МКБ-10 коды
|
|
Вступление
МКБ 10:
Q67.5, Q76.3, Q76.4.
Год утверждения (частота пересмотра):
2015 г. (пересмотр каждые 3 года).
ID:
КР435.
URL:
Профессиональные ассоциации:
• Общероссийская общественная организация Ассоциация травматологов-ортопедов России (АТОР).
Утверждены.
на заседании Президиума АТОР XX.XX.2016 г. г. Москва __ __________201_ г.
Согласованы.
Научным советом Министерства Здравоохранения Российской Федерации __ __________201_ г.
Q67.5, Q76.3, Q76.4.
Год утверждения (частота пересмотра):
2015 г. (пересмотр каждые 3 года).
ID:
КР435.
URL:
Профессиональные ассоциации:
• Общероссийская общественная организация Ассоциация травматологов-ортопедов России (АТОР).
Утверждены.
на заседании Президиума АТОР XX.XX.2016 г. г. Москва __ __________201_ г.
Согласованы.
Научным советом Министерства Здравоохранения Российской Федерации __ __________201_ г.
Профессиональные ассоциации
• Общероссийская общественная организация Ассоциация травматологов-ортопедов России (АТОР).
Список сокращений
ЖЕЛ - жизненная емкость легких.
КОМОТ - компьютерно-оптическая топография.
МРТ - магниторезонансная томография.
ТПФ - транспедикулярная фиксация.
УЗИ - ультразвуковое исследование.
ФВД - функция внешнего дыхания.
ФЭГДС - фиброэзофагогастродуоденоскопия.
ФЖЕЛ - форсированная жизненная емкость легких.
ЭМГ - электронейромиография.
ЭхоКГ - эхокардиография.
VEPTR - Vertical Expandable Prosthetic Titanium Rib. Вертикальное раздвижное искусственное титановое ребро.
КОМОТ - компьютерно-оптическая топография.
МРТ - магниторезонансная томография.
ТПФ - транспедикулярная фиксация.
УЗИ - ультразвуковое исследование.
ФВД - функция внешнего дыхания.
ФЭГДС - фиброэзофагогастродуоденоскопия.
ФЖЕЛ - форсированная жизненная емкость легких.
ЭМГ - электронейромиография.
ЭхоКГ - эхокардиография.
VEPTR - Vertical Expandable Prosthetic Titanium Rib. Вертикальное раздвижное искусственное титановое ребро.
Термины и определения
Заднебоковой квадрант тела позвонка представляет собой отсутствие переднебоковых отделов тела с сохранением заднебокового фрагмента той или иной величины и соответствующего корня дужки. Встречается на любом уровне, но чаще всего - в грудопоясничном отделе позвоночника. Аномалия может быть двойной.
Задний полупозвонок. Полное нарушение развития передней части тела позвонка с сохранением клиновидно деформированной дорсальной его части с обеими полудужками. Чаще всего локализуется в нижнегрудном отделе позвоночника. Задний позвонок, как и предыдущая аномалия, может быть двойным.
Бабочковидный позвонок. Это полное или частичное нарушение развития передней и центральной части тела позвонка с формированием двух заднебоковых фрагментов кости и сохранными задними отделами позвонка. Аномалия почти всегда единична и обычно располагается в грудопоясничном отделе позвоночника.
Задний и заднебоковой клиновидный позвонок. Частичное нарушение формирования переднебоковых отделов тела позвонка вплоть до передней продольной связки. В результате высота вентральных отделов тела позвонка уменьшена в сравнении с дорсальными отделами на 30-50 %. Всегда локализуется в нижнегрудном или верхнепоясничном отделах позвоночника.
Агенезия тела позвонка. Встречается крайне редко и представляет собою нарушение развития тела позвонка с сохранением только корней дужек и ламины.
Асомия позвонка. Аномалия позвонка, заключающаяся в полном отсутствии всех его элементов - тала, дуги, суставов.
Диастематомиелия. Врожденный порок развития позвоночника и позвоночного канала, заключающийся в расщеплении спинного мозга и/или его оболочек костной, хрящевой либо фиброзной перегородкой.
Задний полупозвонок. Полное нарушение развития передней части тела позвонка с сохранением клиновидно деформированной дорсальной его части с обеими полудужками. Чаще всего локализуется в нижнегрудном отделе позвоночника. Задний позвонок, как и предыдущая аномалия, может быть двойным.
Бабочковидный позвонок. Это полное или частичное нарушение развития передней и центральной части тела позвонка с формированием двух заднебоковых фрагментов кости и сохранными задними отделами позвонка. Аномалия почти всегда единична и обычно располагается в грудопоясничном отделе позвоночника.
Задний и заднебоковой клиновидный позвонок. Частичное нарушение формирования переднебоковых отделов тела позвонка вплоть до передней продольной связки. В результате высота вентральных отделов тела позвонка уменьшена в сравнении с дорсальными отделами на 30-50 %. Всегда локализуется в нижнегрудном или верхнепоясничном отделах позвоночника.
Агенезия тела позвонка. Встречается крайне редко и представляет собою нарушение развития тела позвонка с сохранением только корней дужек и ламины.
Асомия позвонка. Аномалия позвонка, заключающаяся в полном отсутствии всех его элементов - тала, дуги, суставов.
Диастематомиелия. Врожденный порок развития позвоночника и позвоночного канала, заключающийся в расщеплении спинного мозга и/или его оболочек костной, хрящевой либо фиброзной перегородкой.
Описание
К числу врожденных относятся деформации позвоночника, развивающиеся и прогрессирующие вследствие наличия внутриутробно формирующихся аномалий позвонков и ребер.
Причины
В основе врожденных деформаций позвоночника лежат аномалии его развития. К ним относятся врожденные (комплектные) клиновидные позвонки, добавочные (сверхкомплектные) врожденные клиновидные позвонки, асимметричный синостоз тел позвонков, асимметричный синостоз поперечных отростков, аномалии суставных отростков, врожденный синостоз ребер Сюда же иногда относят и некоторые виды дисплазий позвоночника (наличие переходного пояснично-крестцового позвонка, асимметричное расщепление дужек, косое стояние V поясничного позвонка, аномалии тропизма и т. д.
При наличии врожденной аномалии проявления со стороны позвоночника устанавливаются довольно рано, при дисплазиях позвоночника заболевание возникает значительно позже и по своему течению и клиническим проявлениям во многом приближается к так называемым идиопатическим сколиозам. В большинстве случаев дисплазия позвоночника не приводит к возникновению сколиотической болезни; большое количество людей с переходным пояснично-крестцовым позвонком, незаращением дужки или дужек позвонка и другими проявлениями дисплазии всю свою жизнь считают себя здоровыми. Врожденный сколиоз может развиться на любом уровне позвоночного столба, но чаще в грудном отделе. Течение врожденных сколиозов неблагоприятное, они прогрессируют, предопределяя увечье ребенка.
Прогрессирующее искривление позвоночника, чаще грудного и грудопоясничного отдела, вызывает изменения анатомии и функции органов грудной клетки; отсюда - уменьшение лёгочной функции, развитие правожелудочковой недостаточности, боли, неврологический дефицит, недовольство своим внешним видом. Вследствие ригидной деформации грудной клетки возможен только брюшной тип дыхания с дыхательной недостаточностью II-III степени, снижается жизненная ёмкость лёгких вплоть до декомпенсации респираторной системы. Нарушение вентиляции лёгких вызывает фиброз лёгочной ткани и повышение сосудистого сопротивления в бассейне лёгочной артерии. Помимо этого, сердце и крупные сосуды совершают поворот вокруг вертикальной оси в направлении, противоположном торсии, с дислокацией трахеи и бронхов, что также повышает давление в малом круге кровообращения. Перечисленные факторы приводят к развитию правожелудочковой недостаточности.
Помимо респираторной и сердечнососудистой недостаточности у больных с тяжёлыми формами деформации грудопоясничного и поясничного отделов выявляется патология, обусловленная выраженными нарушениями топографии внутренних органов с возникновением дискинезии жёлчных путей, нарушением выделительной функции почек и моторно-эвакуаторной функции кишечника. Вследствие всех этих факторов развивается астенизация, возрастает частота послеоперационных осложнений и смертности. Склонные к прогрессированию и развитию неврологических осложнений врожденные деформации позвоночника в большинстве случаев приводят к ранней инвалидизации.
При наличии врожденной аномалии проявления со стороны позвоночника устанавливаются довольно рано, при дисплазиях позвоночника заболевание возникает значительно позже и по своему течению и клиническим проявлениям во многом приближается к так называемым идиопатическим сколиозам. В большинстве случаев дисплазия позвоночника не приводит к возникновению сколиотической болезни; большое количество людей с переходным пояснично-крестцовым позвонком, незаращением дужки или дужек позвонка и другими проявлениями дисплазии всю свою жизнь считают себя здоровыми. Врожденный сколиоз может развиться на любом уровне позвоночного столба, но чаще в грудном отделе. Течение врожденных сколиозов неблагоприятное, они прогрессируют, предопределяя увечье ребенка.
Прогрессирующее искривление позвоночника, чаще грудного и грудопоясничного отдела, вызывает изменения анатомии и функции органов грудной клетки; отсюда - уменьшение лёгочной функции, развитие правожелудочковой недостаточности, боли, неврологический дефицит, недовольство своим внешним видом. Вследствие ригидной деформации грудной клетки возможен только брюшной тип дыхания с дыхательной недостаточностью II-III степени, снижается жизненная ёмкость лёгких вплоть до декомпенсации респираторной системы. Нарушение вентиляции лёгких вызывает фиброз лёгочной ткани и повышение сосудистого сопротивления в бассейне лёгочной артерии. Помимо этого, сердце и крупные сосуды совершают поворот вокруг вертикальной оси в направлении, противоположном торсии, с дислокацией трахеи и бронхов, что также повышает давление в малом круге кровообращения. Перечисленные факторы приводят к развитию правожелудочковой недостаточности.
Помимо респираторной и сердечнососудистой недостаточности у больных с тяжёлыми формами деформации грудопоясничного и поясничного отделов выявляется патология, обусловленная выраженными нарушениями топографии внутренних органов с возникновением дискинезии жёлчных путей, нарушением выделительной функции почек и моторно-эвакуаторной функции кишечника. Вследствие всех этих факторов развивается астенизация, возрастает частота послеоперационных осложнений и смертности. Склонные к прогрессированию и развитию неврологических осложнений врожденные деформации позвоночника в большинстве случаев приводят к ранней инвалидизации.
Эпидемиология
Количество больных с врожденными деформациями позвоночника очень велико - по мнению Э.В. Ульриха оно достигает в России 1,5-2 миллионов человек [1].
Классификация
Аномалии тел позвонков, согласно классификации Winter et al., подразделяются на аномалии [2]:
• Формирования;
• Сегментации;
• Смешанные.
К аномалиям формирования относятся клиновидные позвонки и полупозвонки (боковые, заднебоковые и задние), аплазия дуги и полудуги, гипоплазия дуги и полудуги, асомия (отсутствие тела позвонка). Аномалии сегментации представляют собою частичное или полное блокирование двух и более позвонков. Смешанные аномалии - это комбинации аномалий первых двух типов.
Э.В. Ульрих и А.Ю. Мушкин дополнили эту классификацию нарушениями формирования позвоночного канала, к которым отнесли первичные стенозы, диастематомиелию, дермальный синус и спинномозговые грыжи [1]. Практически разнообразие аномалий, развивающихся на любом уровне с захватом любого количества сегментов, является бесконечным.
Наиболее полная этиологическая классификация сколиозов, кифозов и лордозов представлена Lonstein E.J. et al [3]:
I. Идиопатические.
A. Инфантильные (от 0 до 3 лет):
1. саморазрешающиеся;
2. прогрессирующие.
В. Ювенильные (от 3 до 10 лет).
С. Подростковые (старше 10 лет).
II. Нейромышечные.
A. Нейропатические:
1. На почве поражения верхнего мотонейрона:
A. церебральный паралич;
B. позвоночно-мозжечковая дегенерация:
1) болезнь Friedreich;
2) болезнь сharcot-Marie-Tooth;
3) болезнь Roussy-Levy.
С. Сирингомиелия;
D. опухоль спинного мозга;
E. травма спинного мозга;
F. другие причины.
2. На почве поражение нижнего мотонейрона:
А. полиомиелит;
B. другие вирусные миелиты;
C. травма;
D. позвоночно-мышечные атрофии:
1) болезнь Werdnig-Hoffmann;
2) болезнь Kugelberg-Welander;
3) миеломенингоцеле (паралитическое).
3. Дизаутономия (синдром Riley-Day).
4. Другие.
В. Миопатические:
1. Артрогрипоз.
2. Мышечная дистрофия.
3. Врожденная гипотония.
4. Дистрофическая миотония.
5. Другие.
III. Врожденные.
А. Нарушения формирования:
1. Клиновидный позвонок.
2. Полупозвонок.
В. Нарушения сегментации:
1. Односторонние.
2. Двусторонние.
С. Смешанные аномалии.
IV. Нейрофиброматоз.
V. Мезенхимальная патология.
А. Синдром Marfan.
В. Синдром Ehlers-Danlos.
С. Другие.
VI. Ревматоидные заболевания.
А. Ювенильный ревматоидный артрит.
В. Другие.
VII. Травматические деформации.
А. После перелома.
В. После хирургического вмешательства:
1. Постламинэктомические;
2. Постторакопластические.
VIII. На почве контрактур внепозвоночной локализации.
А. После эмпиемы.
В. После ожого.в.
IX. Остеохондродистрофические.
А. Диастрофический дварфизм.
В. Мукополисахаридоз (например, болезнь Morquio.
С. Спондилоэпифизарная дисплазия.
D. Множественная эпифизарная дисплазия.
Е. Ахондроплазия.
F. Другие.
X. На почве остеомиелита.
XI. Метаболические нарушения.
А. Рахит.
В. Несовершенный остеогенез.
С. Гомоцистинурия.
D. Другие.
XII. На почве патологии пояснично-крестцового сочленения.
А. Спондилолиз и спондилолистез.
В. Врожденные аномалии пояснично-крестцового сочленения.
XIII. На почве опухоли.
А. Позвоночного столба:
1. Остеоид-остеома.
2. Гистиоцитоз Х.
3. Другие.
В. Спинного мозга ( см нейромышечные сколиозы).
Классификация неструктуральных сколиозов.
I. Постуральные.
II. Истерические.
III. Анталгические.
IV. Воспалительные (например, при остром аппендиците).
V. На почве укорочения ноги.
VI. При контрактуре тазобедренного сустава.
Классификация кифозов.
• Постуральные.
• На почве болезни Scheuermann.
III. Врожденные.
А. На почве дефектов формирования.
В. На почве дефектов сегментации.
С. На почве смешанных дефектов.
IV. Нейромышечные.
V. На почве миеломенингоцеле.
А. С поздним развитием паралича.
В Врожденные.
VI. Травматические.
А. С повреждением спинного мозга.
В Без повреждения спинного мозга.
VII. Ятрогенные.
А. Постламинэктомические.
В. После удаления тела позвонка.
VIII. Пострадиационные.
IX. Метаболические.
А На почве остеопороза:
1) сенильного;
2) ювенильного.
В. На почве остеомаляции.
С. На почве osteogenesis imperfecta.
D. Другие.
X. На почве дисплазий скелета.
А. Ахондроплазия.
В. Мукополисахаридоз.
С. Нейрофиброматоз.
D. Другие.
XI. Коллагенозы.
А. Болезнь Marie-Strumpell.
В. Другие.
XII. На почве опухоли.
А. Доброкачественной.
В. Злокачественной:
1) первичное поражение;
2) метастаз.
XIII. На почве воспалительных процессов.
Классификация сколиозов (величина деформации), упомянутая в книге М.И. Шулутко Боковое искривление позвоночника у детей , получила наибольшее распространение в нашей стране [4]:
I - 0-10º.
II - 10-25º.
III - 25-50º.
IY - better 50.º.
• Формирования;
• Сегментации;
• Смешанные.
К аномалиям формирования относятся клиновидные позвонки и полупозвонки (боковые, заднебоковые и задние), аплазия дуги и полудуги, гипоплазия дуги и полудуги, асомия (отсутствие тела позвонка). Аномалии сегментации представляют собою частичное или полное блокирование двух и более позвонков. Смешанные аномалии - это комбинации аномалий первых двух типов.
Э.В. Ульрих и А.Ю. Мушкин дополнили эту классификацию нарушениями формирования позвоночного канала, к которым отнесли первичные стенозы, диастематомиелию, дермальный синус и спинномозговые грыжи [1]. Практически разнообразие аномалий, развивающихся на любом уровне с захватом любого количества сегментов, является бесконечным.
Наиболее полная этиологическая классификация сколиозов, кифозов и лордозов представлена Lonstein E.J. et al [3]:
I. Идиопатические.
A. Инфантильные (от 0 до 3 лет):
1. саморазрешающиеся;
2. прогрессирующие.
В. Ювенильные (от 3 до 10 лет).
С. Подростковые (старше 10 лет).
II. Нейромышечные.
A. Нейропатические:
1. На почве поражения верхнего мотонейрона:
A. церебральный паралич;
B. позвоночно-мозжечковая дегенерация:
1) болезнь Friedreich;
2) болезнь сharcot-Marie-Tooth;
3) болезнь Roussy-Levy.
С. Сирингомиелия;
D. опухоль спинного мозга;
E. травма спинного мозга;
F. другие причины.
2. На почве поражение нижнего мотонейрона:
А. полиомиелит;
B. другие вирусные миелиты;
C. травма;
D. позвоночно-мышечные атрофии:
1) болезнь Werdnig-Hoffmann;
2) болезнь Kugelberg-Welander;
3) миеломенингоцеле (паралитическое).
3. Дизаутономия (синдром Riley-Day).
4. Другие.
В. Миопатические:
1. Артрогрипоз.
2. Мышечная дистрофия.
3. Врожденная гипотония.
4. Дистрофическая миотония.
5. Другие.
III. Врожденные.
А. Нарушения формирования:
1. Клиновидный позвонок.
2. Полупозвонок.
В. Нарушения сегментации:
1. Односторонние.
2. Двусторонние.
С. Смешанные аномалии.
IV. Нейрофиброматоз.
V. Мезенхимальная патология.
А. Синдром Marfan.
В. Синдром Ehlers-Danlos.
С. Другие.
VI. Ревматоидные заболевания.
А. Ювенильный ревматоидный артрит.
В. Другие.
VII. Травматические деформации.
А. После перелома.
В. После хирургического вмешательства:
1. Постламинэктомические;
2. Постторакопластические.
VIII. На почве контрактур внепозвоночной локализации.
А. После эмпиемы.
В. После ожого.в.
IX. Остеохондродистрофические.
А. Диастрофический дварфизм.
В. Мукополисахаридоз (например, болезнь Morquio.
С. Спондилоэпифизарная дисплазия.
D. Множественная эпифизарная дисплазия.
Е. Ахондроплазия.
F. Другие.
X. На почве остеомиелита.
XI. Метаболические нарушения.
А. Рахит.
В. Несовершенный остеогенез.
С. Гомоцистинурия.
D. Другие.
XII. На почве патологии пояснично-крестцового сочленения.
А. Спондилолиз и спондилолистез.
В. Врожденные аномалии пояснично-крестцового сочленения.
XIII. На почве опухоли.
А. Позвоночного столба:
1. Остеоид-остеома.
2. Гистиоцитоз Х.
3. Другие.
В. Спинного мозга ( см нейромышечные сколиозы).
Классификация неструктуральных сколиозов.
I. Постуральные.
II. Истерические.
III. Анталгические.
IV. Воспалительные (например, при остром аппендиците).
V. На почве укорочения ноги.
VI. При контрактуре тазобедренного сустава.
Классификация кифозов.
• Постуральные.
• На почве болезни Scheuermann.
III. Врожденные.
А. На почве дефектов формирования.
