МКБ-10 коды
|
|
Вступление
МКБ 10:
G43.0, G43.1.
Год утверждения (частота пересмотра):
2016 (пересмотр каждые 3 года).
ID:
КР169.
URL:
Профессиональные ассоциации:
• Всероссийское общество неврологов.
Утверждены.
На Балтийском Конгрессе по детской неврологии 2016.
Согласованы.
Научным советом Министерства Здравоохранения Российской Федерации__ __________201_ г.
G43.0, G43.1.
Год утверждения (частота пересмотра):
2016 (пересмотр каждые 3 года).
ID:
КР169.
URL:
Профессиональные ассоциации:
• Всероссийское общество неврологов.
Утверждены.
На Балтийском Конгрессе по детской неврологии 2016.
Согласованы.
Научным советом Министерства Здравоохранения Российской Федерации__ __________201_ г.
Профессиональные ассоциации
• Всероссийское общество неврологов.
Список сокращений
ХЕГБ - хроническая ежедневная головная боль.
НПВС - нестероидные противовоспалительные средства.
БОС - биологическая обратная связь.
5-НТ-1 - 5-гидрокситриптамин-1.
ГБ - головная боль.
ОСВ - околоводопроводное серое вещество.
ХМ - хроническая мигрень.
ВАШ - визуально-аналоговая шкала.
ДПГДВ - доброкачественное пароксизмальное головокружение детского возраста.
МРТ - магнитно-резонанстная томография.
ЭЭГ- электроэнцефалография.
НПВС - нестероидные противовоспалительные средства.
БОС - биологическая обратная связь.
5-НТ-1 - 5-гидрокситриптамин-1.
ГБ - головная боль.
ОСВ - околоводопроводное серое вещество.
ХМ - хроническая мигрень.
ВАШ - визуально-аналоговая шкала.
ДПГДВ - доброкачественное пароксизмальное головокружение детского возраста.
МРТ - магнитно-резонанстная томография.
ЭЭГ- электроэнцефалография.
Термины и определения
Мигрень. Одна из наиболее распространенных форм первичной головной боли и проявляется повторяющимися приступами головной боли, которые часто сопровождаются сопутствующими симптомами (тошнотой, рвотой, фото - и фонофобией).
Головная боль (ГБ). Это мучительное и лишающее возможностей нормально функционировать состояние, возникающее в случае немногочисленных типов первичной головной боли, таких как мигрень, головная боль напряжения и кластерная головная боль.
Триггерные факторы. Факторы, которые могут вызвать приступ мигрени. С английского языка trigger переводится как спуск (пуск). Триггерные факторы часто путают с причинами мигрени.
Сенситизация. Это состояние, при котором постепенно снижается сила стимула, необходимая для получения ответа, а амплитуда ответа повышается.
Аллодиния. Это боль вследствие воздействия раздражений, обычно её не вызывающих. Термические или механические повреждения часто приводят к аллодинии в месте повреждения. Аллодинию следует отличать от гипералгезии, то есть повышенной болевой чувствительности на раздражители, обычно вызывающие боль.
Аура. Комплекс очаговых неврологических симптомов, возникающих непосредственно перед или в самом начале мигренозной головной боли.
Гомонимные зрительные нарушения. Это патологическое состояние, при котором человек воспринимает только одну половину (левую или правую) поля зрения, а граница, разделяющая видимую и выпавшую половины, проходит через центральный вертикальный меридиан.
Дизартрия (из -греч. δυσ- - приставка, означающая затруднённость, расстройство + ἀρθρόω - «сочленяю, соединяю») - нарушение произношения вследствие нарушения иннервации речевого аппарата, возникающее в результате поражения нервной системы.
Гипоакузия. Снижение остроты слуха.
Атаксия. Это нервно-мышечное расстройство моторики, которое характеризуется нарушением координации движений, а также утратой равновесия как в покое, так и при ходьбе.
Парестезия. Это специфический вид нарушения чувствительности, который сопровождается субъективными ощущениями покалывания, жжения, ползания мурашек. Является следствием раздражения чувствительных нервных волокон.
Пароксизмальное состояние. Это обобщенное понятие, которое включает в себя судорожные и бессудорожные пароксизмы эпилептического и неэпилептического характера. Пароксизмальное состояние - это припадок (приступ) церебрального происхождения, проявляющийся на фоне видимого здоровья или при внезапном ухудшении хронического патологического состояния, характеризующийся кратковременностью, обратимостью возникающих расстройств, наклонностью к повторениям, стереотипностью.
Хроническая мигрень характеризуется очень частыми приступами головной боли, возникающими как минимум 15 дней в месяц на протяжении не менее 3 месяцев. При этом у ребенка должны быть в анамнезе эпизодические приступы мигрени.
Мигренозный статус диагностируют в том случае, когда приступ интенсивной головной боли (или несколько следующих друг за другом приступов) продолжается более 72 часов (исключая время сна). Мигренозный статус, как правило, является показанием для госпитализации.
Головная боль (ГБ). Это мучительное и лишающее возможностей нормально функционировать состояние, возникающее в случае немногочисленных типов первичной головной боли, таких как мигрень, головная боль напряжения и кластерная головная боль.
Триггерные факторы. Факторы, которые могут вызвать приступ мигрени. С английского языка trigger переводится как спуск (пуск). Триггерные факторы часто путают с причинами мигрени.
Сенситизация. Это состояние, при котором постепенно снижается сила стимула, необходимая для получения ответа, а амплитуда ответа повышается.
Аллодиния. Это боль вследствие воздействия раздражений, обычно её не вызывающих. Термические или механические повреждения часто приводят к аллодинии в месте повреждения. Аллодинию следует отличать от гипералгезии, то есть повышенной болевой чувствительности на раздражители, обычно вызывающие боль.
Аура. Комплекс очаговых неврологических симптомов, возникающих непосредственно перед или в самом начале мигренозной головной боли.
Гомонимные зрительные нарушения. Это патологическое состояние, при котором человек воспринимает только одну половину (левую или правую) поля зрения, а граница, разделяющая видимую и выпавшую половины, проходит через центральный вертикальный меридиан.
Дизартрия (из -греч. δυσ- - приставка, означающая затруднённость, расстройство + ἀρθρόω - «сочленяю, соединяю») - нарушение произношения вследствие нарушения иннервации речевого аппарата, возникающее в результате поражения нервной системы.
Гипоакузия. Снижение остроты слуха.
Атаксия. Это нервно-мышечное расстройство моторики, которое характеризуется нарушением координации движений, а также утратой равновесия как в покое, так и при ходьбе.
Парестезия. Это специфический вид нарушения чувствительности, который сопровождается субъективными ощущениями покалывания, жжения, ползания мурашек. Является следствием раздражения чувствительных нервных волокон.
Пароксизмальное состояние. Это обобщенное понятие, которое включает в себя судорожные и бессудорожные пароксизмы эпилептического и неэпилептического характера. Пароксизмальное состояние - это припадок (приступ) церебрального происхождения, проявляющийся на фоне видимого здоровья или при внезапном ухудшении хронического патологического состояния, характеризующийся кратковременностью, обратимостью возникающих расстройств, наклонностью к повторениям, стереотипностью.
Хроническая мигрень характеризуется очень частыми приступами головной боли, возникающими как минимум 15 дней в месяц на протяжении не менее 3 месяцев. При этом у ребенка должны быть в анамнезе эпизодические приступы мигрени.
Мигренозный статус диагностируют в том случае, когда приступ интенсивной головной боли (или несколько следующих друг за другом приступов) продолжается более 72 часов (исключая время сна). Мигренозный статус, как правило, является показанием для госпитализации.
Описание
Мигрень представляет собой одну из наиболее распространенных форм первичной головной боли и проявляется повторяющимися приступами головной боли, которые часто сопровождаются сопутствующими симптомами (тошнотой, рвотой, фото- и фонофобией) [1].
Головная боль (ГБ) чаще локализуется в одной половине головы по типу гемикрании, сторонность боли может меняться от приступа к приступу. Головные боли при мигрени отличаются значительной интенсивностью. Продолжительность приступа варьирует от 1-2 часов до нескольких суток.
Головная боль (ГБ) чаще локализуется в одной половине головы по типу гемикрании, сторонность боли может меняться от приступа к приступу. Головные боли при мигрени отличаются значительной интенсивностью. Продолжительность приступа варьирует от 1-2 часов до нескольких суток.
Причины
Большое значение в возникновении мигрени имеют наследственные факторы. Механизм наследования до сих пор не ясен. Наследуется, по-видимому, не сама болезнь, а предрасположенность к определенному типу реагирования центральной нервной и сосудистой систем на различные типы раздражителей.
Для многих пациентов характерно наличие триггерных факторов, которые могут провоцировать приступы мигрени. Выявление триггерных факторов может помочь ребенку и его родителям значительно уменьшать частоту приступов мигрени путем изменения образа жизни при избегании или устранении наиболее важных и частых триггеров. Однако у некоторых пациентов триггерной является совокупность факторов, провоцирующих приступы мигрени в каждом конкретном случае.
Триггеры приступа мигрени [2].
Мигрень относится к первичным головным болям и считается формой нейроваскулярной ГБ, при которой первичные изменения в нервной системе приводят к вторичному расширению кровеносных сосудов и, соответственно, к боли и дополнительной нервной активации [3]. Патофизиология боли при мигрени имеет неврологическую основу, а не первичные сосудистые нарушения [4].
Известно, что первичные головные боли могут проявляться типичными эпизодическими приступами, возможны хронические ежедневные или почти ежедневные ГБ. Описаны ремиссии - как при эпизодических, так и при хронических ГБ.
Первоначальные исследования механизмов мигрени были сфокусированы на краниальной вазодилятации как источнике боли [3].
Механизмы периферической тригеминальной активации, локализация и физиология вторых тригеминоваскулярных нейронов и механизм кортикальной распространяющейся депрессии являются другими интенсивно изучаемыми областями при мигрени.
Исследования с использованием ПЭТ показывают, что ростральные отделы ствола мозга, особенно контралатеральное околоводопроводное серое вещество (ОСВ) среднего мозга - значимые структуры в патофизиологии мигрени.
Эти данные подтверждают, что области ствола мозга играют кардинальную роль в инициации или завершении приступа мигрени. Мигрень, вероятно, является результатом дисфункции ствола мозга и/ или диэнцефальных ядер, которые вовлечены в сенсорную модуляцию краниоваскулярных афферентов [3].
Приступы ГБ при мигрени могут различаться у разных людей, изменяться от атаки к атаке [5]. Такая вариабельность может частично объясняться дисфункцией ионных каналов в аминергических ядрах ствола мозга, которые в норме модулируют сенсорный поток и обеспечивают нейрональный контроль краниальных сосудов. Высвобождение кальцитонин-ген-связанного пептида вызывается периферической тригеминальной активацией. Возникающая в результате боль может рассматриваться как нарушение перцепции обычно безболезненных афферентных стимулов от краниоваскулярных структур, что, возможно, вызвано развитием периферической или центральной сенситизации [6].
Сенсорные нейроны менингеальной оболочки имеют сходство с ноцицептивными нейронами других областей нервной системы, обладают хемосенситивностью и сенситизацией.
Сенситизация - это состояние, при котором постепенно снижается сила стимула, необходимая для получения ответа, а амплитуда ответа повышается [7].
Выделяют периферическую и центральную сенситизацию. Субъективно сенситизация проявляется в виде гипералгезии и аллодинии.
При мигрени развитие периферической сенситизации (интракраниальных ноцицепторов менингеальных оболочек и кровеносных сосудов, а также первичных болевых нейронов в узле тройничного нерва) в приступе ГБ связано с выделением провоспалительных медиаторов, экстравазацией белков плазмы при дилатации церебральных и менингеальных сосудов. Интракраниальная механическая стимуляция также способствует развитию периферической сенситизации.
Этим объясняется усиление ГБ в приступе мигрени при кашле, наклонах и рутинной физической активности, что связано с небольшим повышением внутричерепного давления и легкой механической стимуляцией интракраниальныхноцицепторов. [7].
Считается, что пульсирующая боль является следствием в основном периферической сенситизиции, а аллодиния и повышенная чувствительность кожи головы - в основном центральной сенситизации.
Периферическая сенситизация приводит к развитию центральной сенситизациитригеминальных нейронов второго порядка. Экспериментальными данными показано, что сенситизация этих центральных нейронов может продолжаться до 10 часов [8]. При центральной сенситизации структуры, вовлеченные в периферическую сенситизацию, уже обладают спонтанной активностью даже в отсутствии периферической стимуляции.
При длительном возбуждении тригеминальные нейроны второго порядка начинают отвечать на подпороговые стимулы болевой импульсацией. В результате активируются и сенситизируются нейроны третьего порядка (таламические нейроны).
При длительности приступа мигрени более 4 часов аллодиния развивается у 80% пациентов, зона распространения аллодинии превышает болевые зоны и может захватывать противоположную половину головы и верхние конечности [9]. Предполагается, что этот феномен отражает сенситизацию нейронов третьего порядка, к которым стекаются импульсы от тригеминальных нейронов второго порядка.
Кожная аллодиния определяется как ощущение боли при нанесении неболевых стимулов на неповрежденную кожу. В 60-75% случаев у людей, страдающих мигренью, развивается центральная сенситизация (второго тригеминального нейрона), которая проявляется кожной аллодинией во время приступа [8]. Восновефеноменааллодиниипредполагаетсямеханизмцентральнойсенситизации, сенситизация вторых тригеминальных нейронов в хвостатых ядрах [10].
Центральная сенситизация, вероятно, играет роль в снижении ответа на лечение триптанами и в прогрессировании мигрени [11].
