МКБ-10 коды
|
|
Вступление
МКБ 10:
В37.
Год утверждения (частота пересмотра):
2016 (1 раз в 2 года).
ID:
КР219.
URL:
Профессиональные ассоциации:
• Российское общество дерматовенерологов и косметологов.
• Российское общество акушеров-гинекологов.
Утверждены.
Российским обществом дерматовенерологов и косметологов на XVI Всероссийском Съезде дерматовенерологов и косметологов (Москва, 16 июня 2016 г.
Согласованы.
Научным советом Министерства Здравоохранения Российской Федерации __ __________201_ г.
В37.
Год утверждения (частота пересмотра):
2016 (1 раз в 2 года).
ID:
КР219.
URL:
Профессиональные ассоциации:
• Российское общество дерматовенерологов и косметологов.
• Российское общество акушеров-гинекологов.
Утверждены.
Российским обществом дерматовенерологов и косметологов на XVI Всероссийском Съезде дерматовенерологов и косметологов (Москва, 16 июня 2016 г.
Согласованы.
Научным советом Министерства Здравоохранения Российской Федерации __ __________201_ г.
Профессиональные ассоциации
• Российское общество дерматовенерологов и косметологов.
• Российское общество акушеров-гинекологов.
• Российское общество акушеров-гинекологов.
Список сокращений
ВИЧ - вирус иммунодефицита человека.
ДНК - дезоксирибонуклеиновая кислота.
МКБ - Международная классификация болезней.
РКИ - рандомизированные контролируемые исследования.
УГК - урогенитальный кандидоз.
ДНК - дезоксирибонуклеиновая кислота.
МКБ - Международная классификация болезней.
РКИ - рандомизированные контролируемые исследования.
УГК - урогенитальный кандидоз.
Термины и определения
Урогенитальный кандидоз - заболевание мочеполового тракта воспалительного характера, обусловленное дрожжеподобными грибами рода сandida.
Candida spp. - условно-патогенные микроорганизмы, являющиеся факультативными анаэробами и обладающие тропизмом к тканям, богатым гликогеном (в частности, к слизистой оболочке влагалища).
Candida spp. - условно-патогенные микроорганизмы, являющиеся факультативными анаэробами и обладающие тропизмом к тканям, богатым гликогеном (в частности, к слизистой оболочке влагалища).
Описание
Урогенитальный кандидоз (УГК) - заболевание мочеполового тракта воспалительного характера, обусловленное дрожжеподобными грибами рода сandida [30].
Причины
Возбудителем УГК являются дрожжеподобные грибы рода сandida. На долю с. albicans в этиологической структуре УГК приходится от 80 до 93%, на долю с. non-albicans (наиболее часто выявляемые - с. glabrata, с. krusei, с. tropicalis, с. parapsilosis, реже - с. guillermondi,C. kefyr) - 10-17%. с.non-albicans выявляются при УГК, ассоциированным с рецидивирующим течением, сахарным диабетом, ВИЧ-инфекцией.
Candida spp. - условно-патогенные микроорганизмы, являющиеся факультативными анаэробами и обладающие тропизмом к тканям, богатым гликогеном (в частности, к слизистой оболочке влагалища).
В развитии урогенитального кандидоза выделяют следующие этапы: адгезия грибов к слизистой оболочке с ее колонизацией, инвазия в эпителий, преодоление эпителиального барьера слизистой оболочки, попадание в соединительную ткань собственной пластинки, преодоление тканевых и клеточных защитных механизмов, проникновение в сосуды и гематогенная диссеминация с поражением органов и систем.
При УГК воспалительный процесс локализуется в верхних слоях эпителия влагалища. По причине существующего динамического равновесия между грибом, который не может проникнуть в более глубокие слои, и макроорганизмом, который сдерживает распространение процесса, инфекция может персистировать длительное время. При сдвиге равновесия может развиться обострение заболевания.
К эндогенным факторам риска развития УГК относят эндокринные заболевания (сахарный диабет, ожирение, патологию щитовидной железы ), фоновые гинекологические заболевания, нарушения состояния местного иммунитета; к экзогенным факторам риска - прием антибактериальных, глюкокортикостероидных, цитостатических препаратов, иммунодепрессантов, лучевую терапию; ношение тесной одежды, белья из синтетических тканей, регулярное применение гигиенических прокладок, длительное использование внутриматочных средств, влагалищных диафрагм, спринцевания, использование спермицидов.
Вопрос о причинах формирования рецидивирующего УГК не решен окончательно, так как рецидивирующие формы заболевания встречаются и у женщин, не имеющих вышеперечисленных факторов риска. Ведущее значение в развитии рецидивирующих форм УГК придают локальным иммунным нарушениям, обусловленным врожденными качествами эпителиоцитов влагалища.
К осложнениям урогенитального кандидоза у женщин относятся воспалительные заболевания органов малого таза; возможно вовлечение в патологический процесс мочевыделительной системы (уретроцистит). На фоне урогенитального кандидоза возрастает частота развития осложнений течения беременности, а также увеличивается риск анте- или интранатального инфицирования плода. Кандидоз плода может привести к его внутриутробной гибели или преждевременным родам. В послеродовом периоде у женщин возможно развитие кандидозного эндометрита.
У новорожденных кандидоз может протекать в виде локализованной инфекции (конъюнктивит, омфалит, поражение ротовой полости, гортани, легких, кожи) и диссеминированного поражения, развившегося в результате кандидемии.
УГК не относится к инфекциям, передаваемым половым путем, однако это не исключает возможности возникновения кандидозного баланопостита у мужчин - половых партнеров женщин с УГК [30].
Candida spp. - условно-патогенные микроорганизмы, являющиеся факультативными анаэробами и обладающие тропизмом к тканям, богатым гликогеном (в частности, к слизистой оболочке влагалища).