В. На почве дефектов сегментации.
С. На почве смешанных дефектов.
IV. Нейромышечные.
V. На почве миеломенингоцеле.
А. С поздним развитием паралича.
В Врожденные.
VI. Травматические.
А. С повреждением спинного мозга.
В Без повреждения спинного мозга.
VII. Ятрогенные.
А. Постламинэктомические.
В. После удаления тела позвонка.
VIII. Пострадиационные.
IX. Метаболические.
А На почве остеопороза:
1) сенильного;
2) ювенильного.
В. На почве остеомаляции.
С. На почве osteogenesis imperfecta.
D. Другие.
X. На почве дисплазий скелета.
А. Ахондроплазия.
В. Мукополисахаридоз.
С. Нейрофиброматоз.
D. Другие.
XI. Коллагенозы.
А. Болезнь Marie-Strumpell.
В. Другие.
XII. На почве опухоли.
А. Доброкачественной.
В. Злокачественной:
1) первичное поражение;
2) метастаз.
XIII. На почве воспалительных процессов.
Классификация сколиозов (величина деформации), упомянутая в книге М.И. Шулутко Боковое искривление позвоночника у детей , получила наибольшее распространение в нашей стране [4]:
I - 0-10º.
II - 10-25º.
III - 25-50º.
IY - better 50.º.
Диагностика
2,1 Жалобы и анамнез.
• Рекомендуется оценивать [5]:- информацию о степени выраженности жалоб от самого пациента и от его родителей (для детей);
- время появления и динамику изменения жалоб;
- историю предшествовавшего лечения;
- наличие сопутствующей патологии;
- наличие аллергии, лекарственной непереносимости.
Уровень убедительности рекомендаций А (уровень достоверности доказательств - 1b).
Комментарии. В хирургии деформаций позвоночника этот элемент обследования приобретает особое значение. Основных жалоб обычно две - косметический дефект, связанный с деформацией позвоночника и грудной клетки, и болевой синдром, причем вовсе необязательно, чтобы больной предъявлял обе жалобы. Их при первом разговоре с пациентом может вообще не быть. Следует учитывать, что самооценка больным своего внешнего вида чрезвычайно вариабельна. Сравнительно небольшая сколиотическая деформация в 40-45º по Сobb может приносить юной пациентке немыслимые моральные страдания, о которых она и ее родители не могут говорить иначе как со слезами. В то же время больные со сколиозом в 90º нередко считают, что их внешний вид вполне приемлем, и ни в какой коррекции не нуждается.
Часто подросток не акцентирует внимание на болевом синдроме и только при целенаправленном расспросе уточняет, что спина болит. Важно выяснить, когда впервые появились боли, в каких ситуациях они усиливаются или исчезают, в каком отделе позвоночника локализуются. Чаще всего боли возникают на вершине деформации либо в нижнепоясничном отделе позвоночника. Весьма нередко, особенно у пациентов старше 20 лет, болевой синдром доминирует и является основной причиной, побуждающей обратиться к врачу и ставить вопрос о хирургическом вмешательстве.
Необходимо выяснить, беспокоит ли пациента одышка, когда она отмечена впервые, при каких нагрузках отмечается и усиливается ли с годами.
Необходимо выяснить, в каком возрасте и кем впервые была замечена деформация позвоночника, обращались ли родители больного к врачу, проводилось ли лечение, какое именно и в чем выражался эффект. В частности, желательно выяснить, делались ли попытки исправить форму позвоночного столба методами мануальной терапии, и не привело ли подобное вмешательство к появлению болей и ускоренному прогрессированию деформации. Крайне важно ознакомиться с имеющейся у пациента медицинской документацией, особенно в тех случаях, когда имеются указания на проведенное ранее хирургическое лечение. Нужно попытаться выяснить, какова была динамика прогрессирования деформации, и с каким возрастом совпадали пики этого прогрессирования. Очень интересно, хотя с практической точки зрения часто малосущественно, есть ли в семье еще больные с деформациями позвоночника, кто именно, проводилось ли оперативное лечение. Следует поинтересоваться состоянием функции органов малого таза. Наконец, поскольку подавляющее большинство больных с деформациями позвоночника - девочки, нужно уточнить, в каком возрасте впервые пришли месячные (если это уже произошло) и установился ли нормальный менструальный цикл. Последнее обстоятельство весьма важно с точки зрения прогноза течения патологического процесса, так как характеризует степень развития организма и в частности - опорно-двигательного аппарата.
При сборе анамнеза, в ходе осмотра и в результате лабораторного обследования, как правило, обнаруживают сопутствующую соматическую патологию и различные осложнения сколиоза.
2,1 Физикальное обследование.
• Рекомендуется:- провести общее клиническое обследование пациента с оценкой ортопедического статуса и состояния кожных покровов;
- выявить или исключить признаки инфекционных очагов;
- при наличии сопутствующей патологии провести консультацию врача соответствующего профиля;
- сфотографировать пациента с трех точек на всех этапах наблюдения [5].
Уровень убедительности рекомендаций (уровень достоверности доказательств - 1b).
Комментарии. Собственно, ортопедический осмотр и антропометрия проводятся по общепринятой методике при условии полного обнажения больного, что исключает возможность просмотра таких важных симптомов, как, например, гипертрихоз в пояснично-крестцовом отделе позвоночника [5] - Оценка ортопедического статуса должна включать положение головы, асимметрии лица, глаз, ушей. Подробно в соответствии с классическими канонами следует описать все признаки асимметрии туловища с указанием линейных параметров. Необходимо измерить длину конечностей (все типы укорочений) и обследовать стопы на предмет их деформаций.
При осмотре спереди необходимо оценить: отклонение туловища, высоту надплечий, симметрию грудных желёз и высоту треугольников талии; также расстояние от мечевидного отростка до правой и левой верхних подвздошных костей. При осмотре со спины определяют отклонение межягодичной складки от линии отвеса, измеряют отклонение вершины дуги деформации от линии отвеса, симметрию и высоту стояния лопаток, характер рёберной деформации и её высоту при наклоне пациента вперёд. Отмечают наличие кожных складок под лопатками и/или в поясничной области. Оценивают сагиттальный профиль: выраженность поясничного лордоза и грудного кифоза.
Исследуют объём активных движений позвоночника. Осуществляют пальпацию остистых отростков, паравертебральных точек, определяют напряжение паравертебральных мышц. В заключение измеряют рост пациента, длину нижних конечностей, оценивают походку.
Тщательное клиническое обследование всегда позволяет выявить одну из характерных особенностей врожденных деформаций позвоночника вообще и врожденных кифозов, в частности, - ригидность. Врожденные кифозы почти всегда ригидны, они редко поддаются даже минимальной коррекции при проведении общеизвестной пробы с подтягиванием больного за голову руками врача, причем сказанное в равной мере касается и сколиотического компонента деформации, если таковой присутствует. Функциональные рентгенограммы, выполненные в положении флексии и экстензии позвоночника, подтверждают это положение.
Клиническое обследование больного с любой деформацией позвоночника невозможно без участия невролога. К врожденным кифозам сказанное относится в полной мере, тем более, что подобные деформации в большинстве случаев сопровождаются неврологической симптоматикой различной степени выраженности. Необходимо помнить и о том, что врожденные деформации позвоночника весьма нередко (до 13 % случаев, по нашим данным) сочетаются с разнообразными врожденными аномалиями внепозвоночной локализации - мочевыводящей системы, сердца, передней грудной и брюшной стенок, а также кривошеей, краниостенозом, деформациями стоп, изменениями прикуса, дисплазией тазобедренных суставов.
Для сравнения результатов внешнего осмотра, выполненного до и после хирургического лечения, используют фотографические методы регистрации.
В случае, если планируется корригирующее оперативное вмешательство, полезно проведение тракционной пробы. С этой целью используется тракционный стол, снабженный динамометром для оценки прилагаемого корригирующего усилия. Тракция производится за голову и тазовый пояс с постоянным неврологическим контролем. Тракционное усилие увеличивается медленно и осторожно и немедленно прекращается при появлении или малейшем усугублении имеющейся неврологической симптоматики. Невролог фиксирует характер неврологических симптомов, усилие, при котором они появились и их стойкость (период времени между прекращением тракции и исчезновением симптоматики). Эта информация может сыграть очень важную роль в планировании хирургического вмешательства и профилактике неврологических осложнений.
Осмотр невролога. Обязательный компонент клинического обследования, который, помимо всего прочего, позволяет целенаправленно изучить состояние позвоночного канала и его содержимого с привлечением инструментальных методов. Неврологические проявления могут варьировать в весьма широких пределах, но в мировой литературе внимание уделяется главным образом тем случаям, когда имеет место грубый неврологический дефицит в виде параличей и парезов.
Как известно, центральные спастические параличи характеризуются высоким мышечным тонусом, повышением сухожильных, выпадением кожных и наличием патологических рефлексов, отсутствием дегенеративной атрофии парализованных мышц. Чтобы определить степень серьезности спинномозговых нарушений при деформациях позвоночника, Р. Stagnara et al. предложили следующую систему градации неврологического дефицита [6]:
1. Полная параплегия с полной анестезией и сфинктерными нарушениями.
2. Полная двигательная параплегия с отсутствием активного управления, а анестезия и сфинктерные нарушения - неполные.
3. Спастическая параплегия с возможностью ходьбы и с большими затруднениями при стоянии.
4. Параплегия с неврологической спастичностью, но с возможностью ходьбы, хотя и очень скованной.
5. Только неврологическая спастичность без функциональных нарушений.
6. Нормальное состояние.
Первые 5 пунктов этой градации указывают на ту или иную степень вовлечения в патологический процесс проводящих путей спинного мозга по описанным выше механизмам и требуют самого пристального внимания к больному.
Одной из наиболее часто применяемых является классификация Н. Frankel et al., разработанная, правда, применительно к позвоночно-спинномозговой травме [7]:
А - полная утрата движений и чувствительности.
В - полная утрата движений, но сохранена чувствительность.
С - сохранены движения, но без функциональной активности.
D - сохранены движения, включая ходьбу с помощью или без нее.
Е - нет неврологических симптомов.
2,3 Лабораторная диагностика.
• Рекомендуется:- при проведении амбулаторного и стационарного консервативного лечения назначать клинические, биохимические и иные исследования в соответствии с имеющимися клиническими проявлениями вертебральной и вневертебральной патологии;
- при подготовке и проведении хирургического лечения выполнять лабораторные тесты, включающие общие анализы крови и мочи, биохимические показатели крови (общий белок, альбумин, мочевина, креатинин, аланинаминотрансфераза, аспартатаминотрансфераза, электролиты, свертывающая система), тесты на сифилис, вирусы гепатитов и иммунодефицита человека, определение группы крови и резус-фактора;
- при наличии показаний (дополнительные рекомендации генетика, иммунолога, эндокринолога, невролога, педиатра, терапевта, анестезиолога-реаниматолога и других врачей-специалистов) расширять объем лабораторной диагностики [5].
Уровень убедительности рекомендаций А (уровень достоверности доказательств - 1b).
2,4 Инструментальная диагностика.
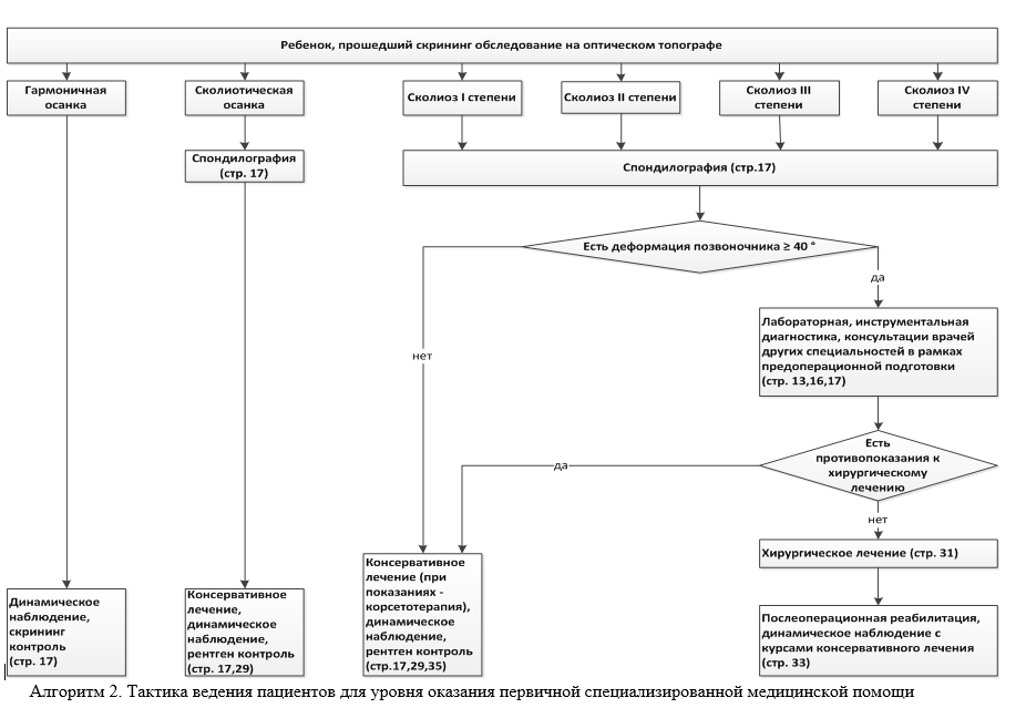
• Рекомендуется:- на всех этапах наблюдения пациента проводить визуализацию патологии позвоночника (спондилография, компьютерная томография, магнитно-резонансная томография, компьютерно-оптическая топография);
- в стандартном плане предоперационного обследования обязательно проводить рентгенографию органов грудной клетки, электрокардиографию, эхокардиографию, ультразвуковое исследование органов брюшной полости, почек и мочевого пузыря, спирографию, детям старше 12 лет - фиброэзофагогастродуоденоскопию;
- при наличии показаний проводить нейрофизиологические исследования, миелографию, ультразвуковое исследование сосудов нижних конечностей [5].
Уровень убедительности рекомендаций А (уровень достоверности доказательств - 1а).
Комментарии. При наличии биомеханической лаборатории появляется возможность оценить особенности походки больного в до -и послеоперационном периоде. Это позволяет дополнительно обьективизировать результат коррекции деформации позвоночника с точки зрения нормализации функции локомоции и восстановления баланса туловища.
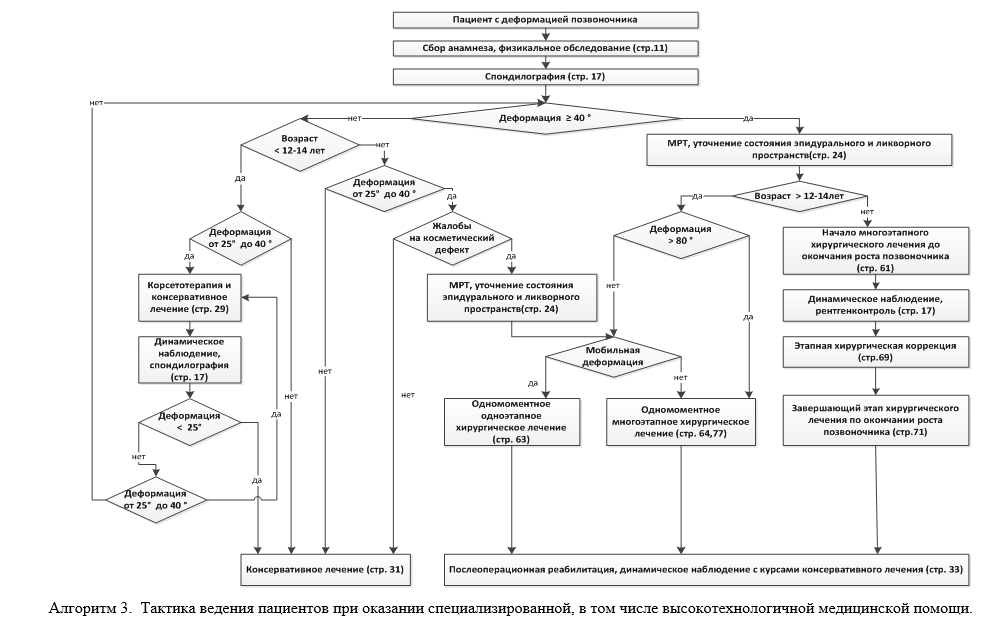
• Рекомендована обзорная рентгенография, которая включает спондилографию грудного и поясничного отделов позвоночника в двух стандартных проекциях в положении стоя. Только этот метод дает возможность оценить истинную величину деформации во фронтальной и сагиттальной плоскостях [5].
Уровень убедительности рекомендаций А (уровень достоверности доказательств - 1а).
Комментарии. Спондилограммы, выполненные в положении лежа, неинформативны, так как отсутствие воздействия массы тела на деформацию позвоночника приводит к уменьшению последней из-за частичного устранения так называемой функциональной составляющей. На спондилограммах грудной и поясничный отделы должны быть «захвачены» полностью - от Th1 до S1 позвонка. Крайне желательно, чтобы все позвонки на этом протяжении были отражены на одной пленке. Современные рентгеновские аппараты позволяют получать такие спондилограммы, используя так называемый «степовый» режим. В ином случае приходится склеивать прозрачным скотчем спондилограммы различных отделов позвоночника для получения целостной картины. При выполнении обзорных спондилограмм желательно использование рентгеноконтрастного отвеса для облегчения последующего изучения снимков.
• Рекомендована функциональная рентгенография для определения подвижности отдельных позвоночных сегментов и оценки степени мобильности позвоночника в области первичной и вторичной дуг при планировании лечения (корсетотерапия или хирургическое вмешательство) [5].
Уровень убедительности рекомендаций А (уровень достоверности доказательств - 1а).
Комментарии. Рентгенограммы с боковыми наклонами выполняются в положении больного на спине. Наклоны выполняются больным активно в сторону выпуклости основной и компенсаторных дуг отдельно. Например, если имеется правосторонняя грудная дуга с поясничным противоискривлением, больной должен выполнить максимально возможный активный наклон грудного отдела позвоночника вправо, а поясничного - влево. Обе спондилограммы тщательно маркируются. Второй вариант исследования мобильности позвоночника при сколиозе - тракционные спондилограммы. Больной лежит на спине, два лаборанта осуществляют тягу - за голени и за петлю Глиссона. Снимок выполняется в момент максимальной тракции. Оба метода (боковые наклоны и тракция) не должны противопоставляться друг другу.
Функциональная спондилография в боковой проекции выполняется в тех случаях, когда необходимо выяснить степень мобильности кифотической деформации. Больного укладывают на спину, под областью вершины кифоза помещают мешок с песком высотой 10 см и шириной 15-20 см Важно, чтобы больной хорошо расслабился. Если нужно определить степень мобильности позвоночника при наличии гиперлордоза, снимок выполняется в положении активной максимальной флексии. Спондилограммы поясничного отдела позвоночника в положении флексии и экстензии выполняются для уточнения состояния поясничных межпозвонковых дисков при планировании протяженности зоны спондилодеза у больного сколиозом.
Особые укладки.
Спондилограммы в косых проекциях (справа и слева в 3/4) используются при оценке состояния межсуставной части дужки поясничного позвонка в случае спондилолиза или спондилолистеза. В грудном отделе рентгенограммы в косых проекциях помогают более точно оценить состояние костных масс после операции спондилодеза. Так называемые прицельные спондилограммы дают возможность уточнить локальные анатомические особенности двигательного позвоночного сегмента. При наличии аномалий пояснично-крестцового отдела позвоночника используется укладка Ferguson. В положении больного на спине тубус рентгеновского аппарата наклоняется в краниальном направлении (на 30° у мужчин и 35° у женщин), при этом луч проходит в плоскости диска L5-S1, и становятся хорошо видны особенности анатомии этого сочленения. Эти рентгенограммы следует делать, имея на то очень серьезные основания, так как облучение органов малого таза относительно велико. При тяжелых сколиотических деформациях (обычно более 100°) стандартная переднезадняя проекция не дает возможности оценить истинную величину дуги из-за выраженной торсии позвонков. Возникает деформация в сагиттальной плоскости, которая внешне выглядит как кифоз, хотя таковой не является, так как это - результат торсии. Если «устранить» торсию, сколиотическая дуга окажется большей, чем представляется на переднезадней спондилограмме [8]. Получить рентгенографическое отображение истинной дуги можно, используя технику Stagnara - кассета помещается параллельно медиальному краю реберного горба, а луч направляется перпендикулярно плоскости кассеты. На спондилограмме получается отображение истинной сколиотической деформации. При врожденных сколиозах техника Stagnara позволяет выявлять особенности аномалий, в частности, - наличие диастематомиелии.