Повторяющиеся эпизоды центральной сенситизации могут лежать в основе перманентного нейронального повреждения ОСВ, что приводит к нарушению процессов модуляции боли, к снижению эффективности профилактического лечения и прогрессированию мигрени.
Частота аллодинии, выявляемой во время приступа ГБ, значительно выше у пациентов с ХМ (66%) и при мигрени с аурой (65%), чем при мигрени без ауры (41%) [12].
Для многих пациентов характерно наличие триггерных факторов, которые могут провоцировать приступы мигрени. Выявление триггерных факторов может помочь ребенку и его родителям значительно уменьшать частоту приступов мигрени путем изменения образа жизни при избегании или устранении наиболее важных и частых триггеров. Однако у некоторых пациентов триггерной является совокупность факторов, провоцирующих приступы мигрени в каждом конкретном случае.
Триггеры приступа мигрени [2].
| Психологические | Стрессы. Позитивные и негативные эмоции Изменения настроения |
| Гормональные факторы | Менструация. Овуляция. |
| Факторы окружающей среды | Яркий свет. Громкий шум. Сильные или резкие запахи (духи, курение, моющие средства). Погодные условия (ветер, изменения погоды, сильная жара/холод). |
| Диета, продукты питания, напитки | Шоколад. Сыры. Помидоры. Киви. Орехи. Лук. Чеснок. Алкоголь. Продукты, содержащие глютамат. |
| Лекарственные препараты | Резерпин. Нитроглицерин. Эстрогены. |
| Другие факторы | Недосыпание/пересыпание. Голод. Гипогликемия. Гипертермия. Усталость. Авиаперелеты. |
Мигрень относится к первичным головным болям и считается формой нейроваскулярной ГБ, при которой первичные изменения в нервной системе приводят к вторичному расширению кровеносных сосудов и, соответственно, к боли и дополнительной нервной активации [3]. Патофизиология боли при мигрени имеет неврологическую основу, а не первичные сосудистые нарушения [4].
Известно, что первичные головные боли могут проявляться типичными эпизодическими приступами, возможны хронические ежедневные или почти ежедневные ГБ. Описаны ремиссии - как при эпизодических, так и при хронических ГБ.
Первоначальные исследования механизмов мигрени были сфокусированы на краниальной вазодилятации как источнике боли [3].
Механизмы периферической тригеминальной активации, локализация и физиология вторых тригеминоваскулярных нейронов и механизм кортикальной распространяющейся депрессии являются другими интенсивно изучаемыми областями при мигрени.
Исследования с использованием ПЭТ показывают, что ростральные отделы ствола мозга, особенно контралатеральное околоводопроводное серое вещество (ОСВ) среднего мозга - значимые структуры в патофизиологии мигрени.
Эти данные подтверждают, что области ствола мозга играют кардинальную роль в инициации или завершении приступа мигрени. Мигрень, вероятно, является результатом дисфункции ствола мозга и/ или диэнцефальных ядер, которые вовлечены в сенсорную модуляцию краниоваскулярных афферентов [3].
Приступы ГБ при мигрени могут различаться у разных людей, изменяться от атаки к атаке [5]. Такая вариабельность может частично объясняться дисфункцией ионных каналов в аминергических ядрах ствола мозга, которые в норме модулируют сенсорный поток и обеспечивают нейрональный контроль краниальных сосудов. Высвобождение кальцитонин-ген-связанного пептида вызывается периферической тригеминальной активацией. Возникающая в результате боль может рассматриваться как нарушение перцепции обычно безболезненных афферентных стимулов от краниоваскулярных структур, что, возможно, вызвано развитием периферической или центральной сенситизации [6].
Сенсорные нейроны менингеальной оболочки имеют сходство с ноцицептивными нейронами других областей нервной системы, обладают хемосенситивностью и сенситизацией.
Сенситизация - это состояние, при котором постепенно снижается сила стимула, необходимая для получения ответа, а амплитуда ответа повышается [7].
Выделяют периферическую и центральную сенситизацию. Субъективно сенситизация проявляется в виде гипералгезии и аллодинии.
При мигрени развитие периферической сенситизации (интракраниальных ноцицепторов менингеальных оболочек и кровеносных сосудов, а также первичных болевых нейронов в узле тройничного нерва) в приступе ГБ связано с выделением провоспалительных медиаторов, экстравазацией белков плазмы при дилатации церебральных и менингеальных сосудов. Интракраниальная механическая стимуляция также способствует развитию периферической сенситизации.
Этим объясняется усиление ГБ в приступе мигрени при кашле, наклонах и рутинной физической активности, что связано с небольшим повышением внутричерепного давления и легкой механической стимуляцией интракраниальныхноцицепторов. [7].
Считается, что пульсирующая боль является следствием в основном периферической сенситизиции, а аллодиния и повышенная чувствительность кожи головы - в основном центральной сенситизации.
Периферическая сенситизация приводит к развитию центральной сенситизациитригеминальных нейронов второго порядка. Экспериментальными данными показано, что сенситизация этих центральных нейронов может продолжаться до 10 часов [8]. При центральной сенситизации структуры, вовлеченные в периферическую сенситизацию, уже обладают спонтанной активностью даже в отсутствии периферической стимуляции.
При длительном возбуждении тригеминальные нейроны второго порядка начинают отвечать на подпороговые стимулы болевой импульсацией. В результате активируются и сенситизируются нейроны третьего порядка (таламические нейроны).
При длительности приступа мигрени более 4 часов аллодиния развивается у 80% пациентов, зона распространения аллодинии превышает болевые зоны и может захватывать противоположную половину головы и верхние конечности [9]. Предполагается, что этот феномен отражает сенситизацию нейронов третьего порядка, к которым стекаются импульсы от тригеминальных нейронов второго порядка.
Кожная аллодиния определяется как ощущение боли при нанесении неболевых стимулов на неповрежденную кожу. В 60-75% случаев у людей, страдающих мигренью, развивается центральная сенситизация (второго тригеминального нейрона), которая проявляется кожной аллодинией во время приступа [8]. Восновефеноменааллодиниипредполагаетсямеханизмцентральнойсенситизации, сенситизация вторых тригеминальных нейронов в хвостатых ядрах [10].
Центральная сенситизация, вероятно, играет роль в снижении ответа на лечение триптанами и в прогрессировании мигрени [11].
Повторяющиеся эпизоды центральной сенситизации могут лежать в основе перманентного нейронального повреждения ОСВ, что приводит к нарушению процессов модуляции боли, к снижению эффективности профилактического лечения и прогрессированию мигрени.
Частота аллодинии, выявляемой во время приступа ГБ, значительно выше у пациентов с ХМ (66%) и при мигрени с аурой (65%), чем при мигрени без ауры (41%) [12].
|
|
Эпидемиология
Эпидемиологические исследования головной боли у детей раннего возраста значительно затруднены из-за невозможности для детей четко описать свою боль и вспомнить особенности ассоциированных симптомов.
При использовании критериев мигрени у детей по Vahlquist и Hackzell[13] оказалось, что в возрасте 7 лет распространенность мигрени колеблется от 1,2 до 3,2% (у мальчиков чаще, чем у девочек). В возрастной группе от 7 до 11 лет распространенность мигрени выше и колеблется от 4 до 11 % с одинаковой частотой у мальчиков и девочек. У детей старше 11 лет и подростков распространенность мигрени находится в пределах от 8 до 23% (у девочек чаще, чем у мальчиков) [14, 15,16].
Применение критериев Международной классификации головных болей первого пересмотра (1988) на примере 2165 детей в возрасте от 5 до 15 лет показало, что распространенность мигрени имеет место в 10,6% случаев, причем в 7,8% случаев дети имели мигрень без ауры и 2,8% случаев - мигрень с аурой [17].
Дополнительные исследования с использованием этих же критериев обнаружили, что распространенность мигрени у детей составляет от 6,1 до 10,6% [18, 19, 20].
У подростков в возрасте 15-19 лет распространенность мигрени оказалась намного выше - 28%, причем 19% пациентов имели мигрень без ауры и 9% - мигрень с аурой [21].
При использовании критериев Международной классификации головных болей второго пересмотра (2004) у детей и подростков в возрасте от 12 до 17 лет установлено, что распространенность мигрени составила 14,5% [22].
При использовании критериев мигрени у детей по Vahlquist и Hackzell[13] оказалось, что в возрасте 7 лет распространенность мигрени колеблется от 1,2 до 3,2% (у мальчиков чаще, чем у девочек). В возрастной группе от 7 до 11 лет распространенность мигрени выше и колеблется от 4 до 11 % с одинаковой частотой у мальчиков и девочек. У детей старше 11 лет и подростков распространенность мигрени находится в пределах от 8 до 23% (у девочек чаще, чем у мальчиков) [14, 15,16].
Применение критериев Международной классификации головных болей первого пересмотра (1988) на примере 2165 детей в возрасте от 5 до 15 лет показало, что распространенность мигрени имеет место в 10,6% случаев, причем в 7,8% случаев дети имели мигрень без ауры и 2,8% случаев - мигрень с аурой [17].
Дополнительные исследования с использованием этих же критериев обнаружили, что распространенность мигрени у детей составляет от 6,1 до 10,6% [18, 19, 20].
У подростков в возрасте 15-19 лет распространенность мигрени оказалась намного выше - 28%, причем 19% пациентов имели мигрень без ауры и 9% - мигрень с аурой [21].
При использовании критериев Международной классификации головных болей второго пересмотра (2004) у детей и подростков в возрасте от 12 до 17 лет установлено, что распространенность мигрени составила 14,5% [22].
Классификация
В настоящее время для классификации разных форм мигрени пользуются Международной классификацией головных болей второго пересмотра (МКТБ II) 2004 г.
Согласно МКГБ-II (2004), в зависимости от клинических проявлений и течения приступа, у детей различают мигрень с аурой и мигрень без ауры.
Диагноз разных форм мигрени ставят исключительно на основании клинической картины, для чего применяют диагностические критерии Международной классификации головных болей второго пересмотра, опубликованные в 2004 г. Дополнительные методы исследования можно применять для дифференциальной диагностики или для выявления вторичных форм головных болей.
Международная классификация мигрени (2004 год).
Мигрень.
• Мигрень без ауры.
• Мигрень с аурой.
• С типичной аурой.
• С длительной аурой.
• Семейная гемиплегическая.
• Базилярная (мигрень основной артерии).
• Мигренозная аура без головной боли.
• С острым началом ауры.
• Офтальмоплегическая.
• Ретинальная.
• Детские периодические синдромы, которые могут быть предшественниками или сочетаться с мигренью.
• Доброкачественные пароксизмальные головокружения у детей.
• Альтернирующая гемиплегия у детей.
• Осложнения мигрени.
• Мигренозный статус.
• Мигренозный инсульт.
• Мигренозные расстройства, не удовлетворяющие критериям, перечисленным в разделе 1 (Вероятная мигрень).
Хроническая мигрень характеризуется частыми приступами головной боли, возникающими как минимум 15 дней в месяц на протяжении не менее 3 месяцев. При этом у ребенка должны быть в анамнезе эпизодические приступы мигрени.
Мигренозный статус диагностируют в том случае, когда приступ интенсивной головной боли (или несколько следующих друг за другом приступов) продолжается более 72 часов (исключая время сна). Мигренозный статус, как правило, является показанием для госпитализации.
Персистирующая аура без инфаркта характеризуется сохранением симптомов ауры более 7 дней в отсутствие инфаркта по данным нейровизуализации.
Мигренозный инфаркт головного мозга характеризуется возникновением на фоне приступа с аурой и стойкой неврологической симптоматикой, соответствующей, обычно. проявлениям ауры. Критериями такого диагноза являются, сохранение симптомов ауры более 60 минут; многомесячный (многолетний) анамнез характерных приступов мигрени с аналогичной (но более кратковременной) аурой; подтверждение инфаркта мозга методами нейровизуализации; отсутствие других заболеваний, способных вызвать аналогичные симптомы.
Мигрень рассматривается как триггер эпилептического припадка, если эпилептические припадки, вызываемые (запускаемые) мигренью, возникают во время или в течение часа после мигренозной ауры.
Согласно МКГБ-II (2004), в зависимости от клинических проявлений и течения приступа, у детей различают мигрень с аурой и мигрень без ауры.
Диагноз разных форм мигрени ставят исключительно на основании клинической картины, для чего применяют диагностические критерии Международной классификации головных болей второго пересмотра, опубликованные в 2004 г. Дополнительные методы исследования можно применять для дифференциальной диагностики или для выявления вторичных форм головных болей.
Международная классификация мигрени (2004 год).
Мигрень.
• Мигрень без ауры.
• Мигрень с аурой.
• С типичной аурой.
• С длительной аурой.
• Семейная гемиплегическая.
• Базилярная (мигрень основной артерии).
• Мигренозная аура без головной боли.
• С острым началом ауры.
• Офтальмоплегическая.
• Ретинальная.
• Детские периодические синдромы, которые могут быть предшественниками или сочетаться с мигренью.
• Доброкачественные пароксизмальные головокружения у детей.
• Альтернирующая гемиплегия у детей.
• Осложнения мигрени.
• Мигренозный статус.
• Мигренозный инсульт.
• Мигренозные расстройства, не удовлетворяющие критериям, перечисленным в разделе 1 (Вероятная мигрень).
Хроническая мигрень характеризуется частыми приступами головной боли, возникающими как минимум 15 дней в месяц на протяжении не менее 3 месяцев. При этом у ребенка должны быть в анамнезе эпизодические приступы мигрени.
Мигренозный статус диагностируют в том случае, когда приступ интенсивной головной боли (или несколько следующих друг за другом приступов) продолжается более 72 часов (исключая время сна). Мигренозный статус, как правило, является показанием для госпитализации.
