МКБ-10 коды
|
|
Вступление
Кодирование по Международной статистической классификации болезней и проблем, связанных со здоровьем: J21: J21.0 ; J21.8; J21.9.
Год утверждения (частота пересмотра): 2021.
Возрастная категория: Дети.
Пересмотр не позднее: 2023.
ID: 360.
Разработчик клинической рекомендации.
• Союз педиатров России.
Одобрено Научно-практическим Советом Минздрава РФ.
Год утверждения (частота пересмотра): 2021.
Возрастная категория: Дети.
Пересмотр не позднее: 2023.
ID: 360.
Разработчик клинической рекомендации.
• Союз педиатров России.
Одобрено Научно-практическим Советом Минздрава РФ.
|
|
Список сокращений
БЛД - бронхолегочная дисплазия.
ВПС - врожденные пороки сердца.
ИГК - ингаляционные глюкокортикостероиды (R03BA- Глюкокортикоиды).
РС - респираторно-синцитиальная вирусная инфекция.
ВПС - врожденные пороки сердца.
ИГК - ингаляционные глюкокортикостероиды (R03BA- Глюкокортикоиды).
РС - респираторно-синцитиальная вирусная инфекция.
Термины и определения
Новые и узконаправленные профессиональные термины в настоящих клинических рекомендациях не используются.
Описание
Согласно принятой в России Классификации клинических форм бронхолегочных заболеваний у детей [1] острый бронхиолит (J21) определяется как воспалительное заболевание нижних дыхательных путей с преимущественным поражением мелких бронхов и бронхиол и развивается у детей в возрасте до 2 лет (наиболее часто - у детей в возрасте до 1 года).
Симптомокомплекс острого бронхиолита включает обструкцию нижних дыхательных путей, возникающую на фоне острой респираторной вирусной инфекции (или при воздействии раздражителей) и сопровождающуюся кашлем и признаками дыхательной недостаточности: затрудненным кряхтящим дыханием, тахипноэ, втяжением межреберных промежутков и/или подреберий, раздуванием крыльев носа и двусторонними хрипами в легких [2,3].
Симптомокомплекс острого бронхиолита включает обструкцию нижних дыхательных путей, возникающую на фоне острой респираторной вирусной инфекции (или при воздействии раздражителей) и сопровождающуюся кашлем и признаками дыхательной недостаточности: затрудненным кряхтящим дыханием, тахипноэ, втяжением межреберных промежутков и/или подреберий, раздуванием крыльев носа и двусторонними хрипами в легких [2,3].
Причины
Бронхиолит чаще развивается в ответ на респираторно-синцитиальную (РС) вирусную инфекцию (60-70%). У недоношенных, особенно с бронхолегочной дисплазией (БЛД) и на искусственном вскармливании, этиологически значимым агентом при бронхиолите может быть риновирус (до 40% случаев) [4]. Как причинные факторы заболевания также рассматриваются вирусы гриппа А и В, парагриппа, аденовирус, коронавирус, метапневмовирус и бокавирус человека.
РС-вирусную инфекцию переносят практически все дети в первые 2 года жизни (90%), однако лишь приблизительно в 20% случаев у них развивается бронхиолит, что может быть обусловлено наличием предрасполагающих факторов [5].
К дополнительным факторам риска развития бронхиолита относят:
• Наличие старших детей в семье.
• Возраст до 6 месяцев.
• Рождение за ≤ 6 мес. до начала РСВ-сезона.
• Большая семья (≥ 4 человек).
• Грудное вскармливание ≤ 2 месяцев.
• Посещение детского сада.
• Дети от многоплодной беременности [6,7,8].
Факторы риска развития тяжелого течения бронхиолита:
• Недоношенность (<35 недель гестации).
• БЛД.
• Другие хронические поражения респираторного тракта (например, врожденные пороки развития).
• Гемодинамически значимые сердечно-сосудистые нарушения.
• Иммунодефициты.
• Возраст младше 3 месяцев.
• Мужской пол.
• Низкий социально-экономический уровень семьи.
• Курение матери во время беременности, пассивное курение.
• РС-инфекция.
• Нейромышечные заболевания.
• Генетические особенности [2,3].
В патогенезе основную роль играют некроз и десквамация эпителия терминальных и респираторных бронхиол, лимфоцитарная и нейтрофильная инфильтрация и отек их стенки. Также отмечается гиперсекреция слизи.
Морфологические характеристики острого вирусного бронхиолита объясняют малую эффективность препаратов для лечения обструктивных заболеваний дыхательных путей у большинства пациентов.
При бронхиолите возможно развитие мелких ателектазов в случае полной обтурации просвета пораженных участков дыхательных путей или, при частичной обтурации, диффузные проявления симптома «воздушной ловушки». В свою очередь, ателектазы и «воздушные ловушки» способствуют развитию гипоксемии и гиперкапнии вследствие нарушения вентиляционно-перфузионных отношений.
Выдох, производимый с усилием дыхательных мышц, приводит к развитию симптомов дыхательной недостаточности, особенно у недоношенных, у детей с БЛД, врожденными пороками сердца (ВПС), нейромышечной патологией [3].
У детей с бронхиолитом возможно развитие катарального отита, что подтверждается отоскопией. Гнойный отит сопутствует бронхиолиту крайне редко. Инфекция мочевых путей выявляется у 3,3%. Бактериемия - в 0,3% [9].
Присоединение бактериальной пневмонии наблюдается менее чем в 1% случаев [10]. Риск вторичной бактериальной пневмонии возрастает у детей, госпитализированных в ОРИТ, особенно при интубации [11,12].
РС-вирусную инфекцию переносят практически все дети в первые 2 года жизни (90%), однако лишь приблизительно в 20% случаев у них развивается бронхиолит, что может быть обусловлено наличием предрасполагающих факторов [5].
К дополнительным факторам риска развития бронхиолита относят:
• Наличие старших детей в семье.
• Возраст до 6 месяцев.
• Рождение за ≤ 6 мес. до начала РСВ-сезона.
• Большая семья (≥ 4 человек).
• Грудное вскармливание ≤ 2 месяцев.
• Посещение детского сада.
• Дети от многоплодной беременности [6,7,8].
Факторы риска развития тяжелого течения бронхиолита:
• Недоношенность (<35 недель гестации).
• БЛД.
• Другие хронические поражения респираторного тракта (например, врожденные пороки развития).
• Гемодинамически значимые сердечно-сосудистые нарушения.
• Иммунодефициты.
• Возраст младше 3 месяцев.
• Мужской пол.
• Низкий социально-экономический уровень семьи.
• Курение матери во время беременности, пассивное курение.
• РС-инфекция.
• Нейромышечные заболевания.
• Генетические особенности [2,3].
В патогенезе основную роль играют некроз и десквамация эпителия терминальных и респираторных бронхиол, лимфоцитарная и нейтрофильная инфильтрация и отек их стенки. Также отмечается гиперсекреция слизи.
Морфологические характеристики острого вирусного бронхиолита объясняют малую эффективность препаратов для лечения обструктивных заболеваний дыхательных путей у большинства пациентов.
При бронхиолите возможно развитие мелких ателектазов в случае полной обтурации просвета пораженных участков дыхательных путей или, при частичной обтурации, диффузные проявления симптома «воздушной ловушки». В свою очередь, ателектазы и «воздушные ловушки» способствуют развитию гипоксемии и гиперкапнии вследствие нарушения вентиляционно-перфузионных отношений.
Выдох, производимый с усилием дыхательных мышц, приводит к развитию симптомов дыхательной недостаточности, особенно у недоношенных, у детей с БЛД, врожденными пороками сердца (ВПС), нейромышечной патологией [3].
У детей с бронхиолитом возможно развитие катарального отита, что подтверждается отоскопией. Гнойный отит сопутствует бронхиолиту крайне редко. Инфекция мочевых путей выявляется у 3,3%. Бактериемия - в 0,3% [9].
Присоединение бактериальной пневмонии наблюдается менее чем в 1% случаев [10]. Риск вторичной бактериальной пневмонии возрастает у детей, госпитализированных в ОРИТ, особенно при интубации [11,12].
Эпидемиология
Бронхиолит наиболее часто встречается у детей в возрасте до 9 месяцев в (90% случаев). Ежегодно в мире регистрируется 150 миллионов случаев бронхиолита (11 заболевших на 100 детей грудного возраста), 7-13% из которых требуют стационарного лечения и 1-3% - госпитализации в отделение интенсивной терапии [3].
Сезонный пик заболеваемости бронхиолитом в наших географических широтах продолжается с ноября по апрель.
J21,8 - Острый бронхиолит, вызванный другими уточненными агентами.
J21,9 - Острый бронхиолит неуточненный.
Примеры формулировки диагнозов:
• Острый бронхиолит (РС-вирусный). Дыхательная недостаточность I-II степени.
• Острый бронхиолит. Дыхательная недостаточность I степени.
Сезонный пик заболеваемости бронхиолитом в наших географических широтах продолжается с ноября по апрель.
1,4 Особенности кодирования заболевания или состояния (группы заболеваний или состояний) по Международной статистической классификации болезней и проблем, связанных со здоровьем.
J21,0 - Острый бронхиолит, вызванный респираторным синцитиальным вирусом.J21,8 - Острый бронхиолит, вызванный другими уточненными агентами.
J21,9 - Острый бронхиолит неуточненный.
Примеры формулировки диагнозов:
• Острый бронхиолит (РС-вирусный). Дыхательная недостаточность I-II степени.
• Острый бронхиолит. Дыхательная недостаточность I степени.
Классификация
1,5 Классификация заболевания или состояния (группы заболеваний или состояний).
Единой классификации бронхиолитов не существует.Клиническая классификация бронхиолитов основана на этиологии, а также включает системные заболевания, при которых бронхиолит развивается как один из синдромов [9]:
Бронхиолиты, развившиеся вследствие вдыхания различных веществ:
• Бронхиолит, развившийся вследствие вдыхания дыма.