У больных сколиозом стандартно выполняется тангенциальная рентгенография реберного горба. Больной наклоняется вперед, а луч направляется вдоль плоскости его спины, в результате чего на рентгенограмме отражается форма ребер на вершине горба и взаиморасположение ребер правой и левой половин грудной клетки. Рентгенография реберного горба выполняется перед корригирующим вмешательством на позвоночнике или торакопластикой, а также в послеоперационном периоде для оценки достигнутого результата. Метод может быть заменен компьютерной томографией туловища в аксиальной плоскости.
• Рекомендована томография (ламинография) для уточнения особенностей анатомического строения костных структур, недостаточно визуализируемых на обычных спондилограммах. То же относится и к оценке «качества» костного блока после операции спондилодеза [5].
Комментарии. Анализ рентгенограмм.
Рентгенографическое обследование дает возможность оценить деформацию позвоночника по целому ряду параметров. В первую очередь речь идет об этиологии. Наличие врожденных аномалий позвонков (клиновидные позвонки и полупозвонки, нарушения сегментации) и ребер (синостозы, недоразвитие) указывают на врожденный характер деформации. Короткая грубая дуга заставляет думать о нейрофиброматозе, а протяженная пологая дуга - о нейромышечной этиологии сколиоза. В свою очередь, отсутствие этих и других изменений указывает на то, что сколиоз скорее всего идиопатический.
Далее определяется тип сколиотической деформации ( см классификацию в главе II) по локализации ее вершины, сторона выпуклости, границы и, наконец, производятся измерения, позволяющие характеризовать деформацию с количественной точки зрения.
Сколиоз - трехмерная деформация позвоночника, поэтому измеряются величина сколиотического (фронтальная плоскость), кифотического или лордотического (сагиттальная плоскость) и ротационного (горизонтальная плоскость) компонентов деформации.
Фронтальная плоскость. Определение величины сколиотического компонента деформации во всем мире производится в соответствии с методом сobb J.R., описанным в 1948 г. [9]. Первый этап - локализация концевых позвонков сколиотической дуги. Все позвонки, включенные в дугу, кроме апикального, наклонены либо в сторону вогнутости деформации (краниальнее апикального позвонка) либо в сторону ее выпуклости (каудальнее апикального позвонка). Вершинный или апикальный позвонок расположен горизонтально. В случае, когда вершина деформации приходится не на тело позвонка, а на межпозвонковое пространство, все позвонки находятся в положении наклона. Концевым называется позвонок, являющийся последним из числа наклоненных. Если замыкательные пластинки тел двух позвонков на конце дуги строго параллельны друг другу, концевым считается тот, который расположен дальше от вершины. В переходной зоне между первичной и компенсаторной дугами межпозвонковое пространство каудальнее концевого позвонка может быть ограничено параллельными замыкательными пластинками. В других случаях нижний концевой позвонок краниальной дуги может быть одновременно верхним концевым позвонком каудального противоискривления. Второй этап при использовании метода сobb - проведение на спондилограмме прямых линий, на пересечении которых формируется искомый угол. Первая линия проводится строго по ходу краниальной замыкательной пластинки верхнего концевого позвонка, вторая - по ходу каудальной замыкательной пластинки нижнего концевого позвонка. В тех случаях, когда замыкательные пластинки в силу особенностей анатомии или послеоперационных изменений визуализируются плохо, допустимо проведение указанных линий через верхние или нижние края теней корней дуг. Пересечение их в пределах стандартной пленки возможно лишь при грубых сколиотических деформациях, в других случаях линии пересекаются за пределами пленки, и чтобы получить возможность измерить угол сколиотической дуги, необходимо восстановить перпендикуляры к обеим линиям. В соответствии с законами геометрии угол на пересечении этих перпендикуляров также будет характеризовать величину сколиотической дуги. Третий этап - измерение полученного угла и занесение результата на рентгенограмму и в историю болезни.
Сагиттальная плоскость. Величина грудного кифоза и поясничного лордоза определяются также в соответствии с методом сobb. Однако имеются особенности, диктуемые характером патологии. Если исследуется профильная спондилограмма больного сколиозом вне зависимости от его этиологии необходимо измерять величину искривления всего грудного отдела позвоночника - от Th1 до Th12. Правда, это не всегда выполнимо, так как верхнегрудные позвонки на профильной спондилограмме обычно закрыты тенью головок плечевых костей. Вполне допустимо измерение на протяжении от Th4 до Th12. Важно, чтобы все измерения у данного конкретного больного производились на одних и тех же уровнях, иначе невозможно будет говорить о достоверности отмечаемых изменений - увеличения или уменьшения кифоза. Через краниальную замыкательную пластинку верхнего концевого позвонка и каудальную замыкательную пластинку нижнего концевого позвонка проводятся прямые линии, на пересечении которых формируется угол, характеризующий величину деформации. При небольших кифозах линии пересекаются за пределами рентгенограммы и в таких случаях, как и при измерении сколиотической дуги, следует восстановить перпендикуляры к основным линиям и определять угол деформации в точке их пересечения. При документировании полученных результатов целесообразно при наличии кифотической деформации снабжать показатель знаком «+», а лордотической - «-». Что касается измерения параметров пояничного лордоза, то его величина измеряется от L1 до S1 позвонка.
Особая ситуация возникает в случае островершинного или пологого кифоза с развитием компенсаторных противоискривлений в сагиттальной плоскости - например, при врожденных кифотических деформациях. Определение концевых позвонков проводится по тому же принципу, что и при сколиозе - необходимо найти краниальный и каудальный позвонки, наиболее наклоненные в сторону вогнутости деформации, то есть, вентрально. Совершенно ясно, что использование в качестве концевых позвонков стандартных Th1 (Th4) и Th12 приведет к грубому искажению результата.
Как обзорные, так и функциональные спондилограммы подвергаются измерениям по единой методике с использованием одних и тех же точек отсчета.
Горизонтальная плоскость. Деформация позвоночного столба в горизонтальной плоскости, то есть ротация позвонков вокруг вертикальной оси, является основным компонентом механогенеза идиопатического сколиоза. Она максимально выражена на уровне апикального позвонка и прогрессивно уменьшается в направлении обоих концевых позвонков дуги. Наиболее ярким рентгенографическим проявлением ротации является изменение расположения теней корней дужек вершинного позвонка на фасной спондилограмме. В норме, при отсутствии ротации, эти тени расположены симметрично относительно средней линии тела позвонка и его боковых краеобразующих. Проблемой количественного определения ротации занимались многие исследователи, но наиболее часто применяемыми являются методы с.L.Nash, J.H. Moe и R. Perdriollе [10,11]. В соответствии с предложением Nash и Moe определяется степень ротации - от 0 до IV. Нулевая степень ротации практически соответствует норме, когда тени корней дужек симметричны и расположены на одинаковых расстояниях от боковых замыкательных плостинок тела позвонка. При I степени ротации корень дужки на выпуклой стороне сколиотической дуги смещается в сторону вогнутости и занимает положение, асимметричное относительно соответствующей замыкательной пластинки и корня противоположной дужки. При III степени корень дужки, соответствующий выпуклой стороне деформации, расположен в проекции середины тени тела позвонка, а при ротации II степени - занимает промежуточное положение между I и III степенями. Крайняя степень ротации (IV) характеризуется смещением тени корня дужки выпуклой стороны дуги за среднюю линию тела позвонка - ближе к медиальной боковой замыкательной пластинке.
Более точное определение степени ротации дает методика Perdriolle, предполагающая использование специальной линейки - торсиометра. Предварительно следует определить наибольший вертикальный диаметр тени корня дужки, соответствующей выпуклой стороне деформации (В). Далее маркируются точки (А и А1), расположенные на высоте «талии» тела позвонка медиально и латерально. Торсиометр накладывается на спондилограмму таким образом, чтобы точки А и А1 располагались на краях линейки. Остается определить, с какой из линий шкалы торсиометра совпадает максимальный вертикальный диаметр тени корня дужки (В).
При обнаружении аномалий развития позвонков и ребер необходима их идентификация и локализация. Все позвонки - как комплектные, так и сверхкомплектные - следует пронумеровать в краниокаудальном направлении, определить характер аномалии и уточнить соответствие ребер позвонкам и полупозвонкам, в случае синостозирования ребер - какие из них блокированы. Нумерация позвонков обязательна не только при наличии врожденных аномалий, но абсолютно во всех случаях, причем в краниокаудальном направлении. Пренебрежение этим правилом неизбежно приведет к ошибкам при планировании и выполнении оперативного вмешательства. Например, наличие переходного L6 позвонка обязательно должно учитываться при определении нижней границы зоны спондилодеза, в противном случае есть риск развития в послеоперационном периоде дисбаланса туловища или раннего болевого синдрома.
• Рекомендована магнитно-резонансная томография как метод, позволяющий изучать не только костные, но и мягкотканные структуры, что применительно к позвоночнику, дает возможность оценивать состояние межпозвонковых дисков и содержимого позвоночного канала [5].
Уровень убедительности рекомендаций А (уровень достоверности доказательств - 1а).
Комментарии. Дополнительную ценность МРТ-исследованию придает то обстоятельство, что интересующий хирурга анатомический объект может изучаться в любой плоскости. Магнитно-резонансная томография должна быть рутинным методом в специализированной вертебрологической клинике. При идиопатических сколиозах подростков, особенно запущенных, важно знать положение дурального мешка относительно стенок позвоночного канала на вершине деформации. Во всех случаях ювенильного сколиоза, при протяженных левосторонних идиопатических деформациях, при малейших проявлениях неврологического дефицита исследование содержимого позвоночного канала обязательно. То же самое относится к врожденным деформациям позвоночника, учитывая высокий процент сосуществования внеканальных аномалий развития с внутриканальными (диастематомиелия ). Если у больного выявлена клиника компрессии спинного мозга, МРТ позволяет уточнить ее причину, что бывает достаточно просто, если речь идет о «чистом» кифозе. Большой сколиотический компонент усложняет картину, и в этих случаях бывает полезным сочетание МРТ с миелографией. Как самостоятельный метод исследования миелография применяется чаще всего в тех случаях, когда недоступна магнитно-резонансная томография.
• Рентгеновская компьютерная томография (КТ, или РКТ, или МСКТ) - томографический метод исследования внутренних органов человека с использованием рентгеновского излучения [5].
Уровень убедительности рекомендаций А (уровень достоверности доказательств - 1а).
Комментарии. Метод основан на измерении и сложной компьютерной обработке разности ослабления рентгеновского излучения различными по плотности тканями.
Первые два поколения компьютерных томографов были вытеснены в конце 1970-х годов томографами III и IV поколений, которые используются и ныне. В томографах III поколения рентгеновская трубка и совокупность детекторов синхронно вращаются вокруг пациента. Массив детекторов покрывает полную ширину веерообразного пучка излучения. Это привело к тому, что одну томограмму стало возможным получить за 3-5 сек при обороте системы трубка-детекторы на 360°. Качество изображения значительно улучшилось, и стало возможным обследование внутренних органов.
В томографах IV поколения элементы детекторов покрывают полный круг, окаймляя отверстие томографа, и остаются неподвижными во время сканирования. Вокруг пациента вращается только рентгеновская трубка что позволяет уменьшить время получения томограммы до 1-1,5 сек при повороте трубки на 360°. Это, а также сбор информации под разными углами увеличивает объем получаемых сведений при уменьшении затрат времени на томограмму.
Спиральная КТ используется в клинической практике с 1988 г. Спиральное сканирование заключается в одновременном выполнении двух действий: непрерывного вращения источника - рентгеновской трубки, генерирующей излучение, вокруг тела пациента и непрерывного поступательного движения стола с пациентом вдоль продольной оси сканирования Z через апертуру гентри. В этом случае траектория движения рентгеновской трубки, относительно оси Z - направления движения стола с телом пациента, примет форму спирали.
В отличие от последовательной КТ скорость движения стола с телом пациента может принимать произвольные значения, определяемые целями исследования. Чем выше скорость движения стола, тем больше протяженность области сканирования. Важно то, что длина пути стола за один оборот рентгеновской трубки может быть в 1,5-2 раза больше толщины томографического слоя без ухудшения пространственного разрешения изображения. Технология спирального сканирования позволила значительно сократить время, затрачиваемое на КТ-исследование и существенно уменьшить лучевую нагрузку на пациента.
Многослойная мультиспиральная КТ (МСКТ); синонимы: КТ с множественными рядами детекторов, объемная КТ, была впервые представлена в 1992 г. Принципиальное отличие МСКТ томографов от спиральных томографов предыдущих поколений в том, что по окружности гентри расположены не один, а два и более ряда детекторов. Для того, чтобы рентгеновское излучение могло одновременно приниматься детекторами, расположенными на разных рядах, была разработана новая - объёмная геометрическая форма пучка. В 1992 г. появились первые двухсрезовые (двухспиральные) МСКТ томографы с двумя рядами детекторов, а в 1998 г. - четырёхсрезовые (четырёхспиральные), с четырьмя рядами детекторов соответственно. Кроме вышеотмеченных особенностей, было увеличено количество оборотов рентгеновской трубки с одного до двух в секунду. Таким образом, четырёхспиральные МСКТ томографы пятого поколения на сегодняшний день в восемь раз быстрее, чем обычные спиральные КТ томографы четвертого поколения. В 2004-2005 гг. были представлены 32-, 64- и 128-срезовые МСКТ томографы, в том числе - с двумя рентгеновскими трубками. Сегодня же в некоторых больницах уже имеются 320-срезовые компьютерные томографы. Эти томографы, впервые представленные в 2007 г., являются новым витком эволюции рентгеновской компьютерной томографии. Они позволяют не только получать изображения, но и дают возможность наблюдать почти что «в реальном» времени физиологические процессы, происходящие в головном мозге и в сердце. Особенностью подобной системы является возможность сканирования целого органа (сердце, суставы, головной мозг и так далее) за один оборот лучевой трубки, что значительно сокращает время обследования.
При КТ исследовании позвоночника легко дифференцируются костные и паравертебральные мягкие ткани, выявляются интраспинальные структуры и эпидуральные ткани. С помощью КТ диагностируются врожденные, травматические и дегенеративные стенозы позвоночного канала, устанавливается степень сдавления спинного мозга. КТ позволяет получить изображение в аксиальной плоскости, показать связь мягкотканых и костных структур, а также выявить незначительные изменения показателей плотности изучаемых структур. При исследовании костной системы КТ дает возможность детализировать изменения структуры костной ткани.
• Рекомендовано исследование мочевыводящей системы [5].
Уровень убедительности рекомендаций В (уровень достоверности доказательств - 2b).
Комментарии. Необходимо учитывать нередкое сочетание деформации позвоночника, особенно врожденных, с патологией элементов мочевыводящей системы. Ультразвуковое исследование почек и внутривенная пиелография дают достаточно информации, которая может повлиять на решение ортопеда при планировании оперативного вмешательства.
• Рекомендовано контрастное и ультразвуковое исследование желудочно-кишечного тракта выполнять только по показаниям [5].
Уровень убедительности рекомендаций В (уровень достоверности доказательств - 2b).
Комментарии. Таким показанием может служить, например, сдавление двенадцатиперстной кишки сосудом с развитием т.н. cast-синдрома. Мы наблюдали больную с гигантской интраэкстраканальной нейрофибромой, основной компонент которой располагался в забрюшинном пространстве, вызывая деформацию позвоночника и грубое смещение содержимого брюшной полости. Характер и степень этого смещения уточнен с помощью контрастного исследования.
• Рекомендовано компьютерно-оптическое топографическое исследование (КОМОТ) [5].
Уровень убедительности рекомендаций В (уровень достоверности доказательств - 2b).
Комментарии. В Новосибирском НИИТО в 1994 г. был разработан метод компьютерной оптической топографии, основанный на проецировании полос и пространственном детектировании фазы и создана первая отечественная оптико-электронная топографическая система - ТОДП [5]. ТОДП обеспечивает бесконтактное дистанционное определение формы дорсальной поверхности туловища пациента на основе проецирования полос и компьютерной обработки цифровых изображений. Пациент при обследовании устанавливается спиной к телевизионной камере и расположенному сбоку от нее проектору. С помощью последнего на дорсальную поверхность туловища больного проецируют изображение системы прямолинейных эквидистантных полос, форма которых изменяется пропорционально рельефу обследуемой поверхности. С помощью телевизионной камеры производится съемка этого изображения и ввод его в цифровом виде в компьютер. Метод неинвазивный, абсолютно безвредный для больного, но в то же время высокоинформативен. Будучи разработан для скрининговых обследований больших групп населения, он показал себя чрезвычайно эффективным при оценке результатов хирургической коррекции деформаций позвоночника различной этиологии.
2,5 Иная диагностика.
• Рекомендуется анкетировать пациентов в связи с хирургическим лечением и оценивать динамику получаемых результатов [5].Уровень убедительности рекомендаций В (уровень достоверности доказательств - 2b).
Комментарии. Проблема оценки результатов оперативного лечения деформаций позвоночника упирается в сложность установления критериев, объективно отражающих исход одновременно психосоматического и соматопсихического заболевания - сколиоза. Оценка результатов оперативного лечения, особенно в отдаленные сроки, позволяет выделить наиболее эффективные методы лечения и определить причины неудачных исходов.
Опросник SRS (Приложение Г1) был разработан для оценки и сравнения результатов оперативного лечения пациентов со сколиотической деформацией позвоночника. Он также позволяет выделить параметры, которые в большей степени влияют на удовлетворенность результатами лечения. SRS-24 анкета включает в себя 24 вопроса по 7 областям (доменам): боль в спине (в.в. 1, 2, 3, 6, 8, 11, 18), общий внешний вид (5, 14, 15), внешний вид после операции (в.в. 19, 20, 21), функция после операции (в.в. 16, 17), общая активность (в.в. 7, 12, 13), профессиональная активность (в.в. 4, 9, 10), удовлетворенность результатами оперативного лечения (в.в. 22, 23, 24). Каждый вопрос оценивается по 5-балльной системе - от 1 (как наихудший) до 5 (как наилучший вариант) [12].
Применение анкеты SRS в последние годы повсеместно расценивается как стандартный компонент послеоперационного обследования больных с деформациями позвоночника различной этиологии. Основное достоинство метода - возможность сравнения результатов, полученных с применением различных эндокорректоров либо одного и того же инструментария, использованного в различных клиниках. Однако, изучение литературных данных не позволило обнаружить исследования, в которых результаты анкетирования сопоставлялись бы с иными методами, кроме рентгенографии. В предоперационном периоде анкетирование также не используется.
|
|
Лечение
3,1 Консервативное лечение.
• Рекомендуется:- применять корсетотерапию как самостоятельное лечение, так и для сдерживания прогресса деформации позвоночника до оптимального, с точки зрения хирургического лечения, завершения формирования скелета;
- проводить, независимо от применения корсетотерапии и планирования хирургического лечения, комплексное немедикаментозное консервативное лечение, направленное на предупреждение дальнейшего прогрессирования деформации, укрепление мышечного корсета, улучшение функции внешнего дыхания и состояния сердечнососудистой системы (рациональный ортопедический и двигательный режим, адекватное питание, общеукрепляющие и закаливающие процедуры, физические упражнения, гидрокинезотерапию, массаж, электростимуляцию мышц);
- контролировать наблюдение и лечение пациента у врачей других специальностей для достижения компенсации в соматическом статусе [5].
