МКБ-10 коды
|
|
Вступление
Кодирование по Международной статистической классификации болезней и проблем, связанных со здоровьем: G43.
Год утверждения (частота пересмотра): 2021.
Возрастная категория: Взрослые.
Пересмотр не позднее: 2023.
ID: 295.
Разработчик клинической рекомендации.
• Всероссийское общество неврологов.
• Межрегиональная общественная организация Российское общество по изучению головной боли .
Одобрено Научно-практическим Советом Минздрава РФ.
Год утверждения (частота пересмотра): 2021.
Возрастная категория: Взрослые.
Пересмотр не позднее: 2023.
ID: 295.
Разработчик клинической рекомендации.
• Всероссийское общество неврологов.
• Межрегиональная общественная организация Российское общество по изучению головной боли .
Одобрено Научно-практическим Советом Минздрава РФ.
|
|
Список сокращений
БОС - биологическая обратная связь.
ВАШ - визуальная аналоговая шкала.
ВОП - врач общей практики.
В/В -внутривенно.
ГБ - головная боль.
ГБН - головная боль напряжения.
ДПМ - дисфункция перикраниальных мышц.
ДЭП - дисциркуляторная энцефалопатия.
ЖНВЛП - жизненно необходимые и важнейшие лекарственные препараты.
КГРП - кальцитонин-ген-родственный пептид.
КН - коморбидные нарушения.
ЛИГБ - лекарственно-индуцированная (абузусная) головная боль.
М - мигрень.
МА - мигрень с аурой.
МбА - мигрень без ауры.
МАТ - моноклональное антитело.
МКБ-10 - международная классификация болезней 10-го пересмотра.
МКГБ-3 - Международная классификация головных болей 3-го пересмотра.
МРТ - магнитно-резонансная томография.
МС - мигренозный статус.
МТС - мышечно-тонический синдром.
МФС - миофасциальный синдром.
НПВП - нестероидные противовоспалительные препараты.
НС - нейростимуляция.
ПС - периферическая сенситизация.
РКД - распространяющаяся корковая депрессия.
ТВС -тригемино-васкулярная система.
ТМО - твердая мозговая оболочка.
ТЦА - трициклические антидепрессанты.
УЗДГ - ультразвуковая допплерография.
ХГБН - хроническая головная боль напряжения.
ХМ - хроническая мигрень.
ЦНС - центральная нервная система.
ЦС - центральная сенситизация.
ЭГБН - эпизодическая головная боль напряжения.
CGRP - (англ.Calcitonin Gene-Related Peptide. Кальцитонин-ген-родственный пептид (КГРП).
PREEMPT - Phase III REsearch Evaluating Migraine Prophylaxis Therapy (англ. исследование III фазы по оценке профилактической терапии мигрени).
ВАШ - визуальная аналоговая шкала.
ВОП - врач общей практики.
В/В -внутривенно.
ГБ - головная боль.
ГБН - головная боль напряжения.
ДПМ - дисфункция перикраниальных мышц.
ДЭП - дисциркуляторная энцефалопатия.
ЖНВЛП - жизненно необходимые и важнейшие лекарственные препараты.
КГРП - кальцитонин-ген-родственный пептид.
КН - коморбидные нарушения.
ЛИГБ - лекарственно-индуцированная (абузусная) головная боль.
М - мигрень.
МА - мигрень с аурой.
МбА - мигрень без ауры.
МАТ - моноклональное антитело.
МКБ-10 - международная классификация болезней 10-го пересмотра.
МКГБ-3 - Международная классификация головных болей 3-го пересмотра.
МРТ - магнитно-резонансная томография.
МС - мигренозный статус.
МТС - мышечно-тонический синдром.
МФС - миофасциальный синдром.
НПВП - нестероидные противовоспалительные препараты.
НС - нейростимуляция.
ПС - периферическая сенситизация.
РКД - распространяющаяся корковая депрессия.
ТВС -тригемино-васкулярная система.
ТМО - твердая мозговая оболочка.
ТЦА - трициклические антидепрессанты.
УЗДГ - ультразвуковая допплерография.
ХГБН - хроническая головная боль напряжения.
ХМ - хроническая мигрень.
ЦНС - центральная нервная система.
ЦС - центральная сенситизация.
ЭГБН - эпизодическая головная боль напряжения.
CGRP - (англ.Calcitonin Gene-Related Peptide. Кальцитонин-ген-родственный пептид (КГРП).
PREEMPT - Phase III REsearch Evaluating Migraine Prophylaxis Therapy (англ. исследование III фазы по оценке профилактической терапии мигрени).
Термины и определения
Виновные препараты (препараты, которыми злоупотребляют). Препараты, которые при избыточном приеме могут приводить к развитию ЛИГБ (все классы анальгетиков).
Вторичные ГБ. Головные боли, являющиеся симптомом другого заболевания (симптоматические), возникающие de novo в тесной временной связи с другим (причинным) заболеванием, которое согласно научным данным может быть причиной ГБ.
Головная боль напряжения (ГБН). Одна из наиболее распространенных форм первичной ГБ, проявляющаяся болевыми эпизодами продолжительностью от 30 минут до нескольких суток.
Дисфункция перикраниальных мышц (ДПМ). Болезненное напряжение мышц головы, лица и шеи.
Ингибиторные антиноцицептивные механизмы. Система нисходящего противоболевого или антиноцицептивного контроля.
Кальцитонин-ген-родственный пептид (КГРП или сGRP). Основной медиатор, реализующий передачу болевых импульсов и непосредственно участвующий в патогенезе мигрени.
Коморбидные нарушения (КН )-одно или несколько патологических состояний, наблюдающихся у одного больного, этиопатогенетически связанных между собой или совпадающих по времени появления вне зависимости от активности каждого их них.
Лекарственно-индуцированная головная боль (ЛИГБ). Клиническая разновидность вторичной хронической ГБ, развивающаяся у пациентов с первичными цефалгиями при избыточном применении препаратов для купирования ГБ.
Лекарственный абузус. Избыточное применение любых препаратов, обладающих обезболивающим действием, для купирования ГБ.
Моноклональные антитела (мАТ) к КГРП или его рецептору. Первый класс препаратов, специально разработанных для таргетной (патогенетически обоснованной) профилактической терапии мигрени.
Первичные ГБ. Идиопатические (доброкачественные) цефалгии, которые не связаны с органической патологией головного мозга, церебральных сосудов, любых структур головы и шеи и системными заболеваниями.
Периферическая сенситизация (ПС). Повышенный ответ возбужденных ноцицептивных нейронов периферической нервной системы на обычную и/или подпороговую стимуляцию.
Таргетная (целевая) профилактическая терапия мигрени. Терапия моноклональными антителами (мАТ) к основному медиатору мигрени КГРП или его рецептору, воздействующая на основной патогенетический механизм мигрени.
Триггеры приступа мигрени. Эндогенные и экзогенные факторы, способные спровоцировать приступ мигрени.
Факторы хронизации. Генетические, метаболические, средовые, поведенческие и/или психические факторы, способствующие учащению имеющейся ГБ.
Хронизация мигрени. Постепенное увеличение числа дней с головной болью в месяц.
Хроническая мигрень (ХМ) - ГБ, которая возникает >15 и более дней в месяц в течение >3 месяцев, при этом приступы ГБ имеют признаки М и наблюдаются не менее 8 дней в месяц.
Центральная сенситизация (ЦС). Усиление нервных импульсов в ЦНС, что приводит к гиперчувствительности организма к боли. ЦС отражает повышенную активность систем восприятия боли, сниженную активность нисходящих ингибирующих боль путей и в результате нарушение эндогенного контроля боли.
Цефалгия. Головная боль (синоним).
Цефалголог. Невролог, специализирующийся на диагностике и лечении ГБ.
Вторичные ГБ. Головные боли, являющиеся симптомом другого заболевания (симптоматические), возникающие de novo в тесной временной связи с другим (причинным) заболеванием, которое согласно научным данным может быть причиной ГБ.
Головная боль напряжения (ГБН). Одна из наиболее распространенных форм первичной ГБ, проявляющаяся болевыми эпизодами продолжительностью от 30 минут до нескольких суток.
Дисфункция перикраниальных мышц (ДПМ). Болезненное напряжение мышц головы, лица и шеи.
Ингибиторные антиноцицептивные механизмы. Система нисходящего противоболевого или антиноцицептивного контроля.
Кальцитонин-ген-родственный пептид (КГРП или сGRP). Основной медиатор, реализующий передачу болевых импульсов и непосредственно участвующий в патогенезе мигрени.
Коморбидные нарушения (КН )-одно или несколько патологических состояний, наблюдающихся у одного больного, этиопатогенетически связанных между собой или совпадающих по времени появления вне зависимости от активности каждого их них.
Лекарственно-индуцированная головная боль (ЛИГБ). Клиническая разновидность вторичной хронической ГБ, развивающаяся у пациентов с первичными цефалгиями при избыточном применении препаратов для купирования ГБ.
Лекарственный абузус. Избыточное применение любых препаратов, обладающих обезболивающим действием, для купирования ГБ.
Моноклональные антитела (мАТ) к КГРП или его рецептору. Первый класс препаратов, специально разработанных для таргетной (патогенетически обоснованной) профилактической терапии мигрени.
Первичные ГБ. Идиопатические (доброкачественные) цефалгии, которые не связаны с органической патологией головного мозга, церебральных сосудов, любых структур головы и шеи и системными заболеваниями.
Периферическая сенситизация (ПС). Повышенный ответ возбужденных ноцицептивных нейронов периферической нервной системы на обычную и/или подпороговую стимуляцию.
Таргетная (целевая) профилактическая терапия мигрени. Терапия моноклональными антителами (мАТ) к основному медиатору мигрени КГРП или его рецептору, воздействующая на основной патогенетический механизм мигрени.
Триггеры приступа мигрени. Эндогенные и экзогенные факторы, способные спровоцировать приступ мигрени.
Факторы хронизации. Генетические, метаболические, средовые, поведенческие и/или психические факторы, способствующие учащению имеющейся ГБ.
Хронизация мигрени. Постепенное увеличение числа дней с головной болью в месяц.
Хроническая мигрень (ХМ) - ГБ, которая возникает >15 и более дней в месяц в течение >3 месяцев, при этом приступы ГБ имеют признаки М и наблюдаются не менее 8 дней в месяц.
Центральная сенситизация (ЦС). Усиление нервных импульсов в ЦНС, что приводит к гиперчувствительности организма к боли. ЦС отражает повышенную активность систем восприятия боли, сниженную активность нисходящих ингибирующих боль путей и в результате нарушение эндогенного контроля боли.
Цефалгия. Головная боль (синоним).
Цефалголог. Невролог, специализирующийся на диагностике и лечении ГБ.
Описание
Мигрень - первичная форма головной боли (ГБ), проявляющаяся приступами пульсирующей односторонней ГБ, продолжительностью 4 - 72 часа, которая сопровождается повышенной чувствительностью к свету, звуку, тошнотой и/или рвотой.
М обычно возникает в молодом возрасте, до 20 лет. В детском возрасте заболевание чаще встречается у мальчиков; взрослые женщины болеют в 2,5 - 3 раза чаще, чем мужчины. В возрасте 35 - 45 лет частота и интенсивность мигренозных приступов достигает максимума, а после 55 - 60 лет течение болезни облегчается или приступы ГБ полностью прекращаются. В то же время у некоторых пациентов после 50 лет могут сохраняться типичные приступы мигрени и/или только мигренозная аура (мигренозное сопровождение пожилого возраста) [1 - 3].
М обычно возникает в молодом возрасте, до 20 лет. В детском возрасте заболевание чаще встречается у мальчиков; взрослые женщины болеют в 2,5 - 3 раза чаще, чем мужчины. В возрасте 35 - 45 лет частота и интенсивность мигренозных приступов достигает максимума, а после 55 - 60 лет течение болезни облегчается или приступы ГБ полностью прекращаются. В то же время у некоторых пациентов после 50 лет могут сохраняться типичные приступы мигрени и/или только мигренозная аура (мигренозное сопровождение пожилого возраста) [1 - 3].
|
|
Причины
Мигрень является хроническим нейроваскулярным заболеванием с наследственной предрасположенностью. Основное звено патогенеза - периодическое развитие периваскулярного нейрогенного воспаления мозговых сосудов, в первую очередь, сосудов твердой мозговой оболочки (ТМО). Показано, что для пациентов с М характерна повышенная возбудимость нейронов коры головного мозга и тригемино-васкулярной системы [3, 4]. При воздействии эндогенных и экзогенных мигренозных триггеров возбудимость тригеминальной системы, гипоталамуса, корковых и некоторых других структур головного мозга усиливается, возникает активация тригеминального ганглия, сенсорного спинномозгового ядра тройничного нерва и волокон тройничного нерва, иннервирующих сосуды ТМО - тригемино-васкулярных волокон. Активация тригемино-васкулярной системы (ТВС) сопровождается выбросом из тригемино-васкулярных окончаний болевых провоспалительных пептидов-вазодилататоров (в первую очередь, кальцитонин-ген-родственного пептида (КГРП или сGRP)), а также нейрокинина А и субстанции Р [3, 4]. Возникающие затем вазодилатация и нейрогенное воспаление приводят к активации болевых рецепторов в стенке сосудов ТМО. Болевые импульсы поступают в сенсорную кору головного мозга, и таким образом формируется ощущение пульсирующей ГБ. Сохраняющаяся гипервозбудимость ТВС, центральных ноцицептивных структур и истощение противоболевой системы постепенно приводят к формированию перманентной гиперчувствительности (сенситизации) болевых структур, что способствует учащению приступов ГБ и, в конечном счёте, к хронизации М [1 - 4].
Механизм мигренозной ауры связывают с возникновением и распространением в направлении от зрительной коры к соматосенсорной и лобно-височной областям головного мозга волны деполяризации (возбуждения) нейронов - распространяющаяся корковая депрессия (РКД). Скорость и топография РКД определяют темп, характер и последовательность симптомов мигренозной ауры [1, 3].
Механизм мигренозной ауры связывают с возникновением и распространением в направлении от зрительной коры к соматосенсорной и лобно-височной областям головного мозга волны деполяризации (возбуждения) нейронов - распространяющаяся корковая депрессия (РКД). Скорость и топография РКД определяют темп, характер и последовательность симптомов мигренозной ауры [1, 3].
Эпидемиология
Распространённость М в популяции стран Европы и США в среднем составляет 14% (17% среди женщин и 8% среди мужчин) [1, 3, 5]. По данным популяционного исследования, проведенного в 2009 - 2011 гг. с помощью подворного опроса в 35 городах и 9 сельских районах России, распространенность М за один год составила 20,8%, что несколько превышает показатели большинства стран мира [6]. По данным другого российского исследования, распространённость М в течение года составила 15,9% (М без ауры 13,5%, М с аурой 2,4%) [7].
G43,0. Мигрень без ауры [простая мигрень].
G43,1. Мигрень с аурой [классическая мигрень].
G43,2. Мигренозный статус.
G43,3. Осложненная (в том числе, хроническая) мигрень.
G43,8. Другая мигрень (офтальмоплегическая, ретинальная).
G43,9. Мигрень неуточненная.
Комментарии. М может сочетаться с ГБН (G43,0/1, G44,2). Частая эпизодическая и особенно хроническая мигрень (ХМ) могут сочетаться с лекарственно-индуцированной головной болью (ЛИГБ, G44,4).
1,4 Особенности кодирования заболевания или состояния (группы заболеваний или состояний) по Международной статистической классификации болезней и проблем, связанных со здоровьем.
G43 - Мигрень.G43,0. Мигрень без ауры [простая мигрень].
G43,1. Мигрень с аурой [классическая мигрень].
G43,2. Мигренозный статус.
G43,3. Осложненная (в том числе, хроническая) мигрень.
G43,8. Другая мигрень (офтальмоплегическая, ретинальная).
G43,9. Мигрень неуточненная.
Комментарии. М может сочетаться с ГБН (G43,0/1, G44,2). Частая эпизодическая и особенно хроническая мигрень (ХМ) могут сочетаться с лекарственно-индуцированной головной болью (ЛИГБ, G44,4).
Классификация
1,5 Классификация заболевания или состояния (группы заболеваний или состояний).
В соответствии с последней версией Международной классификацией расстройств, сопровождающихся головной и лицевой болью (МКГБ-3, 2018), М относится к первичным (доброкачественным) цефалгиям (часть I, МКГБ-3), которые не связаны с органическим поражением головного мозга, мозговых сосудов, других структур, расположенных в области головы и шеи и системными заболеваниями (таб. 1) [8].Таблица 1. Оглавление Международной классификации головной боли-3 (2018) [8].
| Часть I. Первичные головные боли |
| • Мигрень |
| • Головная боль напряжения (ГБН) |
| • Кластерная головная боль и другие тригеминальные вегетативные цефалгии |
| • Другие первичные ГБ |
| Часть II. Вторичные головные боли |
| • ГБ, связанные с травмой или повреждением головы и/или шеи |
| • ГБ, связанные с поражением сосудов головного мозга и шеи |
| • ГБ, связанные с не сосудистыми внутричерепными поражениями |
| • ГБ, связанные с различными веществами или их отменой (в тч ЛИГБ) |
| • ГБ, связанные с инфекциями |
| • ГБ, связанные с нарушениями гомеостаза |
| • Головные и лицевые боли, связанные с патологией структур черепа, шеи, глаз, ушей, носовой полости, пазух, зубов, ротовой полости или других структур черепа и лица |
| • ГБ, связанные с психическими расстройствами |
| Часть III.Болевые расстройства краниальных нервов и другие лицевые боли |
| • Болевые краниальные невропатии и другие лицевые боли |
| • Другие ГБ |
В соответствии с МКГБ-3 выделяют две основные формы М: мигрень без ауры (МбА), наиболее частая - до 80% случаев и мигрень с аурой (МА) - до 20% случаев [1, 3]. Основным клиническим проявлением МбА является приступ ГБ; при МА болевой фазе приступа предшествует стадия ауры. Реже встречаются другие формы МА: мигрень со стволовой аурой (ранее «базилярная М»), ретинальная и гемиплегическая М.
Отдельно в МКГБ-3 выделяют хроническую мигрень (ХМ), осложнения мигрени и эпизодические синдромы, которые могут сочетаться с М (чаще встречаются в детском возрасте) [8]. При невыполнении одного из диагностических критериев может быть выставлен диагноз «Возможная М» (таб. 2) [8].
Таблица 2. Классификация мигрени (согласно МКГБ-3, 2018) [8].
| • Мигрень |
| 1,1.Мигрень без ауры |
| 1,2.Мигрень с аурой |
| 1,2,1. Мигрень с типичной аурой |
| 1,2,1,1. Типичная аура с ГБ |
| 1,2,1,2. Типичная аура без ГБ |
| 1,2,2. Мигрень со стволовой аурой |
| 1,2,3. Гемиплегическая мигрень |
| 1,2,3,1. Семейная гемиплегическая мигрень |
| 1,2,3,1,1 Семейная гемиплегическая мигрень 1 типа |
| 1,2,3,1,2 Семейная гемиплегическая мигрень 2 типа |
| 1,2,3,1,3 Семейная гемиплегическая мигрень 3 типа |
| 1,2,3,1,4 Семейная гемиплегическая мигрень (с мутациями в других локусах) |
| 1,2,3,2. Спорадическая гемиплегическая мигрень |
| 1,2,4. Ретинальная мигрень |
| 1,3 . Хроническая мигрень |
| 1,4.Осложнения мигрени |
| 1,4,1. Мигренозный статус |
| 1,4,2. Персистирующая аура без инфаркта |
| 1,4,3. Мигренозный инфаркт |
| 1,4,4. Мигренозная аура - триггер эпилептического припадка |
| 1,5 . Возможная мигрень |
| 1,5,1. Возможная мигрень без ауры |
| 1,5,2. Возможная мигрень с аурой |
| 1,6.Эпизодические синдромы, которые могут сочетаться с мигренью |
| 1,6,1. Повторяющиеся желудочно-кишечные нарушения |
| 1,6,1,1. Синдром циклических рвот |
| 1,6,1,2. Абдоминальная мигрень |
| 1,6,2. Доброкачественное пароксизмальное головокружение |
| 1,6,3. Доброкачественный пароксизмальный тортиколлис |
Комментарии. Эпизодические синдромы чаще встречаются в детском возрасте и могут предшествовать появлению типичных приступов мигрени без ауры или с аурой.
В «Приложении» к МКГБ-3 выделяют также истинную менструальную мигрень, при которой приступы М возникают только в перименструальный период (за 2 - 3 дня до и в первые 3 дня менструации), и мигрень, связанную с менструацией, при которой приступы ГБ могут возникать и в другие дни месяца (то есть провокаторами приступа М является не только менструация, но и другие триггеры) [8].
|
|
Клиническая картина
Мигрень без ауры (МбА) проявляется повторяющимися, в целом однотипными приступами интенсивной, чаще односторонней пульсирующей ГБ преимущественно в области виска, глаза и темени, но нередко может начинаться в области затылка. ГБ часто сопровождается тошнотой, рвотой, повышенной чувствительностью к свету, звукам и усиливается при физической нагрузке. Продолжительность приступа - от 4 часов до 3 суток; частота дней с ГБ при эпизодической М колеблется от 1 дня в год до 14 дней в месяц (в среднем 2 - 4 дня с ГБ в месяц), при ХМ - от 15 и более дней с ГБ в месяц [1, 9, 10].
При мигрени с аурой (МА) фазе ГБ предшествуют преходящие неврологические нарушения. Чаще встречается М с типичной аурой, когда отмечаются полностью обратимые зрительные, чувствительные и/или речевые симптомы, но при этом нет двигательных и стволовых нарушений [11, 12]. В редких случаях после ауры ГБ не развивается - типичная аура без ГБ. При М со стволовой аурой наряду со зрительными, чувствительными и/или речевыми нарушениями возникают два или более полностью обратимых стволовых симптома: дизартрия, головокружение, шум в ушах, снижение слуха, диплопия, атаксия, изменение уровня сознания. Для гемиплегической М, которая встречается чрезвычайно редко и почти всегда имеет наследственный характер, характерны полностью обратимые как зрительные, чувствительные и/или речевые симптомы, так и двигательные нарушения (гемипарез или гемиплегия). Продолжительность немоторных симптомов - 5 - 60 минут, двигательных расстройств - до 72 часов. При семейной гемиплегической М, по крайней мере, один из родственников первой или второй линии родства имеет или имел в прошлом приступы ГБ, соответствующие критериям гемиплегической М; для спорадической гемиплегической М такая наследственная предрасположенность не характерна. При ретинальной М аура представляет собой полностью обратимые односторонние позитивные и/или негативные зрительные феномены (вспышки, скотомы), наличие которых подтверждается исследованием полей зрения офтальмологом во время приступов М, и/или пациент может нарисовать или описать имеющийся в этот момент монокулярный дефект поля зрения [9, 10].
Приступ М может быть спровоцирован различными экзо- и эндогенными факторами. Наиболее частыми триггерами мигрени являются [2, 9, 10, 13]:
• психологические факторы: стресс или расслаблением после стресса, тревожные или депрессивные нарушения, переутомление;
• изменения погоды;
• гормональные факторы: менструация (перименструальное «окно»), овуляция, приём заместительной гормональной эстроген-содержащей терапии или оральных контрацептивов;
• диетические факторы: голод, употребление ряда пищевых продуктов (сыра, шоколада, орехов, копчёностей, куриной печени, авокадо, цитрусовых или кофеин-содержащих продуктов); приём алкоголя (особенно красного вина);
• другие факторы: недостаток или избыток ночного сна, духота, физическая аэробная нагрузка, зрительные стимулы (яркий или мерцающий свет), шум, пребывание на высоте.
Хроническая мигрень (ХМ ). Тяжелая форма с высокой частотой дней с ГБ (15 и более в месяц), большой продолжительностью и интенсивностью приступов, что приводит к развитию дезадаптации и снижению качества жизни пациентов. Для ХМ характерны следующие проявления: развитие коморбидных, в первую очередь, психических расстройств (депрессия, тревожные расстройства), нарушений сна, снижение эффективности препаратов для купирования атак и высокий риск их избыточного применения (лекарственный абузус) Основными модифицируемыми факторами хронизации М являются: эмоциональный стресс, депрессия, избыточный прием лекарственных препаратов, обладающих обезболивающим действием, и кофеина [14 - 17].
ХМ и частая эпизодическая М нередко сочетаются с лекарственно-индуцированной головной болью (ЛИГБ)При этом ГБ имеет смешанный характер. Мигренозные ГБ сочетаются с ГБН-подобными цефалгиями в виде диффузной монотонной чаще утренней или ночной ГБ давящего или сжимающего характера, которая нарастает по интенсивности по мере ослабления действия принятого ранее лекарственного препарата с обезболивающим действием. Типичными проявлениями длительно существующей ЛИГБ являются ночной прием лекарственных препаратов, обладающих обезболивающим действием», их прием на стадии слабой ГБ, чтобы предотвратить ее усиление (прием «впрок»), а также жалобы на трудности концентрации внимания, снижение памяти и работоспособности. ЛИГБ, как правило, облегчается после отмены препарата(ов) злоупотребления.
Осложнения мигрени включают несколько состояний.
Мигренозный статус- типичный изнуряющий приступ М, длящийся более 72 часов, на протяжении которого допускаются ремиссии до 12 часов, связанные со сном или действием препаратов.
Персистирующая аура без инфаркта- один или несколько симптомов ауры, возникающие у пациентов более одной недели, без радиографических признаков инфаркта мозга.
Мигренозный инфаркт (инсульт)-сочетание одного или более симптомов мигренозной ауры с ишемическим повреждением мозга, подтвержденным нейровизуализационными методами. Истинный мигренозный инфаркт развивается на фоне типичного приступа М с аурой, причем один или несколько симптомов ауры имеют продолжительность более 60 минут. Мозговые инфаркты, не совпадающие по времени с приступом М с аурой, не могут быть отнесены к мигренозным инфарктам.
Мигренозная аура - триггер эпилептического припадка - эпилептический приступ, возникающий во время приступа МА или в течение 1 часа после него.
Эпизодические синдромы, которые могут сочетаться с мигренью. Эти расстройства встречаются преимущественно в детском возрасте, значительно реже могут отмечаться и у взрослых.
Синдром циклической рвоты- эпизодически повторяющиеся приступы сильной тошноты и рвоты, обычно стереотипные для каждого пациента и с предсказуемым временем начала; приступы сопровождаются бледностью кожных покровов и вялостью; между приступами симптомы полностью исчезают.
Абдоминальная мигрень - идиопатическое расстройство, встречающееся преимущественно у детей, в виде повторяющихся приступов боли в животе (по средней линии) умеренной или выраженной интенсивности, длительностью 2 - 72 часа; типичны тошнота и/или рвота; во время этих эпизодов ГБ не возникает. Между приступами состояние пациентов не нарушено. У подавляющего большинства детей с абдоминальной М позднее развиваются типичные мигренозные ГБ.
Доброкачественное пароксизмальное головокружение. Повторяющиеся кратковременные приступы головокружения у детей, которые как внезапно возникают, так и внезапно проходят.
Доброкачественный пароксизмальный тортиколлис/кривошея - повторяющиеся эпизоды наклона головы в одну сторону, возможно с небольшим поворотом головы, которые проходят спонтанно. Это состояние встречается у младенцев и маленьких детей и начинается на первом году жизни. У детей старшего возраста возможно присоединение атаксии.
При мигрени с аурой (МА) фазе ГБ предшествуют преходящие неврологические нарушения. Чаще встречается М с типичной аурой, когда отмечаются полностью обратимые зрительные, чувствительные и/или речевые симптомы, но при этом нет двигательных и стволовых нарушений [11, 12]. В редких случаях после ауры ГБ не развивается - типичная аура без ГБ. При М со стволовой аурой наряду со зрительными, чувствительными и/или речевыми нарушениями возникают два или более полностью обратимых стволовых симптома: дизартрия, головокружение, шум в ушах, снижение слуха, диплопия, атаксия, изменение уровня сознания. Для гемиплегической М, которая встречается чрезвычайно редко и почти всегда имеет наследственный характер, характерны полностью обратимые как зрительные, чувствительные и/или речевые симптомы, так и двигательные нарушения (гемипарез или гемиплегия). Продолжительность немоторных симптомов - 5 - 60 минут, двигательных расстройств - до 72 часов. При семейной гемиплегической М, по крайней мере, один из родственников первой или второй линии родства имеет или имел в прошлом приступы ГБ, соответствующие критериям гемиплегической М; для спорадической гемиплегической М такая наследственная предрасположенность не характерна. При ретинальной М аура представляет собой полностью обратимые односторонние позитивные и/или негативные зрительные феномены (вспышки, скотомы), наличие которых подтверждается исследованием полей зрения офтальмологом во время приступов М, и/или пациент может нарисовать или описать имеющийся в этот момент монокулярный дефект поля зрения [9, 10].
Приступ М может быть спровоцирован различными экзо- и эндогенными факторами. Наиболее частыми триггерами мигрени являются [2, 9, 10, 13]:
• психологические факторы: стресс или расслаблением после стресса, тревожные или депрессивные нарушения, переутомление;
• изменения погоды;
• гормональные факторы: менструация (перименструальное «окно»), овуляция, приём заместительной гормональной эстроген-содержащей терапии или оральных контрацептивов;
• диетические факторы: голод, употребление ряда пищевых продуктов (сыра, шоколада, орехов, копчёностей, куриной печени, авокадо, цитрусовых или кофеин-содержащих продуктов); приём алкоголя (особенно красного вина);
• другие факторы: недостаток или избыток ночного сна, духота, физическая аэробная нагрузка, зрительные стимулы (яркий или мерцающий свет), шум, пребывание на высоте.
Хроническая мигрень (ХМ ). Тяжелая форма с высокой частотой дней с ГБ (15 и более в месяц), большой продолжительностью и интенсивностью приступов, что приводит к развитию дезадаптации и снижению качества жизни пациентов. Для ХМ характерны следующие проявления: развитие коморбидных, в первую очередь, психических расстройств (депрессия, тревожные расстройства), нарушений сна, снижение эффективности препаратов для купирования атак и высокий риск их избыточного применения (лекарственный абузус) Основными модифицируемыми факторами хронизации М являются: эмоциональный стресс, депрессия, избыточный прием лекарственных препаратов, обладающих обезболивающим действием, и кофеина [14 - 17].
ХМ и частая эпизодическая М нередко сочетаются с лекарственно-индуцированной головной болью (ЛИГБ)При этом ГБ имеет смешанный характер. Мигренозные ГБ сочетаются с ГБН-подобными цефалгиями в виде диффузной монотонной чаще утренней или ночной ГБ давящего или сжимающего характера, которая нарастает по интенсивности по мере ослабления действия принятого ранее лекарственного препарата с обезболивающим действием. Типичными проявлениями длительно существующей ЛИГБ являются ночной прием лекарственных препаратов, обладающих обезболивающим действием», их прием на стадии слабой ГБ, чтобы предотвратить ее усиление (прием «впрок»), а также жалобы на трудности концентрации внимания, снижение памяти и работоспособности. ЛИГБ, как правило, облегчается после отмены препарата(ов) злоупотребления.
Осложнения мигрени включают несколько состояний.
Мигренозный статус- типичный изнуряющий приступ М, длящийся более 72 часов, на протяжении которого допускаются ремиссии до 12 часов, связанные со сном или действием препаратов.
Персистирующая аура без инфаркта- один или несколько симптомов ауры, возникающие у пациентов более одной недели, без радиографических признаков инфаркта мозга.
Мигренозный инфаркт (инсульт)-сочетание одного или более симптомов мигренозной ауры с ишемическим повреждением мозга, подтвержденным нейровизуализационными методами. Истинный мигренозный инфаркт развивается на фоне типичного приступа М с аурой, причем один или несколько симптомов ауры имеют продолжительность более 60 минут. Мозговые инфаркты, не совпадающие по времени с приступом М с аурой, не могут быть отнесены к мигренозным инфарктам.
Мигренозная аура - триггер эпилептического припадка - эпилептический приступ, возникающий во время приступа МА или в течение 1 часа после него.
Эпизодические синдромы, которые могут сочетаться с мигренью. Эти расстройства встречаются преимущественно в детском возрасте, значительно реже могут отмечаться и у взрослых.
Синдром циклической рвоты- эпизодически повторяющиеся приступы сильной тошноты и рвоты, обычно стереотипные для каждого пациента и с предсказуемым временем начала; приступы сопровождаются бледностью кожных покровов и вялостью; между приступами симптомы полностью исчезают.
Абдоминальная мигрень - идиопатическое расстройство, встречающееся преимущественно у детей, в виде повторяющихся приступов боли в животе (по средней линии) умеренной или выраженной интенсивности, длительностью 2 - 72 часа; типичны тошнота и/или рвота; во время этих эпизодов ГБ не возникает. Между приступами состояние пациентов не нарушено. У подавляющего большинства детей с абдоминальной М позднее развиваются типичные мигренозные ГБ.