• Бронхиолит, развившийся вследствие воздействия раздражающих газов и минеральной пыли.
• Бронхиолит, развившийся вследствие вдыхания органической пыли.
Инфекционный бронхиолит (вирусный).
Постинфекционный (облитерирующий) бронхиолит.
Бронхиолит, индуцированный лекарственными средствами.
Бронхиолит, ассоциированный с коллагенозами.
Бронхиолит, ассоциированный с воспалительными заболеваниями кишечника.
Посттрансплантационный бронхиолит.
Бронхиолит, ассоциированный с паранеопластической пузырчаткой.
Гиперплазия нейроэндокринных клеток с бронхиолярным фиброзом.
Диффузный панбронхиолит.
Криптогенный бронхиолит.
Прочие:
• Семейные формы фолликулярного бронхиолита.
• Бронхиолит при иммунодефицитах.
• Бронхиолит при лизинурии.
• Бронхиолит при атаксии-телеангиоэктазии (синдроме Луи-Бар).
• Бронхиолит при IgA нефропатии.
Четких критериев степени тяжести бронхиолита до настоящего времени не разработано. Для оценки тяжести течения бронхиолита следует ориентироваться на признаки дыхательной недостаточности.
Таблица 1. Симптомы дыхательной недостаточности в соответствии со степенями выраженности.
| Степень дыхательной недостаточности | Симптомы дыхательной недостаточности |
| I | Одышка, тахикардия, раздувание крыльев носа при значимой физической нагрузке |
| II | Одышка, тахикардия при незначительной физической нагрузке. Небольшой цианоз губ, периоральной области, акроцианоз. Раздувание крыльев носа, втяжение межреберий и/или подреберий. |
| III | Выражена одышка, тахипноэ в покое. Поверхностное дыхание. Разлитой цианоз кожи, слизистых оболочек (следует помнить, что цианоз не всегда отражает степень дыхательной недостаточности у ребенка). Участие в акте дыхания вспомогательной мускулатуры. Ребенок вялый, адинамичный или, наоборот, очень беспокойный. Может развиться гипоксическая энцефалопатия (нарушение сознания, судороги). |
| IV | Гипоксемическая кома. Сознание отсутствует, дыхание аритмичное, периодическое, поверхностное. |
|
|
Клиническая картина
Клиника бронхиолита не зависит от вида вируса. Заболевание обычно развивается на 2-5 день острой инфекции верхних дыхательных путей и протекает чаще с субфебрильной температурой, характеризуется нарастающим в течение 3-4 дней кашлем, одышкой экспираторного типа [3,13,14,15].
У недоношенных детей первым клиническим проявлением бронхиолита может быть апноэ [3].
Необходимо отметить, что клинические проявления бронхиолита у детей динамичны и характеризуются быстрой сменой.
Для бронхиолита характерны: тахипноэ 50-70 в минуту, мелкопузырчатые хрипы и/или крепитация в легких с обеих сторон, нередко также выявляются сухие свистящие хрипы.
Визуально может отмечаться вздутие грудной клетки, перкуторно определяется коробочный оттенок звука. Нарастание диспноэ может не сопровождаться учащением дыхания, проявляясь усилением выдоха, участием вспомогательных мышц в акте дыхания, втяжением межреберий на вдохе, раздуванием крыльев носа.
Обструктивный синдром при бронхиолите достигает максимума в течение 1-2 дней, затем постепенно уменьшается, как и обилие хрипов в легких, они обычно исчезают на 7-14 день [13]. Кашель иногда может сохраняться в течение 3-х недель [15].
Возможно выявление катаральных симптомов.
При бронхиолите у ребенка может развиться дегидратация с метаболическим ацидозом, обусловленные повышенной потребностью в жидкости за счет лихорадки и тахипноэ, снижения объема потребляемой жидкости из-за отказа ребенка пить вследствие дыхательной недостаточности и/или рвоты. У детей с тяжелым респираторным дистресс-синдромом нередко наблюдается синдром неадекватной секреции антидиуретического гормона (SIADH) с гипонатриемией и гиперволемией.
У недоношенных детей первым клиническим проявлением бронхиолита может быть апноэ [3].
Необходимо отметить, что клинические проявления бронхиолита у детей динамичны и характеризуются быстрой сменой.
Для бронхиолита характерны: тахипноэ 50-70 в минуту, мелкопузырчатые хрипы и/или крепитация в легких с обеих сторон, нередко также выявляются сухие свистящие хрипы.
Визуально может отмечаться вздутие грудной клетки, перкуторно определяется коробочный оттенок звука. Нарастание диспноэ может не сопровождаться учащением дыхания, проявляясь усилением выдоха, участием вспомогательных мышц в акте дыхания, втяжением межреберий на вдохе, раздуванием крыльев носа.
Обструктивный синдром при бронхиолите достигает максимума в течение 1-2 дней, затем постепенно уменьшается, как и обилие хрипов в легких, они обычно исчезают на 7-14 день [13]. Кашель иногда может сохраняться в течение 3-х недель [15].
Возможно выявление катаральных симптомов.
При бронхиолите у ребенка может развиться дегидратация с метаболическим ацидозом, обусловленные повышенной потребностью в жидкости за счет лихорадки и тахипноэ, снижения объема потребляемой жидкости из-за отказа ребенка пить вследствие дыхательной недостаточности и/или рвоты. У детей с тяжелым респираторным дистресс-синдромом нередко наблюдается синдром неадекватной секреции антидиуретического гормона (SIADH) с гипонатриемией и гиперволемией.
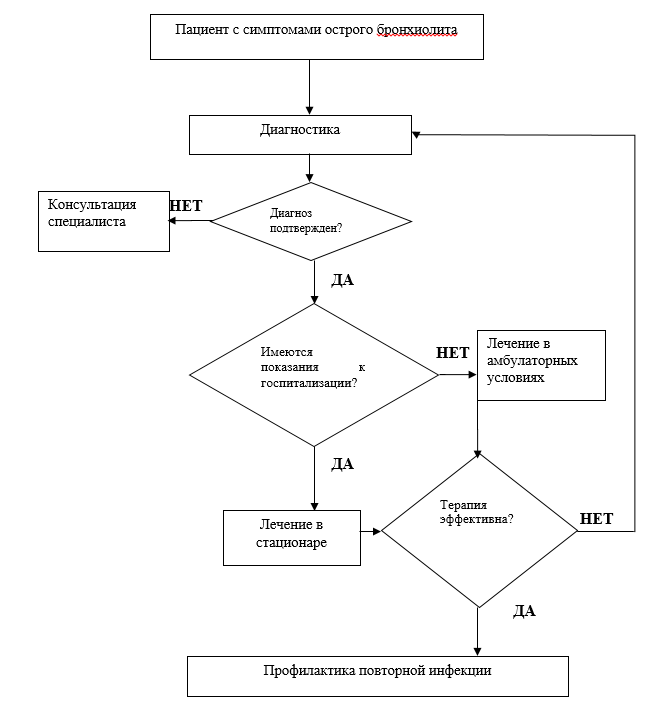
Диагностика
Диагноз острого бронхиолита у детей - клинический, для постановки диагноза обычно не требуется применение лабораторных, инструментальных и прочих исследований.
Как правило, исследования проводятся с целью этиологической или дифференциальной диагностики.
Бронхиолит проявляется обструкцией нижних дыхательных путей, возникающей на фоне острой респираторной вирусной инфекции (или при воздействии раздражителей) и сопровождающейся кашлем и признаками дыхательной недостаточности: затрудненным кряхтящим дыханием, тахипноэ, втяжением межреберных промежутков и/или подреберий, раздуванием крыльев носа и двусторонними хрипами в легких.
• При сборе анамнеза рекомендовано выяснить возможные факторы риска тяжелого течения бронхиолита оценить возможности ухода за ребенком в домашних условиях [2,3,13,14,15].
Уровень убедительности рекомендации с (Уровень достоверности доказательств 5).
• Участие вспомогательной мускулатуры в акте дыхания;
• Подсчет частоты дыхания [2,3,13,14,15].
Уровень убедительности рекомендации с (Уровень достоверности доказательств 5).
Уровень убедительности рекомендации с (Уровень достоверности доказательств 5).
Комментарий. Для постановки диагноза, как правило, не требуется проведение лабораторных исследований. Общий клинический анализ крови (Общий (клинический) анализ крови или Общий (клинический) анализ крови развернутый).
Малоинформативен для установления диагноза. При остром вирусном бронхиолите часто наблюдается лимфоцитарный лейкоцитоз, но не бывает нейтрофильного. Повышение уровня С- реактивного белка (СРБ) и прокальцитонина (ПКТ) не характерно.
• При остром бронхиолите рекомендовано рассмотреть вопрос об использовании методов быстрой детекции вирусов для предотвращения неоправданного назначения антиботикотерапии при данном заболевании [3,14].
Уровень убедительности рекомендации с (Уровень достоверности доказательств 5).
Комментарии. Экспресс-диагностика РС-вируса (Иммунохроматографическое экспресс-исследование носоглоточного мазка, аспирата или смыва на респираторно-синцитиальный вирус) в мазках со слизистой оболочки носоглотки, а также исследование методом ПЦР (Молекулярно-биологическое исследование мазков со слизистой оболочки носоглотки на респираторно-синцитиальный вирус (Human Respiratory Syncytial virus, Определение РНК респираторно-синцитиального вируса (Human Respiratory Syncytial virus)) у детей, получающих профилактически паливизумаб**, обоснована фармакоэкономически, так как вследствие крайне малой вероятности развития повторной РС-инфекции в текущем году, введение препарата необходимо прекратить [2].