Уровень убедительности рекомендаций В (уровень достоверности доказательств - 2а).
Комментарии. Попытка коррекции врожденного сколиоза консервативными методами, по общему мнению, обречена на неудачу. Причина - в природе самих деформаций и тех изменений, которые развиваются в вертебральных и паравертебральных тканях. В мире накоплен огромный отрицательный опыт лечения таких больных с помощью корригирующих корсетов, массажа, ЛФК, физиотерапии и так далее. Основной особенностью врожденных деформаций позвоночника (развившихся, в первую очередь, на почве аномалий сегментации) является высокая степень ригидности. Попытки исправить их с помощью корсетов, действующих опосредованно через реберный каркас и мягкие ткани, априорно обречены на неудачу. Нельзя не согласиться с Э.В. Ульрихом [1], который считает такие попытки абсурдными, особенно учитывая вторую важнейшую особенность врожденных деформаций - склонность к прогрессированию.
В то же время, было бы, вероятно, неверным полностью исключить применение корсетотерапии, в том числе этапных гипсовых корсетов у больных с врожденными сколиозами. R. Winter [2] полагает, что существует единственный корсет с доказанным положительным эффектом - Мильвоки; однако и он применим в ограниченном числе случаев. Нельзя сказать, пишет R. Winter, что метод совершенно никчемный. В единственном опубликованном им исследовании сообщается, что из 63 больных было несколько случаев успешного лечения. Такого результата можно ожидать при наличии протяженной (более 10 сегментов) мобильной дуги (с коррекцией при наклоне более 50%) с вершиной в грудопоясничном отделе позвоночника, особенно если прогрессирование документировано, а до окончания роста еще несколько лет. Корсетотерапия даже при успешном применении только откладывает спондилодез до возраста подросткового спурта.
Что же касается других методов консервативного лечения (ЛФК, массаж, плавание, физиолечение и так далее), они не имеют самостоятельного значения, но могут быть полезны как общеукрепляющие, используются в комплексе предоперационной подготовки.
Значимыми для предупреждения дальнейшего прогрессирования деформации, улучшения осанки, функции внешнего дыхания и сердечно-сосудистой системы являются:
- Системное применение лечебной физкультуры, занятия спортом - лыжи, плавание;
- Создание рациональной ортопедической среды;
- Консервативные ортопедические мероприятия - ношение корсета с активной коррекцией деформации.
Под рациональной ортопедической средой подразумевается соответствующий двигательный режим, чередующийся с лечебной физкультурой и «отдыхом позвоночника», питание, общеукрепляющие и закаливающие процедуры. В качестве примера можно привести работу Новосибирской специализированной школы № 133, где учебные кабинеты оборудованы не партами, а кушетками. На протяжении дня медицинский персонал следит за соблюдением ортопедического режима, выполнением упражнений ЛФК; дети получают массаж и комплексные курсы реабилитации. Школа работает, в том числе и в режиме интерната.
Лечение болей в спине, связанных с изменениями в позвоночнике, включает основные положения по соблюдению рационального двигательного (ортопедического) режима, медикаментозную терапию и комплексное применение немедикаментозных лечебных технологий.
3,2 Хирургическое лечение.
• Рекомендуется проводить хирургическое лечение при условии:- неэффективности консервативной терапии, бурном прогрессировании деформации позвоночника и наличии исходно грубых деформаций;
- дифференцированной хирургической тактики с минимальным захватом задних отделов позвоночника у детей с незрелой костной тканью (первых лет жизни);
- применения разрешенных в Российской Федерации металлоконструкций;
- предоперационного планирования;
- наличия специализированного ортопедического отделения, имеющего необходимые кадровые и материально-технические ресурсы [5].
Уровень убедительности рекомендаций А (уровень достоверности доказательств - 1b).
• Не рекомендуется проводить хирургическое лечение детям и подросткам при отсутствии условий для проведения:
- многоэтапных и ревизионных вмешательств;
- динамического наблюдения за пациентами и контроля их реабилитации [5].
Уровень убедительности рекомендаций А (уровень достоверности доказательств - 1b).
Комментарии:
Показания для оперативного лечения врожденных деформаций позвоночника.
У детей в возрасте до 5 лет показания к оперативному лечению обосновываются наличием определенных признаков:
- бурного (более 2º в год) прогрессирования;
- односторонние множественные полупозвонки, «лежащие» на вершине дуги (вероятность бурного прогрессирования - 100%);
- наличие кифотического компонента деформации (89%);
- патологическая ротация II степени и выше (80%);
- исходная величина сколиотической дуги от 30º до 50º( 70%) или более 50º( 100%);
- альтернирующие полупозвонки, «удаленные» друг от друга более, чем 3 сегмента (75%).
Для принятия решения об оперативном лечении достаточно обнаружить 2-3 признака бурно нарастающей деформации, превышающей 70-80% барьер вероятности прогрессирования, или один признак, обеспечивающий 100% прогрессирование.
В более позднем возрасте показанием к оперативному лечению является деформация III-IV степени или развитие неврологических расстройств.
Абсолютным противопоказанием к плановому хирургическому лечению является тяжелое общее состояние пациента, обусловленное нарушением функции жизненно-важных органов и систем (декомпенсация сердечнососудистой системы III , отсутствие резервов дыхания со снижением показателей ЖЕЛ и ФЖЕЛ более 40% от возрастной нормы) [5].
Относительными противопоказаниями к хирургическому лечению являются острые (хронические) заболевания или грубые врожденные изменения внутренних органов, требующие предварительной хирургической коррекции или проведения медикаментозной терапии:
- острые инфекционные и паразитарные заболевания;
- патология сердца (врожденные нелеченные пороки сердца, сложные нарушения ритма сердечной деятельности);
- хронические заболевания дыхательной системы и врожденные пороки развития органов дыхания;
- заболевания печени (острые гепатиты, хронические гепатиты в стадии выраженной активности процесса);
- болезни крови (тромбоцитопении, тромбоцитопатии, тяжелые анемии);
- заболевания почек с явлениями почечной недостаточности;
- заболевания щитовидной железы (гипертиреоз, гипотиреоз);
- заболевания паращитовидных желез (гипопаратиреоз);
- патология надпочечников;
- онкологические заболевания;
- другие патологические состояния.
Относительным противопоказанием являются также ранее проведенные одно- и многоэтапные операции на позвоночнике, особенно включавшие костную пластику с формированием протяженного костного блока (как дорсального, так и вентрального) и операции, осложнившиеся нагноением.
Выбор методики оперативного вмешательства при врожденных деформациях позвоночника трудная и подчас неблагодарная задача. Основные, но далеко не единственные факторы, определяющие этот выбор - характер аномалии, возраст больного, наличие или отсутствие неврологического дефицита. Эти факторы чрезвычайно вариабельны, что исключает возможность унифицированного подхода к выбору оперативного вмешательства.
Механизм действия приведенных методик сводится к стабилизации патологического процесса (прекращение прогрессирования деформации позвоночника) либо к коррекции (самокоррекции) деформации - одномоментной или этапной. Сущность действия - уравновешивание потенций роста правой и левой сторон позвоночника или вентральной и дорсальной его колонн. Это достигается подавлением активности зон роста либо формированием костных блоков той или иной степени протяженности с применением погружных металлоконструкций или без такового.
Практически все варианты нижеописанных методик в различных сочетаниях с успехом применяются в специализированных зарубежных клиниках.
Ортопедическая литература содержит упоминания о самых различных и многочисленных вмешательствах, которые могут изменить естественное течение врожденной деформации позвоночника. Выбор его зависит, помимо всего прочего, от опыта хирурга и оснащения клиники. Универсального метода нет, но в последние десятилетия большинство ортопедов склоняется к необходимости переднезадней стабилизации позвоночного столба (360º fusion).
Методики оперативного вмешательства см в Приложение Г2.
Реабилитация и амбулаторное лечение
• Рекомендуется:
- на всех этапах контролировать наличие и соблюдение комплекса ортопедических назначений и немедикаментозного лечения для поддержания в хорошем состоянии мышечного корсета;
- при наличии сопутствующей патологии проводить своевременные консультации специалистов и отслеживать выполнение их назначений;
- в послеоперационном периоде использовать реабилитационные мероприятия, способствующие своевременному заживлению операционной раны и препятствующие развитию инфекционных осложнений;
- в отдаленном послеоперационном периоде избегать значительных нагрузок на позвоночник (долгое сидение, стояние, ходьба, подъем тяжестей, наклоны и скручивание туловища, занятия контактными видами спорта) [5].
Уровень убедительности рекомендаций В (уровень достоверности доказательств - 2а).
Комментарии. В ранний послеоперационный период (7-14 дней после радикальных вмешательств на позвоночнике) реабилитационные мероприятия проводятся с целью ранней двигательной активизации пациента, купирования болевого синдрома и стимуляции репаративных процессов в области раневого дефекта. Для оказания противоотечного и обезболивающего действия на область раны с первого дня после операции назначается криотерапия, осцилляторный массаж; со 2-го дня после полной остановки кровотечения возможно назначение низкоинтенсивной лазеротерапии, низкочастотной магнитотерапии, УВЧ-терапии. При выраженном болевом синдроме применяется транскраниальная электроанальгезия, импульсные токи (чрезкожная электронейростимуляция, диадинамические и синусоидальные модулированные токи), электрофорез ненаркотических анальгетиков, рефлексотерапия.
Восстановление двигательной активности начинается с первого дня с помощью дыхательной гимнастики, пассивной гимнастики в постели. Мероприятия по вертикализации и восстановлению походки проводятся в том числе с применением специальной лечебной гимнастики, вертикализаторов, а в последующем - балансировочных систем.
Реабилитация немедикаментозными средствами проводится в комбинации с приемом нестероидных противовоспалительных препаратов, по показаниям назначаются глюкокортикоиды и плановая антибиотикопрофилактика. При наличии дооперационных неврологических двигательных нарушений комплексное восстановительное лечение дополняется препаратами, улучшающими нервно-мышечную проводимость.
В поздний послеоперационный период (от 2 до 8 недель после радикальных вмешательств на позвоночнике) целью реабилитационных мероприятий является восстановление двигательной активности в полном объеме, формирование мышечного корсета и стимуляция метаболических процессов в тканях позвоночника для профилактики рецидива болевого синдрома.
Ведущее значение в этом периоде имеет лечебная физкультура, направленная на укрепление мышц спины, межлопаточной области, брюшного пресса, ягодиц, на формирование навыков правильной осанки, правильного стереотипа движения, а также обеспечивающая постизометрическую мышечную релаксацию. К занятиям специальной лечебной гимнастикой добавляются на специализированных тренажерах, тренировки на стабилометрической платформе. Занятия ЛФК комбинируются с методами физиотерапии, способствующими укреплению мышечного корсета - электростимуляцией мышц спины и ручным массажем. При сохранении болевого синдрома и неврологических двигательных расстройств в индивидуальную программу реабилитации включается рефлексотерапия (акупунктура, КВЧ-пунктура, электропунктура, фармакопунктура), функциональная электромиостимуляция, электрофорезы импульсными токами.
С целью профилактики рецидива болевого синдрома назначается ультрафонофорез грязевого раствора, метаболических препаратов паравертебрально, низкочастотная магнитотерапия, лазеротерапия на область позвоночника, бальнеотерапия и грязелечение.
Реабилитационные мероприятия в поздний послеоперационный период проводятся амбулаторно или в условиях санатория.
В отдаленном послеоперационном периоде рекомендуется избегать значительных нагрузок на позвоночник (долгое сидение, стояние, ходьба, подъем тяжестей, наклоны и скручивание туловища, занятия контактными видами спорта).
- на всех этапах контролировать наличие и соблюдение комплекса ортопедических назначений и немедикаментозного лечения для поддержания в хорошем состоянии мышечного корсета;
- при наличии сопутствующей патологии проводить своевременные консультации специалистов и отслеживать выполнение их назначений;
- в послеоперационном периоде использовать реабилитационные мероприятия, способствующие своевременному заживлению операционной раны и препятствующие развитию инфекционных осложнений;
- в отдаленном послеоперационном периоде избегать значительных нагрузок на позвоночник (долгое сидение, стояние, ходьба, подъем тяжестей, наклоны и скручивание туловища, занятия контактными видами спорта) [5].
Уровень убедительности рекомендаций В (уровень достоверности доказательств - 2а).
Комментарии. В ранний послеоперационный период (7-14 дней после радикальных вмешательств на позвоночнике) реабилитационные мероприятия проводятся с целью ранней двигательной активизации пациента, купирования болевого синдрома и стимуляции репаративных процессов в области раневого дефекта. Для оказания противоотечного и обезболивающего действия на область раны с первого дня после операции назначается криотерапия, осцилляторный массаж; со 2-го дня после полной остановки кровотечения возможно назначение низкоинтенсивной лазеротерапии, низкочастотной магнитотерапии, УВЧ-терапии. При выраженном болевом синдроме применяется транскраниальная электроанальгезия, импульсные токи (чрезкожная электронейростимуляция, диадинамические и синусоидальные модулированные токи), электрофорез ненаркотических анальгетиков, рефлексотерапия.
Восстановление двигательной активности начинается с первого дня с помощью дыхательной гимнастики, пассивной гимнастики в постели. Мероприятия по вертикализации и восстановлению походки проводятся в том числе с применением специальной лечебной гимнастики, вертикализаторов, а в последующем - балансировочных систем.
Реабилитация немедикаментозными средствами проводится в комбинации с приемом нестероидных противовоспалительных препаратов, по показаниям назначаются глюкокортикоиды и плановая антибиотикопрофилактика. При наличии дооперационных неврологических двигательных нарушений комплексное восстановительное лечение дополняется препаратами, улучшающими нервно-мышечную проводимость.
В поздний послеоперационный период (от 2 до 8 недель после радикальных вмешательств на позвоночнике) целью реабилитационных мероприятий является восстановление двигательной активности в полном объеме, формирование мышечного корсета и стимуляция метаболических процессов в тканях позвоночника для профилактики рецидива болевого синдрома.
Ведущее значение в этом периоде имеет лечебная физкультура, направленная на укрепление мышц спины, межлопаточной области, брюшного пресса, ягодиц, на формирование навыков правильной осанки, правильного стереотипа движения, а также обеспечивающая постизометрическую мышечную релаксацию. К занятиям специальной лечебной гимнастикой добавляются на специализированных тренажерах, тренировки на стабилометрической платформе. Занятия ЛФК комбинируются с методами физиотерапии, способствующими укреплению мышечного корсета - электростимуляцией мышц спины и ручным массажем. При сохранении болевого синдрома и неврологических двигательных расстройств в индивидуальную программу реабилитации включается рефлексотерапия (акупунктура, КВЧ-пунктура, электропунктура, фармакопунктура), функциональная электромиостимуляция, электрофорезы импульсными токами.
С целью профилактики рецидива болевого синдрома назначается ультрафонофорез грязевого раствора, метаболических препаратов паравертебрально, низкочастотная магнитотерапия, лазеротерапия на область позвоночника, бальнеотерапия и грязелечение.
Реабилитационные мероприятия в поздний послеоперационный период проводятся амбулаторно или в условиях санатория.
В отдаленном послеоперационном периоде рекомендуется избегать значительных нагрузок на позвоночник (долгое сидение, стояние, ходьба, подъем тяжестей, наклоны и скручивание туловища, занятия контактными видами спорта).
|
|
Профилактика
• Рекомендуется проводить после завершающего этапа хирургического лечения через 6, 12, 24 и 36 месяцев по месту проведения операции контроль, включающий спондилографию, осмотр ортопеда, невролога, компьютерную топографию, фотографирование, заполнение анкеты SRS [12].
Уровень убедительности рекомендаций В (уровень достоверности доказательств - 2а).
Комментарии. Говорить о профилактике врожденных деформаций позвоночника весьма сложно, но своевременное выявление и начало консервативного лечения помогают избежать развития грубых, запущенных деформаций позвоночника, неврологических осложнений, инвалидизации. Кроме того, правильное консервативное ортопедическое ведение пациента в ряде случаев снимет вопрос о возникновении показаний к хирургическому лечению сколиоза. Диспансерное наблюдение детей в младшей возрастной группе от 1 до 14 лет необходимо осуществлять 1 раз в 6 месяцев. Это обусловлено высоким риском прогрессирования деформации в период активного роста. Своевременное выявление прогрессирования деформации может позволить максимально эффективно менять тактику лечения, например, дополнить консервативное лечение корсетотерапией, либо направить на хирургическое лечение, не допуская формирования грубых форм сколиоза. Для детей, взрослее 14 лет, возможно наблюдение 1 раз в год, и даже реже, в случае отсутствия клинически значимого прогрессирования деформации.
Уровень убедительности рекомендаций В (уровень достоверности доказательств - 2а).
Комментарии. Говорить о профилактике врожденных деформаций позвоночника весьма сложно, но своевременное выявление и начало консервативного лечения помогают избежать развития грубых, запущенных деформаций позвоночника, неврологических осложнений, инвалидизации. Кроме того, правильное консервативное ортопедическое ведение пациента в ряде случаев снимет вопрос о возникновении показаний к хирургическому лечению сколиоза. Диспансерное наблюдение детей в младшей возрастной группе от 1 до 14 лет необходимо осуществлять 1 раз в 6 месяцев. Это обусловлено высоким риском прогрессирования деформации в период активного роста. Своевременное выявление прогрессирования деформации может позволить максимально эффективно менять тактику лечения, например, дополнить консервативное лечение корсетотерапией, либо направить на хирургическое лечение, не допуская формирования грубых форм сколиоза. Для детей, взрослее 14 лет, возможно наблюдение 1 раз в год, и даже реже, в случае отсутствия клинически значимого прогрессирования деформации.
Дополнительно
• Рекомендуется:
- продолжать, независимо от применения хирургических технологий, на протяжении всей жизни консервативное лечение по поддержанию в оптимальном состоянии мышечного корсета;
- учитывать топографо-анатомические особенности пораженного сегмента, корректно подбирать инструментарий, имплантаты и виды хирургического вмешательства, соблюдать правила асептики и антисептики на всех этапах лечения для профилактики хирургических осложнений [5].
Уровень убедительности рекомендаций В (уровень достоверности доказательств - 2а).
Комментарии. Осложнения, возникшие у оперированных больных, могут подразумевать проведение повторного оперативного вмешательства. Их можно разделить на три группы: осложнения, связанные с использованием имплантатов; осложнения от хирургических манипуляций, не связанные с использованием имплантатов; инфекционные осложнения. Чаще всего можно предвидеть следующие:
• Повреждение твёрдой мозговой оболочки, послеоперационная ликворея. Методом профилактики послеоперационной ликвореи является тщательная герметизация твердой мозговой оболочки на заключительном этапе операции. В случае возникновения ликвореи в ближайшем послеоперационном периоде накладываются поздние швы на кожу, снятие их откладывается до формирования состоятельного рубца. При неэффективности указанных мероприятий, производится реоперация с целью тщательной герметизации ликворных пространств.
• Неврологические осложнения. Легкие неврологические осложнения (плекситы, невриты ) требуют консервативного лечения.
Углубление пареза конечностей, гипестезия, задержка мочеиспускания могут в редких случаях (менее 1%) возникать по следующим причинам:
- Нарушение кровообращения в спинном мозге на уровне конуса-эпиконуса. Во избежание нарушения кровообращения в спинном мозге в послеоперационном периоде больному требуются постоянный контроль гемодинамических параметров (артериальное давление, ЧСС) и минимальная тракция корешка и дурального мешка. При появлении гемодинамических изменений требуется их коррекция медикаментозными препаратами. В случае развития данных осложнений больному показано назначение сосудистых, ноотропных, антиоксидантных, нейрометаболических, антихолинэстеразных препаратов, коррекция гемодинамических показателей.