Доброкачественное пароксизмальное головокружение. Повторяющиеся кратковременные приступы головокружения у детей, которые как внезапно возникают, так и внезапно проходят.
Доброкачественный пароксизмальный тортиколлис/кривошея - повторяющиеся эпизоды наклона головы в одну сторону, возможно с небольшим поворотом головы, которые проходят спонтанно. Это состояние встречается у младенцев и маленьких детей и начинается на первом году жизни. У детей старшего возраста возможно присоединение атаксии.
Диагностика
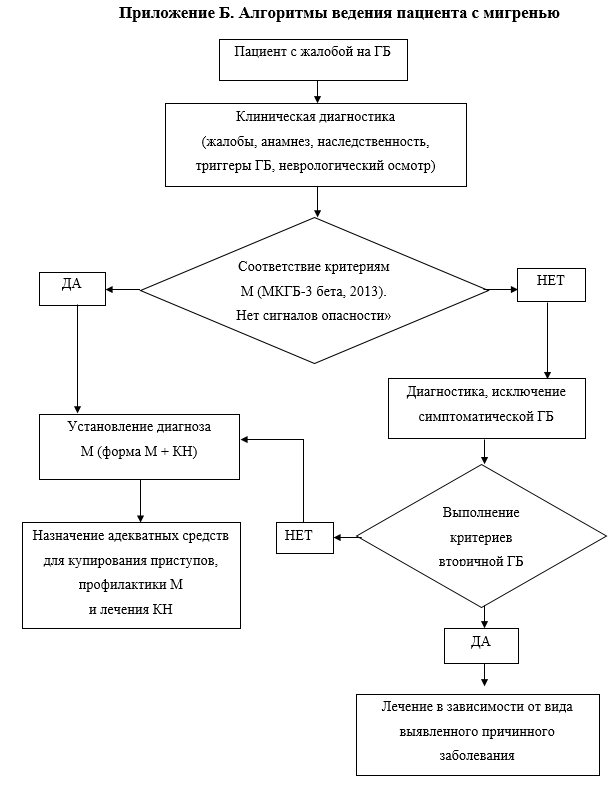
• Рекомендуется всем пациентам с жалобой на головную боль клиническая диагностика мигрени, основанная на специфических клинических проявлениях ее отдельных форм и соответствии диагностическим критериям последней версии Международной классификации головной и лицевой боли (МКГБ-3) [8, 9, 18, 20].
Уровень убедительности рекомендаций. С (уровень достоверности доказательств - 5).
Комментарии. МКГБ-3, одобренная Международным обществом головной боли в 2018 году, является основным инструментом диагностики любых форм головной и лицевой боли, в том числе и форм мигрени. В таблицах 3а - 3в представлены диагностические критерии МбА, МА и ХМ согласно МКГБ-3.
Диагностика осложнений М и эпизодических синдромов, которые могут сочетаться с М, также проводится в соответствии диагностическими критериям МКГБ-3 [8, 12].
Таблица 3аДиагностические критерии мигрени без ауры (согласно МКГБ-3, 2018) [8].
• Рекомендуется у всех пациентов с мигреньюклиническая диагностика мигренозной ауры с целью выбора дальнейшей тактики лечения [9, 15].
Уровень убедительности рекомендаций. С (уровень достоверности доказательств - 5).
Комментарии. При выявлении мигренозной ауры рекомендуется выставить соответствующий диагноз, например, «М с типичной аурой» или «М со стволовой аурой» [8, 11, 12, 18 - 20]. Не следует путать ауру с продромальными симптомами, которые могут возникать за несколько часов до начала приступа М: повышенная чувствительность к свету, звукам и запахам, изменение аппетита, жажда, эмоциональное возбуждение или, напротив, разбитость.
Таблица 3бДиагностические критерии мигрени с аурой (согласно МКГБ-3, 2018) [8].
Примечания:
¹ - при возникновении 3 симптомов во время ауры допустимая максимальная продолжительность 180 минут. Моторные симптомы могут длиться до 72 часов;
2 - афазия всегда рассматривается как односторонний симптом; возможно развитие дизартрии;
3 - осцилляции и ощущение покалывания рассматриваются как позитивные симптомы ауры [8].
• Рекомендуется клиническая диагностика ХМ у пациентов с частыми приступами М (более 10 дней с ГБ в месяц) (таб. 3в) [8, 21, 22].
Уровень убедительности рекомендаций. С (уровень достоверности доказательств - 4).
Таблица 3в. Диагностические критерии хронической мигрени (согласно МКГБ-3, 2018) [8].
Комментарии. С помощью расспроса и анализа дневника ГБ (при его наличии) следует установить число дней с ГБ в месяц на протяжении последних 3 месяцев, в том числе, число дней с М в месяц, уточнить клинические характеристики боли и сопоставить эти данные с диагностическими критериями ХМ (таб. 3в). Важным диагностическим критерием ХМ также является наличие типичных приступов эпизодической М в начале заболевания [15, 21, 22].
Сочетание М и лекарственно-индуцированной головной боли (ЛИГБ). Частая эпизодическая М (более 10 дней с ГБ в месяц) и особенно ХМ (более 15 дней с ГБ в месяц) могут сочетаться с избыточным использованием лекарственных препаратов, обладающих обезболивающим действием, (лекарственный абузус) [8, 16]. При значительном злоупотреблении возможно развитие ЛИГБ, представленной в п. 8,2 МКГБ-3 «Головная боль при избыточном применении лекарственных препаратов» (таб. 4а) [8]. Лекарственный абузус способствует увеличению количества эпизодов ГБ и рассматривается как один из ведущих факторов хронизации М [14 - 17].
• Рекомендуется у пациентов с частой ЭМ (более 10 дней с ГБ в месяц) и ХМ (15 и более дней с ГБ в месяц) клиническая диагностика ЛИГБ (таб. 4а и 4б), основанная на специфических клинических проявлениях и на соответствии клинической картины диагностическим критериям ЛИГБ (МКГБ-3) [8, 16].
Уровень убедительности рекомендаций. С (уровень достоверности доказательств - 5).
Таблица 4аДиагностические критерии лекарственно-индуцированной головной боли (согласно МКГБ-3, 2018) [8].
Комментарии. Диагностика ЛИГБ основывается на клинической оценке ГБ, анализе данных о числе, кратности приема лекарственных препаратов, обладающих обезболивающим действием, и типе препаратов злоупотребления [8]. Для уточнения этих характеристик желательно ведение пациентом дневника ГБ (Приложение Г). ЛИГБ проявляется диффузной монотонной чаще утренней или ночной головной болью, которая нарастает по интенсивности с прекращением действия принятого ранее лекарственного препарата с обезболивающим действием. Сходство клинических характеристик ЛИГБ и ХМ нередко затрудняет дифференциальную диагностику этих цефалгий.
Важным является определение типа препаратов злоупотребления и установление «числа дней с приемом лекарственных препаратов, обладающих обезболивающим действием, в месяц» - главного диагностического критерия ЛИГБ (таб. 4б). Например, диагноз «ГБ, связанная с избыточным приемом препаратов, содержащих компоненты из разных классов, обладающих обезболивающим действием» выставляется при регулярном приеме одного или более таких препаратов ≥ 10 дней в месяц на протяжении более 3 месяцев, а «ГБ, связанная с избыточным приемом других НПВП» - при регулярном приеме одного или более НПВП ≥ 15 дней в месяц на протяжении более 3 месяцев [8]. Наибольший риск ЛИГБ отмечается при использовании лекарственных препаратов, обладающих обезболивающим действием, содержащих наркотические компоненты (кодеин ), барбитураты и кофеин** [8, 17, 23]. Инструментальные методы исследования для диагностики ЛИГБ не применяются вследствие их неинформативности [14].
При выявлении у пациента с ХМ клинических признаков ЛИГБ следует выставить два диагноза. Например, «Хроническая мигрень. ЛИГБ, связанная с избыточным применением триптанов» [9, 15, 17].
Таблица 4б. Классификация форм ЛИГБ (согласно МКГБ-3, 2018) [8].
Анамнез пациентов с М имеет характерные черты [1, 2, 3, 9]. Типично возникновение первых приступов в молодом возрасте, до 20 лет и наличие аналогичных ГБ у родственников (наследственный анамнез). Пациенты рассказывают об особых периодах своей жизни, во время которых менялось течение М: урежение или полное прекращение приступов ГБ во время беременности или с наступлением менопаузы; ухудшение/прогрессирование/хронизация М под воздействием эмоционального стресса, депрессии и/или тревоги, избыточного приёма лекарственных препаратов с обезболивающим действием, применения гормональных пероральных контрацептивов и в период преклимакса у женщин [14 - 17]. В анамнезе пациентов с М часто имеется указание на различные сопутствующие соматические и психические расстройства, среди которых наиболее распространены эмоционально-аффективные нарушения (депрессия, тревожные расстройства), расстройства сна (инсомния, бруксизм, синдром беспокойных ног, апноэ во сне), другие хронические болевые синдромы, в тч боль в спине и болевая дисфункция височно-нижнечелюстного сустава, а также синдром раздраженного кишечника, аллергия, ожирение, сердечно-сосудистые заболевания [14, 15].
• Рекомендуется у пациентов с любой формой М с помощью расспроса выявлять сопутствующие коморбидные нарушения (КН), в первую очередь, депрессию, тревожные расстройства, нарушение сна и другие болевые синдромы [2, 14, 15, 18, 19].
Уровень убедительности рекомендаций. С (уровень достоверности доказательств - 5).
Комментарии. КН способствуют более тяжелому течению и учащению приступов М (хронизации М), ухудшают состояние пациентов между приступами ГБ, приводят к более выраженной дезадаптации, худшему прогнозу. В связи с чем выявление и лечение коморбидных расстройств является важной задачей ведения пациентов с М.
• Рекомендуется исследование неврологического статуса с целью исключения органической неврологической симптоматики и возможной симптоматической природы ГБ [9, 15, 19, 21, 24, 25].
Уровень убедительности рекомендаций. с(уровень достоверности доказательств - 5).
Комментарии. При типичном течении М не обнаруживается патологических изменений в неврологическом статусе. Может отмечаться снижение настроения, признаки повышенной тревожности, вегетативные нарушения (гипервентиляция, ладонный гипергидроз, признаки повышенной нервно-мышечной возбудимости в виде симптома Хвостека I - III степени), напряжение и болезненность перикраниальных мышц при пальпации.
При выявлении в неврологическом статусе органической симптоматики (менингеальных, общемозговых и/или очаговых неврологических знаков) проводятся дополнительные инструментальные и лабораторные исследования, выбор которых определяется характером патологических изменений и предполагаемым заболеванием - причиной выявленных нарушений [8, 15, 18 - 20].
• Не рекомендуются для диагностики М лабораторные методы исследования в связи с их неинформативностью [1, 2, 3, 9, 15, 20].
Уровень убедительности рекомендаций. С (уровень достоверности доказательств - 5).
Комментарии. Лабораторные методы исследования не информативны в диагностике М, поскольку не выявляют специфических для этого заболевания изменений.
• Не рекомендуются для диагностики М инструментальные исследования при типичной клинической картине и нормальных данных неврологического осмотра пациента [15, 18, 20, 24 - 26].
Уровень убедительности рекомендаций. С (уровень достоверности доказательств - 5).
Комментарии. У большинства пациентов с М инструментальные методы исследования не выявляют никаких специфических изменений. У ряда пациентов при проведении стандартной МРТ головного мозга в Т2 режиме могут обнаруживаться единичные субклинические гиперинтенсивные очаги в субкортикальном белом веществе полушарий мозга, реже в стволовых структурах [26]. Предполагают, что эти очаговые изменения являются следствием преходящих нарушений церебральной перфузии, которые по данным магнитно-резонансной томографии регистрируются во время повторных приступов М. Показано, что М может являться независимым фактором риска развития субклинического очагового ишемического поражения головного мозга [11]. Поскольку эти очаги не имеют специфических морфологических признаков, они не могут считаться нейровизуализационными маркерами М.
• Рекомендуются инструментальные исследования при редких формах МА и осложнениях М: МРТ головного мозга и магнитно-резонансная ангиография головного мозга с целью исключения органической патологии головного мозга [9, 12, 18, 20, 24, 25].
Уровень убедительности рекомендаций. В (уровень достоверности доказательств - 2).
Комментарии. В случае обнаружения патологии, лечащий врач должен принять решение о необходимости дополнительного обследования для исключения патологии церебральных сосудов (артериовенозных мальформаций, диссекции сонных артерий) или сердца (открытого овального окна).
• Рекомендуются для диагностики М инструментальные исследования и консультации специалистов пациентам с нетипичным течением М или имеющим хотя бы один настораживающий симптом, указывающий на наличие другого заболевания, которое может быть причиной ГБ (таб. 5) [10, 20, 24 - 26].
Уровень убедительности рекомендаций. С (уровень достоверности доказательств - 5).
Таблица 5. Перечень настораживающих симптомов - «сигналов опасности» у пациентов с головной болью.
• Рекомендуются в специализированных центрах боли и головной боли у всех пациентов с подозрением на мигрень использование дневника ГБ для облегчения дифференциальной диагностики с ГБН и для выявления лекарственного абузуса [2, 5, 10].
Уровень убедительности рекомендаций. С (уровень достоверности доказательств - 5).
• транзиторная ишемическая атака (ТИА) и инсульт;
• гигантоклеточный артериит;
• диссекция (расслоение) артерий, аневризмы и артериовенозные мальформации;
• церебральный венозный тромбоз;
• опухоль головного мозга;
• субарахноидальное кровоизлияние;
• антифосфолипидный синдром и тромбофилии;
• эпилепсия (при сочетании мигренозной ГБ с эпилептическим приступом);
• синдромы MELAS (англ. Mitochondrial Encephalomyopathy, Lactic Acidosis, and Stroke-like episodes - митохондриальная энцефаломиопатия с лактатацидозом и инсультоподобными эпизодами) и сADASIL (англ. сerebral Autosomal Dominant Arteriopathy with Subcortical Infarcts and Leukoencephalopathy - церебральная аутосомно-доминантная артериопатия с субкортикальными инфарктами и лейкоэнцефалопатией).
В отличие от типичной М как первичной формы ГБ, вышеупомянутые заболевания и синдромы всегда проявляются соответствующими симптомами неврологического дефицита или другими «сигналами опасности», не характерными для М ( см Раздел 2,4).
У одного пациента М может сочетаться с другими цефалгиями, как первичными (ГБН; первичные ГБ, связанные с физической, сексуальной активностью, холодовыми стимулами ), так и вторичными (ЛИГБ, цервикогенная ГБ, ГБ, связанная с дисфункцией височно-нижнечелюстного сустава). В этом случае в диагноз следует внести все выявленные формы ГБ; например, «М без ауры. ЭГБН с дисфункцией перикраниальных мышц» или «ХМ. ЛИГБ, связанная с применением селективных агонистов серотониновых 5HT1-рецепторов (триптанов). ГБ, связанная с дисфункцией височно-нижнечелюстного сустава» [9, 16, 21].
• Рекомендуется дифференциальная диагностика М без ауры (МбА) с ГБН, кластерной (пучковой) ГБ, хронической пароксизмальной гемикранией и цервикогенной ГБ [1, 2, 9, 20].
Уровень убедительности рекомендаций. С (уровень достоверности доказательств - 5).
• Рекомендуется дифференциальная диагностика мигрени с аурой (МА) с ТИА в связи со схожестью клинической картины [11, 12].
Уровень убедительности рекомендаций. в(уровень достоверности доказательств - 2).
Комментарии. Для мигренозной ауры типично постепенное нарастание клинических проявлений в определенной последовательности на протяжении 10 - 30 (до 60) минут на одной стороне тела в виде так называемого «марша» и смены «позитивных» и «негативных» симптомов - зрительные симптомы (сцинтилляции, блестящие зигзагообразные линии или мушки, тёмные пятна, скотомы, выпадение полей зрения), затем парестезии, онемение, распространяющиеся от кисти руки вверх на плечо, область лица; далее возможно присоединение речевых расстройств; в конце мигренозной ауры развивается мигренозная ГБ. В отличие от приступа М с аурой при ТИА неврологические нарушения имеют «негативный» характер (выпадение полей зрения, скотомы, онемение одной конечности), появляются остро (в течение нескольких минут) и одновременно; развитие ГБ не характерно, у пациентов в анамнезе, как правило, нет данных о наличии М.
• Рекомендуется у пациентов с ХМ проведение дифференциальной диагностики с хронической ГБН (ХГБН), а также с новой ежедневной персистирующей ГБ и гемикранией континуа [10, 14, 21].
Уровень убедительности рекомендаций. С (уровень достоверности доказательств - 5).
Комментарии. Трудности дифференциальной диагностики ХМ и ХГБН связаны с тем, что ведущими клиническими проявлениями ХМ являются как сохраняющиеся частые приступы М, так и ГБН-подобная «фоновая» боль. В этом случае следует опираться на данные раннего анамнеза: у пациентов с ХМ, в отличие от ХГБН, в начале заболевания отмечаются типичные приступы эпизодической М и другие, характерные для М признаки (наследственный анамнез, типичные мигренозные триггеры, облегчение ГБ во время беременности) [15, 22, 27]. При наличии лекарственного абузуса следует дифференцировать ХМ, сочетающуюся с ЛИГБ, и ХГБН, сочетающуюся с ЛИГБ.
Уровень убедительности рекомендаций. С (уровень достоверности доказательств - 5).
Комментарии. МКГБ-3, одобренная Международным обществом головной боли в 2018 году, является основным инструментом диагностики любых форм головной и лицевой боли, в том числе и форм мигрени. В таблицах 3а - 3в представлены диагностические критерии МбА, МА и ХМ согласно МКГБ-3.
Диагностика осложнений М и эпизодических синдромов, которые могут сочетаться с М, также проводится в соответствии диагностическими критериям МКГБ-3 [8, 12].
Таблица 3аДиагностические критерии мигрени без ауры (согласно МКГБ-3, 2018) [8].
| А. По меньшей мере 5 приступов, отвечающих критериям В - D. |
| В. Продолжительность приступов 4 - 72 часа (без лечения или при отсутствии эффекта от лечения) |
| С. ГБ имеет как минимум 2 из следующих четырёх характеристик: |
| 1. односторонняя локализация |
| 2. пульсирующий характер |
| 3. средняя или выраженная интенсивности боли |
| 4. ГБ усиливается от обычной физической активности или требует прекращения обычной физической активности (например, ходьба или подъём по лестнице) |
| D. ГБ сопровождается как минимум одним их следующих симптомов: |
| 1.тошнота и/или рвота |
| 2. фотофобия и фонофобия |
| Е. ГБ не соответствует в большей степени другому диагнозу из МКГБ-3 |
• Рекомендуется у всех пациентов с мигреньюклиническая диагностика мигренозной ауры с целью выбора дальнейшей тактики лечения [9, 15].
Уровень убедительности рекомендаций. С (уровень достоверности доказательств - 5).
Комментарии. При выявлении мигренозной ауры рекомендуется выставить соответствующий диагноз, например, «М с типичной аурой» или «М со стволовой аурой» [8, 11, 12, 18 - 20]. Не следует путать ауру с продромальными симптомами, которые могут возникать за несколько часов до начала приступа М: повышенная чувствительность к свету, звукам и запахам, изменение аппетита, жажда, эмоциональное возбуждение или, напротив, разбитость.
Таблица 3бДиагностические критерии мигрени с аурой (согласно МКГБ-3, 2018) [8].
| А. По меньшей мере 2 приступа, отвечающих критериям В и С |
| В. Один или более из следующих полностью обратимых симптомов ауры: |
| 1. зрительные |
| 2. сенсорные |
| 3. речевые и/или связанные с языком |
| 4. двигательные |
| 5. стволовые |
| 6. ретинальные |
| С. По меньшей мере три из следующих шести характеристик: |
| 1. как минимум один симптом ауры постепенно нарастает в течение≥5 минут 2. два или более симптома возникают последовательно 3. каждый из отдельно взятых симптомов длится 5 - 60 минут¹ 4. как минимум один из симптомов ауры является односторонним2 5. как минимум один из симптомов ауры является позитивным3 6. в течение 60 минут после ауры или во время нее возникает ГБ |
| D. ГБ не соответствует в большей степени другому диагнозу из МКГБ-3 |
Примечания:
¹ - при возникновении 3 симптомов во время ауры допустимая максимальная продолжительность 180 минут. Моторные симптомы могут длиться до 72 часов;
2 - афазия всегда рассматривается как односторонний симптом; возможно развитие дизартрии;
3 - осцилляции и ощущение покалывания рассматриваются как позитивные симптомы ауры [8].
• Рекомендуется клиническая диагностика ХМ у пациентов с частыми приступами М (более 10 дней с ГБ в месяц) (таб. 3в) [8, 21, 22].
Уровень убедительности рекомендаций. С (уровень достоверности доказательств - 4).
Таблица 3в. Диагностические критерии хронической мигрени (согласно МКГБ-3, 2018) [8].
| А. ГБ (мигренеподобная ГБ и/или ГБ по типу головной боли напряжения) ≥ 15 дней в месяц на протяжении ≥ 3 месяцев, удовлетворяющая критериям В и С |
| В. Возникает у пациента, который имел в анамнезе не менее 5 приступов, удовлетворяющих критериям в - D 1,1 М без ауры и/или критериям в - С 1,2 М с аурой |
| С. Возникновение ГБ ≥ 8 дней в месяц в течение 3 месяцев, соответствующей любому из следующих критериев: |
| - М без ауры (1,1 по критериям с и D) |
| - М с аурой (1,2 по критериям в и С) |
| - по мнению пациента имелся приступ М, купированный или облегчаемый приёмом селективных агонистов серотониновых 5HT1-рецепторов (триптанов) или препаратов, содержащих эрготамин |
| D. ГБ не соответствует в большей степени другому диагнозу из МКГБ-3 |
Комментарии. С помощью расспроса и анализа дневника ГБ (при его наличии) следует установить число дней с ГБ в месяц на протяжении последних 3 месяцев, в том числе, число дней с М в месяц, уточнить клинические характеристики боли и сопоставить эти данные с диагностическими критериями ХМ (таб. 3в). Важным диагностическим критерием ХМ также является наличие типичных приступов эпизодической М в начале заболевания [15, 21, 22].
Сочетание М и лекарственно-индуцированной головной боли (ЛИГБ). Частая эпизодическая М (более 10 дней с ГБ в месяц) и особенно ХМ (более 15 дней с ГБ в месяц) могут сочетаться с избыточным использованием лекарственных препаратов, обладающих обезболивающим действием, (лекарственный абузус) [8, 16]. При значительном злоупотреблении возможно развитие ЛИГБ, представленной в п. 8,2 МКГБ-3 «Головная боль при избыточном применении лекарственных препаратов» (таб. 4а) [8]. Лекарственный абузус способствует увеличению количества эпизодов ГБ и рассматривается как один из ведущих факторов хронизации М [14 - 17].
• Рекомендуется у пациентов с частой ЭМ (более 10 дней с ГБ в месяц) и ХМ (15 и более дней с ГБ в месяц) клиническая диагностика ЛИГБ (таб. 4а и 4б), основанная на специфических клинических проявлениях и на соответствии клинической картины диагностическим критериям ЛИГБ (МКГБ-3) [8, 16].
Уровень убедительности рекомендаций. С (уровень достоверности доказательств - 5).
Таблица 4аДиагностические критерии лекарственно-индуцированной головной боли (согласно МКГБ-3, 2018) [8].
| A. ГБ, возникающая ≥ 15 дней в месяц у пациента, исходно имеющего первичную ГБ |
| в. Регулярное злоупотребление на протяжении более чем 3 месяцев одним или более препаратами для купирования острой боли и/или симптоматического лечения ГБ |
| с. ГБ не соответствует в большей степени другому диагнозу из МКГБ-3 |
Комментарии. Диагностика ЛИГБ основывается на клинической оценке ГБ, анализе данных о числе, кратности приема лекарственных препаратов, обладающих обезболивающим действием, и типе препаратов злоупотребления [8]. Для уточнения этих характеристик желательно ведение пациентом дневника ГБ (Приложение Г). ЛИГБ проявляется диффузной монотонной чаще утренней или ночной головной болью, которая нарастает по интенсивности с прекращением действия принятого ранее лекарственного препарата с обезболивающим действием. Сходство клинических характеристик ЛИГБ и ХМ нередко затрудняет дифференциальную диагностику этих цефалгий.
Важным является определение типа препаратов злоупотребления и установление «числа дней с приемом лекарственных препаратов, обладающих обезболивающим действием, в месяц» - главного диагностического критерия ЛИГБ (таб. 4б). Например, диагноз «ГБ, связанная с избыточным приемом препаратов, содержащих компоненты из разных классов, обладающих обезболивающим действием» выставляется при регулярном приеме одного или более таких препаратов ≥ 10 дней в месяц на протяжении более 3 месяцев, а «ГБ, связанная с избыточным приемом других НПВП» - при регулярном приеме одного или более НПВП ≥ 15 дней в месяц на протяжении более 3 месяцев [8]. Наибольший риск ЛИГБ отмечается при использовании лекарственных препаратов, обладающих обезболивающим действием, содержащих наркотические компоненты (кодеин ), барбитураты и кофеин** [8, 17, 23]. Инструментальные методы исследования для диагностики ЛИГБ не применяются вследствие их неинформативности [14].
При выявлении у пациента с ХМ клинических признаков ЛИГБ следует выставить два диагноза. Например, «Хроническая мигрень. ЛИГБ, связанная с избыточным применением триптанов» [9, 15, 17].
Таблица 4б. Классификация форм ЛИГБ (согласно МКГБ-3, 2018) [8].
| ФормаЛИГБ | Количество дней с приемом обезболивающих лекарственных средств в месяц (регулярный прием на протяжении 3 и более месяцев): | |
| 8,2,1. ГБ, связанная с избыточным приемом препаратов, содержащих эрготамин | прием препаратов, содержащих эрготамин, ≥ 10 дней в месяц | |
| 8,2,2. ГБ, связанная с избыточным приемом селективных агонистов серотониновых 5HT1- рецепторов (триптанов) | прием одного или более селективных агонистов серотониновых 5HT1-рецепторов (триптанов) ≥ 10 дней в месяц | |
| 8,2,3. ГБ, связанная с избыточным приемом других анальгетиков и антипиретиков, НПВП | ||
| 8,2,3,1. ГБ, связанная с избыточным приемом парацетамола** | прием парацетамола** ≥ 15 дней в месяц | |
| 8,2,3,2. ГБ, связанная с избыточным приемом НПВП | прием одного или нескольких НПВП ≥ 15 дней в месяц | |
| 8,2,3,2,1. ГБ, связанная с избыточным приемом ацетилсалициловой кислоты** | прием ацетилсалициловой кислоты** ≥ 15 дней в месяц | |
| 8,2,3,3. ГБ, связанная с избыточным приемом других анальгетиков и антипиретиков | прием одного или более анальгетиков и антипиретиков ≥ 15 дней в месяц | |
| 8,2,4. ГБ, связанная с избыточным приемом опиоидов | прием одного или более опиоидов ≥ 10 дней в месяц | |
| 8,2,5. ГБ, связанная с избыточным приемом анальгетиков, содержащих компоненты из разных классов, обладающих обезболивающим действием | прием одного или более анальгетиков, содержащих компоненты из разных классов, обладающих обезболивающим действием ≥ 10 дней в месяц | |
| 8,2,6. ГБ, связанная с применением нескольких классов лекарственных средств (без четкого превалирования какого-либо одного класса) | прием любых комбинаций эрготамина, селективных агонистов серотониновых 5HT1-рецепторов (триптанов), анальгетиков и НПВП ≥ 10 дней в месяц без четкого злоупотребления отдельным лекарственным средством или классом лекарственных средств | |
| 8,2,7. ГБ, связанная с неуточненным избыточным применением нескольких классов лекарственных средств | прием любых комбинаций эрготамина, селективных агонистов серотониновых 5HT1-рецепторов (триптанов), анальгетиков и НПВП ≥ 10 дней в месяц, когда сложно точно установить само лекарственное средство, его количество и кратность приёма | |
| 8,2,8. ГБ, связанная с избыточным приемом других препаратов | прием ≥ 10 дней в месяц любых других лекарственных средств, не обозначенных выше | |
2,1 Жалобы и анамнез.
Пациенты с М предъявляют типичные жалобы на повторяющиеся приступы односторонней пульсирующей ГБ в лобно-височной или теменной области, средней или выраженной интенсивности (более 7 баллов по визуальной аналоговой шкале боли (ВАШ, Приложение Г2), продолжительностью 4 - 72 часа, которая ухудшается от обычной физической активности, сопровождается тошнотой и/или рвотой, а также повышенной чувствительностью к свету и звукам [1, 2, 3, 8]. Возможны жалобы на зрительные, чувствительные, речевые, реже двигательные нарушения, которые постепенно нарастают в течение 5 - 20 минут до начала или во время приступа ГБ, длятся обычно не более 60 минут (двигательные нарушения до 72 часов) и далее полностью исчезают; что характерно для мигренозной ауры [8, 11, 12, 18 - 20]. Приступы ГБ чаще всего провоцируются стрессом или расслаблением после стресса, недостатком или избытком ночного сна, изменением погоды, менструацией, голодом, духотой, ярким или мерцающим светом, шумом, физической нагрузкой, приемом алкоголя или кофеин-содержащих напитков [1, 3]. Частота приступов М и регулярность приема лекарств с целью купирования боли в приступе М может значительно варьировать, что также уточняется при сборе жалоб.Анамнез пациентов с М имеет характерные черты [1, 2, 3, 9]. Типично возникновение первых приступов в молодом возрасте, до 20 лет и наличие аналогичных ГБ у родственников (наследственный анамнез). Пациенты рассказывают об особых периодах своей жизни, во время которых менялось течение М: урежение или полное прекращение приступов ГБ во время беременности или с наступлением менопаузы; ухудшение/прогрессирование/хронизация М под воздействием эмоционального стресса, депрессии и/или тревоги, избыточного приёма лекарственных препаратов с обезболивающим действием, применения гормональных пероральных контрацептивов и в период преклимакса у женщин [14 - 17]. В анамнезе пациентов с М часто имеется указание на различные сопутствующие соматические и психические расстройства, среди которых наиболее распространены эмоционально-аффективные нарушения (депрессия, тревожные расстройства), расстройства сна (инсомния, бруксизм, синдром беспокойных ног, апноэ во сне), другие хронические болевые синдромы, в тч боль в спине и болевая дисфункция височно-нижнечелюстного сустава, а также синдром раздраженного кишечника, аллергия, ожирение, сердечно-сосудистые заболевания [14, 15].
• Рекомендуется у пациентов с любой формой М с помощью расспроса выявлять сопутствующие коморбидные нарушения (КН), в первую очередь, депрессию, тревожные расстройства, нарушение сна и другие болевые синдромы [2, 14, 15, 18, 19].
Уровень убедительности рекомендаций. С (уровень достоверности доказательств - 5).
Комментарии. КН способствуют более тяжелому течению и учащению приступов М (хронизации М), ухудшают состояние пациентов между приступами ГБ, приводят к более выраженной дезадаптации, худшему прогнозу. В связи с чем выявление и лечение коморбидных расстройств является важной задачей ведения пациентов с М.
2,2 Физикальное обследование.
Клиническая диагностика М наряду с анализом жалоб и анамнеза включает неврологический осмотр пациента.• Рекомендуется исследование неврологического статуса с целью исключения органической неврологической симптоматики и возможной симптоматической природы ГБ [9, 15, 19, 21, 24, 25].
Уровень убедительности рекомендаций. с(уровень достоверности доказательств - 5).
Комментарии. При типичном течении М не обнаруживается патологических изменений в неврологическом статусе. Может отмечаться снижение настроения, признаки повышенной тревожности, вегетативные нарушения (гипервентиляция, ладонный гипергидроз, признаки повышенной нервно-мышечной возбудимости в виде симптома Хвостека I - III степени), напряжение и болезненность перикраниальных мышц при пальпации.
При выявлении в неврологическом статусе органической симптоматики (менингеальных, общемозговых и/или очаговых неврологических знаков) проводятся дополнительные инструментальные и лабораторные исследования, выбор которых определяется характером патологических изменений и предполагаемым заболеванием - причиной выявленных нарушений [8, 15, 18 - 20].
2,3 Лабораторные диагностические исследования.
Поскольку диагностика М является клинической, лабораторные методы не являются обязательными.• Не рекомендуются для диагностики М лабораторные методы исследования в связи с их неинформативностью [1, 2, 3, 9, 15, 20].
Уровень убедительности рекомендаций. С (уровень достоверности доказательств - 5).
Комментарии. Лабораторные методы исследования не информативны в диагностике М, поскольку не выявляют специфических для этого заболевания изменений.
2,4 Инструментальные диагностические исследования.