Положительный результат экспресс-теста или теста полимеразной цепной реакции (ПЦР) на РС-вирус в большинстве случаев подтверждает его этиологическую роль в развитии бронхиолита [2]. Однако рутинная идентификация вирусов при бронхиолите редко бывает необходима в связи с широким спектром этих микроорганизмов, потенциально вызывающих данное заболевание. Кроме того, выявление некоторых вирусов не всегда свидетельствует об их этиологической роли, например, риновирус может определяться длительное время после перенесенной ранее респираторной инфекции. С другой стороны, имеются литературные данные о снижении частоты неоправданного использования антибактериальных препаратов при применении экспресс-тестов на респираторные вирусы [16,17].
Уровень убедительности рекомендации с (Уровень достоверности доказательств 5).
Комментарии. На рентгенограмме органов грудной клетки у больных бронхиолитом часто выявляется вздутие легких, усиление бронхососудистого рисунка, участки понижения прозрачности легочной ткани, мелкие ателектазы, которые иногда ошибочно принимают за пневмонию, что ведет лишь к необоснованному назначению антибиотиков.
• Для определения степени тяжести дыхательной недостаточности при бронхиолите и, соответственно, тактики ведения пациента рекомендуется контроль сатурации крови кислородом (в том числе, после ингаляций Адренергических средств для ингаляционного введения (бронхолитиков) [2,3].
Уровень убедительности рекомендации с (Уровень достоверности доказательств 5).
Комментарий. Следует использовать пульсоксиметрию (Определение парциального давления кислорода в мягких тканях (оксиметрия)), определение газов крови (Исследование уровня кислорода крови, Исследование уровня углекислого газа в крови) и кислотно-основного состояния (КОС) (Исследование кислотно-основного состояния и газов крови) требуется только при тяжелой степени респираторных нарушений.
В процессе лечения проводится контрольная пульсоксиметрия и/или мониторирование жизненно важных функций (артериального давления, пульса, дыхания, уровня насыщения кислорода в крови, диуреза).
Уровень убедительности рекомендации с (Уровень достоверности доказательств 5).
Уровень убедительности рекомендации с (Уровень достоверности доказательств 5).
Комментарии. Симптомы астмы, как правило, сопровождаются свистящими хрипами и удлинением выдоха, которые появляются уже в 1-2 день болезни.
Кроме того, в дифференциально-диагностический поиск следует включить следующие нозологические формы:
• обструктивный бронхит;
• пневмония;
• хронические поражения бронхов и/или легких;
• аспирация инородного тела;
• аспирационная пневмония;
• врожденные пороки сердца с одышкой, сердечной недостаточностью, сосудистыми петлями (особенно петлей легочной артерии).
Однако следует учесть, что в ряде ситуаций тяжелый бронхиолит развивается у детей на фоне персистирующей субклинической обструкции дыхательных путей, например, при наличии сосудистых петель. Анамнестические данные об отсутствии предшествующей инфекции верхних дыхательных путей, наличии эпизодов поперхивания во время еды или питья, задержка роста, признаки атопии могут оказать помощь в дифференциальной диагностике. Также используются соответствующие инструментальные и лабораторные методы [18].
Прогрессирующее нарастание дыхательной недостаточности (обычно на фоне стойкой фебрильной температуры) указывает на развитие постинфекционного облитерирующего бронхиолита - редкой нозологической формы, первично вызываемой обычно аденовирусной инфекцией (серотипами 3, 7 и 21) и бактериальной суперинфекцией. Постинфекционный облитерирующий бронхиолит характеризуется хроническим течением с развитием фиброза в мелких дыхательных путях с формированием в ряде случаев «сверхпрозрачного легкого», на компьютерной томограмме могут определяться: мозаичный легочный рисунок за счет «воздушных ловушек», симптом «дерева в почках», в некоторых случаях - бронхоэктазы, обычно цилиндрического характера. [19,20].
Как правило, исследования проводятся с целью этиологической или дифференциальной диагностики.
Бронхиолит проявляется обструкцией нижних дыхательных путей, возникающей на фоне острой респираторной вирусной инфекции (или при воздействии раздражителей) и сопровождающейся кашлем и признаками дыхательной недостаточности: затрудненным кряхтящим дыханием, тахипноэ, втяжением межреберных промежутков и/или подреберий, раздуванием крыльев носа и двусторонними хрипами в легких.
2,1 Жалобы и анамнез.
Раздел 1,6. Клиническая картина.• При сборе анамнеза рекомендовано выяснить возможные факторы риска тяжелого течения бронхиолита оценить возможности ухода за ребенком в домашних условиях [2,3,13,14,15].
Уровень убедительности рекомендации с (Уровень достоверности доказательств 5).
2,2 Физикальное обследование.
• Рекомендовано. При осмотре в первую очередь оценить симптомы дыхательной недостаточности:• Участие вспомогательной мускулатуры в акте дыхания;
• Подсчет частоты дыхания [2,3,13,14,15].
Уровень убедительности рекомендации с (Уровень достоверности доказательств 5).
2,3 Лабораторные диагностические исследования.
• Диагноз бронхиолита у ребенка для определения тактики лечения рекомендуется устанавливать на основании клинических данных [2,3,13,14].Уровень убедительности рекомендации с (Уровень достоверности доказательств 5).
Комментарий. Для постановки диагноза, как правило, не требуется проведение лабораторных исследований. Общий клинический анализ крови (Общий (клинический) анализ крови или Общий (клинический) анализ крови развернутый).
Малоинформативен для установления диагноза. При остром вирусном бронхиолите часто наблюдается лимфоцитарный лейкоцитоз, но не бывает нейтрофильного. Повышение уровня С- реактивного белка (СРБ) и прокальцитонина (ПКТ) не характерно.
• При остром бронхиолите рекомендовано рассмотреть вопрос об использовании методов быстрой детекции вирусов для предотвращения неоправданного назначения антиботикотерапии при данном заболевании [3,14].
Уровень убедительности рекомендации с (Уровень достоверности доказательств 5).
Комментарии. Экспресс-диагностика РС-вируса (Иммунохроматографическое экспресс-исследование носоглоточного мазка, аспирата или смыва на респираторно-синцитиальный вирус) в мазках со слизистой оболочки носоглотки, а также исследование методом ПЦР (Молекулярно-биологическое исследование мазков со слизистой оболочки носоглотки на респираторно-синцитиальный вирус (Human Respiratory Syncytial virus, Определение РНК респираторно-синцитиального вируса (Human Respiratory Syncytial virus)) у детей, получающих профилактически паливизумаб**, обоснована фармакоэкономически, так как вследствие крайне малой вероятности развития повторной РС-инфекции в текущем году, введение препарата необходимо прекратить [2].
Положительный результат экспресс-теста или теста полимеразной цепной реакции (ПЦР) на РС-вирус в большинстве случаев подтверждает его этиологическую роль в развитии бронхиолита [2]. Однако рутинная идентификация вирусов при бронхиолите редко бывает необходима в связи с широким спектром этих микроорганизмов, потенциально вызывающих данное заболевание. Кроме того, выявление некоторых вирусов не всегда свидетельствует об их этиологической роли, например, риновирус может определяться длительное время после перенесенной ранее респираторной инфекции. С другой стороны, имеются литературные данные о снижении частоты неоправданного использования антибактериальных препаратов при применении экспресс-тестов на респираторные вирусы [16,17].
2,4 Инструментальные диагностические исследования.
• Рентгенологическое исследование легких (Рентгенографию легких) при бронхиолите рутинно проводить не рекомендуется, если у ребенка нет симптомов, подозрительных на пневмонию [2,3,13]. Исключение пневмонии необходимо при повышении Т0380 более 3 дней, симптомах токсикоза, укорочении перкуторного звука, асимметрии хрипов.Уровень убедительности рекомендации с (Уровень достоверности доказательств 5).
Комментарии. На рентгенограмме органов грудной клетки у больных бронхиолитом часто выявляется вздутие легких, усиление бронхососудистого рисунка, участки понижения прозрачности легочной ткани, мелкие ателектазы, которые иногда ошибочно принимают за пневмонию, что ведет лишь к необоснованному назначению антибиотиков.
• Для определения степени тяжести дыхательной недостаточности при бронхиолите и, соответственно, тактики ведения пациента рекомендуется контроль сатурации крови кислородом (в том числе, после ингаляций Адренергических средств для ингаляционного введения (бронхолитиков) [2,3].
Уровень убедительности рекомендации с (Уровень достоверности доказательств 5).
Комментарий. Следует использовать пульсоксиметрию (Определение парциального давления кислорода в мягких тканях (оксиметрия)), определение газов крови (Исследование уровня кислорода крови, Исследование уровня углекислого газа в крови) и кислотно-основного состояния (КОС) (Исследование кислотно-основного состояния и газов крови) требуется только при тяжелой степени респираторных нарушений.
В процессе лечения проводится контрольная пульсоксиметрия и/или мониторирование жизненно важных функций (артериального давления, пульса, дыхания, уровня насыщения кислорода в крови, диуреза).
2,5 Иные диагностические исследования.
Диагностику и лечение острого бронхиолита рекомендовано проводить с участием врача - педиатра/врача общей практики (семейный врач), при необходимости, врача - анестезиолога - реаниматолога и других специалистов [43].Уровень убедительности рекомендации с (Уровень достоверности доказательств 5).
2,6 Дифференциальная диагностика.
• Бронхиолит рекомендовано дифференцировать с другими заболеваниями, протекающими с синдромом бронхиальной обструкции, например, с бронхиальной астмой [2,3,13,14,15].Уровень убедительности рекомендации с (Уровень достоверности доказательств 5).
Комментарии. Симптомы астмы, как правило, сопровождаются свистящими хрипами и удлинением выдоха, которые появляются уже в 1-2 день болезни.