В развитии урогенитального кандидоза выделяют следующие этапы: адгезия грибов к слизистой оболочке с ее колонизацией, инвазия в эпителий, преодоление эпителиального барьера слизистой оболочки, попадание в соединительную ткань собственной пластинки, преодоление тканевых и клеточных защитных механизмов, проникновение в сосуды и гематогенная диссеминация с поражением органов и систем.
При УГК воспалительный процесс локализуется в верхних слоях эпителия влагалища. По причине существующего динамического равновесия между грибом, который не может проникнуть в более глубокие слои, и макроорганизмом, который сдерживает распространение процесса, инфекция может персистировать длительное время. При сдвиге равновесия может развиться обострение заболевания.
К эндогенным факторам риска развития УГК относят эндокринные заболевания (сахарный диабет, ожирение, патологию щитовидной железы ), фоновые гинекологические заболевания, нарушения состояния местного иммунитета; к экзогенным факторам риска - прием антибактериальных, глюкокортикостероидных, цитостатических препаратов, иммунодепрессантов, лучевую терапию; ношение тесной одежды, белья из синтетических тканей, регулярное применение гигиенических прокладок, длительное использование внутриматочных средств, влагалищных диафрагм, спринцевания, использование спермицидов.
Вопрос о причинах формирования рецидивирующего УГК не решен окончательно, так как рецидивирующие формы заболевания встречаются и у женщин, не имеющих вышеперечисленных факторов риска. Ведущее значение в развитии рецидивирующих форм УГК придают локальным иммунным нарушениям, обусловленным врожденными качествами эпителиоцитов влагалища.
К осложнениям урогенитального кандидоза у женщин относятся воспалительные заболевания органов малого таза; возможно вовлечение в патологический процесс мочевыделительной системы (уретроцистит). На фоне урогенитального кандидоза возрастает частота развития осложнений течения беременности, а также увеличивается риск анте- или интранатального инфицирования плода. Кандидоз плода может привести к его внутриутробной гибели или преждевременным родам. В послеродовом периоде у женщин возможно развитие кандидозного эндометрита.
У новорожденных кандидоз может протекать в виде локализованной инфекции (конъюнктивит, омфалит, поражение ротовой полости, гортани, легких, кожи) и диссеминированного поражения, развившегося в результате кандидемии.
УГК не относится к инфекциям, передаваемым половым путем, однако это не исключает возможности возникновения кандидозного баланопостита у мужчин - половых партнеров женщин с УГК [30].
Эпидемиология
Урогенитальный кандидоз является широко распространенным заболеванием, чаще развивается у женщин репродуктивного возраста. Частота регистрации кандидозного вульвовагинита составляет 30-45% в структуре инфекционных поражений вульвы и влагалища. По данным исследователей, 70-75% женщин имеют в течение жизни хотя бы один эпизод кандидозного вульвовагинита, при этом у 5-15% из них заболевание приобретает рецидивирующий характер. К 25 годам около 50% женщин, а к началу периода менопаузы - около 75% женщин имеют хотя бы один диагностированный врачом эпизод заболевания. Кандидозный вульвовагинит редко наблюдается у женщин в постменапаузе, за исключением женщин, получающих заместительную гормональную терапию [30].
Классификация
По течению:
• Острый УГК.
• Хронический рецидивирующий УГК.
У женщин:
• вагинит.
• вульвовагинит.
• цервицит.
У мужчин:
• баланит.
• баланопостит.
• уретрит.
Рядом экспертов предлагается иная клиническая классификация [30]:
1) неосложнённый (спорадический) УГК: как правило, вызывается с.albicans; является впервые выявленным или развивающимся спорадически (менее 4 раз в год); сопровождается умеренными проявлениями вульвовагинита; наблюдается у женщин, не имеющих факторов риска развития заболеваний, сопровождающихся подавлением реактивности организма (сахарный диабет, прием цитостатических, глюкокортикостероидных препаратов );
2) осложнённый УГК: сопровождается выраженными объективными симптомами вульвовагинита (яркая островоспалительная эритема, отек, изъязвления, трещины слизистых оболочек и кожи перианальной области); является рецидивирующим (развивается 4 и более раза в год); наблюдается у женщин, имеющих факторы риска развития заболевания, сопровождающиеся подавлением реактивности организма; вызывается с.non-albicans.
• Острый УГК.
• Хронический рецидивирующий УГК.
У женщин:
• вагинит.
• вульвовагинит.
• цервицит.
У мужчин:
• баланит.
• баланопостит.
• уретрит.
Рядом экспертов предлагается иная клиническая классификация [30]:
1) неосложнённый (спорадический) УГК: как правило, вызывается с.albicans; является впервые выявленным или развивающимся спорадически (менее 4 раз в год); сопровождается умеренными проявлениями вульвовагинита; наблюдается у женщин, не имеющих факторов риска развития заболеваний, сопровождающихся подавлением реактивности организма (сахарный диабет, прием цитостатических, глюкокортикостероидных препаратов );
2) осложнённый УГК: сопровождается выраженными объективными симптомами вульвовагинита (яркая островоспалительная эритема, отек, изъязвления, трещины слизистых оболочек и кожи перианальной области); является рецидивирующим (развивается 4 и более раза в год); наблюдается у женщин, имеющих факторы риска развития заболевания, сопровождающиеся подавлением реактивности организма; вызывается с.non-albicans.
Клиническая картина
Объективные симптомы у женщин: гиперемия и отечность в области вульвы, влагалища; белые, желтовато-белые творожистые, густые или сливкообразные вагинальные выделения, адгезированные на слизистой оболочке вульвы, в заднем и боковых сводах влагалища; трещины кожных покровов и слизистых оболочек в области вульвы, задней спайки и перианальной области; при рецидивирующем кандидозном вульвовагините выражены сухость, атрофичность, лихенификация в области поражения, скудные беловатые вагинальные выделения.