- Послеоперационный отек корешков спинного мозга. Для устранения послеоперационного отека спинного мозга пациентам назначается противоотечная терапия с использованием глюкокортикоидов в дозировках, зависящих от клинической картины, возраста и соматического состояния пациента.
- Эпидуральная гематома. Профилактикой образования гематом является тщательный гемостаз в ходе операции. Способ устранения сформировавшейся гематомы, вызывающей компрессию корешков спинного мозга - реоперация с целью удаления гематомы и проведения более тщательного гемостаза.
• Осложнения, связанные с имплантатами.
- Мальпозиция винтов и миграция межтеловых имлантатов. При данных осложнениях тактика ведении диктуется выраженностью клинико-рентгенологических проявлений. Некоторые ситуацию требуют ревизионного хирургического вмешательства с целью декомпрессии и восстановления желаемого сегментарного взаимоотношения в условиях фиксации. Методом профилактики данных осложнений является подбор достаточного размера имплантатов, интраоперационный рентген- или КТ-контроль.
- Нарушения целостности системы «эндокорректор-позвоночник». Сюда относятся переломы стержней, смещения крюков, переломы опорных костных структур. Осложнение требует повторного вмешательства с целью восстановления системы. Крюки повторно имплантируются на тот же или соседний уровень, с помощью коннекторов восстанавливается целостность стержней, восстанавливается утраченная коррекция.
- Перелом педикулы вследствие введения в нее винта не соответствующего размера. Способ устранения - переустановка винтов в другой смежный позвонок, позволяющий получить в дальнейшем надежную фиксацию.
- Переломы стержней особенно опасно в период до 4-5 месяцев после операции, когда еще нет костного сращения. Дестабилизация конструкции, фиксирующей позвоночник, может привести к развитию вторичной деформации позвоночного столба, нарастанию неврологических расстройств, появлению хронического болевого синдрома.
4. Инфекционные процессы в области хирургического вмешательства. Способы устранения - антибиотикотерапия с учетом чувствительности микрофлоры; при неэффективности и нагноении послеоперационной раны - широкое раскрытие операционной раны, ревизия и санация раны на фоне продолжающейся антибиотикотерапии. В каждом конкретном случае решается вопрос о сохранении конструкции. Металлоимплантаты и костные аутотрансплантаты по возможности не удаляются. Устанавливается промывной дренаж, над которым ушивается рана.
5. Кровотечения. Кровотечение из костной раны тела позвонка устраняется затиранием костной раны медицинским воском, применением гемостатической губки. Кровотечение из межсегментарных и других сосудов устранятся хирургическим путем.
6. Гематома как следствие неэффективности дренирования раны в послеоперационном периоде, либо продолжающегося кровотечения. Способы устранения - опорожнение гематомы, в случае продолжающегося кровотечения - ревизия раны и гемостаз.
• Повреждения плевры. Экссудативные плевриты выявляются, как правило, на 3-4 сутки после проведенной операции; связаны с недостаточной эффективностью дренирования плевральной полости. В случае их выявления гидроторакс устраняется пункцией плевральной полости или ее повторным дренированием с удалением экссудата.
- продолжать, независимо от применения хирургических технологий, на протяжении всей жизни консервативное лечение по поддержанию в оптимальном состоянии мышечного корсета;
- учитывать топографо-анатомические особенности пораженного сегмента, корректно подбирать инструментарий, имплантаты и виды хирургического вмешательства, соблюдать правила асептики и антисептики на всех этапах лечения для профилактики хирургических осложнений [5].
Уровень убедительности рекомендаций В (уровень достоверности доказательств - 2а).
Комментарии. Осложнения, возникшие у оперированных больных, могут подразумевать проведение повторного оперативного вмешательства. Их можно разделить на три группы: осложнения, связанные с использованием имплантатов; осложнения от хирургических манипуляций, не связанные с использованием имплантатов; инфекционные осложнения. Чаще всего можно предвидеть следующие:
• Повреждение твёрдой мозговой оболочки, послеоперационная ликворея. Методом профилактики послеоперационной ликвореи является тщательная герметизация твердой мозговой оболочки на заключительном этапе операции. В случае возникновения ликвореи в ближайшем послеоперационном периоде накладываются поздние швы на кожу, снятие их откладывается до формирования состоятельного рубца. При неэффективности указанных мероприятий, производится реоперация с целью тщательной герметизации ликворных пространств.
• Неврологические осложнения. Легкие неврологические осложнения (плекситы, невриты ) требуют консервативного лечения.
Углубление пареза конечностей, гипестезия, задержка мочеиспускания могут в редких случаях (менее 1%) возникать по следующим причинам:
- Нарушение кровообращения в спинном мозге на уровне конуса-эпиконуса. Во избежание нарушения кровообращения в спинном мозге в послеоперационном периоде больному требуются постоянный контроль гемодинамических параметров (артериальное давление, ЧСС) и минимальная тракция корешка и дурального мешка. При появлении гемодинамических изменений требуется их коррекция медикаментозными препаратами. В случае развития данных осложнений больному показано назначение сосудистых, ноотропных, антиоксидантных, нейрометаболических, антихолинэстеразных препаратов, коррекция гемодинамических показателей.
- Послеоперационный отек корешков спинного мозга. Для устранения послеоперационного отека спинного мозга пациентам назначается противоотечная терапия с использованием глюкокортикоидов в дозировках, зависящих от клинической картины, возраста и соматического состояния пациента.
- Эпидуральная гематома. Профилактикой образования гематом является тщательный гемостаз в ходе операции. Способ устранения сформировавшейся гематомы, вызывающей компрессию корешков спинного мозга - реоперация с целью удаления гематомы и проведения более тщательного гемостаза.
• Осложнения, связанные с имплантатами.
- Мальпозиция винтов и миграция межтеловых имлантатов. При данных осложнениях тактика ведении диктуется выраженностью клинико-рентгенологических проявлений. Некоторые ситуацию требуют ревизионного хирургического вмешательства с целью декомпрессии и восстановления желаемого сегментарного взаимоотношения в условиях фиксации. Методом профилактики данных осложнений является подбор достаточного размера имплантатов, интраоперационный рентген- или КТ-контроль.
- Нарушения целостности системы «эндокорректор-позвоночник». Сюда относятся переломы стержней, смещения крюков, переломы опорных костных структур. Осложнение требует повторного вмешательства с целью восстановления системы. Крюки повторно имплантируются на тот же или соседний уровень, с помощью коннекторов восстанавливается целостность стержней, восстанавливается утраченная коррекция.
- Перелом педикулы вследствие введения в нее винта не соответствующего размера. Способ устранения - переустановка винтов в другой смежный позвонок, позволяющий получить в дальнейшем надежную фиксацию.
- Переломы стержней особенно опасно в период до 4-5 месяцев после операции, когда еще нет костного сращения. Дестабилизация конструкции, фиксирующей позвоночник, может привести к развитию вторичной деформации позвоночного столба, нарастанию неврологических расстройств, появлению хронического болевого синдрома.
4. Инфекционные процессы в области хирургического вмешательства. Способы устранения - антибиотикотерапия с учетом чувствительности микрофлоры; при неэффективности и нагноении послеоперационной раны - широкое раскрытие операционной раны, ревизия и санация раны на фоне продолжающейся антибиотикотерапии. В каждом конкретном случае решается вопрос о сохранении конструкции. Металлоимплантаты и костные аутотрансплантаты по возможности не удаляются. Устанавливается промывной дренаж, над которым ушивается рана.
5. Кровотечения. Кровотечение из костной раны тела позвонка устраняется затиранием костной раны медицинским воском, применением гемостатической губки. Кровотечение из межсегментарных и других сосудов устранятся хирургическим путем.
6. Гематома как следствие неэффективности дренирования раны в послеоперационном периоде, либо продолжающегося кровотечения. Способы устранения - опорожнение гематомы, в случае продолжающегося кровотечения - ревизия раны и гемостаз.
• Повреждения плевры. Экссудативные плевриты выявляются, как правило, на 3-4 сутки после проведенной операции; связаны с недостаточной эффективностью дренирования плевральной полости. В случае их выявления гидроторакс устраняется пункцией плевральной полости или ее повторным дренированием с удалением экссудата.
|
|
Критерии оценки качества медицинской помощи
Критерии качества (табл. 1) применяются в целях оценки своевременности ее оказания, правильности выбора методов профилактики, диагностики, лечения и реабилитации, степени достижения запланированного результата.
Таблица 1.
Таблица 1.
| № | Критерии качества | Уровень достоверности доказательств | Уровень убедительности рекомендаций |
| 1 | Исключение поражения спинного мозга и корешков спинного мозга на всех этапах диагностики и лечения | 1b | А |
| 2 | Проведена необходимая медикаментозная поддержка/обезболивания на всех этапах диагностики и лечения | 1b | в |
| 3 | Выполнена инструментальная диагностика: рентгенография, МСКТ, МРТ, ЭМГ (каждый вид - при наличии показаний) на предоперационном этапе | 1b | А |
| 4 | Выполнена инструментальная диагностика: рентгенография, МСКТ, МРТ, ЭМГ (каждый вид - при наличии показаний) на послеоперационном этапе | 1b | А |
| 5 | Определены в течение 4 часов показания/ противопоказания для хирургического лечения при экстренной госпитализации | 1b | в |
| 6 | Определены в течение 3 суток показания/ противопоказания для хирургического лечения при плановой госпитализации | 1b | в |
| 7 | Выполнено составление программы медицинской реабилитации при выписке из стационара | 1b | в |
Список литературы
• Ульрих Э.В., Мушкин А.Ю. Хирургическое лечение пороков развития позвоночника у детей. Санкт-Петербург: ЭЛБИ-СПб, 2007. 103 с.
• Winter R., Moe J., Eilers V. сongenital scoliosis. A study of 234 patients treated and untreated // J. вone Jt. Surg. 1968. V.50-A, N 1. P. 1 - 47.
• Lonstein J.E., вradford D.S., Winter R.B., Ogilvie J.W. Moe s Textbook of Scoliosis and others Spinal Deformities. Third edition. W.B. Saunders сompany. 1995. 658 p.
• Шулутко М.И. Боковое искривление позвоночника у детей. Казань. 1963. 104 стр.
• Михайловский М.В., Фомичев Н.Г. Хирургия деформаций позвоночника. Новосибирск: Redactio, 2011. 592 с.
• Stagnara P.F., Fauchet R., вoulliat G. et al. A propos de 17 observations de paraplegics par deformations vertebrales traitees por redressement partiel // Rev. сhir. Orth. rep. Appareil Moteour. 1968. Vol. 54(7). P. 623-636.
• Frankel H.L., Hancock D.O., Hyslop G. et al. The Value of Postural Reduc-tion in the Initial Management of сlosed Injuries of the Spine with Paraplegia and Tetraplegia. Part 1 // Paraplegia. 1969. Vol. 7. P. 179-192.
• Stagnara P. Examen du scoliotique. In Deviations laterales du rachis: Scolioses. Encyclopedie Medico-chirurgicale (Paris), Appareil Locomoteur, 7, 1974 в.
• сobb J.R. Outline for the study of scoliosis//American Academy of Orthopedic Surgeons Instructional сourse Lecture // 1948. V.5. P. 621-675.
• Nash с.L., Moe J.H. A study of vertebral rotation//J. Bone Jt.Surg. 1969. V.51-A. - pp 223-229.
• Perdriolle R. La scoliose. Maloine SA, (ed). Paris. 1979.
• White SF, Asher MA, et al. Patients perceptions of overall function, pain and appearance following primary posterior instrumentation and fusion for idiopathic scoliosis (IS) // Spine. 1999. N.16. P. 1693-1700.
• Winter R.B., Moe J.H., Lonstein J.E. Posterior spinal arthrodesis for congenital scoliosis//J. Bone Jt.Surg. 1984. V.66-A. - pp 1188-1197.
• Lonstein J.E., вradford D.S., Winter R.B., Ogilvie J.W. Moe’s textbook of scoliosis and others spinal deformities, Third edition. W.B. Saunders сompany. 1995. 658 p.
• Kesling K.I., Lonstein J.E., Denis F. et al. сrankshaft phenomenon in congenital scoliosis//Final Program of Scoliosis Research Society 36th Annual Meeting. - сleveland, Ohio,USA. 2001. - p. 62.
• Thompson A.G., Marks D.S., Sayampanathan S.R.E., Piggott H. Long-term results of combined anterior and posterior convex epiphysiodesis for congenital scoliosis due to hemivertebrae//Spine. 1995. V.20,N.12. - pp 1380-1385.
• King A.G., MacEwen G., вose W.J. Transpedicular convex anterior hemiepiphysiodesis and posterior arthrodesis for progressive congenital scoliosis//Spine. 1992. V.17,N.8S. - pp S291-294.
• Dubousset J., Katti E., Seringe R. Epiphysiodesis of the spine in young children for congenital spinal deformities//J. Pediatr. Orthop. Part в. 1992. V.1,N.2. - pp 123-130.
• Royle N.D. The operative removal of an accessory vertebra // Austral. Med. J. 1928. N1 - P. 467.
• Ульрих Э.В. Аномалии позвоночника у детей//Санкт-Петербург. - изд-во СОТИС. 1995. 335 стр.
• Цивьян Я. Л. Оперативное лечение горбов. М. Медицина, 1973. 264 с.
• King J.D., Lowery G.L. Results of lumbar hemivertebral excision for congenital scoliosis//Spine. 1991. V.16,N.7. - pp 778-782.
• сapener N. The evolution of lateral racholomy // J. вone Jt. Surg. 1954. Vol. 36-B, № 1. P. 173-179.
• Lonstein J. P., вradford D, S., Winter R.B. et al. Neurologic deficits secondary to spinal deformity. A review of the literature and report of 43 cases // Spine. 1980. Vol. 5. P. 331-355.
• сhou S.N. The treatment of paralysis associated with kyphosis // сlin. Orthop. 1977. Vol. 128. P. 149-159.
• Winter R., Moe J., Eilers V. сongenital scoliosis. A study of 234 patients treated and untreated // J. вone Jt. Surg. 1968. V.50-A, N 1. P. 1 - 47.
• Lonstein J.E., вradford D.S., Winter R.B., Ogilvie J.W. Moe s Textbook of Scoliosis and others Spinal Deformities. Third edition. W.B. Saunders сompany. 1995. 658 p.
• Шулутко М.И. Боковое искривление позвоночника у детей. Казань. 1963. 104 стр.
• Михайловский М.В., Фомичев Н.Г. Хирургия деформаций позвоночника. Новосибирск: Redactio, 2011. 592 с.
• Stagnara P.F., Fauchet R., вoulliat G. et al. A propos de 17 observations de paraplegics par deformations vertebrales traitees por redressement partiel // Rev. сhir. Orth. rep. Appareil Moteour. 1968. Vol. 54(7). P. 623-636.
• Frankel H.L., Hancock D.O., Hyslop G. et al. The Value of Postural Reduc-tion in the Initial Management of сlosed Injuries of the Spine with Paraplegia and Tetraplegia. Part 1 // Paraplegia. 1969. Vol. 7. P. 179-192.
• Stagnara P. Examen du scoliotique. In Deviations laterales du rachis: Scolioses. Encyclopedie Medico-chirurgicale (Paris), Appareil Locomoteur, 7, 1974 в.
• сobb J.R. Outline for the study of scoliosis//American Academy of Orthopedic Surgeons Instructional сourse Lecture // 1948. V.5. P. 621-675.
• Nash с.L., Moe J.H. A study of vertebral rotation//J. Bone Jt.Surg. 1969. V.51-A. - pp 223-229.
• Perdriolle R. La scoliose. Maloine SA, (ed). Paris. 1979.
• White SF, Asher MA, et al. Patients perceptions of overall function, pain and appearance following primary posterior instrumentation and fusion for idiopathic scoliosis (IS) // Spine. 1999. N.16. P. 1693-1700.
• Winter R.B., Moe J.H., Lonstein J.E. Posterior spinal arthrodesis for congenital scoliosis//J. Bone Jt.Surg. 1984. V.66-A. - pp 1188-1197.
• Lonstein J.E., вradford D.S., Winter R.B., Ogilvie J.W. Moe’s textbook of scoliosis and others spinal deformities, Third edition. W.B. Saunders сompany. 1995. 658 p.
• Kesling K.I., Lonstein J.E., Denis F. et al. сrankshaft phenomenon in congenital scoliosis//Final Program of Scoliosis Research Society 36th Annual Meeting. - сleveland, Ohio,USA. 2001. - p. 62.
• Thompson A.G., Marks D.S., Sayampanathan S.R.E., Piggott H. Long-term results of combined anterior and posterior convex epiphysiodesis for congenital scoliosis due to hemivertebrae//Spine. 1995. V.20,N.12. - pp 1380-1385.
• King A.G., MacEwen G., вose W.J. Transpedicular convex anterior hemiepiphysiodesis and posterior arthrodesis for progressive congenital scoliosis//Spine. 1992. V.17,N.8S. - pp S291-294.
• Dubousset J., Katti E., Seringe R. Epiphysiodesis of the spine in young children for congenital spinal deformities//J. Pediatr. Orthop. Part в. 1992. V.1,N.2. - pp 123-130.
• Royle N.D. The operative removal of an accessory vertebra // Austral. Med. J. 1928. N1 - P. 467.
• Ульрих Э.В. Аномалии позвоночника у детей//Санкт-Петербург. - изд-во СОТИС. 1995. 335 стр.
• Цивьян Я. Л. Оперативное лечение горбов. М. Медицина, 1973. 264 с.
• King J.D., Lowery G.L. Results of lumbar hemivertebral excision for congenital scoliosis//Spine. 1991. V.16,N.7. - pp 778-782.
• сapener N. The evolution of lateral racholomy // J. вone Jt. Surg. 1954. Vol. 36-B, № 1. P. 173-179.
• Lonstein J. P., вradford D, S., Winter R.B. et al. Neurologic deficits secondary to spinal deformity. A review of the literature and report of 43 cases // Spine. 1980. Vol. 5. P. 331-355.
• сhou S.N. The treatment of paralysis associated with kyphosis // сlin. Orthop. 1977. Vol. 128. P. 149-159.
|
|
Приложения
Приложение А1.
Состав рабочей группы.Михайловский Михаил Витальевич. Заведующий детским ортопедическим отделением № 1 ФГБУ «ННИИТО им. Я.Л. Цивьяна» Минздрава России, доктор медицинских наук, профессор, член Межрегиональной общественной организации «Ассоциация хирургов-вертебрологов»;
Долотин Денис Николаевич. Врач травматолог-ортопед детского ортопедического отделения № 1 ФГБУ «ННИИТО им. Я.Л. Цивьяна» Минздрава России, член Межрегиональной общественной организации «Ассоциация хирургов-вертебрологов»;
Суздалов Василий Александрович. Врач травматолог-ортопед детского ортопедического отделения № 1 ФГБУ «ННИИТО им. Я.Л. Цивьяна» Минздрава России, кандидат медицинских наук, член Межрегиональной общественной организации «Ассоциация хирургов-вертебрологов»;
Шелякина Оксана Викторовна -заведующая физиотерапевтическим отделением ФГБУ «ННИИТО им. Я.Л. Цивьяна» Минздрава России, кандидат медицинских наук, член ООР «Союз реабилитологов России».
Конфликт интересов отсутствует.
Приложение А2.
Методология разработки клинических рекомендаций.Целевая аудитория данных клинических рекомендаций:
• Врачи-неврологи;
• Врачи-нейрохирурги;
• Врачи-травматологи-ортопеды.
Описание методов, используемых для сбора доказательств.
Доказательной базой для написания настоящих клинических рекомендаций послужили результаты поиска релевантных англоязычных и русскоязычных публикаций в библиотечных ресурсах, в том числе в электронных базах данных PubMed, WOS, РИНЦ. Глубина поиска более 25 лет.