Кроме того, в дифференциально-диагностический поиск следует включить следующие нозологические формы:
• обструктивный бронхит;
• пневмония;
• хронические поражения бронхов и/или легких;
• аспирация инородного тела;
• аспирационная пневмония;
• врожденные пороки сердца с одышкой, сердечной недостаточностью, сосудистыми петлями (особенно петлей легочной артерии).
Однако следует учесть, что в ряде ситуаций тяжелый бронхиолит развивается у детей на фоне персистирующей субклинической обструкции дыхательных путей, например, при наличии сосудистых петель. Анамнестические данные об отсутствии предшествующей инфекции верхних дыхательных путей, наличии эпизодов поперхивания во время еды или питья, задержка роста, признаки атопии могут оказать помощь в дифференциальной диагностике. Также используются соответствующие инструментальные и лабораторные методы [18].
Прогрессирующее нарастание дыхательной недостаточности (обычно на фоне стойкой фебрильной температуры) указывает на развитие постинфекционного облитерирующего бронхиолита - редкой нозологической формы, первично вызываемой обычно аденовирусной инфекцией (серотипами 3, 7 и 21) и бактериальной суперинфекцией. Постинфекционный облитерирующий бронхиолит характеризуется хроническим течением с развитием фиброза в мелких дыхательных путях с формированием в ряде случаев «сверхпрозрачного легкого», на компьютерной томограмме могут определяться: мозаичный легочный рисунок за счет «воздушных ловушек», симптом «дерева в почках», в некоторых случаях - бронхоэктазы, обычно цилиндрического характера. [19,20].
|
|
Лечение
3,1 Консервативное лечение.
Основной задачей терапии бронхиолита является купирование дыхательной недостаточности.• Рекомендуется обеспечить проходимость верхних дыхательных путей для улучшения общего состояния ребенка с помощью коротких курсов деконгестантов и других назальных препаратов для местного применения (симпатомиметиков), возможно использование назальных аспираторов [15].
Уровень убедительности рекомендации с (Уровень достоверности доказательств 5).
Комментарий. Очистка верхних дыхательных путей может несколько облегчить самочувствие ребенка. В то же время нет веских доказательств ее влияния на течение бронхиолита. Имеются данные о том, что не следует рутинно применять глубокое введение катетера для аспирации слизи из носоглотки [2].
• Антибиотики при остром бронхиолите не рекомендованы за исключением ситуаций, когда имеется сопутствующая бактериальная инфекция, либо серьезные подозрения на нее [2,3,13,15, 21].
( Уровень убедительности рекомендации A (Уровень достоверности доказательств 1).
Комментарии. Эффективность и безопасность ведения детей с острым бронхиолитом без антибактериальных препаратов доказана как в России, так и за рубежом.
• Не рекомендуется детям с острым бронхиолитом рутинное использование противовирусных препаратов системного действия в связи с отсутствием данных об их эффективности [2,13,15,22].
Уровень убедительности рекомендации с (Уровень достоверности доказательств 5).
Комментарий. В настоящее время недостаточно доказательств влияния противовирусных препаратов на течение бронхиолита [2].
• Рекомендовано. Обеспечить ребенку с бронхиолитом адекватную гидратацию.Основной путь. Пероральный. В случае невозможности проведения оральной гидратации следует вводить жидкость через назогастральный зонд или внутривенно [2].
( Уровень убедительности рекомендации с (Уровень достоверности доказательств 5).
Комментарии. При невозможности выпаивания, а также при эксикозе II-III степени необходима парентеральная регидратация. С этой целью следует использовать натрия хлорид** (0,9% раствор) (код АТХ: в05CB01) или Натрия хлорида раствор сложный [Калия хлорид+Кальция хлорид+Натрия хлорид]** (код АТХ: в05BB01). Однако, учитывая вероятность развития синдрома неадекватной секреции антидиуретического гормона, а также риска развития отека легких, объем внутривенных инфузий следует ограничивать и вводить не более 20 мл/кг/сутки [23].
• Рекомендуется терапия увлажненным кислородом при SpО2 ≤ 92-94%. [13, 15, 24].
Уровень убедительности рекомендации с (Уровень достоверности доказательств 5).
Комментарий: В настоящее время нет единого мнения о точном значении SpО2, с которого следует начинать оксигенотерапию детям с острым бронхиолитом, однако большинством специалистов признается необходимость подачи кислорода до устойчивого достижения значений данного показателя 95% [2,3, 24].
• Не рекомендуется рутинное использование при бронхиолите у детей ингаляций препаратов, обладающих бронхоспазмрлитическим действием, так как в большинстве случаев ингаляционная бронхоспазмолитическая терапия не влияет на длительность бронхиолита [2,25] .
( Уровень убедительности рекомендации A (Уровень достоверности доказательств 1).
Комментарии: У части детей с острым бронхиолитом возможно развитие бронхоспазма на фоне заболевания. В связи с этим, многие зарубежные руководства допускают в качестве пробной терапии применение препаратов для лечения обструктивных заболеваний дыхательных путей в дозах, указанных в инструкции к препарату. Получение эффекта от ингаляции препаратов для лечения обструктивных заболеваний дыхательных путей через 20 минут (рост SpO2, уменьшение частоты дыхательных движений (ЧДД) на 10-15 в 1 минуту, снижение интенсивности свистящих хрипов, уменьшение втяжений межреберий) облегчение дыхания, оправдывает продолжение ингаляционной терапии [15]. При отсутствии эффекта - дальнейшее проведение ингаляций препаратами для лечения обструктивных заболеваний дыхательных путей не имеет смысла [44].
- сальбутамол** (код АТХ: R03AL02) на прием 2,5 мг (детям с 18 мес).
• Не рекомендуется рутинное использование гипертонического (3%) раствора натрия хлорида в виде ингаляций через небулайзер в связи с вероятностью развития бронхоспазма. [26].
( Уровень убедительности рекомендации в (Уровень достоверности доказательств 2).
Комментарий. Эффективность данного вмешательства признается не всеми [26]. Положительное влияние ингаляционной терапии гипертоническим раствором натрия хлорида при остром вирусном бронхиолите отмечается рядом исследователей [27,28] и рекомендуется AAP (The American Academy of Pediatrics - Американской академией педиатрии) для детей, госпитализированных по поводу бронхиолита [2]. У ряда детей при ингаляции гипертонического раствора натрия хлорида возможно развитие бронхоспазма.
• Не рекомендуется использовать ингаляционные глюкокортикоиды (ИГК) при бронхиолите вследствие отсутствия доказательств их клинического эффекта [2,29].
( Уровень убедительности рекомендации A (Уровень достоверности доказательств 1).
• Не рекомендуется применять Кортикостероиды для системного применения при бронхиолите вследствие их неэффективности [2,29].
Уровень убедительности рекомендации A (Уровень достоверности доказательств 1).
• Не рекомендуется применение вибрационного и/или перкуссионного массажа, так как в большинстве случаев он также не оказывает выраженного эффекта у пациентов с бронхиолитом [2,30].
Уровень убедительности рекомендации в (Уровень достоверности доказательств 2).
3,2 Хирургическое лечение.
Не требуется.Реабилитация и амбулаторное лечение
Не требуется.
Профилактика
5,1 Профилактика.
• С целью уменьшения заболеваемости детей грудного возраста острыми респираторными инфекциями и бронхиолитом в частности, рекомендовано грудное вскармливание как минимум в течение первых 6 месяцев жизни [31,32] ( Уровень убедительности рекомендации в (Уровень достоверности доказательств 3), профилактику пассивного курения [33,34,35,36] ( Уровень убедительности рекомендации в (Уровень достоверности доказательств 2), соблюдение гигиенических норм [37,38,39,40] Уровень убедительности рекомендации с (Уровень достоверности доказательств 4) [2].• У детей первого года жизни из групп риска (недоношенность, бронхолегочная дисплазия) для профилактики РС-вирусной инфекции в осенне-зимний сезон рекомендована пассивная иммунизация паливизумабом**, препарат вводится внутримышечно в дозе 15 мг/кг ежемесячно 1 раз в месяц с ноября по март [2,3, 41,42].
(Сила рекомендации 5; уровень достоверности доказательств. с).
• У детей с гемодинамически значимыми врожденными пороками сердца для профилактики РС-вирусной инфекции в осенне-зимний сезон рекомендована пассивная иммунизация паливизумабом**, препарат вводится внутримышечно в дозе 15 мг/кг ежемесячно 1 раз в месяц с ноября по март [2,41,42].
(Сила рекомендации 5; уровень достоверности доказательств. с).
Комментарий. См КР по оказанию медицинской помощи детям с бронхолегочной дисплазией, КР по иммунопрофилактике респираторно-синцитиальной вирусной инфекции у детей. По индивидуальным показаниям пассивная иммунопрофилактика РС-вирусной инфекции может быть проведена детям с иммунодефицитами, с тяжелыми нервно-мышечными заболеваниями, врожденными пороками развития и генетической патологией, затрагивающей дыхательную функцию (подробнее - см КР по иммунопрофилактике РСВ у детей).
|
|
Организация оказания медицинской помощи
6,1 Показания для госпитализации в медицинскую организацию.
Дети с острым бронхиолитом госпитализируются в детское инфекционное (инфекционное) или педиатрическое боксированное отделение.Показаниями к госпитализации детей с бронхиолитом являются:
• Апноэ.
• Признаки дыхательной недостаточности 2-3 степени.
• Возраст до 6 месяцев у недоношенных детей.
• Пониженное питание.
• Дегидратация, затруднение в кормлении, сонливость.
• Потребность в постоянной санации верхних дыхательных путей в клинических условиях.
• Отягощенный преморбидный фон.
• Социальные показания.
6,1,1 Показания для перевода в отделение реанимации и интенсивной терапии:
• Невозможность поддержания сатурации более 92% на фоне оксигенотерапии.• Выраженное утомление дыхательной мускулатуры.
• Рецидивирующие апноэ.