Инструментальные исследования у пациентов с М не информативны, поскольку не выявляют специфических для М изменений.• Не рекомендуются для диагностики М инструментальные исследования при типичной клинической картине и нормальных данных неврологического осмотра пациента [15, 18, 20, 24 - 26].
Уровень убедительности рекомендаций. С (уровень достоверности доказательств - 5).
Комментарии. У большинства пациентов с М инструментальные методы исследования не выявляют никаких специфических изменений. У ряда пациентов при проведении стандартной МРТ головного мозга в Т2 режиме могут обнаруживаться единичные субклинические гиперинтенсивные очаги в субкортикальном белом веществе полушарий мозга, реже в стволовых структурах [26]. Предполагают, что эти очаговые изменения являются следствием преходящих нарушений церебральной перфузии, которые по данным магнитно-резонансной томографии регистрируются во время повторных приступов М. Показано, что М может являться независимым фактором риска развития субклинического очагового ишемического поражения головного мозга [11]. Поскольку эти очаги не имеют специфических морфологических признаков, они не могут считаться нейровизуализационными маркерами М.
• Рекомендуются инструментальные исследования при редких формах МА и осложнениях М: МРТ головного мозга и магнитно-резонансная ангиография головного мозга с целью исключения органической патологии головного мозга [9, 12, 18, 20, 24, 25].
Уровень убедительности рекомендаций. В (уровень достоверности доказательств - 2).
Комментарии. В случае обнаружения патологии, лечащий врач должен принять решение о необходимости дополнительного обследования для исключения патологии церебральных сосудов (артериовенозных мальформаций, диссекции сонных артерий) или сердца (открытого овального окна).
• Рекомендуются для диагностики М инструментальные исследования и консультации специалистов пациентам с нетипичным течением М или имеющим хотя бы один настораживающий симптом, указывающий на наличие другого заболевания, которое может быть причиной ГБ (таб. 5) [10, 20, 24 - 26].
Уровень убедительности рекомендаций. С (уровень достоверности доказательств - 5).
Таблица 5. Перечень настораживающих симптомов - «сигналов опасности» у пациентов с головной болью.
| • ГБ, впервые возникшая после 50 лет, или ГБ, изменившая свое течение |
| • «Громоподобная ГБ» или ГБ, нарастающая до 10 баллов по визуальной аналоговой шкале за 1 - 2 секунды |
| • Строго односторонняя ГБ |
| • Прогрессивно ухудшающаяся ГБ без ремиссий |
| • Внезапно возникшая, необычная для пациента ГБ |
| • Атипичная мигренозная аура (с необычными зрительными, сенсорными или двигательными нарушениями и/или продолжительностью >1 часа) |
| • Изменения в сфере сознания (оглушенность, спутанность или потеря памяти) или психические нарушения |
| • Очаговые неврологические знаки и симптомы системного заболевания (повышение температуры тела, кожная сыпь, ригидность шейных мышц, артралгии или миалгии) |
| • Признаки внутричерепной гипертензии (усиление ГБ при кашле, натуживании, физическом напряжении) |
| • Отек диска зрительного нерва |
| • ВИЧ-инфекция, онкологическое, эндокринное и другое системное заболевание или травма головы в анамнезе |
| • Дебют ГБ во время беременности или в послеродовом периоде |
| • Неэффективность адекватного проводимого лечения |
2,5 Иные диагностические исследования.
Для установления клинических характеристик приступа, числа дней с ГБ в месяц (определение формы М) и числа дней с приемом лекарственных препаратов, обладающих обезболивающим действием, целесообразно ведение пациентом дневника ГБ (Приложение Г1) Ведение дневника ГБ в течение 1 - 3 месяцев до осмотра помогает пациенту и врачу отличить один вариант ГБ от другого (например, приступ мигрени от эпизода ГБН), установить число дней с ГБ в месяц и число дней с приемом лекарственных препаратов с обезболивающим действием в месяц.• Рекомендуются в специализированных центрах боли и головной боли у всех пациентов с подозрением на мигрень использование дневника ГБ для облегчения дифференциальной диагностики с ГБН и для выявления лекарственного абузуса [2, 5, 10].
Уровень убедительности рекомендаций. С (уровень достоверности доказательств - 5).
2,5,1 Дифференциальная диагностика.
Дифференциальная диагностика у пациентов с М чаще всего проводится с ГБН, кластерной (пучковой) ГБ, хронической пароксизмальной гемикранией и цервикогенной ГБ. Для проведения дифференциального диагноза необходим тщательный расспрос и осмотр пациента, анализа анамнестических сведений и провоцирующих факторов; целесообразно ведение дневника ГБ. Реже приходится дифференцировать М и редкие вторичные цефалгии, связанные с неврологическими и соматическими заболеваниями [2, 9, 20, 21]. ГБ, напоминающие М, могут отмечаться при следующих заболеваниях:• транзиторная ишемическая атака (ТИА) и инсульт;
• гигантоклеточный артериит;
• диссекция (расслоение) артерий, аневризмы и артериовенозные мальформации;
• церебральный венозный тромбоз;
• опухоль головного мозга;
• субарахноидальное кровоизлияние;
• антифосфолипидный синдром и тромбофилии;
• эпилепсия (при сочетании мигренозной ГБ с эпилептическим приступом);
• синдромы MELAS (англ. Mitochondrial Encephalomyopathy, Lactic Acidosis, and Stroke-like episodes - митохондриальная энцефаломиопатия с лактатацидозом и инсультоподобными эпизодами) и сADASIL (англ. сerebral Autosomal Dominant Arteriopathy with Subcortical Infarcts and Leukoencephalopathy - церебральная аутосомно-доминантная артериопатия с субкортикальными инфарктами и лейкоэнцефалопатией).
В отличие от типичной М как первичной формы ГБ, вышеупомянутые заболевания и синдромы всегда проявляются соответствующими симптомами неврологического дефицита или другими «сигналами опасности», не характерными для М ( см Раздел 2,4).
У одного пациента М может сочетаться с другими цефалгиями, как первичными (ГБН; первичные ГБ, связанные с физической, сексуальной активностью, холодовыми стимулами ), так и вторичными (ЛИГБ, цервикогенная ГБ, ГБ, связанная с дисфункцией височно-нижнечелюстного сустава). В этом случае в диагноз следует внести все выявленные формы ГБ; например, «М без ауры. ЭГБН с дисфункцией перикраниальных мышц» или «ХМ. ЛИГБ, связанная с применением селективных агонистов серотониновых 5HT1-рецепторов (триптанов). ГБ, связанная с дисфункцией височно-нижнечелюстного сустава» [9, 16, 21].
• Рекомендуется дифференциальная диагностика М без ауры (МбА) с ГБН, кластерной (пучковой) ГБ, хронической пароксизмальной гемикранией и цервикогенной ГБ [1, 2, 9, 20].
Уровень убедительности рекомендаций. С (уровень достоверности доказательств - 5).
• Рекомендуется дифференциальная диагностика мигрени с аурой (МА) с ТИА в связи со схожестью клинической картины [11, 12].
Уровень убедительности рекомендаций. в(уровень достоверности доказательств - 2).
Комментарии. Для мигренозной ауры типично постепенное нарастание клинических проявлений в определенной последовательности на протяжении 10 - 30 (до 60) минут на одной стороне тела в виде так называемого «марша» и смены «позитивных» и «негативных» симптомов - зрительные симптомы (сцинтилляции, блестящие зигзагообразные линии или мушки, тёмные пятна, скотомы, выпадение полей зрения), затем парестезии, онемение, распространяющиеся от кисти руки вверх на плечо, область лица; далее возможно присоединение речевых расстройств; в конце мигренозной ауры развивается мигренозная ГБ. В отличие от приступа М с аурой при ТИА неврологические нарушения имеют «негативный» характер (выпадение полей зрения, скотомы, онемение одной конечности), появляются остро (в течение нескольких минут) и одновременно; развитие ГБ не характерно, у пациентов в анамнезе, как правило, нет данных о наличии М.
• Рекомендуется у пациентов с ХМ проведение дифференциальной диагностики с хронической ГБН (ХГБН), а также с новой ежедневной персистирующей ГБ и гемикранией континуа [10, 14, 21].
Уровень убедительности рекомендаций. С (уровень достоверности доказательств - 5).
Комментарии. Трудности дифференциальной диагностики ХМ и ХГБН связаны с тем, что ведущими клиническими проявлениями ХМ являются как сохраняющиеся частые приступы М, так и ГБН-подобная «фоновая» боль. В этом случае следует опираться на данные раннего анамнеза: у пациентов с ХМ, в отличие от ХГБН, в начале заболевания отмечаются типичные приступы эпизодической М и другие, характерные для М признаки (наследственный анамнез, типичные мигренозные триггеры, облегчение ГБ во время беременности) [15, 22, 27]. При наличии лекарственного абузуса следует дифференцировать ХМ, сочетающуюся с ЛИГБ, и ХГБН, сочетающуюся с ЛИГБ.
|
|
Лечение
• Рекомендуются три подхода к лечению М. Поведенческая терапия, купирование приступов ГБ и профилактическое лечение [15, 18, 20, 28].
Уровень убедительности рекомендаций. С (уровень достоверности доказательств - 5).
Комментарии. Основные цели лечения М - уменьшение частоты и тяжести приступов ГБ, снижение количества принимаемых лекарственных препаратов, обладающих обезболивающим действием, коррекция коморбидных нарушений (КН), профилактика хронизации заболевания и улучшение качества жизни пациентов.
Уровень убедительности рекомендаций. В (уровень достоверности доказательств - 1).
Комментарии. Информирование и обучение пациента с М может проводиться врачом или средним медицинским персоналом как при очной беседе, так и заочно с помощью популярной литературы и интернет-ресурсов. Основные положения поведенческой терапии включают: разъяснение доброкачественной природы и механизмов М (разубеждение в наличии органической причины ГБ); обоснование нецелесообразности проведения дополнительных исследований (за исключением случаев подозрения на симптоматический характер М); обсуждение роли провокаторов приступов ГБ и необходимости их избегать; обсуждение факторов риска хронизации заболевания (стресса, лекарственного абузуса, психических и других КН) и необходимости их профилактики; разъяснение целей лечения М, механизмов действия профилактических препаратов и пользы от использования немедикаментозных методов. Пациентам, злоупотребляющим лекарственными препаратами с обезболивающим действием, следует разъяснить роль лекарственного абузуса в хронизации М, необходимость временного отказа от приема и строгого постоянного контроля числа принимаемых лекарственных препаратов, обладающих обезболивающим действием [15, 18, 20].
Уровень убедительности рекомендаций. С (уровень достоверности доказательств - 5).
• Рекомендуется назначать медикаментозную терапию в зависимости от тяжести приступа и степени дезадаптации пациента [18].
Уровень убедительности рекомендаций. С ( уровень достоверности доказательств - 5).
Комментарии. Лёгкий приступ М - это приступ, во время которого пациент в состоянии выполнять привычную домашнюю и профессиональную работу; приступ средней тяжести - выполнение этих видов деятельности существенно ограничено; тяжёлый приступ М - необходим постельный режим [20, 28].
• Рекомендуется для купирования приступов М как препарат выбора ацетилсалициловая кислота** 1000 мг [30, 31].
Уровень убедительности рекомендаций. А(уровень достоверности доказательств - 1).
• Рекомендуется для купирования приступов М как препарат выбора ибупрофен** 400 мг [32, 33].
Уровень убедительности рекомендаций. А(уровень достоверности доказательств - 1).
• Рекомендуется для купирования приступов М как препарат выбора напроксен 500 мг [34 - 35].
Уровень убедительности рекомендаций. С(уровень достоверности доказательств - 1).
• Рекомендуется для купирования приступов М как препарат выбора парацетамол** 1000 мг [37].
Уровень убедительности рекомендаций. А(уровень достоверности доказательств - 1).
• Рекомендуется для купирования приступов М как препарат выбора диклофенак** 50 мг в саше [36, 38].
Уровень убедительности рекомендаций. А ( уровень достоверности доказательств - 1).
• Рекомендуется для купирования приступов М кетопрофен** 75 или 150 мг [42].
Уровень убедительности рекомендаций. В(уровень достоверности доказательств - 2).
Таблица 6а. Анальгетики и антипиретики, нестероидные противовоспалительные препараты, рекомендованные для купирования приступа мигрени.
Комментарии. Принципы использования других анальгетиков и антипиретиков и НПВП предполагают, что выбор лекарственного средства должен быть сделан на основании их эффективности и побочных эффектов [ 28, 30 - 39]:
• НПВП и ацетилсалициловая кислота** более эффективны, чем парацетамол**;
• препаратом первого выбора считается ибупрофен** в дозе 400 мг, который обладает наименьшим потенциалом вызывать желудочно-кишечные осложнения;
• для контроля правильного использования лекарственных препаратов, обладающих обезболивающим действием, целесообразно ведение дневника ГБ;
• при использовании НПВП необходимо учитывать побочные эффекты, в первую очередь воздействие на желудочно-кишечный тракт и риск кровотечений;
• не рекомендуются для купирования приступов М любые препараты, содержащие метамизол натрия в связи с риском развития агранулоцитоза; опиоидные анальгетики и лекарственные препараты с обезболивающим действием, содержащие кофеин**, кодеин или барбитураты (в связи с высоким риском лекарственного абузуса и ЛИГБ);
• быстрорастворимые формы НПВП (ацетилсалициловая кислота** экспресс форма, диклофенак** в порошке для приготовления раствора для приема внутрь, кетопрофен** в гранулах для приготовления раствора для приема внутрь, ибупрофен** капсулы-форте) действуют более эффективно, чем соответствующие лекарственные средства в таблетированной форме.
• Рекомендуется для лечения приступа мигрени у пациентов с тошнотой и/или рвотой противорвотный препарат (антиэметик) метоклопрамид** внутримышечно совместно с приемом анальгетика с целью облегчения этих симптомов и улучшения всасывания лекарственных препаратов, обладающих обезболивающим действием (таб. 6б) [39].
Уровень убедительности рекомендаций. А (уровень достоверности доказательств - 1).
• Рекомендуется для лечения приступа мигрени у пациентов с тошнотой применение метоклопрамида** в дозе 10 - 20 мг внутрь или домперидона 20 - 30 мг внутрь для облегчения тошноты и улучшения всасывания лекарственных препаратов [39].
Уровень убедительности рекомендаций. С (уровень достоверности доказательств - 5).
Комментарии. Противорвотные препараты уменьшают гастростаз, обычно сопровождающий приступ М, и улучшают всасывание лекарственных препаратов, обладающих обезболивающим действием. [1 - 3, 20].
Таблица 6б. Противорвотные лекарственные средства, рекомендованные для лечения приступа мигрени.
Уровень убедительности рекомендаций. А (уровень достоверности доказательств - 1).
Таблица 6в. Селективные агонисты серотониновых 5HT1-рецепторов (триптаны), рекомендованные для купирования приступов мигрени.
Комментарии. Наибольшей эффективностью обладают селективные агонисты серотониновых 5HT1-рецепторов (триптаны), которые могут также применяться при приступах М средней тяжести [28, 48 - 50, 53 - 55]. В Таблице 6в приведены селективные агонисты 5HT1-рецепторов, зарегистрированные в РФ. Для более эффективного купирования приступов МбА селективные агонисты 5HT1-рецепторов (триптаны) следует принимать в самом начале приступа ГБ - в первые 30 минут от начала ГБ [53]; также рекомендуется принимать суматриптан в дозе не менее 50 мг, элетриптан - не менее 40 мг, золмитриптан - не менее 2,5 мг [172]. При МА селективные агонисты 5HT1- серотониновых рецепторов не должны назначаться во время ауры: если ГБ возникает одновременно или в конце ауры, то селективные агонисты серотониновых 5HT1- рецепторов можно принимать в конце фазы ауры или в начале фазы ГБ [54]. Не следует использовать селективные агонисты серотониновых 5HT1-рецепторовболее 10 дней в месяц, чтобы избежать злоупотребления и развития ЛИГБ. Повторное использование селективных агонистов серотониновых 5HT1-рецепторов возможно через 2 часа после приема первой дозы; не следует применять более 2 доз селективныхагонистовсеротониновых 5HT1-рецепторов в сутки; при неэффективности одного селективного агониста серотониновых 5HT1-рецепторов следует пробовать другие препараты из этой группы. Основные противопоказания для назначения селективных агонистов серотониновых 5HT1-рецепторов включают ишемическую болезнь сердца, окклюзионные заболевания периферических сосудов, неконтролируемую артериальную гипертензию, М со стволовой аурой.
В связи с наименьшим констрикторным эффектом на коронарные артерии наиболее безопасным селективным агонистом серотониновых 5HT1-рецепторов у пациентов с возможным риском сердечно-сосудистых заболеваний является элетриптан [54, 55].
• Рекомендуется для лечениятяжёлого приступа мигрени, особенно при невозможности принимать препараты внутрь из-за выраженной тошноты и рвоты кеторолак** 60 мг внутримышечно или 30 мг внутривенно [41].
Уровень убедительности рекомендаций. А (уровень достоверности доказательств - 1).
• Рекомендуется у пациентов с мигренозным статусом использовать селективные агонисты серотониновых 5HT1-рецепторов (триптаны), если пациент ранее не принимал их для купирования приступа М [28, 29, 46, 47].
Уровень убедительности рекомендаций. в (уровень достоверности доказательств - 1).
• Рекомендуется у пациентов с МС купировать его в условиях стационара парентеральным введением следующих лекарственных средств: метоклопрамида** [29, 39, 43], хлорпромазина [56, 57], декскетопрофена** [40, 58], кеторолака** [41], магния сульфата** [59 - 61], вальпроевой кислоты** [44, 62, 63], дексаметазона** [64 - 68] (таб. 7).
Уровень убедительности рекомендаций. В (уровень достоверности доказательств - 2).
Комментарии. Выбор (сочетание) средств определяется клинической картиной, тяжестью МС и индивидуальными особенностями пациента.
Таблица 7. Лекарственные средства, рекомендованные для купирования мигренозного статуса.
• Не рекомендовано внутривенное введение дроперидола** при МС из-за риска развития побочных реакций [69, 70].
Уровень убедительности рекомендаций. в (уровень достоверности доказательств - 2).
• Не рекомендовано внутривенное капельное введение галоперидола** из-за высокого риска побочных реакций [71, 72].
Уровень убедительности рекомендаций. в (уровень достоверности доказательств - 2).
Комментарии. Меньшее количество нежелательных явлений наблюдается при применении метоклопрамида** по сравнению с дроперидолом** и галоперидолом**[72]. Побочными эффектами антипсихотических средств могут быть экстрапирамидные нарушения (акатизия, поздняя дискинезия ), снижение артериального давления, сонливость. Одним из противопоказаний к назначению антипсихотических средств является удлиненный интервал QT, поэтому перед их назначением рекомендована электрокардиография.
При МС дексаметазон** применяют не для устранения ГБ, а для предотвращения возврата ГБ во время приступа М; дексаметазон** применяется внутривенно в средней дозе 10 мг (диапазон доз от 10 до 24 мг) [64 - 68]. Парентеральное введение жидкостей для устранения ГБ при МС не показано, однако при повторной рвоте и дегидратации возможно парентеральное введение жидкостей с целью регидратации [73]. Пациенты с МС также испытывают значительный дискомфорт при воздействии света и звуков, поэтому следует проводить лечебные мероприятия в тихом и затемненном помещении.
Уровень убедительности рекомендаций. с(уровень достоверности доказательств - 5).
Комментарии. Другие показания к профилактическому лечению М включают [9, 15, 20, 74 - 78]:
• неэффективность или плохая переносимость препаратов для купирования приступов М;
• хроническая мигрень;
• лекарственный абузус, ЛИГБ;
• подтипы М, представляющие риск в отношении повреждения мозга (инсульта): мигренозный инфаркт или мигренозный статус в анамнезе, М со стволовой аурой, гемиплегическая М;
• тяжелые коморбидные нарушения (в первую очередь, психические - депрессия, тревога, фобии, диссомния);
• пациент сам предпочитает профилактическую терапию для облегчения течения М и улучшения качества жизни.
• Рекомендуется считать профилактическое лечение эффективным, если частота дней с ГБ сокращается через 3 месяца терапии на 50% и более от исходной [2, 9, 75, 76].
Уровень убедительности рекомендаций. С (уровень достоверности доказательств - 5).
Комментарии. Профилактическое лечение у пациентов с М проводится с соблюдением следующих принципов:
• разъяснение пациенту целесообразности, механизмов действия и возможных побочных эффектов профилактических средств;
• следует применять препараты с доказанной эффективностью, начиная лечение с монотерапии;
• необходимо назначать препараты в адекватных терапевтических дозах в течение достаточного для развития клинического эффекта времени (от 3 месяцев и более);
• при отсутствии эффекта в течение 3 месяцев следует заменить выбранное профилактическое средство на другой препарат; эффективность БТА - минимум через 6 месяцев терапии.
• при достижении эффекта необходимо продолжительное (6-12 месяцев) использование выбранного профилактического средства в адекватно переносимой дозе;
• затем возможно предпринять попытку постепенной отмены препарата(ов);
• для минимизации побочных эффектов целесообразно медленное увеличение дозы;
• необходимо избегать ситуаций, когда недостаточно эффективная профилактика (в силу неправильно подобранного препарата или его недостаточной дозы) приводит к избыточному применению средств для купирования приступов М (чаще, чем 2 дня в неделю);
• при выборе профилактического средства следует принимать во внимание сопутствующие/коморбидные заболевания. В частности, следует выбирать препарат, который также эффективен при лечении сопутствующей патологии (например, антидепрессант у пациента с М и коморбидной депрессией);
• не следует назначать психостимуляторы и ноотропные препараты, не обладающие доказанным специфическим действием в профилактике М;
• необходимо избегать терапии сопутствующего заболевания, которая может способствовать обострению М или увеличению лекарственного абузуса.
Профилактические средства первого выбора (таб. 8):
• Рекомендуются для профилактики М в качестве средств первого выбора бета-адреноблокаторы метопролол** 100 - 200 мг/сут [76, 80, 167].
Уровень убедительности рекомендаций. В (уровень достоверности доказательств - 2).
• Рекомендуются для профилактики М в качестве средств первого выбора бета-адреноблокаторы пропранолол** 80 - 160 мг/сут) [76, 79, 80].
Уровень убедительности рекомендаций. А (уровень достоверности доказательств - 1).
Комментарии. У пациентов с артериальной гитотензией возможно применение меньших доз бета-адреноблокаторов [2, 3, 9].
• Рекомендуется для профилактики М в качестве средства первого выбора топирамат** 100 - 200 мг/сут [81, 83, 84, 168].
• Уровень убедительности рекомендаций. В (уровень достоверности доказательств - 1).
Комментарии. Топирамат** назначается длительным курсом (до 12 месяцев) с титрованием дозы от 25 мг до рекомендованной дозы 100 мг; возможно увеличение дозы до 200 мг в сутки; прием основной дозы препарата предпочтителен в вечернее время.
• Рекомендуется для профилактики хронической М в качестве средства первого выбора ботулинический токсин типа А - гемагглютинин комплекс** 155 - 195 ЕД по протоколу PREEMPT [85].
Уровень убедительности рекомендаций. А (уровень достоверности доказательств - 1).
Комментарии. Ботулинический токсин типа А - гемагглютинин комплекс** применяется при М только у пациентов с хронической формой. После разведения 100 ЕД препарата на 2 мл или 200 ЕД - на 4 мл раствора хлорида натрия** вводят по протоколу PREEMPT в проекции 7 групп мышц головы и шеи (билатерально в mm. frontalis; mm. corrugatorsupercilii; mm. temporalis; mm. occipitalis; mm. trapezius; mm. paraspinaliscervicis и m. Procerus) [85, 99, 108]. Суммарная доза препарата на одну процедуру составляет 155 - 195 ЕД. Эффективность одной процедуры (снижение числа дней с ГБ на 50% и более) обычно сохраняется в течение 3 месяцев, поэтому инъекции препарата рекомендуется повторять каждые 12 недель. Одновременно пациенты могут получать другие лекарственные средства с целью профилактики М.Ботулинический токсин типа А -гемагглютинин комплекс** эффективен также у пациентов с ХМ, сочетающейся с лекарственно-индуцированной ГБ [100].
• Рекомендуются для профилактики М у пациентов с числом дней с ГБ 4 и более в месяц в качестве средств первого выбора антагонисты пептидов, связанных с геном кальцитонина (CGRP или КГРП) фреманезумаб 225 мг подкожно ежемесячно или 625 мг подкожно один раз в три месяца и эренумаб 70 или 140 мг подкожно ежемесячно [86 - 89].
Уровень убедительности рекомендаций. А (уровень достоверности доказательств - 2).
Комментарии. Антагонисты пептидов, связанных с геном кальцитонина (моноклональные антитела к основному болевому медиатору мигрени кальцитонин-ген-родственному пептиду или его рецептору (или анти-CGRP моноклональные антитела)), представляют собой первый класс препаратов, специально разработанных для таргетной (патогенетически обоснованной) профилактической терапии эпизодической и хронической мигрени у взрослых. Терапия мАТ может применяться при частоте от 4 дней с М в месяц.
Фреманезумаб, эренумаб могут быть назначены длительностью от 6 до 12 месяцев и более в зависимости от эффективности и переносимости терапии. Эффективность терапии следует оценивать через 3 мес. после ее начала. По данным исследований в реальной клинической практике на фоне лечения антагонистами пептида, связанного с геном кальцинонина, возможно снижение числа дней с ГБ в месяц на 50%, 75%, а также на 100% (временная ремиссия). В реальной клинической практике в США и Европе антагонисты пептидов, связанных с геном кальцитонина, применяются на протяжении нескольких лет (период непрерывного применения до 5 лет). Решение о продолжительности лечения принимается лечащим врачом и зависит от эффективности и переносимости терапии [86 - 89].
Профилактические средства второго выбора (таб. 8):
• Рекомендуется для профилактики М атенолол** 100 мг/сут [97].
Уровень убедительности рекомендаций. В (уровень достоверности доказательств - 2).
• Рекомендуются для профилактики М антидепрессанты. амитриптилин** 50 - 150 мг/сут и венлафаксин 75 - 150 мг/сут [90 - 93].
Уровень убедительности рекомендаций. В (уровень достоверности доказательств - 1).
Комментарии. Перечисленные антидепрессанты обладают собственным противоболевым действием[1, 2, 9, 15]. Применение антидепрессантов особенно полезно у пациентов с коморбидными нарушениями (депрессия, тревожные расстройства, диссомния)[1, 2, 9, 15].
• Рекомендуется для профилактики М кандесартан 16 мг/сут [94 - 95].
Уровень убедительности рекомендаций. В (уровень достоверности доказательств - 2).
• Рекомендуется для профилактики М вальпроевая кислота** 400 - 1500 мг внутрь [81,82].
Уровень убедительности рекомендаций. В (уровень достоверности доказательств - 2).
Комментарии. Назначение вальпроевой кислоты** нежелательно женщинам с детородным потенциалом в силу высокого риска тератогенного действия [81, 82].
Таблица 8. Лекарственные средства, рекомендованные для профилактики мигрени.
1 - PREEMPT - англ. PhaseIIIResearchEvaluatingMigraineProphylaxisTherapy - клиническая программа исследования по оценке профилактической терапии М 3-й фазы.
Уровень убедительности рекомендаций. В ( уровень достоверности доказательств - 2).
Комментарии. Пациенты с частой эпизодической М (число дней с мигренозной ГБ 8 и более в месяц и около 8 - 10 дней с приемом лекарственных препаратов, обладающих обезболивающим действием в месяц) представляют группу риска по развитию ЛИГБ. У пациентов группы риска предотвращение лекарственного абузуса с помощью поведенческой терапии более эффективно, чем лечение уже развившейся ЛИГБ[102].
Основные стратегии профилактики развития ЛИГБ в группе риска включают: информирование пациентов о безопасном режиме приема средств для купирования приступов М (не чаще 2 дней в неделю - не более 8 дней в месяц) и контроль других факторов риска хронизации М (эмоционального статуса, стрессовых жизненных событий, качества сна, приема кофеина, массы тела). Необходимо объяснить пациенту, что злоупотребление препаратами для купирования приступов М способствует учащению дней с ГБ (хронизации М и развитию ЛИГБ), и что единственный путь к облегчению ГБ - это отмена препарата(ов) злоупотребления.
• Рекомендуются у пациентов, злоупотребляющих другими анальгетиками и антипиретиками и/или селективными агонистами серотониновых 5HT1-рецепторов (триптанами) консультирование и советы по временной отмене или значительному сокращению приема препаратов, вызвавших ЛИГБ [103, 104].
Уровень убедительности рекомендаций. В (уровень достоверности доказательств - 2).
Комментарии. Эти методы недостаточно эффективны у пациентов с коморбидными психическими нарушениями (депрессия, тревога), злоупотребляющих опиоидами, анксиолитиками, барбитуратами или несколькими классами лекарственных препаратов с обезболивающим действием одновременно и имеющих неудачные попытки отмены препаратов злоупотребления в анамнезе.
• Рекомендуется для обратной трансформации ХМ в эпизодическую форму отмена лекарственного препарата(ов) с обезболивающим действием, вызвавшего(их) ЛИГБ [105 - 119, 169 - 171].
Уровень убедительности рекомендаций. А (уровень достоверности доказательств - 3).
Комментарии. Может применяться как полная, так и частичная отмена «виновных» препарата(ов). Число дней с приемом любых лекарственных препаратов с обезболивающим действием не должно превышать 2 в неделю (8 в месяц). Отмену других анальгетиков и антипиретиков, селективных агонистов серотониновых 5HT1-рецепторов (триптанов) можно проводить в амбулаторных условиях; отмену опиоидов, спазмолитиков, психотропных препаратов и анальгетиков в комбинации, в том числе при сочетании со злоупотреблением производными бензодиазепина - в условиях стационара/дневного стационара [105].
• Рекомендуется в период отмены препарата(ов) злоупотребления пациентам с ЛИГБ лечение «рикошетной ГБ» и других симптомов отмены (детоксикационная терапия внутрь или парентерально) [63, 105].
Уровень убедительности рекомендаций. С (уровень достоверности доказательств - 5).
• Рекомендуются для лечения ГБ отмены, других симптомов отмены и для купирования возможных приступов М в качестве препаратов первого выбора кортикостероиды системного действия, НПВП, противорвотные препараты и анксиолитики (таб. 9).
Таблица 9. Лекарственные средства, рекомендованные для лечения ГБ отмены у пациентов с ЛИГБ.
Комментарии. Лечение ГБ и других симптомов отмены (детоксикацию) следует проводить в первые две недели периода отмены. Выбор препаратов определяется клиническими проявлениями (например, при наличии рвоты целесообразно применение противорвотных препаратов) [128].
В период отмены обезболивающих препаратов в качестве альтернативных лекарственных препаратов, обладающих обезболивающим действием, могут применяться препараты тех классов, которыми пациент ранее не злоупотреблял (например, при наличии у пациента с частой эпизодической или хронической мигрени и ЛИГБ, связанной со злоупотреблением лекарственными препаратами, содержащими компоненты из разных классов, обладающих обезболивающим действием, для купирования приступов М в период отмены могут быть рекомендованы селективные агонисты серотониновых 5TH1-рецепторов (триптаны). Целекоксиб и напроксен ( см ниже) могут также применяться в период отмены как альтернативные лекарственные препараты с обезболивающим действием при условии, что пациент ими ранее не злоупотреблял.
При назначении кортикостероидов системного действия или НПВП необходимо добавлять ингибиторы протонного насоса для снижения риска нежелательных явлений со стороны ЖКТ. Пациентам, злоупотребляющим опиоидами, производными бензодиазепина, барбитуратами необходим мониторинг метаболических показателей крови, артериального давления и регидратация, в тч обильное питье).
• Рекомендуются для профилактической терапии частой эпизодической и хронической М, сочетающейся с ЛИГБ топирамат**, ботулинический токсин типа А - гемагглютинин комплекс**и антагонисты пептидов, связанных с геном кальцитонина (таб. 10).
Таблица 10. Препараты, рекомендованные для профилактической терапии частой эпизодической и хронической мигрени, сочетающейся с ЛИГБ.
Уровень убедительности рекомендаций. В (уровень достоверности доказательств - 2).
Комментарии. Профилактическую терапию М, сочетающейся с ЛИГБ, предпочтительно начинать вместе с отменой препарата(ов), вызвавшего(их) ЛИГБ, и лечением ГБ отмены [119], однако терапию можно начинать и до отмены «виновных» анальгетиков и антипиретиков [107, 110, 112, 113].
• Не рекомендуются для профилактики М психостимуляторы и ноотропные препараты [2, 9, 15, 20].
Уровень убедительности рекомендаций. с(уровень достоверности доказательств - 5).
Комментарий. Психостимуляторы и ноотропные препараты не обладают доказанным специфическим действием в профилактическом лечении М, однако могут применяться у пациентов с М в качестве дополнительных средств с целью коррекции легких когнитивных нарушений [2, 9, 15, 20].
