Продолжая работу с сайтом, вы разрешаете использование сookies и соглашаетесь с политикой конфиденциальности.
.,о.,р..и.:г,.и.,н.;н.,а;,л.. .,н.:а,.х.,о.,д.;и.,т..с.:я,, ..н.;а., .,k;,i..b.:e,;r.,i.,s.,.;.r.:u,

Трифосаденин

ПроверьАналогиСравни
  1. Фармакологическая группа
  2. Латинское название
  3. Химическое название
  4. Используется в лечении
  5. Код CAS
  6. Фармакологическое действие
  7. Характеристика вещества
  8. Фармакодинамика
  9. Показания к применению
  10. Противопоказания
  11. Побочные эффекты
  12. Способ применения и дозы
  13. Аналоги по действию
  14. Входит в состав

Другие названия и синонимы

Triphosadenine.
Трифосаденин

Фармакологическая группа

Другие метаболики

Латинское название

 Triphosadeninum ( Triphosadenini).

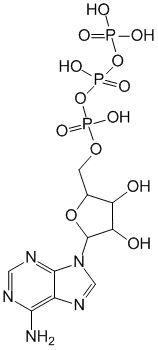
Химическое название

 Аденозин-5 -(тетрагидрогентрифосфат) (в виде натриевой соли).

Используется в лечении

Код CAS

 56-65-5.

Фармакологическое действие

 Антиаритмическое, метаболическое, улучшающее мозговое и коронарное кровообращение.

Характеристика вещества

 Белый кристаллический гигроскопический порошок. Раствор - бесцветная или слегка желтоватая жидкость с pH 7-7,3.

Фармакодинамика

 Является естественным макроэргическим соединением. Образуется в организме в результате окислительных реакций и в процессе гликолитического расщепления углеводов. Содержится во многих органах и тканях, но более всего - в скелетной мускулатуре, где АТФ при расщеплении выделяет энергию, необходимую для мышечного сокращения. Принимает участие в синтетических процессах - синтезе белка, мочевины, промежуточных продуктов обмена Выполняет роль медиатора в аденозиновых структурах, участвует в передаче импульсов в вегетативных волокнах и ганглиях. Обладает противоаритмическим эффектом, подавляя автоматизм синусного узла и проведение импульсов по волокнам Пуркинье (блокада кальциевых каналов и увеличение проницаемости для ионов калия). После парентерального введения проникает в клетки органов, где расщепляется на аденозин и неорганический фосфат с высвобождением энергии. В дальнейшем продукты распада включаются в ресинтез АТФ.

Показания к применению

 Мышечная дистрофия. миоатрофия. облитерирующий атеросклероз сосудов нижних конечностей. болезнь Рейно. облитерирующий тромбангиит. пароксизмальная суправентрикулярная тахикардия.

Противопоказания

 Гиперчувствительность, инфаркт миокарда в острый период.

Побочные эффекты

 Головная боль, головокружение, тахикардия, тошнота, полиурия.

Способ применения и дозы

 В/м - 1 мл 1% раствора 1-2 раза в сутки. Курс лечения - 30-40 инъекций. Повторный курс - через 1-2 мес. Для купирования пароксизма наджелудочковой тахикардии вводят в/в струйно 1-2 мл 1% раствора (эффект наступает через 30-40 с). Повторное введение - через 2-3 мин.

Аналоги по действию

Входит в состав

42a96bb5c8a2acfb07fc866444b97bf1
Доступно только при использовании PRO аккаунта
Модератор контента: Васин А.С.


  1. Киберис НЕ является интернет-магазином и НЕ осуществляет закупку, хранение, продажу и доставку препаратов. Ресурс выступает лишь в роли посредника между вами и производителем препаратов или аптечными пунктами, которые и осуществляют поставку.
  2. На Киберис размещены описания препаратов, часть из которых предназначена только для врачей. Данная информация не может быть использована пациентами для принятия решения об использовании препаратов, их отмене или коррекции дозировок.
  3. Ничто в представленной информации не должно быть истолковано как призыв использовать данные препараты.
  4. К Киберис не могут быть обращены претензии по поводу любого ущерба или вреда, понесенного в результате использования размещенной на сайте информации.