6,1,2 Показания для ИВЛ с поддержанием постоянного положительного давления в дыхательных путях ( сPAP - continuous positive air pressure):
• Тяжелый респираторный дистресс;• Апноэ;
• Поверхностное дыхание;
• Снижение болевой реакции;
• Гипоксемия, сохранение цианоза при дыхании 40% О2;
• Падение РаО2 <60 мм.
• Увеличение РаСО255 мм (гиповентиляция);
• Потребность в оксигенотерапии с фракцией кислорода во вдыхаемом воздухе FiO20,5.
Предполагается, что добавление гелия во время сPAP улучшает вымывание углекислого газа и улучшает оксигенацию вследствие трансформации турбулентного потока воздуха в ламинарный.
Длительность пребывания в стационаре, как правило, не более 1 недели, редко дольше, больной может быть выписан с остаточными проявлениями (ринит, хрипы) во избежание суперинфекции.
6,2 Показания к выписке пациента из медицинск ой организаци и.
Критерии выписки из стационара:• Стабильная сатурация >94% при дыхании комнатным воздухом.
• Отсутствие респираторного дистресса.
• Адекватное питание (возможность перорального приема пищи и жидкости не менее 75% от обычной дневной потребности).
Дополнительно
7,1 Исходы и прогноз.
• Прогноз после перенесенного острого бронхиолита, как правило, благоприятный.• Респираторные симптомы средней степени выраженности могут сохраняться приблизительно 3 недели.
• Около половины детей, перенесших острый бронхиолит, в дальнейшем могут иметь эпизоды бронхиальной обструкции. Среди них чаще встречаются пациенты с отягощенной наследственностью по атопии, для которых бронхиолит может быть одним из факторов риска развития бронхиальной астмы [3].
• Редко возможно развитие постинфекционного облитерирующего бронхиолита, характеризующегося хроническим течением с развитием фиброза и облитерацией просвета бронхиол, инвалидизацией.
Критерии оценки качества медицинской помощи
Таблица 2. Организационно-технические условия оказания медицинской помощи.
Таблица 3. Критерии качества оказания медицинской помощи.
| Вид медицинской помощи | Специализированная медицинская помощь |
| Условия оказания медицинской помощи | Стационарно |
| Форма оказания медицинской помощи | Неотложная/экстренная |
Таблица 3. Критерии качества оказания медицинской помощи.
| № п/п | Критерии качества | Сила рекомендации | Уровень достоверности доказательств |
| 1 | Выполнена пульсоксиметрия | 1 | в |
| 2 | Выполнена контрольная пульсоксиметрия и/или мониторирование жизненно важных функций (артериального давления, пульса, дыхания, уровня насыщения кислорода в крови, диуреза) | 5 | с |
| 3 | Выполнено ингаляционное введение кислорода до достижения сатурации 92% и более (при сатурации менее 92%) | 2 | С |
Список литературы
• Классификация клинических форм бронхолегочных заболеваний у детей. М. Российское респираторное общество. 2009; 18с.
• Ralston S.L., Lieberthal A.S., Meissner H.C., Alverson в.K., вaley J.E., Gadomski p.m, Johnson D.W., Light M.J., Maraqa N.F., Mendonca E.A., Phelan K.J., Zorc J.J., Stanko-Lopp D., вrown M.A., Nathanson I., Rosenblum E., Sayles S. 3rd, Hernandez-Cancio S. American Academy of Pediatrics. сlinical Practice Guideline: The Diagnosis, Management, and Prevention of вronchiolitis Pediatrics Vol. 134 № 5 November 1, 2014 e1474-e1502.
• Paediatric Respiratory Medicine ERS Handbook 1st Edition Editors Ernst Eber, Fabio Midulla 2013 European Respiratory Society 719P.
• Miller EK et al. Human rhinoviruses in severe respiratory disease in very low birth weight infants. Pediatrics 2012 Jan 1; 129:e60.
• Jansen R. et al. Genetic susceptibility to respiratory syncytial virus bronchiolitis is predominantly associated with innate immune genes. J. infect. dis. 2007; 196: 825-834.
• Figueras-Aloy J, сarbonell-Estrany X, Quero J; IRIS Study Group. сase-control study of the risk factors linked to respiratory syncytial virus infection requiring hospitalization in premature infants born at a gestational age of 33-35 weeks in Spain. Pediatr Infect Dis J. 2004 Sep;23(9):815-20.
• Law вJ, Langley JM, Allen U, Paes в, Lee DS, Mitchell I, Sampalis J, Walti H, Robinson J, O Brien K, Majaesic с, сaouette G, Frenette L, Le Saux N, Simmons в, Moisiuk S, Sankaran K, Ojah с, Singh AJ, Lebel MH, вacheyie GS, Onyett H, Michaliszyn A, Manzi P, Parison D. The Pediatric Investigators сollaborative Network on Infections in сanada study of predictors of hospitalization for respiratory syncytial virus infection for infants born at 33 through 35 completed weeks of gestation. Pediatr Infect Dis J. 2004 Sep;23(9):806-14.
• Stensballe LG, Kristensen K, Simoes EA, Jensen H, Nielsen J, вenn сS, Aaby P; Danish RSV Data Network. Atopic disposition, wheezing, and subsequent respiratory syncytial virus hospitalization in Danish children younger than 18 months: a nested case-control study. Pediatrics. 2006 Nov;118(5):e1360-8.
• Ralston S., Hill V., Waters A. Occult serious bacterial infection in infants younger than 60 to 90 days with bronchiolitis: A systematic review. Arch Pediatr Adolesc Med. 2011;165:951-956 American Academy of Pediatrics. Diagnosis and Management of вronchiolitis. Pediatrics 2006; 118 (4):1774 -1793.
• Hall сB, Simőes EA, Anderson LJ. сlinical and epidemiologic features of respiratory syncytial virus. Curr Top Microbiol Immunol. 2013;372:39-57.
• Thorburn K, Harigopal S, Reddy V, et al. High incidence of pulmonary bacterial co-infection in children with severe respiratory syncytial virus (RSV) bronchiolitis. Thorax 2006; 61:611.
• Duttweiler L, Nadal D, Frey в. Pulmonary and systemic bacterial co-infections in severe RSV bronchiolitis. Arch Dis сhild 2004; 89:1155.
• Таточенко В. Болезни органов дыхания у детей: практическое руководство. В. Таточенко. Новое изд., доп. М. ПедиатрЪ , 2015: 396с.
• Патрушева Ю.С., Бакрадзе М.Д. Этиология и факторы риска острого бронхиолита у детей. Вопросы диагностики в педиатрии. 2012: (4) 3; 45 - 52.
• Патрушева Ю. С., Бакрадзе М.Д., Куличенко Т.В. Диагностика и лечение острого бронхиолита у детей: Вопросы диагностики в педиатрии. Т.З, №1.-2011. с. 5-11.
• Doan QH, Kissoon N, Dobson S, et al. A randomized, controlled trial of the impact of early and rapid diagnosis of viral infections in children brought to an emergency department with febrile respiratory tract illnesses. J Pediatr 2009; 154:91.
• Doan Q, Enarson P, Kissoon N, et al. Rapid viral diagnosis for acute febrile respiratory illness in children in the Emergency Department. сochrane Database Syst Rev 2014; 9:CD006452.
• UpToDate.com.
• Orphan Lung Diseases Edited by J-F. сordier. European Respiratory Society Monograph, Vol. 54. 2011. P.84-103 сhapter 5. вronchiolitis.
• Спичак Т.В. Постинфекционный облитерирующий бронхиолит у детей. М. Научный мир. 2005. 96с.
• Spurling GK, Doust J, Del Mar сB, Eriksson L. Antibiotics for bronchiolitis in children сochrane Database Syst Rev. 2011 Jun 15;(6):CD005189. doi: 10,1002/14651858.CD005189.pub3.
• Mazur NI, Martinón-Torres F, вaraldi E, Fauroux в, Greenough A, Heikkinen T, Manzoni P, Mejias A, Nair H, Papadopoulos NG, Polack FP, Ramilo O, Sharland M, Stein R, Madhi SA, вont L; Respiratory Syncytial Virus Network (ReSViNET) Lower respiratory tract infection caused by respiratory syncytial virus: current management and new therapeutics. Lancet Respir Med. 2015 Nov;3(11):888-900.
• Оказание стационарной помощи детям. Руководство по лечению наиболее распространенных болезней у детей: карманный справочник. 2-е изд. М. Всемирная организация здравоохранения, 2013. 452 с.
• сaffrey Osvald E, сlarke JR NICE clinical guideline: bronchiolitis in children Arch Dis сhild Educ Pract Ed. 2016 Feb;101(1):46-8.
• Gadomski AM, Scribani MB. вronchodilators for bronchiolitis сochrane Database Syst Rev. 2014 Jun 17;(6):CD001266. doi: 10,1002/14651858.CD001266.pub4.
• Wu S, вaker с, Lang ME et al. Nebulized hypertonic saline for bronchiolitis: a randomized clinical trial. JAMA Pediatr. 2014 May 26.
• сhen YJ, Lee WL, Wang сM, сhou HH Nebulized hypertonic saline treatment reduces both rate and duration of hospitalization for acute bronchiolitis in infants: an updated meta-analysis. Pediatr Neonatol. 2014 Jan 21. pii: S1875-9572(13)00229-5. doi: 10,1016/j.pedneo.2013,09,013.
• Zhang L, Mendoza-Sassi RA, Wainwright с, Klassen TP Nebulised hypertonic saline solution for acute bronchiolitis in infantsCochrane Database Syst Rev. 2017 Dec 21;12:CD006458. doi: 10,1002/14651858.CD006458.pub4.
• Fernandes RM, вialy LM, Vandermeer в, Tjosvold L, Plint AC, Patel H, Johnson DW, Klassen TP, Hartling L. Glucocorticoids for acute viral bronchiolitis in infants and young children. Cochrane Database Syst Rev. 2013 Jun 4;(6):CD004878. doi: 10,1002/14651858.CD004878.pub4.