Уровень убедительности рекомендаций. С (уровень достоверности доказательств - 5).
Комментарии. Комбинированное лечение может рассматриваться как возможный вариант лечения первичной ГБ, в том числе у резистентных к фармакологическому лечению пациентов [134, 135].
• Рекомендуются пациентам с сопутствующими психическими (тревожно-депрессивными и соматоформными) расстройствами индивидуальная когнитивно-поведенческая терапия (КПТ), психотерапия и методы психологической релаксации [136].
Уровень убедительности рекомендаций. А (уровень достоверности доказательств - 1).
Комментарии. Классическая КПТ включает два метода - поведенческий (направлен на активизацию пациента, индивидуальную профилактику приступов М и умение справляться с ними) и когнитивный (включает работу с негативными мыслями и ложными представлениями о болезни, а также по уменьшению катастрофизации боли) [137 - 141].
• Рекомендуется нейропсихологическая реабилитация с помощью биологической обратной связи (БОС) по показателю частоты пульса и электромиографии мышц скальпа и шеи с целью обучения психологическому и мышечному расслаблению [142].
Уровень убедительности рекомендаций. А(уровень достоверности доказательств - 2).
Комментарии. БОС можно рекомендовать в качестве альтернативного эффективного немедикаментозного лечения пациентов с ХМ для долгосрочной профилактики приступов М. БОС в сочетании с домашними релаксационными тренировками более эффективны, чем без них [143].
• Рекомендуется пациентам с М рефлексотерапия при заболеваниях центральной нервной системы (акупунктура) как дополнительный метод профилактического лечения [144 - 146].
Уровень убедительности рекомендаций. в(уровень достоверности доказательств - 1).
Комментарии. Рефлексотерапию можно рассматривать как эффективный и безопасный вариант лечения, так как при его применении не отмечается побочных эффектов [144 - 146].
• Рекомендуется пациентам с выраженной дисфункцией перикраниальных мышц (мышечно-тоническим синдромом) постизометрическая релаксация с целью достижения мышечного расслабления [147].
Уровень убедительности рекомендаций. A(уровень достоверности доказательств - 1).
• Рекомендуется пациентам с М лечебная физкультура для повышения эффективности профилактической терапии [148].
Уровень убедительности рекомендаций. В (уровень достоверности доказательств - 2).
Комментарии. Пациентам с М показаны упражнения с легкой интенсивностью; тренировки на выносливость, например, на беговой дорожке, велоэргометре; скандинавская ходьба; общефизические упражнения; релаксационные и функциональные тренировки. Количество тренировок: максимум 3 - 4 раза в неделю; продолжительность сеанса: от 20 до 60 минут [149].
• Рекомендуется пациентам с М в качестве дополнительного метода лечения (в комбинации с другими нелекарственными методами и фармакотерапией) блокады большого затылочного нерва с использованием кортикостероидов системного действия и местных анестетиков [151].
Уровень убедительности рекомендаций. С (уровень достоверности доказательств - 2).
Комментарии. Блокада большого затылочного нерва может являться эффективным методом неотложного лечения приступа М и может быть эффективна в краткосрочной перспективе при ХM [150].
• Рекомендуется в качестве дополнительного метода профилактического лечения М, в том числе ХМ, неинвазивная высокочастотная ритмическая транскраниальная магнитная стимуляция (ТМС) [152 - 155].
Уровень убедительности рекомендаций. В (уровень достоверности доказательств - 2).
Комментарии. Эффект высокочастотной ритмической ТМС при М связывают с нейромодулирующим влиянием на кортикальную гипервозбудимость - один из базовых патофизиологических механизмов мигрени [154 - 155].
• Рекомендуется для купирования приступов ГБ и профилактики М внешняя стимуляция первой ветви тройничного нерва аппаратом Цефали [157].
Уровень убедительности рекомендаций. A (уровень достоверности доказательств - 2).
Комментарии. Аппарат Цефали удобен для самостоятельного применения пациентами [156].
• Рекомендуется для лечения рефрактерной ХМ (устойчивой к адекватной профилактической терапии) применение инвазивной нейростимуляции (НС) большого затылочного нерва [161 - 163].
Уровень убедительности рекомендаций. А (уровень достоверности доказательств - 2).
Комментарии. Эффективность НС при ХМ/рефрактерной ХМ связана с действием на тригемино-цервикальный комплекс и опосредованным ингибированием патологической активности болевых структур мозга [157]. Показано, что благодаря НС уменьшается частота и тяжесть приступов мигрени, снижается число потребляемых медикаментов, улучшается качество жизни пациентов [159, 160. Направление пациентов на инвазивную НС должно осуществляться совместно специалистом по диагностике и лечению головной боли и нейрохирургом.
• Не рекомендуется для профилактической терапии М диетотерапия [5, 6, 8, 10].
Уровень убедительности рекомендаций. С ( уровень достоверности доказательств - 5).
Комментарии. Хотя диетотерапия для лечения М не применяется, целесообразно давать пациентам совет по исключению из рациона некоторых продуктов, которые потенциально могут провоцировать приступ М. К таким продуктам относятся: шоколад, бананы, орехи, цитрусовые, жирные сорта сыров, алкоголь. [1, 2, 3,9].
Уровень убедительности рекомендаций. С (уровень достоверности доказательств - 5).
Комментарии. Основные цели лечения М - уменьшение частоты и тяжести приступов ГБ, снижение количества принимаемых лекарственных препаратов, обладающих обезболивающим действием, коррекция коморбидных нарушений (КН), профилактика хронизации заболевания и улучшение качества жизни пациентов.
3,1 Поведенческая терапия.
• Рекомендуется поведенческая терапия, направленная на модификацию образа жизни пациента с М [96, 140].Уровень убедительности рекомендаций. В (уровень достоверности доказательств - 1).
Комментарии. Информирование и обучение пациента с М может проводиться врачом или средним медицинским персоналом как при очной беседе, так и заочно с помощью популярной литературы и интернет-ресурсов. Основные положения поведенческой терапии включают: разъяснение доброкачественной природы и механизмов М (разубеждение в наличии органической причины ГБ); обоснование нецелесообразности проведения дополнительных исследований (за исключением случаев подозрения на симптоматический характер М); обсуждение роли провокаторов приступов ГБ и необходимости их избегать; обсуждение факторов риска хронизации заболевания (стресса, лекарственного абузуса, психических и других КН) и необходимости их профилактики; разъяснение целей лечения М, механизмов действия профилактических препаратов и пользы от использования немедикаментозных методов. Пациентам, злоупотребляющим лекарственными препаратами с обезболивающим действием, следует разъяснить роль лекарственного абузуса в хронизации М, необходимость временного отказа от приема и строгого постоянного контроля числа принимаемых лекарственных препаратов, обладающих обезболивающим действием [15, 18, 20].
3,2 Купирование приступа мигрени.
• Рекомендуется лечение приступа М для уменьшения интенсивности, длительности ГБ, сопутствующих симптомов и восстановления общего состояния пациента [15].Уровень убедительности рекомендаций. С (уровень достоверности доказательств - 5).
• Рекомендуется назначать медикаментозную терапию в зависимости от тяжести приступа и степени дезадаптации пациента [18].
Уровень убедительности рекомендаций. С ( уровень достоверности доказательств - 5).
Комментарии. Лёгкий приступ М - это приступ, во время которого пациент в состоянии выполнять привычную домашнюю и профессиональную работу; приступ средней тяжести - выполнение этих видов деятельности существенно ограничено; тяжёлый приступ М - необходим постельный режим [20, 28].
3,2,1 Купирование приступов мигрени легкой и средней тяжести.
Для купирования приступов М следует применять анальгетики и антипиретики, нестероидные противовоспалительные препараты (НПВП) (таб. 6а).• Рекомендуется для купирования приступов М как препарат выбора ацетилсалициловая кислота** 1000 мг [30, 31].
Уровень убедительности рекомендаций. А(уровень достоверности доказательств - 1).
• Рекомендуется для купирования приступов М как препарат выбора ибупрофен** 400 мг [32, 33].
Уровень убедительности рекомендаций. А(уровень достоверности доказательств - 1).
• Рекомендуется для купирования приступов М как препарат выбора напроксен 500 мг [34 - 35].
Уровень убедительности рекомендаций. С(уровень достоверности доказательств - 1).
• Рекомендуется для купирования приступов М как препарат выбора парацетамол** 1000 мг [37].
Уровень убедительности рекомендаций. А(уровень достоверности доказательств - 1).
• Рекомендуется для купирования приступов М как препарат выбора диклофенак** 50 мг в саше [36, 38].
Уровень убедительности рекомендаций. А ( уровень достоверности доказательств - 1).
• Рекомендуется для купирования приступов М кетопрофен** 75 или 150 мг [42].
Уровень убедительности рекомендаций. В(уровень достоверности доказательств - 2).
Таблица 6а. Анальгетики и антипиретики, нестероидные противовоспалительные препараты, рекомендованные для купирования приступа мигрени.
| Лекарственное средство | Доза, мг | Комментарий |
| Ацетилсалициловая кислота** | 1000 внутрь | Гастроэнтерологические побочные эффекты |
| Ибупрофен** | 400мг внутрь | Гастроэнтерологические побочные эффекты |
| Напроксен | 500 мг внутрь | Гастроэнтерологические побочные эффекты |
| Парацетамол** | 1000 внутрь | Назначать с осторожностью, так как может вызывать почечную и печеночную недостаточность |
| Диклофенак** | 50 мг внутрь в саше | Гастроэнтерологические побочные эффекты |
| Кетопрофен** | 75 мг или 150 мг внутрь | Гастроэнтерологические побочные эффекты |
Комментарии. Принципы использования других анальгетиков и антипиретиков и НПВП предполагают, что выбор лекарственного средства должен быть сделан на основании их эффективности и побочных эффектов [ 28, 30 - 39]:
• НПВП и ацетилсалициловая кислота** более эффективны, чем парацетамол**;
• препаратом первого выбора считается ибупрофен** в дозе 400 мг, который обладает наименьшим потенциалом вызывать желудочно-кишечные осложнения;
• для контроля правильного использования лекарственных препаратов, обладающих обезболивающим действием, целесообразно ведение дневника ГБ;
• при использовании НПВП необходимо учитывать побочные эффекты, в первую очередь воздействие на желудочно-кишечный тракт и риск кровотечений;
• не рекомендуются для купирования приступов М любые препараты, содержащие метамизол натрия в связи с риском развития агранулоцитоза; опиоидные анальгетики и лекарственные препараты с обезболивающим действием, содержащие кофеин**, кодеин или барбитураты (в связи с высоким риском лекарственного абузуса и ЛИГБ);
• быстрорастворимые формы НПВП (ацетилсалициловая кислота** экспресс форма, диклофенак** в порошке для приготовления раствора для приема внутрь, кетопрофен** в гранулах для приготовления раствора для приема внутрь, ибупрофен** капсулы-форте) действуют более эффективно, чем соответствующие лекарственные средства в таблетированной форме.
• Рекомендуется для лечения приступа мигрени у пациентов с тошнотой и/или рвотой противорвотный препарат (антиэметик) метоклопрамид** внутримышечно совместно с приемом анальгетика с целью облегчения этих симптомов и улучшения всасывания лекарственных препаратов, обладающих обезболивающим действием (таб. 6б) [39].
Уровень убедительности рекомендаций. А (уровень достоверности доказательств - 1).
• Рекомендуется для лечения приступа мигрени у пациентов с тошнотой применение метоклопрамида** в дозе 10 - 20 мг внутрь или домперидона 20 - 30 мг внутрь для облегчения тошноты и улучшения всасывания лекарственных препаратов [39].
Уровень убедительности рекомендаций. С (уровень достоверности доказательств - 5).
Комментарии. Противорвотные препараты уменьшают гастростаз, обычно сопровождающий приступ М, и улучшают всасывание лекарственных препаратов, обладающих обезболивающим действием. [1 - 3, 20].
Таблица 6б. Противорвотные лекарственные средства, рекомендованные для лечения приступа мигрени.
| Лекарственное средство | Разовая доза, мг | Комментарий |
| Метоклопрамид** | 10 - 20 мг внутрь | Побочные эффекты: дискинезия; обладает также анальгетическим действием |
| 10 мг внутримышечно | ||
| Домперидон | 20 - 30 мг внутрь | Побочные эффекты менее выражены, чем у метоклопрамида** |
3,2,2 Купирование тяжелых приступов мигрени.
• Рекомендуются при тяжелых приступах М и при неэффективности других анальгетиков и антипиретиков и НПВП селективные агонисты серотониновых 5HT1-рецепторов (триптаны): суматриптан, элетриптан и золмитриптан (таб. 6в) [46 - 47, 51 - 52].Уровень убедительности рекомендаций. А (уровень достоверности доказательств - 1).
Таблица 6в. Селективные агонисты серотониновых 5HT1-рецепторов (триптаны), рекомендованные для купирования приступов мигрени.
| Лекарственное средство | Доза |
| Суматриптан | 50 или 100мг |
| Элетриптан | 40 или 80 мг |
| Золмитриптан | 2,5 или 5 мг |
Комментарии. Наибольшей эффективностью обладают селективные агонисты серотониновых 5HT1-рецепторов (триптаны), которые могут также применяться при приступах М средней тяжести [28, 48 - 50, 53 - 55]. В Таблице 6в приведены селективные агонисты 5HT1-рецепторов, зарегистрированные в РФ. Для более эффективного купирования приступов МбА селективные агонисты 5HT1-рецепторов (триптаны) следует принимать в самом начале приступа ГБ - в первые 30 минут от начала ГБ [53]; также рекомендуется принимать суматриптан в дозе не менее 50 мг, элетриптан - не менее 40 мг, золмитриптан - не менее 2,5 мг [172]. При МА селективные агонисты 5HT1- серотониновых рецепторов не должны назначаться во время ауры: если ГБ возникает одновременно или в конце ауры, то селективные агонисты серотониновых 5HT1- рецепторов можно принимать в конце фазы ауры или в начале фазы ГБ [54]. Не следует использовать селективные агонисты серотониновых 5HT1-рецепторовболее 10 дней в месяц, чтобы избежать злоупотребления и развития ЛИГБ. Повторное использование селективных агонистов серотониновых 5HT1-рецепторов возможно через 2 часа после приема первой дозы; не следует применять более 2 доз селективныхагонистовсеротониновых 5HT1-рецепторов в сутки; при неэффективности одного селективного агониста серотониновых 5HT1-рецепторов следует пробовать другие препараты из этой группы. Основные противопоказания для назначения селективных агонистов серотониновых 5HT1-рецепторов включают ишемическую болезнь сердца, окклюзионные заболевания периферических сосудов, неконтролируемую артериальную гипертензию, М со стволовой аурой.
В связи с наименьшим констрикторным эффектом на коронарные артерии наиболее безопасным селективным агонистом серотониновых 5HT1-рецепторов у пациентов с возможным риском сердечно-сосудистых заболеваний является элетриптан [54, 55].
• Рекомендуется для лечениятяжёлого приступа мигрени, особенно при невозможности принимать препараты внутрь из-за выраженной тошноты и рвоты кеторолак** 60 мг внутримышечно или 30 мг внутривенно [41].
Уровень убедительности рекомендаций. А (уровень достоверности доказательств - 1).
3,2,3 Купирование мигренозного статуса.
Лечение мигренозного статуса (МС) направлено на уменьшение интенсивности, длительности ГБ, сопутствующих симптомов и восстановление общего состояния пациента.• Рекомендуется у пациентов с мигренозным статусом использовать селективные агонисты серотониновых 5HT1-рецепторов (триптаны), если пациент ранее не принимал их для купирования приступа М [28, 29, 46, 47].
Уровень убедительности рекомендаций. в (уровень достоверности доказательств - 1).
• Рекомендуется у пациентов с МС купировать его в условиях стационара парентеральным введением следующих лекарственных средств: метоклопрамида** [29, 39, 43], хлорпромазина [56, 57], декскетопрофена** [40, 58], кеторолака** [41], магния сульфата** [59 - 61], вальпроевой кислоты** [44, 62, 63], дексаметазона** [64 - 68] (таб. 7).
Уровень убедительности рекомендаций. В (уровень достоверности доказательств - 2).
Комментарии. Выбор (сочетание) средств определяется клинической картиной, тяжестью МС и индивидуальными особенностями пациента.
Таблица 7. Лекарственные средства, рекомендованные для купирования мигренозного статуса.
| Лекарственные средства | Дозы (разовая) | Путь введения | Комментарий |
| Метоклопрамид** | 10 мг | внутривенно капельно на 50 мл раствора хлорида натрия** | Введение в течение 20 минут |
| Хлорпромазин | 0,1 мг на 1 кг веса | внутривенно капельно на растворе хлорида натрия** | |
| Декскетопрофен** | 50 мг | внутривенно | |
| Кеторолак** | 60 мг внутримышечно или 30 мг внутривенно | Внутримышечно или внутривенно | |
| Магния сульфат** | 2 г | внутривенно капельно на растворе натрия хлорида ** | Только для лечения статуса мигренозной ауры у пациентов с мигренью с аурой |
| Вальпроевая кислота** | 800 - 1000 мг | внутривенно | Не рекомендуется у женщин детородного возраста |
| Дексаметазон** | 10 - 24 мг | внутривенно | Для предотвращения возврата приступа мигрени, а не устранения ГБ |
• Не рекомендовано внутривенное введение дроперидола** при МС из-за риска развития побочных реакций [69, 70].
Уровень убедительности рекомендаций. в (уровень достоверности доказательств - 2).
• Не рекомендовано внутривенное капельное введение галоперидола** из-за высокого риска побочных реакций [71, 72].
Уровень убедительности рекомендаций. в (уровень достоверности доказательств - 2).
Комментарии. Меньшее количество нежелательных явлений наблюдается при применении метоклопрамида** по сравнению с дроперидолом** и галоперидолом**[72]. Побочными эффектами антипсихотических средств могут быть экстрапирамидные нарушения (акатизия, поздняя дискинезия ), снижение артериального давления, сонливость. Одним из противопоказаний к назначению антипсихотических средств является удлиненный интервал QT, поэтому перед их назначением рекомендована электрокардиография.
При МС дексаметазон** применяют не для устранения ГБ, а для предотвращения возврата ГБ во время приступа М; дексаметазон** применяется внутривенно в средней дозе 10 мг (диапазон доз от 10 до 24 мг) [64 - 68]. Парентеральное введение жидкостей для устранения ГБ при МС не показано, однако при повторной рвоте и дегидратации возможно парентеральное введение жидкостей с целью регидратации [73]. Пациенты с МС также испытывают значительный дискомфорт при воздействии света и звуков, поэтому следует проводить лечебные мероприятия в тихом и затемненном помещении.
3,3 Профилактическая терапия.
• Рекомендуется профилактическое лечение пациентам с М, у которых наблюдается 3 и более тяжёлых дезадаптирующих приступа ГБ в месяц при адекватном купировании приступов М или ≥ 8 дней с ГБ в месяц, а также пациентам с пролонгированной аурой, даже при небольшой частоте приступов [2, 9, 20, 74].Уровень убедительности рекомендаций. с(уровень достоверности доказательств - 5).
Комментарии. Другие показания к профилактическому лечению М включают [9, 15, 20, 74 - 78]:
• неэффективность или плохая переносимость препаратов для купирования приступов М;
• хроническая мигрень;
• лекарственный абузус, ЛИГБ;
• подтипы М, представляющие риск в отношении повреждения мозга (инсульта): мигренозный инфаркт или мигренозный статус в анамнезе, М со стволовой аурой, гемиплегическая М;
• тяжелые коморбидные нарушения (в первую очередь, психические - депрессия, тревога, фобии, диссомния);
• пациент сам предпочитает профилактическую терапию для облегчения течения М и улучшения качества жизни.
• Рекомендуется считать профилактическое лечение эффективным, если частота дней с ГБ сокращается через 3 месяца терапии на 50% и более от исходной [2, 9, 75, 76].
Уровень убедительности рекомендаций. С (уровень достоверности доказательств - 5).
Комментарии. Профилактическое лечение у пациентов с М проводится с соблюдением следующих принципов:
• разъяснение пациенту целесообразности, механизмов действия и возможных побочных эффектов профилактических средств;
• следует применять препараты с доказанной эффективностью, начиная лечение с монотерапии;
• необходимо назначать препараты в адекватных терапевтических дозах в течение достаточного для развития клинического эффекта времени (от 3 месяцев и более);
• при отсутствии эффекта в течение 3 месяцев следует заменить выбранное профилактическое средство на другой препарат; эффективность БТА - минимум через 6 месяцев терапии.
• при достижении эффекта необходимо продолжительное (6-12 месяцев) использование выбранного профилактического средства в адекватно переносимой дозе;
• затем возможно предпринять попытку постепенной отмены препарата(ов);
• для минимизации побочных эффектов целесообразно медленное увеличение дозы;
• необходимо избегать ситуаций, когда недостаточно эффективная профилактика (в силу неправильно подобранного препарата или его недостаточной дозы) приводит к избыточному применению средств для купирования приступов М (чаще, чем 2 дня в неделю);
• при выборе профилактического средства следует принимать во внимание сопутствующие/коморбидные заболевания. В частности, следует выбирать препарат, который также эффективен при лечении сопутствующей патологии (например, антидепрессант у пациента с М и коморбидной депрессией);
• не следует назначать психостимуляторы и ноотропные препараты, не обладающие доказанным специфическим действием в профилактике М;
• необходимо избегать терапии сопутствующего заболевания, которая может способствовать обострению М или увеличению лекарственного абузуса.
Профилактические средства первого выбора (таб. 8):
• Рекомендуются для профилактики М в качестве средств первого выбора бета-адреноблокаторы метопролол** 100 - 200 мг/сут [76, 80, 167].
Уровень убедительности рекомендаций. В (уровень достоверности доказательств - 2).
• Рекомендуются для профилактики М в качестве средств первого выбора бета-адреноблокаторы пропранолол** 80 - 160 мг/сут) [76, 79, 80].
Уровень убедительности рекомендаций. А (уровень достоверности доказательств - 1).
Комментарии. У пациентов с артериальной гитотензией возможно применение меньших доз бета-адреноблокаторов [2, 3, 9].
• Рекомендуется для профилактики М в качестве средства первого выбора топирамат** 100 - 200 мг/сут [81, 83, 84, 168].
• Уровень убедительности рекомендаций. В (уровень достоверности доказательств - 1).
Комментарии. Топирамат** назначается длительным курсом (до 12 месяцев) с титрованием дозы от 25 мг до рекомендованной дозы 100 мг; возможно увеличение дозы до 200 мг в сутки; прием основной дозы препарата предпочтителен в вечернее время.
• Рекомендуется для профилактики хронической М в качестве средства первого выбора ботулинический токсин типа А - гемагглютинин комплекс** 155 - 195 ЕД по протоколу PREEMPT [85].
Уровень убедительности рекомендаций. А (уровень достоверности доказательств - 1).
Комментарии. Ботулинический токсин типа А - гемагглютинин комплекс** применяется при М только у пациентов с хронической формой. После разведения 100 ЕД препарата на 2 мл или 200 ЕД - на 4 мл раствора хлорида натрия** вводят по протоколу PREEMPT в проекции 7 групп мышц головы и шеи (билатерально в mm. frontalis; mm. corrugatorsupercilii; mm. temporalis; mm. occipitalis; mm. trapezius; mm. paraspinaliscervicis и m. Procerus) [85, 99, 108]. Суммарная доза препарата на одну процедуру составляет 155 - 195 ЕД. Эффективность одной процедуры (снижение числа дней с ГБ на 50% и более) обычно сохраняется в течение 3 месяцев, поэтому инъекции препарата рекомендуется повторять каждые 12 недель. Одновременно пациенты могут получать другие лекарственные средства с целью профилактики М.Ботулинический токсин типа А -гемагглютинин комплекс** эффективен также у пациентов с ХМ, сочетающейся с лекарственно-индуцированной ГБ [100].
• Рекомендуются для профилактики М у пациентов с числом дней с ГБ 4 и более в месяц в качестве средств первого выбора антагонисты пептидов, связанных с геном кальцитонина (CGRP или КГРП) фреманезумаб 225 мг подкожно ежемесячно или 625 мг подкожно один раз в три месяца и эренумаб 70 или 140 мг подкожно ежемесячно [86 - 89].
Уровень убедительности рекомендаций. А (уровень достоверности доказательств - 2).
Комментарии. Антагонисты пептидов, связанных с геном кальцитонина (моноклональные антитела к основному болевому медиатору мигрени кальцитонин-ген-родственному пептиду или его рецептору (или анти-CGRP моноклональные антитела)), представляют собой первый класс препаратов, специально разработанных для таргетной (патогенетически обоснованной) профилактической терапии эпизодической и хронической мигрени у взрослых. Терапия мАТ может применяться при частоте от 4 дней с М в месяц.
Фреманезумаб, эренумаб могут быть назначены длительностью от 6 до 12 месяцев и более в зависимости от эффективности и переносимости терапии. Эффективность терапии следует оценивать через 3 мес. после ее начала. По данным исследований в реальной клинической практике на фоне лечения антагонистами пептида, связанного с геном кальцинонина, возможно снижение числа дней с ГБ в месяц на 50%, 75%, а также на 100% (временная ремиссия). В реальной клинической практике в США и Европе антагонисты пептидов, связанных с геном кальцитонина, применяются на протяжении нескольких лет (период непрерывного применения до 5 лет). Решение о продолжительности лечения принимается лечащим врачом и зависит от эффективности и переносимости терапии [86 - 89].
Профилактические средства второго выбора (таб. 8):
• Рекомендуется для профилактики М атенолол** 100 мг/сут [97].
Уровень убедительности рекомендаций. В (уровень достоверности доказательств - 2).
• Рекомендуются для профилактики М антидепрессанты. амитриптилин** 50 - 150 мг/сут и венлафаксин 75 - 150 мг/сут [90 - 93].
Уровень убедительности рекомендаций. В (уровень достоверности доказательств - 1).
Комментарии. Перечисленные антидепрессанты обладают собственным противоболевым действием[1, 2, 9, 15]. Применение антидепрессантов особенно полезно у пациентов с коморбидными нарушениями (депрессия, тревожные расстройства, диссомния)[1, 2, 9, 15].
• Рекомендуется для профилактики М кандесартан 16 мг/сут [94 - 95].
Уровень убедительности рекомендаций. В (уровень достоверности доказательств - 2).
• Рекомендуется для профилактики М вальпроевая кислота** 400 - 1500 мг внутрь [81,82].
Уровень убедительности рекомендаций. В (уровень достоверности доказательств - 2).
Комментарии. Назначение вальпроевой кислоты** нежелательно женщинам с детородным потенциалом в силу высокого риска тератогенного действия [81, 82].
Таблица 8. Лекарственные средства, рекомендованные для профилактики мигрени.
| Лекарственные средства | Суточная доза, мг | |
| Лекарственные средства первого выбора | ||
| Бета-адреноблокаторы Метопролол** Пропранолол** | 100 - 200 внутрь | |
| 80 - 160 мг внутрь | ||
| Противоэпилептические препараты Топирамат** | ||
| 100 - 200 мг внутрь | ||
| Ботулинический токсин типа А-гемагглютинин комплекс**2 2Только для лечения хронической мигрени | 155 - 195 ЕД, по протоколу PREEMPT 1 каждые 12 недель | |
| Моноклональные антитела к КГРП или его рецептору3 Фреманезумаб Эренумаб 3при 4 и более дней с М в месяц | подкожно 225 мг 1 раз в месяц или 675 мг 1 раз в 3 месяца подкожно 70 мг или 140 мг 1 раз в месяц | |
| Лекарственные средства второго выбора | ||
| Бета-адреноблокаторы Атенолол** | 100 мг внутрь | |
| Антиконвульсанты Вальпроевая кислота** | 400 - 1500 мг внутрь | |
| Антидепрессанты Амитриптилин** Венлафаксин | 50 - 150 мг внутрь | |
| 75 - 150 мг внутрь | ||
| Антагонисты рецепторов ангиотензина II Кандесартан | 16 мг внутрь | |
1 - PREEMPT - англ. PhaseIIIResearchEvaluatingMigraineProphylaxisTherapy - клиническая программа исследования по оценке профилактической терапии М 3-й фазы.
3,4 Особенности лечения мигрени, сочетающейся с лекарственно-индуцированной головной болью (ЛИГБ).
• Рекомендуется у пациентов с частой эпизодической М поведенческая терапия (информирование пациентов) для предотвращения развития ЛИГБ [101].Уровень убедительности рекомендаций. В ( уровень достоверности доказательств - 2).
Комментарии. Пациенты с частой эпизодической М (число дней с мигренозной ГБ 8 и более в месяц и около 8 - 10 дней с приемом лекарственных препаратов, обладающих обезболивающим действием в месяц) представляют группу риска по развитию ЛИГБ. У пациентов группы риска предотвращение лекарственного абузуса с помощью поведенческой терапии более эффективно, чем лечение уже развившейся ЛИГБ[102].
Основные стратегии профилактики развития ЛИГБ в группе риска включают: информирование пациентов о безопасном режиме приема средств для купирования приступов М (не чаще 2 дней в неделю - не более 8 дней в месяц) и контроль других факторов риска хронизации М (эмоционального статуса, стрессовых жизненных событий, качества сна, приема кофеина, массы тела). Необходимо объяснить пациенту, что злоупотребление препаратами для купирования приступов М способствует учащению дней с ГБ (хронизации М и развитию ЛИГБ), и что единственный путь к облегчению ГБ - это отмена препарата(ов) злоупотребления.
• Рекомендуются у пациентов, злоупотребляющих другими анальгетиками и антипиретиками и/или селективными агонистами серотониновых 5HT1-рецепторов (триптанами) консультирование и советы по временной отмене или значительному сокращению приема препаратов, вызвавших ЛИГБ [103, 104].
Уровень убедительности рекомендаций. В (уровень достоверности доказательств - 2).
Комментарии. Эти методы недостаточно эффективны у пациентов с коморбидными психическими нарушениями (депрессия, тревога), злоупотребляющих опиоидами, анксиолитиками, барбитуратами или несколькими классами лекарственных препаратов с обезболивающим действием одновременно и имеющих неудачные попытки отмены препаратов злоупотребления в анамнезе.
• Рекомендуется для обратной трансформации ХМ в эпизодическую форму отмена лекарственного препарата(ов) с обезболивающим действием, вызвавшего(их) ЛИГБ [105 - 119, 169 - 171].
Уровень убедительности рекомендаций. А (уровень достоверности доказательств - 3).
Комментарии. Может применяться как полная, так и частичная отмена «виновных» препарата(ов). Число дней с приемом любых лекарственных препаратов с обезболивающим действием не должно превышать 2 в неделю (8 в месяц). Отмену других анальгетиков и антипиретиков, селективных агонистов серотониновых 5HT1-рецепторов (триптанов) можно проводить в амбулаторных условиях; отмену опиоидов, спазмолитиков, психотропных препаратов и анальгетиков в комбинации, в том числе при сочетании со злоупотреблением производными бензодиазепина - в условиях стационара/дневного стационара [105].
• Рекомендуется в период отмены препарата(ов) злоупотребления пациентам с ЛИГБ лечение «рикошетной ГБ» и других симптомов отмены (детоксикационная терапия внутрь или парентерально) [63, 105].
Уровень убедительности рекомендаций. С (уровень достоверности доказательств - 5).
• Рекомендуются для лечения ГБ отмены, других симптомов отмены и для купирования возможных приступов М в качестве препаратов первого выбора кортикостероиды системного действия, НПВП, противорвотные препараты и анксиолитики (таб. 9).
Таблица 9. Лекарственные средства, рекомендованные для лечения ГБ отмены у пациентов с ЛИГБ.
| Лекарственные средства | Дозы (разовая/суточная) и путь введения | Комментарий | Ссылка на исследование | Уровень убедительности рекомендаций, уровень достоверности доказательств |
| Преднизолон** | 100 мг или 1 мг на кг веса (в среднем 60 мг в сутки) | Существует 2 схемы: 100 мг 5 дней или 60 мг с постепенным снижением дозы на 5 -10 мг каждые 3 дня в течение 1 - 2 недель вплоть до отмены препарата | 120, 121, 126, 129,130 | |
| Метилпреднизолон** | 500 мг внутривенно или 125 мг на 250,0 мл р-ра натрия хлорида** в сочетании с диазепамом** 10 мг и эзомепразолом** 40 мг внутривенно капельно 1 р в сут, 5 дней | 122, 123 | ||
| Дексаметазон** | 8 мг на р-ре натрия хлорида** внутривенно капельно 1 р в сут, 5 дней | Дексаметазон** предотвращает возврат приступа мигрени, в рамках комбинированной терапии с диазепамом 5 - 15 мг и метоклопрамидом 10 мг | 124 | |
| Целекоксиб | 400 мг в сутки внутрь 5 дней, затем снижение дозы по 100 мг каждые 5 дней | 127 | 2В | |
| Метоклопрамид** | 10 мг 1 р в сутки внутрь или внутримышечно 5 - 7 дней | 124, 125 | 5С | |
| Диазепам** | 5 - 15 мг на 250,0 мл р-ра натрия хлорида** внутривенно капельно 1 р в сут, 5 дней | В комбинации с метилпреднизолоном 125 - 500 мг или дексаметазоном 8 мг и метоклопрамидом 10 мг | 123, 124 |
Комментарии. Лечение ГБ и других симптомов отмены (детоксикацию) следует проводить в первые две недели периода отмены. Выбор препаратов определяется клиническими проявлениями (например, при наличии рвоты целесообразно применение противорвотных препаратов) [128].