Объективные симптомы у мужчин: гиперемия и отечность в области головки полового члена; высыпания в виде пятен, папул или эрозий в области головки полового члена, нередко покрытые белым налетом; трещины в области головки полового члена, гиперемия губок уретры, выделения из уретры, нередко-творожистого характера.
Объективные симптомы у мужчин: гиперемия и отечность в области головки полового члена; высыпания в виде пятен, папул или эрозий в области головки полового члена, нередко покрытые белым налетом; трещины в области головки полового члена, гиперемия губок уретры, выделения из уретры, нередко-творожистого характера.
|
|
Диагностика
1,6 Жалобы и анамнез.
Субъективные симптомы у женщин: белые или желтовато-белые творожистые, густые или сливкообразные выделения из половых путей, как правило, усиливающиеся перед менструацией; зуд, жжение на коже и слизистых оболочках аногенитальной области; дискомфорт в области наружных половых органов; болезненность во время половых контактов (диспареуния); зуд, жжение, болезненность при мочеиспускании (дизурия).Субъективные симптомы у мужчин: покраснение и отечность в области головки полового члена; зуд, жжение в области головки полового члена; высыпания в области головки полового члена, нередко покрытые белым налетом; дискомфорт в области наружных половых органов; диспареуния (болезненность во время половых контактов); дизурия (зуд, жжение, болезненность при мочеиспускании).
Уровень убедительности рекомендаций. Мнение экспертов.
Комментарии. Субъективные и объективные симптомы урогенитального кандидоза в детском возрасте аналогичны таковым у взрослых лиц.
1,7 Физикальное обследование.
Раздел клиническая картина.Уровень убедительности рекомендаций. Мнение экспертов.
2,3 Лабораторная диагностика.
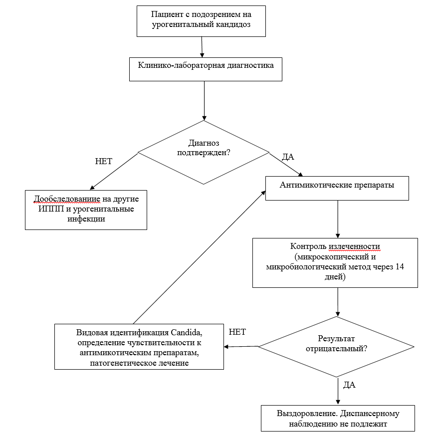
• Рекомендуется верификация диагноза урогенитального кандидоза на основании результатов лабораторных исследований микроскопическим методом (исследование препаратов, окрашенных метиленовым синим по Граму, нативных препаратов и препаратов с добавлением 10% раствора КОН), культуральным методом (с видовой идентификацией возбудителя), молекулярно-биологическими методами, направленными на обнаружение специфических фрагментов ДНК возбудителя, с использованием тест-систем, разрешенных к медицинскому применению в Российской Федерации [33].Уровень убедительности рекомендаций А (уровень достоверности доказательств - 1+).
Комментарии. Чувствительность микроскопического исследования составляет 65-85%, специфичность (при наличии клинических проявлений) - 100%. Культуральное исследование показано при отрицательном результате микроскопии на фоне клинических проявлений заболевания, при рецидивирующем течении УГК с целью определения тактики лечения. Необходимость видовой идентификации возбудителя культуральным или молекулярно-биологическим методами в практическом отношении обусловлена устойчивостью некоторых видов Саndidа к антимикотическим препаратам. В случаях неудачи проведенной терапии культуральное исследование может использоваться для определения чувствительности выделенных грибов сandida spp. к антимикотическим препаратам.
2,4 Инструментальная диагностика.
Не применяется.2,5 Иная диагностика.
• Рекомендуется консультация акушера-гинеколога при вовлечении в воспалительный процесс органов малого таза, при ведении беременных, больных урогенитальным кандидозом [33].Уровень убедительности рекомендаций D (уровень достоверности доказательств - 4).
• Рекомендуется консультация эндокринолога в случае частого рецидивирования УГК после проведенного лечения с целью исключения сопутствующих заболеваний (состояний), которые могут способствовать нарушению нормальной влагалищной микробиоты [33].
Уровень убедительности рекомендаций D (уровень достоверности доказательств - 4).
Лечение
3,1 Консервативное лечение.
• Рекомендовано у женщин для лечения урогенитального кандидоза применять интравагинально один из следующих препаратов:Клотримазол** вагинальная таблетка 200 мг 1 раз в сутки перед сном в течение 3 дней [1, 3-5, 9-13].
Уровень убедительности рекомендаций А (уровень достоверности доказательств 1+).
Или.
Клотримазол** вагинальная таблетка 100 мг 1 раз в сутки перед сном в течение 7 дней [1, 3-5, 9-13].
Уровень убедительности рекомендаций А (уровень достоверности доказательств 1+).
Или.
Клотримазол** крем 1% 5 г 1 раз в сутки перед сном в течение 7-14 дней [1, 3-5, 9-13].
Уровень убедительности рекомендаций А (уровень достоверности доказательств 1+).
Или.
Натамицин** вагинальные суппозитории 100 мг 1 раз в сутки в течение 6 дней [6-8, 11, 16-19].
Уровень убедительности рекомендаций В (уровень достоверности доказательств 2+).
Или.
Бутоконазол 2% крем 5 г 1 раз в сутки перед сном однократно [6-8, 11, 16-19].
Уровень убедительности рекомендаций В (уровень достоверности доказательств 2+).
Или.
Итраконазол вагинальная таблетка 200 мг 1 раз в сутки перед сном в течение 10 дней [3, 14, 15].