Персистирующая аура без инфаркта характеризуется сохранением симптомов ауры более 7 дней в отсутствие инфаркта по данным нейровизуализации.
Мигренозный инфаркт головного мозга характеризуется возникновением на фоне приступа с аурой и стойкой неврологической симптоматикой, соответствующей, обычно. проявлениям ауры. Критериями такого диагноза являются, сохранение симптомов ауры более 60 минут; многомесячный (многолетний) анамнез характерных приступов мигрени с аналогичной (но более кратковременной) аурой; подтверждение инфаркта мозга методами нейровизуализации; отсутствие других заболеваний, способных вызвать аналогичные симптомы.
Мигрень рассматривается как триггер эпилептического припадка, если эпилептические припадки, вызываемые (запускаемые) мигренью, возникают во время или в течение часа после мигренозной ауры.
Диагностика
Мигрень без ауры (ранее обозначалась как простая мигрень) - самая частая форма мигрени у взрослых и у детей.
Мигрень - хроническое заболевание, которое проявляется эпизодическими приступами головной боли с характерными сопутствующими симптомами.
У некоторых пациентов за несколько часов или даже суток до приступа могут возникать предвестники головной боли (продромальная фаза), некоторые симптомы могут появляться после приступа (после приступная фаза). Продромальные и после приступные симптомы включают гиперактивность или, наоборот, снижение активности, депрессию, желание употреблять определенные продукты, повторную зевоту Продромальные и после приступные симптомы не являются симптомами мигренозной ауры [24].
Таким образом, у детей с разными формами мигрени в течении приступов прослеживается определенная фазность: продромальный период, период ауры, фаза головной боли, пост приступный период [1].
Уровень убедительности рекомендаций А, у ровень достоверности доказательств.
Комментарии. Приступу мигрени без ауры могут предшествовать предвестники (продромальные явления) в виде эмоциональных нарушений (немотивированная раздражительность, депрессия, апатия), нарушение сна, изменения аппетита (абулия или чувство неутолимого голода), жажды и задержки жидкости (пастозность, отечность). Предвестники возникают за несколько часов (или дней) до приступа [23].
У большинства детей с мигренью без ауры частота приступов составляет 1 раз в месяц или 1 раз в 2 месяца. При мигрени с аурой частота приступов несколько реже, у детей с гемиплегической мигренью еще реже - 1 раз в 4-6 месяцев.
Приступы мигрени могут начинаться в любое время суток, но чаще начало приступа отмечается днем или вечером. Головная боль при мигрени характерно пульсирующая. Однако у детей бывает давящая, распирающая или ломящая.
Боль при мигрени локализуется в лобно-височных, периорбитальной областях, реже - в теменной области.
У детей дошкольного возраста наблюдается, как правило, двусторонняя головная боль. Для старших детей характерна односторонняя головная боль, которая может менять сторону от приступа к приступу. Гемикранический характер боли в период приступа отмечают около 30% детей с мигренью без ауры, и половина детей с мигренью с аурой.
Как правило, только к 10-12 годам жизни ребенка характеристики головной боли при мигрени соответствуют таковым у взрослых.
Во время приступа мигрени характерен внешний вид больных: бледность кожных покровов лица, скудная мимика, иногда страдальческое выражение лица.
Помимо головной боли для приступа мигрени характерны тошнота и, реже, рвота. После рвоты, как правило, отмечается облегчение общего состояния, и ребенок обычно засыпает.
После сна продолжительностью от 30 минут до 2-3 часов приступ полностью купируется, и головная боль не возобновляется.
Средняя продолжительность приступов у большинства детей с мигренью без ауры составляет 2-3 часа, у большинства детей с мигренью с аурой приступы значительно короче, до 1 часа.
В межприступном периоде дети с мигренью практически здоровы.
Следует обращать внимание на размер и форму головы, поскольку субкомпенсированная гидроцефалия сопровождается частыми ГБ.
Уровень убедительности рекомендаций с, уровень достоверности доказательств III.
Комментарии. Обычно головная боль в приступе мигрени имеет высокую интенсивность, достигая 7-9 баллов по визуально-аналоговой шкале (ВАШ), может быть мучительной, трудно переносимой. Нередко во время болевого приступа отмечается общая гиперестезия, непереносимость яркого света (фотофобия), громких звуков (фонофобия), а также особенная чувствительность к обонятельным и тактильным раздражителям. Обычная физическая нагрузка, движения головой, поездка на транспорте могут усиливать интенсивность головной боли.
Одна из главных целей лечащего врача детей и подростков с хронической ежедневной головной болью (ХЕГБ) - разграничение первичных головных болей от вторичных.
Острое начало ГБ нередко связано с системными инфекциями (ОРВИ, грипп, менингиты ), органическим поражением мозга и другими вторичными причинами. Если приступы ГБ повторяются часто или даже эпизодически, следует предполагать наличие первичных ГБ и, в первую очередь, мигрени. При исключении вторичных причин ГБ важно разъяснить ребенку и его родителям природу заболевания и лечебную тактику.
Уровень убедительности рекомендаций В, у ровень достоверности доказательств II.
Комментарии. Общий анализ крови, в особенности СОЭ, может помочь в выявлении признаков воспаления и при артериитах. Полезна оценка уровня гормонов щитовидной железы. Если помимо частых головных болей имеются какие-либо другие клинические признаки, к примеру, симптомы системной красной волчанки, обязательно исследование антинуклеарных антител, С-реактивного белка и СОЭ. У многих детей трансформация мигрени с эпизодическими приступами в хроническую мигрень связана с наличием инфекций. В этих случаях необходимо определять уровни антител к вирусам Эпштейн-Барр, а также антитела к боррелии для исключения болезни Лайма. Несмотря на отсутствие специфического лечения для некоторых состояний вирусной этиологии, многие родители предпочитают быть осведомленными о возможных причинах трансформации эпизодической головной боли в хроническую. Это оправдывает проведение иммунологических исследований у детей с частыми ГБ.
Уровень убедительности рекомендаций В, у ровень достоверности доказательств II.
Комментарии. Нейровизуализационные исследования могут выявить значительные изменения в ЦНС, особенно при очаговых неврологических знаках и/или судорожных приступах в анамнезе. Иногда на МРТ обнаруживают негрубые сосудистые аномалии, небольшие изменения в белом веществе мозга, арахноидальные и/или эпифизарные кисты, которые не имеют клинического значения у детей с ГБ, но вызывают большую обеспокоенность у семьи такого ребенка. Если родители отмечают травму головы или шеи, особенно в связи с началом ГБ, необходима МР-ангиография сосудов шеи и головного мозга для исключения возможной диссекции сонной артерии. Когда имеются признаки идиопатической внутричерепной гипертензии, необходимо провести дифференциальный диагноз с тромбозом венозных синусов, который может быть причиной повышения внутричерепного давления. Для этого используют МРТ головного мозга во флебографическом режиме [25].
• Рекомендуется исследование глазного дна при ГБ у детей [2, 3, 23, 28, 33].
Уровень убедительности рекомендаций В, у ровень достоверности доказательств II.
Комментарии. Исследование глазного дна важно для исключения отека зрительного нерва и повышения внутричерепного давления.
Мигрень - хроническое заболевание, которое проявляется эпизодическими приступами головной боли с характерными сопутствующими симптомами.
У некоторых пациентов за несколько часов или даже суток до приступа могут возникать предвестники головной боли (продромальная фаза), некоторые симптомы могут появляться после приступа (после приступная фаза). Продромальные и после приступные симптомы включают гиперактивность или, наоборот, снижение активности, депрессию, желание употреблять определенные продукты, повторную зевоту Продромальные и после приступные симптомы не являются симптомами мигренозной ауры [24].
Таким образом, у детей с разными формами мигрени в течении приступов прослеживается определенная фазность: продромальный период, период ауры, фаза головной боли, пост приступный период [1].
2,1 Жалобы и анамнез.
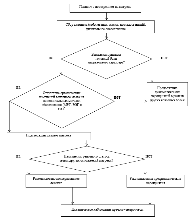
• Рекомендуется у детей с ГБ тщательный сбор анамнеза, детальное общеклиническое и неврологическое тестирование [1,3,12,17, 23].Уровень убедительности рекомендаций А, у ровень достоверности доказательств.
Комментарии. Приступу мигрени без ауры могут предшествовать предвестники (продромальные явления) в виде эмоциональных нарушений (немотивированная раздражительность, депрессия, апатия), нарушение сна, изменения аппетита (абулия или чувство неутолимого голода), жажды и задержки жидкости (пастозность, отечность). Предвестники возникают за несколько часов (или дней) до приступа [23].
У большинства детей с мигренью без ауры частота приступов составляет 1 раз в месяц или 1 раз в 2 месяца. При мигрени с аурой частота приступов несколько реже, у детей с гемиплегической мигренью еще реже - 1 раз в 4-6 месяцев.
Приступы мигрени могут начинаться в любое время суток, но чаще начало приступа отмечается днем или вечером. Головная боль при мигрени характерно пульсирующая. Однако у детей бывает давящая, распирающая или ломящая.
Боль при мигрени локализуется в лобно-височных, периорбитальной областях, реже - в теменной области.
У детей дошкольного возраста наблюдается, как правило, двусторонняя головная боль. Для старших детей характерна односторонняя головная боль, которая может менять сторону от приступа к приступу. Гемикранический характер боли в период приступа отмечают около 30% детей с мигренью без ауры, и половина детей с мигренью с аурой.
Как правило, только к 10-12 годам жизни ребенка характеристики головной боли при мигрени соответствуют таковым у взрослых.
Во время приступа мигрени характерен внешний вид больных: бледность кожных покровов лица, скудная мимика, иногда страдальческое выражение лица.
Помимо головной боли для приступа мигрени характерны тошнота и, реже, рвота. После рвоты, как правило, отмечается облегчение общего состояния, и ребенок обычно засыпает.
После сна продолжительностью от 30 минут до 2-3 часов приступ полностью купируется, и головная боль не возобновляется.
Средняя продолжительность приступов у большинства детей с мигренью без ауры составляет 2-3 часа, у большинства детей с мигренью с аурой приступы значительно короче, до 1 часа.
В межприступном периоде дети с мигренью практически здоровы.
Следует обращать внимание на размер и форму головы, поскольку субкомпенсированная гидроцефалия сопровождается частыми ГБ.
2,2 Физикальное обследование.
• Рекомендуется использование визуально-аналоговой шкалы (ВАШ) для оценки интенсивности головной боли в приступе мигрени [1,8].Уровень убедительности рекомендаций с, уровень достоверности доказательств III.
Комментарии. Обычно головная боль в приступе мигрени имеет высокую интенсивность, достигая 7-9 баллов по визуально-аналоговой шкале (ВАШ), может быть мучительной, трудно переносимой. Нередко во время болевого приступа отмечается общая гиперестезия, непереносимость яркого света (фотофобия), громких звуков (фонофобия), а также особенная чувствительность к обонятельным и тактильным раздражителям. Обычная физическая нагрузка, движения головой, поездка на транспорте могут усиливать интенсивность головной боли.
Одна из главных целей лечащего врача детей и подростков с хронической ежедневной головной болью (ХЕГБ) - разграничение первичных головных болей от вторичных.
Острое начало ГБ нередко связано с системными инфекциями (ОРВИ, грипп, менингиты ), органическим поражением мозга и другими вторичными причинами. Если приступы ГБ повторяются часто или даже эпизодически, следует предполагать наличие первичных ГБ и, в первую очередь, мигрени. При исключении вторичных причин ГБ важно разъяснить ребенку и его родителям природу заболевания и лечебную тактику.
2,3 Лабораторная диагностика.
• Рекомендуется проведение лабораторных методов обследования (общий анализ крови, биохимический анализ крови, иммунологическое исследование ) [1, 2, 7,10, 14, 17,20].Уровень убедительности рекомендаций В, у ровень достоверности доказательств II.
Комментарии. Общий анализ крови, в особенности СОЭ, может помочь в выявлении признаков воспаления и при артериитах. Полезна оценка уровня гормонов щитовидной железы. Если помимо частых головных болей имеются какие-либо другие клинические признаки, к примеру, симптомы системной красной волчанки, обязательно исследование антинуклеарных антител, С-реактивного белка и СОЭ. У многих детей трансформация мигрени с эпизодическими приступами в хроническую мигрень связана с наличием инфекций. В этих случаях необходимо определять уровни антител к вирусам Эпштейн-Барр, а также антитела к боррелии для исключения болезни Лайма. Несмотря на отсутствие специфического лечения для некоторых состояний вирусной этиологии, многие родители предпочитают быть осведомленными о возможных причинах трансформации эпизодической головной боли в хроническую. Это оправдывает проведение иммунологических исследований у детей с частыми ГБ.
2,4 Инструментальная диагностика.
• Рекомендуется проведение нейровизуализационных методов исследования для исключения вторичной ГБ [2, 20, 25].Уровень убедительности рекомендаций В, у ровень достоверности доказательств II.
Комментарии. Нейровизуализационные исследования могут выявить значительные изменения в ЦНС, особенно при очаговых неврологических знаках и/или судорожных приступах в анамнезе. Иногда на МРТ обнаруживают негрубые сосудистые аномалии, небольшие изменения в белом веществе мозга, арахноидальные и/или эпифизарные кисты, которые не имеют клинического значения у детей с ГБ, но вызывают большую обеспокоенность у семьи такого ребенка. Если родители отмечают травму головы или шеи, особенно в связи с началом ГБ, необходима МР-ангиография сосудов шеи и головного мозга для исключения возможной диссекции сонной артерии. Когда имеются признаки идиопатической внутричерепной гипертензии, необходимо провести дифференциальный диагноз с тромбозом венозных синусов, который может быть причиной повышения внутричерепного давления. Для этого используют МРТ головного мозга во флебографическом режиме [25].