В данных клинических рекомендациях сведения ранжированы по уровню достоверности (доказательности) в зависимости от количества и качества исследований по данной проблеме. При изложении текста рекомендаций приводятся уровни достоверности доказательств (УДД) по шкале Американского Агентства по политике здравоохранения и научным исследованиям (Приложение 1) и уровни убедительности рекомендаций (УУР), разработанные Шотландской Межколлегиальной медицинской сетью, для оценки данных УДД (Приложение 2).
Уровни достоверности доказательств Приложение 1.
| УДД | Характеристика данных о достоверности |
| 1а | Мета анализ рандомизированных контролируемых исследований (РКИ) |
| 1b | Хотя бы одно РКИ |
| 2а | Хотя бы одно хорошо выполненное контролируемое исследование без рандомизации |
| 2b | Хотя бы одно хорошо выполненное квази-экспериментальное исследование |
| 3 | Хорошо выполненные не экспериментальные исследования: сравнительные, корреляционные или «случай-контроль» |
| 4 | Экспертное консенсусное мнение либо клинический опыт признанного авторитета |
Уровни убедительности рекомендаций Приложение 2.
| УУР | Характеристика рекомендации |
| А | Основана на клинических исследованиях хорошего качества, по своей тематике непосредственно применимых к данной специфической рекомендации, включающих, по меньшей мере, одно РКИ |
| В | Основана на результатах клинических исследований хорошего дизайна, но без рандомизации |
| С | Составлена при отсутствии клинических исследований хорошего качества, непосредственно применимых к данной рекомендации |
При упоминании в тексте медикаментов знак обозначает, что показания не входят в инструкцию по применению лекарственного препарата.
Порядок обновления рекомендаций.
Клинические рекомендации редактируются не реже одного раза в три года в соответствии с регламентом Министерства здравоохранения Российской Федерации.
Приложение А3.
Связанные документы.• Приказ МЗ РФ от 15 ноября 2012 г. 919н «Об утверждении Порядка оказания медицинской помощи взрослому населению по профилю «анестезиология и реаниматология»;
• Приказ МЗ РФ от 12 ноября 2012 г. 909н «Об утверждении Порядка оказания медицинской помощи детям по профилю «анестезиология и реаниматология»;
• Приказ МЗ РФ от 12,11,2012 № 901н «Об утверждении Порядка оказания медицинской помощи населению по профилю «травматология и ортопедия»;
• Приказ МЗ РФ от 31,10,2012 № 562н «Об утверждении порядка оказания медицинской помощи по профилю «детская хирургия»;
• Приказ Минздрава России от 20,12,2012 N 1076н «Об утверждении стандарта специализированной медицинской помощи при грубой ригидной сколиотической деформации позвоночника»;
• Приказ Минздрава России от 15,07,2016 N 520н «Об утверждении критериев оценки качества медицинской помощи».
Приложение В.
Информация для пациентов.Реабилитация после операции. Ранний реабилитационный период продолжается приблизительно 1-3 месяца. В течение этого времени пациент постепенно возвращается к привычной деятельности. Темп и особенности реабилитационного периода индивидуальны для каждого человека. Каждому пациенту следует увеличивать нагрузку, полагаясь на собственные ощущения. В процессе восстановления могут быть периоды улучшений и ухудшений, которые ожидаемы и не должны вызывать тревогу.
Послеоперационные швы. В большинстве случаев пациент выписывается после заживления швов первичным натяжением. Это значит, что на поверхности шва образуется «корочка», под которой формируется узкий линейный рубец. Ежедневным уходом за швами является их обработка раствором бриллиантового зеленого («зеленкой»). После отрыва «корочки» рубец не обрабатывается. Рубцы обычно формируются в течение 1 месяца. Рекомендуется носить хлопчатобумажную или трикотажную одежду, не раздражающую кожу в области послеоперационного шва.
Крайне нежелательно:
• прикасаться к шву руками (обработка производится ватными палочками);
• подвергать шов воздействию воды, влаги. До полного заживления не рекомендуется посещать сауны, бани. Для приема душа можно самостоятельно наклеить на шов герметичную повязку;
• отрывать «корочки» до образования рубца;
• спать на спине в течение 1 года после операции.
Изменения со стороны психоэмоциональной сферы. В некоторых случаях после выписки могут наблюдаться следующие явления:
• эмоциональная неустойчивость, раздражительность, плаксивость;
• сниженный фон настроения, пессимистичное видение будущего;
• нежелание чем-либо заниматься, быстрая утомляемость;
• нарушение сна.
Данные проявления являются естественной реакцией организма на «операционный стресс», и проходят по мере улучшения общего состояния без какого - либо лечения. В редких случаях (когда состояние вызывает выраженный дискомфорт) рекомендуется обратиться к психотерапевту или лечащему врачу. С целью стабилизации эмоционального фона полезно соблюдение активного режима и отдыха, прослушивание и просмотр музыкальных релаксационных программ. При нарушении засыпания целесообразно переключиться на какое-либо другое занятие (послушать музыку, почитать, походить) до появления желания спать, проветрить комнату, затем вернуться в постель. Организму необходимо какое-то время для восстановления сна, не рекомендуется использовать снотворные препараты без консультации врача, при необходимости можно принимать фитосборы.
Боли. Возможны боли в шейном, грудном или поясничном отделах позвоночника. Эти боли могут возникать или усиливаться после физической нагрузки, длительной ходьбы. Это - распространенное явление и не должно вызывать тревоги. Возможен прием обезболивающих препаратов, упражнения на расслабления и легкий массаж. Если боли становятся выраженными, продолжительными и отдают в руки или ноги рекомендуется обратиться к неврологу по месту жительства, обязательно проконсультировавшись с оперирующим хирургом.
Дорога домой. Домой можно ехать на автомобиле, автобусе, поезде, самолете. Как правило, транспортировка осуществляется в положении лежа на животе или на боку. В автомобиле можно ехать на заднем или разложенном переднем пассажирском сидении.
В поезде транспортировка осуществляется на нижней полке купе (необходимую справку можно взять у старшей медсестры отделения).
В автобусе или самолете лучше всего расположиться на откинутой спинке кресла или нескольких свободных сиденьях. В аэропорту при себе необходимо иметь выписку и рентгеновский снимок.
Ортопедический режим. Необходимо избегать длительного пребывания в вертикальном положении. Исключить поднятие и ношение тяжестей (не более 3 кг), сезонные сельскохозяйственные работы, общую физкультуру, прыжки, висы на турнике. Не рекомендуется сидеть до наступления усталости первые 6 месяцев после операции, выполнять различные наклоны туловища, сгибать и поднимать ноги. Чтобы поднять лежащую на полу вещь, нужно немного присесть, держа туловище прямо. Для удобного одевания обуви необходимо сделать подставку, воспользоваться посторонней помощью. Спать рекомендуется на полужесткой кровати с небольшой подушкой. Для отхода ко сну, туалета, необходимо создать условия, аналогичные стационарным (поручни, подставки, опоры).
Ходьба по лестнице. Подъем и спуск по лестнице требует более значительных усилий, чем ходьба по ровной поверхности. Следует подниматься и спускаться по лестнице приставным шагом с остановками для отдыха, держась за перила.
Осанка. Осанка привычное положение тела стоящего человека. Особенности осанки определяются положением головы, пояса верхних конечностей, изгибами позвоночника, формой грудной клетки и живота, наклоном таза и положением нижних конечностей. Поддержание осанки обеспечивается за счет напряжения мышц шеи, пояса верхних конечностей, туловища, пояса нижних конечностей и ног. Стоять нужно таким образом, чтобы нагрузка равномерно распределялась на обе ноги. Необходимо следить за правильным положением туловища (надплечья должны находиться на одном уровне, спина должна быть выпрямлена, лопатки отведены назад). Для этого используют тренировку перед зеркалом со зрительной самокоррекцией, периодический контроль положения туловища у стены, сохранение правильного положения при ходьбе.
Обувь. Не рекомендуется ношение обуви на высоком (более 3 см ) каблуке. Обувь должна быть удобной и повторять нормальную форму свода стопы.
10. Работы по дому. На первом этапе вы сможете заниматься лишь легкими работами по дому, такими, как уборка пыли и помощь в приготовлении пищи. Постепенно можно будет увеличить объем домашних работ. Следует избегать выполнения работ, требующих физических усилий.
11. Учеба. После операции рекомендовано индивидуальное обучение. Необходимо предупредить руководителя учебного учреждения о перенесенной операции. При обучении на дому требуется правильная организация рабочего места: необходимо правильно подобрать высоту стола, источник света должен быть достаточно ярким. Занятия можно проводить в положении лежа, стоя, на коленях. Необходимо научиться быстро и качественно выполнять домашние задания. При появлении усталости сделать перерыв. В школе, институте необходимо проводить занятия в аналогичном положении. При появлении усталости лучше отпроситься с занятий, отдохнуть в положении лежа.
12. Профессия. Нежелательно выбирать профессию, связанную с длительным пребыванием в вертикальном положении и подниманием тяжестей.
13. Питание. В восстановительном периоде важен правильный режим питания. Желательно избегать употребления жареного, жирного, а также уменьшить употребление соленого, сладкого и субпродуктов. Вес тела должен соответствовать росту. Часы приема пищи должны быть постоянными. Следует избегать избыточного приема пищи. Питание должно быть разнообразным, полноценным и витаминизированным.
14. Физическая нагрузка. Любая физическая нагрузка, за исключением ходьбы, может быть разрешена лишь после консультации с лечащим врачом. Следует увеличивать физические нагрузки постепенно, переходя от легких упражнений к более сложным. Не ранее 3 месяцев после операции рекомендуется плавание в бассейне (не менее 2 раз в неделю). Не рекомендуется занятие видами спорта с риском падений, травматизации.
15. Дальнейшие наблюдения и контрольное обследование. После выписки следует записаться на прием к ортопеду, участковому врачу, неврологу. Необходимо принести на прием выписной эпикриз. В условиях поликлиники по месту жительства возможно проведение ЛФК и массажа. Комплекс упражнений можно получить у инструктора ЛФК стационара. Не ранее, чем через 3 месяца возможно проведение курсов массажа мышц спины без мануальной терапии, без захвата послеоперационного рубца 3 см Массаж выполняется по показаниям при длительной усталости и не проходящих в положении лежа неприятных ощущениях или болях. Необходимо заниматься дыхательной гимнастикой.
В первые 6 месяцев после операции не рекомендуется проведение физиопроцедур. При выраженном болевом синдроме возможно проведение магнитотерапии. Контрольное обследование проводится для оценки эффективности лечения через 6 мес., 1 год, 2 года после операции. Для этого необходимо заранее записаться на прием в регистратуре поликлиники по телефону, указанному в выписке.
16. Инвалидность. Необходимо оформление (продление) инвалидности на МСЭК по месту жительства (металлоконструкция устанавливается пожизненно и удаляется только по показаниям).
Еще раз обратите внимание.
• Если у вас имеются, какие-либо вопросы, связанные с перенесенной операцией, не стесняйтесь обращаться прямо к лечащему врачу.
• Каждый пациент возвращается к объему привычной активности в своем индивидуальном темпе. Не следует сравнивать себя с другими пациентами.
• Следует чередовать пребывание в вертикальном положении с отдыхом. Не следует ходить до утомления.
• В течение некоторого времени могут беспокоить боли в области послеоперационных швов. Послушайте радио или музыку, чтобы отвлечься, или встаньте и пройдитесь немного и, потом, попытайтесь снова заснуть. Для периода выздоровления характерны частые смены настроения, что проходит с течением времени.
• Рекомендуется носить хлопчатобумажную или трикотажную одежду, не раздражающую кожу в области послеоперационного шва.
• Следует заниматься самокоррекцией туловища перед зеркалом, дыхательной гимнастикой.
• Важно сообщить каждому врачу, к которому вы обращаетесь, что вы перенесли операцию на позвоночнике. С оперирующим хирургом необходимо согласовывать рекомендации, методы лечения, предлагаемые в амбулаторных условиях.
Приложение Г1Анкета SRS.
Ф.И.О. _________________________________________________________ Пол __________.
Дата заполнения ______________ Дата рождения ______________ Возраст _____________.
Мы оцениваем состояние Вашего здоровья. Пожалуйста, внимательно прочтите вопросы и оцените состояние Вашей спины, обведите наиболее подходящий ответ на каждый вопрос, если не предложено отметить иным образом.
По шкале от 1 до 9, где 1 означает «отсутствие болей», а 9 означает «сильную боль», оцените уровень обычно испытываемой вами болй.
1 2 3 4 5 6 7 8 9.
Баллы: 5 4 3 2 1.
Используя ту же шкалу оцените наибольшую интенсивность болей испытываемых в течение последнего месяца.
1 2 3 4 5 6 7 8 9.
Баллы: 5 4 3 2 1.
Как бы Вы отнеслись, если бы на всю оставшуюся жизнь Ваша спина оставалась в таком состоянии как сейчас.
5 очень довол(ен)ьна.
4 скорее довол(ен)ьна.
3 ни довол(ен)ьна ни недовол(ен)ьна.
2 скорее недовол(ен)ьна.
1 очень недовол(ен)ьна.
Каков уровень Вашей повседневной активностй.
1 прикован к кровати / к инвалидному креслу.
2 в основном не актив(ен)на.
3 умеренная работа, такая как работа по дому.
4 необременительные виды спорта, такие как ходьба или езда на велосипеде.
• полностью активен, без каких-либо ограничений.
Как Вы выглядите в одежде.
5 очень хорошо.
4 хорошо.
3 удовлетворительно.
2 плохо.
• очень плохо.
Испытываете ли Вы боль в спине в покое.
1 очень часто.
2 часто.
3 иногда.
4 редко.
• никогда.
Каков ваш уровень работоспособности при работе / обучений.
5 100% от нормы.
4 75% от нормы.
3 50% от нормы.
2 25% от нормы.
• 0% от нормы.
Какие медикаменты Вы принимаете для уменьшения болй.
5 никаких.
4 нестероидные препараты.
3 стероидные препараты.
2 транквилизаторы.
1 наркотические анальгетики.
Ограничивает ли Вас Ваш позвоночник в работе по дому.
ДА 1 НЕТ 5.
10. Брали ли Вы больничный лист из-за боли в спине.
ДА 1 НЕТ 5.
11. Считаете ли Вы что Ваше состояние влияет на Ваши взаимоотношения с близкимй.
ДА 1 НЕТ 5.
12. Испытываете ли Вы и/или Ваша семья финансовые сложности из-за состояния Вашего позвоночника спины.
Никаких незначительные значительные.
5 3 1.
13. Как часто Вы участвуете в общественной жизни, чаще или реже, чем ваши друзья.
Чаще так же реже.
5 3 1.
14. Считаете ли Вы себя привлекательн(ой)ым .
Да, очень.
Да, в некоторой степени.
Ни привлекательной, ни непривлекательной.
Нет, не очень.
Абсолютно нет.
15. По шкале от 1 до 9, где 1 - «очень низко», а 9 - «очень высоко», оцените свой внешний вид.
1 2 3 4 5 6 7 8 9.
Баллы: 1 2 3 4 5.
16. Изменило ли лечение Вашего позвоночника Вашу трудоспособность и привычную активность.
Повысило не изменило снизило.
5 3 1.
17. Изменило ли лечение Вашего позвоночника Вашу возможность заниматься спортом (хобби).
Повысило не изменило снизило.
5 3 1.
18. Изменило ли лечение Вашего позвоночника интенсивность болей в спине.
Усилило не изменило снизило.
1 3 5.
19. Изменило ли лечение Вашу уверенность в себе при общении с другимй.
Повысило не изменило снизило.
5 3 1.
20. Изменило ли проведенное лечение мнение окружающих.
Намного лучше.
Лучше.
Так же.
Хуже.
Намного хуже.
21. Изменило ли лечение Ваш внешний вид.
Улучшило не изменило ухудшило.
5 3 1.
22. Вы удовлетворены результатами оперативного лечения Вашего позвоночника.
Абсолютно удовлетворен (а).
Скорее удовлетворен (а).
Не удовлетворен (а) не неудовлетворен (а).
Скорее неудовлетворен (а).
Абсолютно неудовлетворен (а).
23. По сравнению с дооперационным периодом как Вы оцениваете Ваш внешний вид.
Намного лучше.
Лучше.
Так же.
Хуже.
Намного хуже.
24. Прошли бы Вы то же лечение снова при тех же условиях.
5 Определенно да.
4 Вероятно да.
3 Не уверен(а).
2 Вероятно нет.
1 Определенно нет.
Спасибо за заполнение анкеты. Прокомментируйте, пожалуйста, если хотите.
Приложение Г.
В качестве моно- или комбинируемых технологий хирургического лечения рассматриваются:1. Задний спондилодез без инструментария;
2. Задний спондилодез с применением инструментария;
3. Переднезадний спондилодез;
4. Переднезадний эпифизеоспондилодез;
5. Эксцизия полупозвонка;
6. Этапные дистракции сегментарным инструментарием;
7. Одноэтапная резекция полупозвонка и коррекция деформации сегментарным инструментарием (операция Shono);
8. Коррекция инструментарием VEPTR (Vertical Expandable Prosthetic Titanium Rib);
9. Операции при нарушениях сегментации.
Задний спондилодез без инструментария.
Начиная с 1916 года, эта операция с успехом применялась у тысяч детей, и, по мнению R. Winter [13], остается золотым стандартом, с которым следует сравнивать другие методы хирургического лечения врожденных сколиозов.
Это лучший метод при деформациях, которые отчетливо прогрессируют или имеют такую природу, что прогрессирование неизбежно, но в то же время настолько ригидны, что коррекция представляется нереальной. Классический пример - односторонний несегментированный блок.
Техника операции сравнительно проста, но есть несколько моментов, на которые следует обратить особое внимание. Первое - в зону спондилодеза следует включать всю дугу искривления плюс по одному сегменту краниально и каудально. Второе - задние отделы позвонков должны быть обнажены максимально широко, то есть, до вершин поперечных отростков. Третье - формирование костного ложа должно быть тщательным и включать резекцию суставных фасеток и полную декортикацию задних структур позвонков. Четвертое - необходимо использовать большое количество трансплантатов. Поскольку у маленьких детей источники аутокости весьма ограниченны, вполне допустимо использование аллотрансплантатов. Количество трансплантатов играет важнейшую роль, так как определяет объем, а, следовательно, механическую прочность будущего костного блока. Дело в том, что самым нежелательным осложнением заднего спондилодеза является прогрессирование деформации за счет «изгиба» костного блока. Сам термин «изгиб блока», применяемый в западной литературе, возможно, неудачен. Вероятно, следует говорить о перестройке блока под влиянием вертикальных и скручивающих усилий, но это не принципиально. Гораздо важнее то, что широкий массивный костный блок значительно успешнее противостоит этим нагрузкам, способствуя стабилизации патологического процесса, каковая и является целью данного вмешательства.
Формирование блока требует послеоперационной внешней иммобилизации. Использование с этой целью корригирующих корсетов типа Milwaukee или корсетов с «гало»- тракцией (для шейногрудных деформаций) позволяет достичь некоторой коррекции сколиоза. Кроме того, использование подобных устройств способствует нормализации баланса туловища и формированию костного блока в условиях, приближенных к норме с точки зрения биомеханики позвоночного столба.
Преимущества метода: относительная простота, безопасность с точки зрения развития неврологических осложнений, небольшая кровопотеря и непродолжительная госпитализация.
Недостатки: незначительная коррекция, зависимость от техники выполнения костной пластики («исчезающее искусство», по мнению R. Winter [13]), возможность «изгиба» костного блока и продолжающегося прогрессирования деформации в связи с сохранностью зон роста на выпуклой стороне сколиотической дуги. Последнее осложнение реально, особенно в случаях «злокачественно» прогрессирующих сколиозов. Поэтому оценка потенций прогрессирования деформации крайне важна при выборе метода оперативного вмешательства.