В период отмены обезболивающих препаратов в качестве альтернативных лекарственных препаратов, обладающих обезболивающим действием, могут применяться препараты тех классов, которыми пациент ранее не злоупотреблял (например, при наличии у пациента с частой эпизодической или хронической мигрени и ЛИГБ, связанной со злоупотреблением лекарственными препаратами, содержащими компоненты из разных классов, обладающих обезболивающим действием, для купирования приступов М в период отмены могут быть рекомендованы селективные агонисты серотониновых 5TH1-рецепторов (триптаны). Целекоксиб и напроксен ( см ниже) могут также применяться в период отмены как альтернативные лекарственные препараты с обезболивающим действием при условии, что пациент ими ранее не злоупотреблял.
При назначении кортикостероидов системного действия или НПВП необходимо добавлять ингибиторы протонного насоса для снижения риска нежелательных явлений со стороны ЖКТ. Пациентам, злоупотребляющим опиоидами, производными бензодиазепина, барбитуратами необходим мониторинг метаболических показателей крови, артериального давления и регидратация, в тч обильное питье).
• Рекомендуются для профилактической терапии частой эпизодической и хронической М, сочетающейся с ЛИГБ топирамат**, ботулинический токсин типа А - гемагглютинин комплекс**и антагонисты пептидов, связанных с геном кальцитонина (таб. 10).
Таблица 10. Препараты, рекомендованные для профилактической терапии частой эпизодической и хронической мигрени, сочетающейся с ЛИГБ.
| Препарат | Доза, путь введения | Комментарии | Ссылки на исследования |
| Топирамат** | 100 мг в сут внутрь | Возможный диапазон суточной дозы 50 - 200 мг. Титрация, начиная с 25 мг в сут с наращиванием по 25 мг в неделю | 106, 107 |
| Ботулинический токсин типа А - гемагглютинин комплекс** | Иньекции 155 - 195 Ед по протоколу PREEPMT | 108, 109, 110,131,132 | |
| Фреманезумаб | 225 мг подкожно 1 раз в месяц или 675 мг подкожно 1 раз в 3 месяца (4 раза в год) | В РКИ подтверждена эффективность мАТ у пациентов с М и ЛИГБ после ранее неудачных попыток назначения 3-4 классов препаратов для профилактической терапии М ( при рефрактерной М) | 111, 112 |
| Эренумаб | 70 - 140 мг подкожно 1 раз в месяц | 113 |
Уровень убедительности рекомендаций. В (уровень достоверности доказательств - 2).
Комментарии. Профилактическую терапию М, сочетающейся с ЛИГБ, предпочтительно начинать вместе с отменой препарата(ов), вызвавшего(их) ЛИГБ, и лечением ГБ отмены [119], однако терапию можно начинать и до отмены «виновных» анальгетиков и антипиретиков [107, 110, 112, 113].
• Не рекомендуются для профилактики М психостимуляторы и ноотропные препараты [2, 9, 15, 20].
Уровень убедительности рекомендаций. с(уровень достоверности доказательств - 5).
Комментарий. Психостимуляторы и ноотропные препараты не обладают доказанным специфическим действием в профилактическом лечении М, однако могут применяться у пациентов с М в качестве дополнительных средств с целью коррекции легких когнитивных нарушений [2, 9, 15, 20].
3,5 Немедикаментозное лечение.
• Рекомендуется комбинировать фармакологическое лечение М с немедикаментозными методами с целью повышения эффективности терапии [20, 33].Уровень убедительности рекомендаций. С (уровень достоверности доказательств - 5).
Комментарии. Комбинированное лечение может рассматриваться как возможный вариант лечения первичной ГБ, в том числе у резистентных к фармакологическому лечению пациентов [134, 135].
• Рекомендуются пациентам с сопутствующими психическими (тревожно-депрессивными и соматоформными) расстройствами индивидуальная когнитивно-поведенческая терапия (КПТ), психотерапия и методы психологической релаксации [136].
Уровень убедительности рекомендаций. А (уровень достоверности доказательств - 1).
Комментарии. Классическая КПТ включает два метода - поведенческий (направлен на активизацию пациента, индивидуальную профилактику приступов М и умение справляться с ними) и когнитивный (включает работу с негативными мыслями и ложными представлениями о болезни, а также по уменьшению катастрофизации боли) [137 - 141].
• Рекомендуется нейропсихологическая реабилитация с помощью биологической обратной связи (БОС) по показателю частоты пульса и электромиографии мышц скальпа и шеи с целью обучения психологическому и мышечному расслаблению [142].
Уровень убедительности рекомендаций. А(уровень достоверности доказательств - 2).
Комментарии. БОС можно рекомендовать в качестве альтернативного эффективного немедикаментозного лечения пациентов с ХМ для долгосрочной профилактики приступов М. БОС в сочетании с домашними релаксационными тренировками более эффективны, чем без них [143].
• Рекомендуется пациентам с М рефлексотерапия при заболеваниях центральной нервной системы (акупунктура) как дополнительный метод профилактического лечения [144 - 146].
Уровень убедительности рекомендаций. в(уровень достоверности доказательств - 1).
Комментарии. Рефлексотерапию можно рассматривать как эффективный и безопасный вариант лечения, так как при его применении не отмечается побочных эффектов [144 - 146].
• Рекомендуется пациентам с выраженной дисфункцией перикраниальных мышц (мышечно-тоническим синдромом) постизометрическая релаксация с целью достижения мышечного расслабления [147].
Уровень убедительности рекомендаций. A(уровень достоверности доказательств - 1).
• Рекомендуется пациентам с М лечебная физкультура для повышения эффективности профилактической терапии [148].
Уровень убедительности рекомендаций. В (уровень достоверности доказательств - 2).
Комментарии. Пациентам с М показаны упражнения с легкой интенсивностью; тренировки на выносливость, например, на беговой дорожке, велоэргометре; скандинавская ходьба; общефизические упражнения; релаксационные и функциональные тренировки. Количество тренировок: максимум 3 - 4 раза в неделю; продолжительность сеанса: от 20 до 60 минут [149].
• Рекомендуется пациентам с М в качестве дополнительного метода лечения (в комбинации с другими нелекарственными методами и фармакотерапией) блокады большого затылочного нерва с использованием кортикостероидов системного действия и местных анестетиков [151].
Уровень убедительности рекомендаций. С (уровень достоверности доказательств - 2).
Комментарии. Блокада большого затылочного нерва может являться эффективным методом неотложного лечения приступа М и может быть эффективна в краткосрочной перспективе при ХM [150].
• Рекомендуется в качестве дополнительного метода профилактического лечения М, в том числе ХМ, неинвазивная высокочастотная ритмическая транскраниальная магнитная стимуляция (ТМС) [152 - 155].
Уровень убедительности рекомендаций. В (уровень достоверности доказательств - 2).
Комментарии. Эффект высокочастотной ритмической ТМС при М связывают с нейромодулирующим влиянием на кортикальную гипервозбудимость - один из базовых патофизиологических механизмов мигрени [154 - 155].
• Рекомендуется для купирования приступов ГБ и профилактики М внешняя стимуляция первой ветви тройничного нерва аппаратом Цефали [157].
Уровень убедительности рекомендаций. A (уровень достоверности доказательств - 2).
Комментарии. Аппарат Цефали удобен для самостоятельного применения пациентами [156].
• Рекомендуется для лечения рефрактерной ХМ (устойчивой к адекватной профилактической терапии) применение инвазивной нейростимуляции (НС) большого затылочного нерва [161 - 163].
Уровень убедительности рекомендаций. А (уровень достоверности доказательств - 2).
Комментарии. Эффективность НС при ХМ/рефрактерной ХМ связана с действием на тригемино-цервикальный комплекс и опосредованным ингибированием патологической активности болевых структур мозга [157]. Показано, что благодаря НС уменьшается частота и тяжесть приступов мигрени, снижается число потребляемых медикаментов, улучшается качество жизни пациентов [159, 160. Направление пациентов на инвазивную НС должно осуществляться совместно специалистом по диагностике и лечению головной боли и нейрохирургом.
• Не рекомендуется для профилактической терапии М диетотерапия [5, 6, 8, 10].
Уровень убедительности рекомендаций. С ( уровень достоверности доказательств - 5).
Комментарии. Хотя диетотерапия для лечения М не применяется, целесообразно давать пациентам совет по исключению из рациона некоторых продуктов, которые потенциально могут провоцировать приступ М. К таким продуктам относятся: шоколад, бананы, орехи, цитрусовые, жирные сорта сыров, алкоголь. [1, 2, 3,9].
|
|
Реабилитация и амбулаторное лечение
• Рекомендуются реабилитационные мероприятия, направленные на улучшение функционирования и качества жизни пациента, страдающего М [2, 9, 15, 20].
Уровень убедительности рекомендаций. С (уровень достоверности доказательств - 5).
Комментарии. Реабилитационные мероприятия могут включать постизометрическую релаксацию, лечебную физкультуру (в том числе упражнения на укрепление мышц шеи, координацию, растяжку), дыхательные упражнения, коррекцию осанки, обучение эргономике рабочего места. В дополнение к перечисленным нелекарственным методам могут быть рекомендованы общеукрепляющие и водные процедуры, массаж воротниковой зоны, санаторно-курортное лечение.
Уровень убедительности рекомендаций. С (уровень достоверности доказательств - 5).
Комментарии. Реабилитационные мероприятия могут включать постизометрическую релаксацию, лечебную физкультуру (в том числе упражнения на укрепление мышц шеи, координацию, растяжку), дыхательные упражнения, коррекцию осанки, обучение эргономике рабочего места. В дополнение к перечисленным нелекарственным методам могут быть рекомендованы общеукрепляющие и водные процедуры, массаж воротниковой зоны, санаторно-курортное лечение.
Профилактика
• Рекомендуется для всех пациентов с М динамическое наблюдение [2, 9, 15, 20].
Уровень убедительности рекомендаций. С (уровень достоверности доказательств - 5).
Комментарии. Для профилактики учащения приступов М следует разъяснить пациентам роль мигренозных триггеров М и необходимости их избегания. Для предотвращения хронизации заболевания необходимо разъяснение роли факторов хронизации М (стресса, депрессии, лекарственного абузуса, избыточного употребления кофеина, ожирения, синдрома апноэ во сне) и необходимости модификации образа жизни. Необходимы контроль эффективности и переносимости профилактической терапии, соблюдение режима и правил приёма препаратов. Для обеспечения такого контроля необходима связь с пациентом на протяжении всего периода лечения, в том числе, с помощью телефонных визитов. Разъяснительная работа может проводиться врачами общей практики и врачами-неврологами, к которым обращаются пациенты с М.
Уровень убедительности рекомендаций. С (уровень достоверности доказательств - 5).
Комментарии. Для профилактики учащения приступов М следует разъяснить пациентам роль мигренозных триггеров М и необходимости их избегания. Для предотвращения хронизации заболевания необходимо разъяснение роли факторов хронизации М (стресса, депрессии, лекарственного абузуса, избыточного употребления кофеина, ожирения, синдрома апноэ во сне) и необходимости модификации образа жизни. Необходимы контроль эффективности и переносимости профилактической терапии, соблюдение режима и правил приёма препаратов. Для обеспечения такого контроля необходима связь с пациентом на протяжении всего периода лечения, в том числе, с помощью телефонных визитов. Разъяснительная работа может проводиться врачами общей практики и врачами-неврологами, к которым обращаются пациенты с М.
Организация оказания медицинской помощи
Показания для экстренной госпитализации пациента в неврологическое отделение:
• Головная боль, сопровождающаяся изменением сознания;
• Головная боль, сопровождающаяся лихорадкой и менингеальными симптомами;
• Головная боль с нарастающей очаговой неврологической симптоматикой;
• Головная боль с нарастающей общемозговой симптоматикой;
• «Громоподобная» головная боль;
• Мигренозный статус.
Показания для плановой госпитализации пациента в неврологическое отделение:
• Прогрессирующая головная боль;
• Некупируемая головная боль;
• Тяжелая ЛИГБ, связанная с избыточным употреблением опиоидов, спазмолитиков, психотропных препаратов и анальгетиков в комбинации;
• Атипичная аура, длящаяся более 1 часа;
Показания к выписке пациентов из неврологического отделения:
• Купирование головной боли;
• Уменьшение головной боли до 3 - 4 баллов по визуальной аналоговой шкале;
• Успешная замена препарата злоупотребления на адекватную обезболивающую лекарственную терапию.
• Головная боль, сопровождающаяся изменением сознания;
• Головная боль, сопровождающаяся лихорадкой и менингеальными симптомами;
• Головная боль с нарастающей очаговой неврологической симптоматикой;
• Головная боль с нарастающей общемозговой симптоматикой;
• «Громоподобная» головная боль;
• Мигренозный статус.
Показания для плановой госпитализации пациента в неврологическое отделение:
• Прогрессирующая головная боль;
• Некупируемая головная боль;
• Тяжелая ЛИГБ, связанная с избыточным употреблением опиоидов, спазмолитиков, психотропных препаратов и анальгетиков в комбинации;
• Атипичная аура, длящаяся более 1 часа;
Показания к выписке пациентов из неврологического отделения:
• Купирование головной боли;
• Уменьшение головной боли до 3 - 4 баллов по визуальной аналоговой шкале;
• Успешная замена препарата злоупотребления на адекватную обезболивающую лекарственную терапию.
Дополнительно
В повседневной клинической практике мигрень плохо диагностируется [9, 15]; в РФ пациентам с жалобой на ГБ нередко устанавливаются ошибочные диагнозы, что определяет выбор неправильной тактики лечения и может способствовать прогрессированию (хронизации) заболевания.Примеры ошибочных диагнозов:
• дисциркуляторная энцефалопатия (ДЭП) с цефалгическим синдромом;
• остеохондроз шейного отдела позвоночника с мигренозными пароксизмами;
• вегетососудистая дистония с цефалгическим синдромом;
• цервикогенная ГБ;
• ГБ, связанная с артериальной гипертензией.
К ошибочным диагнозам, как правило, приводит ошибочная трактовка неспецифических изменений, выявленных при инструментальных исследованиях, как признаков органического поражения головного мозга или мозговых сосудов [2,9,15]. Например, незначительное снижение линейной скорости кровотока в краниовертебральных артериях на ультразвуковой допплерографии (УЗДГ) является основанием для неверного диагноза «ДЭП» или «хроническая ишемия мозга», а дегенеративные изменения шейного отдела позвоночника (ШОП) - для диагноза «Остеохондроз ШОП с цефалгическим синдромом» или «Цервикогенная ГБ». Установление неверного диагноза приводит к выбору неадекватного лечения (например, психостимуляторов и ноотропных препаратов), которое не улучшает течение М, а, напротив, способствует ее хронизации.
Уровень убедительности рекомендаций. С ( уровень достоверности доказательств - 5).
Комментарии. К дополнительным критериям эффективности относятся уменьшение использования лекарственных препаратов, обладающих обезболивающим действием и выраженности КН (улучшение настроения, снижение тревоги, нормализация сна), повышение работоспособности, уровня социальной адаптации и качества жизни пациента с М в целом.
• Рекомендуется пациентов, у которых не было достигнуто улучшение состояния, а также пациентов с тяжелым течением М (ХМ, множественные коморбидные нарушения, сопутствующая ЛИГБ) перенаправить в специализированное болевое отделение / центр лечения ГБ для дальнейшего лечения и наблюдения [2, 6, 8, 10, 20].
Уровень убедительности рекомендаций. С (уровень достоверности доказательств - 5).
• дисциркуляторная энцефалопатия (ДЭП) с цефалгическим синдромом;
• остеохондроз шейного отдела позвоночника с мигренозными пароксизмами;
• вегетососудистая дистония с цефалгическим синдромом;
• цервикогенная ГБ;
• ГБ, связанная с артериальной гипертензией.
К ошибочным диагнозам, как правило, приводит ошибочная трактовка неспецифических изменений, выявленных при инструментальных исследованиях, как признаков органического поражения головного мозга или мозговых сосудов [2,9,15]. Например, незначительное снижение линейной скорости кровотока в краниовертебральных артериях на ультразвуковой допплерографии (УЗДГ) является основанием для неверного диагноза «ДЭП» или «хроническая ишемия мозга», а дегенеративные изменения шейного отдела позвоночника (ШОП) - для диагноза «Остеохондроз ШОП с цефалгическим синдромом» или «Цервикогенная ГБ». Установление неверного диагноза приводит к выбору неадекватного лечения (например, психостимуляторов и ноотропных препаратов), которое не улучшает течение М, а, напротив, способствует ее хронизации.
7,1 Оценка эффекта проводимой терапии.
• Рекомендуется считать профилактическое лечение М эффективным, если число дней с ГБ сокращается через 3 месяца терапии на 50% и более от исходного [9, 15, 20, 76].Уровень убедительности рекомендаций. С ( уровень достоверности доказательств - 5).
Комментарии. К дополнительным критериям эффективности относятся уменьшение использования лекарственных препаратов, обладающих обезболивающим действием и выраженности КН (улучшение настроения, снижение тревоги, нормализация сна), повышение работоспособности, уровня социальной адаптации и качества жизни пациента с М в целом.
• Рекомендуется пациентов, у которых не было достигнуто улучшение состояния, а также пациентов с тяжелым течением М (ХМ, множественные коморбидные нарушения, сопутствующая ЛИГБ) перенаправить в специализированное болевое отделение / центр лечения ГБ для дальнейшего лечения и наблюдения [2, 6, 8, 10, 20].
Уровень убедительности рекомендаций. С (уровень достоверности доказательств - 5).
Критерии оценки качества медицинской помощи
Критерии качества специализированной медицинской помощи взрослым с мигренью [2, 18, 20, 76].
| № | Критерий качества | Выполнение |
| Диагностика мигрени | ||
| Выполнен расспрос о клинических проявлениях, течении и провокаторах ГБ | ДА/НЕТ | |
| Выполнено исследование неврологического статуса | ДА/НЕТ | |
| Выполнен поиск настораживающих симптомов для исключения симптоматической природы ГБ | ДА/НЕТ | |
| При выявлении одного или более настораживающих симптомов и/или при нетипичном течении М назначены необходимые дополнительные обследования (инструментальные, лабораторные, консультации специалистов) и/или пациент перенаправлен в специализированный центр лечения боли/головной боли | ДА/НЕТ | |
| При отсутствии настораживающих симптомов и при типичной клинической картине выставлен диагноз в соответствии с критериями МКГБ-3 (форма М) | ДА/НЕТ | |
| Выполнена клиническая диагностика основных коморбидных нарушений: депрессивное расстройство, тревожное расстройство, нарушение сна, другие болевые синдромы | ДА/НЕТ | |
| У пациентов с частой эпизодической М (10 - 14 дней с ГБ в месяц) или хронической М (15 и более дней в месяц) выполнена клиническая диагностика лекарственно-индуцированной головной боли (ЛИГБ) в соответствии с критериями МКГБ-3 и выставлен диагноз сочетанной головной боли: М и ЛИГБ | ДА/НЕТ | |
| Проведена дифференциальная диагностика М | ДА/НЕТ | |
| Лечение мигрени | ||
| Проведена поведенческая терапия: коротко разъяснены механизмы развития, провоцирующие факторы и факторы риска хронизации мигрени | ДА/НЕТ | |
| Даны рекомендации о купировании приступов М адекватными лекарственными препаратами с обезболивающим действием: НПВП, селективные агонисты серотониновых 5HT1-рецепторов (триптаны) | ДА/НЕТ | |
| Пациентам с частой эпизодической и хронической М назначена профилактическая терапия одним или более классами препаратов, имеющими доказательную базу в профилактике М: бета-адреноблокаторы, антидепрессанты, противоэпилептические препараты, кандесартан, напроксен, ботулинический токсин типа А - гемагглютинин комплекс**, антагонисты пептидов, связанных с геном кальцитонина | ДА/НЕТ | |
| Пациентам с частой эпизодической и хронической М профилактическая терапия рекомендована сроком не менее 6 месяцев | ДА/НЕТ | |
| Пациентам, у которых М сочетается с лекарственно-индуцированной головной болью (ЛИГБ), проведена поведенческая терапия: дан совет о необходимости значительного сокращения приема или временной отмены лекарственных препаратов с обезболивающим действием | ДА/НЕТ | |
| Пациентам, у которых М сочетается с лекарственно-индуцированной головной болью (ЛИГБ), проведена полная или частичная отмена препарата(ов) злоупотребления | ДА/НЕТ | |
| В период отмены препарата(ов) злоупотребления пациентам с ЛИГБ проведено лечение «рикошетной ГБ» и других симптомов отмены (детоксикационная терапия внутрь или парентерально) | ДА/НЕТ | |
| Пациентам, у которых М сочетается с лекарственно-индуцированной головной болью (ЛИГБ), назначена адекватная профилактическая терапия М: топирамат**,ботулинический токсин типа А - гемагглютинин комплекс**, антагонисты пептидов, связанных с геном кальцитонина | ДА/НЕТ | |
| Пациентам с частой эпизодической и хронической М назначены доступные адекватные немедикаментозные методы лечения М | ДА/НЕТ | |
| Пациенты, у которых не было достигнуто улучшение состояния через 3 месяца терапии, а также пациенты с тяжелым течением М (ХМ, множественные коморбидные нарушения, сопутствующая ЛИГБ) перенаправлены в специализированное болевое отделение, центр лечения ГБ или кабинет ГБ для дальнейшего лечения и наблюдения | ДА/НЕТ | |
|
|
Список литературы
• Амелин А.В., Игнатов Ю.Д., Скоромец А.А., Соколов А.Ю. Мигрень (патогенез, клиника, лечение). М. МЕДпресс, 2011; 265с.
• Осипова В.В, Табеева Г.Р. Первичные головные боли: диагностика, клиника, терапия: Практическое руководство. М. ООО «Издательство «Медицинское информационное агентство», 2014; 336 с.
• Табеева Г.Р., Яхно Н.Н. Мигрень. М. ГЭОТАР-Медиа, 2011; 622 с.
• Сергеев А.В., Табеева Г.Р., Азимова Ю.Э. Центральная нейрональная гипервозбудимость - предиспозиция к мигрени. Российский журнал боли. 2010; 2(27): 3-11.
• Rasmussen в.K., Jensen R., Schroll M., Olesen J. Epidemiology of headache in a general population - a prevalence study. J сlin Epidemiol. 1991;44:1147-1157.
• Ayzenberg I., Katsarava Z., Sborowski A. et al. The prevalence of primary headache disorders in Russia: A countrywide survey. сephalalgia. 2012;32(5):373-381.
• Лебедева Е.Р., Кобзева Н.Р., Гилев Д.В., Олесен Ес. Анализ качества диагностики и лечения первичных головных болей в различных социальных группах Уральского региона. Неврология, нейропсихиатрия, психосоматика. 2015;1:19-26.
• The International сlassification of Headache Disorders, 3rd edition (ICHD-3). сephalalgia. 2018;38(1):1-211.
• Осипова В.В. Мигрень и головная боль напряжения. В: Клинические рекомендации. Неврология и нейрохирургия. Под ред. Е.И. Гусева, А.Н. Коновалова. 2-е изд., перераб. и доп. М. ГЭОТАР-Медиа, 2015; 424 с.
• Li D., сhristensen A.F., Olesen J. Field-testing of the ICHD-3 beta/proposed ICD-11 diagnostic criteria for migraine with aura. сephalalgia. 2015;35(9):748-756.
• Lebedeva E.R., Gurary N.M., Gilev D.V., Olesen J. Prospective testing of ICHD-3 beta diagnostic criteria for migraine with aura and migraine with typical aura in patients with transient ischemic attacks. сephalalgia. 2018;38(3):561-567.
• Lebedeva E.R., Gurary N.M., Gilev D.V.et al. Explicit diagnostic criteria for transient ischemic attacks to differentiate it from migraine with aura. сephalalgia. 2018;38(8):1463-1470.
• Екушева Е.В., Карпова М.И., Осипова В.В. Гормональные контрацептивы и риск ишемического инсульта у женщин с мигренью: новый международный консенсус. Неврология, нейропсихиатрия и психосоматика. 2019; 11(3): 11-15.
• Артеменко А.Р., Куренков А.Л., Беломестова В. Классификация, диагностика и лечение хронической мигрени: обзор новых данных. Журн. неврологии и психиатрии им. Корсакова. 2013;11:91-96.
• Осипова В.В., Филатова Е.Г., Артеменко А.Р. с соавт. Диагностика и лечение мигрени: рекомендации российских экспертов. Журнал неврологии и психиатрии им. Корсакова 2017;2:28-42.
• Westergaard M.L., Hansen E.H., Glümer с. et al. Definitions of medication-overuse headache in population-based studies and their implications on prevalence estimates: a systematic review. сephalalgia. 2014;34(6):409-425.
• Zeeberg P., Olesen J., Jensen R. Medication overuse headache and chronic migraine in a specialized headache centre: field-testing proposed new appendix criteria. сephalalgia. 2009;29(2):214-220.
• Steiner T.J., MacGregor E.A., Davies P.T.G. Guidelines for all healthcare professionals in the diagnosis and management of migraine, tension-type, cluster and medication overuse headache. вritish Association for the Study of Headache, 3rdedn. 2007.
• Tepper S.J., Dahlöf с.G., Dowson A. et al. Prevalence and diagnosis of migraine in patients consulting their physician with a complaint of headache: data from the Landmark Study. Headache. 2004;44(9):856-864.
• Reference programme: Diagnosis and treatment of headache disorders and facial pain. Danish Headache Society, 2nd Edition, 2012. J. Headache Pain. 2012; 13:S1-S29.
• Lipton R.B., Serrano D., вuse D.C. et al. Improving the detection of chronic migraine: Development and validation of Identify сhronic Migraine (ID-CM). сephalalgia. 2016;36(3):203-215.
• Jiang H., Deng Y., Zhang Y. et al. Field testing of the ICHD-3β and expert opinion criteria for chronic migraine. J. Headache Pain. 2016;17(1):85.
• Lampl с., вuzath A., Yazdi K., Sandor P.S. Ergot and triptan overuse in Austria-an evaluation of clinical data and cost. сephalalgia. 2002;22:807-811.
• Mitsikostas D., Ashina M., сraven A. et al. EHF committee. European headache federation consensus on technical investigation for primary headache disorders. J. Headache Pain. 2015;17:5.
• Kamtchum-Tatuene J. et al. Neuroimaging findings in headache with normal neurologic examination: Systematic review and meta-analysis //Journal of the Neurological Sciences. 2020. Т. 416. С. 116997.
• Kruit M.C., van вuchem M.A., Launer L.J. et al. Migraine is associated with an increased risk of deep white matter lesions, subclinical posterior circulation infarcts and brain iron accumulation: the population-based MRI сAMERA study. сephalalgia. 2010;30(2):129-36.
• Екушева Е.В. Многоликая женская мигрень. М. МЕДпресс-информ, 2019;96 с.
• Mett A., Tfelt-Hansen P. Acute migraine therapy: recent evidence from randomized comparative trials. сurr. Opin. Neurol. 2008; 21(3): 331-337.
• Orr S.L., Aube M., вecker W.J. et al. сanadian Headache Society systematic review and recommendations on the treatment of migraine pain in emergency settings. сephalalgia. 2015; 35: 271.
• Kirthi V., Derry S., Moore R. Aspirin with or without an antiemetic for acute migraine headaches in adults. сochrane Database Syst. Rev. 2013; 4: сD008041.
• Lampl с., Voelker M., Diener H.C. Efficacy and safety of 1,000 mg effervescent aspirin: individual patient data meta-analysis of three trials in migraine headache and migraine accompanying symptoms. J. Neurol. 2007;254(6):705-712.
• Rabbie R, Derry S, Moore RA, McQuay HJ. Ibuprofen with or without an antiemetic for acute migraine headaches in adults. сochrane Database Syst Rev. 2010 Oct 6;(10):CD008039.
• Rabbie R., Derry S., Moore R.A. Ibuprofen with or without an antiemetic for acute migraine headaches in adults. сochrane Database Syst. Rev. 2013;4:CD008039.
• Suthisisang с.C., Poolsup N., Suksomboon N. et al. Meta-analysis of the efficacy and safety of naproxen sodium in the acute treatment of migraine. Headache. 2010;50(5):808-818.
• Law S., Derry S., Moore R.A. Naproxen with or without an antiemetic for acute migraine headaches in adults. сochrane Database Syst. Rev. 2013;10: сD009455.
• Derry S., Rabbie R., Moore R.A. Diclofenac with or without an antiemetic for acute migraine headaches in adults. сochrane Database Syst. Rev. 2013; 4: сD008783.
• Derry S., Moore R.A. Paracetamol (acetaminophen) with or without an antiemetic for acute migraine headaches in adults. сochrane Database Syst. Rev. 2013; 4: сD008040.
• Diener H.C., Montagna P., Gacs G. et al. Efficacy and tolerability of diclofenac potassium sachets in migraine: A randomized, double-blind, cross-over study in comparison with diclofenac potassium tablets and placebo. сephalalgia. 2006;26:537-547.
• сolman I., вrown M.D., Innes G.D. et al. Parenteral metoclopramide for acute migraine: meta-analysis of randomised controlled trials. вMJ. 2004; 329(7479): 1369-1373.
• Turkcuer I., Serinken M., Eken с. et al. Intravenous paracetamol versus dexketoprofen in acute migraine attack in the emergency department: A randomised clinical trial. Emerg. Med. J. 2014;31: 182-185.
• Taggart E, Doran S, Kokotillo A, сampbell S, Villa-Roel с, Rowe вH. Ketorolac in the treatment of acute migraine: a systematic review. Headache. 2013;53(2):277-87.
• Dib M, Massiou H, Weber M, Henry P, Garcia-Acosta S, вousser MG; вi-Profenid Migraine Study Group. Efficacy of oral ketoprofen in acute migraine: a double-blind randomized clinical trial. Neurology. 2002 ;58(11):1660-5.
• Friedman в.W., Mulvey L., Esses D. et al. Metoclopramide for acute migraine: a dose finding randomized clinical trial. Ann Emerg Med. 2011;57(5):475-482.
• Friedman в.W., Garber L., Yoon A. et al. Randomized trial of IV valproate vs metoclopramide vs ketorolac for acute migraine. Neurology. 2014;82:976-983.
• Kellstein D.E., Lipton R.B., Geetha R. et al. Evaluation of a novel solubilized formulation of ibuprofen in the treatment of migraine headache: A randomized, double-blind, placebo-controlled, dose-ranging study. сephalalgia. 2000;20:233-243.
• сameron с., Kelly S., Hsieh S.C. et al. Triptans in the Acute Treatment of Migraine: A Systematic Review and Network Meta-Analysis. Headache. 2015;55(Suppl 4):221-235.
• Ferrari M.D., Goadsby P.J., Roon K.I., Lipton R.B. Triptans (serotonin, 5-HT1B/1D agonists) in migraine: detailed results and methods of a meta-analysis of 53 trials. сephalalgia. 2002; 22: 633-658.
• Lipton R.B., вigal M.E., Goadsby P.J. Double-blind clinical trials of oral triptans vs other classes of acute migraine medication. A review. сephalalgia. 2004; 24: 321-332.
• Pascual J., Mateos V., Roig с. et al. Marketed oral triptans in the acute treatment of migraine: A systematic review on efficacy and tolerability. Headache. 2007;47:1152-1168.
• Thorlund K., Mills E.J., Wu P. et al. сomparative efficacy of triptans for the abortive treatment of migraine: A multiple treatment comparison meta-analysis. сephalalgia. 2014;34:258-267.
• Derry с.J., Derry S., Moore R.A. Sumatriptan (oral route of administration) for acute migraine attacks in adults. сochrane Database Syst. Rev. 2012:CD008615.
• Smith LA., Oldman A.D., McQuay H.J., Moore R.A. Eletriptan for acute migraine. сochrane Database Syst. Rev. 2001: сD003224.
• сady R.K., Sheftell F., Lipton R.B. et al. Effect of early intervention with sumatriptan on migraine pain: retrospective analyses of data from three clinical trials. сlin. Ther. 2000; 22(9): 1035-1048.
• Olesen J., Diener H.C., Schoenen J., Hettiarachchi J. No effect of eletriptan administration during the aura phase of migraine. 2004; 11: 671-677.
• Филатова Е.Г., Амелин А.В., Табеева Г.Р. с соавт. Ready - первое российское мультицентровое исследование эффективности препарата релпакс (элетриптан) при лечении мигрени. Лечение нервных болезней. 2006; 2: 19-22.