• Рекомендуется исследование глазного дна при ГБ у детей [2, 3, 23, 28, 33].
Уровень убедительности рекомендаций В, у ровень достоверности доказательств II.
Комментарии. Исследование глазного дна важно для исключения отека зрительного нерва и повышения внутричерепного давления.
|
|
Лечение
В терапии мигрени выделяют два основных направления: [26].
Для детей часто бывает трудно определить начало приступа мигрени, что обусловлено тем, что:
- в силу большой эмоциональности, увлечения играми, быстрого переключения внимания дети часто пропускают начало приступа головной боли и замечают ее только в том момент, когда боль имеет уже высокую интенсивность и появляется тошнота, а иногда и рвота;
- многие дети по опыту знают, что головная боль может нарастать очень быстро и поэтому любую головную боль воспринимают как приступ мигрени. Поэтому следует обучать детей и их родителей раннему определению приступа мигрени и его лечению.
Уровень убедительности рекомендаций А, у ровень достоверности доказательств I.
Комментарии. Назначается в самом начале приступа. В некоторых исследованиях для эффективного лечения приступов мигрени у детей применялась доза 7,5 мг/кг [30, 29]. Ибупрофен по своим обезболивающему и жаропонижающему эффектам, а также по воздействию на желудочно-кишечный тракт и почки сопоставим с парацетамолом, но не оказывает токсического действия на печень [37].
• Рекомендуется применение парацетамола** в разовой дозе 10-15 мг/кг [30, 36].
Уровень убедительности рекомендаций В, у ровень достоверности доказательств II.
Комментарии. Назначается в самом начале приступа. Возможно повторное применение препарата через 6-8 часов [30].
• Не рекомендуется при частых приступах мигрени у детей применение более двух (максимум трех) обезболивающих препаратовраз в неделю в виду высокого риска формирования лекарственного абузуса [27, 30, 36, 37].
Уровень убедительности рекомендаций с , у ровень достоверности доказательств III.
• Рекомендуется у подростков для купирования тяжелых приступов мигрени, помимо анальгетиков, использовать специфические противомигренозные препараты: триптанов (суматриптана, золмитриптана ) и эрготов [25].
Уровень убедительности рекомендаций В, у ровень достоверности доказательств II.
Комментарии. Селективные агонисты 5-НТ-1-рецепторов - суматриптан и другие триптаны (золмитриптан, ризатриптан) применяют до 18 лет с осторожностью, несмотря на имеющиеся публикации по эффективному применению триптанов в купировании приступов мигрени у детей [32, 33, 34, 35]. Синкаптон, разрешенный к применению в РФ, у детей 6-12 лет назначают по ½ таблетки, старше 12 лет - по 1 таблетке в разовой дозе.
• Рекомендуется назальное применение суматриптана у детей в дозировке 20 мг [34, 35, 36].
Уровень убедительности рекомендаций D , у ровень достоверности доказательств IV.
Комментарии. Менее эффективен при введении подкожно или перорально. Селективные агонисты 5-НТ-1-рецепторов - суматриптан и другие триптаны (золмитриптан, ризатриптан) применяют до 18 лет с осторожностью, несмотря на имеющиеся публикации по эффективному применению триптанов в купировании приступов мигрени у детей [32, 33, 34, 35]. В настоящее время нет однозначных данных о доказанной эффективности пероральных триптанов для терапии острого приступа мигрени у детей [36].
• Рекомендуется у детей и подростков для купирования эпизодических приступов мигрени умеренной интенсивности назначать НПВС (например, ибупрофен**), а при тяжелых приступах головной боли - комбинацию триптана и НПВС [2, 31].
Уровень убедительности рекомендаций В, у ровень достоверности доказательств II.
Комментарии. Такой подход особенно оправдан у детей и подростков, у которых периодически отмечаются длительные и очень тяжелые приступы головной боли (более 8 баллов по 10-балльной ВАШ).
• Не рекомендуется примять у детей до 6 лет неселективные агонисты 5-НТ-1-рецеторов (эрготамин и его производные) [30, 31, 36, 37].
Уровень убедительности рекомендаций D , уровень достоверности доказательств IV.
Препараты и их дозы, применяемые при остром приступе мигрени у детей, приведены в таблице.
• Рекомендуется при тяжелом затяжном приступе и мигренозном статусе в условиях неврологического стационара использовать дегидратирующие, антигистаминные, седативные препараты парентерально, капельно, а в ряде случаев - преднизолон [1, 2, 38].
Уровень убедительности рекомендаций В, уровень достоверности доказательств II.
• Рекомендуется при тошноте и рвоте применять метоклопрамид в дозе 0,5 мг/кг (в/в, в/м или внутрь) или домперидон 200- 400 мкг/кг (внутрь) [36, 37].
Уровень убедительности рекомендаций В, уровень достоверности доказательств II.
Для детей часто бывает трудно определить начало приступа мигрени, что обусловлено тем, что:
- в силу большой эмоциональности, увлечения играми, быстрого переключения внимания дети часто пропускают начало приступа головной боли и замечают ее только в том момент, когда боль имеет уже высокую интенсивность и появляется тошнота, а иногда и рвота;
- многие дети по опыту знают, что головная боль может нарастать очень быстро и поэтому любую головную боль воспринимают как приступ мигрени. Поэтому следует обучать детей и их родителей раннему определению приступа мигрени и его лечению.
3,1 Консервативное лечение.
• Рекомендуется для приступов умеренной и высокой интенсивности использовать ибупрофен** в разовой дозе 10 мг/кг массы тела [27, 36, 37].Уровень убедительности рекомендаций А, у ровень достоверности доказательств I.
Комментарии. Назначается в самом начале приступа. В некоторых исследованиях для эффективного лечения приступов мигрени у детей применялась доза 7,5 мг/кг [30, 29]. Ибупрофен по своим обезболивающему и жаропонижающему эффектам, а также по воздействию на желудочно-кишечный тракт и почки сопоставим с парацетамолом, но не оказывает токсического действия на печень [37].
• Рекомендуется применение парацетамола** в разовой дозе 10-15 мг/кг [30, 36].
Уровень убедительности рекомендаций В, у ровень достоверности доказательств II.
Комментарии. Назначается в самом начале приступа. Возможно повторное применение препарата через 6-8 часов [30].
• Не рекомендуется при частых приступах мигрени у детей применение более двух (максимум трех) обезболивающих препаратовраз в неделю в виду высокого риска формирования лекарственного абузуса [27, 30, 36, 37].
Уровень убедительности рекомендаций с , у ровень достоверности доказательств III.
• Рекомендуется у подростков для купирования тяжелых приступов мигрени, помимо анальгетиков, использовать специфические противомигренозные препараты: триптанов (суматриптана, золмитриптана ) и эрготов [25].
Уровень убедительности рекомендаций В, у ровень достоверности доказательств II.
Комментарии. Селективные агонисты 5-НТ-1-рецепторов - суматриптан и другие триптаны (золмитриптан, ризатриптан) применяют до 18 лет с осторожностью, несмотря на имеющиеся публикации по эффективному применению триптанов в купировании приступов мигрени у детей [32, 33, 34, 35]. Синкаптон, разрешенный к применению в РФ, у детей 6-12 лет назначают по ½ таблетки, старше 12 лет - по 1 таблетке в разовой дозе.
• Рекомендуется назальное применение суматриптана у детей в дозировке 20 мг [34, 35, 36].
Уровень убедительности рекомендаций D , у ровень достоверности доказательств IV.
Комментарии. Менее эффективен при введении подкожно или перорально. Селективные агонисты 5-НТ-1-рецепторов - суматриптан и другие триптаны (золмитриптан, ризатриптан) применяют до 18 лет с осторожностью, несмотря на имеющиеся публикации по эффективному применению триптанов в купировании приступов мигрени у детей [32, 33, 34, 35]. В настоящее время нет однозначных данных о доказанной эффективности пероральных триптанов для терапии острого приступа мигрени у детей [36].
• Рекомендуется у детей и подростков для купирования эпизодических приступов мигрени умеренной интенсивности назначать НПВС (например, ибупрофен**), а при тяжелых приступах головной боли - комбинацию триптана и НПВС [2, 31].
Уровень убедительности рекомендаций В, у ровень достоверности доказательств II.
Комментарии. Такой подход особенно оправдан у детей и подростков, у которых периодически отмечаются длительные и очень тяжелые приступы головной боли (более 8 баллов по 10-балльной ВАШ).
• Не рекомендуется примять у детей до 6 лет неселективные агонисты 5-НТ-1-рецеторов (эрготамин и его производные) [30, 31, 36, 37].
Уровень убедительности рекомендаций D , уровень достоверности доказательств IV.
Препараты и их дозы, применяемые при остром приступе мигрени у детей, приведены в таблице.
| Препарат | Класс доказательности | Ссылки |
| Неспецифические обезболивающие препараты | ||
| Ибупрофен** 10 мг/кг (разовая доза) | I | Hamalainen M.L. [et al.], 1997 |
| Ибупрофен** 7,5 мг/кг (разовая доза) | I | Lewis D.W. [et al.], 2007 |
| Парацетамол 15 мг/кг (разовая доза) | I | Hamalainen M.L. [et al.], 2006 |
| Триптаны | ||
| Суматриптан (Имигран, Сумиг, Амигренин) Формы выпуска: - 1табл. - 50 мг или 100 мг; - спрей для интраназального применения 20 мг в 1 дозе; аутоинъектор 6 мг | I | |
| Дозирование (разовая доза): интраназально 10 мг (при массе тела 20-39 кг), 20 мг (при массе тела больше 39 кг) | I | Ueberall M.A., 1999 |
| Перорально 12,5-25 мг | I | Hamalainen M. L. [et al.], 1997 |
| Подкожно, 6 мг | IV | MacDonald J.T., 1994 |
| Золмитриптан: - таблетки 2,5 мг (разовая доза); - назальный спрей 5 мг (разовая доза) | IV | Under S.L [et al.], 2000 |
| Ризатриптан Таблетки 5 мг (20-39 кг), 10 мг (больше 39 кг) | II | AhonenK. [et al.], 2006 Winner P., 2002 |
• Рекомендуется при тяжелом затяжном приступе и мигренозном статусе в условиях неврологического стационара использовать дегидратирующие, антигистаминные, седативные препараты парентерально, капельно, а в ряде случаев - преднизолон [1, 2, 38].
Уровень убедительности рекомендаций В, уровень достоверности доказательств II.
• Рекомендуется при тошноте и рвоте применять метоклопрамид в дозе 0,5 мг/кг (в/в, в/м или внутрь) или домперидон 200- 400 мкг/кг (внутрь) [36, 37].
Уровень убедительности рекомендаций В, уровень достоверности доказательств II.
Реабилитация и амбулаторное лечение
• Рекомендуется санаторно-курортное лечение 1-2 раза в год [1, 2, 27, 33].
Уровень убедительности рекомендаций В, уровень достоверности доказательств II.
Комментарии. В санаторно-курортных условиях применяют грязевые аппликации на воротниковую область невысокой температуры (36-38°, 10 - 15 минут, 10-12 процедур). Иногда грязелечение проводится в чередовании с радоновыми ваннами (100-200 ед. Махе, 36°, 10-12 минут), реже с общими сероводородными ваннами (50-100 мг/л сероводорода. 10 процедур). Наряду с грязевыми аппликациями или ваннами применяются лечебная физкультура, массаж воротниковой зоны и головы. Применение воротниковой терапии в чередовании с общими радоновыми или сероводородными ваннами имеет целью воздействовать на шейный вегетативный аппарат и на нарушенное при этом периферическое кровообращение. В местных санаториях целесообразно использовать электрофорез новокаина, папаверина в комплексе с хвойными ваннами. При плохой переносимости жары не следует направлять таких больных на южные курорты в жаркий период года.
Уровень убедительности рекомендаций В, уровень достоверности доказательств II.
Комментарии. В санаторно-курортных условиях применяют грязевые аппликации на воротниковую область невысокой температуры (36-38°, 10 - 15 минут, 10-12 процедур). Иногда грязелечение проводится в чередовании с радоновыми ваннами (100-200 ед. Махе, 36°, 10-12 минут), реже с общими сероводородными ваннами (50-100 мг/л сероводорода. 10 процедур). Наряду с грязевыми аппликациями или ваннами применяются лечебная физкультура, массаж воротниковой зоны и головы. Применение воротниковой терапии в чередовании с общими радоновыми или сероводородными ваннами имеет целью воздействовать на шейный вегетативный аппарат и на нарушенное при этом периферическое кровообращение. В местных санаториях целесообразно использовать электрофорез новокаина, папаверина в комплексе с хвойными ваннами. При плохой переносимости жары не следует направлять таких больных на южные курорты в жаркий период года.
|
|
Профилактика
Показания к профилактическому лечению:
- два и более приступа мигрени в месяц;
- тяжелые и длительные приступы мигрени;
- низкая эффективность терапии, купирующей приступ мигрени;
- противопоказания или плохая переносимость препаратов, купирующих приступ мигрени;
- наличие необычной ауры, которая пугает ребенка и родителей.
• Рекомендуется проведение мероприятий по изменению режима дня [12,17, 22, 26].
Уровень убедительности рекомендаций с , у ровень достоверности доказательств III.