Уровень убедительности рекомендаций С (уровень достоверности доказательств 2++).
• Рекомендовано у женщин для лечения урогенитального кандидоза перорально применять один из следующих препаратов:
Флуконазол** 150 мг однократно [4, 5, 13, 20, 21].
Уровень убедительности рекомендаций А ( уровень достоверности доказательств 1++).
Или.
Итраконазол 200 мг 1 раз в день в течение 3 дней [10, 21, 22].
Уровень убедительности рекомендаций А (уровень достоверности доказательств 1+).
• Рекомендовано увеличение длительности интравагинальной терапии препаратами группы азолов до 10-14 дней или увеличение дозы флуконазола: 150 мг перорально дважды с промежутком в 72 часа при наличии выраженных объективных симптомов кандидозного вульвовагинита[3, 23].
Уровень убедительности рекомендаций D (уровень достоверности доказательств 2+).
Комментарий. Лечение хронического рецидивирующего УГК проводить в два этапа. Целью первого этапа является купирование рецидива заболевания. Для этого используются схемы лечения, указанные выше.
• Рекомендовано применение местнодействующих азольных препаратов курсом до 14 дней или флуконазола: 150 мг перорально трижды с интервалами в 72 часа при хроническом рецидивирующем урогенитальном кандидозе, вызванном чувствительными к азолам сandida [3, 23].
Уровень убедительности рекомендаций С (уровень достоверности доказательств 2++).
• Рекомендовано лечение натамицином: 100 мг интравагинально 1 раз в сутки в течение 6-12 дней при выявлении С. non-albicans [4, 6-8].
Уровень убедительности рекомендаций С (уровень достоверности доказательств 2++).
• Рекомендована поддерживающая терапия после достижения клинического и микробиологического эффекта (второй этап) для лечения рецидивирующего урогенитального кандидоза в течение 6 месяцев одним из препаратов:
Натамицин* вагинальные суппозитории 100 мг 1 раз в неделю [6-8, 10, 26, 27].
Уровень убедительности рекомендаций С (уровень достоверности доказательств 2++).
Или.
Клотримазол* вагинальная таблетка 500 мг один раз в неделю [6-8, 10, 26, 27].
Уровень убедительности рекомендаций С (уровень достоверности доказательств 2++).
Или.
Флуконазол* 150 мг перорально 1 раз в неделю [6-8, 10, 26, 27].
Уровень убедительности рекомендаций С (уровень достоверности доказательств 2++).
Комментарии. При развитии рецидивов заболевания после отмены поддерживающей терапии менее 4 раз в течение года лечение проводится по схемам терапии отдельного эпизода. Если рецидивы развивались более 4 раз в год, следует возобновить курс поддерживающей терапии. Целесообразность применения влагалищных спринцеваний антисептическими растворами для снижения выраженности клинической симптоматики, а также вагинальных свечей с лактобактериями для нормализации состояния вагинального микроценоза не является доказанной, так как систематические обзоры, рандомизированные, контролируемые исследования, подтверждающие целесообразность их применения, отсутствуют.
• Рекомендовано для лечения беременных интравагинально назначать. Натамицин* вагинальные суппозитории 100 мг 1 раз в сутки в течение 3-6 дней (разрешен к применению с 1-го триместра беременности) [3, 6, 23, 28-30].
Уровень убедительности рекомендаций С (уровень достоверности доказательств 2++).
Или.
Клотримазол* вагинальная таблетка 100 мг 1 раз в сутки перед сном в течение 7 дней (разрешен к применению со 2-го триместра беременности) [3, 6, 23, 28-30].
Уровень убедительности рекомендаций С (уровень достоверности доказательств 2++).
Или.
Клотримазол* 1% крем 5 г 1 раз в сутки перед сном в течение 7 дней (разрешен к применению со 2-го триместра беременности) [3, 6, 23, 28-30].
Уровень убедительности рекомендаций С (уровень достоверности доказательств 2++).
• Рекомендовано для лечения урогенитального кандидоза у мужчин перорально назначать:
Флуконазол*150 мг однократно [13, 20, 31].
Уровень убедительности рекомендаций В (уровень достоверности доказательств 2++).
Или.
Итраконазол 200 мг перорально 1 раз в день в течение 3 дней [30, 32].
Уровень убедительности рекомендаций D (уровень достоверности доказательств 2+).
• Рекомендовано для лечения урогенитального кандидоза у мужчин наружно назначать:
Натамицин* 2% крем 1-2 раза в сутки на область поражения в течение 7 дней [3, 23-35].
Уровень убедительности рекомендаций D (уровень достоверности доказательств 2).
Или.
Клотримазол* 1% крем 2 раза в сутки на область поражения в течение 7 дней [3, 23-35].
Уровень убедительности рекомендаций D (уровень достоверности доказательств 2).
• Рекомендовано для лечения урогенитального кандидоза у детей применение флуконазол* 2 мг на 1 кг массы тела - суточная доза внутрь однократно. [3, 23, 30].
Уровень убедительности рекомендаций С (уровень достоверности доказательств 2++).
Комментарии. При отсутствии эффекта от лечения рекомендуется назначение иных препаратов или методик лечения. В случае УГК, резистентного к стандартной терапии, а также рецидивирующей формы УГК рекомендована видовая идентификация сandida, определение чувствительности к антимикотическим препаратам, а также проведение патогенетического лечения, направленного на исключение факторов, предрасполагающих к поддержанию хронического течения заболевания.
3,2 Хирургическое лечение.
Не применяется.3,3 Иное лечение.
Не применяется.|
|
Реабилитация и амбулаторное лечение
Не применяется.