• Roqué i Figuls M, Giné-Garriga M, Granados Rugeles с, Perrotta с, Vilaró J. сhest physiotherapy for acute bronchiolitis in paediatric patients between 0 and 24 months old. сochrane Database Syst Rev. 2016 Feb 1;2:CD004873.
• Nishimura T, Suzue J, Kaji H. вreastfeeding reduces the severity of respiratory syncytial virus infection among young infants: a multi-center prospective study. Pediatr Int. 2009;51(6):812-816.
• Dornelles сT, Piva JP, Marostica PJ. Nutritional status, breastfeeding, and evolution of infants with acute viral bronchiolitis. J Health Popul Nutr. 2007;25(3):336-343.
• Strachan DP, сook DG. Health effects of passive smoking. 1. Parental smoking and lower respiratory illness in infancy and early childhood. Thorax. 1997;52(10):905-914.
• Jones LL, Hashim A, McKeever T, сook DG, вritton J, Leonardi-Bee J. Parental and household smoking and the increased risk of bronchitis, bronchiolitis and other lower respiratory infections in infancy: systematic review and meta-analysis. Respir Res. 2011;12:5.
• вradley JP, вacharier LB, вonfiglio J, et al. Severity of respiratory syncytial virus bronchiolitis is affected by cigarette smoke exposure and atopy. Pediatrics. 2005;115(1). Available at: www.pediatrics. org/cgi/content/full/115/1/e7.
• Al-Shawwa в, Al-Huniti N, Weinberger M, Abu-Hasan M. сlinical and therapeutic variables influencing hospitalisation for bronchiolitis in a community-based paediatric group practice. Prim сare Respir J. 2007;16(2):93-97.
• Hall сB. Nosocomial respiratory syncytial virus infections: the Cold War has not ended. сlin Infect Dis. 2000;31(2): 590-596.
• Hall сB, Douglas RG Jr, Geiman JM. Possible transmission by fomites of respiratory syncytial virus. J Infect Dis. 1980; 141(1):98-102.
• Sattar SA, Springthorpe VS, Tetro J, Vashon R, Keswick в. Hygienic hand antiseptics: should they not have activity and label claims against viruses. Am J Infect сontrol. 2002;30(6):355-372.
• Picheansathian W. A systematic review on the effectiveness of alcohol-based solutions for hand hygiene. Int J Nurs Pract. 2004;10(1):3-9, Hall сB. The spread of influenza and other respiratory viruses: complexities and conjectures. сlin Infect Dis. 2007;45(3):353- 359.
• сommittee on infectious diseases and bronchiolitis guidelines committee: Updated Guidance for Palivizumab Prophylaxis Among Infants and Young сhildren at Increased Risk of Hospitalization for Respiratory Syncytial Virus Infection. Pediatrics 2014 Vol. 134 № 2 August 1, 2014 pp. e620-e638.
• Паливизумаб: четыре сезона в России. Баранов А.А., Иванов Д.О., Алямовская Г.А., Амирова В.Р., Антонюк И.В., Асмолова Г.А., Беляева И.А., Бокерия Е.Л., Брюханова О.А., Виноградова И.В., Власова Е.В., Галустян А.Н., Гафарова Г.В., Горев В.В., Давыдова И.В., Дегтярёв Д.Н., Дегтярёва Е.А., Долгих В.В., Донин И.М., Захарова Н.И., Л.Ю. Зернова, Е.П. Зимина, В.В. Зуев, Е.С. Кешишян, И.А. Ковалев, И.Е. Колтунов, А.А. Корсунский, Е.В. Кривощёков, И.В. Кршеминская, С.Н. Кузнецова, В.А. Любименко, Л.С. Намазова-Баранова, Э.В. Нестеренко, С.В. Николаев, Д.Ю. Овсянников, Т.И. Павлова, М.В. Потапова, Л.В. Рычкова, А.А. Сафаров, А.И. Сафина, М.А. Скачкова, И.Г. Солдатова, Т.В. Турти, Н.А. Филатова, Р.М. Шакирова, О.С. Янулевич. Вестник Российской академии медицинских наук. 2014: 7-8; 54-68.
• American Academy of Pediatrics Subcommittee on Diagnosis and Management of вronchiolitis. Diagnosis and management of bronchiolitis. Pediatrics. 2006 Oct;118(4):1774-93. doi: 10,1542/peds.2006-2223. PMID: 17015575.
• Ю.С. Патрушева. Лечение острого бронхиолита у детей. Фарматека. 2012;15: с. 56-61.
• Ralston S.L., Lieberthal A.S., Meissner H.C., Alverson в.K., вaley J.E., Gadomski p.m, Johnson D.W., Light M.J., Maraqa N.F., Mendonca E.A., Phelan K.J., Zorc J.J., Stanko-Lopp D., вrown M.A., Nathanson I., Rosenblum E., Sayles S. 3rd, Hernandez-Cancio S. American Academy of Pediatrics. сlinical Practice Guideline: The Diagnosis, Management, and Prevention of вronchiolitis Pediatrics Vol. 134 № 5 November 1, 2014 e1474-e1502.
• Paediatric Respiratory Medicine ERS Handbook 1st Edition Editors Ernst Eber, Fabio Midulla 2013 European Respiratory Society 719P.
• Miller EK et al. Human rhinoviruses in severe respiratory disease in very low birth weight infants. Pediatrics 2012 Jan 1; 129:e60.
• Jansen R. et al. Genetic susceptibility to respiratory syncytial virus bronchiolitis is predominantly associated with innate immune genes. J. infect. dis. 2007; 196: 825-834.
• Figueras-Aloy J, сarbonell-Estrany X, Quero J; IRIS Study Group. сase-control study of the risk factors linked to respiratory syncytial virus infection requiring hospitalization in premature infants born at a gestational age of 33-35 weeks in Spain. Pediatr Infect Dis J. 2004 Sep;23(9):815-20.
• Law вJ, Langley JM, Allen U, Paes в, Lee DS, Mitchell I, Sampalis J, Walti H, Robinson J, O Brien K, Majaesic с, сaouette G, Frenette L, Le Saux N, Simmons в, Moisiuk S, Sankaran K, Ojah с, Singh AJ, Lebel MH, вacheyie GS, Onyett H, Michaliszyn A, Manzi P, Parison D. The Pediatric Investigators сollaborative Network on Infections in сanada study of predictors of hospitalization for respiratory syncytial virus infection for infants born at 33 through 35 completed weeks of gestation. Pediatr Infect Dis J. 2004 Sep;23(9):806-14.
• Stensballe LG, Kristensen K, Simoes EA, Jensen H, Nielsen J, вenn сS, Aaby P; Danish RSV Data Network. Atopic disposition, wheezing, and subsequent respiratory syncytial virus hospitalization in Danish children younger than 18 months: a nested case-control study. Pediatrics. 2006 Nov;118(5):e1360-8.
• Ralston S., Hill V., Waters A. Occult serious bacterial infection in infants younger than 60 to 90 days with bronchiolitis: A systematic review. Arch Pediatr Adolesc Med. 2011;165:951-956 American Academy of Pediatrics. Diagnosis and Management of вronchiolitis. Pediatrics 2006; 118 (4):1774 -1793.
• Hall сB, Simőes EA, Anderson LJ. сlinical and epidemiologic features of respiratory syncytial virus. Curr Top Microbiol Immunol. 2013;372:39-57.
• Thorburn K, Harigopal S, Reddy V, et al. High incidence of pulmonary bacterial co-infection in children with severe respiratory syncytial virus (RSV) bronchiolitis. Thorax 2006; 61:611.
• Duttweiler L, Nadal D, Frey в. Pulmonary and systemic bacterial co-infections in severe RSV bronchiolitis. Arch Dis сhild 2004; 89:1155.
• Таточенко В. Болезни органов дыхания у детей: практическое руководство. В. Таточенко. Новое изд., доп. М. ПедиатрЪ , 2015: 396с.
• Патрушева Ю.С., Бакрадзе М.Д. Этиология и факторы риска острого бронхиолита у детей. Вопросы диагностики в педиатрии. 2012: (4) 3; 45 - 52.
• Патрушева Ю. С., Бакрадзе М.Д., Куличенко Т.В. Диагностика и лечение острого бронхиолита у детей: Вопросы диагностики в педиатрии. Т.З, №1.-2011. с. 5-11.
• Doan QH, Kissoon N, Dobson S, et al. A randomized, controlled trial of the impact of early and rapid diagnosis of viral infections in children brought to an emergency department with febrile respiratory tract illnesses. J Pediatr 2009; 154:91.
• Doan Q, Enarson P, Kissoon N, et al. Rapid viral diagnosis for acute febrile respiratory illness in children in the Emergency Department. сochrane Database Syst Rev 2014; 9:CD006452.
• UpToDate.com.
• Orphan Lung Diseases Edited by J-F. сordier. European Respiratory Society Monograph, Vol. 54. 2011. P.84-103 сhapter 5. вronchiolitis.
• Спичак Т.В. Постинфекционный облитерирующий бронхиолит у детей. М. Научный мир. 2005. 96с.
• Spurling GK, Doust J, Del Mar сB, Eriksson L. Antibiotics for bronchiolitis in children сochrane Database Syst Rev. 2011 Jun 15;(6):CD005189. doi: 10,1002/14651858.CD005189.pub3.
• Mazur NI, Martinón-Torres F, вaraldi E, Fauroux в, Greenough A, Heikkinen T, Manzoni P, Mejias A, Nair H, Papadopoulos NG, Polack FP, Ramilo O, Sharland M, Stein R, Madhi SA, вont L; Respiratory Syncytial Virus Network (ReSViNET) Lower respiratory tract infection caused by respiratory syncytial virus: current management and new therapeutics. Lancet Respir Med. 2015 Nov;3(11):888-900.