Комментарии. Не менее важны в лечении мигрени у детей мероприятия по модификации привычного образа жизни - устранение или избегание так называемых триггеров мигрени - факторов, провоцирующих мигренозный приступ; проведение релаксационной терапии (мышечной релаксации, аутогенной тренировки, гипноза ), более значимой у подростков; соблюдение гигиены сна; изменение диеты для устранения провоцирующих приступ продуктов (шоколад, определенные сыры, острые приправы, некоторые орехи ) и уменьшение потребления кофеинсодержащих продуктов (пепси, кола, кофе ). Если ребенок посещает спортивные секции, необходимо соблюдать разумный контроль над физическими упражнениями и тренировками. Оптимальна регулярная физическая нагрузка составляет 20-30 минут в день. Во время приступа мигрени у ребенка рекомендуется отдых в затемненной комнате в спокойной обстановке. Часто сон может купировать приступ, и после пробуждения ребенка приступ мигрени не возобновляется.
• Рекомендуется наблюдение у врача-невролога по месту жительства [1, 2].
Уровень убедительности рекомендаций В, уровень достоверности доказательств II.
• Рекомендуется для профилактического лечения мигрени у детей и подростков использование антиконвульсантов [39, 40].
Уровень убедительности рекомендаций В, уровень достоверности доказательств II.
Комментарии. Среди антиконвульсантов наибольшее число исследований проведено для топирамата и препаратов производных вальпроевой** кислоты.
Препараты для профилактического лечения мигрени у детей.
• Рекомендуется в профилактическом лечении использование топирамата** в стартовой дозе 25мг/сут [39, 40, 41].
Уровень убедительности рекомендаций D , уровень достоверности доказательств IV.
Комментарий. Эффективность топирамата** в профилактическом лечении мигрени показана в двойных-слепых плацебо контролируемых исследованиях для детей в возрасте от 6 до 15 лет [41, 40] и для подростков 12-17 лет [39]. Если необходимо, доза увеличивается каждые две недели до достижения максимального значения 2 мг/кг массы тела в сутки.
• Рекомендуется в профилактическом лечении использование препаратов вальпроевой кислоты**, эффективная доза составляет 500-1000 мг/сут [39, 42, 43,44, 45,46].
Уровень убедительности рекомендаций D , уровень достоверности доказательств IV.
Комментарии. Доказательства эффективности препаратов вальпроевой кислоты** в профилактическом лечении мигрени у детей основаны на результатах открытых клинических исследований [42, 43], а также сравнительных исследований с пропранололом**[44] и топираматом**[45]. Показано эффективное использование препарата вальпроевой кислоты** в профилактическом лечении циклических рвот [46].
• Рекомендуется применение пропранолола** для профилактики мигрени у детей [47, 48].
Уровень убедительности рекомендаций D , уровень достоверности доказательств IV.
Комментарии. Для профилактического лечения мигрени у взрослых применяют бета-адреноблокаторы (пропранолол**, метопролол**). Механизм действия бета-адреноблокаторов при мигрени неизвестен. Исследования, проведенные у детей, содержат неоднозначные данные по эффективности пропранолола** в профилактическом лечении мигрени [47, 48]. Некоторые авторы подчеркивают, что пропранолол** в дозе 1-3 мг/кг/сут. при курсовом лечении не менее 3 месяцев может быть эффективен у детей с мигренью [27]. Необходимо, однако, учитывать, что пропранолол** противопоказан у детей с бронхиальной астмой. Пролонгированные препараты пропранолола** можно принимать один раз в сутки.
• Рекомендуется использование для профилактического применения у детей при мигрени из антагонистов кальция только флунаризина[50, 51, 52].
Уровень убедительности рекомендаций В, уровень достоверности доказательств II.
Комментарии. Эффективность в профилактическом лечении мигрениу детей показал только флунаризин [50,51]. Противопоказаниями для применения антагонистов кальция являются синдром слабости синусового узла, атриовентрикулярная блокада 2-3 степени, сердечная недостаточность. Побочные эффекты проявляются в виде отеков, артериальной гипотензии, утомляемости, головокружения, головной боли, запоры, атриовентрикулярной блокады.
• Рекомендуется использование для профилактического применения у детей при мигрени из группы антидепрессантов - амитриптилина [49, 52].
Уровень убедительности рекомендаций D , уровень достоверности доказательств IV.
Комментарий. Действие амитриптилина при мигрени связывают с его серотонинергическим эффектом; оптимальная доза этого препарата при мигрени у детей составляет 1 мг/кг/сут. [49, 52].
• Рекомендуется в детском возрасте, особенно у детей младшего возраста, применяется препарат ципрогептадин (перитол)[52].
Уровень убедительности рекомендаций D , уровень достоверности доказательств IV.
Комментарий. Перитол обладает выраженным антисеротониновым, антигистаминным и антихолинергическим действием [52].
• Рекомендуется применение пизотифена у детей для профилактического лечения мигрени из группы препаратов с антигистаминовым действием, его стандартная доза у детей составляет 0,5-1,5 мг/сут [53, 54].
Уровень убедительности рекомендаций С, уровень достоверности доказательств III.
Комментарий. Более высокие дозы - до 3,5 мг/сут. применялись для лечения абдоминальной мигрени [54].
• Рекомендуется для профилактического лечения мигрени применение витаминов (рибофлавин**) [55], коэнзим Q [56], микроэлемента магний [57], лекарственных средств на травах - пиретрум девичий [13], белокопытник [58, 59].
Уровень убедительности рекомендаций В, уровень достоверности доказательств II.
Комментарии. Данные лекарственные средства применяются с целю профилактики мигрени у взрослых. Для большинства этих средств не проводились исследования по эффективности использования у детей или подростков с мигренью, однако их применение оправдано, видимо, в качестве дополнительного лечения при низкой эффективности фармакологического лечения.
• Рекомендуется применение из дополнительных, нефармакологических, методов лечения мигрени в детском возрасте биологической обратной связи (БОС) по электромиографическому или электроэнцефалографическому сигналу, общего массажа, иглорефлексотерапии и других форм акупунктуры [60, 61, 62].
Уровень убедительности рекомендаций С, уровень достоверности доказательств III.
Комментарии. Эффективность БОС-терапии показана у взрослых и детей и обусловлена, по-видимому, изменением уровеня бета-эндорфина в плазме крови [60]. При обучении расслаблению на курсовых занятиях доказана эффективность БОС- релаксационной терапии для прерывания и предотвращения возвратных головных болей у детей с мигренью [61]. БОС-терапия практически не дает побочных эффектов. У подростков с мигренью прибегают к поведенческой терапии, психотерапевтической помощи и/или консультации психиатра, необходимость и выбор которых определяется типом коморбидных (в основном депрессивных и тревожных) психических расстройств [62].
• Рекомендуется комбинация разных видов фармакологического и нефармакологического лечения [58, 59, 62].
Уровень убедительности рекомендаций В, уровень достоверности доказательств II.
Комментарий. При лечении тяжелых приступов мигрени у детей и подростков наиболее эффективной оказывается часто комбинация разных видов фармакологического и нефармакологического лечения.
- два и более приступа мигрени в месяц;
- тяжелые и длительные приступы мигрени;
- низкая эффективность терапии, купирующей приступ мигрени;
- противопоказания или плохая переносимость препаратов, купирующих приступ мигрени;
- наличие необычной ауры, которая пугает ребенка и родителей.
• Рекомендуется проведение мероприятий по изменению режима дня [12,17, 22, 26].
Уровень убедительности рекомендаций с , у ровень достоверности доказательств III.
Комментарии. Не менее важны в лечении мигрени у детей мероприятия по модификации привычного образа жизни - устранение или избегание так называемых триггеров мигрени - факторов, провоцирующих мигренозный приступ; проведение релаксационной терапии (мышечной релаксации, аутогенной тренировки, гипноза ), более значимой у подростков; соблюдение гигиены сна; изменение диеты для устранения провоцирующих приступ продуктов (шоколад, определенные сыры, острые приправы, некоторые орехи ) и уменьшение потребления кофеинсодержащих продуктов (пепси, кола, кофе ). Если ребенок посещает спортивные секции, необходимо соблюдать разумный контроль над физическими упражнениями и тренировками. Оптимальна регулярная физическая нагрузка составляет 20-30 минут в день. Во время приступа мигрени у ребенка рекомендуется отдых в затемненной комнате в спокойной обстановке. Часто сон может купировать приступ, и после пробуждения ребенка приступ мигрени не возобновляется.
• Рекомендуется наблюдение у врача-невролога по месту жительства [1, 2].
Уровень убедительности рекомендаций В, уровень достоверности доказательств II.
• Рекомендуется для профилактического лечения мигрени у детей и подростков использование антиконвульсантов [39, 40].
Уровень убедительности рекомендаций В, уровень достоверности доказательств II.
Комментарии. Среди антиконвульсантов наибольшее число исследований проведено для топирамата и препаратов производных вальпроевой** кислоты.
Препараты для профилактического лечения мигрени у детей.
| Лекарственные препараты и суточная доза | Класс доказа-тельности | Число детей | Эффективность | Ссылки |
| Антигистаминные: - ципрогептадин 2-8 мг - пизотифен 0,5-1,5 мг | IV II | 30 | 83% | Lewis D. [et al.], 2005 Gillies D. [et al.],1986 |
| Бета-адреноблокаторы: - пропранолол** 80 мг 60-120 мг 1-З мг/кг/сут. | II II II | 39 28 28 | 81% значительная редукция ГБ значительная редукция ГБ | Forsythe W.I. [et al.], 1984 Ludvigsson J. [et al.], 1974 Ziegler D.K. [et al.], 1993 |
| Трициклические антидепрессанты: - амитриптилин** 0,25-1,0 мг/кг/сут. 6-120 мг | IV IV | 192 73 | 80% 89% | HersheyA.D. [et al.], 2000 Lewis D. [et al.], 2004 |
| Блокаторы кальциевых каналов: - флунаризин 5 мг - флунаризин 5-10 мг | I IV | 63 12 | Р worse 0,001 у 75% уменьшение головных болей на75-100% | Sorge Fetal., 1988) Guidetti V. [et al.], 1987 |
| Антиэпилептические Препараты: - вальпроат натрия 15-45 мг/кг/сут. 500-1000 мг/сут. - топирамат** 12,5-225 мг, 1-2 мг/кг - леветирацетам** 250-500 мг | IV IV IV IV | 42 10 75 19 | У 76% снижение частоты головных болей на 50% р = 0 р worse 0,001 р worse 0,0001 | сaruso J.M. [et al.], 2000 Serdaroglu G. [et al.], 2002 HersheyA.D. [et al.], 2002 Lewis D. [et al.], 2009 Miller G.S., 2004 |
• Рекомендуется в профилактическом лечении использование топирамата** в стартовой дозе 25мг/сут [39, 40, 41].
Уровень убедительности рекомендаций D , уровень достоверности доказательств IV.
Комментарий. Эффективность топирамата** в профилактическом лечении мигрени показана в двойных-слепых плацебо контролируемых исследованиях для детей в возрасте от 6 до 15 лет [41, 40] и для подростков 12-17 лет [39]. Если необходимо, доза увеличивается каждые две недели до достижения максимального значения 2 мг/кг массы тела в сутки.
• Рекомендуется в профилактическом лечении использование препаратов вальпроевой кислоты**, эффективная доза составляет 500-1000 мг/сут [39, 42, 43,44, 45,46].
Уровень убедительности рекомендаций D , уровень достоверности доказательств IV.
Комментарии. Доказательства эффективности препаратов вальпроевой кислоты** в профилактическом лечении мигрени у детей основаны на результатах открытых клинических исследований [42, 43], а также сравнительных исследований с пропранололом**[44] и топираматом**[45]. Показано эффективное использование препарата вальпроевой кислоты** в профилактическом лечении циклических рвот [46].
• Рекомендуется применение пропранолола** для профилактики мигрени у детей [47, 48].
Уровень убедительности рекомендаций D , уровень достоверности доказательств IV.
Комментарии. Для профилактического лечения мигрени у взрослых применяют бета-адреноблокаторы (пропранолол**, метопролол**). Механизм действия бета-адреноблокаторов при мигрени неизвестен. Исследования, проведенные у детей, содержат неоднозначные данные по эффективности пропранолола** в профилактическом лечении мигрени [47, 48]. Некоторые авторы подчеркивают, что пропранолол** в дозе 1-3 мг/кг/сут. при курсовом лечении не менее 3 месяцев может быть эффективен у детей с мигренью [27]. Необходимо, однако, учитывать, что пропранолол** противопоказан у детей с бронхиальной астмой. Пролонгированные препараты пропранолола** можно принимать один раз в сутки.
• Рекомендуется использование для профилактического применения у детей при мигрени из антагонистов кальция только флунаризина[50, 51, 52].
Уровень убедительности рекомендаций В, уровень достоверности доказательств II.
Комментарии. Эффективность в профилактическом лечении мигрениу детей показал только флунаризин [50,51]. Противопоказаниями для применения антагонистов кальция являются синдром слабости синусового узла, атриовентрикулярная блокада 2-3 степени, сердечная недостаточность. Побочные эффекты проявляются в виде отеков, артериальной гипотензии, утомляемости, головокружения, головной боли, запоры, атриовентрикулярной блокады.
• Рекомендуется использование для профилактического применения у детей при мигрени из группы антидепрессантов - амитриптилина [49, 52].
Уровень убедительности рекомендаций D , уровень достоверности доказательств IV.
Комментарий. Действие амитриптилина при мигрени связывают с его серотонинергическим эффектом; оптимальная доза этого препарата при мигрени у детей составляет 1 мг/кг/сут. [49, 52].
• Рекомендуется в детском возрасте, особенно у детей младшего возраста, применяется препарат ципрогептадин (перитол)[52].
Уровень убедительности рекомендаций D , уровень достоверности доказательств IV.
Комментарий. Перитол обладает выраженным антисеротониновым, антигистаминным и антихолинергическим действием [52].