J. Lonstein et al. подчеркивают, что результаты заднего спондилодеза без инструментария великолепны, пока хирург понимает, что значительная коррекция не является основной целью [14]. Основная цель - СТАБИЛИЗАЦИЯ, то есть, предотвращение прогрессирования. Если 6-летний ребенок с деформацией 25º от Th5 до Th11 на почве множественной аномалии развития через 2 года имеет сколиоз 32º, наилучший вариант - блокировать дугу. Единственное, чего можно достичь выжиданием, - дальнейшее прогрессирование. Более того, поскольку врожденные деформации обычно ригидны, шанс на исправление деформации снижается и приходится выполнять героическое вмешательство путем передней и задней клиновидной вертебротомиии.
Качественный задний спондилодез и коррекция локализованным корсетом представляют весьма малый риск и имеют преимущества. По данным R. Winter et al. [13], из 163 больных после заднего спондилодеза in situ не было параличей, нагноений, только один случай фармирования лордоза в грудном отделе позвоночника и только 14% изгиба блока. Средний срок наблюдения - 7 лет.
Однако при более значительных сроках послеоперационного наблюдения, когда ребенок оперирован задолго до завершения формирования скелета возможно развитие «феномена коленчатого вала», характерного для ювенильных идиопатических сколиозов. Так, K.I. Kesling et al. у 56 детей, оперированных в возрасте 6,4 года и прослеженных на протяжении 11,5 лет, в 33% случаев констатировали развитие этого осложнения[15]. Авторы отметили, что единственным фактором, повышающим риск развития ФКВ, является исходная величина деформации позвоночника.
Многие хирурги, в том числе, и в нашей стране, утверждают, что спондилодез у маленького ребенка не должен производиться, так как ограничивает его рост. Правда, что сформированный блок позвонков не растет в длину с ростом больного или растет медленнее, чем в норме, но нужно помнить, что при врожденных сколиозах блокированная зона не имеет потенций роста. Это природа укорачивает позвоночник, а не хирург. У ребенка будет длиннее туловище после раннего спондилодеза если эту операцию не откладывать.
Задний спондилодез с применением инструментария.
Дополнение заднего спондилодеза металлоимплантатами преследует цель добиться большей стабильности позвоночника, что уменьшает зависимость от качества внешней иммобилизации, а также получить более значительную коррекцию деформации. Любое вмешательство с использованием металлоимплантатов требует тщательного предоперационного исследования содержимого позвоночного канала, а также интраоперационного мониторинга спинного мозга (соматосенсорные и двигательные вызванные потенциалы, проба с пробуждением ).
Техника вмешательства зависит от типа и конфигурации деформации позвоночника, а потому строго индивидуальна. При использовании сегментарного инструментария принципиально важным является не только формирование краниального и каудального захватов, но и уровень их расположения. Имплантация крюков/винтов в области вершины деформации и в парагиббарных отделах не всегда возможна, но желательна, так как способствует дополнительной коррекции деформации и повышает степень стабильности всей конструкции. Обычно удается установить крюки/винты с обеих сторон от остистых отростков и с помощью двух стержней и боковых тяг сформировать жесткую рамочную структуру. Однако, в отдельных случаях вследствие выраженных анатомических изменений удается имплантировать только один стержень на вогнутой стороне искривления. Операция завершается дорсальным спондилодезом аутокостью или аллокостью.
Переднезадний спондилодез.
Согласно современным представлениям, такое вмешательство оптимально с точки зрения остановки прогрессирования врожденной сколиотической деформации. Формирование циркулярного (360°) костного блока сопровождается разрушением пластинок роста на выпуклой стороне дуги и уравновешивает обе стороны позвоночника с точки зрения потенции роста и, соответственно, увеличения деформации. Необходимость выполнения вентрального (обычно - трансторакального) доступа некоторыми авторами расценивается как недостаток метода. Разумеется, нельзя спорить с тем, что дополнительное вмешательство таит опасность дополнительных осложнений - как интра-, так и послеоперационных. Практика, однако же, показывает, что эти опасения излишне гипертрофированы. Интраоперационные осложнения (повреждения внутренних органов, крупных сосудов, ductus thoracicus) при досточном опыте хирурга встречаются крайне редко. Кровопотеря, сопровождающая дискэктомию и межтеловой спондилодез, незначительна (100-200 мл), сама операция непродолжительна (70-90 минут). Послеоперационные осложнения во многом зависят от того, насколько полноценно «развентилировано» легкое, которое частично приходится коллабировать, а также от качества работы плеврального дренажа. Полноценное выполнение этих нехитрых манипуляции делают минимальным риск пневмонии, ателектаза, пневмо- и гемоторакса.
Однако выполнение вентрального спондилодеза у больных с врожденными сколиозами имеет ряд особенностей, о которых следует упомянуть. Первая из них связана с определенными проблемами, возникающими в ходе идентификации аномалийно развитых и расположенных межпозвонковых дисков. Аномалии позвонков крайне вариабельны, а их рентгенографическое отображение даже при самом полноценном обследовании не всегда полностью соответствует интраоперационным находкам. Даже опытному хирургу-вертебрологу подчас требуется дополнительное время для уточнения характера аномалий и тщательного выполнения дискэктомии на необходимом протяжении. Вторая особенность заключается в нередко наблюдаемом аномалийном расположении и ветвлении сегментарных сосудов, которые в норме расположены на уровне середины тела позвонка и ориентированы поперечно относительно длинной оси позвоночника. Врожденные аномалии часто сопровождаются наличием весьма причудливой картины межсегментарных анастомозов, затрудняющих доступ и требующих их выделения, лигирования и пересечения, чего при идиопатических сколиозах обычно делать не приходится. Как уже упоминалось, перевязка сегментарных сосудов при условии правильного ее выполнения (как можно дальше от межпозвонковых отверстий) практически безопасна с точки зрения нарушения кровоснабжения спинного мозга.
Вентральный спондилодез, если не выявлено противопоказаний, целесообразно выполнять непосредственно перед дорсальным, то есть, в ходе одного наркоза (same day surgery). Подобная тактика имеет целый ряд серьезных преимуществ: снижение стрессовых нагрузок на больного и его родных, уменьшение суммарной кровопотери и количества осложнений, а также дает существенный экономический эффект (сокращение сроков пребывания больного в стационаре, снижение расхода медикаментов).
Необходимо упомянуть и еще об одном преимуществе одноэтапного двухмоментного вмешательства - предварительно выполненная дискэктомия уменьшает ригидность позвоночного столба и способствует достижению большей коррекции деформации позвоночника.
Переднезадний эпифизеоспондилодез.
Принципиальное отличие от предыдущего вмешательства заключается в том, что эпифизеоспондилодез не просто блокирует позвоночник на определенном протяжении, но, останавливая рост костной ткани на выпуклой стороне деформации, сохраняет его на вогнутой стороне. Естественно, что для достижения этой цели необходима сохранность пластинок роста на вогнутой стороне дуги, в противном случае операция «не сработает». Например, при наличии несегментированного костного блока на вогнутой стороне пациент нуждается в переднезаднем спондилодезе по выпуклой стороне деформации, но не в эпифизеоспондилодезе, так врожденный блок ни при каких обстоятельствах расти не будет.
Эпифизеодез показан у маленьких детей в возрасте от одного года до пяти лет, если прогрессирование деформации подтверждено документально, если протяженность дуги невелика, потенции роста на вогнутой стороне сохранены, а собственно деформация представляется чисто сколиотической - без выраженного кифозирования или лордозирования. При наличии всех этих условий можно ожидать хорошего результата вмешательства. Учитывая, что позвоночник ребенка моложе пяти лет всегда мобилен, сразу на операционном столе накладывается корригирующий гипсовый корсет минимум на шесть месяцев, а возможно и на более долгий срок - пока не сформируется костный блок.
Преимуществами вмешательства являются относительная простота выполнения и низкий риск неврологических осложнений, а недостатками - очень медленный процесс самокоррекции и то обстоятельство, что ее удается достичь не всегда.
Операция может оказаться эффективной и у больных старше 5 лет. A.G. Thompson et al. представили результаты вмешательства у 30 детей, средний возраст которых составил 6,3 года, причем у 11 детей - почти 12 лет [16]. Больные наблюдались в среднем 3 года. Угол сobb уменьшился в 23 случаях, стабилизировался у пяти и увеличился только у двух больных. Чем меньше возраст ребенка, тем лучше был конечный результат. Еще один фактор, влияющий на исход лечения - локализация полупозвонка, оптимально - в поясничном отделе позвоночника.
Оригинальную технику переднезаднего эпифизеоспондилодеза использовали у 9 больных с врожденным сколиозом [17]. Оба этапа вмешательства выполнялись из дорсального доступа, причем переднебоковой эпифизеоспондилодез - транспедикулярно. С этой целью стандартно производился кюретаж корней дужек на стороне выпуклости искривления, затем «вычерпывалась» спонгиозная кость тел позвонков до замыкательных пластинок, в которых острой кривой кюреткой формировались отверстия для удаления ткани межпозвонковых дисков на необходимом протяжении - при единичном клиновидном полупозвонке - на трех уровнях (аномалийный позвонок и оба соседних). В сформированный таким образом дефект в передней колонне позвоночника помещалась аутокость в виде крошки, а затем производился задний спондилодез по обычной методике. Прогрессирование деформации удалось остановить у всех девяти пациентов.
J. Dubousset предложил схему планирования операции эпифизеоспондилодеза в зависимости от локализации аномалии и ее характера [18]. Знание законов роста позвоночного столба позволяет оптимизировать и упростить процесс планирования вмешательства. Можно представить каждый позвонок как куб, состоящий из четырех частей (квадрантов), каждая из которых растет симметрично вокруг позвоночного канала. Если же процессы роста идут асимметрично, что и происходит в случае врожденной деформации позвоночника, необходимо заранее определить, какие именно зоны нуждаются в блокировании для восстановления утраченной симметрии. Использование четырехквадрантной схемы позволяет решить, где именно (в горизонтальной плоскости) должен формироваться костный блок. Представленная схема, возможно, не является исчерпывающей и не включает все возможные варианты асимметричного роста позвоночника. Однако она представляется очень полезной с методологической точки зрения, и ее можно с успехом использовать в практической работе.
Второй компонент схемы J. Dubousset - определение протяженности спондилодеза по длиннику позвоночного столба. Если выполнить эпифизеоспондилодез только на уровне аномалийного позвонка, это приведет лишь к стабилизирующему эффекту. Если же необходимо достичь коррекции деформации в ходе продолжающегося роста позвоночника, в зону эпифизеодеза необходимо включать выше- и нижерасположенные сегменты. Этот принцип применим к любому типу деформации.
Эксцизия полупозвонка.
Первая операция такого рода описана в 1928 г. Royle и в дальнейшем применялась многими хирургами [19]. Это вмешательство, по мнению R. Winter, вызывает периодически всплески энтузиазма среди вертебрологов, но отсутствие клинических исследований с длительными сроками наблюдения не позволяет далеко идущие выводы о ее эффективности [2].
Эксцизия - это, по сути, вертебротомия на выпуклой стороне искривления, и, если операция не привела к формированию блока на уровне вертебротомии, ее можно считать неудачной. Профилактикой такого нежелательного исхода может служить продление зоны спондилодеза в краниальном и каудальном направлениях - как дорсально, так и вентрально.
Эксцизия полупозвонка сопряжена с реальным риском развития неврологических осложнений, так как просвет позвоночного канала необходимо вскрыть спереди и сзади. В поясничном отделе позвоночника этот риск, естественно, меньше.
Показанием к операции является деформация позвоночника на почве единичного полупозвонка. Опыт показывает, что выполнение ее без использования металлоконструкций, обеспечивающих компрессию на выпуклой стороне дуги и, тем самым, смыкание пострезекционного клиновидного дефекта, часто приводит к несращению костных поверхностей и прогрессированию деформации [20]. Особенно это относится к грудопоясничному и грудному отделам позвоночника, где после подобных вмешательств нередко развивались тяжелые кифотические деформации [20, 21].
Оптимальный возраст выполнения операции - до трех лет, хотя и в старшем возрасте она может оказаться вполне эффективной. При поясничных сколиозах эпифизеоспондилодез выполняется спереди и сзади на выпуклой стороне деформации с захватом уровня полупозвонка и двух соседних - краниально и каудально. При пояснично-крестцовых деформациях действуют те же принципы, однако, следует учитывать особенности анатомии крестца. Имеется в виду, что в области первого крестцового отверстия, где устанавливается нижний крюк, должна быть достаточно прочная дужка. В грудном и грудопоясничном отделах позвоночника в связи с риском упомянутых выше осложнений следует включать в зону инструментария по два позвоночных сегмента выше и ниже полупозвонка. Иногда бывает полезно установить два контрактора на выпуклой и вогнутой сторонах деформации и выполнить циркулярный спондилодез.
J.D.King, G.L. Lowery рекомендуют выполнять операцию до того, как разовьется значительное компенсаторное противоискривление, требующее хирургической коррекции [22]. Они полагают, что у старших детей, когда эпифизеоспондилодез уже неэффективен, эксцизия клиновидного позвонка - операция выбора. Не следует ожидать коррекции более 30º, но компенсация должна быть достигнута.
Для таких вмешательств большинство фирм производят специальный педиатрический инструментарий, отличающийся от обычного специфическим дизайном и малыми размерами имплантатов.
Первый этап вмешательства - удаление тела полупозвонка. Доступ диктуется локализацией аномалии. Тело удаляется полностью до основания корня дужки. Вместе с телом позвонка удаляются соседние межпозвонковые диски и пластинки роста тел смежных позвонков. Э.В. Ульрих рекомендует использовать локализованный корень дужки для облегчения идентификации задних отделов аномалийного позвонка в ходе второго этапа вмешательства [20]. С этой целью в центр основания корня дужки вкалывают спицу Киршнера длиной 6-8 см и проводят ее в дорсальном направлении через мягкие ткани и кожу спины. Это дает хирургу четкий и надежный ориентир, позволяющий сократить время на поиски необходимой полудужки и не расширять без необходимости доступ. На место резецированного полупозвонка укладываются аутотрансплантаты, рана ушивается послойно.
Второй этап - коррекция деформации и задний эпифизеодез. Доступ - срединный, поднадкостнично выделяются задние отделы позвонков на выпуклой стороне дуги на протяжении трех сегментов. Удаляются задние структуры аномалийного позвонка, после чего образуется клиновидной формы дефект, обращенный вершиной в сторону вогнутости деформации. Два крючка заводятся за полудужки позвонков, расположенных на границах этого дефекта. Следует хорошо адаптировать крюки к полудужкам, для чего подобрать соответствующий типоразмер крюка высотой 4,5 или 6 Длина стержня должна быть меньше расстояния между крюками до компрессии. Стержень удлиняется с помощью удаляемого сегмента длиной 10, 15 или 20 мм - в зависимости от предполагаемой компрессии. Стержень вводится в крюки, затем затягивается гайка на том из крюков, который соответствует неудаляемому концу стержня. Не менее 2 мм длины стержня должно быть оставлено за пределами крюка. На стержень между крюками фиксируется удаляемое С-образное кольцо. На это кольцо и на второй крюк опирается инструмент, с помощью которого крюки сближаются компримирующим усилием, в результате чего клиновидный пострезекционный дефект устраняется, и деформация позвоночника исправляется. Затягивается гайка на втором крюке, откручивается удаляемый сегмент стержня, удаляется С-образное кольцо. Затем, после пробы с пробуждением, срезаются головки гаек на обоих крюках, что приводит к «врезыванию» гаек в стержень и окончательной фиксации. Операция завершается укладкой аутотрансплантатов на выпуклой стороне деформации рядом с инструментарием.
Этапные дистракции сегментарным инструментарием.
Этот тип оперативного лечения разработан для злокачественно прогрессирующих форм инфантильного и ювенильного идиопатического сколиоза. Применение его при врожденных деформациях ограничено достаточно редкими формами, характеризующимися множеством аномалий по всему протяжению грудного и поясничного отделов позвоночника в сочетании с юным возрастом пациента и достаточной мобильностью деформации.
Этапные коррекции осуществляются с помощью дистрактора (одно- или двухстержневого), сформированного из элементов сегментарного инструментария. Формируются два захвата (краниальный и каудальный) выше и ниже основной дуги искривления. Стержни состоят из двух фрагментов каждый, фрагменты соединены коннектором типа «домино». Первичная дистракция осуществляется с помощью дистрагирующего инструмента с опорой на крюки или съемные С-образные кольца. Этапные дистракции (в среднем - один раз в год) производятся после ослабления гаек коннекторов «домино» с опорой на С-образные кольца. Достигнутый корригирующий эффект закрепляется затягиванием гаек. Последняя коррекция проводится в возрасте завершения формирования скелета и заканчивается дорсальным спондилодезом.
Одноэтапная резекция полупозвонка и коррекция деформации сегментарным инструментарием (операция Shono).
Показания - сколиозы подростков на почве единичных полупозвонков грудной и грудопоясничной локализации, не требующие продления спондилодеза до нижнепоясничного отдела позвоночника.
Положение больного - на животе с разгруженной передней брюшной стенкой. Поскольку в зону спондилодеза следует включать всю протяженность сколиотической дуги, разрез должен быть длиннее на один сегмент краниально и каудально. Обнажаются задние отделы позвонков до вершин поперечных отростков, идентифицируется полупозвонок. Его остистый отросток, дужка и суставные фасетки резецируются с сохранением корня дужки и поперечного отростка. Эти две структуры резецируются только при условии прямой визуализации спинного мозга (в грудном отделе соответствующее полупозвонку ребро подвергается эксцизии на протяжении 3 см). Резекция тела полупозвонка начинается у основания корня дужки и продолжается вентрально до передней и латеральной замыкательных пластинок. Удалять их обычно нет необходимости, так как после приложения компримирующего усилия на выпуклой стороне деформации они надламываются и сминаются, как пустая яичная скорлупа. Необходимо удалить ткань межпозвонковых дисков и замыкательные пластинки с обеих сторон от полупозвонка. Удаление порции диска на вогнутой стороне дуги затруднительно и не всегда удается. Более того, сохранение остатков фиброзного кольца имеет то преимущество, что при коррекции деформации инструментарием они служат своеобразной точкой вращения, не допуская критической степени трансляции одного позвонка относительно другого. Резекция корня дужки и тела полупозвонка облегчается тем, что хорошо видимый спинной мозг смещен в сторону вогнутости деформации.
Следующий этап - имплантация шурупов и крюков в соответствии с предоперационным планированием. Необходимо обеспечить компрессию по выпуклой стороне деформации и дистракцию - по вогнутой. Перед коррекцией необходимо уложить аутотрансплантаты в виде стружки между соседними позвонками в образовавшийся после резекции дефект, в противном случае могут остаться пустоты, так добиться полного контакта позвонков трудно. Первым имплантируют стержень на выпуклой стороне дуги, предварительно изогнув его в соответствии с нормальным сагиттальным контуром позвоночника. На этом стержне крюками или шурупами развивают компримирующее усилие для сминания замыкательных пластинок и смыкания треугольного пострезекционного дефекта. Одновременно корригируются сколиоз и локальный кифоз. Второй (дистракционный) стержень имплантируется на вогнутой стороне дуги. Дистракция, однако, должна быть дозированной во избежание излишнего натяжения спинного мозга. Основная роль второго стержня - дополнительная стабилизация. На всем протяжении дуги искривления осуществляется задний спондилодез аутокостью. Постельный режим - 1-2 дня. Иммобилизация корсетом - 3 месяца.
Коррекция инструментарием VEPTR ( Vertical Expandable Prosthetic Titanium Rib).