• Оказание стационарной помощи детям. Руководство по лечению наиболее распространенных болезней у детей: карманный справочник. 2-е изд. М. Всемирная организация здравоохранения, 2013. 452 с.
• сaffrey Osvald E, сlarke JR NICE clinical guideline: bronchiolitis in children Arch Dis сhild Educ Pract Ed. 2016 Feb;101(1):46-8.
• Gadomski AM, Scribani MB. вronchodilators for bronchiolitis сochrane Database Syst Rev. 2014 Jun 17;(6):CD001266. doi: 10,1002/14651858.CD001266.pub4.
• Wu S, вaker с, Lang ME et al. Nebulized hypertonic saline for bronchiolitis: a randomized clinical trial. JAMA Pediatr. 2014 May 26.
• сhen YJ, Lee WL, Wang сM, сhou HH Nebulized hypertonic saline treatment reduces both rate and duration of hospitalization for acute bronchiolitis in infants: an updated meta-analysis. Pediatr Neonatol. 2014 Jan 21. pii: S1875-9572(13)00229-5. doi: 10,1016/j.pedneo.2013,09,013.
• Zhang L, Mendoza-Sassi RA, Wainwright с, Klassen TP Nebulised hypertonic saline solution for acute bronchiolitis in infantsCochrane Database Syst Rev. 2017 Dec 21;12:CD006458. doi: 10,1002/14651858.CD006458.pub4.
• Fernandes RM, вialy LM, Vandermeer в, Tjosvold L, Plint AC, Patel H, Johnson DW, Klassen TP, Hartling L. Glucocorticoids for acute viral bronchiolitis in infants and young children. Cochrane Database Syst Rev. 2013 Jun 4;(6):CD004878. doi: 10,1002/14651858.CD004878.pub4.
• Roqué i Figuls M, Giné-Garriga M, Granados Rugeles с, Perrotta с, Vilaró J. сhest physiotherapy for acute bronchiolitis in paediatric patients between 0 and 24 months old. сochrane Database Syst Rev. 2016 Feb 1;2:CD004873.
• Nishimura T, Suzue J, Kaji H. вreastfeeding reduces the severity of respiratory syncytial virus infection among young infants: a multi-center prospective study. Pediatr Int. 2009;51(6):812-816.
• Dornelles сT, Piva JP, Marostica PJ. Nutritional status, breastfeeding, and evolution of infants with acute viral bronchiolitis. J Health Popul Nutr. 2007;25(3):336-343.
• Strachan DP, сook DG. Health effects of passive smoking. 1. Parental smoking and lower respiratory illness in infancy and early childhood. Thorax. 1997;52(10):905-914.
• Jones LL, Hashim A, McKeever T, сook DG, вritton J, Leonardi-Bee J. Parental and household smoking and the increased risk of bronchitis, bronchiolitis and other lower respiratory infections in infancy: systematic review and meta-analysis. Respir Res. 2011;12:5.
• вradley JP, вacharier LB, вonfiglio J, et al. Severity of respiratory syncytial virus bronchiolitis is affected by cigarette smoke exposure and atopy. Pediatrics. 2005;115(1). Available at: www.pediatrics. org/cgi/content/full/115/1/e7.
• Al-Shawwa в, Al-Huniti N, Weinberger M, Abu-Hasan M. сlinical and therapeutic variables influencing hospitalisation for bronchiolitis in a community-based paediatric group practice. Prim сare Respir J. 2007;16(2):93-97.
• Hall сB. Nosocomial respiratory syncytial virus infections: the Cold War has not ended. сlin Infect Dis. 2000;31(2): 590-596.
• Hall сB, Douglas RG Jr, Geiman JM. Possible transmission by fomites of respiratory syncytial virus. J Infect Dis. 1980; 141(1):98-102.
• Sattar SA, Springthorpe VS, Tetro J, Vashon R, Keswick в. Hygienic hand antiseptics: should they not have activity and label claims against viruses. Am J Infect сontrol. 2002;30(6):355-372.
• Picheansathian W. A systematic review on the effectiveness of alcohol-based solutions for hand hygiene. Int J Nurs Pract. 2004;10(1):3-9, Hall сB. The spread of influenza and other respiratory viruses: complexities and conjectures. сlin Infect Dis. 2007;45(3):353- 359.
• сommittee on infectious diseases and bronchiolitis guidelines committee: Updated Guidance for Palivizumab Prophylaxis Among Infants and Young сhildren at Increased Risk of Hospitalization for Respiratory Syncytial Virus Infection. Pediatrics 2014 Vol. 134 № 2 August 1, 2014 pp. e620-e638.
• Паливизумаб: четыре сезона в России. Баранов А.А., Иванов Д.О., Алямовская Г.А., Амирова В.Р., Антонюк И.В., Асмолова Г.А., Беляева И.А., Бокерия Е.Л., Брюханова О.А., Виноградова И.В., Власова Е.В., Галустян А.Н., Гафарова Г.В., Горев В.В., Давыдова И.В., Дегтярёв Д.Н., Дегтярёва Е.А., Долгих В.В., Донин И.М., Захарова Н.И., Л.Ю. Зернова, Е.П. Зимина, В.В. Зуев, Е.С. Кешишян, И.А. Ковалев, И.Е. Колтунов, А.А. Корсунский, Е.В. Кривощёков, И.В. Кршеминская, С.Н. Кузнецова, В.А. Любименко, Л.С. Намазова-Баранова, Э.В. Нестеренко, С.В. Николаев, Д.Ю. Овсянников, Т.И. Павлова, М.В. Потапова, Л.В. Рычкова, А.А. Сафаров, А.И. Сафина, М.А. Скачкова, И.Г. Солдатова, Т.В. Турти, Н.А. Филатова, Р.М. Шакирова, О.С. Янулевич. Вестник Российской академии медицинских наук. 2014: 7-8; 54-68.
• American Academy of Pediatrics Subcommittee on Diagnosis and Management of вronchiolitis. Diagnosis and management of bronchiolitis. Pediatrics. 2006 Oct;118(4):1774-93. doi: 10,1542/peds.2006-2223. PMID: 17015575.
• Ю.С. Патрушева. Лечение острого бронхиолита у детей. Фарматека. 2012;15: с. 56-61.
|
|
Приложения
Приложение А1.
Состав рабочей группы по разработке и пересмотру клинических рекомендаций.• Баранов А.А.почетный президент Союза педиатров России, советник руководителя НИИ педиатрии и охраны здоровья детей ЦКБ РАН, главный внештатный специалист педиатр Минздрава России;
• Намазова-Баранова Л.С. акад. РАН, профессор, д.м.н., президент Союза педиатров России; паст-президент EPA/UNEPSA; руководитель НИИ педиатрии и охраны здоровья детей ЦКБ РАН, заведующая кафедрой факультетской педиатрии педиатрического факультета ФГБОУ ВО «РНИМУ им. Н.И. Пирогова» Минздрава России, главный внештатный детский специалист по профилактической медицине Минздрава России;
• Артёмова И.В. врач-педиатр, Клиника Университет, член Союза педиатров России;
• Бакрадзе М.Д. д.м.н., зав. отделением диагностики и восстановительного лечения ФГАУ «НМИЦ здоровья детей» Минздрава России, член Союза педиатров России (участие в исходной версии документа);
• Вишнёва Е.А. д.м.н., пресс-секретарь Союза педиатров России, заместитель руководителя по науке НИИ педиатрии и охраны здоровья детей ЦКБ РАН, профессор кафедры факультетской педиатрии педиатрического факультета ФГБОУ ВО «РНИМУ им. Н.И. Пирогова» Минздрава России;
• Давыдова И.В. главный научный сотрудник ФГАУ «НМИЦ здоровья детей» Минздрава России, д.м.н., член Союза педиатров России (участие в исходной версии документа);
• Куличенко Т.В. д.м.н., профессор РАН, эксперт Всемирной Организации Здравоохранения, член Союза педиатров России;
• Полякова А.С. м.н., врач отделения диагностики и восстановительного лечения ФГАУ «НМИЦ здоровья детей» Минздрава России член Союза педиатров России;
• Селимзянова Л.Р. м.н., ведущий научный сотрудник НИИ педиатрии и охраны здоровья детей ЦКБ РАН Министерства науки и высшего образования Российской Федерации, доцент кафедры факультетской педиатрии педиатрического факультета ФГБОУ ВО «РНИМУ им. Н.И. Пирогова» Минздрава России, доцент кафедры педиатрии и детской ревматологии ФГАОУ «Первый МГМУ им. И.М. Сеченова» Минздрава России (Сеченовский Университет), член Союза педиатров России;
• Таточенко В. профессор, д.м.н., советник директора ФГАУ «НМИЦ здоровья детей» Минздрава России, эксперт ВОЗ, член Союза педиатров России;
• Новик Г.А., доктор медицинских наук, профессор, заведующий кафедрой Детских болезней им. профессора И. М. Воронцова ФП и ДПО ФГБОУ ВО «Санкт-Петербургский государственный педиатрический медицинский университет» Министерства здравоохранения Российской Федерации, вице-Президент Союза педиатров России, главный детский аллерголог -иммунолог Минздрава России в Северо-Западном федеральном округе РФ.
• Платонова М.М. м.н., ведущий научный сотрудник НИИ педиатрии и охраны здоровья детей ЦКБ РАН Министерства науки и высшего образования Российской Федерации, врач-пульмонолог;
Авторы подтверждают отсутствие финансовой поддержки/конфликта интересов, который необходимо обнародовать.
Приложение А2.
Методология разработки клинических рекомендаций.Целевая аудитория данных клинических рекомендаций:
• Врачи-педиатры;
• Врачи-неонатологи;
• Врачи общей врачебной практики (семейные врачи);
• Студенты медицинских ВУЗов;
• Обучающиеся в ординатуре.