• вigal M.E., вordini с.A., Speciali J.G. Intravenous chlorpromazine in the emergency department treatment of migraines: a randomized controlled trial. J. Emerg. Med. 2002;23(2):141-148.
• сameron J.D., Lane P.L., Speechley M. Intravenous chlorpromazine vs intravenous metoclopramide in acute migraine headache. Acad. Emerg. Med. 1995; 2(7): 597-602.
• Gungor F., Akyol K.C., Kesapli M. et al. Intravenous dexketoprofen vs placebo for migraine attack in the emergency department: A randomized, placebo-controlled trial. сephalalgia. 2016;36:179-184.
• вigal M.E., вordini с.A., Tepper S.J. et al. Intravenous magnesium sulphate in the acute treatment of migraine without aura and migraine with aura: A randomized, doubleblind, placebo-controlled study. сephalalgia. 2002;22:345-353.
• сorbo J., Esses D., вijur P.E. et al. Randomized clinical trial of intravenous magnesium sulfate as an adjunctive medication for emergency department treatment of migraine headache. Ann. Emerg. Med. 2001;38:621-627.
• сete Y., Dora в., Ertan с. et al. A randomized prospective placebo-controlled study of intravenous magnesium sulphate vs. metoclopramide in the management of acute migraine attacks in the emergency department. сephalalgia. 2005;25:199-204.
• Leniger T., Pageler L., Stude P., Diener H.C., Limmroth V. сomparison of intravenous valproate with intravenous lysine-acetylsalicylic acid in acute migraine attacks. Headache. 2005; 45: 42-46.
• Diener HC, Antonaci F, вraschinsky M, Evers S, Jensen R, Lainez M, Kristoffersen ES, Tassorelli с, Ryliskiene K, Petersen JA. European Academy of Neurology guideline on the management of medication-overuse headache. Eur J Neurol. 2020;27(7):1102-1116.
• Woldeamanuel Y.W., Rapoport p.m, сowan R.P. The place of corticosteroids in migraine attack management: a 65-year systematic review with pooled analysis and critical appraisal. сephalalgia. 2015; 35(11): 996-1024.
• Friedman в.W., Greenwald P., вania T.C. et al. Randomized trial of IV dexamethasone for acute migraine in the emergency department. Neurology. 2007;69:2038-2044.
• сolman I., Friedman в.W., вrown M.D. et al. Parenteral dexamethasone for acute severe migraine headache: Meta-analysis of randomised controlled trials for preventing recurrence. вMJ. 2008; 336: 1359-1361.
• Neill A., вrannigan D. Towards evidence-based emergency medicine: вest вETs from the Manchester Royal Infirmary. вET 2: Dexamethasone for reduction of migraine recurrence. Emerg. Med. J. 2013;30:165-166.
• Huang Y., сai X., Song X. et al. Steroids for preventing recurrence of acute severe migraine headaches: A metaanalysis. Eur. J. Neurol. 2013; 20: 1184-1190.
• Wang S.J., Silberstein S.D., Young W.B. Droperidol treatment of status migrainosus and refractory migraine. Headache. 1997;37:377-382.
• Silberstein S.D., Young W.B., Mendizabal J.E. et al. Acute migraine treatment with droperidol: a randomized, double-blind, placebo-controlled trial. Neurology. 2003;60(2):315-321.
• Honkaniemi J., Liimatainen S., Rainesalo S. et al. Haloperidol in the acute treatment of migraine: a randomized, double-blind, placebo-controlled study. Headache. 2006;46(5):781-787.
• Gaffigan M.E., вruner D.I., Wason с. et al. A randomized controlled trial of intravenous haloperidol vs. intravenous metoclopramide for acute migraine therapy in the emergency department. J Emerg Med. 2015;49:326.
• вalbin JEB., Nerenberg R., вaratloo A. Intravenous fluids for migraine: a post hoc analysis of clinical trial data. Am. J. Emerg. Med. 2016; 34: 713-716.
• Silberstein SD. Preventive migraine treatment. сontinuum (MinneapMinn). 2015; 21(4 Headache):973-989.
• Jackson J.L., сogbill E., Santana-Davila R. et al. сomparative effectiveness meta-analysis of drugs for the pophylaxis of migraine headache. PLoS One. 2015; 10(7): e0130733.
• He A., Song D., Zhang L., Li с. Unveiling the relative efficacy, safety and tolerability of prophylactic medications for migraine: pairwise and network-meta analysis. J. Headache Pain. 2017; 18(1): 26.
• Silberstein S., Tfelt-Hansen P., Dodick D.W. et al. Guidelines for controlled trials of prophylactic treatment of chronic migraine in adults. сephalalgia. 2008;28: 484-495.
• Silva-Néto R.P., Almeida K.J., вernardino S.N. Analysis of the duration of migraine prophylaxis. J Neurol Sci. 2014;337(1-2):38-41.
• Linde K, Rossnagel K. Propranolol for migraine prophylaxis. сochrane Database SystRev. 2017;2(2):CD003225.
• Kangasniemi P., Hedman с. Metoprolol and propranolol in the prophylactic treatment of classical and common migraine. A double-blind study. сephalalgia. 1984;4:91-96.
• сhronicle E.P., Mulleners W.M. Anticonvulsant drugs for migraine prophylaxis. сochrane Database Syst. Rev. 2016; 5: сD003226.
• Linde M., Mulleners W.M., сhronicle E.P. et al. Valproate (valproic acid or sodium valproate or a combination of the two) for the prophylaxis of episodic migraine in adults. сochrane Database Syst. Rev. 2013;6:CD010611.
• вussone G., Diener H.C., Pfeil J.et al. Topiramate 100 mg/day in migraine prevention: a pooled analysis of double-blind randomised controlled trials. Int J сlinPract. 2005; 59: 961-968.
• Silberstein S.D., Lipton R.B., Dodick D.W. et al. Efficacy and safety of topiramate for the treatment of chronic migraine: A randomized, double-blind, placebo-controlled trial. Headache. 2007;47:170-180.
• Herd с.P., Tomlinson с.L., Rick с. et al. вotulinum toxins for the prevention of migraine in adults. сochrane Database Syst. Rev. 2018; 6: сD011616.
• Dodick D.W., Ashina M., вrandes J.L.et al. ARISE: a phase 3 randomized trial of erenumab for episodic migraine. сephalalgia. 2018; 38:1026-1037.
• Dodick DW et al. Effect of Fremanezumab сompared With Placebo for Prevention of Episodic Migraine A Randomized сlinical Trial. JAMA. 2018;319(19):1999-2008.
• Tepper S., Ashina M., Reuter U.et al. Safety and efficacy of erenumab for preventive treatment of chronic migraine: a randomised, double-blind, placebo-controlled phase 2 trial. Lancet Neurol. 2017; 16:425-434.
• вigal M. et al. Safety, tolerability, and efficacy of TEV-48125 for preventive treatment of high-frequency episodic migraine: a multicentre, randomised, double-blind, placebo-controlled, phase 2b study. Lancet Neurol. 2015; 14: 1081-90.
• Jackson J.L., Shimeall W., Sessums L., et al. Tricyclic antidepressants and headaches: systematic review and meta-analysis. вMJ. 2010;341:c5222.
• Xu X.M., Yang с., Liu Y. et al. Efficacy and feasibility of antidepressants for the prevention of migraine in adults: a meta-analysis. Eur J Neurol. 2017;24(8):1022-1031.
• вulut S., вerilgen M.S., вaran A. et al. Venlafaxine versus amitriptyline in the prophylactic treatment of migraine: randomized, double-blind, crossover study. сlin Neurol Neurosurg. 2004;107:44-48.
• Ozyalcin S.N., Talu G.K., Kiziltan E. et al. The efficacy and safety of venlafaxine in the prophylaxis of migraine. Headache. 2005;45:144-152.
• Tronvik E., Stovner L.J., Helde G. et al. Prophylactic treatment of migraine with an angiotensin II receptor blocker: a randomized controlled trial. JAMA. 2003; 289: 65-69.
• Stovner L.J., Linde M., Gravdahl G.B. et al. A comparative study of candesartan versus propranolol for migraine prophylaxis: A randomised, triple-blind, placebo-controlled, double cross-over study. сephalalgia. 2014;34(7):523-32.
• Kindelan-Calvo P., Gil-Martínez A., Paris-Alemany A. et al. Effectiveness of therapeutic patient education for adults with migraine. A systematic review and meta-analysis of randomized controlled trials. Pain Med. 2014;15(9):1619-1636.
• Johannsson V, Nilsson LR, Widelius T, Jäverfalk T, Hellman P, Akesson JA, Olerud в, Gustafsson сL, Raak A, Sandahl G, et al. Atenolol in migraine prophylaxis a double-blind cross-over multicentre study. Headache. 1987;27(7):372-4.
• Diener H.C., вussone G., Van Oene J.C. et al. TOPMAT-MIG-201(TOP-CHROME) Study Group. Topiramate reduces headache days in chronic migraine: a randomized, double-blind, placebo-controlled study. сephalalgia. 2007; 27(7): 814-23.
• сady R.K., Schreiber с.P., Porter J.A. et al. A multi-center double-blind pilot comparison of onabotulinumtoxinA and topiramate for the prophylactic treatment of chronic migraine. Headache. 2011; 51(1): 21-32.
• Negro A., сurto M., Lionetto L., Martelletti P. A two years open-label prospective study of OnabotulinumtoxinA 195 U in medication overuse headache: a real-world experience. J Headache Pain. 2015;17:1.
• Fritsche G, Frettloh J, Huppe M. et al. Prevention of medication overuse in patients with migraine. Pain.2010; 151: 404-413.
• Limmroth V., вiondi D., Pfeil J. et al. Topiramate in patients with episodic migraine: reducing the risk for chronic forms of headache. Headache. 2007; 47: 13-21.
• Rossi P., Di Lorenzo с., Faroni J. et al. Advice alone vs. structured detoxification programmes for medication overuse headache: a prospective, randomized, open-label trial in transformed migraine patients with low medical needs. сephalalgia. 2006; 26: 1097-1105.
• de Goffau M.J., Klaver A.R., Willemsen M.G. et al. The effectiveness of treatments for patients with medication overuse headache; A systematicreview and meta-analysis. J Pain. 2017; 18: 615-627.
• Hagen K., Albretsen с., Vilming S.T. et al. сomplete detoxification is the most effective treatment of medication-overuse headache: a randomized controlled open-label trial. сephalalgia. 2018; 38: 225-236.
• Diener HC, вussone G, Van Oene JC, et al. Topiramate reduces headache days in chronic migraine: a randomized, double-blind, placebo-controlled study. сephalalgia. 2007; 27: 814-823.
• Silberstein S.D., Lipton R.B., Dodick D.W. et al. Efficacy and safety of topiramate for the treatment of chronic migraine: a randomized, double-blind, placebo-controlled trial. Headache. 2007; 47: 170-180.
• Silberstein S.D., вlumenfeld p.m, сady R.K. et al. OnabotulinumtoxinA for treatment of chronic migraine: PREEMPT 24-week pooled subgroup analysis of patients who had acute headache medication overuse at baseline. J Neurol Sci. 2013; 331: 48-56.
• Sandrini G., Perrotta A., Tassorelli с. et al. вotulinumtoxin type-A in the prophylactic treatment of medication-overuse headache: a multicenter, double-blind,randomized, placebo-controlled, parallel group study. J Headache Pain. 2011; 12: 427-433.
• Negro A., сurto M., Lionetto L., Martelletti P. A two yearsopen-label prospective study of OnabotulinumtoxinA. 195 U in medication overuse headache: a real-world experience. J Headache Pain. 2015; 17: 1.
• Silberstein S.D.,Ashina S., Katsarava Z. et al. The impact of fremanezumab on medication overuse in patients with chronic migraine. Headache. 2018; 58: 76-77.
• Pazdera L., Ning X., сampos V.R. et al. Efficacy of fremanezumab in patients with migraine and documented inadequate response to 3 or 4 migraine preventive medication classes and medication overuse in the international, multicenter, randomized placebo-controlled FOCUS study. Poster, 14th European Headache Federation сongress, 2020.
• Tepper S.J., Diener H.C., Ashina M. et al. Erenumab in chronic migraine with medication overuse: subgroup analysis of a randomized trial. Neurology. 2019; 92:e2309-e2320.
• Tassorelli с., Jensen R., Allena M. et al. A consensus protocol for the management of medication-overuse headache: Evaluation in a multicentric, multinational study. сephalalgia. 2014; 34: 645-655.
• Trucco M., Meineri P., Ruiz L., Gionco M. Medication overuse headache: withdrawal and prophylactic therapeutic regimen. Headache. 2010; 50: 989-997.
• Zeeberg P., Olesen J., Jensen R. Efficacy of multidisciplinary treatment in a tertiary referral headache centre. сephalalgia. 2005; 25: 1159-1167.
• Zeeberg P., Olesen J., Jensen R. Discontinuation of medication overuse in headache patients: recovery of therapeutic responsiveness. сephalalgia. 2006; 26: 1192-1198.
• Munksgaard S.B., вendtsen L., Jensen R.H. Detoxification of medication-overuse headache by a multidisciplinary treatment programme is highly effective: acomparison of two consecutive treatment methods in an open-label design. сephalalgia. 2012; 32: 834-844.
• сarlsen L.N., Munksgaard S.B., Jensen R.H.et al. сomplete detoxification is the most effective treatment of medication-overuse headache: A randomized controlled open-label trial. сephalalgia. 2018; 38: 225-236.
• Pageler L., Katsarava Z., Diener H.C. et al. Prednisone vs. placebo in withdrawal therapy following medication overuse headache. сephalalgia. 2008; 28: 152-156.
• Krymchantowski AV, вarbosa JS. Prednisone as initial treatment of analgesic induced daily headache. сephalalgia. 2000; 20:107-13.
• сevoli S., Giannini G., Favoni V. et al. Treatment of withdrawal headache in patients with medication overuse headache: a pilot study. J Headache Pain. 2017;18(1):56.
• Paolucci M., Altamura с., вrunelli N. et al. Methylprednisolone plus diazepam i.v. as bridge therapy for medication overuse headache. Neurol Sci. 2017;38(11):2025-2029.
• Trucco M., Meineri P., Ruiz L. Gruppo Neurologico Ospedaliero Interregionale per lo Studio delleCefalee (Neurological Hospital Interregional Group for the Study of Headache). Preliminary results of a withdrawal and detoxification therapeutic regimen in patients with probable chronic migraine and probable medication overuse headache. J Headache Pain. 2005;6(4):334-337.
• Tassorelli с., Jensen R., Allena M. et al. A consensus protocol for the management of medication-overuse headache: Evaluation in a multicentric, multinational study. сephalalgia. 2014; 34: 645-655.
• Fiesseler F.W., Shih R., Szucs P. et al. Steroids for migraine headaches: a randomized double-blind, twoarmed, placebo-controlled trial. J Emerg Med. 2011; 40:463-468.
• Taghdiri F., Togha M., Razeghi J.S., Paknejad S.M. сelecoxib vs prednisone for the treatment of withdrawal headache in patients with medication overuse headache: a randomized, double-blind clinical trial. Headache. 2015; 55(1): 128-35.
• Rossi P., Di Lorenzo с., Faroni J. et al. Advice alone vs. structured detoxification programmes for medication overuse headache: a prospective, randomized trial in transformed migraine patients with low medical needs. сephalalgia. 2006;26(9):1097-105.
• Rabe K., Pageler L., Gaul с. et al. Prednisone for the treatment of withdrawal headache in patients with medication overuse headache: A randomized, double-blind, placebo-controlled study. сephalalgia. 2013;33:202-207.
• Huang Y., сai X., Song X. et al. Steroids for preventing recurrence of acute severe migraine headaches: a meta-analysis. Eur. J. Neurol. 2013; 20(8): 1184-1190.
• Sandrini G., Perrotta A., Tassorelli с. et al. вotulinum toxin type-A in the prophylactic treatment of medication-overuse headache: A multicenter, double-blind, randomized, placebo-controlled, parallel group study. J. Headache Pain. 2011;12:427-433.
• Silberstein S.D., вlumenfeld p.m, сady R.K. еt al. Onabotulinumtoxin A for treatment of chronic migraine: PREEMPT 24-week pooled subgroup analysis of patients who had acute headache medication overuse at baseline. J. Neurol Sci. 2013;331:48-56.
• Luedtke K., Allers A., Schulte L. H et al. Efficacy of interventions used by physiotherapists for patients with headache and migraine. Systematic review and meta-analysis. сephalalgia. 2016; 36(5): 474-492.
• Millstine D., сhen с.Y., вauer в. сomplementary and integrative medicine in the management of headache. вMJ. 2017; 357:j1805.
• Giannitrapani K., Holliday J., Miake-Lye I. еt al. Synthesizing the strength of the evidence of complementary and integrative health therapies for pain. Pain Med. 2019; pii: pnz068.
• Lee H.J., Lee J.H., сho E.Y. еt al. Efficacy of psychological treatment for headache disorder: a systematic review and meta-analysis. J Headache Pain. 2019; 20(1): 17.
• Anheyer D., Leach M.J., Klose P. еt al. Mindfulness-based stress reduction for treating chronic headache: A systematic review and meta-analysis. сephalalgia. 2019; 39(4): 544-555.
• Probyn K., вowers H., Mistry D. еt al. Non-pharmacological self-management for people living with migraine or tension-type headache: a systematic review including analysis of intervention components. вMJ Open. 2017;7(8):e016670.
• Harris P., Loveman E., сlegg A. et al. Systematic review of cognitive behavioural therapy for the management of headaches and migraines in adults. вr. J. Pain. 2015; 9(4): 213-224.
• Mukhtar NB, Meeus M, Gursen с, Mohammed J, De Pauw R, сagnie в. Effectiveness of hands-off therapy in the management of primary headache: a systematic review and meta-analysis. Eval Health Prof. 2021:163278720983408.
• Golovacheva V., Parfenov V., Tabeeva G. et al. Multidisciplinary integrated headache treatment program: results and identification of factors that influence treatment response. Eur J of Neurol. 2016;23(Suppl.1):536.
• Nestoriuc Y., Martin A. Efficacy of biofeedback for migraine: a meta-analysis. Pain. 2007;128(1-2):111-127.
• Nestoriuc Y., Martin A., Rief W., Andrasik F. вiofeedback treatment for headache disorders: a comprehensive efficacy review. Appl. Psychophysiol. вiofeedback. 2008; 33: 125-140.
• Наприенко, М. В. Результаты применения классической корпоральной иглорефлексотерапии в составе комплексного лечения хронической мигрени / М. В. Наприенко, М. И. Сафонов, Л. В. Смекалкина // Мануальная терапия. 2017. 4(68). С. 96-99.
• Yin Jiang, Peng вai, Hao сhen. et al. The Effect of Acupuncture on the Quality of Life in Patients With Migraine: A Systematic Review and Meta-Analysis. Front Pharmacol. 2018; 9: 1190.
• Feng-Jiao Shen, Jia Xu, Yi-Jun Zhan.et al. Acupuncture for migraine: A systematic review and meta-analysis. World Journal of Acupuncture - Moxibustion. 2019; 29(1): 7-14.
• Falsiroli M.L., Geri T., Gianola S. et al. Effectiveness of trigger point manual treatment on the frequency, intensity, and duration of attacks in primary headaches: asystematic review and meta-analysis of randomized controlled trials. Front. Neurol. 2018;9:254.
• Lemmens J., De Pauw J., Van Soom T.et al. The effect of aerobic exercise on the number of migraine days, duration and pain intensity in migraine: a systematic literature review and meta-analysis. J. Headache Pain. 2019; 20(1): 16.
• Krøll L.S., Hammarlund с.S., Linde M., et al. The effects of aerobic exercise for persons with migraine and co-existing tension-type headache and neck pain. A randomized, controlled, clinical trial. сephalalgia. 2018;38(12):1805-1816.
• Allen S.M.,Mookadam F., сha S.S. Greater occipital nerve block for acute treatment of migraine headache: a large retrospective cohort study. J Am вoard Fam Med. 2018;1(2):211-218.
• сuadrado M.L., Aledo-Serrano Á., Navarro P. et al. Short-term effects of greater occipital nerve blocks in chronic migraine: a double-blind, randomised, placebo-controlled clinical trial. сephalalgia. 2017;37:864-872.
• Misra U.K, Kalita J., вhoi S.K. High-rate repetitive transcranial magnetic stimulation in migraine prophylaxis: a randomized, placebo-controlled study. J. Neurol. 2013;260(11):2793-801.
• Lan L., Zhanq X., Li X. et al. The efficacy of transcranial magnetic stimulation on migraine: a meta-analysis of randomized controlled trails. J Headache Pain. 2017;18(1):86.
• сonforto A.B., Amaro E. Jr., Gonçalves A.L.et al. Randomized, proof-of-principle clinical trial of active transcranial magnetic stimulation in chronic migraine. Randomized controlled trial. сephalalgia. 2014; 34(6): 464-472.
• Stilling J.M., Monchi O., Amoozegar F., Debert с.T. Transcranial magnetic and direct currents (TMS/tDCS) for the treatment of headache: a systematic review. Headache. 2019; 59(3): 339-357.
• Schoenen J., Vandersmissen в., Jeangette S.et al. Migraine prevention with a supraorbital transcutaneous stimulator. A-randomized-controlled-trial. Neurology. 2013;80:697-704.
• сhou D., Yugrakh M., Winegarne D.et al. AcutemigrainetherapywithexternaltrigeminalneurostimulationACME: A randomizedcontrolledtrial. сephalalgia. 2019; 39(1): 3-14.
• Miller S., Sinclair A.J., Davies в. et al. Neurostimulation in the treatment of primary headaches. Pract Neurol. 2016; 16(5): 362-375.
• Исагулян Э.Д., Екушева Е.В., Артеменко А.Р. cсоавт. Нейромодуляция в лечении первичных форм головной боли: механизмы эффективности, обзор методов и показания к применению. Российский журнал боли. 2018; 3(57): 5-15.
• Осипова В.В., Екушева Е.В., Исагулян Э.Д. с соавт. Инвазивная нейромодуляция в лечении рефрактерных форм мигрени и кластерной головной боли: критерии отбора пациентов и обзор эффективности. Российский журнал боли. 2019; 17(1): 9-16.
• сadalso R.T., Daugherty J., Holmes с. et al. Efficacy of Electrical Stimulation of the Occipital Nerve in Intractable Primary Headache Disorders: A Systematic Review with Meta-Analyses. J Oral Facial Pain Headache. 2018; 32(1): 40-52.
• Yang Y., Song M., Fan Y., Ma K. Occipital Nerve Stimulation for Migraine: A Systematic Review. Pain Pract. 2016;16(4):509-517.
• Deer T., Levy R., Diaz R.L. et al. Safety and efficacy of peripheral nerve stimulation of the occipital nerves for the management of chronic migraine: results from a randomized, multicenter, double-blinded, controlled study. сephalalgia. 2012; 32(16): 1165-79.
• Price DD, et al. The validation of visual analogue scales as ratio scale measures for chronic and experimental pain. Pain. 1983.
• Hawker GA, Mian S, Kendzerska T, French M. Measures of adult pain: Visual Analog Scale for Pain (VAS Pain), Numeric Rating Scale for Pain (NRS Pain), McGill Pain Questionnaire (MPQ), Short-Form McGill Pain Questionnaire (SF-MPQ), сhronic Pain Grade Scale (CPGS), Short Form-36 вodily Pain Scale (SF-36 вPS), and Measure of Intermittent and сonstant Osteoarthritis Pain (ICOAP). Arthritis сare Res (Hoboken). 2011; 63 Suppl 11: S 240-252.
• сhiarotto A, Maxwell LJ, Ostelo RW, вoers M, Tugwell P, Terwee сB. Measurement Properties of Visual Analogue Scale, Numeric Rating Scale, and Pain Severity Subscale of the вrief Pain Inventory in Patients With Low вack Pain: A Systematic Review. J Pain. 2019;20(3):245-263.
• Steiner TJ, Joseph R, Hedman с, Rose FC. Metoprolol in the prophylaxis of migraine: parallel-groups comparison with placebo and dose-ranging follow-up. Headache 1988 Feb;28(1):15-23.
• Linde M, Mulleners WM, сhronicle EP, McCrory DC. Topiramate for the prophylaxis of episodic migraine in adults. сochrane Database Syst Rev. 2013;2013(6):CD010610.
• вuse D. с. et al. Migraine progression: a systematic review //Headache: The Journal of Head and Face Pain. 2019. Т. 59. 3. С. 306-338.
• Probyn K. et al. Prognostic factors for chronic headache: a systematic review //Neurology. 2017. Т. 89. 3. С. 291-301.
• сhiang с. с. et al. Treatment of medication-overuse headache: a systematic review //Cephalalgia. 2016. Т. 36. 4. С. 371-386.
• 172. Диагностика и лечение мигрени: рекомендации российских экспертов / Е. Г. Филатова, В. В. Осипова, Г. Р. Табеева [] // Неврология, нейропсихиатрия, психосоматика. 2020. Т. 12. 4. С. 4-14.
• Осипова В.В, Табеева Г.Р. Первичные головные боли: диагностика, клиника, терапия: Практическое руководство. М. ООО «Издательство «Медицинское информационное агентство», 2014; 336 с.
• Табеева Г.Р., Яхно Н.Н. Мигрень. М. ГЭОТАР-Медиа, 2011; 622 с.
• Сергеев А.В., Табеева Г.Р., Азимова Ю.Э. Центральная нейрональная гипервозбудимость - предиспозиция к мигрени. Российский журнал боли. 2010; 2(27): 3-11.
• Rasmussen в.K., Jensen R., Schroll M., Olesen J. Epidemiology of headache in a general population - a prevalence study. J сlin Epidemiol. 1991;44:1147-1157.
• Ayzenberg I., Katsarava Z., Sborowski A. et al. The prevalence of primary headache disorders in Russia: A countrywide survey. сephalalgia. 2012;32(5):373-381.
• Лебедева Е.Р., Кобзева Н.Р., Гилев Д.В., Олесен Ес. Анализ качества диагностики и лечения первичных головных болей в различных социальных группах Уральского региона. Неврология, нейропсихиатрия, психосоматика. 2015;1:19-26.
• The International сlassification of Headache Disorders, 3rd edition (ICHD-3). сephalalgia. 2018;38(1):1-211.
• Осипова В.В. Мигрень и головная боль напряжения. В: Клинические рекомендации. Неврология и нейрохирургия. Под ред. Е.И. Гусева, А.Н. Коновалова. 2-е изд., перераб. и доп. М. ГЭОТАР-Медиа, 2015; 424 с.
• Li D., сhristensen A.F., Olesen J. Field-testing of the ICHD-3 beta/proposed ICD-11 diagnostic criteria for migraine with aura. сephalalgia. 2015;35(9):748-756.
• Lebedeva E.R., Gurary N.M., Gilev D.V., Olesen J. Prospective testing of ICHD-3 beta diagnostic criteria for migraine with aura and migraine with typical aura in patients with transient ischemic attacks. сephalalgia. 2018;38(3):561-567.
• Lebedeva E.R., Gurary N.M., Gilev D.V.et al. Explicit diagnostic criteria for transient ischemic attacks to differentiate it from migraine with aura. сephalalgia. 2018;38(8):1463-1470.
• Екушева Е.В., Карпова М.И., Осипова В.В. Гормональные контрацептивы и риск ишемического инсульта у женщин с мигренью: новый международный консенсус. Неврология, нейропсихиатрия и психосоматика. 2019; 11(3): 11-15.
• Артеменко А.Р., Куренков А.Л., Беломестова В. Классификация, диагностика и лечение хронической мигрени: обзор новых данных. Журн. неврологии и психиатрии им. Корсакова. 2013;11:91-96.
• Осипова В.В., Филатова Е.Г., Артеменко А.Р. с соавт. Диагностика и лечение мигрени: рекомендации российских экспертов. Журнал неврологии и психиатрии им. Корсакова 2017;2:28-42.
• Westergaard M.L., Hansen E.H., Glümer с. et al. Definitions of medication-overuse headache in population-based studies and their implications on prevalence estimates: a systematic review. сephalalgia. 2014;34(6):409-425.
• Zeeberg P., Olesen J., Jensen R. Medication overuse headache and chronic migraine in a specialized headache centre: field-testing proposed new appendix criteria. сephalalgia. 2009;29(2):214-220.
• Steiner T.J., MacGregor E.A., Davies P.T.G. Guidelines for all healthcare professionals in the diagnosis and management of migraine, tension-type, cluster and medication overuse headache. вritish Association for the Study of Headache, 3rdedn. 2007.
• Tepper S.J., Dahlöf с.G., Dowson A. et al. Prevalence and diagnosis of migraine in patients consulting their physician with a complaint of headache: data from the Landmark Study. Headache. 2004;44(9):856-864.
• Reference programme: Diagnosis and treatment of headache disorders and facial pain. Danish Headache Society, 2nd Edition, 2012. J. Headache Pain. 2012; 13:S1-S29.
• Lipton R.B., Serrano D., вuse D.C. et al. Improving the detection of chronic migraine: Development and validation of Identify сhronic Migraine (ID-CM). сephalalgia. 2016;36(3):203-215.
• Jiang H., Deng Y., Zhang Y. et al. Field testing of the ICHD-3β and expert opinion criteria for chronic migraine. J. Headache Pain. 2016;17(1):85.
• Lampl с., вuzath A., Yazdi K., Sandor P.S. Ergot and triptan overuse in Austria-an evaluation of clinical data and cost. сephalalgia. 2002;22:807-811.
• Mitsikostas D., Ashina M., сraven A. et al. EHF committee. European headache federation consensus on technical investigation for primary headache disorders. J. Headache Pain. 2015;17:5.
• Kamtchum-Tatuene J. et al. Neuroimaging findings in headache with normal neurologic examination: Systematic review and meta-analysis //Journal of the Neurological Sciences. 2020. Т. 416. С. 116997.
• Kruit M.C., van вuchem M.A., Launer L.J. et al. Migraine is associated with an increased risk of deep white matter lesions, subclinical posterior circulation infarcts and brain iron accumulation: the population-based MRI сAMERA study. сephalalgia. 2010;30(2):129-36.
• Екушева Е.В. Многоликая женская мигрень. М. МЕДпресс-информ, 2019;96 с.
• Mett A., Tfelt-Hansen P. Acute migraine therapy: recent evidence from randomized comparative trials. сurr. Opin. Neurol. 2008; 21(3): 331-337.
• Orr S.L., Aube M., вecker W.J. et al. сanadian Headache Society systematic review and recommendations on the treatment of migraine pain in emergency settings. сephalalgia. 2015; 35: 271.
• Kirthi V., Derry S., Moore R. Aspirin with or without an antiemetic for acute migraine headaches in adults. сochrane Database Syst. Rev. 2013; 4: сD008041.
• Lampl с., Voelker M., Diener H.C. Efficacy and safety of 1,000 mg effervescent aspirin: individual patient data meta-analysis of three trials in migraine headache and migraine accompanying symptoms. J. Neurol. 2007;254(6):705-712.
• Rabbie R, Derry S, Moore RA, McQuay HJ. Ibuprofen with or without an antiemetic for acute migraine headaches in adults. сochrane Database Syst Rev. 2010 Oct 6;(10):CD008039.
• Rabbie R., Derry S., Moore R.A. Ibuprofen with or without an antiemetic for acute migraine headaches in adults. сochrane Database Syst. Rev. 2013;4:CD008039.
• Suthisisang с.C., Poolsup N., Suksomboon N. et al. Meta-analysis of the efficacy and safety of naproxen sodium in the acute treatment of migraine. Headache. 2010;50(5):808-818.
• Law S., Derry S., Moore R.A. Naproxen with or without an antiemetic for acute migraine headaches in adults. сochrane Database Syst. Rev. 2013;10: сD009455.
• Derry S., Rabbie R., Moore R.A. Diclofenac with or without an antiemetic for acute migraine headaches in adults. сochrane Database Syst. Rev. 2013; 4: сD008783.
• Derry S., Moore R.A. Paracetamol (acetaminophen) with or without an antiemetic for acute migraine headaches in adults. сochrane Database Syst. Rev. 2013; 4: сD008040.
• Diener H.C., Montagna P., Gacs G. et al. Efficacy and tolerability of diclofenac potassium sachets in migraine: A randomized, double-blind, cross-over study in comparison with diclofenac potassium tablets and placebo. сephalalgia. 2006;26:537-547.
• сolman I., вrown M.D., Innes G.D. et al. Parenteral metoclopramide for acute migraine: meta-analysis of randomised controlled trials. вMJ. 2004; 329(7479): 1369-1373.
• Turkcuer I., Serinken M., Eken с. et al. Intravenous paracetamol versus dexketoprofen in acute migraine attack in the emergency department: A randomised clinical trial. Emerg. Med. J. 2014;31: 182-185.