Основным показанием к применению инструментария VEPTR является развитие синдрома торакальной недостаточности при врожденных и иных деформациях позвоночника и ребер у детей первых лет жизни. Синдром торакальной недостаточности - означает, что структуры грудной клетки не в состоянии нормальные дыхательные экскурсии и рост легких. Инструментарий обеспечивает механическое увеличение объема грудной клетки и контроль сколиотической деформации.
Техника операции. Стандартный торакотомический разрез. Поднадкостнично выделяются участки ребер, которые будут служить точками опоры для верхнего и нижнего реберных захватов. Захваты фиксируются к ребрам и соединяются плоским дистрагирующим стержнем соответствующего типоразмера. При наличии блока нескольких ребер он остеотомируется в поперечном направлении. Дистрагирующее устройство раздвигает точки опоры, увеличивая объем грудной клетки, и стержень блокируется в положении достигнутой коррекции. Особый дистрагирующий стержень фиксируется к ребрам и позвоночнику (или к гребню подвздошной кости) для коррекции и контроля сколиотической дуги. Этапные дистракции в течение нескольких лет поддерживают достигнутый эффект. Операция может быть выполнена с использованием только одного дистрактора и не только при врожденных деформациях позвоночника.
По достижении возраста завершения формирования скелета, инструментарий VEPTR удаляется и проводится дополнительная хирургическая коррекция деформации позвоночника с применением сегментарного инструментария и выполнением заднего спондилодеза, при необходимости с предшествующим коррекции передним спондилодезом.
Операции при нарушениях сегментации.
Характер вмешательства зависит от возраста пациента. У детей младшего возраста оптимально выполнение эпифизеоспондилодеза на протяжении несегментированной зоны плюс один сегмент краниально и каудально. У старших детей и подростков хирургическая тактика, помимо всего прочего, диктуется наличием или отсутствием компенсаторного противоискривления. Оптимально выполнение переднезаднего спондилодеза с использованием инструментария сotrel-Dubousset, позволяющего в значительной степени устранить компенсаторное противоискривление и, тем самым, нормализовать баланс туловища. В самых тяжелых запущенных случаях, в том числе, и у взрослых пациентов может быть выполнена клиновидная остеотомия блока. В ходе операции позвоночник целенаправленно дестабилизируется, чтобы получить необходимую коррекцию. Риск осложнений растет пропорционально получаемой коррекции. Эта операция выполняется только при самых тяжелых деформациях и только самыми опытными хирургами. Утраченная стабильность должна быть немедленно восстановлена на операционном столе. С этой целью лучше всего использовать сегментарный инструментарий III поколения. Больной и его родные должны быть предупреждены о высоком риске, сопряженном с операцией.
Хирургическое лечение врожденных кифозов.
Разнообразие аномалий всякий раз ставит перед хирургом-вертебрологом непростую задачу, заключающуюся в выборе адекватного метода оперативного лечения в соответствии с типом аномалии, деформации и возрастом пациента [5]. Проблема осложняется особенностями течения врожденных деформаций позвоночного столба. К этим особенностям относятся: ригидность, склонность к прогрессированию и развитию неврологических осложнений (особенно при наличии кифотического компонента), неэффективность консервативного лечения.
Начиная с конца XIX столетия, ортопеды разработали множество вариантов хирургических пособий, направленных на коррекцию и стабилизацию позвоночника при врожденных деформациях. Часть из них оказались малоэффективными и были полностью оставлены, другие в течение многих лет остаются в арсенале хирургов. Огромную роль в развитии методов лечения деформаций позвоночника (в том числе, врожденных) сыграло внедрение в широкую практику современного сегментарного инструментария III поколения. Особую роль играет методика многоэтапного оперативного лечения детей первой декады жизни со злокачественно прогрессирующими деформациями на почве множественных аномалий развития позвонков и ребер, приводящими к развитию синдрома торакальной недостаточности. Применение этой методики позволило снизить возрастной порог вертебральной хирургии до 1-1,5 лет, что ранее было принципиально невозможно.
Основным преимуществом предлагаемого метода является его универсальность, так как он содержит в себе хирургические методики, могущие быть эффективно использованы у пациентов с любыми формами врожденных деформаций позвоночника вне зависимости от типа и локализации аномалии и возраста больного.
Механизм действия приведенных методик сводится к стабилизации патологического процесса (прекращение прогрессирования деформации позвоночника) либо к коррекции (самокоррекции) деформации - одномоментной или этапной. Сущность действия - уравновешивание потенций роста правой и левой сторон позвоночника или вентральной и дорсальной его колонн. Это достигается подавлением активности зон роста либо формированием костных блоков той или иной степени протяженности с применением погружных металлоконструкций или без такового.
Практически все варианты нижеописанных методик в различных сочетаниях с успехом применяются в специализированных зарубежных клиниках. В зависимости от характера кифоза, возраста пациента и имеющихся осложнений применяются различные хирургические технологии. Дорсальный спондилодез при ранних деформациях (до 5-летнего возраста).
Врожденные кифозы на почве аномалий формирования (I тип).
Дорсальный спондилодез при ранних деформациях (до 5-летнего возраста).
Обычно пациенты младше 5 лет с кифозами менее 75° эффективно лечатся с помощью только заднего спондилодеза. Метод основан на принципе сохранения потенций роста тел позвонков при «аресте» их дорсальных отделов. Важно правильно определить зону заднего спондилодеза. Она должна быть больше аномальной зоны на 1 нормальный сегмент краниально и каудально. Это необходимо для формирования лордозов выше и ниже зоны кифоза, компенсирующих любой остаточный кифоз. Если имеет место не кифоз, а кифосколиоз, лечение - аналогичное. Однако даже при хорошем заднем блоке рост апикальных позвонков может продолжаться латерально в горизонтальной плоскости. Развитие этого осложнения означает прогрессирование деформации. В этом случае возникают настоятельные показания к переднезаднему эпифизеоспондилодезу по выпуклой стороне деформации.
Другой вопрос - возраст пациента. Учитывая природу врожденных кифозов, наблюдение за больным в динамике лишено смысла. Необходимы ранняя диагностика и надежный задний спондилодез до развития грубой деформации. Чем раньше оперирован больной, тем лучше. Самый ранний допустимый возраст для хирургического вмешательства - 6 мес.
Принцип решения проблемы в зависимости от величины деформации (по Соbb) применительно к кифозам ненадежен. Пологий кифоз 30° в средне-грудном отделе практически нормален, такой же кифоз в грудопоясничном отделе - это уже патология, а кифоз 10° в поясничном отделе - грубая патология. Островершинный кифоз 50° в средне-грудном отделе - это патология, а пологий кифоз такой же величины в этом же отделе - только верхняя граница нормы.
Получаемые результаты говорят о высокой эффективности метода. Не только нет прогрессирования, но постоянно выявляется самокоррекция деформации. Однако даже у детей младше 5 лет возможно и весьма реально развитие ложного сустава блока. Поэтому через 6 месяцев во всех случаях показана реоперация с ревизией зоны спондилодеза и укладкой дополнительного костно-пластического материала.
Вентродорсальный спондилодез при поздних сформировавшихся деформациях (у детей старше 11 лет).
Эти случаи представляются значительно более сложными, так как требуют двухэтапного лечения - вентрального и дорсального спондилодеза. Соответственно возрастает и риск осложнений.
Предварительная тракция, производящаяся с целью «размягчения» деформации, перед передним спондилодезом бессмысленна. Связочный аппарат и хрящевая ткань в области вершины кифоза неэластичны, и сверх той коррекции, которая определяется на функциональных спондилограммах в положении гиперэкстензии, ничего получить не удается. Тракции показаны только у немногих больных, у которых снижение функции легких сочетается с достаточной мобильностью позвоночника, что позволяет получить некоторую коррекцию за период легочной реабилитации. Лучшая форма - «гало»-тазовая тракция, позволяющая больному самостоятельно передвигаться, что очень важно в смысле профилактики тромбоэмболических осложнений и остеопороза. Длительность тракции - обычно не более 2 нед. Поскольку при врожденных кифозах применение тракции опасно из-за высокого риска параплегии в связи с натяжением спинного мозга, она должна использоваться редко и сопровождаться неврологическим контролем не реже 2 раз в день.
Тип вентрального спондилодеза зависит от выраженности и протяженности кифоза. Сравнительно негрубые деформации, минимальные из тех, что подлежат вентральному вмешательству, могут быть эффективно исправлены с помощью операции переднего спондилодезом по типу частичного замещения тела позвонка . Чрезвычайно важно адекватно обнажить передние отделы с удалением передней продольной связки, дисков и хрящевой ткани на вершине деформации. Проксимально и каудально от зоны кифоза удаляют по одному нормальному диску. После этого деформация становится более мобильной. Для того, чтобы установить трансплантат-распорку, необходимы одновременная тяга за голову пациента и ручное давление на вершину кифоза сзади. Дополнительно в межпозвонковые пространства укладывают спонгиозную кость. Задний спондилодез раньше производился через 1-2 недели после I этапа. В последние годы все шире применяются одноэтапные двухмоментные вмешательства, включающие и передний и задний доступы и выполняемые в ходе одного наркоза. Преимущества такого подхода многочисленны: больной переносит одно вмешательство вместо двух, снижается количество осложнений, суммарная кровопотеря, сроки пребывания больного в стационаре. Пациент и его родные испытывают один стресс вместо двух. Наконец, что нельзя не учитывать, уменьшается расход лекарственных препаратов.
Для более грубых кифозов использование распорки необходимо. Чем сильнее выражен кифоз, тем больше используется костно-пластического материала. При больших деформациях грубой ошибкой является использование одного трансплантата-распорки с оставлением «пустого пространства» между ним и вершиной кифоза. Необходимо в таких случаях использовать несколько ригидных аутотрансплантатов из гребня большеберцовой кости. Наименьший из них устанавливается первым как можно ближе к вершине, а остальные - последовательно в дорсовентральном направлении. Таким образом, формируется опорная структура, образно называемая «палисадом».
Дорсальное вмешательство включает фиксацию позвоночника сегментарным инструментарием и спондилодез аутокостью. Планирование дорсального этапа включает определение точек установки крючьев. Очень важно сформировать жесткие захваты в области верхнего и нижнего «колен» кифоза.
Лечение промежуточных деформаций (у детей от 6 до 10 лет).
Больной с такой деформацией представляет серьезную задачу, поскольку при ранних деформациях достаточен задний спондилодез, при грубых кифозах необходимо комбинированное лечение. Деформация между двумя этими крайностями - трудная проблема.
Если возникают сомнения, лучше произвести задний спондилодез, а через 6 мес. ревизовать блок и дополнить ее костно-пластическим материалом, независимо от того, насколько прочным он представляется хирургу. Иммобилизация корсетом осуществляется на срок 1 год. Если затем все же развивается ложный сустав блока, показан передний спондилодез.
Врожденные кифозы II типа (на почве аномалий сегментации).
Спондилодез.
У маленьких детей пока не развился грубый кифоз, операцией выбора является задний билатеральный спондилодез. Его протяженность - на 1 нормальный позвонок выше и ниже зоны переднего врожденного блока.
Спондилосинтез. Двухэтапное вмешательство с использованием сегментарного инструментария.
Коррекция сформированной деформации - очень сложная задача. Необходимо остеотомировать передний блок на уровнях, соответствующих исчезнувшим дискам. Опыт показывает, что обычно эти уровни можно определить по спондилограммам или интраоперационно - по элементам фиброзных колец. Далее выполняется межтеловой спондилодез и дорсальный спондилодез с использованием современного сегментарного инструментария - сDI или его аналоги. В ходе II этапа, который, как уже упоминалось выше, целесообразно осуществлять под одной анестезией с I, можно приложить дополнительное корригирующее усилие. Все корригирующие вмешательства у больных с врожденными кифозами в обязательном порядке сопровождаются проведением теста с пробуждением. Продолжительность иммобилизации после костно-пластической операции - не менее 1 года.
Передний спондилодез трансплантатом-распоркой по типу «палисада».
При наличии угловой кифотической деформации трансплантаты должны быть расположены кпереди от тел позвонков для обеспечения стабильности и надежного костного блока. Протяженность спондилодеза зависит от выраженности кифоза. Наиболее вентрально устанавливаемые трансплантаты располагаются между конечными позвонками структуральной части деформации по линии нагружения позвоночника. Наиболее частая ошибка - расположение распорки между двумя-тремя вершинными позвонками - это может привести к прогрессированию деформации, перелому трансплантата или псевдартрозу. При наличии сколиотического компонента деформации доступ и установка трансплантатов удобнее выполнять по его вогнутой стороне. Тела позвонков обнажают поднадкостнично, переднюю продольную связку отделяют единым пластом с периостом. Удаляют на необходимом протяжении межпозвонковые диски. В позвонках на протяжении планируемой зоны спондилодеза формируют пазы по 1-2 трансплантаты необходимой длины предпочтительнее формировать из гребня большеберцовой кости. Малоберцовая кость прочнее, но использование ее в качестве аутотрансплантата чревато развитием нестабильности в соответствующем голеностопном суставе. Концы трансплантатов внедряют в сформированные ранее пазы. При этом первым устанавливают самый короткий трансплантат - как можно ближе к вершине деформации. Следующие трансплантаты устанавливаются последовательно - вплоть до самого большого. В результате формируется опорная структура, по внешнему виду напоминающая частокол и названная в связи с этим «палисадом». Трансплантаты должны контактировать с лишенной периоста кровоточащей поверхностью тел позвонков. Отслоенный ранее периост укладывают поверх трансплантатов, предотвращая их смещение. Подшить периост на место практически невозможно, но проблем, связанных с контактом трансплантата с легочной тканью, обычно не возникает. Нельзя исключить полностью риск развития псевдартроза или перелома трансплантата. Использование васкуляризованного реберного аутотрансплантата на питающей ножке позволяет ускорить формирование вентрального костного блока до 4-6 мес.
Спондилодез. Передняя вертебротомия при кифозах II типа.
В некоторых случаях нарушений сегментации ткань межпозвоночных дисков отсутствует в вентральных отделах, но частично сохранена в дорсальных. Тогда полностью удаляют переднюю часть блокированных тел, затем иссекают остатки дисков и осуществляют передний спондилодез. Если блок достигает задней продольной связки, острым долотом его разделяют до задней замыкательной пластинки. С помощью расширителя вlount разводят образовавшиеся костные стенки. Обычно эта манипуляция приводит к перелому замыкательной пластинки и коррекции деформации.
Врожденные кифозы с неврологическим дефицитом.
Больные со спастическими парезами и параличами на почве врожденных кифозов подлежат оперативному лечению. В тех случаях, когда предоперационное обследование больного позволило выявить диастематомиелию, показан подготовительный этап оперативного лечения - удаление костного, хрящевого или фиброзного гребня, расположенного на вентральной стенке позвоночного канала и разделяющего спинной мозг на две части на том или ином протяжении. В противном случае корригирующее вмешательство может привести к тяжелым неврологическим осложнениям.
Двухэтапное вмешательство, включающее переднюю декомпрессию спинного мозга и вентродорсальный спондилодез с использованием сегментарного инструментария.
Торакотомия через ложе ребра, расположенного на 1-2 сегмента краниальнее вершины деформации. Доступ может быть право- или левосторонним, но при наличии сколиотического компонента к спинному мозгу лучше подходить с вогнутой стороны деформации, так как для полноценной декомпрессии дуральный мешок необходимо сместить вперед и в вогнутую сторону. После рассечения медиастинальной плевры и предпозвоночной фасции лигируют сегментарные сосуды.
Если необходимо манипулировать краниальнее тела Th5 позвонка, лигируют v.azygos - это не дает нежелательных последствий. В области вершины кифоза дорcальные части тел позвонков удаляют, начиная с центра каждого тела, подлежащего резекции. После удаления центров тел убирают остальную костную ткань и межпозвонковые диски с помощью ложек, пока не остается только задняя замыкательная пластинка. Здесь может возникнуть значительное кровотечение из субкортикальных венозных синусов, хорошо останавливаемое хирургическим воском и тампонадой. Когда дорcальная замыкательная пластинка открыта на достаточном протяжении (обычно три тела позвонка), в ней формируется «окно» для осмотра дурального мешка краниально или каудально, но не напротив вершины, во избежание пролабирования спинного мозга в рану: это может усилить компрессию мозга краями костного дефекта и затруднить операцию. Затем кортикальную пластинку удаляют вместе с задней продольной связкой. Если не удалить заднюю продольную связку, спинной мозг не сможет сместиться вентрально, не произойдет полноценная передняя декомпрессия. На этом этапе возможно кровотечение из эпидуральных вен, иногда довольно значительное. После декомпрессии производят вентральный спондилодез на необходимом протяжении, бикортикальным» аутотрансплантатом . Предварительная коррекция кифоза может осуществляться валиком операционного стола.
Дорсальная фиксация сегментарным инструментарием производится сразу после декомпрессии, если позволяет состояние больного. В противном случае она откладывается на 2-4 недели.
Операция сapener.
Вмешательством, направленным на декомпрессию спинного мозга в условиях прогрессирующего кифоза, является так называемая латеральная рахотомия по N. Сареnеr [23].
Техника операции. В положении больного на животе справа от линии остистых отростков производят полуовальный разрез на протяжении 3 ребер выше и ниже уровня поражения. Ткани рассекают до глубокой фасции, и весь мягкотканный лоскут отводят медиально. На уровне наиболее вершинно расположенного межпозвонкового пространства поперечно рассекают длинные мышцы спины, и мышечные лоскуты отводят краниально и каудально. Ребро на этом уровне обнажают субпериостально и резецируют от угла до поперечного отростка. Обнажают межреберные сосуды и нервы. Нервы отделяют от сосудов и пересекают, их проксимальные отрезки используют в дальнейшем как направители при рассечении тканей, а на поздних этапах вмешательства - для осторожного поворота дурального мешка. Плевру обнажают и смещают внутрь. Проксимальный участок резецированного ребра скусывают, а головку его удаляют. Удаляются поперечные отростки и соответствующие полудужки одного-двух позвонков. Смещение плевры кпереди, а межреберных нервов кзади позволяет теперь осмотреть боковую поверхность дурального мешка и заднебоковые поверхности тел позвонков. Можно выявить причину параплегии и, отведя несколько в сторону дуральный мешок, удалить костный клин, сдавливающий спинной мозг, путем кюретажа. На рану накладывают послойные швы.
N. Сареnеr считал показанием к латеральной рахотомии случаи позднего развития неврологической симптоматики, причиной которой является костный гребень на передней стенке позвоночного канала при кифозах различной этиологии, среди которых он не упоминал врожденные. Однако, как будет показано ниже, операция нашла свое применение при этой патологии. Так, J. Lonstein et al. считают латеральную рахотомию бесценной при наличии у больного отчетливого снижения функции легких, так как операция осуществляется внеплеврально [24]. Недостатком операции эти авторы считают трудность или даже полную невозможность осуществления переднего спондилодеза. S. Chou рекомендует операцию Сареnеr при кифозах с ограниченным числом пораженных сегментов (не более двух) и величине деформации менее 90° при отсутствии миелографического блока [25].
Возможен и иной вариант декомпрессии - за счет изменения формы позвоночного канала с последующей стабилизацией. Европейские авторы этот вариант операции называют «ортопедическим» лечением компрессии спинного мозга, а отечественные - закрытой декомпрессией, в отличие от открытой, сопровождающейся вскрытием просвета позвоночного канала.
Закрытая декомпрессия показана при минимальных изменениях (повышенные рефлексы с ног, положительный симптом Бабинского, но двигательные, чувствительные и тазовые нарушения минимальны или отсутствуют), а открытая - при более выраженных, грубых параличах.
Минздрав России 2016.
|
|
Связанные заболевания
Связанные клинические рекомендации
Связанные стандарты мед. помощи
- Стандарт специализированной медицинской помощи при дегенеративных заболеваниях позвоночника и спинного мозга
- Стандарт специализированной медицинской помощи детям при врожденных аномалиях нервной системы
- Стандарт специализированной медицинской помощи при грубой ригидной сколиотической деформации позвоночника