Профилактика
Установление излеченности урогенитального кандидоза на основании микроскопического и микробиологического методов проводится через 14 дней после окончания лечения. При отрицательных результатах обследования пациенты дальнейшему наблюдению не подлежат.
Врач должен рекомендовать пациенту в период лечения и диспансерного наблюдения воздержаться от половых контактов или использовать барьерные методы контрацепции до установления излеченности.
Профилактика:
• соблюдение правил личной и половой гигиены;
• избегать частой смены половых партнеров;
• избегать случайные половые связи;
• использование средств барьерной контрацепции;
• избегать бесконтрольного и частого употребления антибактериальных, гормональных препаратов,.
• своевременное лечение эндокринной патологии (нарушений углеводного и жирового обмена, заболеваний щитовидной железы), фоновых гинекологических заболеваний, заболеваний желудочно-кишечного тракта,.
• не использовать влагалищные души, частые спринцевания;
• отказаться от тесного синтетического белья и регулярного использования гигиенических прокладок,.
• предотвратить длительное использование внутриматочных средств и влагалищных диафрагм.
При диспансерном наблюдении при отсутствии эффекта от лечения рекомендуется назначение иных препаратов или методик лечения. В случае УГК, резистентного к стандартной терапии, а также рецидивирующей формы УГК рекомендована видовая идентификация сandida, определение чувствительности к антимикотическим препаратам, а также проведение патогенетического лечения, направленного на исключение факторов, предрасполагающих к поддержанию хронического течения заболевания.
Уровень убедительности рекомендаций D (уровень достоверности доказательств - 4).
Врач должен рекомендовать пациенту в период лечения и диспансерного наблюдения воздержаться от половых контактов или использовать барьерные методы контрацепции до установления излеченности.
Профилактика:
• соблюдение правил личной и половой гигиены;
• избегать частой смены половых партнеров;
• избегать случайные половые связи;
• использование средств барьерной контрацепции;
• избегать бесконтрольного и частого употребления антибактериальных, гормональных препаратов,.
• своевременное лечение эндокринной патологии (нарушений углеводного и жирового обмена, заболеваний щитовидной железы), фоновых гинекологических заболеваний, заболеваний желудочно-кишечного тракта,.
• не использовать влагалищные души, частые спринцевания;
• отказаться от тесного синтетического белья и регулярного использования гигиенических прокладок,.
• предотвратить длительное использование внутриматочных средств и влагалищных диафрагм.
При диспансерном наблюдении при отсутствии эффекта от лечения рекомендуется назначение иных препаратов или методик лечения. В случае УГК, резистентного к стандартной терапии, а также рецидивирующей формы УГК рекомендована видовая идентификация сandida, определение чувствительности к антимикотическим препаратам, а также проведение патогенетического лечения, направленного на исключение факторов, предрасполагающих к поддержанию хронического течения заболевания.
Уровень убедительности рекомендаций D (уровень достоверности доказательств - 4).
Критерии оценки качества медицинской помощи
| №№ | Критерии качества | Уровень достоверности доказательств | Уровень убедительности доказательств |
| 1 | Подтверждение диагноза микроскопическим или микробиологическим или молекулярно-биологическими методами исследования | 1+ | А |
| 2 | Проведена терапия флуконазолом или натамицином или клотримазолом или миконазолом или бутоконазолом или итраконазолом | 4 | D |
| 3 | Достигнуто отсутствие псевдомицелия и почкующихся клеток сandida spp. при микроскопическом исследовании при контрольном обследовании | 4 | D |
| 4 | Достигнуто исчезновение клинических симптомов заболевания (клиническое выздоровление) | 4 | D |
Список литературы
• вisschop M.P. et al. сo-treatment of the male partner in vaginal candidosis: a doble-blind randomized control study. вritish Jornal of Obstetrics and Gynaecology 1986, 93 (1): 79-81.
• Ford I.W. et al. The value of treating the sexual partners of women with recurrent vaginal candidiasis with ketoconazole// Genitourin-Med.1992; 68 (3):174-176.
• Sherrard J., Donders G., White D. European (IUSTI/WHO) Guideline on the Management of Vaginal Discharge // Int. J. STD AIDS. 2011. N 22. P. 421-429.
• Watson M.C. et al. Oral versus intra-vaginal imidazole and triazole anti-fungal agents for the treatment of uncomplicated vulvovaginal candidiasis (thrush): a systematic review. вJOG: an international Jornal of Obstetrics and Gynecology, 2002; 109 (1): 85-95.
• Watson M.C. et al. Oral versus intra-vaginal imidazole and triazole anti-fungal treatment of uncomplicated vulvovaginal candidiasis (thrush). Update of сochrane Database Syst Rev, 2001; (1); сD 002845; 11279767. сochrane Database of Systematic Reviews 2001; (4): сD 002845.
• Мальбахова Е.Т., Арзуманян В.Г., Комиссарова Л.М. Натамицин и препараты азолового ряда: клиническая и лабораторная эффективность при вульвовагинальном кандидозе у небеременных // Вопр. гин., акуш. и перинатол. 2012. Т. 11, № 3. С. 11-17.
• Vartiainen E, Widholm O. A single-blind, group-comparative study to compare the efficacy of Pimafucin 100 mg ovules and Gyno-Daktarin 400 mg vaginal capsules in the treatment of vulvovaginal candidiasis// Gist-Brocades Documentation. 1987. №451. Р. 1-16.
• Wiedey KD, Kompa HE, Franz H. Dosiswirkungs mit dem polyenantimykotikum Natamycin in einem galenish neu entwickelten Ovulum bei vaginalen Hefeinfektionen// Mycosen. 1984. 27(8). Р. 415-420.
• Perera J., Seneviratne H. R. Econazole and clotrimazole in the treatment of vaginal candidiasis: a double blind comparative study// сeylon Med J. 1994. 39 (3). Р. 132-134.