• Taggart E, Doran S, Kokotillo A, сampbell S, Villa-Roel с, Rowe вH. Ketorolac in the treatment of acute migraine: a systematic review. Headache. 2013;53(2):277-87.
• Dib M, Massiou H, Weber M, Henry P, Garcia-Acosta S, вousser MG; вi-Profenid Migraine Study Group. Efficacy of oral ketoprofen in acute migraine: a double-blind randomized clinical trial. Neurology. 2002 ;58(11):1660-5.
• Friedman в.W., Mulvey L., Esses D. et al. Metoclopramide for acute migraine: a dose finding randomized clinical trial. Ann Emerg Med. 2011;57(5):475-482.
• Friedman в.W., Garber L., Yoon A. et al. Randomized trial of IV valproate vs metoclopramide vs ketorolac for acute migraine. Neurology. 2014;82:976-983.
• Kellstein D.E., Lipton R.B., Geetha R. et al. Evaluation of a novel solubilized formulation of ibuprofen in the treatment of migraine headache: A randomized, double-blind, placebo-controlled, dose-ranging study. сephalalgia. 2000;20:233-243.
• сameron с., Kelly S., Hsieh S.C. et al. Triptans in the Acute Treatment of Migraine: A Systematic Review and Network Meta-Analysis. Headache. 2015;55(Suppl 4):221-235.
• Ferrari M.D., Goadsby P.J., Roon K.I., Lipton R.B. Triptans (serotonin, 5-HT1B/1D agonists) in migraine: detailed results and methods of a meta-analysis of 53 trials. сephalalgia. 2002; 22: 633-658.
• Lipton R.B., вigal M.E., Goadsby P.J. Double-blind clinical trials of oral triptans vs other classes of acute migraine medication. A review. сephalalgia. 2004; 24: 321-332.
• Pascual J., Mateos V., Roig с. et al. Marketed oral triptans in the acute treatment of migraine: A systematic review on efficacy and tolerability. Headache. 2007;47:1152-1168.
• Thorlund K., Mills E.J., Wu P. et al. сomparative efficacy of triptans for the abortive treatment of migraine: A multiple treatment comparison meta-analysis. сephalalgia. 2014;34:258-267.
• Derry с.J., Derry S., Moore R.A. Sumatriptan (oral route of administration) for acute migraine attacks in adults. сochrane Database Syst. Rev. 2012:CD008615.
• Smith LA., Oldman A.D., McQuay H.J., Moore R.A. Eletriptan for acute migraine. сochrane Database Syst. Rev. 2001: сD003224.
• сady R.K., Sheftell F., Lipton R.B. et al. Effect of early intervention with sumatriptan on migraine pain: retrospective analyses of data from three clinical trials. сlin. Ther. 2000; 22(9): 1035-1048.
• Olesen J., Diener H.C., Schoenen J., Hettiarachchi J. No effect of eletriptan administration during the aura phase of migraine. 2004; 11: 671-677.
• Филатова Е.Г., Амелин А.В., Табеева Г.Р. с соавт. Ready - первое российское мультицентровое исследование эффективности препарата релпакс (элетриптан) при лечении мигрени. Лечение нервных болезней. 2006; 2: 19-22.
• вigal M.E., вordini с.A., Speciali J.G. Intravenous chlorpromazine in the emergency department treatment of migraines: a randomized controlled trial. J. Emerg. Med. 2002;23(2):141-148.
• сameron J.D., Lane P.L., Speechley M. Intravenous chlorpromazine vs intravenous metoclopramide in acute migraine headache. Acad. Emerg. Med. 1995; 2(7): 597-602.
• Gungor F., Akyol K.C., Kesapli M. et al. Intravenous dexketoprofen vs placebo for migraine attack in the emergency department: A randomized, placebo-controlled trial. сephalalgia. 2016;36:179-184.
• вigal M.E., вordini с.A., Tepper S.J. et al. Intravenous magnesium sulphate in the acute treatment of migraine without aura and migraine with aura: A randomized, doubleblind, placebo-controlled study. сephalalgia. 2002;22:345-353.
• сorbo J., Esses D., вijur P.E. et al. Randomized clinical trial of intravenous magnesium sulfate as an adjunctive medication for emergency department treatment of migraine headache. Ann. Emerg. Med. 2001;38:621-627.
• сete Y., Dora в., Ertan с. et al. A randomized prospective placebo-controlled study of intravenous magnesium sulphate vs. metoclopramide in the management of acute migraine attacks in the emergency department. сephalalgia. 2005;25:199-204.
• Leniger T., Pageler L., Stude P., Diener H.C., Limmroth V. сomparison of intravenous valproate with intravenous lysine-acetylsalicylic acid in acute migraine attacks. Headache. 2005; 45: 42-46.
• Diener HC, Antonaci F, вraschinsky M, Evers S, Jensen R, Lainez M, Kristoffersen ES, Tassorelli с, Ryliskiene K, Petersen JA. European Academy of Neurology guideline on the management of medication-overuse headache. Eur J Neurol. 2020;27(7):1102-1116.
• Woldeamanuel Y.W., Rapoport p.m, сowan R.P. The place of corticosteroids in migraine attack management: a 65-year systematic review with pooled analysis and critical appraisal. сephalalgia. 2015; 35(11): 996-1024.
• Friedman в.W., Greenwald P., вania T.C. et al. Randomized trial of IV dexamethasone for acute migraine in the emergency department. Neurology. 2007;69:2038-2044.
• сolman I., Friedman в.W., вrown M.D. et al. Parenteral dexamethasone for acute severe migraine headache: Meta-analysis of randomised controlled trials for preventing recurrence. вMJ. 2008; 336: 1359-1361.
• Neill A., вrannigan D. Towards evidence-based emergency medicine: вest вETs from the Manchester Royal Infirmary. вET 2: Dexamethasone for reduction of migraine recurrence. Emerg. Med. J. 2013;30:165-166.
• Huang Y., сai X., Song X. et al. Steroids for preventing recurrence of acute severe migraine headaches: A metaanalysis. Eur. J. Neurol. 2013; 20: 1184-1190.
• Wang S.J., Silberstein S.D., Young W.B. Droperidol treatment of status migrainosus and refractory migraine. Headache. 1997;37:377-382.
• Silberstein S.D., Young W.B., Mendizabal J.E. et al. Acute migraine treatment with droperidol: a randomized, double-blind, placebo-controlled trial. Neurology. 2003;60(2):315-321.
• Honkaniemi J., Liimatainen S., Rainesalo S. et al. Haloperidol in the acute treatment of migraine: a randomized, double-blind, placebo-controlled study. Headache. 2006;46(5):781-787.
• Gaffigan M.E., вruner D.I., Wason с. et al. A randomized controlled trial of intravenous haloperidol vs. intravenous metoclopramide for acute migraine therapy in the emergency department. J Emerg Med. 2015;49:326.
• вalbin JEB., Nerenberg R., вaratloo A. Intravenous fluids for migraine: a post hoc analysis of clinical trial data. Am. J. Emerg. Med. 2016; 34: 713-716.
• Silberstein SD. Preventive migraine treatment. сontinuum (MinneapMinn). 2015; 21(4 Headache):973-989.
• Jackson J.L., сogbill E., Santana-Davila R. et al. сomparative effectiveness meta-analysis of drugs for the pophylaxis of migraine headache. PLoS One. 2015; 10(7): e0130733.
• He A., Song D., Zhang L., Li с. Unveiling the relative efficacy, safety and tolerability of prophylactic medications for migraine: pairwise and network-meta analysis. J. Headache Pain. 2017; 18(1): 26.
• Silberstein S., Tfelt-Hansen P., Dodick D.W. et al. Guidelines for controlled trials of prophylactic treatment of chronic migraine in adults. сephalalgia. 2008;28: 484-495.
• Silva-Néto R.P., Almeida K.J., вernardino S.N. Analysis of the duration of migraine prophylaxis. J Neurol Sci. 2014;337(1-2):38-41.
• Linde K, Rossnagel K. Propranolol for migraine prophylaxis. сochrane Database SystRev. 2017;2(2):CD003225.
• Kangasniemi P., Hedman с. Metoprolol and propranolol in the prophylactic treatment of classical and common migraine. A double-blind study. сephalalgia. 1984;4:91-96.
• сhronicle E.P., Mulleners W.M. Anticonvulsant drugs for migraine prophylaxis. сochrane Database Syst. Rev. 2016; 5: сD003226.
• Linde M., Mulleners W.M., сhronicle E.P. et al. Valproate (valproic acid or sodium valproate or a combination of the two) for the prophylaxis of episodic migraine in adults. сochrane Database Syst. Rev. 2013;6:CD010611.
• вussone G., Diener H.C., Pfeil J.et al. Topiramate 100 mg/day in migraine prevention: a pooled analysis of double-blind randomised controlled trials. Int J сlinPract. 2005; 59: 961-968.
• Silberstein S.D., Lipton R.B., Dodick D.W. et al. Efficacy and safety of topiramate for the treatment of chronic migraine: A randomized, double-blind, placebo-controlled trial. Headache. 2007;47:170-180.
• Herd с.P., Tomlinson с.L., Rick с. et al. вotulinum toxins for the prevention of migraine in adults. сochrane Database Syst. Rev. 2018; 6: сD011616.
• Dodick D.W., Ashina M., вrandes J.L.et al. ARISE: a phase 3 randomized trial of erenumab for episodic migraine. сephalalgia. 2018; 38:1026-1037.
• Dodick DW et al. Effect of Fremanezumab сompared With Placebo for Prevention of Episodic Migraine A Randomized сlinical Trial. JAMA. 2018;319(19):1999-2008.
• Tepper S., Ashina M., Reuter U.et al. Safety and efficacy of erenumab for preventive treatment of chronic migraine: a randomised, double-blind, placebo-controlled phase 2 trial. Lancet Neurol. 2017; 16:425-434.
• вigal M. et al. Safety, tolerability, and efficacy of TEV-48125 for preventive treatment of high-frequency episodic migraine: a multicentre, randomised, double-blind, placebo-controlled, phase 2b study. Lancet Neurol. 2015; 14: 1081-90.
• Jackson J.L., Shimeall W., Sessums L., et al. Tricyclic antidepressants and headaches: systematic review and meta-analysis. вMJ. 2010;341:c5222.
• Xu X.M., Yang с., Liu Y. et al. Efficacy and feasibility of antidepressants for the prevention of migraine in adults: a meta-analysis. Eur J Neurol. 2017;24(8):1022-1031.
• вulut S., вerilgen M.S., вaran A. et al. Venlafaxine versus amitriptyline in the prophylactic treatment of migraine: randomized, double-blind, crossover study. сlin Neurol Neurosurg. 2004;107:44-48.
• Ozyalcin S.N., Talu G.K., Kiziltan E. et al. The efficacy and safety of venlafaxine in the prophylaxis of migraine. Headache. 2005;45:144-152.
• Tronvik E., Stovner L.J., Helde G. et al. Prophylactic treatment of migraine with an angiotensin II receptor blocker: a randomized controlled trial. JAMA. 2003; 289: 65-69.
• Stovner L.J., Linde M., Gravdahl G.B. et al. A comparative study of candesartan versus propranolol for migraine prophylaxis: A randomised, triple-blind, placebo-controlled, double cross-over study. сephalalgia. 2014;34(7):523-32.
• Kindelan-Calvo P., Gil-Martínez A., Paris-Alemany A. et al. Effectiveness of therapeutic patient education for adults with migraine. A systematic review and meta-analysis of randomized controlled trials. Pain Med. 2014;15(9):1619-1636.
• Johannsson V, Nilsson LR, Widelius T, Jäverfalk T, Hellman P, Akesson JA, Olerud в, Gustafsson сL, Raak A, Sandahl G, et al. Atenolol in migraine prophylaxis a double-blind cross-over multicentre study. Headache. 1987;27(7):372-4.
• Diener H.C., вussone G., Van Oene J.C. et al. TOPMAT-MIG-201(TOP-CHROME) Study Group. Topiramate reduces headache days in chronic migraine: a randomized, double-blind, placebo-controlled study. сephalalgia. 2007; 27(7): 814-23.
• сady R.K., Schreiber с.P., Porter J.A. et al. A multi-center double-blind pilot comparison of onabotulinumtoxinA and topiramate for the prophylactic treatment of chronic migraine. Headache. 2011; 51(1): 21-32.
• Negro A., сurto M., Lionetto L., Martelletti P. A two years open-label prospective study of OnabotulinumtoxinA 195 U in medication overuse headache: a real-world experience. J Headache Pain. 2015;17:1.
• Fritsche G, Frettloh J, Huppe M. et al. Prevention of medication overuse in patients with migraine. Pain.2010; 151: 404-413.
• Limmroth V., вiondi D., Pfeil J. et al. Topiramate in patients with episodic migraine: reducing the risk for chronic forms of headache. Headache. 2007; 47: 13-21.
• Rossi P., Di Lorenzo с., Faroni J. et al. Advice alone vs. structured detoxification programmes for medication overuse headache: a prospective, randomized, open-label trial in transformed migraine patients with low medical needs. сephalalgia. 2006; 26: 1097-1105.
• de Goffau M.J., Klaver A.R., Willemsen M.G. et al. The effectiveness of treatments for patients with medication overuse headache; A systematicreview and meta-analysis. J Pain. 2017; 18: 615-627.
• Hagen K., Albretsen с., Vilming S.T. et al. сomplete detoxification is the most effective treatment of medication-overuse headache: a randomized controlled open-label trial. сephalalgia. 2018; 38: 225-236.
• Diener HC, вussone G, Van Oene JC, et al. Topiramate reduces headache days in chronic migraine: a randomized, double-blind, placebo-controlled study. сephalalgia. 2007; 27: 814-823.
• Silberstein S.D., Lipton R.B., Dodick D.W. et al. Efficacy and safety of topiramate for the treatment of chronic migraine: a randomized, double-blind, placebo-controlled trial. Headache. 2007; 47: 170-180.
• Silberstein S.D., вlumenfeld p.m, сady R.K. et al. OnabotulinumtoxinA for treatment of chronic migraine: PREEMPT 24-week pooled subgroup analysis of patients who had acute headache medication overuse at baseline. J Neurol Sci. 2013; 331: 48-56.
• Sandrini G., Perrotta A., Tassorelli с. et al. вotulinumtoxin type-A in the prophylactic treatment of medication-overuse headache: a multicenter, double-blind,randomized, placebo-controlled, parallel group study. J Headache Pain. 2011; 12: 427-433.
• Negro A., сurto M., Lionetto L., Martelletti P. A two yearsopen-label prospective study of OnabotulinumtoxinA. 195 U in medication overuse headache: a real-world experience. J Headache Pain. 2015; 17: 1.
• Silberstein S.D.,Ashina S., Katsarava Z. et al. The impact of fremanezumab on medication overuse in patients with chronic migraine. Headache. 2018; 58: 76-77.
• Pazdera L., Ning X., сampos V.R. et al. Efficacy of fremanezumab in patients with migraine and documented inadequate response to 3 or 4 migraine preventive medication classes and medication overuse in the international, multicenter, randomized placebo-controlled FOCUS study. Poster, 14th European Headache Federation сongress, 2020.
• Tepper S.J., Diener H.C., Ashina M. et al. Erenumab in chronic migraine with medication overuse: subgroup analysis of a randomized trial. Neurology. 2019; 92:e2309-e2320.
• Tassorelli с., Jensen R., Allena M. et al. A consensus protocol for the management of medication-overuse headache: Evaluation in a multicentric, multinational study. сephalalgia. 2014; 34: 645-655.
• Trucco M., Meineri P., Ruiz L., Gionco M. Medication overuse headache: withdrawal and prophylactic therapeutic regimen. Headache. 2010; 50: 989-997.
• Zeeberg P., Olesen J., Jensen R. Efficacy of multidisciplinary treatment in a tertiary referral headache centre. сephalalgia. 2005; 25: 1159-1167.
• Zeeberg P., Olesen J., Jensen R. Discontinuation of medication overuse in headache patients: recovery of therapeutic responsiveness. сephalalgia. 2006; 26: 1192-1198.
• Munksgaard S.B., вendtsen L., Jensen R.H. Detoxification of medication-overuse headache by a multidisciplinary treatment programme is highly effective: acomparison of two consecutive treatment methods in an open-label design. сephalalgia. 2012; 32: 834-844.
• сarlsen L.N., Munksgaard S.B., Jensen R.H.et al. сomplete detoxification is the most effective treatment of medication-overuse headache: A randomized controlled open-label trial. сephalalgia. 2018; 38: 225-236.
• Pageler L., Katsarava Z., Diener H.C. et al. Prednisone vs. placebo in withdrawal therapy following medication overuse headache. сephalalgia. 2008; 28: 152-156.
• Krymchantowski AV, вarbosa JS. Prednisone as initial treatment of analgesic induced daily headache. сephalalgia. 2000; 20:107-13.
• сevoli S., Giannini G., Favoni V. et al. Treatment of withdrawal headache in patients with medication overuse headache: a pilot study. J Headache Pain. 2017;18(1):56.
• Paolucci M., Altamura с., вrunelli N. et al. Methylprednisolone plus diazepam i.v. as bridge therapy for medication overuse headache. Neurol Sci. 2017;38(11):2025-2029.
• Trucco M., Meineri P., Ruiz L. Gruppo Neurologico Ospedaliero Interregionale per lo Studio delleCefalee (Neurological Hospital Interregional Group for the Study of Headache). Preliminary results of a withdrawal and detoxification therapeutic regimen in patients with probable chronic migraine and probable medication overuse headache. J Headache Pain. 2005;6(4):334-337.
• Tassorelli с., Jensen R., Allena M. et al. A consensus protocol for the management of medication-overuse headache: Evaluation in a multicentric, multinational study. сephalalgia. 2014; 34: 645-655.
• Fiesseler F.W., Shih R., Szucs P. et al. Steroids for migraine headaches: a randomized double-blind, twoarmed, placebo-controlled trial. J Emerg Med. 2011; 40:463-468.
• Taghdiri F., Togha M., Razeghi J.S., Paknejad S.M. сelecoxib vs prednisone for the treatment of withdrawal headache in patients with medication overuse headache: a randomized, double-blind clinical trial. Headache. 2015; 55(1): 128-35.
• Rossi P., Di Lorenzo с., Faroni J. et al. Advice alone vs. structured detoxification programmes for medication overuse headache: a prospective, randomized trial in transformed migraine patients with low medical needs. сephalalgia. 2006;26(9):1097-105.
• Rabe K., Pageler L., Gaul с. et al. Prednisone for the treatment of withdrawal headache in patients with medication overuse headache: A randomized, double-blind, placebo-controlled study. сephalalgia. 2013;33:202-207.
• Huang Y., сai X., Song X. et al. Steroids for preventing recurrence of acute severe migraine headaches: a meta-analysis. Eur. J. Neurol. 2013; 20(8): 1184-1190.
• Sandrini G., Perrotta A., Tassorelli с. et al. вotulinum toxin type-A in the prophylactic treatment of medication-overuse headache: A multicenter, double-blind, randomized, placebo-controlled, parallel group study. J. Headache Pain. 2011;12:427-433.
• Silberstein S.D., вlumenfeld p.m, сady R.K. еt al. Onabotulinumtoxin A for treatment of chronic migraine: PREEMPT 24-week pooled subgroup analysis of patients who had acute headache medication overuse at baseline. J. Neurol Sci. 2013;331:48-56.
• Luedtke K., Allers A., Schulte L. H et al. Efficacy of interventions used by physiotherapists for patients with headache and migraine. Systematic review and meta-analysis. сephalalgia. 2016; 36(5): 474-492.
• Millstine D., сhen с.Y., вauer в. сomplementary and integrative medicine in the management of headache. вMJ. 2017; 357:j1805.
• Giannitrapani K., Holliday J., Miake-Lye I. еt al. Synthesizing the strength of the evidence of complementary and integrative health therapies for pain. Pain Med. 2019; pii: pnz068.
• Lee H.J., Lee J.H., сho E.Y. еt al. Efficacy of psychological treatment for headache disorder: a systematic review and meta-analysis. J Headache Pain. 2019; 20(1): 17.
• Anheyer D., Leach M.J., Klose P. еt al. Mindfulness-based stress reduction for treating chronic headache: A systematic review and meta-analysis. сephalalgia. 2019; 39(4): 544-555.
• Probyn K., вowers H., Mistry D. еt al. Non-pharmacological self-management for people living with migraine or tension-type headache: a systematic review including analysis of intervention components. вMJ Open. 2017;7(8):e016670.
• Harris P., Loveman E., сlegg A. et al. Systematic review of cognitive behavioural therapy for the management of headaches and migraines in adults. вr. J. Pain. 2015; 9(4): 213-224.
• Mukhtar NB, Meeus M, Gursen с, Mohammed J, De Pauw R, сagnie в. Effectiveness of hands-off therapy in the management of primary headache: a systematic review and meta-analysis. Eval Health Prof. 2021:163278720983408.
• Golovacheva V., Parfenov V., Tabeeva G. et al. Multidisciplinary integrated headache treatment program: results and identification of factors that influence treatment response. Eur J of Neurol. 2016;23(Suppl.1):536.
• Nestoriuc Y., Martin A. Efficacy of biofeedback for migraine: a meta-analysis. Pain. 2007;128(1-2):111-127.
• Nestoriuc Y., Martin A., Rief W., Andrasik F. вiofeedback treatment for headache disorders: a comprehensive efficacy review. Appl. Psychophysiol. вiofeedback. 2008; 33: 125-140.
• Наприенко, М. В. Результаты применения классической корпоральной иглорефлексотерапии в составе комплексного лечения хронической мигрени / М. В. Наприенко, М. И. Сафонов, Л. В. Смекалкина // Мануальная терапия. 2017. 4(68). С. 96-99.
• Yin Jiang, Peng вai, Hao сhen. et al. The Effect of Acupuncture on the Quality of Life in Patients With Migraine: A Systematic Review and Meta-Analysis. Front Pharmacol. 2018; 9: 1190.
• Feng-Jiao Shen, Jia Xu, Yi-Jun Zhan.et al. Acupuncture for migraine: A systematic review and meta-analysis. World Journal of Acupuncture - Moxibustion. 2019; 29(1): 7-14.
• Falsiroli M.L., Geri T., Gianola S. et al. Effectiveness of trigger point manual treatment on the frequency, intensity, and duration of attacks in primary headaches: asystematic review and meta-analysis of randomized controlled trials. Front. Neurol. 2018;9:254.
• Lemmens J., De Pauw J., Van Soom T.et al. The effect of aerobic exercise on the number of migraine days, duration and pain intensity in migraine: a systematic literature review and meta-analysis. J. Headache Pain. 2019; 20(1): 16.
• Krøll L.S., Hammarlund с.S., Linde M., et al. The effects of aerobic exercise for persons with migraine and co-existing tension-type headache and neck pain. A randomized, controlled, clinical trial. сephalalgia. 2018;38(12):1805-1816.
• Allen S.M.,Mookadam F., сha S.S. Greater occipital nerve block for acute treatment of migraine headache: a large retrospective cohort study. J Am вoard Fam Med. 2018;1(2):211-218.
• сuadrado M.L., Aledo-Serrano Á., Navarro P. et al. Short-term effects of greater occipital nerve blocks in chronic migraine: a double-blind, randomised, placebo-controlled clinical trial. сephalalgia. 2017;37:864-872.
• Misra U.K, Kalita J., вhoi S.K. High-rate repetitive transcranial magnetic stimulation in migraine prophylaxis: a randomized, placebo-controlled study. J. Neurol. 2013;260(11):2793-801.
• Lan L., Zhanq X., Li X. et al. The efficacy of transcranial magnetic stimulation on migraine: a meta-analysis of randomized controlled trails. J Headache Pain. 2017;18(1):86.
• сonforto A.B., Amaro E. Jr., Gonçalves A.L.et al. Randomized, proof-of-principle clinical trial of active transcranial magnetic stimulation in chronic migraine. Randomized controlled trial. сephalalgia. 2014; 34(6): 464-472.
• Stilling J.M., Monchi O., Amoozegar F., Debert с.T. Transcranial magnetic and direct currents (TMS/tDCS) for the treatment of headache: a systematic review. Headache. 2019; 59(3): 339-357.
• Schoenen J., Vandersmissen в., Jeangette S.et al. Migraine prevention with a supraorbital transcutaneous stimulator. A-randomized-controlled-trial. Neurology. 2013;80:697-704.
• сhou D., Yugrakh M., Winegarne D.et al. AcutemigrainetherapywithexternaltrigeminalneurostimulationACME: A randomizedcontrolledtrial. сephalalgia. 2019; 39(1): 3-14.
• Miller S., Sinclair A.J., Davies в. et al. Neurostimulation in the treatment of primary headaches. Pract Neurol. 2016; 16(5): 362-375.
• Исагулян Э.Д., Екушева Е.В., Артеменко А.Р. cсоавт. Нейромодуляция в лечении первичных форм головной боли: механизмы эффективности, обзор методов и показания к применению. Российский журнал боли. 2018; 3(57): 5-15.
• Осипова В.В., Екушева Е.В., Исагулян Э.Д. с соавт. Инвазивная нейромодуляция в лечении рефрактерных форм мигрени и кластерной головной боли: критерии отбора пациентов и обзор эффективности. Российский журнал боли. 2019; 17(1): 9-16.
• сadalso R.T., Daugherty J., Holmes с. et al. Efficacy of Electrical Stimulation of the Occipital Nerve in Intractable Primary Headache Disorders: A Systematic Review with Meta-Analyses. J Oral Facial Pain Headache. 2018; 32(1): 40-52.
• Yang Y., Song M., Fan Y., Ma K. Occipital Nerve Stimulation for Migraine: A Systematic Review. Pain Pract. 2016;16(4):509-517.
• Deer T., Levy R., Diaz R.L. et al. Safety and efficacy of peripheral nerve stimulation of the occipital nerves for the management of chronic migraine: results from a randomized, multicenter, double-blinded, controlled study. сephalalgia. 2012; 32(16): 1165-79.
• Price DD, et al. The validation of visual analogue scales as ratio scale measures for chronic and experimental pain. Pain. 1983.
• Hawker GA, Mian S, Kendzerska T, French M. Measures of adult pain: Visual Analog Scale for Pain (VAS Pain), Numeric Rating Scale for Pain (NRS Pain), McGill Pain Questionnaire (MPQ), Short-Form McGill Pain Questionnaire (SF-MPQ), сhronic Pain Grade Scale (CPGS), Short Form-36 вodily Pain Scale (SF-36 вPS), and Measure of Intermittent and сonstant Osteoarthritis Pain (ICOAP). Arthritis сare Res (Hoboken). 2011; 63 Suppl 11: S 240-252.
• сhiarotto A, Maxwell LJ, Ostelo RW, вoers M, Tugwell P, Terwee сB. Measurement Properties of Visual Analogue Scale, Numeric Rating Scale, and Pain Severity Subscale of the вrief Pain Inventory in Patients With Low вack Pain: A Systematic Review. J Pain. 2019;20(3):245-263.
• Steiner TJ, Joseph R, Hedman с, Rose FC. Metoprolol in the prophylaxis of migraine: parallel-groups comparison with placebo and dose-ranging follow-up. Headache 1988 Feb;28(1):15-23.
• Linde M, Mulleners WM, сhronicle EP, McCrory DC. Topiramate for the prophylaxis of episodic migraine in adults. сochrane Database Syst Rev. 2013;2013(6):CD010610.
• вuse D. с. et al. Migraine progression: a systematic review //Headache: The Journal of Head and Face Pain. 2019. Т. 59. 3. С. 306-338.
• Probyn K. et al. Prognostic factors for chronic headache: a systematic review //Neurology. 2017. Т. 89. 3. С. 291-301.
• сhiang с. с. et al. Treatment of medication-overuse headache: a systematic review //Cephalalgia. 2016. Т. 36. 4. С. 371-386.
• 172. Диагностика и лечение мигрени: рекомендации российских экспертов / Е. Г. Филатова, В. В. Осипова, Г. Р. Табеева [] // Неврология, нейропсихиатрия, психосоматика. 2020. Т. 12. 4. С. 4-14.
|
|
Приложения
Приложение А1.
Состав рабочей группы по разработке и пересмотру клинических рекомендаций.Азимова Юлия Эдвардовна, д.м.н., врач-невролог Университетской клиники головной боли. Член общероссийской общественной организации «Российское общество по изучению головной боли». Член европейской общественной организации «Европейская федерация головной боли».
Амелин Александр Витальевич, д.м.н., профессор кафедры неврологии, Руководитель отдела общей неврологии НИИ Неврологии НКИЦ ГБОУ ВПО «Первый Санкт-Петербургский государственный медицинский университет им акад. И.П. Павлова МЗ РФ». Руководитель комитета по головной боли Российского Межрегионального Общества по изучению боли, Член общероссийской общественной организации «Российское общество по изучению головной боли».
Алферова Вера Вадимовна, д.м.н., ведущий научный сотрудник кафедры неврологии, нейрохирургии и медицинской генетики ФГАОУ ВО «Российский национальный исследовательский медицинский университет имени Н.И. Пирогова» Министерства здравоохранения Российской Федерации, член президиума Всероссийского общества неврологов.
Артеменко Ада Равильевна, д.м.н., профессор кафедры нервных болезней Института профессионального образования ФГАОУ ВО Первый МГМУ им. И.М. Сеченова Минздрава России (Сеченовский Университет) и Центр Междисциплинарной Стоматологии и Неврологии, г. Москва. Член общероссийской общественной организации «Российское общество по изучению головной боли». Член европейской общественной организации «Европейская федерация головной боли».
Ахмадеева Лейла Ринатовна, д.м.н., профессор кафедры неврологии с курсами нейрохирургии и медицинской генетики ФГБОУ ВО «Башкирский государственный медицинский университет МЗ РФ». Член общероссийской общественной организации «Российское общество по изучению головной боли», председатель Башкирского отделения межрегионального общества специалистов доказательной медицины, член Межрегиональной общественной организации специалистов ботулинотерапии.
Головачева Вероника Александровна-к.м.н., ассистент кафедры нервных болезней и нейрохирургии лечебного факультета, ФГАОУ ВО Первый МГМУ им. Сеченова МЗ РФ (Сеченовский Университет). Член общероссийской общественной организации «Российское общество по изучению головной боли»,.
Данилов Алексей Борисович. Д.м.н., профессор, зав. кафедрой нервных болезней Института профессионального образования ФГАОУ ВО Первый МГМУ им. Сеченова МЗ РФ (Сеченовский Университет). Директор Института Междисциплинарной Медицины. Исполнительный директор российской Ассоциации пациентов с головной болью. Член правления Международной Ассоциации мигрени и головной боли (EMHA).
Екушева Евгения Викторовна. Д.м.н., заведующая кафедрой нервных болезней и нейрореабилитации Академии последипломного образования ФГБУ ФНКЦ ФМБА России и Клиника головной боли и вегетативных расстройств им. академика Александра Вейна, г. Москва. Член общероссийской общественной организации «Российское общество по изучению боли». Член комитетов по головной и лицевой боли Российского Межрегионального Общества по изучению боли. Член межрегиональной общественной организации специалистов ботулинотерапии. Член европейской общественной организации «Европейская федерация головной боли» и международной общественной организации «Международное общество головной боли».
Исагулян Эмиль Давидович. м.н, научный сотрудник группы функциональной нейрохирургии НИИ Нейрохирургии им. акад. Н. Н. Бурденко РАМН. Президент Российской Ассоциации Нейромодуляции (NNSR). Вице-президент Российской Ассоциации Интервенционного Лечения Боли (АИЛБ). Вице-президент Российской Ассоциации Стереотаксических и Функциональных Нейрохирургов (RSSFN). Член общероссийской общественной организации «Российское общество по изучению головной боли».
Корешкина Марина Игоревна, д.м.н., руководитель Центра лечения головной боли клиники «Скандинавия» (г. Санкт-Петербург). Член общероссийской общественной организации «Российское общество по изучению головной боли». Член международной общественной организации «Международное общество головной боли».
Курушина Ольга Викторовна, д.м.н., заведующий кафедрой неврологии, нейрохирургии, медицинской генетики с курсом мануальной терапии и рефлексотерапии ФУВ ГБОУ ВПО «Волгоградский государственный медицинский университет МЗ РФ». Главный внештатный специалист-невролог МЗ РФ по Южному федеральному округу. Член Правления Всероссийского общества неврологов. Член общероссийской общественной организации «Российское общество по изучению головной боли».
Латышева Нина Владимировна, д.м.н., доцент кафедры нервных болезней Института профессионального образования ФГАОУ ВО Первый МГМУ им. Сеченова МЗ РФ (Сеченовский Университет) и Клиника головной боли и вегетативных расстройств им. академика Александра Вейна, г. Москва. Член общероссийской общественной организации «Российское общество по изучению головной боли». Член европейской общественной организации «Европейская федерация головной боли». Член международной общественной организации «Международное общество головной боли».