• Рекомендуется применение пизотифена у детей для профилактического лечения мигрени из группы препаратов с антигистаминовым действием, его стандартная доза у детей составляет 0,5-1,5 мг/сут [53, 54].
Уровень убедительности рекомендаций С, уровень достоверности доказательств III.
Комментарий. Более высокие дозы - до 3,5 мг/сут. применялись для лечения абдоминальной мигрени [54].
• Рекомендуется для профилактического лечения мигрени применение витаминов (рибофлавин**) [55], коэнзим Q [56], микроэлемента магний [57], лекарственных средств на травах - пиретрум девичий [13], белокопытник [58, 59].
Уровень убедительности рекомендаций В, уровень достоверности доказательств II.
Комментарии. Данные лекарственные средства применяются с целю профилактики мигрени у взрослых. Для большинства этих средств не проводились исследования по эффективности использования у детей или подростков с мигренью, однако их применение оправдано, видимо, в качестве дополнительного лечения при низкой эффективности фармакологического лечения.
• Рекомендуется применение из дополнительных, нефармакологических, методов лечения мигрени в детском возрасте биологической обратной связи (БОС) по электромиографическому или электроэнцефалографическому сигналу, общего массажа, иглорефлексотерапии и других форм акупунктуры [60, 61, 62].
Уровень убедительности рекомендаций С, уровень достоверности доказательств III.
Комментарии. Эффективность БОС-терапии показана у взрослых и детей и обусловлена, по-видимому, изменением уровеня бета-эндорфина в плазме крови [60]. При обучении расслаблению на курсовых занятиях доказана эффективность БОС- релаксационной терапии для прерывания и предотвращения возвратных головных болей у детей с мигренью [61]. БОС-терапия практически не дает побочных эффектов. У подростков с мигренью прибегают к поведенческой терапии, психотерапевтической помощи и/или консультации психиатра, необходимость и выбор которых определяется типом коморбидных (в основном депрессивных и тревожных) психических расстройств [62].
• Рекомендуется комбинация разных видов фармакологического и нефармакологического лечения [58, 59, 62].
Уровень убедительности рекомендаций В, уровень достоверности доказательств II.
Комментарий. При лечении тяжелых приступов мигрени у детей и подростков наиболее эффективной оказывается часто комбинация разных видов фармакологического и нефармакологического лечения.
|
|
Дополнительно
• Рекомендуется выявление триггерных факторов, которые могут провоцировать приступы мигрени [1, 2, 7, 46].
Уровень убедительности рекомендаций В, уровень достоверности доказательств II.
• Рекомендуется своевременная госпитализация в случае возникновения мигренозного статуса [1, 2, 23, 27, 30, 38].
Уровень убедительности рекомендаций А, уровень достоверности доказательств I.
• Рекомендуется при лечении приступа применять адекватные дозы рекомендованных препаратов [1, 2, 7,38, 50, 61].
Уровень убедительности рекомендаций А, уровень достоверности доказательств II.
Уровень убедительности рекомендаций В, уровень достоверности доказательств II.
• Рекомендуется своевременная госпитализация в случае возникновения мигренозного статуса [1, 2, 23, 27, 30, 38].
Уровень убедительности рекомендаций А, уровень достоверности доказательств I.
• Рекомендуется при лечении приступа применять адекватные дозы рекомендованных препаратов [1, 2, 7,38, 50, 61].
Уровень убедительности рекомендаций А, уровень достоверности доказательств II.
Критерии оценки качества медицинской помощи
| № п/п | Критерий качества | Уровень убедительности рекомендаций | Уровни достоверности доказательств |
| 1. | Выполнена клиническая и дифференциальная диагностика формы мигрени | А | I |
| 2. | Проведено МРТ головного мозга и ЭЭГ (особенно в случае подозрения на доброкачественное пароксизмальное головокружение детского возраста) для исключения вторичной причины головной боли | в | II |
| 3. | Выполнена терапия мигрени нестероидными противовоспалительными средствами и анальгетиками (во время приступа) | в | II |
| 4. | Выполнен динамический осмотр при недостаточной удовлетворенности пациента или наличии нежелательных явлений и определена тактика лечения | в | II |
Список литературы
1. Вейн, А.М. Мигрень / А.М. Вейн, О.А. Колосова, Н.А. Яковлев, Т.А. Слюсарь. М. Медицина, 1995. 180 с.
2. Гузева, В.И. Руководство по детской неврологии: 3 изд. В.И. Гузева. М. МИА, 2009. 640 с.
3. Goadsby, P.J. Migraine-current understanding and treatment / P.J. Goadsby, R.B. Lipton, M.D. Ferrari // N. Engl. J. Med. 2002. Vol. 346 (4). P. 257-270.
4. Aurora, S.K. Spectrum of illness: understanding biological patterns and relationships in chronic migraine / S.K. Aurora // Neurology. 2009. Vol. 72, Suppl. 5. P. 8-13.
5. Silberstein, S.D. Practice parameter: evidence-based guidelines for migraine headache (an evidence-based review): report of the Quality Standards Subcommittee of the American Academy of Neurology / S.D. Silberstein // Neurology. 2000. Vol. 55. P. 754-762.
6. Welch, K.M. Periaqueductal gray matter dysfunction in migraine: cause or the burden of illness. K.M. Welch, V. Nagesh, S.K. Aurora, N. Gelman // Headache. 2001. Vol. 41 (7). P. 6629-37.
7. Dodick, D. Central sensitization theory of migraine: clinical implications / D. Dodick, S. Silberstein // Headache. 2006. Vol. 46, Suppl. 4. P. 182-191.
8. вurstein, R. An association between migraine and cutaneous allodynia / R. вurstein, D. Yarnitsky, I. Goor-Aryeh [et al. Ann. Neurol. 2000. Vol. 47 (5). P. 614-624.
9. вurstein, R. Managing migraine associated with sensitization / R. вurstein, M. Jakubowski //Handb. сlin. Neurol. 2010. Vol. 97. P. 207-15.
10. Ashkenazi, A. Identifying cutaneous allodynia in chronic migraine using a practical clinical method / A. Ashkenazi, M. Sholtzow, J.W. Shaw [et al. // сephalalgia. 2007. Vol. 27 (2). P. 111-7.
11. вigal, M.E. When migraine progresses: transformed or chronic migraine / M.E. вigal, R.B. Lipton // Expert Rev. Neurother. 2006. 6 (3). P. 297-306.
12. Lovati, С. Allodynia in different forms of migraine / с. Lovati, D. D Amico, S. Rosa [et al. Neurol. Sci. 2007. Vol. 28. P. 220-221.
13. Vahlquist, В. Migraine of early onset. A study of thirty one cases in which the disease first appeared between one and four years of age / в. Vahlquist, G. Hackzell// ActaPaediatr. 1949. Vol. 38. P. 622-636.
14. Mortimer, M.J. Epidemiology of headache and childhood migraine in an urban general practice using Ad Hoc, Vahlquist and IHS criteria / M.J. Mortimer, J. Kay, A. Jaron // Dev. Med. сhildNeurol. 1992. Vol. 34 (12). P. 1095-1101.
15. вille, в.S. Migraine in school children. A study of the incidence and short-term prognosis, and a clinical, psychological and electroencephalographic comparison between children with migraine and matched controls / в.S. вille // ActaPaediatr. Suppl. 1962. Vol. 136. P. 1-151.
16. Sillanpää, M. Prevalence of migraine and other headache in Finnish children starting school / M. Sillanpää// Headache. 1976. -Vol. 15 (4). P. 288-290.
17. Abu-Arafeh, L. Prevalence of headache and migraine in school children / L. Abu-Arafeh, G. Russell // вritish Medical Journal. 1994. Vol. 309. P. 765-769.
18. вarea, L.M. An epidemiologic study of headache among children and adolescents of southern вrazil / L.M. вarea, M. Tannhauser, N.T. Rotta // сephalalgia. 1996. Vol. 16(8). P. 545-549.
19. Lu, S.R. Migraine prevalence in adolescents aged 13-15: a student population-based study in Taiwan / S.R. Lu, J.L. Fuh, K.D. Juang, S.J. Wang // сephalalgia. 2000. Vol. 20 (5). P. 479-485.
20. Zwart, J.A. The prevalence of migraine and tension-type headaches among adolescents in Norway. The Nord-Trmndelag Health Study (Head-HUNT-Youth), a large population-based epidemiological study / J.A. Zwart, G. Dyb, T.L. Holmen [et al. // сephalalgia. 2004. Vol. 24 (5). P. 373-379.
21. Split, W. Epidemiology of migraine among students from randomly selected secondary schools in Lodz / W. Split, W. Neuman // Headache. 1999. Vol. 39(7). P. 494-501.
22. Karli, N. Headache prevalence in adolescents aged 12 to 17: a student-based epidemiological study in вursa / N. Karli, N. Аkis, M. Zarifoplu[ et al. Headache. 2006. Vol. 46 (4). P. 649-655.
23. Шток, В.Н. Справочник по формулированию клинического диагноза болезней нервной системы / В.Н. Шток, О.С. Левин. М. МИА, 2006. 520 с.
24. Справочник-путеводитель практикующего врача. 2000 болезней от А до Я: 2-е изд. Под ред. И.Н. Денисова, Ю.Л. Шевченко. М: ГЭОТАР. 2003. 1344 с.
25. Winner, P. Headaches in children / P. Winner, A.D. Hershey, Z. Li // Wolffs headache and other head pain. 8thedition. NewYork: OxfordUniversityPress, 2008. P. 665-690.
26. Стайнер, Т.Дж. Европейские принципы ведения пациентов с наиболее распространенными формами головной боли в общей практике / Т. Дж. Стайнер []. Практ. рук. для врачей; пер. с англ. Ю.Э. Азимовой, В.В. Осиповой; научн. ред. В.В. Осиповой, Т.Г. Вознесенской, Г.Р. Табеевой. М. ООО «ОГГИ. РП», 2010. 56 с.
27. Winner, P. Chronic daily headaches in children / P. Winner // Pediatric headaches in clinical practice. Oxford: Wiley-Blackwell, 2009. P. 125-142.
28. HamalainenM.L. Ibuprofen or acetaminophen for the acute treatment of migraine in children: a double-blind, randomized, placebo-controlled, crossover study / M.L. Hamalainen, K. Hoppu, E. Valkeila [et al // Neurology. 1997. Vol. 48. P. 102-107.
29. Lewis, D.W. Children s ibuprofen suspension for pediatric migraine / D.W. Lewis, в. Kellstein, G. Dahl [et al. Ann. Neurol. 2001. Vol. 50 (3), Suppl. 1. P.93.
30. Hamalainen, M.L. Sumatriptan for migraine attacks in children: a randomized placebo-controlled study. Do children with migraine respond to oral sumatriptan differently than adults. M.L. Hamalainen, K. Hoppu, P. Santavuori// Neurology. 1997. Vol. 48. P. 1100-1103.
31. Smith, T.R. Sumatriptan and naproxen sodium for the acute treatment of migraine / T.R. Smith, A. Sunshine, S.R. Stark [et al. Headache. 2005. Vol. 45 (8). P. 983-991.
32. Ahonen, K. A randomized trial of rizatriptan in migraine attacks in children / Ahonen, М. L. Hdmdldinen, М. Eerola, Hoppu // Neurology. 2006. Vol. 67(7). P. 1135-40.
33. Linder, S.L. Zolmitriptan provides effective migraine relief in adolescents / S.L. Linder, A.J. Dowson // Int. J. сlin. Pract. 2000. Vol. 54. P. 466-469.
34. Ueberall, М.А. Intranasal sumatriptan for the acute treatment of migraine in children / M.A. Ueberall // Neurology. 1999. Vol. 52. P.1507-1510.
35. Winner, P. Rizatriptan Adolescent Study Group. Rizatriptan 5 mg for the acute treatment of migraine in adolescents: a randomized, double-blind, placebo-controlled study / P. Winner, D. Lewis, W.H. Visser [et al. Headache. 2002. Vol. 42 (1). P. 49-55.
36. Lewis, D.W. Practice parameter: pharmacological treatment of migraine headache in children and adolescents: report of the American Academy of Neurology Quality Standards Subcommittee and the Practice сommittee of the сhild Neurology Society / D.W. Lewis, S. Ashwal, A. Hershey [et al. Neurology. 2004. Vol. 63 (12). P. 2215-2224.
37. Нестеровский, Ю.Е. Принципылеченияголовныхболейудетейиподростков / Ю.Е. Нестеровский, Н.Н. Заваденко // Фарматека. 2013. 1. С. 106-111.
38. Kabbouche, M.A. Tolerability and effectiveness of prochlorperazine for intractable migraine in children / M.A. Kabbouche, A.L. Vockell, S.L. LeCates[etal. Pediatrics. 2001. Vol. 107 (4). P. 62.
39. Lewis, D.W. Randomized, double-blind, placebo-controlled study to evaluate the efficacy and safety of topiramate for migraine prevention in pediatric subjects 12 to 17 years of age / D.W. Lewis, P. Winner, J. Saper [et al. Pediatrics. 2009. Vol. 123 (3). P. 924-34.
40. Winner, P. Topiramate Pediatric Migraine Study Investigators. Topiramate for migraine prevention in children: a randomized, double-blind, placebo-controlled trial / P. Winner, E.M. Pearlman, S.L. Linder [ et al. Headache. 2005. Vol. 45 (10). P. 1304-12.
41. Lakshmi, с.V. Topiramate in the prophylaxis of pediatric migraine: a double-blind placebo-controlled trial / с.V. Lakshmi, P. Singhi, P. Malhi, M. Ray // J. сhild. Neurol. 2007. Vol. 22 (7). P. 829-35.