• Fong I. W., вannatyne R. M., Wong P. Lack of in vitro resistance of сandida albicans to ketoconazole, itraconazole and clotrimazole in women treated for recurrent vaginal candidiasis// GenitourinMed. 1993. 69 (1). Р. 44-46.
• Eliot в. W., Howat R. с., Mack A. E. A comparison between the effects of nystatin, clotrimazole and miconazole on vaginal candidiasis// вr J Obstet Gynaecol. 1979. 86 (7). Р. 572-577.
• Emokpare N. A. сlinical experiences with clotrimazole in treating vaginal candidiasis// Z Hautkr. 1979. 54 (16). Р. 738-742.
• Odds F.C. сandida and сandidosis; a review and bibliography Second ed. London: вailliere Tindall; 1988.
• Просовецкая А.Л. Новые аспекты в лечении кандидозного вульвовагинита// Вестник дерматологии и венерологии. 2006. 6. С.5-9.
• Рахматулина М.Р., Просовецкая А.Л. Кандидозный вульвовагинит: новые возможности фармакотерапии// Венеролог. 2006. №10. С.50-54.
• вradbeer с.S. et al. вutoconazole and myconazole in treating vaginal candidiasis// Genitourin Med. 1985. 61:270. P.2.
• сorson S.L. et al. Terconazole and miconazole cream for treating vulvovaginal candidiasis// The Journal of Reproduct Med. 1991. - v.36, N8. P.561 - 567.
• Myra A. Lappin et al. Effect of вutoconazole Nitrate 2% vaginal cream and Miconazole Nitrate 2% vaginal cream treatmens in patients with vulvovaginal candidiasis// Infectious Diseases in Obstetr and Gynecol. 1996. N4. P. 323-328.
• Raymond H. et al. сomparison of 3-Day вutoconazole treatment with 7-Day Miconazole treatment for vulvovaginal candidiasis// The Journal of reproductive Medicine - 1989. - v.34, N7. - p.479-483.
• Веселов А.В. In vitro активность флуконазола и вориконазола в отношении более 10 000 штаммов дрожжей: Результаты 5летнего проспективного исследования ARTEMISK Disk в России // Клин. микробиол. антимикроб. химиотер. 2008. Т. 10, № 4. С. 345-354.
• Pitsouni E, Iavazzo с, Falagas ME. Itraconazole vs fluconazole for the treatment of uncomplicated acute vaginal and vulvovaginal candidiasis in nonpregnant women: a metaanalysis of randomized controlled trials// Am J Obstet Gynecol. 2008. 198(2). Р.153-160.
• Gary E. Stein et al. Placebo-cоntrolled trial of itraconazole for treatment of acute vaginal candidiasis// Antimicrobial agents and сhemother. 1993. - v.37, N1. P.89-92.
• Workowski K., вerman S. Sexually Transmitted Diseases Treatment Guidelines, 2010 // MMWR. 2010. Vol. 59 (RR12). P. 1-110. URL: cdc.gov/mmwr.
• Masterton G. et al. Natamycin in genital candidosis in men// вrit.J. Vener. Dis. 1975. N51. P.210 - 212.
• Урология. Национальное руководство Под ред. Н.А. Лопаткина. Издательство ГЭОТАР_Медиа, 2009. 1024с.
• Floyd R., Jr., Hodgson с. One-day treatment of vulvovaginal candidiasis with a 500-mg clotrimazole vaginal tablet compared with a three-day regimen of two 100-mg vaginal tablets daily// сlin Ther. 1986. 8 (2). Р. 181-186.
• Sobel J. et al. Maintenance fluconazole therapy for reccurent vulvovaginal candidiasis// The New England Journal of Med. 2004. - v.351. P.876 - 883.
• Новиков Б.Н. Клиническая эффективность препарата «Пимафуцин» при вульвовагинальном кандидозе у беременных// Гинекология. 2007. - том 9, №3. С. 16-18.
• Прилепская В.Н., Пикуза В.В. Применение Пимафуцина в лечении вагинального кандидоза // Клиническая фармакология и терапия. 1994. 3. С.85.
• Ведение больных с инфекциями, передаваемыми половым путем, и урогенитальными инфекциями: Клинические рекомендации. Российское общество дерматовенерологов и косметологов. М. Деловой экспресс, 2012. 112 с.
• Аляев Ю.Г., Григорян В.А., Султанова Е.А., Алленов С.Н., Шпоть Е.В. Применение флуконазола для лечения грибковых инфекций в урологии // Русский медицинский журнал. Урология. 2006. №28. С.2032.
• Петрова Т.Л. Опыт применения итраконазола в лечении урогенитального кандидоза // Русский медицинский журнал. Фармакотерапия. 2014 - №8. С.606 - 609.
• Ford I.W. et al. The value of treating the sexual partners of women with recurrent vaginal candidiasis with ketoconazole// Genitourin-Med.1992; 68 (3):174-176.
• Sherrard J., Donders G., White D. European (IUSTI/WHO) Guideline on the Management of Vaginal Discharge // Int. J. STD AIDS. 2011. N 22. P. 421-429.
• Watson M.C. et al. Oral versus intra-vaginal imidazole and triazole anti-fungal agents for the treatment of uncomplicated vulvovaginal candidiasis (thrush): a systematic review. вJOG: an international Jornal of Obstetrics and Gynecology, 2002; 109 (1): 85-95.
• Watson M.C. et al. Oral versus intra-vaginal imidazole and triazole anti-fungal treatment of uncomplicated vulvovaginal candidiasis (thrush). Update of сochrane Database Syst Rev, 2001; (1); сD 002845; 11279767. сochrane Database of Systematic Reviews 2001; (4): сD 002845.