Лебедева Елена Разумовна, д.м.н., доцент кафедры СМП ФГБОУ ВО «Уральский государственный медицинский университет МЗ РФ», руководитель Международного центра лечения головных болей Европа-Азия , г. Екатеринбург. Член общероссийской общественной организации «Российское общество по изучению головной боли». Член международной общественной организации «Международное общество головной боли». Член европейской общественной организации «Европейская федерация головной боли». Член секции головной боли в европейской общественной организации «Европейская Академия неврологии». Представитель России в образовательном комитете европейской общественной организации «Европейская Академия неврологии».
Наприенко Маргарита Валентиновна, д.м.н., профессор кафедры интегративной медицины Института профессионального образования ФГАОУ ВО Первый МГМУ им. И.М. Сеченова МЗ РФ (Сеченовский Университет). Главный врач Клиники головной боли имени академика Александра Вейна. Член общероссийской общественной организации «Российское общество по изучению головной боли». Член Межрегиональной общественной организации специалистов ботулинотерапии.
Осипова Вера Валентиновна, д.м.н., ведущий научный сотрудник ГБУЗ «Научно-практический психоневрологический центр им. Соловьева» ДЗ г. Москвы и врач-невролог Университетской клиники головной боли (Москва). Член общероссийской общественной организации «Российское общество по изучению головной боли» (РОИГБ). Член панели «Головная боль» в Европейской общественной организации «Европейская Академия неврологии» (HeadachePanel, EAN). Член европейской общественной организации «Европейская федерация головной боли» (EHF).
Павлов Николай Александрович, к.м.н., ведущий научный сотрудник кафедры неврологии, нейрохирургии и медицинской генетики ФГАОУ ВО «Российский национальный исследовательский медицинский университет имени Н.И. Пирогова» Министерства здравоохранения Российской Федерации, член президиума Всероссийского общества неврологов.
Парфенов Владимир Анатольевич, д.м.н., профессор, заведующий кафедрой нервных болезней и нейрохирургии лечебного факультета ФГАОУ ВО Первый МГМУ им. Сеченова МЗ РФ (Сеченовский университет). Член правления общественной организации «Всероссийское общество неврологов», член правления Национальной ассоциации по борьбе с инсультом, член панели «Общая неврология» Европейской академии неврологии.
Рачин Андрей Петрович, д.м.н., профессор, зав. отделом эволюционной неврологии и нейрофизиологии ФГБУ «Национальный медицинский исследовательский центр реабилитации и курортологии» МЗ РФ. Член Правления Всероссийского общества неврологов. Член Президиума и Ревизор Российского общества по изучению головной боли. Ответственный секретарь медицинского общества специалистов по дисфункциональным неврологическим расстройствам и нейростоматологии.
Сергеев Алексей Владимирович, к.м.н. доцент кафедры нервных болезней и нейрохирургии лечебного факультета ФГАОУ ВО Первый МГМУ им. Сеченова МЗ РФ (Сеченовский Университет) и руководитель Центра неврологии Клиник Чайка, г. Москва. Член общероссийской общественной организации «Российское общество по изучению головной боли». Член европейской общественной организации «Европейская федерация головной боли». Представитель России в международной общественной организации «Международное общество головной боли».
Скоробогатых Кирилл Владимирович, к.м.н., врач-невролог, директор Университетской клиники головной боли (г. Москва). Член общероссийской общественной организации «Российское общество по изучению головной боли». Представитель РФ в европейской общественной организации «Европейская федерация головной боли». Член международной общественной организации «Международное общество головной боли».
Табеева Гюзяль Рафкатовна, д.м.н., профессор кафедры нервных болезней и нейрохирургии лечебного факультета ФГАОУ ВО Первый МГМУ им. Сеченова МЗ РФ (Сеченовский Университет). Президент общероссийской общественной организации «Российское общество по изучению головной боли». Член европейской общественной организации «Европейская федерация головной боли».
Филатова Елена Глебовна, д.м.н., профессор кафедры нервных болезней Института профессионального образования ФГАОУ ВО Первый МГМУ им. Сеченова МЗ РФ (Сеченовский Университет) и Клиника головной боли и вегетативных расстройств им. академика Александра Вейна, г. Москва. Член общероссийской общественной организации «Российское общество по изучению головной боли». Член европейской общественной организации «Европейская федерация головной боли».
Конфликт интересов отсутствует.
Приложение А2.
Методология разработки клинических рекомендаций.Целевая аудитория данных клинических рекомендаций:
• врачи-неврологи, врачи-терапевты, врачи общей практики;
• студенты медицинских ВУЗов, ординаторы, аспиранты;
• преподаватели, научные сотрудники;
В данных клинических рекомендациях все сведения ранжированы по уровню достоверности (доказательности) в зависимости от количества и качества исследований по данной проблеме (Таблица 1, Таблица 2, Таблица 3).
Таблица П1. Шкала оценки уровней достоверности доказательств (УДД) для методов диагностики (диагностических вмешательств).
| УДД | Расшифровка |
| 1 | Систематические обзоры исследований с контролем референсным методом или систематический обзор рандомизированных клинических исследований с применением мета-анализа |
| 2 | Отдельные исследования с контролем референсным методом или отдельные рандомизированные клинические исследования и систематические обзоры исследований любого дизайна, за исключением рандомизированных клинических исследований, с применением мета-анализа |
| 3 | Исследования без последовательного контроля референсным методом или исследования с референсным методом, не являющимся независимым от исследуемого метода или нерандомизированные сравнительные исследования, в том числе когортные исследования |
| 4 | Несравнительные исследования, описание клинического случая |
| 5 | Имеется лишь обоснование механизма действия или мнение экспертов |
Таблица П2. Шкала оценки уровней достоверности доказательств (УДД)для методов профилактики, лечения и реабилитации (профилактических, лечебных, реабилитационных вмешательств).
| УДД | Расшифровка |
| 1 | Систематический обзор РКИ с применением мета-анализа |
| 2 | Отдельные РКИ и систематические обзоры исследований любого дизайна, за исключением РКИ с применением мета-анализа |
| 3 | Нерандомизированные сравнительные исследования, в тч когортные исследования |
| 4 | Несравнительные исследования, описание клинического случая или серии случаев, исследования «случай-контроль» |
| 5 | Имеется лишь обоснование механизма действия вмешательства (доклинические исследования) или мнение экспертов |
Таблица П3. Шкала оценки уровней убедительности рекомендаций (УУР) для методов профилактики, диагностики, лечения и медицинской реабилитации, в том числе основанных на использовании природных лечебных факторов (профилактических, диагностических, лечебных, реабилитационных вмешательств).
| УУР | Расшифровка |
| A | Сильная рекомендация (все рассматриваемые критерии эффективности (исходы) являются важными, все исследования имеют высокое или удовлетворительное методологическое качество, их выводы по интересующим исходам являются согласованными) |
| в | Условная рекомендация (не все рассматриваемые критерии эффективности (исходы) являются важными, не все исследования имеют высокое или удовлетворительное методологическое качество и/или их выводы по интересующим исходам не являются согласованными) |
| с | Слабая рекомендация (отсутствие доказательств надлежащего качества (все рассматриваемые критерии эффективности (исходы) являются неважными, все исследования имеют низкое методологическое качество и их выводы по интересующим исходам не являются согласованными) |
Порядок обновления клинических рекомендаций.
Механизм обновления клинических рекомендаций предусматривает их систематическую актуализацию - не реже чем один раз в три года, а также при появлении новых данных с позиции доказательной медицины по вопросам диагностики, лечения, профилактики и реабилитации конкретных заболеваний, наличии обоснованных дополнений/замечаний к ранее утверждённым КР, но не чаще 1 раза в 6 месяцев.
Порядок обновления клинических рекомендаций по мигрени предусматривает их систематическую актуализацию - не реже чем один раз в три года, а также при появлении новых данных с позиции доказательной медицины по вопросам диагностики, лечения, профилактики и реабилитации мигрени, наличии обоснованных дополнений/замечаний к ранее утверждённым КР, но не чаще 1 раза в 6 месяцев.
Приложение А3.
Справочные материалы, включая соответствие показаний к применению и противопоказаний, способов применения и доз лекарственных препаратов, инструкции по применению лекарственного препарата.Данные клинические рекомендации разработаны с учётом следующих нормативно-правовых документов:
• Федеральный закон Об основах охраны здоровья граждан в Российской Федерации от 21,11,2011 N 323-ФЗ.
• Порядок оказания медицинской помощи взрослому населению при заболеваниях нервной системы (приказ Министерства здравоохранения Российской Федерации от 15 ноября 2012 г. N 926н).
• Приказ Министерства Здравоохранения РФ от 28 февраля 2019 г. N 103н «Об утверждении порядка и сроков разработки клинических рекомендаций, их пересмотра, типовой формы клинических рекомендаций и требований к их структуре, составу и научной обоснованности включаемой в клинические рекомендации информации».
• Регистр лекарственных средств России (РЛС). Москва -2019.
Приложение В.
Информация для пациента.Что такое мигрень.
Во время приступа мигрени, я совершенно разбита и абсолютно вырвана из повседневной жизни на сутки или даже больше. Боль начинается постепенно в области виска, затем нарастает, становится все сильнее и сильнее, появляется тошнота, иногда меня может вырвать; раздражают даже обычные звуки и свет. Я чувствую себя настолько ужасно, что вынуждена лечь в постель. После приема лекарственного препарата, обладающего обезболивающим действием, боль может через пару часов стихнуть, но не всегда. На следующий день я чувствую тяжесть в голове и разбитость, но все-таки значительно лучше, чем накануне .
Описание мигрени.
Мигрень - доброкачественное неврологическое заболевание, проявляющееся приступами головной боли, которые могут возникать с различной частотой: от 1-2 раз в год до нескольких раз в месяц. Основные проявления мигренозного приступа: сильная пульсирующая головная боль лобно-височной локализации чаще в одной половине головы, тошнота, реже рвота, непереносимость света, звуков, запахов и усиление боли от обычной физичкой нагрузки. Во время приступа мигрени работоспособность и привычная активность в значительной степени нарушены.
Почему возникает мигрень.
Приступ мигрени является следствием возбуждения некоторых структур головного мозга, а также - выброса в кровь болевых веществ - медиаторов и расширения сосудов твердой мозговой оболочки, которая покрывает головной мозг. Мигрень - наследственное заболевание: «мигренозные» гены страдающие этим заболеванием люди получают от одного из родителей и могут «передать» ее детям.
У кого бывает мигрень.
Мигрень является самой распространенной формой цефалгии после головной боли напряжения; она встречается у 14% людей. Мигренью страдает каждый седьмой взрослый; у женщин мигрень возникает в три раза чаще, чем у мужчин. Обычно заболевание начинается в детстве или подростковом возрасте. У девочек мигрень нередко начинается в период полового созревания.
Какие бывают виды мигренй.
Самый частый вид мигрени - мигрень без ауры - встречается у 75% пациентов. Реже бывает мигрень с аурой, когда болевому приступу предшествуют преходящие и полностью обратимые неврологические нарушения. Чаще всего отмечаются нарушения зрения (светящиеся зигзаги, мерцание, выпадение полей зрения), реже чувствительные (распространяющееся снизу верх онемение одной руки, половины лица, языка) и речевые нарушения. Возможно сочетание обеих форм мигрени у одного пациента, а также развитие мигренозной ауры без головной боли.
Самая тяжеля форма - хроническая мигрень, при которой головная боль может возникать 15 и более дней в месяц или даже ежедневно. Основными факторами, которые приводят к учащению мигренозных приступов являются эмоциональный стресс, депрессия, злоупотребления лекарственными препаратами, обладающими обезболивающим действием, и кофеином (крепкий чай, кофе, энергетические напитки).
Как проявляется мигрень.
Приступ мигрени имеет четыре стадии, хотя не все могут быть полностью представлены у всех пациентов. Фаза предвестников мигрени (продром) возникает раньше других симптомов приступа и может проявляться за несколько часов или даже за сутки до развития головной боли следующими симптомами: боль в шее, раздражительность, подавленность, усталость или, напротив, повышение активности, аппетита, чувствительности к свету и запахам.
Аура, если она есть, является следующей фазой. Лишь треть пациентов с мигренью когда-либо отмечали ауру, и она может развиваться не в каждом приступе. Аура не опасна для здоровья; она длится 10 - 30 минут, реже может быть и более продолжительной и полностью проходит. Чаще всего бывает зрительная аура. Вы можете «видеть» слепые пятна, вспышки света или разноцветную зигзагообразную линию, распространяющуюся из центра поля зрения на периферию. Реже возникают чувствительные симптомы - ощущение покалывания или онемение, которое возникает в кончиках пальцев с одной стороны, распространяется вверх к плечу, иногда переходит на щеку или язык на той же стороне. Чувствительные симптомы практически всегда сопровождаются зрительными нарушениями. Кроме этого, во время ауры могут быть затруднения речи или трудности в подборе слов.
Фаза головной боли - самая тяжелая для большинства людей, длится от нескольких часов до 2 - 3 суток. Мигренозная головная боль может быть очень сильной, чаще возникает в лобной или височной области одной половины головы, но может начинаться в затылочной области, захватывать другие зоны и всю голову. Обычно это пульсирующая или распирающая боль, которая усиливается при движении и физических нагрузках. Нередко возникает тошнота, и даже рвота, которая облегчает головную боль. Во время приступа очень часто неприятны свет и звуки даже обычной интенсивности, поэтому пациенты предпочитают оставаться в одиночестве в тихом и затемненном помещении.
За фазой головной боли следует фаза разрешения. В этот период вы вновь можете чувствовать усталость, раздражительность или подавленность, вам трудно концентрировать внимание. Эти симптомы могут сохраняться в течение суток до того, как вы почувствуете себя полностью здоровым.
Что такое триггеры мигренй.
Каждый пациент с мигренью хотел бы знать, что может вызвать приступ. Как правило, это трудно или невозможно, поскольку каждый пациент имеет «свои» триггеры; даже у одного и того же пациента разные приступы могут вызываться различными триггерами. К наиболее распространенным провокаторам приступа мигрени относят:
Психологические. Эмоциональное напряжение, а также расслабление после стресса.
Факторы внешней среды. Яркий или мерцающий свет, резкие запахи, перемена погоды, пребывание в духоте, на жаре.
Диетические факторы. Некоторые продукты (цитрусовые, орехи, шоколад, бананы, копчености, жирные сыры) и алкоголь (красное вино, пиво, шампанское), пропуск приема пищи (голод), неадекватное питание, отмена кофеина и недостаточное потребление воды.
Сон: изменение режима сна, как недосыпание, так и избыточный сон (например, в выходные дни).
Гормональные факторы у женщин. Менструация, гормональные контрацептивы и гормональная заместительная терапия.
Другие жизненные факторы. Интенсивная физическая нагрузка, длительные переезды, особенно со сменой часовых поясов, воздушные перелеты.
Определить свои индивидуальные триггеры и научиться их избегать (если это возможно) является важной задачей каждого пациента и может в значительной степени сократить число приступов.
Что Вы можете ощущать между приступами мигренй.
Между приступами мигрени большинство людей чувствуют себя хорошо. Однако некоторые люди вне болевых приступов могут жаловаться на повышенную тревожность и даже панические атаки, снижение настроения вплоть до выраженной депрессии, плохой сон, другие боли (например, сжимающие по типу «каски» головные боли напряжения (ГБН), боли в спине ), болезненность и напряжение мышц шеи и затылка, желудочно-кишечные нарушения. Эти нарушения, часто сопутствующие мигрени, могут нарушать общее самочувствие и требуют лечения. Обязательно расскажите доктору об этих жалобах, чтобы он мог назначить вам необходимое лечение.
Как лечить мигрень.
Лекарственные средства, которые используют для снятия приступа, называют средствами для купирования мигрени. Правильно подобранные лекарства могут быть весьма эффективными, если принимаются правильно и в небольших количествах. К таким средствам относятся безрецептурные препараты, обладающие обезболивающим действием, большинство из которых содержит ацетилсалициловую кислоту, ибупрофен**или парацетамол**. Растворимые формы этих препаратов, например, в виде шипучих таблеток действуют быстрее и лучше.
Если вас очень беспокоит тошнота или рвота, можно использовать противорвотные препараты. Некоторые из них фактически усиливают действие лекарственных препаратов, обладающих обезболивающим действием, так как увеличивают их всасывание в желудочно-кишечном тракте. Если вы испытываете сильную тошноту или рвоту, то можно использовать эти препараты в форме ректальных свечей.
Врач может прописать вам один из специфических антимигренозных препаратов. К этим препаратам необходимо прибегнуть, если анальгетики и антипиретики и противорвотные препараты оказываются недостаточно эффективными. Антимигренозные средства отличаются от обычных лекарственных препаратов, обладающих обезболивающим действием. Они воздействуют не на боль, а на патологические процессы, происходящие в головном мозге во время мигренозной атаки. К таким средствам относят селективные агонисты серотониновых 5НТ1-рецепторов (триптаны) - наиболее эффективные в купировании приступа мигрени - и препараты, содержащие эрготамин. При необходимости вы можете сочетать эти средства с НПВС и противорвотными препаратами.
Существует несколько приемов, позволяющих повысить эффективность медикаментозного лечения приступа мигрени.
• Принимать препарат в самом начале приступа.
Всегда имейте при себе хотя бы одну дозу препарата, рекомендованного врачом. Принимайте препарат, в самом начале головной боли. Лекарств, способных купировать ауру мигрени, не существует. Во время приступа мигрени работа желудочно-кишечного тракта замедляется, поэтому лекарства, принимаемые в виде таблеток, всасываются в кровь медленнее, чем обычно. Если позволяет состояние, выпейте что-нибудь сладкое (крепкий сладкий чай).
2.… но не очень часто.
Всегда строго придерживайтесь инструкций по применению препарата. В частности, не используйте средства для снятия головной боли слишком часто, так как это может привести к развитию лекарственно-индуцированной (абузусной) головной боли (ЛИГБ), связанной с избыточным применением обезболивающих препаратов. Чтобы у вас не развилась ЛИГБ, ни в коем случае не используйте средства для купирования мигрени и другой боли чаще, чем 8 дней в месяц. Избыточный прием лекарственных препаратов любых классов, обладающих обезболивающим действием, способствует учащению головной боли (не только мигрени, но и ГБН).
Что делать, если это лечение не помогает.
Если приступы мигрени очень частые или тяжелые, и плохо поддаются лечению препаратами, обладающими обезболивающим действием, то вам показано курсовое профилактическое лечение, которое назначает врач. В отличие от средств для купирования приступа при профилактической терапии необходимо принимать препараты каждый день, поскольку это лечение направлено на предотвращение развития приступов мигрени.
Большинство профилактических средств первоначально были разработаны для лечения других заболеваний, поэтому не следует удивляться, если Вам назначат препарат из группы антидепрессантов, противоэпилептических препаратов или применяющийся для снижения артериального давления. Вам назначили лечение не в связи с этими показаниями, просто эти препараты также обладают и противомигренозным действием.
При назначении вам одного или более препаратов, аккуратно следуйте инструкциям по их применению. Исследования показали, что наиболее частая причина недостаточной эффективности профилактического лечения - несоблюдение режима терапии. Профилактическое лечение мигрени должно продолжаться от 3 до 12 месяцев в зависимости от тяжести заболевания (в среднем 6 месяцев).
Для лечения очень частой (хронической) мигрени (когда число дней с головной болью превышает 15 в месяц) вам могут порекомендовать введение препарата ботулинического токсина типа А в мышцы головы и шеи. В клинических исследованиях этот метод показал высокую эффективность и широко используется в мире для лечения тяжелой мигрени.
Что еще вы можете сделать, чтобы помочь себе.
Регулярные занятия спортом, водные процедуры, приемы психологической релаксации, прогулки, хобби улучшат ваше самочувствие. При наличии болезненности и напряжения мышц шеи затылка полезны массаж воротниковой зоны и гимнастика на шейный отдел позвоночника. Важно избегать триггеров приступов, в первую очередь, эмоционального стресса, избыточных нагрузок, недосыпания, длительных перерывов между приёмами пищи.
Ведение дневника головной боли.
Ведение дневника поможет собрать важную информацию о вашей головной боли: как часто болит голова, как долго длится головная боль, что ее вызывает, какие симптомы ее сопровождают, сколько лекарственных препаратов, обладающих обезболивающим действием, и как часто вы принимаете. Эта информация является очень ценной для постановки правильного диагноза, выявления лекарственного абузуса и факторов? провоцирующих головную боль, а также для оценки эффективности лечения.
Что делать, если Вы подозреваете, что забеременелй.
Вам необходимо проконсультироваться с врачом, поскольку некоторые из антимигренозных препаратов во время беременности противопоказаны.
Нужны ли Вам дополнительные обследования.
В большинстве случаев после тщательного опроса диагностика мигрени не вызывает у врача затруднений. Диагностика основывается на вашем описании характеристик головной боли, сопутствующих симптомов, провоцирующих и облегчающих факторах; при этом обязательным является отсутствие каких-либо отклонений при неврологическом осмотре. Постарайтесь, как можно подробнее описать врачу свою головную боль. Очень важно сообщить о том, как часто и в каких количествах вы принимаете лекарственные препараты, обладающие обезболивающим действием, или другие лекарственные препараты.
Не существует методов обследования, подтверждающих диагноз мигрени. Сканирование головного мозга (КТ, МРТ), электроэнцефалография, РЭГ, ультразвуковое исследование сосудов головы, консультация окулиста, как правило, являются неинформативными, поскольку никаких специфических для мигрени нарушений при проведении этих исследований не обнаруживается. Выявленные незначительные отклонения могут часто обнаруживаются и у лиц без жалоб на головную боль.
Если ваш доктор не уверен в правильности диагноза, он может назначить Вам дополнительные обследования для исключения других причин головной боли. Как правило, в этом нет необходимости. Если доктор не назначил дополнительные исследования, это означает, что он уверен в диагнозе «Мигрень» и проведение обследований никаким образом не облегчит назначение лечения.
Можно ли вылечить мигрень.
Не существует методов полного излечения от мигрени. Тем не менее, современные лекарственные подходы позволяют существенно уменьшить частоту, продолжительность, тяжесть приступов мигрени и облегчить сопутствующие нарушения в межприступном периоде. У большинства людей с возрастом приступы мигрени становятся реже и, как правило, после 50 лет прекращаются. Чтобы не допустить учащение мигрени необходимо избегать факторов хронизации, в первую очередь, стресса, снижения настроения (депрессии), избыточного приема лекарственных препаратов, обладающих обезболивающим действием, и кофеина.
Приложение Г1-ГN.
Шкалы оценки, вопросники и другие оценочные инструменты состояния пациента, приведенные в клинических рекомендациях.Приложение Г1 ДНЕВНИК ГОЛОВНОЙ БОЛИ.
ИНСТРУКЦИЯ ПО ЗАПОЛНЕНИЮ ДНЕВНИКА.Перед консультацией в Центре головной боли очень важно, чтобы Вы ежедневно заполняли этот дневник. Сведения, которые Вы внесете в дневник, помогут врачу правильно определить диагноз и степень тяжести Вашей головной боли (ГБ), а также оперативно назначить оптимальное для Вас лечение.
Вверху напишите свое имя (ФИО), дату рождения, а также дату, когда Вы начали заполнять дневник. Затем напротив Вопроса 1 в 1-й колонке напишите дату (число месяца) заполнения дневника. Вы можете сразу проставить даты во всех колонках, поскольку Вам предстоит заполнять дневник ежедневно.
Пожалуйста, заполняйте дневник каждый вечер перед отходом ко сну, отмечая галочкой [Ö] клетки (1) в вертикальной колонке. Эти данные представляют собой сжатую информацию о любой(ых) ГБ, если она(и) возникла(и) в этот день. Если ГБ в этот день у Вас не было, ответьте только на Вопросы 2 и 15. Если Вы завершили заполнение одной страницы дневника, пожалуйста, продолжайте на следующей странице (прилагаются несколько копий).
Ниже приведены инструкции по ответам на вопросы.
• Укажите только число (например, 12); месяц и год указывать не нужно.
• Отмечайте «Да» или «Нет» в клетках напротив всех вопросов, или сразу переходите к Вопросу 15 (если ГБ в этот день не было).
• Укажите время (час в 24-часовом формате), когда Вы впервые заметили появление ГБ. Если Вы проснулись уже с головной болью, укажите время пробуждения. Если утренняя ГБ является продолжением вечерней, поставьте в колонке знак Х).
• Укажите время (час и минуты в 24-часовом формате), когда головная боль полностью прекратилась. Если в этот день перед отходом ко сну ГБ еще сохранялась, оставьте клетку не заполненной. Если ГБ утром отсутствовала, укажите время отхода ко сну. Если ГБ утром сохранялась, поставьте Х в графе этого дня, а также Х в графе Вопроса 3 в следующей колонке. Продолжайте Ваши записи на следующий день обычным образом.
• У некоторых людей в пределах 1 часа до начала ГБ отмечаются определенные зрительные нарушения. Это могут быть вспышки света, светящиеся зигзагообразные линии, «слепые» пятна или «черные дыры», присутствующие даже при закрывании глаз. Отметьте «Да», если у Вас отмечалось нечто подобное, или «Нет», если такие явления не возникали. Если Вас просто раздражал свет ( см Вопрос 12) и ничего более, отметьте «Нет».
• Отметьте клетку, соответствующую локализации ГБ (преимущественно с одной стороны головы или с обеих сторон.
• Хотя существует множество описаний характера ГБ, большинство ГБ являются либо «пульсирующими» (боль усиливается в такт с биением сердца) или «сжимающими» (по типу «обруча» или «каски»). Отметьте ту характеристику, которая в большей степени отражает тип Вашей ГБ.
• Некоторые виды ГБ усиливаются даже от незначительной физической нагрузки (например, при подъеме по лестнице) или вынуждают человека избегать такой активности. Отметьте «Да», если это относится к Вашей ГБ, и «Нет», если это для Вас не характерно.
• Интенсивность (сила) ГБ - важная составляющая диагноза. Оцените силу Вашей ГБ, отметив соответствующую клетку, если: «незначительная» ГБ -это ГБ, которая не нарушает выполнение обычных видов деятельности ( Вашу работоспособность и обычную активность), «сильная» - затрудняет, но полностью не препятствует обычным видам деятельности, наконец, «очень сильная» боль - ГБ, которая полностью нарушает Вашу обычную активность. Постарайтесь оценить интенсивность ГБ в течение дня в целом. Например, если боль была незначительной в первой половине дня, а затем стала очень сильной, отметьте клетку «сильная». Если же боль на протяжении почти всего дня была очень интенсивной, отметьте «очень сильная».
• Отметьте «Нет», если в течение дня у Вас совсем не было тошноты. Если отмечалась легкая тошнота, которая Вас почти не беспокоила, не вызывала отрыжки и позывов на рвоту, отметьте «незначительная», в случае более выраженной тошноты - «заметная».
• Отметьте «Да» или «Нет». Отрыжка и позыв на рвоту не считается рвотой.
• Вопрос касается обычного дневного или комнатного света, а не очень яркого света. Отметьте «Да», если обычный свет раздражал Вас или Вы пытались избежать его, путем затемнения комнаты или ношения темных очков. В противном случае отметьте «Нет».
• Вопрос касается обычного шума, а не очень громких звуков. Отметьте «Да», если шум раздражал Вас или Вы пытались избежать его, путем уединения в тихой комнате. В противном случае отметьте «Нет».
• Перечислите, пожалуйста, любые причины (факторы) которые, по Вашему мнению, могли вызвать ГБ. Возможно, Вы что-то съели, выпили, сделали (например, пропустили обед, провели бессонную ночь, работали физически) или были причины (перемена погоды, стресс, менструация).
• Перечислите названия любых препаратов (таблетки, свечи, инъекции, назальные спреи), которые Вы принимали от головной или любой другой боли. Для каждого препарата укажите количество принятых доз, а также время приема (часы в 24-часовом формате) каждого из препаратов. Не указывайте препараты, принятые Вами по другим показаниям.
Дневник головной боли.
Ф.И.О:________________________________________________.
Дата рождения (д/м/г) ___________________________________.
Начало заполнения дневника: _____________________________.
Окончание заполнения дневника___________________________.
Перед заполнением дневника внимательно прочитайте инструкцию. Заполняйте одну колонку каждый вечер, отмечая подходящие квадратики.
| Дата (день недели и число месяца) | пнд ______ | вт _______ | ср _______ | чет _______ | птн _______ | сб _______ | вс _______ | пнд _______ | вт _______ | ср _______ | чет _______ | птн _______ | СББ _______ | ВС _______ | |
| Была ли у Вас сегодня ГБ? (Если нет, сразу переходите к вопросу №15) | Нет Да | 1 1 | 1 1 | 1 1 | 1 1 | 1 1 | 1 1 | 1 1 | 1 1 | 1 1 | 1 1 | 1 1 | 1 1 | 1 1 | 1 1 |
| Если да, когда Вы впервые ее заметилй (ч:мин) | |||||||||||||||
| Когда Ваша ГБ прекратилась? (ч:мин) | |||||||||||||||
| В течение часа до начала ГБ отмечали ли Вы зрительные нарушения (вспышки света, линии-зигзаги, слепые пятна, )? | Нет Да: | 1 1 | 1 1 | 1 1 | 1 1 | 1 1 | 1 1 | 1 1 | 1 1 | 1 1 | 1 1 | 1 1 | 1 1 | 1 1 | 1 1 |
| Где отмечалась ГБ? | С одной стороны С обеих сторон | 1 1 | 1 1 | 1 1 | 1 1 | 1 1 | 1 1 | 1 1 | 1 1 | 1 1 | 1 1 | 1 1 | 1 1 | 1 1 | 1 1 |
| Характер ГБ | Пульсирующая: Сжимающая: | 1 1 | 1 1 | 1 1 | 1 1 | 1 1 | 1 1 | 1 1 | 1 1 | 1 1 | 1 1 | 1 1 | 1 1 | 1 1 | 1 1 |
| Ухудшалась ли ГБ при физической активности (подъем по лестнице, )? | Нет Да: | 1 1 | 1 1 | 1 1 | 1 1 | 1 1 | 1 1 | 1 1 | 1 1 | 1 1 | 1 1 | 1 1 | 1 1 | 1 1 | 1 1 |
| Какова была в целом интенсивность ГБ? ( см инструкции) | Незначительная Сильная Очень сильная | 1 1 1 | 1 1 1 | 1 1 1 | 1 1 1 | 1 1 1 | 1 1 1 | 1 1 1 | 1 1 1 | 1 1 1 | 1 1 1 | 1 1 1 | 1 1 1 | 1 1 1 | 1 1 1 |
| Была ли у Вас тошнота? | Нет Незначительная: Заметная: | 1 1 1 | 1 1 1 | 1 1 1 | 1 1 1 | 1 1 1 | 1 1 1 | 1 1 1 | 1 1 1 | 1 1 1 | 1 1 1 | 1 1 1 | 1 1 1 | 1 1 1 | 1 1 1 |
| Была ли у Вас рвота? | Нет Да | 1 1 | 1 1 | 1 1 | 1 1 | 1 1 | 1 1 | 1 1 | 1 1 | 1 1 | 1 1 | 1 1 | 1 1 | 1 1 | 1 1 |
| Вас раздражал свет? | Нет Да | 1 1 | 1 1 | 1 1 | 1 1 | 1 1 | 1 1 | 1 1 | 1 1 | 1 1 | 1 1 | 1 1 | 1 1 | 1 1 | 1 1 |
| Вас раздражал звук? | Нет Да | 1 1 | 1 1 | 1 1 | 1 1 | 1 1 | 1 1 | 1 1 | 1 1 | 1 1 | 1 1 | 1 1 | 1 1 | 1 1 | 1 1 |
| Могло ли что-нибудь послужить причиной Вашей ГБ? | Если Да, уточните | ||||||||||||||
| Принимали ли Вы сегодня какие-нибудь препараты от ГБ или любой другой боли Для каждого препарата укажите: А) название Б) принятая доза В) время приема |
Пожалуйста, удостоверьтесь, что Вы заполнили все колонки.
Приложение Г2 Визуальная аналоговая шкала боли.
Название на русском языке. Визуальная аналоговая шкала боли (ВАШ).Оригинальное название:VisualAnalogueScale (VAS) [164 - 166].
Тип: шкала оценки.
Назначение. Предназначена для измерения интенсивности боли (в случае ГБН - головной боли).
Содержание. ВАШ представляет собой непрерывную шкалу в виде горизонтальной или вертикальной линии длиной 10 см и расположенными на ней делениями через 1 см от 0 до 10, где 0 баллов - «отсутствие боли», а 10 баллов - «сильнейшая боль, какую можно только представить.
Ключ (интерпретация). Более высокий балл указывает на большую интенсивность боли.
Пояснения. Например, показатель от 2 до 4 баллов указывает на незначительную интенсивность боли, от 5 до 7 на умеренную (среднюю) интенсивность, 8 - 9 - на очень сильную, 10 - на невыносимую, крайне интенсивную боль.
|
|
Год актуализации информации
2021.