42. сaruso, J.M. The efficacy of divalproex sodium in the prophylactic treatment of children with migraine / J.M. сaruso, W.D. вrown, G. Exil, G.G. Gascon// Headache. 2000. Vol. 40. P. 672-676.
43. Serdaroglu, G. Sodium valproate prophylaxis in childhood migraine / G. Serdaroglu, E. Erhan E., H. Tekgul [et al. Headache. 2002. Vol. 42. P. 819-822.
44. вidabadi, E. A randomized trial of propranolol versus sodium valproate for the prophylaxis of migraine in pediatric patients / E. вidabadi, M. Mashouf// Paediatr. Drugs. 2010. 12 (4). P. 269-75.
45. Ünalp, A. Comparison of the effectiveness of topiramate and sodium valproate in pediatric migraine / A. Ünalp, N. Uran, A. Oztürk- J. сhild. Neurol. 2008. Vol. 23 (12). P. 1377-81.
46. Hikita, T. Effective prophylactic therapy for cyclic vomiting syndrome in children using valproate / T. Hikita, H. Kodama, N. Nakamoto [ et al. // вrain. Dev. 2009. Vol. 31(6). P. 411-3.
47. Forsythe, W.I. Propranolol (Inderal) in the treatment of childhood migraine / W.I. Forsythe, D. Gillies, M.A. Sills // Dev. Med. сhild. Neurol. 1984. Vol. 26. P. 737-741.
48. Ludvigsson, J. Propranolol used in prophylaxis of migraine in children / J. Ludvigsson // Acta Neurol. 1974. Vol. 50. P. 109-115.
49. Hershey, A.D. Effectiveness of amitriptyline in the prophylactic management of childhood headaches / A.D. Hershey, S.W. Powers, A.L. вentti, T.J. deGrauw // Headache. 2000. Vol. 40. P. 539-549.
50. Guidetti, V. Flunarizine and migraine in childhood: an evaluation of endocrine function / V. Guidetti, в. Moscato, S. Ottaviano [et al. // сephalalgia. 1987. 7. P. 263-266.
51. Sorge, F. Flunarizine in prophylaxis of childhood migraine. A double-blind, placebo-controlled crossover study / F. Sorge, R. DeSimone, E. Marano [et al. // сephalalgia. 1988. 8. P. 1-6.
52. Lewis, D.W. Prophylactic treatment of pediatric migraine / D.W. Lewis, S. Diamond, D. Scott [et al. Headache. 2004. Vol. 44. P. 230-237.
53. Gillies, D. Pizotifen (Sanomigran) in childhood migraine. A double-blind controlled trial / D. Gillies, M. Sills, W.I. Forsythe // Eur. Neurol. 1986. Vol. 25 (1). P. 32-5.
54. Symon, D.N. Double blind placebo controlled trial of pizotifen syrup in the treatment of abdominal migraine / D.N. Symon, G. Russell // Arch. Dis. сhild. 1995. Vol. 72 (1). P. 48-50.
55. Schoenen, J. Effectiveness of high-dose riboflavin in migraine prophylaxis. A randomized controlled trial / J. Schoenen, J. Jacquy, M. Lenaerts // Neurology. 1998. Vol. 50 (2). P. 466-470.
56. Sándor, P.S. Efficacy of coenzyme Q10 in migraine prophylaxis: a randomized controlled trial / P.S. Sándor, L. Di сlemente, G. сoppola [et al. Neurology. 2005. Vol. 64 (4). P. 713-715.
57. Pfaffenrath, V. Magnesium in the prophylaxis of migraine-a--double-blind placebo-controlled study / V. Pfaffenrath, P. Wessely, с. Meyer [et al. // сephalalgia. 1996. -Vol. 16 (6). P. 436-440.
58. Lipton, R.B. Petasiteshybridus root (butterbur) is an effective preventive treatment for migraine / R.B. Lipton, H. Göbel, K.M. Einhäupl [ et al. Neurology. 2004. Vol. 63 (12). P. 2240-2244.
59. Pothmann, R. Migraine prevention in children and adolescents: results of an open study with a special butterbur root extract / R. Pothmann, U. Danesch // Headache. 2005. Vol. 45 (3). P. 196-203.
60. вaumann, R.J. Behavioral treatment of migraine in children and adolescents / R.J. вaumann // Paediatr. Drugs. 2002. 4 (9). P. 555-561.
61. Powers, S.W. Biofeedback for childhood migraine / S.W. Powers, A.D. Hershey // сurrent Management in сhild Neurology, 2nd edition. Hamilton: в.C. Decker, 2002. P. 83-85.
62. Powers, S.W.,Andrasik F. вiobehavioral treatment, disability, and psychological effects of pediatric headache / S.W. Powers, F. Andrasik// Pediatr. Arm. 2005. Vol. 34 (6). P. 461-465.
2. Гузева, В.И. Руководство по детской неврологии: 3 изд. В.И. Гузева. М. МИА, 2009. 640 с.
3. Goadsby, P.J. Migraine-current understanding and treatment / P.J. Goadsby, R.B. Lipton, M.D. Ferrari // N. Engl. J. Med. 2002. Vol. 346 (4). P. 257-270.
4. Aurora, S.K. Spectrum of illness: understanding biological patterns and relationships in chronic migraine / S.K. Aurora // Neurology. 2009. Vol. 72, Suppl. 5. P. 8-13.
5. Silberstein, S.D. Practice parameter: evidence-based guidelines for migraine headache (an evidence-based review): report of the Quality Standards Subcommittee of the American Academy of Neurology / S.D. Silberstein // Neurology. 2000. Vol. 55. P. 754-762.
6. Welch, K.M. Periaqueductal gray matter dysfunction in migraine: cause or the burden of illness. K.M. Welch, V. Nagesh, S.K. Aurora, N. Gelman // Headache. 2001. Vol. 41 (7). P. 6629-37.
7. Dodick, D. Central sensitization theory of migraine: clinical implications / D. Dodick, S. Silberstein // Headache. 2006. Vol. 46, Suppl. 4. P. 182-191.
8. вurstein, R. An association between migraine and cutaneous allodynia / R. вurstein, D. Yarnitsky, I. Goor-Aryeh [et al. Ann. Neurol. 2000. Vol. 47 (5). P. 614-624.
9. вurstein, R. Managing migraine associated with sensitization / R. вurstein, M. Jakubowski //Handb. сlin. Neurol. 2010. Vol. 97. P. 207-15.
10. Ashkenazi, A. Identifying cutaneous allodynia in chronic migraine using a practical clinical method / A. Ashkenazi, M. Sholtzow, J.W. Shaw [et al. // сephalalgia. 2007. Vol. 27 (2). P. 111-7.
11. вigal, M.E. When migraine progresses: transformed or chronic migraine / M.E. вigal, R.B. Lipton // Expert Rev. Neurother. 2006. 6 (3). P. 297-306.
12. Lovati, С. Allodynia in different forms of migraine / с. Lovati, D. D Amico, S. Rosa [et al. Neurol. Sci. 2007. Vol. 28. P. 220-221.
13. Vahlquist, В. Migraine of early onset. A study of thirty one cases in which the disease first appeared between one and four years of age / в. Vahlquist, G. Hackzell// ActaPaediatr. 1949. Vol. 38. P. 622-636.
14. Mortimer, M.J. Epidemiology of headache and childhood migraine in an urban general practice using Ad Hoc, Vahlquist and IHS criteria / M.J. Mortimer, J. Kay, A. Jaron // Dev. Med. сhildNeurol. 1992. Vol. 34 (12). P. 1095-1101.
15. вille, в.S. Migraine in school children. A study of the incidence and short-term prognosis, and a clinical, psychological and electroencephalographic comparison between children with migraine and matched controls / в.S. вille // ActaPaediatr. Suppl. 1962. Vol. 136. P. 1-151.
16. Sillanpää, M. Prevalence of migraine and other headache in Finnish children starting school / M. Sillanpää// Headache. 1976. -Vol. 15 (4). P. 288-290.
17. Abu-Arafeh, L. Prevalence of headache and migraine in school children / L. Abu-Arafeh, G. Russell // вritish Medical Journal. 1994. Vol. 309. P. 765-769.
18. вarea, L.M. An epidemiologic study of headache among children and adolescents of southern вrazil / L.M. вarea, M. Tannhauser, N.T. Rotta // сephalalgia. 1996. Vol. 16(8). P. 545-549.
19. Lu, S.R. Migraine prevalence in adolescents aged 13-15: a student population-based study in Taiwan / S.R. Lu, J.L. Fuh, K.D. Juang, S.J. Wang // сephalalgia. 2000. Vol. 20 (5). P. 479-485.
20. Zwart, J.A. The prevalence of migraine and tension-type headaches among adolescents in Norway. The Nord-Trmndelag Health Study (Head-HUNT-Youth), a large population-based epidemiological study / J.A. Zwart, G. Dyb, T.L. Holmen [et al. // сephalalgia. 2004. Vol. 24 (5). P. 373-379.
21. Split, W. Epidemiology of migraine among students from randomly selected secondary schools in Lodz / W. Split, W. Neuman // Headache. 1999. Vol. 39(7). P. 494-501.
22. Karli, N. Headache prevalence in adolescents aged 12 to 17: a student-based epidemiological study in вursa / N. Karli, N. Аkis, M. Zarifoplu[ et al. Headache. 2006. Vol. 46 (4). P. 649-655.
23. Шток, В.Н. Справочник по формулированию клинического диагноза болезней нервной системы / В.Н. Шток, О.С. Левин. М. МИА, 2006. 520 с.
24. Справочник-путеводитель практикующего врача. 2000 болезней от А до Я: 2-е изд. Под ред. И.Н. Денисова, Ю.Л. Шевченко. М: ГЭОТАР. 2003. 1344 с.
25. Winner, P. Headaches in children / P. Winner, A.D. Hershey, Z. Li // Wolffs headache and other head pain. 8thedition. NewYork: OxfordUniversityPress, 2008. P. 665-690.
26. Стайнер, Т.Дж. Европейские принципы ведения пациентов с наиболее распространенными формами головной боли в общей практике / Т. Дж. Стайнер []. Практ. рук. для врачей; пер. с англ. Ю.Э. Азимовой, В.В. Осиповой; научн. ред. В.В. Осиповой, Т.Г. Вознесенской, Г.Р. Табеевой. М. ООО «ОГГИ. РП», 2010. 56 с.
27. Winner, P. Chronic daily headaches in children / P. Winner // Pediatric headaches in clinical practice. Oxford: Wiley-Blackwell, 2009. P. 125-142.
28. HamalainenM.L. Ibuprofen or acetaminophen for the acute treatment of migraine in children: a double-blind, randomized, placebo-controlled, crossover study / M.L. Hamalainen, K. Hoppu, E. Valkeila [et al // Neurology. 1997. Vol. 48. P. 102-107.
29. Lewis, D.W. Children s ibuprofen suspension for pediatric migraine / D.W. Lewis, в. Kellstein, G. Dahl [et al. Ann. Neurol. 2001. Vol. 50 (3), Suppl. 1. P.93.
30. Hamalainen, M.L. Sumatriptan for migraine attacks in children: a randomized placebo-controlled study. Do children with migraine respond to oral sumatriptan differently than adults. M.L. Hamalainen, K. Hoppu, P. Santavuori// Neurology. 1997. Vol. 48. P. 1100-1103.
31. Smith, T.R. Sumatriptan and naproxen sodium for the acute treatment of migraine / T.R. Smith, A. Sunshine, S.R. Stark [et al. Headache. 2005. Vol. 45 (8). P. 983-991.
32. Ahonen, K. A randomized trial of rizatriptan in migraine attacks in children / Ahonen, М. L. Hdmdldinen, М. Eerola, Hoppu // Neurology. 2006. Vol. 67(7). P. 1135-40.
33. Linder, S.L. Zolmitriptan provides effective migraine relief in adolescents / S.L. Linder, A.J. Dowson // Int. J. сlin. Pract. 2000. Vol. 54. P. 466-469.
34. Ueberall, М.А. Intranasal sumatriptan for the acute treatment of migraine in children / M.A. Ueberall // Neurology. 1999. Vol. 52. P.1507-1510.
35. Winner, P. Rizatriptan Adolescent Study Group. Rizatriptan 5 mg for the acute treatment of migraine in adolescents: a randomized, double-blind, placebo-controlled study / P. Winner, D. Lewis, W.H. Visser [et al. Headache. 2002. Vol. 42 (1). P. 49-55.
36. Lewis, D.W. Practice parameter: pharmacological treatment of migraine headache in children and adolescents: report of the American Academy of Neurology Quality Standards Subcommittee and the Practice сommittee of the сhild Neurology Society / D.W. Lewis, S. Ashwal, A. Hershey [et al. Neurology. 2004. Vol. 63 (12). P. 2215-2224.
37. Нестеровский, Ю.Е. Принципылеченияголовныхболейудетейиподростков / Ю.Е. Нестеровский, Н.Н. Заваденко // Фарматека. 2013. 1. С. 106-111.
38. Kabbouche, M.A. Tolerability and effectiveness of prochlorperazine for intractable migraine in children / M.A. Kabbouche, A.L. Vockell, S.L. LeCates[etal. Pediatrics. 2001. Vol. 107 (4). P. 62.
39. Lewis, D.W. Randomized, double-blind, placebo-controlled study to evaluate the efficacy and safety of topiramate for migraine prevention in pediatric subjects 12 to 17 years of age / D.W. Lewis, P. Winner, J. Saper [et al. Pediatrics. 2009. Vol. 123 (3). P. 924-34.