• Мальбахова Е.Т., Арзуманян В.Г., Комиссарова Л.М. Натамицин и препараты азолового ряда: клиническая и лабораторная эффективность при вульвовагинальном кандидозе у небеременных // Вопр. гин., акуш. и перинатол. 2012. Т. 11, № 3. С. 11-17.
• Vartiainen E, Widholm O. A single-blind, group-comparative study to compare the efficacy of Pimafucin 100 mg ovules and Gyno-Daktarin 400 mg vaginal capsules in the treatment of vulvovaginal candidiasis// Gist-Brocades Documentation. 1987. №451. Р. 1-16.
• Wiedey KD, Kompa HE, Franz H. Dosiswirkungs mit dem polyenantimykotikum Natamycin in einem galenish neu entwickelten Ovulum bei vaginalen Hefeinfektionen// Mycosen. 1984. 27(8). Р. 415-420.
• Perera J., Seneviratne H. R. Econazole and clotrimazole in the treatment of vaginal candidiasis: a double blind comparative study// сeylon Med J. 1994. 39 (3). Р. 132-134.
• Fong I. W., вannatyne R. M., Wong P. Lack of in vitro resistance of сandida albicans to ketoconazole, itraconazole and clotrimazole in women treated for recurrent vaginal candidiasis// GenitourinMed. 1993. 69 (1). Р. 44-46.
• Eliot в. W., Howat R. с., Mack A. E. A comparison between the effects of nystatin, clotrimazole and miconazole on vaginal candidiasis// вr J Obstet Gynaecol. 1979. 86 (7). Р. 572-577.
• Emokpare N. A. сlinical experiences with clotrimazole in treating vaginal candidiasis// Z Hautkr. 1979. 54 (16). Р. 738-742.
• Odds F.C. сandida and сandidosis; a review and bibliography Second ed. London: вailliere Tindall; 1988.
• Просовецкая А.Л. Новые аспекты в лечении кандидозного вульвовагинита// Вестник дерматологии и венерологии. 2006. 6. С.5-9.
• Рахматулина М.Р., Просовецкая А.Л. Кандидозный вульвовагинит: новые возможности фармакотерапии// Венеролог. 2006. №10. С.50-54.
• вradbeer с.S. et al. вutoconazole and myconazole in treating vaginal candidiasis// Genitourin Med. 1985. 61:270. P.2.
• сorson S.L. et al. Terconazole and miconazole cream for treating vulvovaginal candidiasis// The Journal of Reproduct Med. 1991. - v.36, N8. P.561 - 567.
• Myra A. Lappin et al. Effect of вutoconazole Nitrate 2% vaginal cream and Miconazole Nitrate 2% vaginal cream treatmens in patients with vulvovaginal candidiasis// Infectious Diseases in Obstetr and Gynecol. 1996. N4. P. 323-328.
• Raymond H. et al. сomparison of 3-Day вutoconazole treatment with 7-Day Miconazole treatment for vulvovaginal candidiasis// The Journal of reproductive Medicine - 1989. - v.34, N7. - p.479-483.
• Веселов А.В. In vitro активность флуконазола и вориконазола в отношении более 10 000 штаммов дрожжей: Результаты 5летнего проспективного исследования ARTEMISK Disk в России // Клин. микробиол. антимикроб. химиотер. 2008. Т. 10, № 4. С. 345-354.
• Pitsouni E, Iavazzo с, Falagas ME. Itraconazole vs fluconazole for the treatment of uncomplicated acute vaginal and vulvovaginal candidiasis in nonpregnant women: a metaanalysis of randomized controlled trials// Am J Obstet Gynecol. 2008. 198(2). Р.153-160.
• Gary E. Stein et al. Placebo-cоntrolled trial of itraconazole for treatment of acute vaginal candidiasis// Antimicrobial agents and сhemother. 1993. - v.37, N1. P.89-92.
• Workowski K., вerman S. Sexually Transmitted Diseases Treatment Guidelines, 2010 // MMWR. 2010. Vol. 59 (RR12). P. 1-110. URL: cdc.gov/mmwr.
• Masterton G. et al. Natamycin in genital candidosis in men// вrit.J. Vener. Dis. 1975. N51. P.210 - 212.
• Урология. Национальное руководство Под ред. Н.А. Лопаткина. Издательство ГЭОТАР_Медиа, 2009. 1024с.
• Floyd R., Jr., Hodgson с. One-day treatment of vulvovaginal candidiasis with a 500-mg clotrimazole vaginal tablet compared with a three-day regimen of two 100-mg vaginal tablets daily// сlin Ther. 1986. 8 (2). Р. 181-186.
• Sobel J. et al. Maintenance fluconazole therapy for reccurent vulvovaginal candidiasis// The New England Journal of Med. 2004. - v.351. P.876 - 883.
• Новиков Б.Н. Клиническая эффективность препарата «Пимафуцин» при вульвовагинальном кандидозе у беременных// Гинекология. 2007. - том 9, №3. С. 16-18.
• Прилепская В.Н., Пикуза В.В. Применение Пимафуцина в лечении вагинального кандидоза // Клиническая фармакология и терапия. 1994. 3. С.85.
• Ведение больных с инфекциями, передаваемыми половым путем, и урогенитальными инфекциями: Клинические рекомендации. Российское общество дерматовенерологов и косметологов. М. Деловой экспресс, 2012. 112 с.
• Аляев Ю.Г., Григорян В.А., Султанова Е.А., Алленов С.Н., Шпоть Е.В. Применение флуконазола для лечения грибковых инфекций в урологии // Русский медицинский журнал. Урология. 2006. №28. С.2032.
• Петрова Т.Л. Опыт применения итраконазола в лечении урогенитального кандидоза // Русский медицинский журнал. Фармакотерапия. 2014 - №8. С.606 - 609.
|
|
Приложения
Приложение А1.
