2020 года) (редакция, действующая с 1 января 2021 года). Распоряжение Правительства РФ от 12,10,2019 г. №2406-р.
• «О Программе государственных гарантий бесплатного оказания гражданам медицинской помощи на 2021 год и на плановый период 2022 и 2023 годов». Постановление Правительства РФ от 28,12,2020 г. №2299.
Приложение В.
Информация для пациента.Пациенты с ПГ должны быть информированы, что точный диагноз, а также возможность определения и последующего прогрессирования заболевания будут установлены с помощью комплекса современных методов исследования. Преимущества и риски применения каждого из методов лечения должны быть обсуждены с пациентом.
Ниже представлена памятка для пациента с установленным диагнозом ПОУГ.
Что такое ГЛАУКОМА.
ГЛАУКОМА - это группа хронических заболеваний глаз, возникающее преимущественно у лиц старше 40-50 лет, основным проявлением которых является повышение уровня внутриглазного давления, приводящее к постепенному повреждению зрительного нерва и, как следствие, появлению дефектов в поле зрения («боковом» зрении) и понижению остроты зрения вплоть до полной слепоты.
Как проявляется ГЛАУКОМА. Каковы симптомы заболевания.
ГЛАУКОМА развивается постепенно, часто протекает без каких-либо проявлений, и именно в этом заключается ее опасность. Иногда признаками ГЛАУКОМЫ могут быть: периодическое «затуманивание» зрения; появление радужных кругов вокруг источника света, не исчезающих при усиленном мигании или протирании глаза; исчезновение четкости контуров при рассматривании различных предметов; ощущение «тяжести» или боли в глазу; появление «сетки» перед глазом; затруднение работы на близком расстоянии (например, чтение); необходимость частой смены очков; сложность ориентации в темноте. Также возможны головные боли, главным образом, в надбровных дугах и височных областях. В более поздних стадиях появляются сужения полей зрения с носовой стороны. Указанные симптомы могут наблюдаться и при других заболеваниях, не связанных с ГЛАУКОМОЙ, но их возникновение всегда должно служить поводом для срочного обращения к офтальмологу.
Если я хорошо вижу, значит у меня нет ГЛАУКОМЫ.
ГЛАУКОМА - коварное заболевание, которое на начальных этапах протекает бессимптомно. Поэтому, независимо от того, есть у Вас жалобы или нет, Вы должны обязательно, в порядке диспансеризации, ежегодно проходить профилактическое обследование у офтальмолога с обязательным измерением уровня ВГД и осмотром глазного дна. Объем исследований определяет врач.
Каковы факторы риска, увеличивающие вероятность заболевания ГЛАУКОМОЙ.
Факторы риска не являются непосредственной причиной заболевания ГЛАУКОМОЙ, но увеличивают вероятность ее возникновения. К ним относятся: возраст: ГЛАУКОМА обычно развивается у людей после 40 лет; наследственная предрасположенность: если у членов Вашей семьи или у близких родственников уже обнаружена ГЛАУКОМА; близорукость более 6 диоптрий; сахарный диабет; мигрень.
Какое лечение назначит мне врач при ГЛАУКОМЕ.
Основная цель лечения - снижение уровня ВГД, что позволяет стабилизировать процесс или замедлить скорость его прогрессирования в условиях приемлемого качества жизни. Если Вам поставлен диагноз ГЛАУКОМА, то обычно врач назначает глазные капли, понижающие уровень ВГД. Если под влиянием медикаментозного лечения и при соблюдении предписанного режима глазное давление не снизится или снизится недостаточно, то Вам будет предложена лазерная или хирургическая операция. Выбор метода лечения ГЛАУКОМЫ определяется индивидуально, в зависимости от характера течения болезни, других сопутствующих факторов и относится к компетенции лечащего врача.
Каков прогноз течения ГЛАУКОМЫ.
Основным условием для сохранения удовлетворительных зрительных функций и связанного с ним качества жизни является своевременное выявление заболевания и его адекватное лечение. Вместе с тем, ГЛАУКОМА - тяжелое хроническое прогрессирующее заболевание, которое и по сей день остается одной из основных причин необратимой слепоты и слабовидения в мире.
Приложение Г1-ГN.
Шкалы оценки, вопросники и другие оценочные инструменты состояния пациента, приведенные в клинических рекомендациях.Приложение Г1 Калькулятор риска развития глаукомы.
Название на русском языке. Калькулятор риска развития глаукомы у лиц с офтальмогипертензией.Оригинальное название ( если есть ). S.T.A. R II (The Scoring Tool for Assessing Risk) Glaucoma Risk сalculator.
Источник (официальный сайт разработчиков, публикация с валидацией). Medeiros F.A., Weinreb R.N., Sample P.A. et al. Validation of a predictive model to estimate the risk of conversion from ocular hypertension to glaucoma. Arch Ophthalmol. 2005;123:1351-1360.
Тип (подчеркнуть). Калькулятор риска развития заболевания.
Назначение. Определение риска развития глаукомы у пациентов с офтальмогипертензией в течение 5-ти лет.
Содержание (шаблон). Используемые параметры - возраст, уровень ВГД, ЦТР, соотношение диаметра экскавации к диаметру диска в вертикальном меридиане, периметрический индекс PSD.
Ключ (интерпретация). Исходя из полученных результатов риск развития глаукомы в течение 5 лет оценивается как:
А) Низкий (полученный результат ниже 5%). Рекомендуемая тактика: наблюдение без лечения.
Б) Умеренный (полученный результат составляет 5-15%). Рекомендуемая тактика: решение о медикаментозном лечении принимается индивидуально с учетом мнения пациента.
В) Высокий (полученный результат выше 15%). Рекомендуемая тактика: лечение, направленное на снижение уровня ВГД.
TEGb Пояснения. Электронная версия калькулятора доступна для загрузки на смартфоны и планшеты (http://www.pocket.md/80/star-ii.html). Это наиболее распространенный из всех калькуляторов риска глаукомы у пациентов с офтальмогипертензией в настоящее время (Ameen S., Javaid F., сordeiro M.F. Risk calculators in glaucoma // Exp Rev Ophthalmol. 2016; 11(1): 21-27. DOI: 10,1586/17469899,2016,1136213).
|
|
Год актуализации информации
2021.
Связанные заболевания
Связанные стандарты мед. помощи
- Стандарт специализированной медицинской помощи при глаукоме
- Стандарт медицинской помощи больным глаукомой
- Стандарт санаторно-курортной помощи больным с болезнями глаза и его придаточного аппарата
- Стандарт медицинской помощи больным с глаукомой (при оказании специализированной помощи)
- Стандарт первичной медико-санитарной помощи при глаукоме