40. Winner, P. Topiramate Pediatric Migraine Study Investigators. Topiramate for migraine prevention in children: a randomized, double-blind, placebo-controlled trial / P. Winner, E.M. Pearlman, S.L. Linder [ et al. Headache. 2005. Vol. 45 (10). P. 1304-12.
41. Lakshmi, с.V. Topiramate in the prophylaxis of pediatric migraine: a double-blind placebo-controlled trial / с.V. Lakshmi, P. Singhi, P. Malhi, M. Ray // J. сhild. Neurol. 2007. Vol. 22 (7). P. 829-35.
42. сaruso, J.M. The efficacy of divalproex sodium in the prophylactic treatment of children with migraine / J.M. сaruso, W.D. вrown, G. Exil, G.G. Gascon// Headache. 2000. Vol. 40. P. 672-676.
43. Serdaroglu, G. Sodium valproate prophylaxis in childhood migraine / G. Serdaroglu, E. Erhan E., H. Tekgul [et al. Headache. 2002. Vol. 42. P. 819-822.
44. вidabadi, E. A randomized trial of propranolol versus sodium valproate for the prophylaxis of migraine in pediatric patients / E. вidabadi, M. Mashouf// Paediatr. Drugs. 2010. 12 (4). P. 269-75.
45. Ünalp, A. Comparison of the effectiveness of topiramate and sodium valproate in pediatric migraine / A. Ünalp, N. Uran, A. Oztürk- J. сhild. Neurol. 2008. Vol. 23 (12). P. 1377-81.
46. Hikita, T. Effective prophylactic therapy for cyclic vomiting syndrome in children using valproate / T. Hikita, H. Kodama, N. Nakamoto [ et al. // вrain. Dev. 2009. Vol. 31(6). P. 411-3.
47. Forsythe, W.I. Propranolol (Inderal) in the treatment of childhood migraine / W.I. Forsythe, D. Gillies, M.A. Sills // Dev. Med. сhild. Neurol. 1984. Vol. 26. P. 737-741.
48. Ludvigsson, J. Propranolol used in prophylaxis of migraine in children / J. Ludvigsson // Acta Neurol. 1974. Vol. 50. P. 109-115.
49. Hershey, A.D. Effectiveness of amitriptyline in the prophylactic management of childhood headaches / A.D. Hershey, S.W. Powers, A.L. вentti, T.J. deGrauw // Headache. 2000. Vol. 40. P. 539-549.
50. Guidetti, V. Flunarizine and migraine in childhood: an evaluation of endocrine function / V. Guidetti, в. Moscato, S. Ottaviano [et al. // сephalalgia. 1987. 7. P. 263-266.
51. Sorge, F. Flunarizine in prophylaxis of childhood migraine. A double-blind, placebo-controlled crossover study / F. Sorge, R. DeSimone, E. Marano [et al. // сephalalgia. 1988. 8. P. 1-6.
52. Lewis, D.W. Prophylactic treatment of pediatric migraine / D.W. Lewis, S. Diamond, D. Scott [et al. Headache. 2004. Vol. 44. P. 230-237.
53. Gillies, D. Pizotifen (Sanomigran) in childhood migraine. A double-blind controlled trial / D. Gillies, M. Sills, W.I. Forsythe // Eur. Neurol. 1986. Vol. 25 (1). P. 32-5.
54. Symon, D.N. Double blind placebo controlled trial of pizotifen syrup in the treatment of abdominal migraine / D.N. Symon, G. Russell // Arch. Dis. сhild. 1995. Vol. 72 (1). P. 48-50.
55. Schoenen, J. Effectiveness of high-dose riboflavin in migraine prophylaxis. A randomized controlled trial / J. Schoenen, J. Jacquy, M. Lenaerts // Neurology. 1998. Vol. 50 (2). P. 466-470.
56. Sándor, P.S. Efficacy of coenzyme Q10 in migraine prophylaxis: a randomized controlled trial / P.S. Sándor, L. Di сlemente, G. сoppola [et al. Neurology. 2005. Vol. 64 (4). P. 713-715.
57. Pfaffenrath, V. Magnesium in the prophylaxis of migraine-a--double-blind placebo-controlled study / V. Pfaffenrath, P. Wessely, с. Meyer [et al. // сephalalgia. 1996. -Vol. 16 (6). P. 436-440.
58. Lipton, R.B. Petasiteshybridus root (butterbur) is an effective preventive treatment for migraine / R.B. Lipton, H. Göbel, K.M. Einhäupl [ et al. Neurology. 2004. Vol. 63 (12). P. 2240-2244.
59. Pothmann, R. Migraine prevention in children and adolescents: results of an open study with a special butterbur root extract / R. Pothmann, U. Danesch // Headache. 2005. Vol. 45 (3). P. 196-203.
60. вaumann, R.J. Behavioral treatment of migraine in children and adolescents / R.J. вaumann // Paediatr. Drugs. 2002. 4 (9). P. 555-561.
61. Powers, S.W. Biofeedback for childhood migraine / S.W. Powers, A.D. Hershey // сurrent Management in сhild Neurology, 2nd edition. Hamilton: в.C. Decker, 2002. P. 83-85.
62. Powers, S.W.,Andrasik F. вiobehavioral treatment, disability, and psychological effects of pediatric headache / S.W. Powers, F. Andrasik// Pediatr. Arm. 2005. Vol. 34 (6). P. 461-465.
|
|
Приложения
Приложение А1.
Состав рабочей группы.Состав рабочей группы.
| Гузева Валентина Ивановна | Главный внештатный специалист детский невролог Минздрава России, д.м.н., профессор, заведующая кафедрой неврологии, нейрохирургии и медицинской генетики ФГБОУ ВО СПбГПМУ Минздрава России |
| Белоусова Елена Дмитриевна | д.м.н., профессор, руководитель отдела психоневрологии и эпилептологии МНИИ педиатрии и детской хирургии Росмедтехнологий |
| Скрипченко Наталья Викторовна | д.м.н., профессор, зам. директора по научной работе ФГУ «НИИ детских инфекций ФМБА России», Санкт-Петербург |
| Заваденко Николай Николаевич | д.м.н., проф., зав. каф. неврологии, нейрохирургии и медицинской генетики педиатрического факультета ГБОУ ВПО РНИМУ им. Н.И. Пирогова Минздравсоцразвития России |
| Зыков Валерий Петрович | д.м.н., профессор, заведующий кафедрой неврологии детского возраста ГУ ДПО РМАПО |
| Ермоленко Наталия Александровна | д.м.н., зав. отделением ДОКБ, гл. детский невролог Воронежской области |
| Прусаков Владимир Федорович | д.м.н., зав.кафедрой детской неврологии ДГБ №8 им. проф.РатнераА.Ю.Татарстан, Казань, главный внештатный детский невролог-эксперт МЗ |
| Львова Ольга Александровна | м.н., и.о. зав. кафедрой детской неврологии УГМА |
| Дьяконова Елена Николаевна | доцент кафедры ГОУ ВПО «Ивановская государственная медицинская академия» |
| Батышева Татьяна Тимофеевна | Главный врач городской психоневрологической больницы № 18 Департамента здравоохранения города Москвы |
| Левитина Елена Владиславовна | Заведующая кафедрой нервных болезней с курсом детской неврологии ВПО «Тюменская государственная медицинская академия» |
| Скоромец Анна Петровна | д.м.н. профессор кафедры неонатологии и неонатальной реанимации СПбГПМУ, ДГБ№1, главный внештатный детский специалист невролог Северо-Западного региона России |
| Балина Елена Альбертовна | заведующая отделением неврологии ГУ «Республиканская детская больница», Главный внештатный детский специалист невролог Республики Коми |
| Агранович Олег Виленович | заведующий отделением ГБУЗ СК Краевая детская клиническая больница, Главный внештатный детский специалист невролог Ставропольского края |
| Чутко Леонид Семенович | д.м.н. профессор руководитель Центра поведенческой неврологии, Институт Мозга Человека РАН им. Н.П. Бехтеревой |
| Пальчик Александр Бейнусович | д.м.н. профессор заведующий кафедрой психоневрологии ФПК и ПП ГБОУ ВПО СПбГПМУ Минздрава России |
| Куренков Алексей Львович | д.м.н., профессор, ведущий научный сотрудник, Федеральное государственное автономное учреждение «Научный центр здоровья детей» Министерства здравоохранения Российской Федерации |
| Кузенкова Людмила Михайловна | д.м.н., профессор, руководитель отделения психоневрологии и психосоматической патологии, Федеральное государственное автономное учреждение «Научный центр здоровья детей» Министерства здравоохранения Российской Федерации |
| Гузева Виктория Валентиновна | д.м.н., профессор кафедры неврологии, нейрохирургии и медицинской генетики ФГБОУ ВО СПбГПМУ Минздрава России |
| Гузева Оксана Валентиновна | д.м.н., профессор кафедры неврологии, нейрохирургии и медицинской генетики ФГБОУ ВО СПбГПМУ Минздрава России |
Конфликт интересов отсутствует.
Приложение А2.
Методология разработки клинических рекомендаций.Целевая аудитория данных клинических рекомендаций:
1. врачи - неврологи,.
2. врачи - педиатры.
3. студенты, ординаторы.
4. Аспиранты, докторанты;
5. Преподаватели, научные сотрудники.
Таблица П1. Уровни достоверности доказательств.
| Уровень | Источник доказательств |
| I (1) | Проспективныерандомизированные контролируемые исследования Достаточное количество исследований с достаточной мощностью, с участием большого количества пациентов и получением большого количества данных Крупные мета-анализы Как минимум одно хорошо организованное рандомизированное контролируемое исследование Репрезентативная выборка пациентов |
| II (2) | Проспективные с рандомизацией или без исследования с ограниченным количеством данных Несколько исследований с небольшим количеством пациентов Хорошо организованное проспективное исследование когорты Мета-анализы ограничены, но проведены на хорошем уровне Результаты не презентативны в отношении целевой популяции Хорошо организованные исследования «случай-контроль» |
| III (3) | Нерандомизированные контролируемые исследования Исследования с недостаточным контролем Рандомизированные клинические исследования с как минимум 1 значительной или как минимум 3 незначительными методологическими ошибками Ретроспективные или наблюдательные исследования Серия клинических наблюдений Противоречивые данные, не позволяющие сформировать окончательную рекомендацию |
| IV (4) | Мнение эксперта/данные из отчета экспертной комиссии, экспериментально подтвержденные и теоретически обоснованные |
Таблица П2. Уровни убедительности рекомендаций.
| Уровень | Описание | Расшифровка |
| A | Рекомендация основана на высоком уровне доказательности (как минимум 1 убедительная публикация I уровня доказательности, показывающая значительное превосходство пользы над риском) | Метод/терапия первой линии; либо в сочетании со стандартной методикой/терапией |
| в | Рекомендация основана на среднем уровне доказательности (как минимум 1 убедительная публикация II уровня доказательности, показывающая значительное превосходство пользы над риском) | Метод/терапия второй линии;либо при отказе, противопоказании, или неэффективности стандартной методики/терапии. Рекомендуется мониторирование побочных явлений |
| с | Рекомендация основана на слабом уровне доказательности (но как минимум 1 убедительная публикация III уровня доказательности, показывающая значительное превосходство пользы над риском) или нет убедительных данных ни о пользе, ни о риске) | Нет возражений против данного метода/терапии или нет возражений против продолжения данного метода/терапии Рекомендовано при отказе, противопоказании, или неэффективности стандартной методики/терапии, при условии отсутствия побочных эффектов |
| D | Отсутствие убедительных публикаций I, II или III уровня доказательности, показывающих значительное превосходство пользы над риском, либо убедительные публикации I, II или III уровня доказательности, показывающие значительное превосходство риска над пользой | Не рекомендовано |
Порядок обновления клинических рекомендаций. Пересмотр 1 раз в 3 года.
Последняя редакция КР была утверждена на Балтийском Конгрессе по детской неврологии 2016.
Приложение В.
Информация для пациентов.При возникновении мигреней необходимо четко составить режим дня и ложиться, и вставать в одно и то же время - утром и днем, обязателен дневной сон или просто отдых. Ночной сон должен быть минимум восемь-девять часов, без недосыпов. Но не стоит и длительно валяться в постели, пересыпание также может провоцировать приступы мигрени из-за нарушения мозгового кровообращения.
Родителям важно создать разумное чередование труда и отдыха, без переутомления как физически, так и эмоционально, после возможных стрессов ребенку нужно отдыхать. В большинстве случаев детям с мигренями ограничивают просмотр телевизора и игры и занятия за компьютером, а иногда при тесной связи приступов с ними - полное их исключение, особенно в темное время суток, когда мерцание экрана наиболее сильное.
Из питания детей стоит исключать продукты-триггеры мигрени - это орешки и шоколад, сыр, клубнику и цитрусы, яйца и продукты с избытком соли и консервантов с красителями. Подросткам необходимо объяснить влияние курения и прием алкоголя в компаниях сверстников с развитием мигрени.
Если мигрень провоцируется медикаментами, необходима их замена или полное исключение, по возможности их из лечения. Также стоит поступить и с другими провоцирующими факторами - духотой и жарой, резкими запахами в помещении, продолжительными поездками на транспорте или перелетами.
При доказанной связи мигрени с болезнями эндокринной системы или зрения, необходимо обследование у соответствующих специалистов и лечение совместно с ними.
Мигрень - это заболевание длительное, может быть прогрессирующим и развивающимся и трансформирующемся из одной формы в другую. По мере взросления ребенка, возможно, что мигрень исчезнет, но обычно она остается на всю жизнь. Тогда со своей мигренью необходимо будет научиться жить, контролировать ее приступы и быстро их купировать, при появлении ауры или предвестников.
Минздрав России 2016.
|
|