Состав рабочей группы.• Кубанова Анна Алексеевна - академик РАН, доктор медицинских наук, профессор, Президент Российского общества дерматовенерологов и косметологов. Конфликт интересов отсутствует.
• Кубанов Алексей Алексеевич - доктор медицинских наук, профессор, член Российского общества дерматовенерологов и косметологов. Конфликт интересов отсутствует.
• Рахматулина Маргарита Рафиковна - доктор медицинских наук, профессор кафедры дерматовенерологии и косметологии ФГБУ ДПО «Российская медицинская академия последипломного образования» Минздрава России, член Российского общества дерматовенерологов и косметологов. Конфликт интересов отсутствует.
• Малова Ирина Олеговна - доктор медицинских наук, профессор, член Российского общества дерматовенерологов и косметологов. Конфликт интересов отсутствует.
• Соколовский Евгений Владиславович - доктор медицинских наук, профессор, член Российского общества дерматовенерологов и косметологов. Конфликт интересов отсутствует.
• Аполихина Инна Анатольевна - доктор медицинских наук, профессор, член Российского общества акушеров-гинекологов. Конфликт интересов отсутствует.
• Мелкумян Алина Грантовна - кандидат медицинских наук, член Российского общества акушеров-гинекологов. Конфликт интересов отсутствует.
Приложение А2.
Методология разработки клинических рекомендаций.Целевая аудитория клинических рекомендаций:
• Врачи-специалисты: дерматовенерологи, акушеры-гинекологи, урологи;• Ординаторы и слушатели циклов повышения квалификации по указанным специальностям.
Таблица П1- Уровни достоверности доказательств.
| Уровни достоверности доказательств | Описание |
| 1++ | Мета-анализы высокого качества, систематические обзоры рандомизированных контролируемых исследований (РКИ) или РКИ с очень низким риском систематических ошибок |
| 1+ | Качественно проведенные мета-анализы, систематические, или РКИ с низким риском систематических ошибок |
| 1- | Мета-анализы, систематические, или РКИ с высоким риском систематических ошибок |
| 2++ | Высококачественные систематические обзоры исследований случай-контроль или когортных исследований. Высококачественные обзоры исследований случай-контроль или когортных исследований с очень низким риском эффектов смешивания или систематических ошибок и средней вероятностью причинной взаимосвязи |
| 2+ | Хорошо проведенные исследования случай-контроль или когортные исследования со средним риском эффектов смешивания или систематических ошибок и средней вероятностью причинной взаимосвязи |
| 2- | Исследования случай-контроль или когортные исследования с высоким риском эффектов смешивания или систематических ошибок и средней вероятностью причинной взаимосвязи |
| 3 | Неаналитические исследования (например, описания случаев, серий случаев) |
| 4 | Мнение экспертов |
Таблица П2 - Уровни убедительности рекомендаций.
| Уровень убедительности доказательств | Характеристика показателя |
| А | По меньшей мере один мета-анализ, систематический обзор или РКИ, оцененные как 1++, напрямую применимые к целевой популяции и демонстрирующие устойчивость результатов или группа доказательств, включающая результаты исследований, оцененные как 1+, напрямую применимые к целевой популяции и демонстрирующие общую устойчивость результатов |
| В | Группа доказательств, включающая результаты исследований, оцененные как 2++, напрямую применимые к целевой популяции и демонстрирующие общую устойчивость результатов или экстраполированные доказательства из исследований, оцененных как 1++ или 1+ |
| С | Группа доказательств, включающая результаты исследований, оцененные как 2+, напрямую применимые к целевой популяции и демонстрирующие общую устойчивость результатов; или экстраполированные доказательства из исследований, оцененных как 2++ |
| D | Доказательства уровня 3 или 4; или экстраполированные доказательства из исследований, оцененных как 2+ |
Порядок обновления клинических рекомендаций.
Рекомендации в предварительной версии рецензируются независимыми экспертами. Комментарии, полученные от экспертов, систематизируются и обсуждаются членами рабочей группы. Вносимые в результате этого изменения в рекомендации или причины отказа от внесения изменений регистрируются.Предварительная версия рекомендаций выставляется для обсуждения на сайте ФГБУ «Государственный научный центр дерматовенерологии и косметологии» Минздрава России для того, чтобы лица, не участвующие в разработке рекомендаций, имели возможность принять участие в обсуждении и совершенствовании рекомендаций.
Для окончательной редакции и контроля качества рекомендации повторно анализируются членами рабочей группы.
Приложение А3.
Связанные документы.Данные клинические рекомендации разработаны с учётом следующих нормативно-правовых документов:
• Порядок оказания медицинской помощи по профилю «дерматовенерология», утвержденный Приказом Министерства здравоохранения Российской Федерации № 924н от 15 ноября 2012 г.
• Порядок оказания медицинской помощи по профилю «акушерство и гинекология», утвержденный Приказом Министерства здравоохранения Российской Федерации № 572н от 1 ноября 2012 г.
Приложение В.
Информация для пациентов.• В период лечения и диспансерного наблюдения необходимо воздержаться от половых контактов или использовать барьерные методы контрацепции до установления излеченности.
• С целью установления излеченности необходима повторная явка к врачу для обследования через 14 дней после окончания лечения.
• Необходимо соблюдать правила личной и половой гигиены, избегать частой смены половых партнеров и случайных половых связей.
• С целью предотвращения повторных эпизодов УГК необходимо избегать бесконтрольного употребления антибактериальных и гормональных препаратов, своевременно лечить эндокринную патологию, фоновые гинекологические заболевания, заболевания желудочно-кишечного тракта, не злоупотреблять частыми спринцеваниями; отказаться от тесного синтетического белья и регулярного использования гигиенических прокладок.