Методы, используемые для сбора/селекции доказательств. Поиск в электронных базах данных.
Описание методов, использованных для оценки качества и силы доказательств. Доказательной базой для рекомендаций являются публикации, вошедшие в Кохрейновскую библиотеку, базы данных EMBASE, MEDLINE и PubMed. Глубина поиска - 7 лет.
Методы, использованные для оценки качества и силы доказательств:
• консенсус экспертов;
• оценка значимости в соответствии с рейтинговой схемой.
Методы, использованные для анализа доказательств:
• обзоры опубликованных мета-анализов;
• систематические обзоры с таблицами доказательств.
Описание методов, использованных для анализа доказательств.
При отборе публикаций, как потенциальных источников доказательств, использованная в каждом исследовании методология изучается для того, чтобы убедиться в ее валидности. Результат изучения влияет на уровень доказательств, присваиваемый публикации, что в свою очередь, влияет на силу рекомендаций.
Для минимизации потенциальных ошибок каждое исследование оценивалось независимо. Любые различия в оценках обсуждались всей группой авторов в полном составе. При невозможности достижения консенсуса привлекался независимый эксперт.
Таблицы доказательств. Заполнялись авторами клинических рекомендаций.
Методы, использованные для формулирования рекомендаций. Консенсус экспертов.
Индикаторы доброкачественной практики ( Good Practice Points. GPPs ).
Рекомендуемая доброкачественная практика базируется на клиническом опыте авторов разработанных рекомендаций.
Экономический анализ.
Анализ стоимости не проводился и публикации по фармакоэкономике не анализировались.
Метод валидации рекомендаций.
• Внешняя экспертная оценка.
• Внутренняя экспертная оценка.
Описание метода валидации рекомендаций.
Настоящие рекомендации в предварительной версии были рецензированы независимыми экспертами, которых, прежде всего, попросили прокомментировать, насколько доступна для понимания интерпретация доказательств, лежащая в основе рекомендаций.
От врачей первичного звена получены комментарии в отношении доходчивости изложения данных рекомендаций, а также их оценка важности предлагаемых рекомендаций, как инструмента повседневной практики.
Все комментарии, полученные от экспертов, тщательно систематизировались и обсуждались членами рабочей группы (авторами рекомендаций). Каждый пункт обсуждался в отдельности.
Консультация и экспертная оценка.
Проект рекомендаций был рецензирован независимыми экспертами, которых, прежде всего, попросили прокомментировать доходчивость и точность интерпретации доказательной базы, лежащей в основе рекомендаций.
Рабочая группа.
Для окончательной редакции и контроля качества рекомендации были повторно проанализированы членами рабочей группы, которые пришли к заключению, что все замечания и комментарии экспертов приняты во внимание, риск систематических ошибок при разработке рекомендаций сведен к минимуму.
Основные рекомендации.
1. Шкала оценки уровней достоверности доказательств (УДД) для методов диагностики (диагностических вмешательств).
| УДД | Расшифровка |
| 1. | Систематические обзоры исследований с контролем референсным методом или систематический обзор рандомизированных клинических исследований с применением мета-анализа |
| 2. | Отдельные исследования с контролем референсным методом или отдельные рандомизированные клинические исследования и систематические обзоры исследований любого дизайна, за исключением рандомизированных клинических исследований, с применением мета-анализа |
| 3. | Исследования без последовательного контроля референсным методом или исследования с референсным методом, не являющимся независимым от исследуемого метода или нерандомизированные сравнительные исследования, в том числе когортные исследования |
| 4. | Несравнительные исследования, описание клинического случая |
| 5. | Имеется лишь обоснование механизма действия или мнение экспертов |
2. Шкала оценки уровней достоверности доказательств (УДД) для методов профилактики, лечения и реабилитации (профилактических, лечебных, реабилитационных вмешательств).
| УДД | Расшифровка |
| 1. | Систематический обзор рандомизированных клинических исследований с применением мета-анализа |
| 2. | Отдельные рандомизированные клинические исследования и систематические обзоры исследований любого дизайна, за исключением рандомизированных клинических исследований, с применением мета-анализа |
| 3. | Нерандомизированные сравнительные исследования, в том числе когортные исследования |
| 4. | Несравнительные исследования, описание клинического случая или серии случаев, исследование случай-контроль |
| 5. | Имеется лишь обоснование механизма действия вмешательства (доклинические исследования) или мнение экспертов |
Таблица 3. Шкала оценки уровней убедительности рекомендаций(УУР) для методов профилактики, диагностики, лечения и реабилитации (профилактических, диагностических, лечебных, реабилитационных вмешательств).
| УУР | Расшифровка |
| A | Сильная рекомендация (все рассматриваемые критерии эффективности (исходы) являются важными, все исследования имеют высокое или удовлетворительное методологическое качество, их выводы по интересующим исходам являются согласованными) |
| в | Условная рекомендация (не все рассматриваемые критерии эффективности (исходы) являются важными, не все исследования имеют высокое или удовлетворительное методологическое качество и/или их выводы по интересующим исходам не являются согласованными) |
| с | Слабая рекомендация (отсутствие доказательств надлежащего качества (все рассматриваемые критерии эффективности (исходы) являются неважными, все исследования имеют низкое методологическое качество и их выводы по интересующим исходам не являются согласованными) |
Механизм обновления клинических рекомендаций предусматривает их систематическую актуализацию - не реже чем один раз в три года, а также при появлении новых данных с позиции доказательной медицины по вопросам диагностики, лечения, профилактики и реабилитации конкретных заболеваний, наличии обоснованных дополнений/замечаний к ранее утверждённым КР, но не чаще 1 раза в 6 месяцев.
Приложение А3.
Справочные материалы, включая соответствие показаний к применению и противопоказаний, способов применения и доз лекарственных препаратов, инструкции по применению лекарственного препарата.• Приказ Министерства здравоохранения и социального развития РФ от 16 апреля 2012 г. N 366н Об утверждении Порядка оказания педиатрической помощи ;
• Приказ Министерства здравоохранения и социального развития РФ от от 05,05,2012 N 521н Об утверждении Порядка оказания медицинской помощи детям с инфекционными заболеваниями .
• Приказ Минздрава России 203н от 10 мая 2017г «Об утверждении критериев оценки качества медицинской помощи».
• Федеральный закон от 25,12,2018 № 489 489-ФЗ «О внесении изменений в статью 40 Федерального закона Об обязательном медицинском страховании в Российской Федерации и Федеральный закон Об основах охраны здоровья граждан в Российской Федерации по вопросам клинических рекомендаций».
• Приказ Минздрава России № 103н от 28,02,2019 г. Об утверждении порядка и сроков разработки клинических рекомендаций, их пересмотра, типовой формы клинических рекомендаций и требований к их структуре, составу и научной обоснованности, включаемой в клинические рекомендации информации».
• Приказ Минздрава России от 13,10,2017 N 804н Об утверждении номенклатуры медицинских услуг .
• Приказ Министерства здравоохранения Российской Федерации (Минздрав России) от 20 декабря 2012 г. N 1183н г. Москва Об утверждении Номенклатуры должностей медицинских работников и фармацевтических работников .
• Государственный реестр лекарственных средств https://grls.rosminzdrav.ru.
Приложение В.
Информация для пациента.Острый бронхиолит - воспаление, возникающее в бронхиолах (структурные компоненты легких, расположенные после бронхов представляющие собой мелкие трубочки) и мелких бронхах.
Причина развития острого бронхиолита - вирусы, чаще всего - респираторно-синцитиальный вирус (РС). РС-вирусную инфекцию переносят практически все дети в первые 2 года жизни (90%), однако лишь приблизительно в 20% случаев у них развивается бронхиолит, что может быть обусловлено наличием предрасполагающих факторов.
Заболевание развивается у детей в возрасте до 2 лет (наиболее часто - у детей в возрасте до 1 года).
Бронхиолит обычно развивается на 2-5 день острой инфекции верхних дыхательных путей и протекает чаще с невысокой температурой, характеризуется нарастающим в течение 3-4 дней кашлем, одышкой («тяжелым» дыханием) с затруднением выдоха и может быть видно втяжение межреберных промежутков, яремной ямки (места, расположенного спереди между шеей и грудью), раздувание крыльев носа.
Наиболее тяжело бронхиолит может протекать у детей, родившихся глубоко недоношенными, с тяжелыми пороками развития сердца, сосудов и легких, бронхолегочной дисплазией, некоторыми типами иммунодефицитов.
Кроме того, утяжелять течение бронхиолита может также воздействие на ребенка табачного дыма.
При бронхиолите у ребенка может развиться обезвоживание, обусловленное повышенной потребностью в жидкости за счет лихорадки и частого дыхания, снижения объема потребляемой жидкости из-за отказа ребенка пить и/или рвоты.
При появлении признкаков бронхиолита следует немедленно обратиться к врачу.
Лечение бронхиолита назначает врач в зависимости от тяжести проявлений заболевания.
Профилактика бронхиолита:
С целью уменьшения заболеваемости острыми респираторными инфекциями и бронхиолитом в частности, следует постараться сохранить грудное вскармливание как минимум в течение первых 6 месяцев жизни, не курить в помещении, где находится ребенок, соблюдать гигиенические правила, если в окружении есть больные острой респираторной инфекцией ( см информацию для пациентов в КР Острая респираторная вирусная инфекция (ОРВИ) у детей).
У детей первого года жизни из групп риска обычно проводится пассивная иммунизация от респираторно-синцитиальной инфекции. Уточните у педиатра (неонатолога), показан ли вашему ребенку данный препарат.
Приложение Г1-ГN.
Шкалы оценки, вопросники и другие оценочные инструменты состояния пациента, приведенные в клинических рекомендациях.|
|
Год актуализации информации
2021.